HYDROPOWER ENGINEERING
Class – B.E.Civil
Semester- VIII
In Sem- 30 Marks
End Sem- 70 Marks
Termwork- 50 Marks
PREPARED BY
Prof. Sayali Atpadkar
Prof.S.P.Atpadkar
INTRODUCTION
• Propelled by sustained economic growth and rise in income levels, India is poised t
• Propelled by sustained economic growth and rise in income levels, India is poised to
face significant increase in energy demand in the next few decades which also
translates into higher demand for electricity.
• The gap in the electricity demand-supply situation is highlighted by the fact that the
country experienced energy deficit of 4.2% in FY 13-14
• Thus it has become important to focus on the efficiency of various plants, their load
factors, demand factors etc.
Prof.S.P.Atpadkar
ASSIGNMENTS
Assignment No. Title
1. Calculating the electricity bill of upper middle class family that uses various electrical
appliances
2. Determination of power output for a run of river plant with and without pondage
3. Justification of economics of Pumped storage plants
4. Design of Kaplan / Francis / Pelton turbine
5. Design of surge tank
6. Design of straight conical draft tube
7. Use of any software to calculate water hammer pressure
8. Report based on visit to any micro/small/mega hydropower project
Prof.S.P.Atpadkar
ASSIGNMENT NO 1
1. TITLE : Calculating the electricity bill of upper middle class family that uses
various electrical appliances
2. DESCRIPTION:
• Monthly electricity bill calculation & Energy charge calculation is carried out
using the present slab units & consumed appliances power in watts.
3. PROCEDURE :
• Step I- Prepare AutoCAD plan showing all electrification details of any 2BHK
room.
• Step II- Calculate monthly electricity bill for 2 BHK room
• Step III- Calculate Energy Charge for the above calculated electricity bill.
Prof.S.P.Atpadkar
ELECTRIC USAGE COST
• Electric usage is calculated in kilowatt-hours.
• A kilowatt-hour is 1000 watts used for one hour.
1. Volts*Amps = Watts
2. Watts / 1000 = Kilowatts (kW)
3. Kilowatts (kW) * Hours of use = Kilowatts Hours (kWh)
4. Kilowatts Hours (kWh) * kWh rate = Cost of usage
Prof.S.P.Atpadkar
• Step I- Prepare AutoCAD plan showing all electrification details of any
2BHK room.
• Step II- Calculate monthly electricity bill for 2 BHK room.
Appliance Quantity Consumption
(Hrs/Day)
Watt Watts-hr/Day Watts-hr/month
Fan (Ceiling) 4 24 40 960 28800
Bulb 4 5 14 70 2100
Fridge 1 24 180 4320 129600
T.V (LED) 1 6 60 360 10800
