i
Note: Practice Personal Hygiene protocols at all times
5
English
Second Grading Period
LEARNING ACTIVITY SHEETS
ii
Note: Practice Personal Hygiene protocols at all times
Learning Activity Sheet in English
Grade 5
Copyright © 2020
DEPARTMENT OF EDUCATION
Regional Office No. 02 (Cagayan Valley)
Regional Government Center, Carig Sur, Tuguegarao City, 3500
“No copy of this material shall subsist in any work of the Government of the Philippines. However, prior approval
of the government agency or office wherein the work is created shall be necessary for exploitation of such work
for profit.”
This material has been developed for the implementation of K to 12 Curriculum through the Curriculum and
Learning Management Division (CLMD). It can be reproduced for educational purposes and the source must be
acknowledged. Derivatives of the work including creating an edited version, an enhancement of supplementary
work are permitted provided all original works are acknowledged and the copyright is attributed. No work may
be derived from this material for commercial purposes and profit.
Consultants:
Regional Director : ESTELA L. CARIÑO, EdD., CESO IV, DepEd R02
Assistant Regional Director : RHODA T. RAZON, EdD., CESO IV
Chief Education Supervisor, CLMD : OCTAVIO V. CABASAG, PhD
OIC, Schools Division Superintendent : EDUARDO C. ESCORPISO JR, EdD, CESO IV
OIC-Assistant Schools Division Superintendent : GEORGANN G. CARIASO
OIC-Chief Education Supervisor: : MARCIAL Y. NOGUERA
Development Team
Writers: ABIGAIL BALANOBA, T-I(BCS);LORAINE C. CABUGAO, T1 (UES); MICHAEL RYAN
B. CABUGAO, TIII (IES); ERMELYN S. CASTILLO, TIII (BCS); LUZVIMINDA T. CARI,
TIII(MES); MARY ANNE C. COBARIA, T1(BCS); KAITHLYN CORDEL, T1 (SVBS);
RHONA A. ESCALONA, TII, (BCS); FLORA C. HERNANDEZ, TIII (BCS); KATHERINE
L. HOSTALLERO, TII (BGCHS); EVANGELINE A. NANUD, MT1 (UES); JUANA C.
VILLANUEVA, MT1 (SCS); SHERWIN C. YDEL,TII (IIS)
Content &
Language Editor: CARMENCITA G. ADAMI, EPS(English); CLARISSA G. ASA, HT3(BNSHS); NELITA
B. SEBASTIAN, Principal(BGCHS); ELOISA B. DACUMOS-SDO Nueva Vizcaya;
LEIVY-ANN L. TURO-SDO Tuguegarao City; PAZ D. PINERA- SDO Cagayan
Illustrators: EDMUND E. DE LOS SANTOS, T1 (MNHS)
Layout Artists: EDMUND E. DE LOS SANTOS, T1 (MNHS)
Focal Persons: CARMENCITA G. ADAMI, Education Program Supervisor (English)
EVANGELINE D. CASTILLO, Education Program Supervisor-Learning Resource
RONNIE F. TEJANO, Education Program Supervisor-English, CLMD
RIZALINO G. CARONAN, EPS- Learning Resource Management, CLMD
Republic of the Philippines
Department of Education
REGION II – CAGAYAN VALLEY
COPYRIGHT PAGE
Printed by: Curriculum and Learning Management Division
DepEd, Carig Sur, Tuguegarao City
iii
Note: Practice Personal Hygiene protocols at all times
Table of Contents
Learning Competency Page Number
1. Compose clear and coherent sentences
using appropriate grammatical
Structures-Aspects of Verbs (EN5G- Ia-
3.3)
……………………… 1
2. Compose clear and coherent sentences
using appropriate grammatical
structures: aspects of verbs, modals
and conjunctions (EN5G-Ic-3.6)
……………………… 4
3. Compose clear and coherent sentences
using appropriate grammatical
structures: conjunctions (EN5G- Ie-8.3
or 8.4)
……………………… 9
4. Identify point of view
(EN5VC- IIa- 7.2) ……………………… 13
5. Determine images/ ideas that are
explicitly used to influence viewers:
Propaganda
(EN5VC - IIg - 7.3)
……………………… 17
6. Determine images/ ideas that are
explicitly used to influence viewers:
Point of View
(EN5VC-IIIg-7.3)
……………………… 23
7. Determine images/ideas that are
explicitly used to influence viewers:
Stereotypes, Point of View, propaganda
(EN5WC-llj-7.1-7.3)
……………………… 28
8. Distinguish among various types of
viewing materials
(EN5VC-Id-6)
……………………… 34
9. Distinguish among various types of
viewing materials
(EN5VC-Id-i6)
……………………… 35
iii
1
Note: Practice Personal Hygiene protocols at all times
ENGLISH 5
Name of Learner_________________________ Grade Level: _______________________
Section: _______________________________ Score: ____________________________
LEARNING ACTIVITY SHEET
Aspects of Verbs
Background Information for Learners
A verb is a word that expresses an action, describes an occurrence, or establishes a
state of being. Every sentence needs at least one verb, which is paired with the predicate. All
verbs have tense, aspect and mood.
Verb Tense – Tense indicates when the action expressed by a verb takes place.
1. Simple aspects of verbs are:
Present Tense- expresses unchanging actions and states of being.
Example: I walk. She runs.
Past Tense – is used for actions that started and finished in the past.
Example: I walked. She walked.
Remember: If it is a regular verb just add -d or –ed to the base form of the verb.
Future tense- expresses an event that will happen in the future.
Example: I will walk. She will walk.
Remember: Just add the will or shall before the base form of the verb.
2. Perfect Tenses are:
Past Perfect- Use had/have paired with the past participle form of the verb.
Example: We had left before the stadium gets crowded.
Don’t worry; Elmer had already ruined the surprise.
Present Perfect – Use has/have paired with the past participle form of the verb.
Example: Omar has finished his dinner.
Laura and Tommy have arranged the wedding.
Future Perfect – Use will have paired with the past participle form of the verb.
Example: They will have won over half their games by the end of the season.
3. Progressive form of the verb expresses continuous actions that happen over a period of
time. It is paired with the main verb ending in –ing. The three progressive forms are:
Past Progressive – Use was/were paired with the main verb ending in –ing.
Example: She was always saying stuff like that.
I was running late all morning.
Present Progressive –the main verb is paired with the present tense of the verb; is/are is used
to show that the action is happening currently.
Example: Phil is running around the block.
Are you enjoying your snacks?
Future Progressive - the main verb is paired with the future tense of the verb; will be is used
to show that the action will begin in the future.
Example: I will be heading home around nine o'clock.
He will be travelling in Batanes later this year.
2
Note: Practice Personal Hygiene protocols at all times
Learning Competency with Code
Compose clear and coherent sentences using appropriate grammatical structures-Aspects of
Verbs (EN5G- Ia-3.3)
Activity 1
Directions: Read the sentences. Then write if it is in the present, past or future tense of the
verb on the space provided.
1. Daniel will choose a baseball bat. ___________________
2. He steps up to the plate. ___________________________
3. The pitcher tossed the ball. _________________________
4. The ball flies through the air. _______________________
5. Daniel runs around the bases. _______________________
Activity 2
Directions: Complete each sentence by writing the simple tense of the verb in parentheses.
1. Carolyn and her father ______ (toast) their tuna sandwiches a while ago.
2. Daniella ______ (grab) her racket on her way out of the house.
3. Her father _______ (wash) her soccer jersey tomorrow.
4. The famous chef ______ (appear) on the television cook show tomorrow.
5. The dog _______ (bury) its bone in the backyard yesterday.
Activity 3
Directions: Write if the verb tense is past perfect, present perfect or future perfect on the
blank provided.
_______________1. My Mom has cooked dinner every night this week.
_______________2. The mouse had eaten all the cheese in the trap.
_______________3. My principal will have given two speeches before the end of the school
day.
_______________4. The dog and the cat have sprinted around the yard all day long.
________________5. We will have taken the test before we go outside for recess.
Activity 4
Directions: Complete the sentence with the correct perfect tense of the verb. Number 1 is
already done for you.
1. My parents have seen (see) this movie two times at the cinema.
2. My brother _________ (eat) the cake before I had a chance to get a bite.
3. Before we move to the new house, we ______________ (pack) all of our clothes.
4. The lawyer _________ (say) that we can tour her office anytime we want.
5. I hope you ____________ (complete) your report by then.
Activity 5
Directions: Fill in the spaces with the correct form of the verb in present progressive form.
Example I (play) ___________ the piano now
Answer: I am playing the piano now.
1. You (play) ___________ the guitar now.
2. We (play ____________ violin now.
3. They (play) __________ harp now.
4. She (play) ___________ the flute now.
3
Note: Practice Personal Hygiene protocols at all times
Activity 6
Directions: Please refer to Activity 5. Rewrite the sentences using the future progressive
form; this exercise uses the question or command format. Choose only one format.
Example: I (play) ___________ the piano now
Answer: I will be playing the piano now. or Will I be playing the piano now?
1. _____________________________________________________________
2. _____________________________________________________________
3______________________________________________________________
4. _____________________________________________________________
Reflection
I have learned in this activity that _______________________________________________
__________________________________________________________________________
__________________________________________________________________________
__________________________________________________________________________.
References
www. K5learning. com
www. boundless writing verb. com
www. engforeveroneorg.com
Answer Key
Activity 1 Activity 2 Activity 3 Activity 4
1. future tense
2. present tense
3. past tense
4. present tense
5. future tense
1. toast
2. grabbed
3. will wash
4. will appear
5. buried
1. present perfect
2. past perfect
3. future perfect
4. past perfect
5. future perfect
1. have seen.
2. has eaten.
3. have packed
4. has said
5. will have completed
Activity 5
1. are playing
2. are playing
3. are playing
4. is playing
Activity 6
1. You will be playing the guitar now. Or Will you be playing the guitar now?
2. We will be playing violin now. Or Will they be playing violin now?
3. They will be playing harp now. Or Will they be playing the harp now?
4. She will be playing the flute now. Or Will she be playing the flute now?
Prepared by:
MARY ANNE COBARIA
Writer
4
Note: Practice Personal Hygiene protocols at all times
ENGLISH 5
Name of Learner: ______________________ Grade Level:______________________
Section:______________________________ Score:____________________________
LEARNING ACTIVITY SHEET
Modals
Background Information for Learners
Modals indicate the mood of the verb. Mood refers to the form of a verb telling that
the speaker regards what he or she is saying as a fact, possibility or desire, or a command.
Modals may be single words or phrases as in:
auxiliary modal phrasal modal
may, might be allowed to, be permitted to
must have to, have got to
can, could be able to
would (past habit) used to
should, ought to be to, be supposed to
will, shall be going to, be about to
Modals may be used for making two kinds of requests:
Request of general nature
Example: Will you help me with this experiment?
Would you help me with this experiment?
Can you buy the tickets for me?
Could you buy the tickets for me?
Specific requests for permission
Example: May I leave the room now?
Can I borrow your dictionary?
Could I turn on the fan?
In making requests, general or specific, you use the modals may/might, can/could, and will/
would. might, could, and would. These modals are considered more polite because they
“soften” the request.
Learning Competency with Code
Compose clear and coherent sentences using appropriate grammatical structures: aspects of
verbs, modals and conjunctions (EN5G-Ic-3.6)
5
Note: Practice Personal Hygiene protocols at all times
Activity 1
Directions: Underline the modal verb used in each sentence below.
Example: I could find out my test score next week.
1. She can speak five different languages.
2. Ronald might not attend to the meeting.
3. I can play guitar.
4. You should stop smoking because it is bad for your health.
5. May I borrow your pencil?
6. My brother can play basketball very well.
7. You must go now.
8. Can you help me lift the table?
9. Would you bring me a glass of water?
10. Could I turn on the television?
Activity 2
Directions: Read the following conversations then encircle all modals for making requests.
Example: Carlo: May I go out of the classroom for moment?
Jonnie: Yes, you may.
Ghing: May I borrow your umbrella?
Gail: Sure you may.
Marc: Would you help me prepare the parlour games for tomorrow’s event?
Mercy: Yes, it would be my pleasure.
Sheila: Will you help me bring these books to the library?
Glady Ann: I’m sorry but I can’t do it now.
Chell: Can I use these flower pots you brought?
Aisa: Yes, you can.
Ali: Hi, you must be the new office worker. Let me know if you need anything?
Ann: Thanks. Could you show me the filing cabinet?
Ali: Certainly, it’s right over here.
Activity 3
Directions: Use the appropriate cues from the box to complete these requests. Use please
when possible.
1. Can you ___________________________ It’s hot inside the room.
2. Would you _________________________ It’s dark here.
3. Will you ___________________________ We have nothing left.
4. Could you __________________________Ms. Jennilyn is in another call right now.
5. Would you _________________________ There’s too much noise in the hall.
buy some rice call back later turn on the fan
send these documents shut the door turn on the lights
6
Note: Practice Personal Hygiene protocols at all times
Activity 4
Directions: Complete the following sentences by using modals for making requests-
can/could, and will/ would.
1. _______ you open your mouth please?
2. _____ you bring us a glass of water please.
3. _____ you marry me?
4. ____ you pass the salt?
5. ____ you pour me some more tea?
Activity 5
Directions: Read the sentences carefully and choose the correct modal to complete each
sentence. Write the word of your answer on the space provided.
1. It’s raining, you ________ take an umbrella with you.
a. could b. must c. might
2. She ________ pay me the money.
a. must b. may c. would
3. Look! It’s going late, I _________ to go home.
a. can b. would c. have
4. We __________ stay at home this time of pandemic.
a. can b. must c. might
5. George ________ pay his electric bill today.
a. must b. have c. would
7
Note: Practice Personal Hygiene protocols at all times
Activity 6
Directions: Write sentences using modals for making request based on the given pictures
below.
Example: Could you please take me to the airport.
1. ____________________________________________________________
2.______________________________________________________________
3. _______________________________________________________________
4. ________________________________________________________________
5. ______________________________________________________________
Rubrics in sentence writing.
Needs
Improvement
Fair Good Excellent
Punctuation
Pupil uses accurate punctuation.
1 2 3 4
Capitalization
Pupil uses capital letters to begin sentences and
for proper nouns.
1 2 3 4
Grammar
Pupil uses subject /verb agreement and writes
complete sentences that make sense.
1 2 3 4
Content/Appropriate usage of Modals 1 2 3 4
Spelling
Pupil writes most sight words correctly and
applies spelling rules.
1 2 3 4
8
Note: Practice Personal Hygiene protocols at all times
Reflection
I have learned in this activity that______________________________________________
___________________________________________________________________________
___________________________________________________________________________
___________________________________________________________________________
___________________________________________________________________________
__________________________________________________________________________ .
References
Kristine Erika C. Castillo, Evelyn B. Angeles, Joy in Learning English 5 Textbook, Page 54-
56
Answer Key
Activity 1
1. can
2. might
3. can
4. should
5. may
6. can
7. must
8. can
9. would
10. could
Activity 2
1. May
2. Would
3. Will
4. Can
5. Must
6. Could
Activity 4
1. Will
2. Would
3. Will
4. Can
5. Could
Activity 5
1. A
2. A
3. C
4. B
5. A
Activity 3
1. Can you turn on the fan? It’s hot inside the room.
2. Would you turn on the lights? It’s dark in here.
3. Will you buy some rice? We have nothing left.
4. Could you call back later? Ms. Jennilyn is in another call right now.
5. Would you shut the door? There’s too much noise in the hall.
Activity 6
Possible answers.
1. Can you help me carry this load.
2. Will you segregate your trash.
3. Will you please keep quiet.
4. Could you please knock the door before entering.
5. Could you please stop driving when you see the traffic enforcer’s signal.
Prepared by:
ABIGAIL BALANOBA
Writer
9
Note: Practice Personal Hygiene protocols at all times
ENGLISH 5
Name of Learner: ___________________________ Grade Level: ___________________
Section: ___________________________ Score_________________________
LEARNING ACTIVITY SHEET
Conjunctions
Background Information for Learners
What are conjunctions? Conjunctions are words used to connect clauses or sentences
or to coordinate words with same clause. In this activity, coordinating and subordinating
conjunctions are tackled.
Coordinating conjunctions are the most popular category of conjunctions. They bring ideas
together. They can join words, phrases and clauses. To easily remember the coordinating
conjunctions, do not forget the acronym FANBOYS.
Conjunction Use Example
for Shows reason or
purpose
They buy purified water, for they do not drink tap water.
I go to the park every Sunday, for I long to see his face.
and Adds similar
items of ideas
I love the pool, and I also love to swim there.
