FOOD PROCESSING AND
PRESERVATION - FULLPRESERVATION - FULL
J.ILANGUMARAN
HEAD ACHE…?
• EAT FISH!
• Eat plenty of fish -- fish oil helps
prevent headaches. So does ginger,
which reduces inflammation and pain.
HEAVY FEVER ….?
• EAT YOGURT!
• Eat lots of yogurt before pollen season.
• Also-eat honey from your area (local
region) daily.
TO PREVENT STROKE….. ?
• DRINK TEA!
• Prevent buildup of fatty deposits on artery
walls with regular doses of tea.
• (Actually, tea suppresses my appetite and
keeps the pounds from invading....Green tea is
great for our immune system)!
INSOMNIA.. (CAN'T SLEEP…?)
• HONEY!
• Use honey as a tranquilizer and sedative.
ASTHMA……. ?
• EAT ONIONS!!!!
• Eating onions helps ease constriction of bronchial
tubes. (When I was young, My mother would make
onion packs to place on our chest, helped the
respiratory ailments and actually made us breathe
better).
ARTHRITIS… ?
Salmon Fish Tuna Fish
• EAT FISH, TOO!!
• Salmon, tuna, mackerel and sardines actually
prevent arthritis. (Fish has
omega oils, good for our immune system)
Mackerel Fish
Sardines Fish
UPSET STOMACH… ?
• BANANAS - GINGER!!!!!
• Bananas will settle an upset stomach.
• Ginger will cure morning sickness and
nausea.
BLADDER INFECTION…. ?
• DRINK CRANBERRY JUICE!!!!
• High-acid cranberry juice controls• High-acid cranberry juice controls
harmful bacteria.
BONE PROBLEMS…?
• EAT PINEAPPLE!!!
• Bone fractures and osteoporosis can be
prevented by the manganese in
pineapple .
MEMORY PROBLEMS…?
• EAT OYSTERS!
• Oysters help improve your mental functioning
by supplying much-needed zinc.
COLD …?
• EAT GARLIC!
• Clear up that stuffy head with garlic.
(Remember, garlic lowers cholesterol, too .)
COUGHING….?
• USE RED PEPPERS!!
• A substance similar to that found in the cough
syrups is found in hot red pepper . Use red
(cayenne) pepper with caution-it can irritate your
tummy.
BREAST CANCER….. ?
• EAT Wheat, bran and cabbage, helps to
maintain estrogen at healthy levels.
LUNG CANCER….. ?
Try these green fruits
& vegetables:
•Broccoli (excellent!!)
•Kale
•Romaine lettuce
•Bok choy
•Zucchini
•Collard greens
•Brussel Sprouts
•Cucumbers
•Cabbage
•Artichoke
•Okra
•Kiwi
•Honeydew Melon
•Lime
• EAT DARK GREEN VEGGIES AND ORANGE !!!
• A good antidote is beta carotene, a form of Vitamin A found in dark
green and orange vegetables.
•Brussel Sprouts
•Turnip greens
•Spinach
•Asparagus
•Lime
•Green bell pepper
•and there are many,
many more!!
ULCERS….?
• EAT CABBAGE ALSO!!!
• Cabbage contains chemicals that help heal
both gastric and duodenal ulcers.
DIARRHEA…..?
• EAT APPLES!
• Grate an apple with its skin, let it turn
brown and eat it to cure this condition .
(Bananas are good for this ailment)
CLOGGED ARTERIES….?
• EAT AVOCADO!
• Mono unsaturated fat in avocados lowers
cholesterol.
HIGH BLOOD PRESSURE….?
CELERY OLIVES
• EAT CELERY AND OLIVE OIL!!!
• Celery contains a chemical that lowers
pressure too.
• Olive oil has been shown to lower blood
pressure.
CELERY OLIVES
BLOOD SUGAR IMBALANCE……?
• EAT BROCCOLI AND PEANUTS!!!
• The chromium in broccoli and peanuts
helps regulate insulin and blood sugar.
FRUITS:-
Kiwi….?
• Tiny but mighty. This is a good source of
potassium, magnesium,
• Vitamin E &fiber. Its Vitamin C content is twice
that of an orange.
Apple….
• An apple a day keeps the doctor away? Although an
apple has a low Vitamin C content, it has antioxidants
& flavonoids which enhances the activity of Vitamin
C thereby helping to lower the risks of colon cancer,
Heart attack & stroke.
