IMAGE RESTORATION
AND
DEGRADATION
PRRESENTED BY
ANU PRIYA.K
19PEM001(I-M.E)
IMAGE RESTORATION
• Image restoration attempts to restore images that have been
degraded.
• Identifies the degradation process and attempts to reserve it
• Almost similar to image enhancement, but more objective.
• corruption of imges may occour in many forms such as motion
blur,noise and mis-focus.
• performed by reserving the process that blurred the image.
• which is performed by point source and point source processing
called as PSF to restore the information lost due to blurring
EXAMPLE
IMAGE DEGRADATION
• Image degradation is the act of loss of quality of an image due to
different reasons.
• In the event of image degradation, an image gets blurry and loses its
quality to much extent.
EXAMPLE
NOISE MODEL
• Noise is always presents in digital images during image acquisition,
coding, transmission, and processing steps.
• Noise is very difficult to remove it from the digital images without the
prior knowledge of noise model.
• So, noise models are essential in the study of image denoising
techniques
• Noise cannot be predicted but it can be approximately described
using PDF.
• Consider a noisy image modelled as
g(x,y)=f(x,y)+ᶯ(x,y)
• f(x,y)-original image
• ᶯ(x,y)-noise
• g(x,y)-niosy image.
TYPES OF NOISE MODELS
• Gaussian noise(most common model)
• Rayleign noise
• Erlang noise
• Uniform noise
• Exponential noise
• Salt and pepper noise
GRAPH
Gaussian Noise
• They are also known as normal noise model.
• PDF of a Gaussian variable ,z, is
• Z-represents intensity
• The PDF of this function is always non-zero
• 70%of its value will be in the range of
• They are usefull for modelling natural process which introduce noise(During
conversion of optical to electrical signal )
EXAMPLE
SALT and PEPPER NOISE(IMPULSE)
• The PDF of salt and pepper noise is given by
• They occour due to sharp and sudden disturbances.
• Noise impulses can positive or negative.
• The model has only 2 possible values with proablity 0.1
• otherwise the noise will dominate the image
• The intensity for pepper noise is 0
• The intensity for salt noise is nearly 255.
EXAMPLE
ERLANG NOISE(GAMMA)
• The PDF, mean and variance of erlang noise is given as
• It turns spikes into image thingy.
EXAMPLE
EXPONENTIAL NOISE
• The PDF ,mean and variance of the exponential noise is given by
EXAMPLE
UNIFORM NOISE
• The PDF ,mean and variance of the uniform noise is given by
• They are caused by quantizing the pixels of the sensed image to
discrete levels.
RAYLEIGH NOISE
• The PDF ,mean and variance of the Rayleigh noise is given by
The basic shape of the variable of this density is skewed to the right.
• They are used in approximating skewed histogram.
HISTIOGRAM REPRESENTATION
IMAGE DEGRADATION MODEL
The initial image (source, f(x,y))undergoes degradation due to various operation, conversation and losses.
This introduces noise.
This noisy image is further restored via restoration filters to make it visually acceptable.
ESTIMATION OF DEGRADATION MODEL
• Degradation function is important in all cases of knowledge like
frequency domain,spatial domain or matrix.
• Estimation of degradation is important.
• there are three ways to estimate -
1. By Observation
2. By Experimentation
3. By Mathematical modeling
• After the approximation of the function we can apply convolution to
restore the original image.
BY OBSERVATION
• Suppose, given a degraded image without any knowledge about the
degradation function H.
• One way to estimate this function is to gather information from the
image itself.
• For example if the image is blurred,a small section of the image
containing simple structures is been looked, like part of an object and
the background.
• In order to reduce the effect of noise in our observation, we would
look for areas of strong signal content.
• Using sample gray levels of the object and the background, we can
construct an unblurred image of the same size and
• characteristics as the observed sub image.
EQUATION
BY EXPERIMENTATION
• If equipment similar to that used to acquire the degraded image is
available, it is possible to obtain an accurate estimate of the degradation.
• Images similar to the degraded image can be acquired with various system
settings until they are degraded as closely as possible to the image we wish
to restore.
• Then the idea is to obtain the impulse response of the degradation by
imaging an impulse (small doe of light) using the same system settings.