I like to read, and I write faithfully in my journal every
night.
nor Connects non
contrasting
negatives ideas
People in the city do not drink tap water nor do they
recycle it.
I neither love nor hate to watch TV.
but Connects
contrasting ideas
or expectations
I swim every day, but I don’t on Saturdays.
Television is wonderful escape, but it interferes with my
writing.
or Connects
alternative ideas
or items
It rains in the afternoon, or it drizzles in the early morning.
Would you rather read a book or watch a good TV show?
yet Shows a contrast
or exceptions
They buy mineral water, yet they don’t drink it.
I always take a book to the beach, yet I never seem to turn
a single page.
so Shows a result
or consequences
Boil the tap water, so it will be safer to drink.
I like to read, so my grammar is always on point.
Subordinate Conjunction is a word that connects an independent clause to a dependent clause.
Independent Clauses Dependent clauses
His classmates would only be contented
with Buddy’s description
because, unlike Buddy, they had not yet visited
the zoo.
They could not even visit a zoo unless a generous sponsor would bring them
there.
Below are the commonly used subordinating conjunctions
10
Note: Practice Personal Hygiene protocols at all times
Subordinating
Conjunctions
Types of
relationship
Examples
as
because
in order that
since
that
reason
1. As there is no zoo here, let us go to Malabon.
2. Buddy’s classmates would only be contented with
Buddy’s vivid descriptions of the animals because they
had not yet visited the zoo.
3. Let us go to the zoo in the morning since that is the
best time to see all the animals.
although
even though
whereas
while
acknowledgement
and comparison
Although the zoo is not big, the animals live there
comfortably.
Even though zoos are said to be a second home for
animals, forest and their other natural habitats are still
better.
You can take pictures while you roam.
even if
if
unless
condition
Even zoos want to return the animals to their natural
habitats, the animals are not still safe from people who
want to kill and destroy them.
If my parents allow me, I will visit the largest zoo in the
world.
The extinction of animals will not unless we, people, let
the animals live in the wild and help in preserving their
habitats.
where
whenever place
I will sit on a bench where I can watch the eagles fly.
Whenever you go, always keep your feet planted on the
ground.
as long as
as soon as
before
once
until
when
while
time
We will walk around as long as we do not get tired.
Please, give me a call as soon as you get there.
Before it becomes too late, let us act now and save the
wildlife.
We will stay there until it gets dark.
Learning Competency with Code
Compose clear and coherent sentences using appropriate grammatical structures:
conjunctions (EN5G- Ie-8.3 or 8.4)
Activity 1
Directions: Fill in the blanks using the appropriate conjunctions and, but, or.
1. My dad _______ I are going to catch fish this afternoon.
2. Either we are going to win ________ they are going to win.
3. It doesn’t matter whether they get the job ________ not.
4. I ran after the cat, _________ could not catch it.
5. We played very well, _______we still lost the game.
11
Note: Practice Personal Hygiene protocols at all times
Activity 2
Directions: Complete the sentence with the correct coordinating conjunctions
1. I know the answer, _______ I can’t tell you.
2. Should we go by train, ________ take the bus?
3. I am allergic to cats, _____I have two of them.
4. She did not study, _______she failed the test.
5. I will be late for the party, ______ I will be having dinner with my parents.
6. Can you stay here, _______wait for him?
7. She does not like apples, _________ does she like oranges?
8. He has a small house, _____ it feels very spacious.
9. You can purchase with cash, ________you can use your credit card.
10. He was supposed to study, ________ he played games instead.
Activity 3
Directions: Complete each sentences using the subordinating conjunction from the
parenthesis. Write your answer on the space provided.
1. I visit the Valugan Boulder Beach ____________ I go to Batanes. (once, whenever,
wherever)
2. This is the place _________ we stayed last time we visited. (where, when, how)
3. ___________ you win first place, you will receive a prize. (when. never, if, unless)
4. You won’t pass the test ______ you study, (when, if, unless)
5. I could not get a set, ________ I came early. (as, though, when)
6. We are leaving on Wednesday _______ it will not rain. (if, whether, though)
7. Pay attention to work ________ you will not make mistakes. (so that, unless, or)
8. The musicians delivered a rousing performance ______ they had rehearsed often. (though,
as once)
9. She’s honest __________ everyone trusts her. (if, so, when)
10. Write this down _____ you forget. (or, when, lest)
Activity 4
Directions: Underline the subordinating conjunction in each sentence.
1. We went to the dinner after the movie, then we went home.
2. My sister decided to go to the dance rather than stay home for the evening.
3. Every year I try to stay up until midnight on New Year’s Eve.
4. Our dog barks whenever there is someone at the door.
5. Burt saved money so that he could buy a new game.
6. As they waited for the bus, the children told each other a joke.
7. Tara packed a bathing suit because there would be a pool at the hotel.
8. Since the team has won the championship, the players feel they can relax.
9. Please don’t leave the room until the teacher has given you permission.
10. If everyone is quiet, we will have time to play at the end of the class.
and or for nor yet so but
12
Note: Practice Personal Hygiene protocols at all times
Activity 5
Directions: Find the conjunction in each sentence and write it on the appropriate column.
Reflection
I have learned in this activity that________________________________________________
___________________________________________________________________________
___________________________________________________________________________
___________________________________________________________________________
___________________________________________________________________________
___________________________________________________________________________
References for Learners
Books
Joy in Learning English 5 Textbook copyright 2016 by Vibal Group, INC. pp.77-81
Rainbow in English 5 copyright 2015 by Vibal Group, INC. pp251-253
Internet website
www.scribd.com
www.pinterest.com
Answer Key
Activity 1 Activity 2 Activity 3
1. and
2. or
3. or
4. but
5 .but
1. but 6. or
2. or 7. and
3. yet 8. yet
4. so 9. or
5. for 10. but
1. whenever 6. whether
2. where 7. so that
3. if 8. as
4. unless 9. so
5. though 10. Lest
Activity 4 Activity 5
1. then. 6. for
2. for 7. because
3. until 8. since
4. whenever. 9. until
5. so that 10. if
1. and - coordinating
2. although -subordinating
3. but -coordinating
4. while -subordinating
5. but - coordinating
6. and -coordinating
7. but -coordinating
8. although -subordinating
9. because -coordinating
10. so - coordinating
Coordinating Subordinating
1. Jack painted the bathroom and the hallway.
2. Although the car was new, it did not work well.
3. Sam loves to read, but it is hard for him.
4. I carved a pumpkin while my sister made her costume.
5. The pitcher thought it was a strike, but the umpire
thought it was a ball.
6. My pen ran out, and I have to finish the test.
7. Dance is her favorite, but she is better on sport.
8. The playground was built, although it isn’t very safe.
9. I can’t go to school today because I’m not feeling well.
10. He hit a homerun, so they won the game.
Prepared by:
ERMELYN CASTILLO
Writer
13
Note: Practice Personal Hygiene protocols at all times
Me she he my I they
we you him mine her them
ENGLISH 5
Name of Learner:___________________ Grade Level:______________________
Section:___________________________ Score:___________________________
LEARNING ACTIVITY SHEET
Identifying Point of View
Background Information for Learners
In a narrative, the point of view is the perspective a story is told from. And this
depends upon who is telling the story.
Three (3) main types of point of view:
First-person point of view is when the narrator (the one who tells the story) is talking about
himself or herself, and is also a main character of the story. First-person stories use first-
person pronouns like I, me, my, we, our and us.
Example: I was sad. I felt nervous. I didn’t want to tell mom that I broke the
window in my room.
Second-person point of view is used when the narrator is talking directly to the reader using
the pronouns you and your.
Example: You were sad. You felt nervous. You didn’t want to tell your mom that
you broke the window in your room.
When a story is told in third-person point of view, the narrator is not in the story and talks
about other persons. Stories told in third-person use third-person pronouns like he, she, his,
her, their and it.
Example: He was sad. He felt nervous. He didn’t want to tell his mom that he
broke the window in his room.
Take note:
The second-person point of view is rarely used in stories.
Learning Competency with Code
Identify point of view (Quarter 2, Week 1) (EN5VC- IIa- 7.2)
Activity 1
Directions: Write the clue words in the table where they belong.
First-person Second-person Third-person
14
Note: Practice Personal Hygiene protocols at all times
Activity 2
Directions: Determine from what point of view the passage is narrated. Write your answers
in the spaces provided.
1. I looked around me in delight. Flowers, flowers, everywhere! I would definitely be
able to take a picture of a butterfly here. With this picture, I could win the school photo
contest.
Point of view: _________________________________
2. Lara looked glumly around the pond. It wasn’t a fun beach or an exciting theme park.
She wondered if the entire vacation would be this boring. “Isn’t the pond gorgeous?” Mom
asked. Lara frowned. She didn’t think so.
Point of view: _________________________________
3. You stare at the distant horizon. There-off in the distance- could it be real? You can’t
believe your eyes. You are looking at a real UFO!
Point of view: _________________________________
Activity 3
Directions: Read and identify the pronoun used in the following paragraphs. Write the
pronoun and tell the point of view. Write your answer on the space provided below each
number.
1. Congratulations on purchasing Foo-Bar Brawn Bars. Foo- Bar Brawn Bars will give
you a full day’s worth of nutrition in a single bite-sized bar. You are going to love Foo-Bar
Brand Brawn Bars if you follow these precautions. Do not eat Foo-Bar Brawn Bar
before swimming or your stomach may explode. Do not eat Foo-Bar Brawn Bar while
drinking soda or your stomach may explode. Do not eat Foo-Bar Brawn Bar while or
during jogging or your stomach may explode. You are going to love the explosive
power of Foo Bar Bars.
Answer: __________________________ __________________________
Pronoun Point of view
2. Cindy got her test back and started crying immediately. It was just a C. Her mother
would never stand for Cs. She felt disappointed. She knew that she would be in big trouble.
Then Jen got her test back. Jen cheered. She got a C. Her mother would be so proud. Jen had
studied hard for the test and she was satisfied with the results. She felt proud.
A
Answer: __________________________ __________________________
Pronoun Point of view
Activity 4
Directions: Complete the paragraph below by writing the appropriate pronoun in the third
person. Write your answer on the blanks.
The lemon drop prince admired the land of candy from (1) ______ butterscotch
balcony. (2) _____ gazed. Across the ginger ale river but stopped when (3) _____ saw the
most beautiful girl (4) _________had ever seen. (5) _______heart beat wildly. “ I must marry
(6) ________,”he thought to himself. The girl was Lila Licorice. (7) ______ was very sweet,
but not everyone liked her. Some people thought (8) ______was gross. Lila was combing
(9) _____ curly hair and dreaming of wearing a beautiful, candy shell dress to the Buttercup
Ball. Little did she know that her dreams were about to come true.
15
Note: Practice Personal Hygiene protocols at all times
Activity 5
Directions: Read each sentence. On the blank provided, write if it is first, second or third
person point of view.
______________________ 1. You should tell me the truth.
______________________ 2. Susan knows the way home
______________________ 3. I will go to the field tomorrow.
______________________ 4. He saw an alligator in the swamp.
______________________ 5. She is one of my best friends.
______________________ 6. Michael will go to the basketball game.
______________________ 7. Can you tell me your name?
______________________ 8. I am ready to graduate from elementary.
______________________ 9. They are ready for the game.
______________________ 10. Do you know the final score?
Activity 6
Directions: Rewrite the following sentences into Second Person and Third Person point of
view.
1. I will attend the mass on Sunday.
Second Person: ________________________________________________.
Third Person: ________________________________________________.
2. I will study more so my parents will be proud of me.
Second Person: ________________________________________________.
Third Person: ________________________________________________.
3. My father loves to watch car racing in television.
Second Person: ________________________________________________.
Third Person: ________________________________________________.
Reflection
I have learned in this activity that________________________________________________
___________________________________________________________________________
___________________________________________________________________________
References
Books
Bambico, A.R, Galapon, A.P, Relente, C.A, Angeles E. (2015) Rainbows in English Grade 5
Vibal Group Inc. page 93
Joy in Learning English 5 copyright 2016 by Vibal Group Inc. pages 89-91
Internet website
https://www.slideshare.com/emilykissner/pointofview
www.ereadingworksheets.com
www.bath.k12.ky.us
https://www.k12reader.com
https://www.ereadingworksheet.com
https://www.bath.ky.us
https://englishlinx.com
16
Note: Practice Personal Hygiene protocols at all times
Answer Key
Activity 1
First-person Second-person Third-person
me you she
my he
I they
we him
mine them
her
Activity 2 Activity 3
1. first-person point of view
2. third- person point of view
3. second-person point of view
1. you, your Second Person
2. she, her Third Person
Activity 4 Activity 5
1. his
2. he
3. he
4. he
5. his
6. her
7. she
8. she
9. her
1. Second Person
2. Third Person
3. First Person
4. Third Person
5. Third Person
6. Third Person
7. Second Person
8. First Person
9. Third Person
10. Second Person
Activity 6
1. I will attend the mass on Sunday.
Second Person: You will attend the mass on Sunday.
Third Person: He/She will attend the mass on Sunday.
2. I will study well so that my parents will be proud of me.
Second Person: You will study well so that your parents will be proud of you.
Third Person: He/She will study more so that his/her parents will be proud of him/her.
3. My father loves to watch car racing on television.
Second Person: Your father loves to watch car racing on television.
Third Person: His/Her father loves to watch car racing on television.
Prepared by:
LUZVIMINDA T. CARI FLORA HERNANDEZ RHONA A. ESCALONA
Writer Writer Writer
17
Note: Practice Personal Hygiene protocols at all times
ENGLISH 5
Name of Learner: _________________________ Grade Level : ______________
Section :__________________________ Score : ______________
LEARNING ACTIVITY SHEET
Images/Ideas That Influences Viewers: Propaganda
Background Information for Learners
Propaganda is a form of communication aimed for promoting or demoting certain views,
perceptions or agenda. Commercials or advertisements - be it a TV commercial or radio
commercial- are some of the most powerful tools used to create and shape ideas or opinions
of people. Political and print advertisements like posters on tarpaulins or billboards,
brochures, flyers etc. are propaganda with their own purpose.
TYPES OF PROPAGANDA
1. Card Stacking
This is a propaganda technique where misleading or an unproved statistics are
used to convince the audience, to let them believe that it is a fact. It is a way of
manipulating information so that one product looks better than the other. This is
often done by leaving out the important facts or by comparing evidence in an
unfair manner.
Example: Jollibee Fried Chicken or known as the Jollibee Chicken Joy is being
compared with other fried chickens where Jollibee Chicken Joy looks
better that the other: or, Tide Detergent powder is sided with brand X
of detergent powders and Tide comes better because it was added with
the Downy fabric conditioner.
2. Testimonial
This is a very popular and string way used by companies to endorse their
products. It is an advertising technique wherein a famous person recommends or
endorses a product or service and says the big value of such for him or her.
Example: Mayor Koko of Manila endorses Lucky Me Products as if he really
eats the products; or Senator Manny endorses Alaxan FR Capsule.
3. Transfer
A technique used in advertising also known as association that shows positive
or negative qualities of a person, entity, object or value to another in order to
make a second or the other more acceptable or to discredit it.
Example: Alden Richards, a famous actor of GMA Kapuso Network serves as a
model of Avon products so as to attract buyers to buy such; or
President Rodrigo Duterte wears an army hat and jackets carrying a
machine gun and dares every Juan to join the fight against terrorism;
or the Face of Jesus is made to endorse Sprite as if He says, “Obey
your thirst, Drink Sprite, Obey your thirst for goodness, seek and
follow me”.
18
Note: Practice Personal Hygiene protocols at all times
4. Glittering Generalities
This is a propaganda that uses emotionally appealing thought or phrase so
closely related or associated with highly valued and accepted concepts and
beliefs that it carries conviction without supporting the information or reason,
just to attract or get general approval or claim by the people.
Example: President Donald Trump and President Rodrigo Duterte both says
“Yes we can Do It, we can fight COVID-19”, so the people will also
say if they can do it then we can do it; or, when Coca-Cola says,
“Open Happiness, Open Goodness, Open Coca-Cola”; or when
Sharon Cuneta-Pangilinan says in her Lucky Me noodles
advertisement “Tikman ang sarap ng pagkain kasama ang pamilya,
tikman ang Lucky Me noodles, Sarap na may pagmamahal”
5. Plain folks
This propaganda attempts or tries to convince the audience that they, and their
ideas are alike and “of the people”. This propaganda is usually used by
politicians when campaigning and is also known as political advertisement.
Example: Former Senator Mar says in his political ads recently when he run for
the senatorial race “Ramdam ko kayo, nanggaling din ako sa mahirap
na pamilya”; or when former Vice-President Jejomar said “Sino pa
ba ang magtutulungan kung hindi tayo - tayo lang” ; or when
President Rodrigo Duterte said during the campaign period when he
run for Presidency “My God, I hate Drugs, I love my people and I
love my country”.