Bell 1 0.016 14 0.224 6.72
Washing
machine
1 1 400 400 12000
No. of watts
No. of units
Prof.S.P.Atpadkar
• Step III- Calculate Energy Charge for the above calculated electricity bill.
Slab No Slab Units Units Rate in Rs EC Rs
1 1-100 3.76
2 101-300 7.21
3 301-500 9.95
4 501-1000 11.31
5 >1000 12.5
Total EC
Energy Charge
Fix charge 50
FAC Charges rate as per month to month basis 5.62
Elec Duty @ 15% on EC, DC, FCA, ADDL Charge
Total
FAC (Fuel Adjustment Charge) or FCA (Fuel Cost Adjustment) or FPPCA (Fuel and Power Purchase Cost
Adjustment) is amount that utilities apply on bills based on varying price of fuel or Coal.
DC – Duty codeProf.S.P.Atpadkar
Power Consumption of Different Appliances
Prof.S.P.Atpadkar
Prof.S.P.Atpadkar
ASSIGNMENT NO 2
1. TITLE: Determination of power output for a run of river plant with and
without pondage.
2. DESCRIPTION:
Numerical based on power output (Installed capacity of plant, Load factor, Utilization
factor, Plant factor, Maximum demand etc. considering plant with & without
pondage)
3. IMPORTANT FORMULAE:
a) Electrical energy/power (P)= 9.81*ƞ*Q*H
Prof.S.P.Atpadkar
b) i) Load factor =
ii) Annual load factor =
c) Demand factor =
d) Capacity factor/ Plant factor =
periodthatduringloadpeak
periodcertainaoverloadAverage
24*365*kw)indemandpower(Max
produced(kwh)unitselectricalyearlyTotal
loadConnected
timeparticularanyatdemandMax
capacityPlant
time)ofperiodgivenOver(loadAverage
Prof.S.P.Atpadkar
e) Utilization Factor =
f) Power Factor =
availablepowerMaximum
utilizedpowerMaximum
(KVA)amperes-volt-kiloinpowerApparent
(KW)kilowattsinpowerActual
Prof.S.P.Atpadkar
ASSIGNMENT NO 3
1. TITLE : Justification of economics of Pumped storage plants
2. DESCRIPTION :
i. Pumped storage power plant is type of hydroelectric energy storage used by
electric power systems for load balancing.
ii. A pumped-storage plant works much like a conventional hydroelectric station,
except the same water can be used over and over again.
iii. In India Sardar Sarovar Dam in Gujarat is one of the plant with Pumped storage
capability.
Prof.S.P.Atpadkar
Prof.S.P.Atpadkar
Prof.S.P.Atpadkar
• Castaic Power Plant is a seven unit pumped-storage hydroelectric plant, operated by
the Los Angeles Department of Water and Power, which provides peak load power from
the falling water on the West Branch of the California State Aqueduct.
Prof.S.P.Atpadkar
• Sardar Sarovar Dam is a gravity dam on the Narmada river near Navagam , Gujarat in India.