Strawberry…..
• Protective fruit. Strawberries have the highest total• Protective fruit. Strawberries have the highest total
antioxidant power among major fruits &protects the body
from cancer causing, blood vessels clogging free radicals.
(Actually, any berry is good for you . .they're high in anti-
oxidants and they actually keep us young .........blueberries are
the best and very versatile in the health field ........they get rid
of all the free-radicals that invade our bodies)
Orange….
• Sweetest medicine. Taking 2 - 4 oranges a day• Sweetest medicine. Taking 2 - 4 oranges a day
may help keep colds away , lower cholesterol,
prevent & dissolve kidney stones as well as
lessen the risk of colon cancer.
Water melon
• Coolest Thirst Quencher. Composed of 92% water, it is also
packed with a giant dose of glutathione which helps boost our
immune system. They are also a key source of lycopene - the
cancer fighting oxidant. Other Nutrients found in watermelon
are Vitamin C &Potassium. (watermelon also has natural
substances [natural SPF sources] that keep our skin healthy,
protecting our skin from those darn suv rays)
Guava & Papaya…
Guava fruit Papaya fruit
• - Top awards for Vitamin C. They are the clear
winners for their high Vitamin C content. Guava is
also rich in fiber which helps prevent constipation.
• Papaya is rich in carotene, this is good for your eyes.
(also good for gas and indigestion)
Tomatoes…….
• Are very good as a preventative measure
for men, keeps those prostrate problems
from invading their bodies.
CONSTITUENTS OF FOODS
THERE ARE THREE MAIN GROUPS OF
CONSTITUENTS OF FOODS
• CARBOHYDRATES
• PROTEINS
• FATS and derivatives of these
In addition, there are inorganic and mineral components and a
diverse group of organic substances like vitamins, enzymes,
emulsifiers, acids, oxidants, antioxidants, pigments and flavors
in small proportions.
The general composition of a food as well
as the way in which the components are
organized give a food its individual
characteristics
For example, whole milk and fresh apples have
about the same water content. But one is a
liquid and the other is a solid because of the way
the components are arranged
CARBOHYDRATES
• Carbohydrates are organic compounds with the basic
structure of Cx (H2O)y
• In foods they are available as sugars (glucose, fructose,
maltose, sucrose, and lactose) , dextrins, starches, celluloses,
hemicelluloses, pectins and certain gums
• Simple carbohydrates are called as sugars and they contain 6
carbon atoms, 12 hydrogen atoms, and 6 oxygen atomscarbon atoms, 12 hydrogen atoms, and 6 oxygen atoms
• Carbohydrates play a major role in biological systems and in
foods. They are produced by photo synthesis in plants.
• Carbohydrates can be oxidized to furnish energy
• Glucose in the blood is a ready source of energy
• Fermentation of carbohydrates by yeast and other micro
organisms can yield carbon dioxide, alcohol, etc.
PROPERTIES OF SUGARS
• They are used for their sweetness
• They are readily soluble in water and form syrups
• They form crystals when water is evaporated from their
solutions (this is the way sucrose is recovered from sugar cane
juice)
• They supply energy
• They are readily fermented by microorganisms• They are readily fermented by microorganisms
• They prevent the growth of microorganisms in high
concentration. So they are used as preservatives
• They darken in color or caramelize (burnt appearance) on
heating. Some combine with proteins to give dark
colors(browning reaction)
• They give body and mouth feel to solutions in addition to
sweetness
PROPERTIES OF STARCHES
• Starches are from plant origin
• They are not sweet
• They are not readily soluble in cold water
• They provide a reserve energy source in plants• They provide a reserve energy source in plants
and supply energy in nutrition
• They occur in seeds as characteristic starch
granules
• Starch granules may be precooked to produce a
starch that will swell in cold water
PROPERTIES OF CELLULOSES AND
HEMICELLULOSES
• They are acting as supporting structures in plant tissues and
relatively resistant to breakdown
• They are soluble in cold and hot water and are not digested by
man. So they don't yield energy
• Long cellulose chains may be held together in bundles• Long cellulose chains may be held together in bundles
forming fibers as in cotton
• The fiber in food that produces necessary dietary roughage is