• An impulse is simulated by a bright dot of light as bright as possible to
reduce the effect of noise. Then recalling that the Fourier transform of an
impulse is constant,
EQUATION
•
• G(U,V)-observed spectrum
• A-intensity of light source
MATHEMATICAL MODEL
• Mathematical mpdel has been used very long.
• In some cases,the model can even take environmental conditions that
cause degradation.
• Now consider the physical characterstics of atmospheric turbulence.
• K-Nature of turbulence.
EXAMPLE
THANK YOU

Image restoration and degradation model

  • 1.
  • 2.
    IMAGE RESTORATION • Imagerestoration attempts to restore images that have been degraded. • Identifies the degradation process and attempts to reserve it • Almost similar to image enhancement, but more objective. • corruption of imges may occour in many forms such as motion blur,noise and mis-focus. • performed by reserving the process that blurred the image. • which is performed by point source and point source processing called as PSF to restore the information lost due to blurring
  • 3.
  • 4.
    IMAGE DEGRADATION • Imagedegradation is the act of loss of quality of an image due to different reasons. • In the event of image degradation, an image gets blurry and loses its quality to much extent.
  • 5.
  • 6.
    NOISE MODEL • Noiseis always presents in digital images during image acquisition, coding, transmission, and processing steps. • Noise is very difficult to remove it from the digital images without the prior knowledge of noise model. • So, noise models are essential in the study of image denoising techniques • Noise cannot be predicted but it can be approximately described using PDF.
  • 7.
    • Consider anoisy image modelled as g(x,y)=f(x,y)+ᶯ(x,y) • f(x,y)-original image • ᶯ(x,y)-noise • g(x,y)-niosy image.
  • 8.
    TYPES OF NOISEMODELS • Gaussian noise(most common model) • Rayleign noise • Erlang noise • Uniform noise • Exponential noise • Salt and pepper noise
  • 9.
  • 10.
    Gaussian Noise • Theyare also known as normal noise model. • PDF of a Gaussian variable ,z, is • Z-represents intensity • The PDF of this function is always non-zero • 70%of its value will be in the range of • They are usefull for modelling natural process which introduce noise(During conversion of optical to electrical signal )
  • 11.
  • 12.
    SALT and PEPPERNOISE(IMPULSE) • The PDF of salt and pepper noise is given by • They occour due to sharp and sudden disturbances. • Noise impulses can positive or negative. • The model has only 2 possible values with proablity 0.1 • otherwise the noise will dominate the image • The intensity for pepper noise is 0 • The intensity for salt noise is nearly 255.
  • 13.
  • 14.
    ERLANG NOISE(GAMMA) • ThePDF, mean and variance of erlang noise is given as • It turns spikes into image thingy.
  • 15.
  • 16.
    EXPONENTIAL NOISE • ThePDF ,mean and variance of the exponential noise is given by
  • 17.
  • 18.
    UNIFORM NOISE • ThePDF ,mean and variance of the uniform noise is given by • They are caused by quantizing the pixels of the sensed image to discrete levels.
  • 19.
    RAYLEIGH NOISE • ThePDF ,mean and variance of the Rayleigh noise is given by The basic shape of the variable of this density is skewed to the right. • They are used in approximating skewed histogram.
  • 20.
  • 22.
    IMAGE DEGRADATION MODEL Theinitial image (source, f(x,y))undergoes degradation due to various operation, conversation and losses. This introduces noise. This noisy image is further restored via restoration filters to make it visually acceptable.
  • 23.
    ESTIMATION OF DEGRADATIONMODEL • Degradation function is important in all cases of knowledge like frequency domain,spatial domain or matrix. • Estimation of degradation is important. • there are three ways to estimate - 1. By Observation 2. By Experimentation 3. By Mathematical modeling • After the approximation of the function we can apply convolution to restore the original image.
  • 24.