The dam's main power plant houses six 200 MW Francis pump turbines to generate electricity and
include a pumped-storage capability
Prof.S.P.Atpadkar
3. ECONOMICS OF PSP
• Pumped storage power generation is based on economics of – operation &
availability of enough space capacity .
• Converts low values off peak energy to high value.
• Economic analysis –
a) Cost estimate in real terms
b) Simple sensitivity analysis
4. Components of PSP
1. Upper reservoir
2. Lower reservoir
3. Conduits
4. Surge tank
5. Penstock
6. Power house
7. Draft head
Prof.S.P.Atpadkar
ASSIGNMENT NO 4
1. TITLE : Design of Francis/ Kaplan/Pelton turbine
2. DESCRIPTION :
• Hydraulic turbines may be defined as prime movers that transform the kinetic
energy of the falling water into mechanical energy of rotation and whose primary
function is to drive a electric generator
• Hydraulic turbines transfer the energy from a flowing fluid to a rotating shaft.
• Hydroelectric plants utilise the energy of water falling through a head that may
vary from a few meters to 1500 or even 2000 m
Prof.S.P.Atpadkar
3. Classification of hydraulic turbines :
1. Based on type on energy at inlet-
a) Impulse turbine (Pelton Wheel)
b) Reaction turbine (Francis Turbine, Kaplan Turbine)
2. Based on direction of flow through runner-
a) Tangential flow turbine (Pelton Wheel)
b) Radial flow turbine (Francis Turbine)
c) Axial flow turbine (Kaplan Turbine)
d) Mixed flow turbine ( Modern Francis Turbine)
Prof.S.P.Atpadkar
3. Based on head of water –
a) Low Head Turbine
b) Medium Head Turbine
c) High Head Turbine
Prof.S.P.Atpadkar
4. DESIGN OF PELTON TURBINE
• The Pelton wheel is an impulse type water turbine invented by Lester Allan Pelton in the
1870s.
Prof.S.P.Atpadkar
1. Description of Pelton turbine :
• The Pelton wheel extracts energy from the impulse of moving water
• Pelton wheels are the preferred turbine for hydro-power, when the available water
source has relatively high hydraulic head at low flow rates.
• Pelton wheels are made in all sizes.
2. Design rules:
• The specific speed is the main criterion for matching a specific hydro-electric site
with the optimal turbine type.
• It also allows a new turbine design to be scaled from an existing design of known
performance.
Prof.S.P.Atpadkar
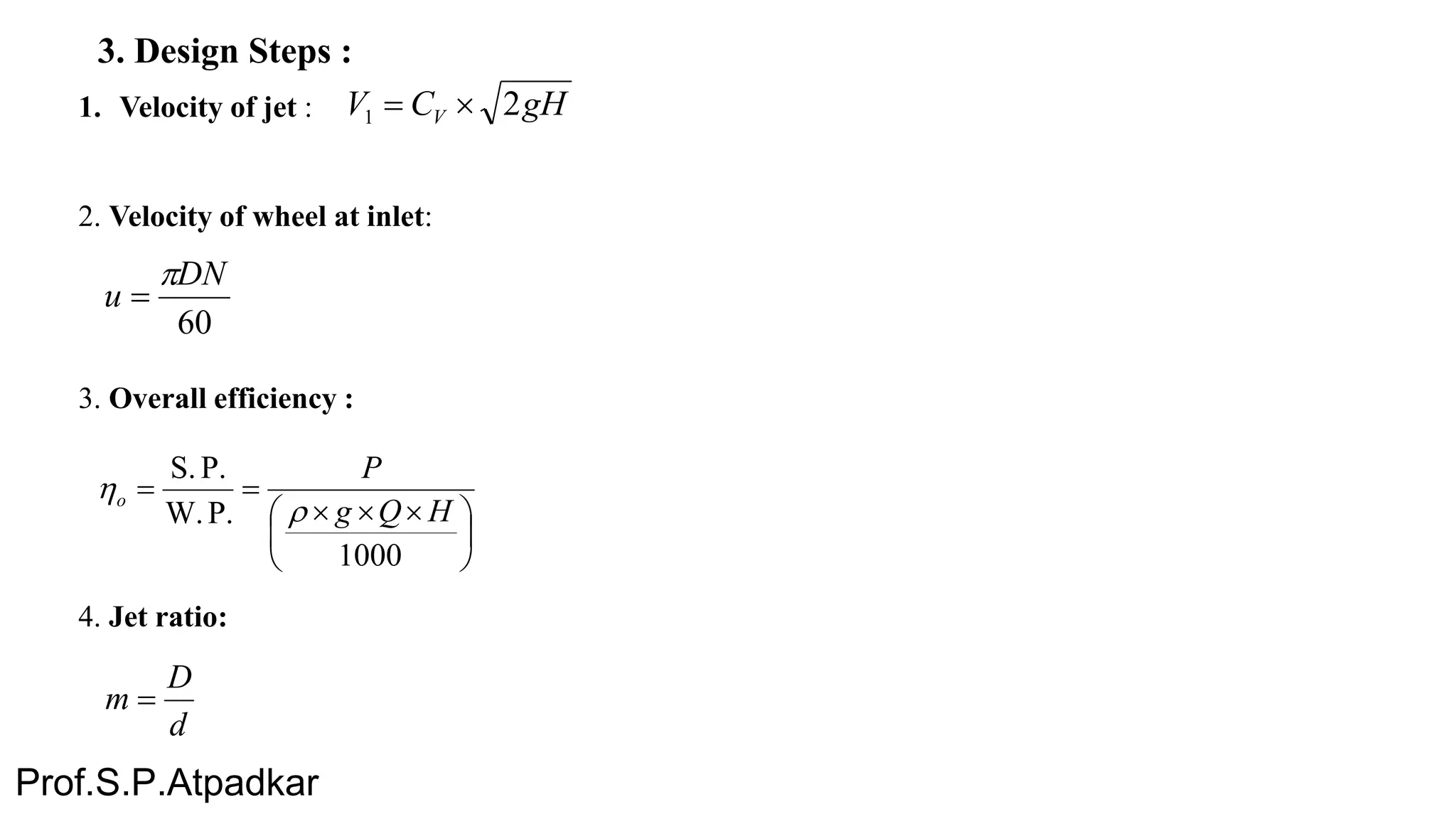
3. Design Steps :
1. Velocity of jet :
2. Velocity of wheel at inlet:
3. Overall efficiency :
4. Jet ratio:
gHCV V 21 
60
DN
u