6. Bandwagon
This is a propaganda which tries to get the attention and emotion of the audience
or the people to influence their opinions and behaviours. This is common when
you want people to “jump of the board” and be part of such because everyone is
doing it.
Example: Joy Dishwashing liquids tells you that it’s the best dishwashing liquid
for it can wipe out “matinding sebo sa isang hugasan” in its famous
line “isang patak, bisang katutak”; or, Colgate Total care toothpaste
gives you a 100% protection against gingivitis’ or, safeguard bath
soap gives you 99.9% germ protection.
7. Name Calling
This is a propaganda that is used to downgrade or create fear and arouse
prejudice by using negative words. It is also used to create negative or
unfavorable opinion of a competing product, group or idea. Name calling is used
in place of arguing on the good points of an idea, belief or proposal.
Example: The Face of President Donald Trump is being stumped with the
slogan, “The International Terrorist”; or, President Rodrigo Duterte is
oftentimes called “The second Marcos”; or, corrupt government
officials are often called “mga buwaya sa lipunan”.
Always remember that the purpose of propaganda is to benefit or help the sponsor.
Learning Competency with Code
➢ Determine images/ ideas that are explicitly used to influence viewers: Propaganda
(EN5VC - IIg - 7.3)
19
Note: Practice Personal Hygiene protocols at all times
PROCESS TO ASSESS: Do or process the following activities to test or assess your
knowledge and enrich what you have learned about the lesson/ topic on propaganda.
Activity 1: DO YOU KNOW ME . . .
Directions: Look closely and analyze the following pictures and identify what type of
propaganda is shown. Encircled words, phrase or pictures serve as clues. Write your answer
on the space provided in each number.
1. 2.
_______________________________ _____________________________
3. 4.
_____________________________ _____________________________
5.
____________________________
20
Note: Practice Personal Hygiene protocols at all times
Activity 2: YOU’RE A KIND OF A . . .
Directions: Read and analyze the following short situation and identify or classify what kind
of propaganda do each underlined phrase or statement fall. Choose from the words inside the
box. Write your answer in the blanks provided.
Political advertisement TV advertisement Radio Advertisement
Brochure Billboard Flyer
1. Mayor Crisanto dela Cruz is speaking in front of thousands of people because he has
filed his candidacy for the Senatorial race in the coming local and national elections.
___________________________
2. Mia, a local tourist is reading a travel guide given to her by her Ivatan tour guides
for her to be informed about something the things she need to know and for her also
to know where to go and what to do prior to her tour.
_____________________________
3. Sonny is an employee of the provincial capitol and while he is on his way to the
office, he saw a group of people hanging a big image of Ding Dong Dantes and
Marian Rivera endorsing Nike Products printed in a big tarpaulin posted in a high
rising building like structure.
_____________________________
4. Billy loves to watch the advertisement of Selecta Cornetto ice cream shown or aired
every now and then on their TV screen.
_____________________________
5. Jimmy does not have television at home. He has only a radio for him to listen to his
favorite drama and McDo chicken advertisement.
____________________________
21
Note: Practice Personal Hygiene protocols at all times
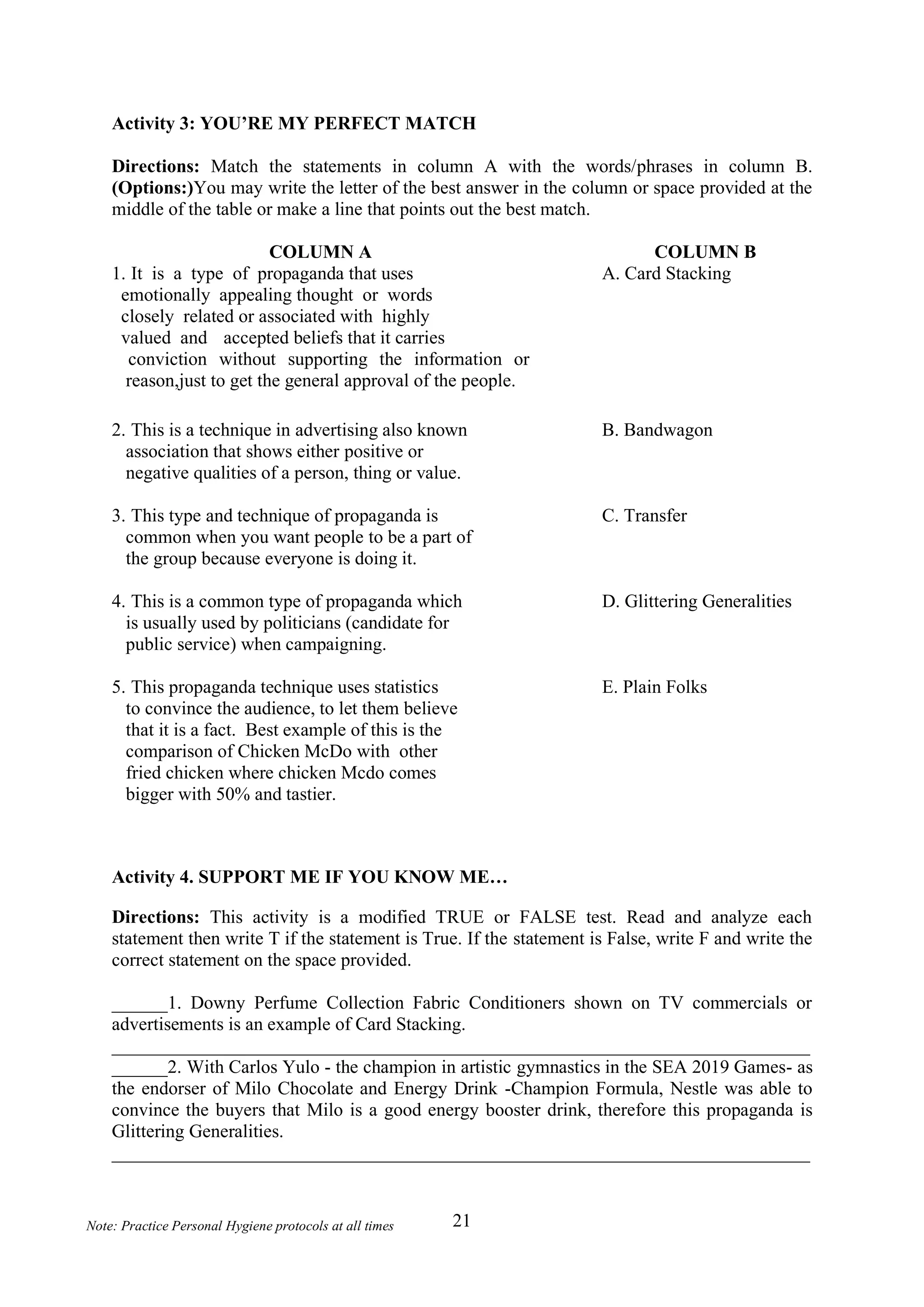
Activity 3: YOU’RE MY PERFECT MATCH
Directions: Match the statements in column A with the words/phrases in column B.
(Options:)You may write the letter of the best answer in the column or space provided at the
middle of the table or make a line that points out the best match.
COLUMN A COLUMN B
1. It is a type of propaganda that uses
emotionally appealing thought or words
closely related or associated with highly
valued and accepted beliefs that it carries
conviction without supporting the information or
reason,just to get the general approval of the people.
A. Card Stacking
2. This is a technique in advertising also known
association that shows either positive or
negative qualities of a person, thing or value.
B. Bandwagon
3. This type and technique of propaganda is
common when you want people to be a part of
the group because everyone is doing it.
C. Transfer
4. This is a common type of propaganda which
is usually used by politicians (candidate for
public service) when campaigning.
D. Glittering Generalities
5. This propaganda technique uses statistics
to convince the audience, to let them believe
that it is a fact. Best example of this is the
comparison of Chicken McDo with other
fried chicken where chicken Mcdo comes
bigger with 50% and tastier.
E. Plain Folks
Activity 4. SUPPORT ME IF YOU KNOW ME…
Directions: This activity is a modified TRUE or FALSE test. Read and analyze each
statement then write T if the statement is True. If the statement is False, write F and write the
correct statement on the space provided.
______1. Downy Perfume Collection Fabric Conditioners shown on TV commercials or
advertisements is an example of Card Stacking.
___________________________________________________________________________
______2. With Carlos Yulo - the champion in artistic gymnastics in the SEA 2019 Games- as
the endorser of Milo Chocolate and Energy Drink -Champion Formula, Nestle was able to
convince the buyers that Milo is a good energy booster drink, therefore this propaganda is
Glittering Generalities.
___________________________________________________________________________
22
Note: Practice Personal Hygiene protocols at all times
______3. Transfer is the propaganda used by DOH Secretary Francisco Duque III when he
says, “We can Fight COVID-19, We can DOH it, We heal as One”.
___________________________________________________________________________
______4. It is a Name Calling propaganda when advertisers use the face of Senator Chiko
Manaloto with the slogan “Ang Hari ng mga Buwaya”.
___________________________________________________________________________
______5. Ms. Maria Santisima is campaigning for presidency in their department. To get the
sympathy of her colleagues, he speaks very emotionally as if she feels very much what her
colleagues feel. In this way, Ms. Santisima used plain folks as propaganda.
___________________________________________________________________________
Reflection
Complete this statement
I have learned in this activity that ______________________________________________________
___________________________________________________________________________
___________________________________________________________________________
___________________________________________________________________________
___________________________________________________________________________
__________________________________________________________________________.
References
Google search at the following sites/links
https://www.scribd.com
https://www.study.com
https://visme.co
julienchloefoodpropagandahaha.weebly.com
https://study.com>academy>cardstacking
Answer Key
Activity 1
1. Political
2. Advertisement
3. Brochure
4. Billboard
5. TV Advertisement
6. Radio Advertisement
Activity 2
1.Glittering Generalities
2. Association
3. “jump of the board”
4. Plain Folks
5.misleading or
unapproved
Activity 3:
1. Card Stacking
2. Bandwagon
3. Plain Folks
4. Testimonial
5. Card Stacking
Activity 4: Justifications may vary
1. False (Bandwagon)
2. True
3. False (Glittering Generalities)
4. True
5. True
Prepared by:
SHERWIN C. YDEL
LORAINE C. CABUGAO
Writers
23
Note: Practice Personal Hygiene protocols at all times
ENGLISH 5
Name of Learner:______________________________ Grade Level:______________
Section:______________________________________ Date:__________________
LEARNING ACTIVITY SHEET
Images/Ideas That Influence Viewers: Point of View
Background Information for Learners
Point of view refers to who is telling or narrating a story. The author chooses “who” is
to tell the story. Depending on who the narrator is, he/she will be standing at one point and
seeing the action. This viewpoint will give the narrator a partial or whole view of events as
they happen. A story can be told in three different ways: first person, second person, and
third person.
First person is used when the main character is telling the story and uses the
pronoun "I". In second person, the narrator is speaking to you and uses the pronoun “You”.
It can allow you to draw your readers into the story and make them feel like they’re part of
the action because the narrator is speaking directly to them. The last type of point of view
which is the third person is used when your narrator is not a character in the story.
Third person uses the pronouns "he/she/it" and it is the most commonly used point of
view in writing.
Learning Competency with Code
Determine images / ideas that are explicitly used to influence viewers: Point of View
(EN5VC-IIIg-7.3)
24
Note: Practice Personal Hygiene protocols at all times
Activity 1.
Directions: Read the following sentences. Then, identify and write which point of view it is
written from.
Example: Jasper bought some fruits from the market.
Answer: Jasper – third person point of view
1. You are a good volleyball player.
__________ - _______________________
2. John gave me an expensive pen.
__________ - _______________________
3. My father is a retired policeman.
__________ - _______________________
4. He researched on the effects of climate change.
__________ - _______________________
5. We discussed how to eradicate malnutrition.
__________ - _______________________
6. They were given enough school supplies and they loved it.
__________ - _______________________
7. Finally, we are allowed to go out after being quarantined.
__________ - _______________________
8. Her friend gave her a piece of advice.
__________ - _______________________
9. The LGUs always remind people to wear face masks.
__________ - _______________________
10. It is such a great responsibility to be part of the Inter-Agency Task Force.
__________ - _______________________
25
Note: Practice Personal Hygiene protocols at all times
Activity 2:
Directions: Study each picture carefully. Identify what point of view is evident and write if it
reflects First Person, Second person or Third person.
1. Looking at the pool Mr. Ydel said, “It's not deep.ˮ
2. When Totoy jumped in, he shouted, “It's deep.ˮ
3. The roads are clean and wide; we enjoyed visiting the islands.
4. Father told his little son: “See how the fishes swim with the wavesˮ.
5. Mang Ramon and his son enjoyed watching the waves while crossing the seas.
26
Note: Practice Personal Hygiene protocols at all times
Activity 3
Directions: Read the excerpts and determine its point of view of each. Write your answers on
the space provided after each excerpt.
1. Lucy thought of going to the field to pick some camote tops for their lunch. While on
her way, she saw an old man who was busy picking firewood. The farmer was so old
that he could hardly walk on the four corners of his field. Lucy stopped for a moment
and tried to observe the old farmer. She noticed that the old man was alone and he had
a wound on his right foot that’s why he could hardly move. Seeing the old farmer in a
difficult situation, Lucy immediately went to him and introduced herself. She a help.
The old farmer smiled at her and was so thankful to Lucy.
Answer: ____________________________________
2. It is midnight when you got the call. A crackly voice shouted over your radio.
“Officer down! Backup requested.” All of the other things that you were thinking
have left your mind. Your head was thumping. You arrived at the scene and got out of
the cruiser. The air was filled with the syncopated sounds of gunfire. You drew your
own weapon and crouched behind your squad car. You had no thoughts in your head.
The only thing guiding you was your training.
Answer: ____________________________________
3. The stars were burning brightly in the night sky. The evening breeze felt cool on my
skin. It was the last night of summer break and I was calm, oddly calm. It's not that I
was excited to go back to school. I wasn't. School is a lot of work for me. But I was
excited to see my friends again, and I knew that they would be there.
Answer: ____________________________________
4. Kelly took her seat in the airplane. There were three seats in her row and, to her
dismay, she was assigned to the seat at the middle. As the time of departure drew
closer, Kelly grew pleased that she was still sitting alone. "Maybe I'll get the whole
row to myself," Kelly said under her breath. Just then two tremendously large men
approached. "Excuse me, Miss. I have the inside seat." Kelly sighed. She knew where
the other person would be seated as well.
Answer: ____________________________________
5. The stage was bordered with colorful lights but otherwise dark, yet in the center was a
single spotlight, and in the center of that was microphone stand. I slowly walked
across the stage with my hands by my side. The crowd murmured. I grabbed the
microphone from the stand and cleared my throat. Then I held it a few inches from
my face and said, "Greetings, my fellow Thunder hawks. Are you ready to get excited
for the pep rally?" One guy clapped slowly.
Answer: ____________________________________
27
Note: Practice Personal Hygiene protocols at all times
Reflection
Complete this statement:
In this activity, I learned _______________________________________________________
___________________________________________________________________________
___________________________________________________________________________
___________________________________________________________________________
__________________________________________________________________________
References
Internet website/link:
http://literaryterms.net/point-of-view/
http://www.thebeginningwriter.com/2012/03/look-at-different-types-of-point-of.html
http://literaryterms.net/point-of-view/
https://www.google.com/search?source=hp&ei=txP8XqHjCJLmwQOS2KeQCw&q=Point+o
f+view+refers+to+who+is+telling+or+narrating+a+story.+A+story+can+be+told+in+three+d
ifferent+ways%3A+first+person%2C+second+person%2C+and+third+person.&oq=Point+of
+view+refers+to+who+is+telling+or+narrating+a+story.+A+story+can+be+told+in+three+di
fferent+ways%3A+first+person%2C+second+person%2C+and+third+person.&gs_lcp=CgZ
wc3ktYWIQA1C7xQRYu8UEYITNBGgAcAB4AIABAIgBAJIBAJgBAKABAqABAaoBB
2d3cy13aXo&sclient=psy-
ab&ved=0ahUKEwjhmtWenqvqAhUSc3AKHRLsCbIQ4dUDCAc&uact=5
https://www.ereadingworksheets.com/point-of-view/point-of-view-worksheets/
Answer Key
Activity 1
1. You - Second person point of view
2. John - Third person point of view
3. My - First person point of view
4. He - Third person point of view
5. We - First person point of view
6. They – Third person point of view
7. We – First person point of view
8. Her – Third person point of view
9. LGUs – Third person point of view
10. It - Third person point of view
Activity 2
1. Third person
2. First person
3. First person
4. Second person
5. Third person
Activity 3
1. Third person
2. Second person
3. First person
4. Third person
5. First person
Prepared by:
MICHAEL RYAN B. CABUGAO KATHERINE L. HOSTALLERO
Writer Writer
28
Note: Practice Personal Hygiene protocols at all times
ENGLISH 5
Name of Learner: __________________________ Grade Level:__________
Section: _____________________________ Date:_________________
LEARNING ACTIVITY SHEET
Images/Ideas Used to Influence Viewers: Stereotypes, Point of View,
Propagandas
Background Information for Learners
A stereotype is an over-generalized belief about a particular category of people. It is an
expectation that people might have about every person of a particular group. The type of
expectation can vary; it can be, for example, an expectation about the group's personality,
preferences, or ability. Stereotypes are generalized because one assumes that the stereotype is
true for each individual person in the category. While such generalizations may be useful
when making quick decisions, they may be erroneous when applied to particular individuals.