largely cellulose. The hard parts of coffee beans and nut shells
contain celluloses and hemicelluloses
• They can be broken down to glucose units by certain enzymes
and microorganisms
PROPERTIES OF PECTINS AND
CARBOHYDRATE GUMS
• They are sugar derivatives usually present in plants in lesser
amounts
• Pectins are made up of chains of repeating units
• Pectins are common in fruits and vegetables and are gumlike
• Pectins are soluble in hot water• Pectins are soluble in hot water
• Pectins contribute viscosity to tomato paste and stabilize the
fine particles in orange juice from setting out
• Pectins in solution form gels when sugar and acid are added
(jelly manufacture)
• Pectins and gums are added to foods as thickeners and
stabilizers
PROTEINS
• Proteins are made by linking individual amino acids in long
chains. Amino acids are made up of carbon, hydrogen, oxygen
and nitrogen and some may also have sulfur
• Proteins are essential to all life
• They are major constituents of enzymes, antibodies, many
hormones and body fluids such as blood, milk and egg whitehormones and body fluids such as blood, milk and egg white
• Protein chains can be oriented parallel to one another like the
strands of rope as in wool, hair and the fibrous tissue of
chicken or they can be randomly tangled like a bunch of string
• When the organized molecular configuration is of the protein
is disorganized we can say the protein is denatured
FATS AND OILS
• Fats differ from carbohydrates and proteins in that they are
not polymers of repeating molecular units
• They do not contribute structural strength to plant and
animal tissues
• Fats are smooth and greasy substances that are insoluble in
waterwater
• Fat is mainly is a fuel source for animal and plant. It contains
2.25 times the calories found in equal dry weight of protein
and carbohydrate
• A typical fat molecule consists of glycerol combined with
three fatty acids
• Fats gradually soften on heating. They do not have sharp melting
point. Fats can be heated above the boiling point of water, they can
brown the surfaces of foods
• When heated further they begin to smoke, then they flash and then
they burn. The temperatures are called as smoke, flash and fire
points respectively. This is important in commercial frying operations
• Fats will become rancid when they react with oxygen OR fatty acids
are liberated from glycerol by enzymes
• Fat forms emulsions with water and air. Fat globules are suspended in
a large amount of water as in milk or cream. Water droplets may be
suspended in a large amount of fat as in butter
• Fat is a lubricant in foods. Fat has shortening power of fibrous
muscles. Fat tenderizes meat as well as baked goods
• Fats contribute characteristic flavors to foods and in small amounts
produce a feeling of loss of hunger
ADDITIONAL FOOD CONSTITUENTS
• Carbohydrates, Proteins and fats are called as major
food constituents
• There are other groups of substances which play in
important role, out of proportion to their relativelyimportant role, out of proportion to their relatively
small concentration in foods
• They are Natural Emulsifiers, Analogs, Organic Acids,
Oxidants and Antioxidants, Enzymes, Pigments and
Colors, Flavors, Vitamins and Minerals, Natural
Toxicants and water
NATURAL EMULSIFIERS
• Materials that keep fat globules dispersed in
water OR water droplets dispersed in fat are
emulsifiers
• Lecithins are the example for natural
emulsifiersemulsifiers
• Lecithins are structurally like fats but contain
Phosphoric acid
• Emulsifiers belong to a broader group of
chemicals known as surface active agents
ANALOGS
• Analogs have the common objective of
mimicking the functional properties such as
flavor, mouthfeel, texture and appearance at
the same time reducing the caloric content of
the foodthe food
• The use of fat replacers in ice cream is a good
example of analogs
• Other substitutes for sugar and fat are also
developed
ORGANIC ACIDS
• Fruits contain natural acids, such as citric acid of oranges and
lemons, malic acid of apples and tartaric acid of grapes
• These acids give the fruits tartness[ sharp in taste ] and
slowdown the bacterial spoilage
• Foods are deliberately fermented with bacteria to produce
acids to improve flavor and qualityacids to improve flavor and quality
• Organic acids have a wide range of textural effects in foods
due to their reactions with proteins, starches, gums and other
food constituents