 

1000
P.W.
P.S.
HQg
P
o


d
D
m 
Prof.S.P.Atpadkar
5. Number of buckets on a runner:
5. Size of buckets:
1) Width of bucket=
2) Depth of bucket=
d
D
z
2
15
d5
d2.1
Prof.S.P.Atpadkar
ASSIGNMENT NO. 5
1. TITLE : Design of surge tank
2. DESCRIPTION :
• Surge tank is a water storage device used as pressure neutralizer in hydropower
water conveyance system to resists excess pressure rise and pressure drop
conditions.
• A surge tank is an additional storage space or reservoir fitted between the main
storage reservoir and the power house (as close to the power house as possible)
Prof.S.P.Atpadkar
SURGE TANK
Prof.S.P.Atpadkar
3. Functions of Surge Tanks
• It should Protects the conduit system from high internal pressures.
• It should help the hydraulic turbine regarding its regulation characteristics.
• It should store the water to raise the pressure in pressure drop conditions
4. Location of Surge Tanks
•Surge tanks are located near to the power house to reduce length of
penstocks.
•No limitations regarding surge tank height.
•Location at which flat sloped conduit and steep sloped penstock meets
Prof.S.P.Atpadkar
5. Types of Surge Tanks
•Simple surge tank
•Gallery type surge tank
•Inclined surge tank
•Restricted orifice surge tank
•Differential surge tank
Prof.S.P.Atpadkar
Simple surge tank Inclined surge tank
Prof.S.P.Atpadkar
Restricted orifice surge tank Differential surge tank
Prof.S.P.Atpadkar
Surge TankProf.S.P.Atpadkar
DESIGN STEPS
• Need of surge tank – Most important phenomenon considered is Water Hammer Condition
• Two important Cases considered-
1. Gradual closure of valve
2. Sudden closure of valve
STEP I-
Time taken to close the valve-
Where,
T – Required time taken by pressure wave
L- Length of pipe
C- Velocity of pressure wave
C
L
T
2

Prof.S.P.Atpadkar
CASE I – Gradual closure
CASE II – Sudden closure
STEP II –
Calculate intensity of pressure wave produced (p)-
Case I-Gradual closure of valve-
C
L
T
2

C
L
T
2

T
LV
p


Prof.S.P.Atpadkar
Case II- Sudden closure of valve in rigid pipe-
where C=velocity of pressure wave
Case III- Sudden closure of valve in elastic pipe-
CVp  










K
C
Et
D
K
VP


1

Prof.S.P.Atpadkar
ASSIGNMENT NO 6
1. Title- Design of straight Conical Draft Tube
2. Description –
• Draft tube is a conduit which connects the runner exit to the tail race
where the water is being finally discharged from the turbine
• It is a diffuser tube installed at exit of runner.
Prof.S.P.Atpadkar
Types of Draft Tube
1. Conical diffuser or straight divergent tube-
• Conical diffuser
• Angle less than or equal to 10 degree
• Prevent flow separation
• Employed for low specific speed vertical shaft francis turbine
• Efficiency 90%
2. Simple elbow type draft Tube-
• Extended elbow
• Cuts down cost of excavation
• Efficiency 60%
Prof.S.P.Atpadkar
3. Elbow with varying cross section-
• Varying cross section bent parts
• Rectangular outlet
• Efficiency 60% - 80%
4. Hydracone or Moody spreading draft tube
• Similar to conical draft tube
• Solid central core provided avoids whirling
• Used for vertical shaft turbines with large whirls
• Efficiency is 85%
Prof.S.P.Atpadkar
TYPES OF DRAFT TUBEProf.S.P.Atpadkar
CONICAL DIFFUSER /STRAIGHT DIVERGENT TUBE
Prof.S.P.Atpadkar
DRAFT TUBE LOCATION
Prof.S.P.Atpadkar
DESIGN STEPS-
1. Find discharge (Q)
2. Find pressure head at inlet:
3. Apply Bernoulli’s equation
4. Find efficiency of draft tube
VAQ 






 fs
a
h
g
V
g
V
H
g
P
g
P
22
2
2
2
11

g
V
h
g
V
g
V
f
d
2
22
2
1
2
2
2
1








Prof.S.P.Atpadkar
ASSIGNMENT NO 7
1. Title - Use Of Any Software To Calculate Water Hammer Pressure
2. Description –
• When water flowing from a pipe is suddenly brought to rest by closing
the valve at instant it gives rise to increased pressure waves at that
section causing water hammer effect.
• Thus this phenomenon depends totally on time taken to close the
valve.
• This time is graphically represented (Pressure vs Time) & calculated
in the software.
Prof.S.P.Atpadkar
ASSIGNMENT NO 8
1. Title - Report Based On Visit To Any Micro/Small/Mega Hydropower
Project
Prof.S.P.Atpadkar