Stereotypes lead to social categorization, which is one of the reasons for prejudice attitudes,
and may arise for a number of reasons.
Point of view is what the character or narrator telling the story can see. The author
chooses “who” is telling the story by determining the point of view. It is important because it
helps the reader understand character’s feelings and actions.
Propaganda is communication that is used primarily to influence an audience and further
an agenda, which may not be objective and may be presenting facts selectively to encourage a
particular synthesis or perception. It presents information, especially of a biased or
misleading nature, used to promote or publicize a particular cause or point of view.
Learning Competency with code
Determine images/ideas that are explicitly used to influence viewers: Stereotypes, Point
of View, Propaganda (EN5VC-lllg-7.1-7.2)
29
Note: Practice Personal Hygiene protocols at all times
Activity 1
Directions: There are 3 pictures of actors and actresses from different countries.
Tell something you usually know about the people in the given countries.
1.
2.
3.
Name: Angelina Jolie
Work: Hollywood American Actress
Country: America
How do you categorize American people?
_______________________________________
_____________________________________
Name: Samuel L. Jackson
Work: Hollywood African Actor
Country: Africa
How do you categorize African people?
____________________________________
____________________________________
___
Name: Charice Pempengco
Work: Filipino Singer
Country: Philippines
How do you categorize Filipino people?
____________________________________
____________________________________
30
Note: Practice Personal Hygiene protocols at all times
Activity 2
Directions: Study the following pictures images or pictures. What ideas do they
present? Copy the letter of your answer.
1.
2.
3.
A. Mothers should prepare food
for the family.
B. Fathers welcome food
prepared by the mother.
C. Children are happy with food
prepared by the mother.
D. A family enjoys eating cakes
together.
A. Women hate working
B. Women can do men's work
C. Women dislike hard work
D. Women are good workers
A. Young women vs old women
B. White women vs black women
C. Christian women vs muslim
women
D. Poor women vs rich women
31
Note: Practice Personal Hygiene protocols at all times
4.
5.
Activity 3
Directions: The following images present different ideas to different viewers. Identify
whether they present Stereotypes, Point of View, or Propaganda.
1.
A. Men sit while women work.
B. Machines make work faster.
C. Go away when someone
works.
D. Women do the cleaning of
the house.
A. Dark-skinned kids are usually
disliked.
B. Dark-skinned kids are dull.
C. Dark-skinned kids are bullies.
D. Dark skinned kids are bright.
32
Note: Practice Personal Hygiene protocols at all times
2.
3.
4.
5. 5.
33
Note: Practice Personal Hygiene protocols at all times
Activity 4
Directions: Recall a soft drink or energy drink advertisement on television or a poster that
you always see. Write a short essay of what this advertisement wants you to do and how it
influences your way of thinking.
__________________________________________________________________________
__________________________________________________________________________
__________________________________________________________________________
__________________________________________________________________________
__________________________________________________________________________
__________________________________________________________________________
__________________________________________________________________________
__________________________________________________________________________
__________________________________________________________________________
__________________________________________________________________________
Rubric for scoring
Source: https://www .rcampus.com/rubricshowc.cfm?code=U66W43&sp=true
Reflection
Complete this statement:
I have learned in this activity that________________________________________________
___________________________________________________________________________
___________________________________________________________________________
___________________________________________________________________________
___________________________________________________________________________
___________________________________________________________________________
2POINTS
(CAPABLE)
3POINTS
(ACCOMPLISHED)
4POINTS
(EXPERT)
Quality of writing Piece had little
style or voice.
Gives some new
information but
poorly
organized.
Piece was written in
an interesting styles
and voice. Somewhat
informative and
organized.
Piece was written in an
extraordinary style and
voice. Very
informative and well-
organized.
Grammar, Usage and
Mechanics
A number of
spelling,
punctuation or
grammatical
errors.
Few spelling and
punctuation errors,
minor grammatical
errors
Virtually no spelling,
punctuation or
grammatical errors.
34
Note: Practice Personal Hygiene protocols at all times
References
https://www.bing.com/search?q=stereotypes+activity+s+heet&qs=n&form=QBRE
&sp=-1&ghc=1&pq=stereotypes+activity+s+heet&sc=0-
27&sk=&cvid=15617409C0804B07B26FD1EB104C2124
https://scotdec.org.uk/aadamsbairns/files/activities/unit5/activity5.1.1.html
https://www.bing.com/images/search?view=detailV2&ccid=5S%2BaIPrk&id=95B
6541CE6225751827FE31D0382D3C73B2FF1F0&thid=OIP.5S-
aIPrkeGdUDVBu2kSDjAHaFU&mediaurl=https%3A%2F%2Fwww.thoughtco.co
m%2Fthmb%2FPjp1Yq88Fvux4DWsOybKNHrZroM%3D%2F629x452%2Ffilter
s%3Afill(auto%2C1)%2Finformal-essay-rubric-
56a5633a5f9b58b7d0dc9e92.JPG&exph=452&expw=629&q=sample+rubrics+for
+essay+writing&simid=608053844343458093&ck=FCDB8FD36D0E474BE4DE8
B63E4ADD24F&selectedindex=1&ajaxhist=0&vt=0&eim=1,6
https://www.google.com/search?q=invictus&rlz=1C1CHBF_enPH876PH876&sxsr
f=ALeKk02ynbqVok0Sb8CiCkOZd_xBRynWfw:1594244432827&source=lnms&
tbm=isch&sa=X&ved=2ahUKEwi57emoz77qAhVhFqYKHSX0DJsQ_AUoAXoE
CB8QAw&biw=1280&bih=6
Answer Key
Activity 1: (Answers may vary)
1. Name: Angelina Jolie
American people __________________
2. Name: Samuel L. Jackson
African people are black skinned______
3. Name: Charice Pempenco
Filipinos are short__________________
Activity 2
1. C
2. B
3. B
4. D
5. A
Activity 3
1. Propaganda
2. Point of View
3. Stereotypes
4. Point of view
5. Propaganda
Activity 4: Answers vary
Prepared by:
KAITHLYN B. CORDEL
Writer
35
Note: Practice Personal Hygiene protocols at all times
ENGLISH 5
Name of Learner: __________________________ Grade Level:__________
Section: _________________________________ Date:_________________
LEARNING ACTIVITY SHEET
Various Types of Viewing Materials
Background Information
The term visual materials consist of a wide range of forms, including photographs,
cinema and video films, video tapes, paintings, drawings, cartoons, prints, designs, and three-
kinds of art such as sculpture and architecture.
It enhances your listening skills when you attend to nonverbal communication and
visual elements of performance, video, television, film, and multimedia presentations.
It also enhances your reading when you attend to visuals accompanying print (charts,
diagrams, illustrations specific textual techniques (layout, color, symbols) and the
assumptions, perspectives, and quality of a variety of media (photos, plays, and video)
(https://resources. library.lemonye.edu)
Let’s Read and Study
Types of viewing materials
1. Microsoft PowerPoint – most commonly used form of visual aid. If used well, it
can really help, if not, it can have the opposite effect
2. Overhead projector (OHP) slides transparencies – are displayed on the overhead
projector found very useful in most lecture rooms. The OHP projects and enlarges your slides
onto a screen or wall without requiring the lights to be dimmed
3. White/or black board- very useful to help explain the sequence of ideas or
routines particularly in the sciences.
Use to clarify your title or to record your key points as you introduce a presentation.
4. Paper Handouts - very useful. Use a handout if the information is too detailed to
fit on a slide or if you want your audience to have full record of your research.
5. Flip chart – a large pad of paper on a stand. It is a very useful and flexible way of
recording information during presentation. It can be pre-prepared.
6. Video (DVD of VHS) – a chance to show stimulating visual information. Use
video to bring movement, pictures, and sound in the presentation.
7. Artifacts or props – Use artifacts or props for actual hands on
Learning Competency with Code
Distinguish among various types of viewing materials (EN5VC-Id-6 )
36
Note: Practice Personal Hygiene protocols at all times
Activity 1
Directions: Match the picture of the viewing material to its name at the right. Write only the
letter of your answer.
1.
A. Flip chart
B. black board
2.
C. video
3.
D. power point
E. artifacts
4.
F. hand outs
5.
37
Note: Practice Personal Hygiene protocols at all times
Activity 2
Directions: Arrange the letters of the viewing material described and write your answer on
the space provided.
1. O D I V E – It brings movement, pictures and sound to your
presentation.
__________________
2. W O D H I R A T E B – It helps to explain and clarify key points in the
___________________ presentation
3. F A C L P T I H R – It is a pre-prepared large pad paper on a stand to record
___________________ information and help recap main points.
4. N E R I W O P P O T - It is the most commonly used form of viewing
___________________ material.
5. R A S C T F A T I - It can be seen and touched by everybody during the
lesson but needs care.
____________________
Activity 3
Directions: Read each question carefully. Encircle the letter of the correct answer.
1. What viewing material is used if the information is too detailed and you want your
audience to have a full record of it?
a. overhead projector
b. handouts
c. slides
d. video
2. Which of these visual materials is the most commonly used because it is easy to
prepare?
a. arte facts
b. flip charts
c. power point
d. white board
3. What best describes the black board as a type of viewing material?
a. large pad of paper with a stand
b. used to bring movement and sound
c. pupils can see and hold the object
d. used to record and clarify key points
4. Which is not true about overhead projectors?
a. projects and enlarges slides onto a screen
b. words and images can be written on a computer
c. can be given to pupils for them to read
d. short presentations written in slides
38
Note: Practice Personal Hygiene protocols at all times
5. This viewing material shows movement, pictures and sounds that motivates
viewers to learn information easier. What do you call this type of material?
a. power point
b. video
c. props
d. blackboard
Activity 4
Directions: Suppose your teacher says that the material is better than the second one, do you
agree or not? State your reason why you agree or not.
1. black board and white board- ________________________________________
_________________________________________________________________
2. power point and video- _____________________________________________
_________________________________________________________________
3. overhead projector and white board- ____________________________________
____________________________________________________________________
4. artifacts and power point -____________________________________________
____________________________________________________________________
5. flip chart and black board- _____________________________________________
___________________________________________________________________
Reflection
I have learned in this activity that________________________________________________
___________________________________________________________________________
___________________________________________________________________________
___________________________________________________________________________
___________________________________________________________________________
References
Internet website/link
(https://resources. library.lemonye.edu)
www.onestopenglish.com, 557577
https://www.pressreader.com, sunset
https://www.slideshare.net, mobile
39
Note: Practice Personal Hygiene protocols at all times
Answer Key
Activity 1 Activity 2
1. C 1. VIDEO
2. D 2. WHITE BOARD
3. A 3. FLIP CHART
4. F 4. POWER POINT
5. B 5. ARTEFACTS
Activity 3 Activity 4
1. b Answers may vary
2. c
3. d
4. c
5. b
Prepared by:
JUANA C. VILLANUEVA
Writer
40
Note: Practice Personal Hygiene protocols at all times
ENGLISH 5
Name of Learner: ______________________________ Grade Level: _____________
Section: ______________________________________ Date: ___________________
LEARNING ACTIVITY SHEET
Types of Viewing Material
Background Information for Learners
Viewing:
Is an active process of attending and comprehending visual media, such as
television, advertising images, films, diagrams, symbols, photographs, videos, drama,
drawings, sculpture and paintings. So viewing is about reading, analyzing, evaluating,
and appreciating visual texts. Likewise, the language art of viewing may involve
reading and listening, such as when you listen to the narration or when you read a
section title.
Viewing also helps you understand visual images and connecting them to
accompanying spoken or written words. It involves interpreting the images for which
words stand and connecting visual images in videos, computer programs, and
websites with accompanying printed or spoken words.
Learning Competency with code
Distinguish among various types of viewing materials (EN5VC-id-6)
Activity 1
Directions: Read each question carefully. Choose the correct answer and write the letter on
your paper.
1. What would be the best material to use if a question asked for the pronunciation of a
word?
a. Thesaurus
b. Encyclopedia
c. Atlas
d. Dictionary
2. What material would you use to find the list of Academy Award
a. Encyclopedia
b. Almanac
c. Atlas
d. Television
41
Note: Practice Personal Hygiene protocols at all times
3. What would be the best material to use if you need another word for “quiet”?
a. Thesaurus
b. Encyclopedia
c. Atlas
d. Dictionary
4. What is the best material to use for current events?
a. Newspaper
b. Almanac
c. Atlas
d. Television
5. What is the best material to use if you need to find the location of Philippines in
Asia?
a. Newspaper
b. Almanac
c. Atlas
d. Television
Activity 2: Giving meaning to what is being viewed
Directions: Study the picture below and answer the questions that follow. Write only the
letter of your answer in your paper.
(For items 1&2)
1. What can you see in the picture?
a. A Mother and child with masks, hand sanitizer
b. Masks and sanitizer
c. Mother and children
d. Protection against COVID
2. What can you say about the picture?
a. Mother sharing her child some sanitizer
b. Mother and child getting ready to sleep
c. Mother and son in the market
d. Mother teaching her child on how to protect themselves against virus
42
Note: Practice Personal Hygiene protocols at all times
(For items 3&4)
3. What mood is best expressed in the picture?
a. Contentment
b. Happiness
c. Love
d. Satisfaction
4. What probable trait do the parents in the picture possess?
a. Industrious
b. Loving
c. Polite
d. Responsible
(For item 5 & 6)
5. We can conclude in the picture that
a. Most people are happy all the time
b. People are angry of what they see
c. People possess different emotions
d. Being angry and sad are negative feelings
6. What emotion would you want others to possess?
a. Angry
b. Fear
c. Happy
d. Sad
43
Note: Practice Personal Hygiene protocols at all times
(For item 7-10)
7. Who do you think are in the picture?
a. The boy and his friend
b. The street children
c. Father and son
d. The fisherman’s neighbour
8. What activity are they doing?
a. Preparing their net for catching fish
b. Mending their fish nets
c. Getting ready to go ashore
d. Looking for some fish
9. Where do you think they live?
a. In a city
b. In a province
c. In a farm
d. In the province near the sea
10. What status of life do you think they have?
a. Well off
b. Rich
c. Poor
d. Wealthy
44
Note: Practice Personal Hygiene protocols at all times
Activity 3
Directions: Distinguish what type of viewing material is shown in the picture.
Choose the correct answer.
1. To what visual media does this picture derive?
a. Advertising image
b. Diagram
c. Film
d. Flip chart
2. Study this picture. They are mathematical _______.
a. Diagram
b. Drawing
c. Sculpture
d. Symbol
3. Who are in this picture in relation to a TV series drama?
a. The starred and the villain character
b. The actors
c. The characters
d. The setting of the drama
45
Note: Practice Personal Hygiene protocols at all times
4. What does the image wants to convey?
a. To give emphasis on the main character and his opponent
b. To show the two sides of characters in a TV drama series
c. To collect more fans for the actors
d. To advertise the TV drama series
5. The image below helps much on understanding science lesson. What type of visual
material is this?
a. Diagram
b. Flip chart
c. Photographs
d. Symbol
6. This image can be obtained through________________.
a. Drawing
b. Sculpturing
c. Photo shots
d. Video recording
7. What type of viewing material is this?
a. Drawing
b. Sculpture
c. Photo
d. Video
46
Note: Practice Personal Hygiene protocols at all times
8. The lady is expressing her talent through __________.
a. Drawing
b. painting
c. Sculpturing
d. Photo
9. What type of material is this?
a. Diagram
b. Flipchart
c. Photograph
d. Sculpture
10. What does this image refer to?
a. Advertising material
b. Slogan
c. Video clip
d. YouTube upload
47
Note: Practice Personal Hygiene protocols at all times
Activity 4
Directions: Study the picture below. What does it tell about the new normal set up in holding
classes? Write a short paragraph about it. Give a title to your work.