• Acids are also important inhibitors of bacterial spoilage in
foods
OXIDANTS AND ANTIOXIDANTS
• Many food constituents are adversely affected by oxygen in
the air. Oxygen is an oxidant which causes oxidation of these
materials
• Certain metals like copper and iron are strong promoters of
oxidation. This is one of the reasons why copper and iron have
largely been replaced in food processing equipment bylargely been replaced in food processing equipment by
stainless steel
• An antioxident tends to prevent oxidation. Natural
antioxidants present in foods are lecithin, vitamin C and E and
certain sulfur containing amino acids. Synthetic chemicals
approved by Govt. are also effectively used as antioxidants in
foods
ENZYMES
• Enzymes are biological catalysts that promote a wide variety
of biochemical reactions
• Amylase found in saliva promotes digestion or breakdown of
starch in the mouth
• Pepsin found in gastric juice promotes digestion of protein
• Lipase found in liver promotes breakdown of fats• Lipase found in liver promotes breakdown of fats
• Even after a plant is harvested or an animal is killed, most of
the enzymes continue to promote specific chemical reactions
• Enzymes are large protein molecules
• Enzymes function by lowering the activation energies of
specific substrates
• In the course of reaction the enzyme is unchanged
PIGMENTS AND COLORS
• Natural Plant and Animal Pigments are giving the color to
foods
• Chlorophyll imparts green color to peas
• Carotene gives the orange color to carrots and corns
• Lycopene contributes the red to tomatoes and watermelons
• Anthocyanins contribute purple to grapes
Oxymyoglobin gives the red color to meats• Oxymyoglobin gives the red color to meats
• The natural pigments are highly susceptible chemical change
– Fruit ripening, Meat ageing
• Excess heat alters the color of foods
• The second source of color to food is sugars
• Dark colors are resultant from chemical interactions between
sugars and proteins
FLAVORS
• The occurrence and food flavor changes more
complex than anything
• In coffee alone there are 800 constituents
which contribute to flavor and aroma.
• These organic chemicals are highly sensitive to• These organic chemicals are highly sensitive to
air, heat and interaction with one another
• It is important to note that the flavor has a
regional and cultural basis
VITAMINS AND MINERALS
• Vitamins are organic chemicals
• Vitamin D can be manufactured by human body
• Vitamins are divided into two main groups as fat
soluble – A, D, E & K and water soluble – C & Bsoluble – A, D, E & K and water soluble – C & B
• Minerals are also required by human body. The
deficiency may result in weakness in bones and
tooth.
NATURAL TOXICANTS
• The plants have evolved the ability to form many
compounds which may serve to protect the plant.
Some of these are toxic
• Some species of mushrooms have poisonous
properties
The toxicants occurring naturally in foods are alkaloid• The toxicants occurring naturally in foods are alkaloid
solanine in potatoes, cyanide in lima beans, safrole in
spices, prussic acid in almonds, oxalic acid in spinach
etc.
• Many harmful substances are also added to food
from industrial contaminants, fertilizers, soil and
water.
WATER
• Water is present in most natural foods to the extent of 70% of
their weight or greater
• Fruits and vegetables may contain 90% to 95%
• Cooked meat still contains 60% of water
• Water greatly affects the texture of foods
• The form of water present in the food decide the physical
properties of food. Milk and apple have the same amount ofproperties of food. Milk and apple have the same amount of
water but have different physical structure
• Removing food from water is called as food dehydration
• The removal water is done in foods to reduce weight and to
preserve
• Water which can’t be removed by dehydration is called as
bound water
UNIT OPERATIONS IN FOOD
PROCESSING INDUSTRY
• Cleaning
• Coating
• Concentrating
• Controlling
• Disintegrating
• Forming
• Heating/Cooling
• Materials handling
• Mixing
• Packaging• Disintegrating
• Drying
• Evaporating
• Fermentation
• Packaging
• Pumping
• Separating and others
The above operations are listed in alphabetical order not in sequence of importance
• The unit operations may also include
numerous different activities. For
example agitating, beating, blending,
diffusing, dispersing, emulsifying,
homogenizing, etc.homogenizing, etc.