Hydropower engineering practical

  • 1.
    HYDROPOWER ENGINEERING Class –B.E.Civil Semester- VIII In Sem- 30 Marks End Sem- 70 Marks Termwork- 50 Marks PREPARED BY Prof. Sayali Atpadkar Prof.S.P.Atpadkar
  • 2.
    INTRODUCTION • Propelled bysustained economic growth and rise in income levels, India is poised t • Propelled by sustained economic growth and rise in income levels, India is poised to face significant increase in energy demand in the next few decades which also translates into higher demand for electricity. • The gap in the electricity demand-supply situation is highlighted by the fact that the country experienced energy deficit of 4.2% in FY 13-14 • Thus it has become important to focus on the efficiency of various plants, their load factors, demand factors etc. Prof.S.P.Atpadkar
  • 3.
    ASSIGNMENTS Assignment No. Title 1.Calculating the electricity bill of upper middle class family that uses various electrical appliances 2. Determination of power output for a run of river plant with and without pondage 3. Justification of economics of Pumped storage plants 4. Design of Kaplan / Francis / Pelton turbine 5. Design of surge tank 6. Design of straight conical draft tube 7. Use of any software to calculate water hammer pressure 8. Report based on visit to any micro/small/mega hydropower project Prof.S.P.Atpadkar
  • 4.
    ASSIGNMENT NO 1 1.TITLE : Calculating the electricity bill of upper middle class family that uses various electrical appliances 2. DESCRIPTION: • Monthly electricity bill calculation & Energy charge calculation is carried out using the present slab units & consumed appliances power in watts. 3. PROCEDURE : • Step I- Prepare AutoCAD plan showing all electrification details of any 2BHK room. • Step II- Calculate monthly electricity bill for 2 BHK room • Step III- Calculate Energy Charge for the above calculated electricity bill. Prof.S.P.Atpadkar
  • 5.
    ELECTRIC USAGE COST •Electric usage is calculated in kilowatt-hours. • A kilowatt-hour is 1000 watts used for one hour. 1. Volts*Amps = Watts 2. Watts / 1000 = Kilowatts (kW) 3. Kilowatts (kW) * Hours of use = Kilowatts Hours (kWh) 4. Kilowatts Hours (kWh) * kWh rate = Cost of usage Prof.S.P.Atpadkar
  • 6.
    • Step I-Prepare AutoCAD plan showing all electrification details of any 2BHK room. • Step II- Calculate monthly electricity bill for 2 BHK room. Appliance Quantity Consumption (Hrs/Day) Watt Watts-hr/Day Watts-hr/month Fan (Ceiling) 4 24 40 960 28800 Bulb 4 5 14 70 2100 Fridge 1 24 180 4320 129600 T.V (LED) 1 6 60 360 10800 Bell 1 0.016 14 0.224 6.72 Washing machine 1 1 400 400 12000 No. of watts No. of units Prof.S.P.Atpadkar
  • 7.
    • Step III-Calculate Energy Charge for the above calculated electricity bill. Slab No Slab Units Units Rate in Rs EC Rs 1 1-100 3.76 2 101-300 7.21 3 301-500 9.95 4 501-1000 11.31 5 >1000 12.5 Total EC Energy Charge Fix charge 50 FAC Charges rate as per month to month basis 5.62 Elec Duty @ 15% on EC, DC, FCA, ADDL Charge Total FAC (Fuel Adjustment Charge) or FCA (Fuel Cost Adjustment) or FPPCA (Fuel and Power Purchase Cost Adjustment) is amount that utilities apply on bills based on varying price of fuel or Coal. DC – Duty codeProf.S.P.Atpadkar
  • 8.
    Power Consumption ofDifferent Appliances Prof.S.P.Atpadkar
  • 9.
  • 10.
    ASSIGNMENT NO 2 1.TITLE: Determination of power output for a run of river plant with and without pondage. 2. DESCRIPTION: Numerical based on power output (Installed capacity of plant, Load factor, Utilization factor, Plant factor, Maximum demand etc. considering plant with & without pondage) 3. IMPORTANT FORMULAE: a) Electrical energy/power (P)= 9.81*ƞ*Q*H Prof.S.P.Atpadkar
  • 11.
    b) i) Loadfactor = ii) Annual load factor = c) Demand factor = d) Capacity factor/ Plant factor = periodthatduringloadpeak periodcertainaoverloadAverage 24*365*kw)indemandpower(Max produced(kwh)unitselectricalyearlyTotal loadConnected timeparticularanyatdemandMax capacityPlant time)ofperiodgivenOver(loadAverage Prof.S.P.Atpadkar