Paragraph Writing Rubric for Activity 4
CRITERIA
5 4 3 2 Points
Main/topic
idea
sentence
Main/topic idea
sentence is clear
and correctly
stated
Main/topic idea
sentence is
either unclear or
incorrectly
stated
Main/topic idea
sentence is
unclear or
incorrectly
stated
Main/topic idea
sentence is
unclear or
unstated
Supporting
detail
sentences
Paragraphs have
three or more
supporting
detail sentences
that relate back
to the main idea
Paragraphs have
two supporting
details that
relate back to
the main idea
Paragraphs have
one supporting
details that
relate back to
the main idea
Paragraphs have
no supporting
details that
relate back to
the main idea
Legibility
and neatness
Neatly written
with legible
handwriting
Slight error,
marginally
legible
handwriting
More erasures
and writing is
not legible
Writing is not
legible
Mechanics
and
Grammar
Paragraph has
no errors in
punctuation,
capitalization
and spelling
Paragraph has
few errors in
punctuation,
capitalization
and spelling
Paragraph has
some errors in
punctuation,
capitalization
and spelling
Paragraph has
many errors in
punctuation,
capitalization
and spelling
Total
Guide Questions:
48
Note: Practice Personal Hygiene protocols at all times
1. What are types of viewing?
________________________________________________________________
________________________________________________________________
________________________________________________________________
2. How do we use these materials in order for us to benefit from them?
________________________________________________________________
________________________________________________________________
________________________________________________________________
Reflection
Complete this statement:
I have learned in this activity that _______________________________________________
___________________________________________________________________________
___________________________________________________________________________
__________________________________________________________________________.
References
https://app.quizalize.com/view/quiz/en5vcid6-e5a2394d-d0be-4054-8c20-0e4de725d0b1
https://www.shutterstock.com/image-photo/family-kids-face-mask-shopping- mall-
1641857584
https://www.shutterstock.com/image-photo/family-resting-on-lake-272612063
https://www.google.com/search?q=advertising+images+free&tbm=isch&source=iu&ictx
https://www.nbiscbse.com/wp-content/uploads/2018/10/grade-5-pintura-drawing-
competition-best-cbse-school-nbis-300x234.jpg
https://flipcharts2go.com/image?image_id=5287&image_subtype=3
Answer Key
Activity 1 Activity 2 Activity 3 Activity 4
1. D
2. B
3. A
4. A
5. C
1. A
2. D
3. D
4. D
5. C
6. D
7. C
8. A
9. D
10. C
1. A
2. D
3. A
4. B
5. C
6. A
7. B
8. D
9. C
10. A
(Answers may vary)
Prepared by:
EVANGELINE A. NANUD
Writer

Grade 5 q2 english las

  • 1.
    i Note: Practice PersonalHygiene protocols at all times 5 English Second Grading Period LEARNING ACTIVITY SHEETS
  • 2.
    ii Note: Practice PersonalHygiene protocols at all times Learning Activity Sheet in English Grade 5 Copyright © 2020 DEPARTMENT OF EDUCATION Regional Office No. 02 (Cagayan Valley) Regional Government Center, Carig Sur, Tuguegarao City, 3500 “No copy of this material shall subsist in any work of the Government of the Philippines. However, prior approval of the government agency or office wherein the work is created shall be necessary for exploitation of such work for profit.” This material has been developed for the implementation of K to 12 Curriculum through the Curriculum and Learning Management Division (CLMD). It can be reproduced for educational purposes and the source must be acknowledged. Derivatives of the work including creating an edited version, an enhancement of supplementary work are permitted provided all original works are acknowledged and the copyright is attributed. No work may be derived from this material for commercial purposes and profit. Consultants: Regional Director : ESTELA L. CARIÑO, EdD., CESO IV, DepEd R02 Assistant Regional Director : RHODA T. RAZON, EdD., CESO IV Chief Education Supervisor, CLMD : OCTAVIO V. CABASAG, PhD OIC, Schools Division Superintendent : EDUARDO C. ESCORPISO JR, EdD, CESO IV OIC-Assistant Schools Division Superintendent : GEORGANN G. CARIASO OIC-Chief Education Supervisor: : MARCIAL Y. NOGUERA Development Team Writers: ABIGAIL BALANOBA, T-I(BCS);LORAINE C. CABUGAO, T1 (UES); MICHAEL RYAN B. CABUGAO, TIII (IES); ERMELYN S. CASTILLO, TIII (BCS); LUZVIMINDA T. CARI, TIII(MES); MARY ANNE C. COBARIA, T1(BCS); KAITHLYN CORDEL, T1 (SVBS); RHONA A. ESCALONA, TII, (BCS); FLORA C. HERNANDEZ, TIII (BCS); KATHERINE L. HOSTALLERO, TII (BGCHS); EVANGELINE A. NANUD, MT1 (UES); JUANA C. VILLANUEVA, MT1 (SCS); SHERWIN C. YDEL,TII (IIS) Content & Language Editor: CARMENCITA G. ADAMI, EPS(English); CLARISSA G. ASA, HT3(BNSHS); NELITA B. SEBASTIAN, Principal(BGCHS); ELOISA B. DACUMOS-SDO Nueva Vizcaya; LEIVY-ANN L. TURO-SDO Tuguegarao City; PAZ D. PINERA- SDO Cagayan Illustrators: EDMUND E. DE LOS SANTOS, T1 (MNHS) Layout Artists: EDMUND E. DE LOS SANTOS, T1 (MNHS) Focal Persons: CARMENCITA G. ADAMI, Education Program Supervisor (English) EVANGELINE D. CASTILLO, Education Program Supervisor-Learning Resource RONNIE F. TEJANO, Education Program Supervisor-English, CLMD RIZALINO G. CARONAN, EPS- Learning Resource Management, CLMD Republic of the Philippines Department of Education REGION II – CAGAYAN VALLEY COPYRIGHT PAGE Printed by: Curriculum and Learning Management Division DepEd, Carig Sur, Tuguegarao City
  • 3.
    iii Note: Practice PersonalHygiene protocols at all times Table of Contents Learning Competency Page Number 1. Compose clear and coherent sentences using appropriate grammatical Structures-Aspects of Verbs (EN5G- Ia- 3.3) ……………………… 1 2. Compose clear and coherent sentences using appropriate grammatical structures: aspects of verbs, modals and conjunctions (EN5G-Ic-3.6) ……………………… 4 3. Compose clear and coherent sentences using appropriate grammatical structures: conjunctions (EN5G- Ie-8.3 or 8.4) ……………………… 9 4. Identify point of view (EN5VC- IIa- 7.2) ……………………… 13 5. Determine images/ ideas that are explicitly used to influence viewers: Propaganda (EN5VC - IIg - 7.3) ……………………… 17 6. Determine images/ ideas that are explicitly used to influence viewers: Point of View (EN5VC-IIIg-7.3) ……………………… 23 7. Determine images/ideas that are explicitly used to influence viewers: Stereotypes, Point of View, propaganda (EN5WC-llj-7.1-7.3) ……………………… 28 8. Distinguish among various types of viewing materials (EN5VC-Id-6) ……………………… 34 9. Distinguish among various types of viewing materials (EN5VC-Id-i6) ……………………… 35 iii
  • 4.
    1 Note: Practice PersonalHygiene protocols at all times ENGLISH 5 Name of Learner_________________________ Grade Level: _______________________ Section: _______________________________ Score: ____________________________ LEARNING ACTIVITY SHEET Aspects of Verbs Background Information for Learners A verb is a word that expresses an action, describes an occurrence, or establishes a state of being. Every sentence needs at least one verb, which is paired with the predicate. All verbs have tense, aspect and mood. Verb Tense – Tense indicates when the action expressed by a verb takes place. 1. Simple aspects of verbs are: Present Tense- expresses unchanging actions and states of being. Example: I walk. She runs. Past Tense – is used for actions that started and finished in the past. Example: I walked. She walked. Remember: If it is a regular verb just add -d or –ed to the base form of the verb. Future tense- expresses an event that will happen in the future. Example: I will walk. She will walk. Remember: Just add the will or shall before the base form of the verb. 2. Perfect Tenses are: Past Perfect- Use had/have paired with the past participle form of the verb. Example: We had left before the stadium gets crowded. Don’t worry; Elmer had already ruined the surprise. Present Perfect – Use has/have paired with the past participle form of the verb. Example: Omar has finished his dinner. Laura and Tommy have arranged the wedding. Future Perfect – Use will have paired with the past participle form of the verb. Example: They will have won over half their games by the end of the season. 3. Progressive form of the verb expresses continuous actions that happen over a period of time. It is paired with the main verb ending in –ing. The three progressive forms are: Past Progressive – Use was/were paired with the main verb ending in –ing. Example: She was always saying stuff like that. I was running late all morning. Present Progressive –the main verb is paired with the present tense of the verb; is/are is used to show that the action is happening currently. Example: Phil is running around the block. Are you enjoying your snacks? Future Progressive - the main verb is paired with the future tense of the verb; will be is used to show that the action will begin in the future. Example: I will be heading home around nine o'clock. He will be travelling in Batanes later this year.
  • 5.
    2 Note: Practice PersonalHygiene protocols at all times Learning Competency with Code Compose clear and coherent sentences using appropriate grammatical structures-Aspects of Verbs (EN5G- Ia-3.3) Activity 1 Directions: Read the sentences. Then write if it is in the present, past or future tense of the verb on the space provided. 1. Daniel will choose a baseball bat. ___________________ 2. He steps up to the plate. ___________________________ 3. The pitcher tossed the ball. _________________________ 4. The ball flies through the air. _______________________ 5. Daniel runs around the bases. _______________________ Activity 2 Directions: Complete each sentence by writing the simple tense of the verb in parentheses. 1. Carolyn and her father ______ (toast) their tuna sandwiches a while ago. 2. Daniella ______ (grab) her racket on her way out of the house. 3. Her father _______ (wash) her soccer jersey tomorrow. 4. The famous chef ______ (appear) on the television cook show tomorrow. 5. The dog _______ (bury) its bone in the backyard yesterday. Activity 3 Directions: Write if the verb tense is past perfect, present perfect or future perfect on the blank provided. _______________1. My Mom has cooked dinner every night this week. _______________2. The mouse had eaten all the cheese in the trap. _______________3. My principal will have given two speeches before the end of the school day. _______________4. The dog and the cat have sprinted around the yard all day long. ________________5. We will have taken the test before we go outside for recess. Activity 4 Directions: Complete the sentence with the correct perfect tense of the verb. Number 1 is already done for you. 1. My parents have seen (see) this movie two times at the cinema. 2. My brother _________ (eat) the cake before I had a chance to get a bite. 3. Before we move to the new house, we ______________ (pack) all of our clothes. 4. The lawyer _________ (say) that we can tour her office anytime we want. 5. I hope you ____________ (complete) your report by then. Activity 5 Directions: Fill in the spaces with the correct form of the verb in present progressive form. Example I (play) ___________ the piano now Answer: I am playing the piano now. 1. You (play) ___________ the guitar now. 2. We (play ____________ violin now. 3. They (play) __________ harp now. 4. She (play) ___________ the flute now.
  • 6.
    3 Note: Practice PersonalHygiene protocols at all times Activity 6 Directions: Please refer to Activity 5. Rewrite the sentences using the future progressive form; this exercise uses the question or command format. Choose only one format. Example: I (play) ___________ the piano now Answer: I will be playing the piano now. or Will I be playing the piano now? 1. _____________________________________________________________ 2. _____________________________________________________________ 3______________________________________________________________ 4. _____________________________________________________________ Reflection I have learned in this activity that _______________________________________________ __________________________________________________________________________ __________________________________________________________________________ __________________________________________________________________________. References www. K5learning. com www. boundless writing verb. com www. engforeveroneorg.com Answer Key Activity 1 Activity 2 Activity 3 Activity 4 1. future tense 2. present tense 3. past tense 4. present tense 5. future tense 1. toast 2. grabbed 3. will wash 4. will appear 5. buried 1. present perfect 2. past perfect 3. future perfect 4. past perfect 5. future perfect 1. have seen. 2. has eaten. 3. have packed 4. has said 5. will have completed Activity 5 1. are playing 2. are playing 3. are playing 4. is playing Activity 6 1. You will be playing the guitar now. Or Will you be playing the guitar now? 2. We will be playing violin now. Or Will they be playing violin now? 3. They will be playing harp now. Or Will they be playing the harp now? 4. She will be playing the flute now. Or Will she be playing the flute now? Prepared by: MARY ANNE COBARIA Writer
  • 7.
    4 Note: Practice PersonalHygiene protocols at all times ENGLISH 5 Name of Learner: ______________________ Grade Level:______________________ Section:______________________________ Score:____________________________ LEARNING ACTIVITY SHEET Modals Background Information for Learners Modals indicate the mood of the verb. Mood refers to the form of a verb telling that the speaker regards what he or she is saying as a fact, possibility or desire, or a command. Modals may be single words or phrases as in: auxiliary modal phrasal modal may, might be allowed to, be permitted to must have to, have got to can, could be able to would (past habit) used to should, ought to be to, be supposed to will, shall be going to, be about to Modals may be used for making two kinds of requests: Request of general nature Example: Will you help me with this experiment? Would you help me with this experiment? Can you buy the tickets for me? Could you buy the tickets for me? Specific requests for permission Example: May I leave the room now? Can I borrow your dictionary? Could I turn on the fan? In making requests, general or specific, you use the modals may/might, can/could, and will/ would. might, could, and would. These modals are considered more polite because they “soften” the request. Learning Competency with Code Compose clear and coherent sentences using appropriate grammatical structures: aspects of verbs, modals and conjunctions (EN5G-Ic-3.6)
  • 8.
    5 Note: Practice PersonalHygiene protocols at all times Activity 1 Directions: Underline the modal verb used in each sentence below. Example: I could find out my test score next week. 1. She can speak five different languages. 2. Ronald might not attend to the meeting. 3. I can play guitar. 4. You should stop smoking because it is bad for your health. 5. May I borrow your pencil? 6. My brother can play basketball very well. 7. You must go now. 8. Can you help me lift the table? 9. Would you bring me a glass of water? 10. Could I turn on the television? Activity 2 Directions: Read the following conversations then encircle all modals for making requests. Example: Carlo: May I go out of the classroom for moment? Jonnie: Yes, you may. Ghing: May I borrow your umbrella? Gail: Sure you may. Marc: Would you help me prepare the parlour games for tomorrow’s event? Mercy: Yes, it would be my pleasure. Sheila: Will you help me bring these books to the library? Glady Ann: I’m sorry but I can’t do it now. Chell: Can I use these flower pots you brought? Aisa: Yes, you can. Ali: Hi, you must be the new office worker. Let me know if you need anything? Ann: Thanks. Could you show me the filing cabinet? Ali: Certainly, it’s right over here. Activity 3 Directions: Use the appropriate cues from the box to complete these requests. Use please when possible. 1. Can you ___________________________ It’s hot inside the room. 2. Would you _________________________ It’s dark here. 3. Will you ___________________________ We have nothing left. 4. Could you __________________________Ms. Jennilyn is in another call right now. 5. Would you _________________________ There’s too much noise in the hall. buy some rice call back later turn on the fan send these documents shut the door turn on the lights
  • 9.
    6 Note: Practice PersonalHygiene protocols at all times Activity 4 Directions: Complete the following sentences by using modals for making requests- can/could, and will/ would. 1. _______ you open your mouth please? 2. _____ you bring us a glass of water please. 3. _____ you marry me? 4. ____ you pass the salt? 5. ____ you pour me some more tea? Activity 5 Directions: Read the sentences carefully and choose the correct modal to complete each sentence. Write the word of your answer on the space provided. 1. It’s raining, you ________ take an umbrella with you. a. could b. must c. might 2. She ________ pay me the money. a. must b. may c. would 3. Look! It’s going late, I _________ to go home. a. can b. would c. have 4. We __________ stay at home this time of pandemic. a. can b. must c. might 5. George ________ pay his electric bill today. a. must b. have c. would
  • 10.
    7 Note: Practice PersonalHygiene protocols at all times Activity 6 Directions: Write sentences using modals for making request based on the given pictures below. Example: Could you please take me to the airport. 1. ____________________________________________________________ 2.______________________________________________________________ 3. _______________________________________________________________ 4. ________________________________________________________________ 5. ______________________________________________________________ Rubrics in sentence writing. Needs Improvement Fair Good Excellent Punctuation Pupil uses accurate punctuation. 1 2 3 4 Capitalization Pupil uses capital letters to begin sentences and for proper nouns. 1 2 3 4 Grammar Pupil uses subject /verb agreement and writes complete sentences that make sense. 1 2 3 4 Content/Appropriate usage of Modals 1 2 3 4 Spelling Pupil writes most sight words correctly and applies spelling rules. 1 2 3 4
  • 11.