• One of the key elements to food
processing is the proper selection and
combination of unit operations into more
complex integrated processing systems
MATERIALS HANDLING
• Materials handling includes such varied operations as hand
and mechanical harvesting on the farm, refrigerated trucking
of perishable produce, box car transporting of live cattle and
pneumatic conveying of flour from rail car to bakery storage
binsbins
• Throughout such operations emphasis must be given to
maintaining sanitary conditions, minimizing product losses,
maintaining the material quality, minimizing bacterial growth,
and timing all transfers & deliveries so as to minimize the
holdup time
CLEANING
• Foods by the nature of the way they are grown or produced
on farms in open environment requires cleaning before use
• Cleaning ranges from simple removal of dirt from egg shells
with an abrasive brush to the complex removal of bacteria
from a liquid food by passing it through a micro porous
membrane
• Grains must be cleaned of stones before use• Grains must be cleaned of stones before use
• Cleaning can be accomplished with brushes, high velocity air,
steam, water, vacuum, magnetic attraction of metal
contaminants, mechanical separation and so on
• Some cleaning methods are dictated by surface
characteristics of the product
• Many types of soil dirt can be cleaned with mild alkaline
detergents
SEPARATING
• Separating can involve separating a solid from a solid OR solid
from a liquid OR liquid from a solid
• One of the commonest forms of separating is the hand sorting
and grading of individual units as in the case of vegetables
and fruits
• Mechanical and electronic sorting devices are developed to
avoid the problems in manual sorting
• Mechanical and electronic sorting devices are developed to
avoid the problems in manual sorting
• Difference in color can be detected by a photo cell and this
can be done at enormous speeds
• Light shining through eggs can detect blood spots
• Automatic separation according to size is easily accomplished
by passing fruits or vegetables over different size screens and
holes
A TYPICAL SEPARATOR
The skins of fruits and vegetables may be removed
using a lye peeler
DISINTEGRATING
• Operations which subdivide large pieces of food into smaller
parts are classified as disintegrating
• It may involve cutting, grinding, pulping, homogenizing and so
on
• Normally dicing [cubing] of vegetables is done in automatic
machinesmachines
• The cutting of meat is still a time consuming hand-labor
operation
• When disintegrating is done by grinding heat is produced and
this heat may denature the proteins. To avoid this grinding
operations are normally done in frozen form
• Homogenizing produces disintegration of fat globules in milk
A. SLICING EQUIPMENT
B. DICING EQUIPMENT
PUMPING
• Moving fluids from one processing step to
another is done by pumping
• There are many kinds of pumps. The choice is
dependent on the character of food to be
movedmoved
• Cam and piston pump, Gear pumps, Lobe
pumps, Screw pumps, Vane pumps and
Shuttle block pumps are normally used for this
purpose
MIXING
• There are many kinds of mixtures depending on the materials
to be mixed
• Mixing solids with solids, solids with liquids and liquids with
liquids can be done
HEATING
• Many foods are heated to destroy microorganisms
• Some are heated to drive away moisture and to develop
flavors
• Some are also heated to make them more tender
• Foods are heated by conduction, convection and radiation or
a combination of thesea combination of these
• Foods are sensitive to heat
• Prolonged heating causes burned flavors, dark colors and loss
of nutritional value
• Foods may be heated or cooked using toasters, direct
injection of steam, direct contact with flame, using electronic
energy as in the case of microwave ovens, etc.
b). HORIZONTAL SCRAPED SURFACE HEAT EXCHANGER
COOLING
• Cooling is the removal of heat energy and this
may be done to the degree of chilling to
refrigerator temperature. Beyond this range
the food is frozen
• Milk is cooled by passing them in thin layers• Milk is cooled by passing them in thin layers
through heat exchangers
• There are many types of commercial freezers
• Quick freezing is done to preserve the food
quality. Liquid nitrogen at -196 degree celcius
is used for this purpose
PLATE FREEZER
LIQUID NITROGEN FREEZER
EVAPORATION
• Evaporation is principally used to concentrate
food by removal of water
• It is also used to recover desirable volatiles
and to remove unwanted volatiles
• Grapes and some other fruits are dried in sun• Grapes and some other fruits are dried in sun
light
• All liquids boil at low temperature under
reduced pressure
DRYING
• The objective of drying is to remove water with minimum
damage to the food
• Evaporators will concentrate foods twofold or threefold but
the driers will take food very close to total dryness
• Driers are used to prepare products like milk powder and
instant coffee
• Liquid foods are normally subdivided either as a spray or as a• Liquid foods are normally subdivided either as a spray or as a
film and then the moisture is removed quickly with the help
of circulating heated air
• Small food pieces such as peas and diced onions can be dried
by moving through a long tunnel oven
• Over heating and shrinkage by the removal of moisture will
give poor quality to the food and this can be avoided by freeze
drying
FORMING
• Foods are often formed into specific shapes
• Pressure is applied to form the desired
shapes. If necessary heating is also done in
some casessome cases
• Forming is an important operation in making
breakfast cereals. This is done by pressure
extrusion through dies
PACKAGING
• Food is packaged for many purposes.