  • 12.
    e) Utilization Factor= f) Power Factor = availablepowerMaximum utilizedpowerMaximum (KVA)amperes-volt-kiloinpowerApparent (KW)kilowattsinpowerActual Prof.S.P.Atpadkar
  • 13.
    ASSIGNMENT NO 3 1.TITLE : Justification of economics of Pumped storage plants 2. DESCRIPTION : i. Pumped storage power plant is type of hydroelectric energy storage used by electric power systems for load balancing. ii. A pumped-storage plant works much like a conventional hydroelectric station, except the same water can be used over and over again. iii. In India Sardar Sarovar Dam in Gujarat is one of the plant with Pumped storage capability. Prof.S.P.Atpadkar
  • 14.
  • 15.
  • 16.
    • Castaic PowerPlant is a seven unit pumped-storage hydroelectric plant, operated by the Los Angeles Department of Water and Power, which provides peak load power from the falling water on the West Branch of the California State Aqueduct. Prof.S.P.Atpadkar
  • 17.
    • Sardar SarovarDam is a gravity dam on the Narmada river near Navagam , Gujarat in India. The dam's main power plant houses six 200 MW Francis pump turbines to generate electricity and include a pumped-storage capability Prof.S.P.Atpadkar
  • 18.
    3. ECONOMICS OFPSP • Pumped storage power generation is based on economics of – operation & availability of enough space capacity . • Converts low values off peak energy to high value. • Economic analysis – a) Cost estimate in real terms b) Simple sensitivity analysis 4. Components of PSP 1. Upper reservoir 2. Lower reservoir 3. Conduits 4. Surge tank 5. Penstock 6. Power house 7. Draft head Prof.S.P.Atpadkar
  • 19.
    ASSIGNMENT NO 4 1.TITLE : Design of Francis/ Kaplan/Pelton turbine 2. DESCRIPTION : • Hydraulic turbines may be defined as prime movers that transform the kinetic energy of the falling water into mechanical energy of rotation and whose primary function is to drive a electric generator • Hydraulic turbines transfer the energy from a flowing fluid to a rotating shaft. • Hydroelectric plants utilise the energy of water falling through a head that may vary from a few meters to 1500 or even 2000 m Prof.S.P.Atpadkar
  • 20.
    3. Classification ofhydraulic turbines : 1. Based on type on energy at inlet- a) Impulse turbine (Pelton Wheel) b) Reaction turbine (Francis Turbine, Kaplan Turbine) 2. Based on direction of flow through runner- a) Tangential flow turbine (Pelton Wheel) b) Radial flow turbine (Francis Turbine) c) Axial flow turbine (Kaplan Turbine) d) Mixed flow turbine ( Modern Francis Turbine) Prof.S.P.Atpadkar
  • 21.
    3. Based onhead of water – a) Low Head Turbine b) Medium Head Turbine c) High Head Turbine Prof.S.P.Atpadkar
  • 22.
    4. DESIGN OFPELTON TURBINE • The Pelton wheel is an impulse type water turbine invented by Lester Allan Pelton in the 1870s. Prof.S.P.Atpadkar
  • 23.
    1. Description ofPelton turbine : • The Pelton wheel extracts energy from the impulse of moving water • Pelton wheels are the preferred turbine for hydro-power, when the available water source has relatively high hydraulic head at low flow rates. • Pelton wheels are made in all sizes. 2. Design rules: • The specific speed is the main criterion for matching a specific hydro-electric site with the optimal turbine type. • It also allows a new turbine design to be scaled from an existing design of known performance. Prof.S.P.Atpadkar
  • 24.
    3. Design Steps: 1. Velocity of jet : 2. Velocity of wheel at inlet: 3. Overall efficiency : 4. Jet ratio: gHCV V 21  60 DN u           1000 P.W. P.S. HQg P o   d D m  Prof.S.P.Atpadkar
  • 25.
    5. Number ofbuckets on a runner: 5. Size of buckets: 1) Width of bucket= 2) Depth of bucket= d D z 2 15 d5 d2.1 Prof.S.P.Atpadkar
  • 26.
