Embed presentation
Download to read offline
































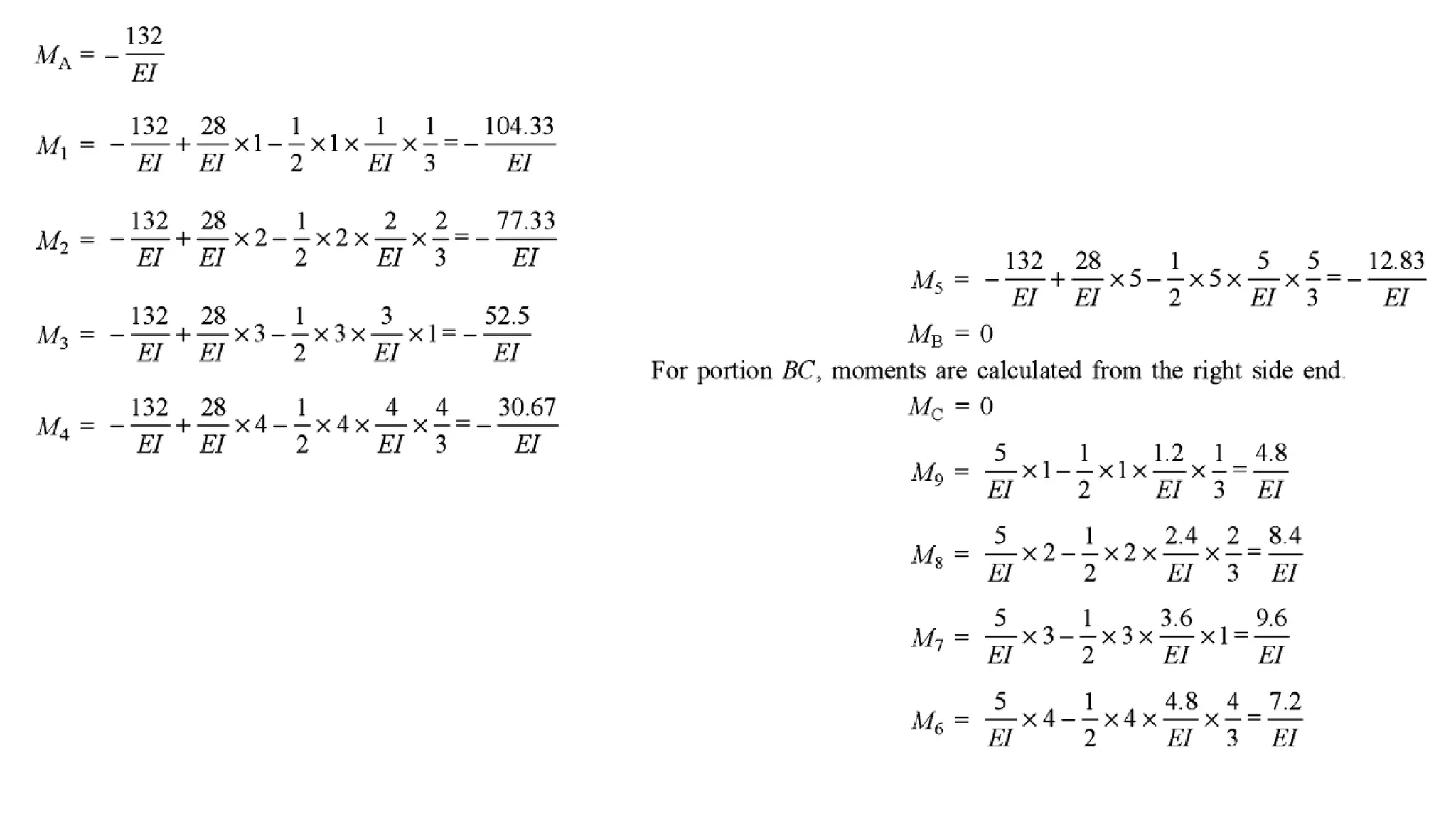
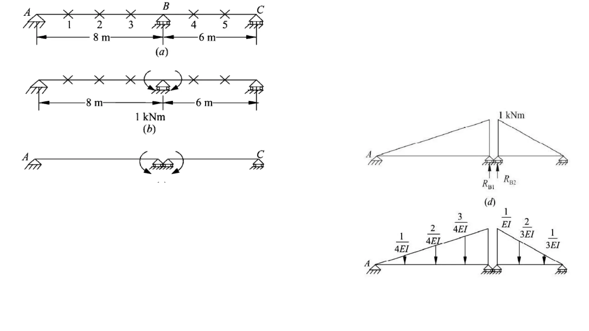
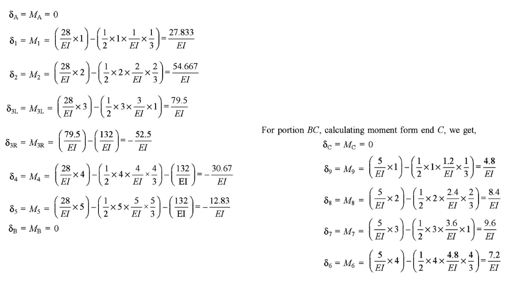
This document discusses the conjugate beam method for determining influence line diagrams (ILDs) for indeterminate beams. It outlines the steps as removing restraints, applying unit loads, determining reactions using conjugate beams, plotting bending moments and deflections to obtain the ILDs for moment, shear, reactions, and displacement at various points along the beam.