    8 Note: Practice PersonalHygiene protocols at all times Reflection I have learned in this activity that______________________________________________ ___________________________________________________________________________ ___________________________________________________________________________ ___________________________________________________________________________ ___________________________________________________________________________ __________________________________________________________________________ . References Kristine Erika C. Castillo, Evelyn B. Angeles, Joy in Learning English 5 Textbook, Page 54- 56 Answer Key Activity 1 1. can 2. might 3. can 4. should 5. may 6. can 7. must 8. can 9. would 10. could Activity 2 1. May 2. Would 3. Will 4. Can 5. Must 6. Could Activity 4 1. Will 2. Would 3. Will 4. Can 5. Could Activity 5 1. A 2. A 3. C 4. B 5. A Activity 3 1. Can you turn on the fan? It’s hot inside the room. 2. Would you turn on the lights? It’s dark in here. 3. Will you buy some rice? We have nothing left. 4. Could you call back later? Ms. Jennilyn is in another call right now. 5. Would you shut the door? There’s too much noise in the hall. Activity 6 Possible answers. 1. Can you help me carry this load. 2. Will you segregate your trash. 3. Will you please keep quiet. 4. Could you please knock the door before entering. 5. Could you please stop driving when you see the traffic enforcer’s signal. Prepared by: ABIGAIL BALANOBA Writer
  • 12.
    9 Note: Practice PersonalHygiene protocols at all times ENGLISH 5 Name of Learner: ___________________________ Grade Level: ___________________ Section: ___________________________ Score_________________________ LEARNING ACTIVITY SHEET Conjunctions Background Information for Learners What are conjunctions? Conjunctions are words used to connect clauses or sentences or to coordinate words with same clause. In this activity, coordinating and subordinating conjunctions are tackled. Coordinating conjunctions are the most popular category of conjunctions. They bring ideas together. They can join words, phrases and clauses. To easily remember the coordinating conjunctions, do not forget the acronym FANBOYS. Conjunction Use Example for Shows reason or purpose They buy purified water, for they do not drink tap water. I go to the park every Sunday, for I long to see his face. and Adds similar items of ideas I love the pool, and I also love to swim there. I like to read, and I write faithfully in my journal every night. nor Connects non contrasting negatives ideas People in the city do not drink tap water nor do they recycle it. I neither love nor hate to watch TV. but Connects contrasting ideas or expectations I swim every day, but I don’t on Saturdays. Television is wonderful escape, but it interferes with my writing. or Connects alternative ideas or items It rains in the afternoon, or it drizzles in the early morning. Would you rather read a book or watch a good TV show? yet Shows a contrast or exceptions They buy mineral water, yet they don’t drink it. I always take a book to the beach, yet I never seem to turn a single page. so Shows a result or consequences Boil the tap water, so it will be safer to drink. I like to read, so my grammar is always on point. Subordinate Conjunction is a word that connects an independent clause to a dependent clause. Independent Clauses Dependent clauses His classmates would only be contented with Buddy’s description because, unlike Buddy, they had not yet visited the zoo. They could not even visit a zoo unless a generous sponsor would bring them there. Below are the commonly used subordinating conjunctions
  • 13.
    10 Note: Practice PersonalHygiene protocols at all times Subordinating Conjunctions Types of relationship Examples as because in order that since that reason 1. As there is no zoo here, let us go to Malabon. 2. Buddy’s classmates would only be contented with Buddy’s vivid descriptions of the animals because they had not yet visited the zoo. 3. Let us go to the zoo in the morning since that is the best time to see all the animals. although even though whereas while acknowledgement and comparison Although the zoo is not big, the animals live there comfortably. Even though zoos are said to be a second home for animals, forest and their other natural habitats are still better. You can take pictures while you roam. even if if unless condition Even zoos want to return the animals to their natural habitats, the animals are not still safe from people who want to kill and destroy them. If my parents allow me, I will visit the largest zoo in the world. The extinction of animals will not unless we, people, let the animals live in the wild and help in preserving their habitats. where whenever place I will sit on a bench where I can watch the eagles fly. Whenever you go, always keep your feet planted on the ground. as long as as soon as before once until when while time We will walk around as long as we do not get tired. Please, give me a call as soon as you get there. Before it becomes too late, let us act now and save the wildlife. We will stay there until it gets dark. Learning Competency with Code Compose clear and coherent sentences using appropriate grammatical structures: conjunctions (EN5G- Ie-8.3 or 8.4) Activity 1 Directions: Fill in the blanks using the appropriate conjunctions and, but, or. 1. My dad _______ I are going to catch fish this afternoon. 2. Either we are going to win ________ they are going to win. 3. It doesn’t matter whether they get the job ________ not. 4. I ran after the cat, _________ could not catch it. 5. We played very well, _______we still lost the game.
  • 14.
    11 Note: Practice PersonalHygiene protocols at all times Activity 2 Directions: Complete the sentence with the correct coordinating conjunctions 1. I know the answer, _______ I can’t tell you. 2. Should we go by train, ________ take the bus? 3. I am allergic to cats, _____I have two of them. 4. She did not study, _______she failed the test. 5. I will be late for the party, ______ I will be having dinner with my parents. 6. Can you stay here, _______wait for him? 7. She does not like apples, _________ does she like oranges? 8. He has a small house, _____ it feels very spacious. 9. You can purchase with cash, ________you can use your credit card. 10. He was supposed to study, ________ he played games instead. Activity 3 Directions: Complete each sentences using the subordinating conjunction from the parenthesis. Write your answer on the space provided. 1. I visit the Valugan Boulder Beach ____________ I go to Batanes. (once, whenever, wherever) 2. This is the place _________ we stayed last time we visited. (where, when, how) 3. ___________ you win first place, you will receive a prize. (when. never, if, unless) 4. You won’t pass the test ______ you study, (when, if, unless) 5. I could not get a set, ________ I came early. (as, though, when) 6. We are leaving on Wednesday _______ it will not rain. (if, whether, though) 7. Pay attention to work ________ you will not make mistakes. (so that, unless, or) 8. The musicians delivered a rousing performance ______ they had rehearsed often. (though, as once) 9. She’s honest __________ everyone trusts her. (if, so, when) 10. Write this down _____ you forget. (or, when, lest) Activity 4 Directions: Underline the subordinating conjunction in each sentence. 1. We went to the dinner after the movie, then we went home. 2. My sister decided to go to the dance rather than stay home for the evening. 3. Every year I try to stay up until midnight on New Year’s Eve. 4. Our dog barks whenever there is someone at the door. 5. Burt saved money so that he could buy a new game. 6. As they waited for the bus, the children told each other a joke. 7. Tara packed a bathing suit because there would be a pool at the hotel. 8. Since the team has won the championship, the players feel they can relax. 9. Please don’t leave the room until the teacher has given you permission. 10. If everyone is quiet, we will have time to play at the end of the class. and or for nor yet so but
  • 15.
    12 Note: Practice PersonalHygiene protocols at all times Activity 5 Directions: Find the conjunction in each sentence and write it on the appropriate column. Reflection I have learned in this activity that________________________________________________ ___________________________________________________________________________ ___________________________________________________________________________ ___________________________________________________________________________ ___________________________________________________________________________ ___________________________________________________________________________ References for Learners Books Joy in Learning English 5 Textbook copyright 2016 by Vibal Group, INC. pp.77-81 Rainbow in English 5 copyright 2015 by Vibal Group, INC. pp251-253 Internet website www.scribd.com www.pinterest.com Answer Key Activity 1 Activity 2 Activity 3 1. and 2. or 3. or 4. but 5 .but 1. but 6. or 2. or 7. and 3. yet 8. yet 4. so 9. or 5. for 10. but 1. whenever 6. whether 2. where 7. so that 3. if 8. as 4. unless 9. so 5. though 10. Lest Activity 4 Activity 5 1. then. 6. for 2. for 7. because 3. until 8. since 4. whenever. 9. until 5. so that 10. if 1. and - coordinating 2. although -subordinating 3. but -coordinating 4. while -subordinating 5. but - coordinating 6. and -coordinating 7. but -coordinating 8. although -subordinating 9. because -coordinating 10. so - coordinating Coordinating Subordinating 1. Jack painted the bathroom and the hallway. 2. Although the car was new, it did not work well. 3. Sam loves to read, but it is hard for him. 4. I carved a pumpkin while my sister made her costume. 5. The pitcher thought it was a strike, but the umpire thought it was a ball. 6. My pen ran out, and I have to finish the test. 7. Dance is her favorite, but she is better on sport. 8. The playground was built, although it isn’t very safe. 9. I can’t go to school today because I’m not feeling well. 10. He hit a homerun, so they won the game. Prepared by: ERMELYN CASTILLO Writer
  • 16.
    13 Note: Practice PersonalHygiene protocols at all times Me she he my I they we you him mine her them ENGLISH 5 Name of Learner:___________________ Grade Level:______________________ Section:___________________________ Score:___________________________ LEARNING ACTIVITY SHEET Identifying Point of View Background Information for Learners In a narrative, the point of view is the perspective a story is told from. And this depends upon who is telling the story. Three (3) main types of point of view: First-person point of view is when the narrator (the one who tells the story) is talking about himself or herself, and is also a main character of the story. First-person stories use first- person pronouns like I, me, my, we, our and us. Example: I was sad. I felt nervous. I didn’t want to tell mom that I broke the window in my room. Second-person point of view is used when the narrator is talking directly to the reader using the pronouns you and your. Example: You were sad. You felt nervous. You didn’t want to tell your mom that you broke the window in your room. When a story is told in third-person point of view, the narrator is not in the story and talks about other persons. Stories told in third-person use third-person pronouns like he, she, his, her, their and it. Example: He was sad. He felt nervous. He didn’t want to tell his mom that he broke the window in his room. Take note: The second-person point of view is rarely used in stories. Learning Competency with Code Identify point of view (Quarter 2, Week 1) (EN5VC- IIa- 7.2) Activity 1 Directions: Write the clue words in the table where they belong. First-person Second-person Third-person
  • 17.
    14 Note: Practice PersonalHygiene protocols at all times Activity 2 Directions: Determine from what point of view the passage is narrated. Write your answers in the spaces provided. 1. I looked around me in delight. Flowers, flowers, everywhere! I would definitely be able to take a picture of a butterfly here. With this picture, I could win the school photo contest. Point of view: _________________________________ 2. Lara looked glumly around the pond. It wasn’t a fun beach or an exciting theme park. She wondered if the entire vacation would be this boring. “Isn’t the pond gorgeous?” Mom asked. Lara frowned. She didn’t think so. Point of view: _________________________________ 3. You stare at the distant horizon. There-off in the distance- could it be real? You can’t believe your eyes. You are looking at a real UFO! Point of view: _________________________________ Activity 3 Directions: Read and identify the pronoun used in the following paragraphs. Write the pronoun and tell the point of view. Write your answer on the space provided below each number. 1. Congratulations on purchasing Foo-Bar Brawn Bars. Foo- Bar Brawn Bars will give you a full day’s worth of nutrition in a single bite-sized bar. You are going to love Foo-Bar Brand Brawn Bars if you follow these precautions. Do not eat Foo-Bar Brawn Bar before swimming or your stomach may explode. Do not eat Foo-Bar Brawn Bar while drinking soda or your stomach may explode. Do not eat Foo-Bar Brawn Bar while or during jogging or your stomach may explode. You are going to love the explosive power of Foo Bar Bars. Answer: __________________________ __________________________ Pronoun Point of view 2. Cindy got her test back and started crying immediately. It was just a C. Her mother would never stand for Cs. She felt disappointed. She knew that she would be in big trouble. Then Jen got her test back. Jen cheered. She got a C. Her mother would be so proud. Jen had studied hard for the test and she was satisfied with the results. She felt proud. A Answer: __________________________ __________________________ Pronoun Point of view Activity 4 Directions: Complete the paragraph below by writing the appropriate pronoun in the third person. Write your answer on the blanks. The lemon drop prince admired the land of candy from (1) ______ butterscotch balcony. (2) _____ gazed. Across the ginger ale river but stopped when (3) _____ saw the most beautiful girl (4) _________had ever seen. (5) _______heart beat wildly. “ I must marry (6) ________,”he thought to himself. The girl was Lila Licorice. (7) ______ was very sweet, but not everyone liked her. Some people thought (8) ______was gross. Lila was combing (9) _____ curly hair and dreaming of wearing a beautiful, candy shell dress to the Buttercup Ball. Little did she know that her dreams were about to come true.
  • 18.
    15 Note: Practice PersonalHygiene protocols at all times Activity 5 Directions: Read each sentence. On the blank provided, write if it is first, second or third person point of view. ______________________ 1. You should tell me the truth. ______________________ 2. Susan knows the way home ______________________ 3. I will go to the field tomorrow. ______________________ 4. He saw an alligator in the swamp. ______________________ 5. She is one of my best friends. ______________________ 6. Michael will go to the basketball game. ______________________ 7. Can you tell me your name? ______________________ 8. I am ready to graduate from elementary. ______________________ 9. They are ready for the game. ______________________ 10. Do you know the final score? Activity 6 Directions: Rewrite the following sentences into Second Person and Third Person point of view. 1. I will attend the mass on Sunday. Second Person: ________________________________________________. Third Person: ________________________________________________. 2. I will study more so my parents will be proud of me. Second Person: ________________________________________________. Third Person: ________________________________________________. 3. My father loves to watch car racing in television. Second Person: ________________________________________________. Third Person: ________________________________________________. Reflection I have learned in this activity that________________________________________________ ___________________________________________________________________________ ___________________________________________________________________________ References Books Bambico, A.R, Galapon, A.P, Relente, C.A, Angeles E. (2015) Rainbows in English Grade 5 Vibal Group Inc. page 93 Joy in Learning English 5 copyright 2016 by Vibal Group Inc. pages 89-91 Internet website https://www.slideshare.com/emilykissner/pointofview www.ereadingworksheets.com www.bath.k12.ky.us https://www.k12reader.com https://www.ereadingworksheet.com https://www.bath.ky.us https://englishlinx.com
  • 19.
    16 Note: Practice PersonalHygiene protocols at all times Answer Key Activity 1 First-person Second-person Third-person me you she my he I they we him mine them her Activity 2 Activity 3 1. first-person point of view 2. third- person point of view 3. second-person point of view 1. you, your Second Person 2. she, her Third Person Activity 4 Activity 5 1. his 2. he 3. he 4. he 5. his 6. her 7. she 8. she 9. her 1. Second Person 2. Third Person 3. First Person 4. Third Person 5. Third Person 6. Third Person 7. Second Person 8. First Person 9. Third Person 10. Second Person Activity 6 1. I will attend the mass on Sunday. Second Person: You will attend the mass on Sunday. Third Person: He/She will attend the mass on Sunday. 2. I will study well so that my parents will be proud of me. Second Person: You will study well so that your parents will be proud of you. Third Person: He/She will study more so that his/her parents will be proud of him/her. 3. My father loves to watch car racing on television. Second Person: Your father loves to watch car racing on television. Third Person: His/Her father loves to watch car racing on television. Prepared by: LUZVIMINDA T. CARI FLORA HERNANDEZ RHONA A. ESCALONA Writer Writer Writer
  • 20.
    17 Note: Practice PersonalHygiene protocols at all times ENGLISH 5 Name of Learner: _________________________ Grade Level : ______________ Section :__________________________ Score : ______________ LEARNING ACTIVITY SHEET Images/Ideas That Influences Viewers: Propaganda Background Information for Learners Propaganda is a form of communication aimed for promoting or demoting certain views, perceptions or agenda. Commercials or advertisements - be it a TV commercial or radio commercial- are some of the most powerful tools used to create and shape ideas or opinions of people. Political and print advertisements like posters on tarpaulins or billboards, brochures, flyers etc. are propaganda with their own purpose. TYPES OF PROPAGANDA 1. Card Stacking This is a propaganda technique where misleading or an unproved statistics are used to convince the audience, to let them believe that it is a fact. It is a way of manipulating information so that one product looks better than the other. This is often done by leaving out the important facts or by comparing evidence in an unfair manner. Example: Jollibee Fried Chicken or known as the Jollibee Chicken Joy is being compared with other fried chickens where Jollibee Chicken Joy looks better that the other: or, Tide Detergent powder is sided with brand X of detergent powders and Tide comes better because it was added with the Downy fabric conditioner. 2. Testimonial This is a very popular and string way used by companies to endorse their products. It is an advertising technique wherein a famous person recommends or endorses a product or service and says the big value of such for him or her. Example: Mayor Koko of Manila endorses Lucky Me Products as if he really eats the products; or Senator Manny endorses Alaxan FR Capsule. 3. Transfer A technique used in advertising also known as association that shows positive or negative qualities of a person, entity, object or value to another in order to make a second or the other more acceptable or to discredit it. Example: Alden Richards, a famous actor of GMA Kapuso Network serves as a model of Avon products so as to attract buyers to buy such; or President Rodrigo Duterte wears an army hat and jackets carrying a machine gun and dares every Juan to join the fight against terrorism; or the Face of Jesus is made to endorse Sprite as if He says, “Obey your thirst, Drink Sprite, Obey your thirst for goodness, seek and follow me”.