    ASSIGNMENT NO. 5 1.TITLE : Design of surge tank 2. DESCRIPTION : • Surge tank is a water storage device used as pressure neutralizer in hydropower water conveyance system to resists excess pressure rise and pressure drop conditions. • A surge tank is an additional storage space or reservoir fitted between the main storage reservoir and the power house (as close to the power house as possible) Prof.S.P.Atpadkar
  • 27.
  • 28.
    3. Functions ofSurge Tanks • It should Protects the conduit system from high internal pressures. • It should help the hydraulic turbine regarding its regulation characteristics. • It should store the water to raise the pressure in pressure drop conditions 4. Location of Surge Tanks •Surge tanks are located near to the power house to reduce length of penstocks. •No limitations regarding surge tank height. •Location at which flat sloped conduit and steep sloped penstock meets Prof.S.P.Atpadkar
  • 29.
    5. Types ofSurge Tanks •Simple surge tank •Gallery type surge tank •Inclined surge tank •Restricted orifice surge tank •Differential surge tank Prof.S.P.Atpadkar
  • 30.
    Simple surge tankInclined surge tank Prof.S.P.Atpadkar
  • 31.
    Restricted orifice surgetank Differential surge tank Prof.S.P.Atpadkar
  • 32.
  • 33.
    DESIGN STEPS • Needof surge tank – Most important phenomenon considered is Water Hammer Condition • Two important Cases considered- 1. Gradual closure of valve 2. Sudden closure of valve STEP I- Time taken to close the valve- Where, T – Required time taken by pressure wave L- Length of pipe C- Velocity of pressure wave C L T 2  Prof.S.P.Atpadkar
  • 34.
    CASE I –Gradual closure CASE II – Sudden closure STEP II – Calculate intensity of pressure wave produced (p)- Case I-Gradual closure of valve- C L T 2  C L T 2  T LV p   Prof.S.P.Atpadkar
  • 35.
    Case II- Suddenclosure of valve in rigid pipe- where C=velocity of pressure wave Case III- Sudden closure of valve in elastic pipe- CVp             K C Et D K VP   1  Prof.S.P.Atpadkar
  • 36.
    ASSIGNMENT NO 6 1.Title- Design of straight Conical Draft Tube 2. Description – • Draft tube is a conduit which connects the runner exit to the tail race where the water is being finally discharged from the turbine • It is a diffuser tube installed at exit of runner. Prof.S.P.Atpadkar
  • 37.
    Types of DraftTube 1. Conical diffuser or straight divergent tube- • Conical diffuser • Angle less than or equal to 10 degree • Prevent flow separation • Employed for low specific speed vertical shaft francis turbine • Efficiency 90% 2. Simple elbow type draft Tube- • Extended elbow • Cuts down cost of excavation • Efficiency 60% Prof.S.P.Atpadkar
  • 38.
    3. Elbow withvarying cross section- • Varying cross section bent parts • Rectangular outlet • Efficiency 60% - 80% 4. Hydracone or Moody spreading draft tube • Similar to conical draft tube • Solid central core provided avoids whirling • Used for vertical shaft turbines with large whirls • Efficiency is 85% Prof.S.P.Atpadkar
  • 39.
    TYPES OF DRAFTTUBEProf.S.P.Atpadkar
  • 40.
    CONICAL DIFFUSER /STRAIGHTDIVERGENT TUBE Prof.S.P.Atpadkar
  • 41.
  • 42.
    DESIGN STEPS- 1. Finddischarge (Q) 2. Find pressure head at inlet: 3. Apply Bernoulli’s equation 4. Find efficiency of draft tube VAQ         fs a h g V g V H g P g P 22 2 2 2 11  g V h g V g V f d 2 22 2 1 2 2 2 1         Prof.S.P.Atpadkar
  • 43.
    ASSIGNMENT NO 7 1.Title - Use Of Any Software To Calculate Water Hammer Pressure 2. Description – • When water flowing from a pipe is suddenly brought to rest by closing the valve at instant it gives rise to increased pressure waves at that section causing water hammer effect. • Thus this phenomenon depends totally on time taken to close the valve. • This time is graphically represented (Pressure vs Time) & calculated in the software. Prof.S.P.Atpadkar
  • 44.
    ASSIGNMENT NO 8 1.Title - Report Based On Visit To Any Micro/Small/Mega Hydropower Project Prof.S.P.Atpadkar