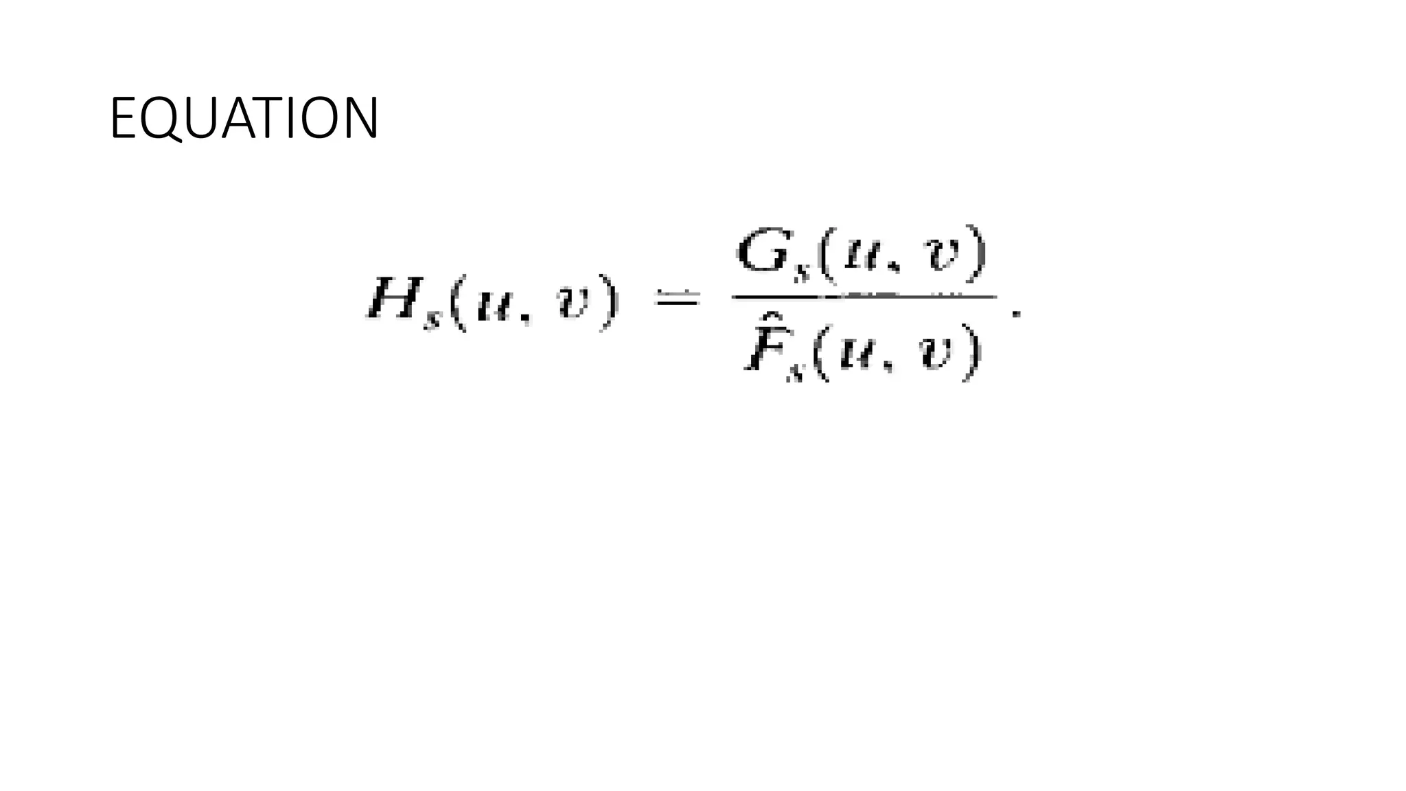
    BY OBSERVATION • Suppose,given a degraded image without any knowledge about the degradation function H. • One way to estimate this function is to gather information from the image itself. • For example if the image is blurred,a small section of the image containing simple structures is been looked, like part of an object and the background. • In order to reduce the effect of noise in our observation, we would look for areas of strong signal content. • Using sample gray levels of the object and the background, we can construct an unblurred image of the same size and • characteristics as the observed sub image.
  • 25.
  • 26.
    BY EXPERIMENTATION • Ifequipment similar to that used to acquire the degraded image is available, it is possible to obtain an accurate estimate of the degradation. • Images similar to the degraded image can be acquired with various system settings until they are degraded as closely as possible to the image we wish to restore. • Then the idea is to obtain the impulse response of the degradation by imaging an impulse (small doe of light) using the same system settings. • An impulse is simulated by a bright dot of light as bright as possible to reduce the effect of noise. Then recalling that the Fourier transform of an impulse is constant,
  • 27.
  • 29.
    MATHEMATICAL MODEL • Mathematicalmpdel has been used very long. • In some cases,the model can even take environmental conditions that cause degradation. • Now consider the physical characterstics of atmospheric turbulence. • K-Nature of turbulence.
  • 30.
  • 31.