  • 21.
    18 Note: Practice PersonalHygiene protocols at all times 4. Glittering Generalities This is a propaganda that uses emotionally appealing thought or phrase so closely related or associated with highly valued and accepted concepts and beliefs that it carries conviction without supporting the information or reason, just to attract or get general approval or claim by the people. Example: President Donald Trump and President Rodrigo Duterte both says “Yes we can Do It, we can fight COVID-19”, so the people will also say if they can do it then we can do it; or, when Coca-Cola says, “Open Happiness, Open Goodness, Open Coca-Cola”; or when Sharon Cuneta-Pangilinan says in her Lucky Me noodles advertisement “Tikman ang sarap ng pagkain kasama ang pamilya, tikman ang Lucky Me noodles, Sarap na may pagmamahal” 5. Plain folks This propaganda attempts or tries to convince the audience that they, and their ideas are alike and “of the people”. This propaganda is usually used by politicians when campaigning and is also known as political advertisement. Example: Former Senator Mar says in his political ads recently when he run for the senatorial race “Ramdam ko kayo, nanggaling din ako sa mahirap na pamilya”; or when former Vice-President Jejomar said “Sino pa ba ang magtutulungan kung hindi tayo - tayo lang” ; or when President Rodrigo Duterte said during the campaign period when he run for Presidency “My God, I hate Drugs, I love my people and I love my country”. 6. Bandwagon This is a propaganda which tries to get the attention and emotion of the audience or the people to influence their opinions and behaviours. This is common when you want people to “jump of the board” and be part of such because everyone is doing it. Example: Joy Dishwashing liquids tells you that it’s the best dishwashing liquid for it can wipe out “matinding sebo sa isang hugasan” in its famous line “isang patak, bisang katutak”; or, Colgate Total care toothpaste gives you a 100% protection against gingivitis’ or, safeguard bath soap gives you 99.9% germ protection. 7. Name Calling This is a propaganda that is used to downgrade or create fear and arouse prejudice by using negative words. It is also used to create negative or unfavorable opinion of a competing product, group or idea. Name calling is used in place of arguing on the good points of an idea, belief or proposal. Example: The Face of President Donald Trump is being stumped with the slogan, “The International Terrorist”; or, President Rodrigo Duterte is oftentimes called “The second Marcos”; or, corrupt government officials are often called “mga buwaya sa lipunan”. Always remember that the purpose of propaganda is to benefit or help the sponsor. Learning Competency with Code ➢ Determine images/ ideas that are explicitly used to influence viewers: Propaganda (EN5VC - IIg - 7.3)
  • 22.
    19 Note: Practice PersonalHygiene protocols at all times PROCESS TO ASSESS: Do or process the following activities to test or assess your knowledge and enrich what you have learned about the lesson/ topic on propaganda. Activity 1: DO YOU KNOW ME . . . Directions: Look closely and analyze the following pictures and identify what type of propaganda is shown. Encircled words, phrase or pictures serve as clues. Write your answer on the space provided in each number. 1. 2. _______________________________ _____________________________ 3. 4. _____________________________ _____________________________ 5. ____________________________
  • 23.
    20 Note: Practice PersonalHygiene protocols at all times Activity 2: YOU’RE A KIND OF A . . . Directions: Read and analyze the following short situation and identify or classify what kind of propaganda do each underlined phrase or statement fall. Choose from the words inside the box. Write your answer in the blanks provided. Political advertisement TV advertisement Radio Advertisement Brochure Billboard Flyer 1. Mayor Crisanto dela Cruz is speaking in front of thousands of people because he has filed his candidacy for the Senatorial race in the coming local and national elections. ___________________________ 2. Mia, a local tourist is reading a travel guide given to her by her Ivatan tour guides for her to be informed about something the things she need to know and for her also to know where to go and what to do prior to her tour. _____________________________ 3. Sonny is an employee of the provincial capitol and while he is on his way to the office, he saw a group of people hanging a big image of Ding Dong Dantes and Marian Rivera endorsing Nike Products printed in a big tarpaulin posted in a high rising building like structure. _____________________________ 4. Billy loves to watch the advertisement of Selecta Cornetto ice cream shown or aired every now and then on their TV screen. _____________________________ 5. Jimmy does not have television at home. He has only a radio for him to listen to his favorite drama and McDo chicken advertisement. ____________________________
  • 24.
    21 Note: Practice PersonalHygiene protocols at all times Activity 3: YOU’RE MY PERFECT MATCH Directions: Match the statements in column A with the words/phrases in column B. (Options:)You may write the letter of the best answer in the column or space provided at the middle of the table or make a line that points out the best match. COLUMN A COLUMN B 1. It is a type of propaganda that uses emotionally appealing thought or words closely related or associated with highly valued and accepted beliefs that it carries conviction without supporting the information or reason,just to get the general approval of the people. A. Card Stacking 2. This is a technique in advertising also known association that shows either positive or negative qualities of a person, thing or value. B. Bandwagon 3. This type and technique of propaganda is common when you want people to be a part of the group because everyone is doing it. C. Transfer 4. This is a common type of propaganda which is usually used by politicians (candidate for public service) when campaigning. D. Glittering Generalities 5. This propaganda technique uses statistics to convince the audience, to let them believe that it is a fact. Best example of this is the comparison of Chicken McDo with other fried chicken where chicken Mcdo comes bigger with 50% and tastier. E. Plain Folks Activity 4. SUPPORT ME IF YOU KNOW ME… Directions: This activity is a modified TRUE or FALSE test. Read and analyze each statement then write T if the statement is True. If the statement is False, write F and write the correct statement on the space provided. ______1. Downy Perfume Collection Fabric Conditioners shown on TV commercials or advertisements is an example of Card Stacking. ___________________________________________________________________________ ______2. With Carlos Yulo - the champion in artistic gymnastics in the SEA 2019 Games- as the endorser of Milo Chocolate and Energy Drink -Champion Formula, Nestle was able to convince the buyers that Milo is a good energy booster drink, therefore this propaganda is Glittering Generalities. ___________________________________________________________________________
  • 25.
    22 Note: Practice PersonalHygiene protocols at all times ______3. Transfer is the propaganda used by DOH Secretary Francisco Duque III when he says, “We can Fight COVID-19, We can DOH it, We heal as One”. ___________________________________________________________________________ ______4. It is a Name Calling propaganda when advertisers use the face of Senator Chiko Manaloto with the slogan “Ang Hari ng mga Buwaya”. ___________________________________________________________________________ ______5. Ms. Maria Santisima is campaigning for presidency in their department. To get the sympathy of her colleagues, he speaks very emotionally as if she feels very much what her colleagues feel. In this way, Ms. Santisima used plain folks as propaganda. ___________________________________________________________________________ Reflection Complete this statement I have learned in this activity that ______________________________________________________ ___________________________________________________________________________ ___________________________________________________________________________ ___________________________________________________________________________ ___________________________________________________________________________ __________________________________________________________________________. References Google search at the following sites/links https://www.scribd.com https://www.study.com https://visme.co julienchloefoodpropagandahaha.weebly.com https://study.com>academy>cardstacking Answer Key Activity 1 1. Political 2. Advertisement 3. Brochure 4. Billboard 5. TV Advertisement 6. Radio Advertisement Activity 2 1.Glittering Generalities 2. Association 3. “jump of the board” 4. Plain Folks 5.misleading or unapproved Activity 3: 1. Card Stacking 2. Bandwagon 3. Plain Folks 4. Testimonial 5. Card Stacking Activity 4: Justifications may vary 1. False (Bandwagon) 2. True 3. False (Glittering Generalities) 4. True 5. True Prepared by: SHERWIN C. YDEL LORAINE C. CABUGAO Writers
  • 26.
    23 Note: Practice PersonalHygiene protocols at all times ENGLISH 5 Name of Learner:______________________________ Grade Level:______________ Section:______________________________________ Date:__________________ LEARNING ACTIVITY SHEET Images/Ideas That Influence Viewers: Point of View Background Information for Learners Point of view refers to who is telling or narrating a story. The author chooses “who” is to tell the story. Depending on who the narrator is, he/she will be standing at one point and seeing the action. This viewpoint will give the narrator a partial or whole view of events as they happen. A story can be told in three different ways: first person, second person, and third person. First person is used when the main character is telling the story and uses the pronoun "I". In second person, the narrator is speaking to you and uses the pronoun “You”. It can allow you to draw your readers into the story and make them feel like they’re part of the action because the narrator is speaking directly to them. The last type of point of view which is the third person is used when your narrator is not a character in the story. Third person uses the pronouns "he/she/it" and it is the most commonly used point of view in writing. Learning Competency with Code Determine images / ideas that are explicitly used to influence viewers: Point of View (EN5VC-IIIg-7.3)
  • 27.
    24 Note: Practice PersonalHygiene protocols at all times Activity 1. Directions: Read the following sentences. Then, identify and write which point of view it is written from. Example: Jasper bought some fruits from the market. Answer: Jasper – third person point of view 1. You are a good volleyball player. __________ - _______________________ 2. John gave me an expensive pen. __________ - _______________________ 3. My father is a retired policeman. __________ - _______________________ 4. He researched on the effects of climate change. __________ - _______________________ 5. We discussed how to eradicate malnutrition. __________ - _______________________ 6. They were given enough school supplies and they loved it. __________ - _______________________ 7. Finally, we are allowed to go out after being quarantined. __________ - _______________________ 8. Her friend gave her a piece of advice. __________ - _______________________ 9. The LGUs always remind people to wear face masks. __________ - _______________________ 10. It is such a great responsibility to be part of the Inter-Agency Task Force. __________ - _______________________
  • 28.
    25 Note: Practice PersonalHygiene protocols at all times Activity 2: Directions: Study each picture carefully. Identify what point of view is evident and write if it reflects First Person, Second person or Third person. 1. Looking at the pool Mr. Ydel said, “It's not deep.ˮ 2. When Totoy jumped in, he shouted, “It's deep.ˮ 3. The roads are clean and wide; we enjoyed visiting the islands. 4. Father told his little son: “See how the fishes swim with the wavesˮ. 5. Mang Ramon and his son enjoyed watching the waves while crossing the seas.
  • 29.
    26 Note: Practice PersonalHygiene protocols at all times Activity 3 Directions: Read the excerpts and determine its point of view of each. Write your answers on the space provided after each excerpt. 1. Lucy thought of going to the field to pick some camote tops for their lunch. While on her way, she saw an old man who was busy picking firewood. The farmer was so old that he could hardly walk on the four corners of his field. Lucy stopped for a moment and tried to observe the old farmer. She noticed that the old man was alone and he had a wound on his right foot that’s why he could hardly move. Seeing the old farmer in a difficult situation, Lucy immediately went to him and introduced herself. She a help. The old farmer smiled at her and was so thankful to Lucy. Answer: ____________________________________ 2. It is midnight when you got the call. A crackly voice shouted over your radio. “Officer down! Backup requested.” All of the other things that you were thinking have left your mind. Your head was thumping. You arrived at the scene and got out of the cruiser. The air was filled with the syncopated sounds of gunfire. You drew your own weapon and crouched behind your squad car. You had no thoughts in your head. The only thing guiding you was your training. Answer: ____________________________________ 3. The stars were burning brightly in the night sky. The evening breeze felt cool on my skin. It was the last night of summer break and I was calm, oddly calm. It's not that I was excited to go back to school. I wasn't. School is a lot of work for me. But I was excited to see my friends again, and I knew that they would be there. Answer: ____________________________________ 4. Kelly took her seat in the airplane. There were three seats in her row and, to her dismay, she was assigned to the seat at the middle. As the time of departure drew closer, Kelly grew pleased that she was still sitting alone. "Maybe I'll get the whole row to myself," Kelly said under her breath. Just then two tremendously large men approached. "Excuse me, Miss. I have the inside seat." Kelly sighed. She knew where the other person would be seated as well. Answer: ____________________________________ 5. The stage was bordered with colorful lights but otherwise dark, yet in the center was a single spotlight, and in the center of that was microphone stand. I slowly walked across the stage with my hands by my side. The crowd murmured. I grabbed the microphone from the stand and cleared my throat. Then I held it a few inches from my face and said, "Greetings, my fellow Thunder hawks. Are you ready to get excited for the pep rally?" One guy clapped slowly. Answer: ____________________________________
  • 30.
    27 Note: Practice PersonalHygiene protocols at all times Reflection Complete this statement: In this activity, I learned _______________________________________________________ ___________________________________________________________________________ ___________________________________________________________________________ ___________________________________________________________________________ __________________________________________________________________________ References Internet website/link: http://literaryterms.net/point-of-view/ http://www.thebeginningwriter.com/2012/03/look-at-different-types-of-point-of.html http://literaryterms.net/point-of-view/ https://www.google.com/search?source=hp&ei=txP8XqHjCJLmwQOS2KeQCw&q=Point+o f+view+refers+to+who+is+telling+or+narrating+a+story.+A+story+can+be+told+in+three+d ifferent+ways%3A+first+person%2C+second+person%2C+and+third+person.&oq=Point+of +view+refers+to+who+is+telling+or+narrating+a+story.+A+story+can+be+told+in+three+di fferent+ways%3A+first+person%2C+second+person%2C+and+third+person.&gs_lcp=CgZ wc3ktYWIQA1C7xQRYu8UEYITNBGgAcAB4AIABAIgBAJIBAJgBAKABAqABAaoBB 2d3cy13aXo&sclient=psy- ab&ved=0ahUKEwjhmtWenqvqAhUSc3AKHRLsCbIQ4dUDCAc&uact=5 https://www.ereadingworksheets.com/point-of-view/point-of-view-worksheets/ Answer Key Activity 1 1. You - Second person point of view 2. John - Third person point of view 3. My - First person point of view 4. He - Third person point of view 5. We - First person point of view 6. They – Third person point of view 7. We – First person point of view 8. Her – Third person point of view 9. LGUs – Third person point of view 10. It - Third person point of view Activity 2 1. Third person 2. First person 3. First person 4. Second person 5. Third person Activity 3 1. Third person 2. Second person 3. First person 4. Third person 5. First person Prepared by: MICHAEL RYAN B. CABUGAO KATHERINE L. HOSTALLERO Writer Writer
  • 31.
    28 Note: Practice PersonalHygiene protocols at all times ENGLISH 5 Name of Learner: __________________________ Grade Level:__________ Section: _____________________________ Date:_________________ LEARNING ACTIVITY SHEET Images/Ideas Used to Influence Viewers: Stereotypes, Point of View, Propagandas Background Information for Learners A stereotype is an over-generalized belief about a particular category of people. It is an expectation that people might have about every person of a particular group. The type of expectation can vary; it can be, for example, an expectation about the group's personality, preferences, or ability. Stereotypes are generalized because one assumes that the stereotype is true for each individual person in the category. While such generalizations may be useful when making quick decisions, they may be erroneous when applied to particular individuals. Stereotypes lead to social categorization, which is one of the reasons for prejudice attitudes, and may arise for a number of reasons. Point of view is what the character or narrator telling the story can see. The author chooses “who” is telling the story by determining the point of view. It is important because it helps the reader understand character’s feelings and actions. Propaganda is communication that is used primarily to influence an audience and further an agenda, which may not be objective and may be presenting facts selectively to encourage a particular synthesis or perception. It presents information, especially of a biased or misleading nature, used to promote or publicize a particular cause or point of view. Learning Competency with code Determine images/ideas that are explicitly used to influence viewers: Stereotypes, Point of View, Propaganda (EN5VC-lllg-7.1-7.2)
  • 32.
    29 Note: Practice PersonalHygiene protocols at all times Activity 1 Directions: There are 3 pictures of actors and actresses from different countries. Tell something you usually know about the people in the given countries. 1. 2. 3. Name: Angelina Jolie Work: Hollywood American Actress Country: America How do you categorize American people? _______________________________________ _____________________________________ Name: Samuel L. Jackson Work: Hollywood African Actor Country: Africa How do you categorize African people? ____________________________________ ____________________________________ ___ Name: Charice Pempengco Work: Filipino Singer Country: Philippines How do you categorize Filipino people? ____________________________________ ____________________________________
  • 33.
    30 Note: Practice PersonalHygiene protocols at all times Activity 2 Directions: Study the following pictures images or pictures. What ideas do they present? Copy the letter of your answer. 1. 2. 3. A. Mothers should prepare food for the family. B. Fathers welcome food prepared by the mother. C. Children are happy with food prepared by the mother. D. A family enjoys eating cakes together. A. Women hate working B. Women can do men's work C. Women dislike hard work D. Women are good workers A. Young women vs old women B. White women vs black women C. Christian women vs muslim women D. Poor women vs rich women
  • 34.
    31 Note: Practice PersonalHygiene protocols at all times 4. 5. Activity 3 Directions: The following images present different ideas to different viewers. Identify whether they present Stereotypes, Point of View, or Propaganda. 1. A. Men sit while women work. B. Machines make work faster. C. Go away when someone works. D. Women do the cleaning of the house. A. Dark-skinned kids are usually disliked. B. Dark-skinned kids are dull. C. Dark-skinned kids are bullies. D. Dark skinned kids are bright.
  • 35.
    32 Note: Practice PersonalHygiene protocols at all times 2. 3. 4. 5. 5.
  • 36.
    33 Note: Practice PersonalHygiene protocols at all times Activity 4 Directions: Recall a soft drink or energy drink advertisement on television or a poster that you always see. Write a short essay of what this advertisement wants you to do and how it influences your way of thinking. __________________________________________________________________________ __________________________________________________________________________ __________________________________________________________________________ __________________________________________________________________________ __________________________________________________________________________ __________________________________________________________________________ __________________________________________________________________________ __________________________________________________________________________ __________________________________________________________________________ __________________________________________________________________________ Rubric for scoring Source: https://www .rcampus.com/rubricshowc.cfm?code=U66W43&sp=true Reflection Complete this statement: I have learned in this activity that________________________________________________ ___________________________________________________________________________ ___________________________________________________________________________ ___________________________________________________________________________ ___________________________________________________________________________ ___________________________________________________________________________ 2POINTS (CAPABLE) 3POINTS (ACCOMPLISHED) 4POINTS (EXPERT) Quality of writing Piece had little style or voice. Gives some new information but poorly organized. Piece was written in an interesting styles and voice. Somewhat informative and organized. Piece was written in an extraordinary style and voice. Very informative and well- organized. Grammar, Usage and Mechanics A number of spelling, punctuation or grammatical errors. Few spelling and punctuation errors, minor grammatical errors Virtually no spelling, punctuation or grammatical errors.
  • 37.
    34 Note: Practice PersonalHygiene protocols at all times References https://www.bing.com/search?q=stereotypes+activity+s+heet&qs=n&form=QBRE &sp=-1&ghc=1&pq=stereotypes+activity+s+heet&sc=0- 27&sk=&cvid=15617409C0804B07B26FD1EB104C2124 https://scotdec.org.uk/aadamsbairns/files/activities/unit5/activity5.1.1.html https://www.bing.com/images/search?view=detailV2&ccid=5S%2BaIPrk&id=95B 6541CE6225751827FE31D0382D3C73B2FF1F0&thid=OIP.5S- aIPrkeGdUDVBu2kSDjAHaFU&mediaurl=https%3A%2F%2Fwww.thoughtco.co m%2Fthmb%2FPjp1Yq88Fvux4DWsOybKNHrZroM%3D%2F629x452%2Ffilter s%3Afill(auto%2C1)%2Finformal-essay-rubric- 56a5633a5f9b58b7d0dc9e92.JPG&exph=452&expw=629&q=sample+rubrics+for +essay+writing&simid=608053844343458093&ck=FCDB8FD36D0E474BE4DE8 B63E4ADD24F&selectedindex=1&ajaxhist=0&vt=0&eim=1,6 https://www.google.com/search?q=invictus&rlz=1C1CHBF_enPH876PH876&sxsr f=ALeKk02ynbqVok0Sb8CiCkOZd_xBRynWfw:1594244432827&source=lnms& tbm=isch&sa=X&ved=2ahUKEwi57emoz77qAhVhFqYKHSX0DJsQ_AUoAXoE CB8QAw&biw=1280&bih=6 Answer Key Activity 1: (Answers may vary) 1. Name: Angelina Jolie American people __________________ 2. Name: Samuel L. Jackson African people are black skinned______ 3. Name: Charice Pempenco Filipinos are short__________________ Activity 2 1. C 2. B 3. B 4. D 5. A Activity 3 1. Propaganda 2. Point of View 3. Stereotypes 4. Point of view 5. Propaganda Activity 4: Answers vary Prepared by: KAITHLYN B. CORDEL Writer
  • 38.
    35 Note: Practice PersonalHygiene protocols at all times ENGLISH 5 Name of Learner: __________________________ Grade Level:__________ Section: _________________________________ Date:_________________ LEARNING ACTIVITY SHEET Various Types of Viewing Materials Background Information The term visual materials consist of a wide range of forms, including photographs, cinema and video films, video tapes, paintings, drawings, cartoons, prints, designs, and three- kinds of art such as sculpture and architecture. It enhances your listening skills when you attend to nonverbal communication and visual elements of performance, video, television, film, and multimedia presentations. It also enhances your reading when you attend to visuals accompanying print (charts, diagrams, illustrations specific textual techniques (layout, color, symbols) and the assumptions, perspectives, and quality of a variety of media (photos, plays, and video) (https://resources. library.lemonye.edu) Let’s Read and Study Types of viewing materials 1. Microsoft PowerPoint – most commonly used form of visual aid. If used well, it can really help, if not, it can have the opposite effect 2. Overhead projector (OHP) slides transparencies – are displayed on the overhead projector found very useful in most lecture rooms. The OHP projects and enlarges your slides onto a screen or wall without requiring the lights to be dimmed 3. White/or black board- very useful to help explain the sequence of ideas or routines particularly in the sciences. Use to clarify your title or to record your key points as you introduce a presentation. 4. Paper Handouts - very useful. Use a handout if the information is too detailed to fit on a slide or if you want your audience to have full record of your research. 5. Flip chart – a large pad of paper on a stand. It is a very useful and flexible way of recording information during presentation. It can be pre-prepared. 6. Video (DVD of VHS) – a chance to show stimulating visual information. Use video to bring movement, pictures, and sound in the presentation. 7. Artifacts or props – Use artifacts or props for actual hands on Learning Competency with Code Distinguish among various types of viewing materials (EN5VC-Id-6 )
  • 39.
    36 Note: Practice PersonalHygiene protocols at all times Activity 1 Directions: Match the picture of the viewing material to its name at the right. Write only the letter of your answer. 1. A. Flip chart B. black board 2. C. video 3. D. power point E. artifacts 4. F. hand outs 5.
  • 40.
    37 Note: Practice PersonalHygiene protocols at all times Activity 2 Directions: Arrange the letters of the viewing material described and write your answer on the space provided. 1. O D I V E – It brings movement, pictures and sound to your presentation. __________________ 2. W O D H I R A T E B – It helps to explain and clarify key points in the ___________________ presentation 3. F A C L P T I H R – It is a pre-prepared large pad paper on a stand to record ___________________ information and help recap main points. 4. N E R I W O P P O T - It is the most commonly used form of viewing ___________________ material. 5. R A S C T F A T I - It can be seen and touched by everybody during the lesson but needs care. ____________________ Activity 3 Directions: Read each question carefully. Encircle the letter of the correct answer. 1. What viewing material is used if the information is too detailed and you want your audience to have a full record of it? a. overhead projector b. handouts c. slides d. video 2. Which of these visual materials is the most commonly used because it is easy to prepare? a. arte facts b. flip charts c. power point d. white board 3. What best describes the black board as a type of viewing material? a. large pad of paper with a stand b. used to bring movement and sound c. pupils can see and hold the object d. used to record and clarify key points 4. Which is not true about overhead projectors? a. projects and enlarges slides onto a screen b. words and images can be written on a computer c. can be given to pupils for them to read d. short presentations written in slides
  • 41.
    38 Note: Practice PersonalHygiene protocols at all times 5. This viewing material shows movement, pictures and sounds that motivates viewers to learn information easier. What do you call this type of material? a. power point b. video c. props d. blackboard Activity 4 Directions: Suppose your teacher says that the material is better than the second one, do you agree or not? State your reason why you agree or not. 1. black board and white board- ________________________________________ _________________________________________________________________ 2. power point and video- _____________________________________________ _________________________________________________________________ 3. overhead projector and white board- ____________________________________ ____________________________________________________________________ 4. artifacts and power point -____________________________________________ ____________________________________________________________________ 5. flip chart and black board- _____________________________________________ ___________________________________________________________________ Reflection I have learned in this activity that________________________________________________ ___________________________________________________________________________ ___________________________________________________________________________ ___________________________________________________________________________ ___________________________________________________________________________ References Internet website/link (https://resources. library.lemonye.edu) www.onestopenglish.com, 557577 https://www.pressreader.com, sunset https://www.slideshare.net, mobile
  • 42.
    39 Note: Practice PersonalHygiene protocols at all times Answer Key Activity 1 Activity 2 1. C 1. VIDEO 2. D 2. WHITE BOARD 3. A 3. FLIP CHART 4. F 4. POWER POINT 5. B 5. ARTEFACTS Activity 3 Activity 4 1. b Answers may vary 2. c 3. d 4. c 5. b Prepared by: JUANA C. VILLANUEVA Writer
  • 43.
    40 Note: Practice PersonalHygiene protocols at all times ENGLISH 5 Name of Learner: ______________________________ Grade Level: _____________ Section: ______________________________________ Date: ___________________ LEARNING ACTIVITY SHEET Types of Viewing Material Background Information for Learners Viewing: Is an active process of attending and comprehending visual media, such as television, advertising images, films, diagrams, symbols, photographs, videos, drama, drawings, sculpture and paintings. So viewing is about reading, analyzing, evaluating, and appreciating visual texts. Likewise, the language art of viewing may involve reading and listening, such as when you listen to the narration or when you read a section title. Viewing also helps you understand visual images and connecting them to accompanying spoken or written words. It involves interpreting the images for which words stand and connecting visual images in videos, computer programs, and websites with accompanying printed or spoken words. Learning Competency with code Distinguish among various types of viewing materials (EN5VC-id-6) Activity 1 Directions: Read each question carefully. Choose the correct answer and write the letter on your paper. 1. What would be the best material to use if a question asked for the pronunciation of a word? a. Thesaurus b. Encyclopedia c. Atlas d. Dictionary 2. What material would you use to find the list of Academy Award a. Encyclopedia b. Almanac c. Atlas d. Television
  • 44.
    41 Note: Practice PersonalHygiene protocols at all times 3. What would be the best material to use if you need another word for “quiet”? a. Thesaurus b. Encyclopedia c. Atlas d. Dictionary 4. What is the best material to use for current events? a. Newspaper b. Almanac c. Atlas d. Television 5. What is the best material to use if you need to find the location of Philippines in Asia? a. Newspaper b. Almanac c. Atlas d. Television Activity 2: Giving meaning to what is being viewed Directions: Study the picture below and answer the questions that follow. Write only the letter of your answer in your paper. (For items 1&2) 1. What can you see in the picture? a. A Mother and child with masks, hand sanitizer b. Masks and sanitizer c. Mother and children d. Protection against COVID 2. What can you say about the picture? a. Mother sharing her child some sanitizer b. Mother and child getting ready to sleep c. Mother and son in the market d. Mother teaching her child on how to protect themselves against virus
  • 45.
    42 Note: Practice PersonalHygiene protocols at all times (For items 3&4) 3. What mood is best expressed in the picture? a. Contentment b. Happiness c. Love d. Satisfaction 4. What probable trait do the parents in the picture possess? a. Industrious b. Loving c. Polite d. Responsible (For item 5 & 6) 5. We can conclude in the picture that a. Most people are happy all the time b. People are angry of what they see c. People possess different emotions d. Being angry and sad are negative feelings 6. What emotion would you want others to possess? a. Angry b. Fear c. Happy d. Sad
  • 46.
    43 Note: Practice PersonalHygiene protocols at all times (For item 7-10) 7. Who do you think are in the picture? a. The boy and his friend b. The street children c. Father and son d. The fisherman’s neighbour 8. What activity are they doing? a. Preparing their net for catching fish b. Mending their fish nets c. Getting ready to go ashore d. Looking for some fish 9. Where do you think they live? a. In a city b. In a province c. In a farm d. In the province near the sea 10. What status of life do you think they have? a. Well off b. Rich c. Poor d. Wealthy
  • 47.
    44 Note: Practice PersonalHygiene protocols at all times Activity 3 Directions: Distinguish what type of viewing material is shown in the picture. Choose the correct answer. 1. To what visual media does this picture derive? a. Advertising image b. Diagram c. Film d. Flip chart 2. Study this picture. They are mathematical _______. a. Diagram b. Drawing c. Sculpture d. Symbol 3. Who are in this picture in relation to a TV series drama? a. The starred and the villain character b. The actors c. The characters d. The setting of the drama
  • 48.
    45 Note: Practice PersonalHygiene protocols at all times 4. What does the image wants to convey? a. To give emphasis on the main character and his opponent b. To show the two sides of characters in a TV drama series c. To collect more fans for the actors d. To advertise the TV drama series 5. The image below helps much on understanding science lesson. What type of visual material is this? a. Diagram b. Flip chart c. Photographs d. Symbol 6. This image can be obtained through________________. a. Drawing b. Sculpturing c. Photo shots d. Video recording 7. What type of viewing material is this? a. Drawing b. Sculpture c. Photo d. Video
  • 49.
    46 Note: Practice PersonalHygiene protocols at all times 8. The lady is expressing her talent through __________. a. Drawing b. painting c. Sculpturing d. Photo 9. What type of material is this? a. Diagram b. Flipchart c. Photograph d. Sculpture 10. What does this image refer to? a. Advertising material b. Slogan c. Video clip d. YouTube upload
  • 50.
    47 Note: Practice PersonalHygiene protocols at all times Activity 4 Directions: Study the picture below. What does it tell about the new normal set up in holding classes? Write a short paragraph about it. Give a title to your work. Paragraph Writing Rubric for Activity 4 CRITERIA 5 4 3 2 Points Main/topic idea sentence Main/topic idea sentence is clear and correctly stated Main/topic idea sentence is either unclear or incorrectly stated Main/topic idea sentence is unclear or incorrectly stated Main/topic idea sentence is unclear or unstated Supporting detail sentences Paragraphs have three or more supporting detail sentences that relate back to the main idea Paragraphs have two supporting details that relate back to the main idea Paragraphs have one supporting details that relate back to the main idea Paragraphs have no supporting details that relate back to the main idea Legibility and neatness Neatly written with legible handwriting Slight error, marginally legible handwriting More erasures and writing is not legible Writing is not legible Mechanics and Grammar Paragraph has no errors in punctuation, capitalization and spelling Paragraph has few errors in punctuation, capitalization and spelling Paragraph has some errors in punctuation, capitalization and spelling Paragraph has many errors in punctuation, capitalization and spelling Total Guide Questions:
  • 51.
    48 Note: Practice PersonalHygiene protocols at all times 1. What are types of viewing? ________________________________________________________________ ________________________________________________________________ ________________________________________________________________ 2. How do we use these materials in order for us to benefit from them? ________________________________________________________________ ________________________________________________________________ ________________________________________________________________ Reflection Complete this statement: I have learned in this activity that _______________________________________________ ___________________________________________________________________________ ___________________________________________________________________________ __________________________________________________________________________. References https://app.quizalize.com/view/quiz/en5vcid6-e5a2394d-d0be-4054-8c20-0e4de725d0b1 https://www.shutterstock.com/image-photo/family-kids-face-mask-shopping- mall- 1641857584 https://www.shutterstock.com/image-photo/family-resting-on-lake-272612063 https://www.google.com/search?q=advertising+images+free&tbm=isch&source=iu&ictx https://www.nbiscbse.com/wp-content/uploads/2018/10/grade-5-pintura-drawing- competition-best-cbse-school-nbis-300x234.jpg https://flipcharts2go.com/image?image_id=5287&image_subtype=3 Answer Key Activity 1 Activity 2 Activity 3 Activity 4 1. D 2. B 3. A 4. A 5. C 1. A 2. D 3. D 4. D 5. C 6. D 7. C 8. A 9. D 10. C 1. A 2. D 3. A 4. B 5. C 6. A 7. B 8. D 9. C 10. A (Answers may vary) Prepared by: EVANGELINE A. NANUD Writer