• Some reasons are containment for shipping, dispensing,
unitizing in to appropriate sizes, improving the usefulness,
protect from microbial contamination, physical dirt, insect
invasion, light exposure, flavor pickup, flavor loss, moisture
pickup, moisture loss and physical abusepickup, moisture loss and physical abuse
• Food is packaged in metal cans, glass & plastic bottles, paper
& paper board, wide variety of plastic & metallic films and
combinations of these
• Packaging is done by continuous automatic machines at a
speed of 1000 units per min
• The container forming is dependent on the type of the food
OVERLAPPING UNIT OPERATIONS
• The division or grouping of the unit operations is not
fixed and perfect. There can be overlapping
• Any total food process will always be a series of unit
operations, performed in a logical sequence
• In modern food processing these operations are so
connected as to commonly permit smooth,
continuous automatically controlled production
• So that the sequence is dependent on the type of the
food, the industry by which it is processed, etc.
ENERGY CONSERVATION
• All the unit food processing unit operations require
considerable amounts of energy. Thus the energy cost is a
significant part in food production
• Care must be taken while designing the unit operations for
optimizing energy use
• Dehydration, concentration, freezing, sterilization and other• Dehydration, concentration, freezing, sterilization and other
operations are being reevaluated in terms of times and
temperatures
• There are many methods to conserve energy throughout the
food production. Today it is also common to employ energy
conservation specialists for energy auditing and management
FOOD DETERIORATION AND ITS CONTROL
• All foods undergo varying degrees of deterioration during
storage
• Deterioration include organoleptic desirability, nutritional
value, safety and aesthetic appeal
• Foods may change in color, texture, flavour etc• Foods may change in color, texture, flavour etc
• Food is subjected to physical, chemical and biological
deterioration
• Heat, cold, light, other radiation, oxygen, moisture, dryness,
natural food enzymes, micro organisms, macro organisms,
industrial contaminants, presence of other foods and time are
range of potentially destructive factors
USEFUL STORAGE LIFE OF PLANT AND
ANIMAL TISSUES
FOOD PRODUCT GENERALISED STORAGE LIFE
AT 21OC [days]
Meat 1-2
Fish 1-2
Poultry 1-2
Dried, salted, smoked meat and fish 360 and more
Fruits 1-7
Dried fruits 360 and more
Leafy vegetables 1-2Leafy vegetables 1-2
Root crops 7-20
Dried seeds 360 and more
• Room temperature is much higher than 21 deg c in many
parts of the world
• Similarly slow rate of deterioration will occur in low
temperature, low moisture, high in sugar, high in salt, high in
acid etc.
• It is interesting to note that some most important methods of
food preservation have been developed during the time of
war
• When Napoleon of France is at war during eighteenth century
the army suffered a lot with spoiled food
• Prizes were offered to develop useful methods for preserving
food
• A scientist Nicolas Appert found that food can be preserved
by heating it in a sealed container and Appert was awarded.by heating it in a sealed container and Appert was awarded.
This lead to the development of canning food
• The renowned scientist Pasteur invented that the spoilage of
food is due to micro-organisms and that can be controlled or
killed by heating. This lead to the development of processes
like pasteurization and sterilization
• One of the most important aspects of food processing is to
understand the food deteriorative factors and to control them
SHELF LIFE AND DATING OF FOODS
• It is defined as the time that a food takes to decline to an
unacceptable level
• The term acceptable varies from person to person. In many
cases the manufacturer will define the minimum acceptable
quality[MAQ]
• The shelf life depend on many factors like processing method,• The shelf life depend on many factors like processing method,
packing and storage conditions
• For example one cant exactly tell the shelf life of fresh milk at
room temperature. Milk at room temperature have different
shelf life than milk stored at refrigeration temperature
• So a dating system is formed in retail packages like Pack date,
sell by date etc.
MAJOR CAUSES OF FOOD DETERIORATION
• Growth and activities of micro organisms [bacteria, yeasts and
molds]
• Activities of food enzymes and other chemical reactions
within the food itself
• Infestation by insects [parasites and rodents]
• Inappropriate temperature for a given food• Inappropriate temperature for a given food
• Either the gain or loss of moisture
• Reaction with oxygen
• Exposure to light
• Physical stress or abuse
• Time
BACTERIA, YEASTS AND MOLDS
• There are thousands of species of micro organisms and they
are all associated with one another and food products
• Not all the species are causing the damage. The growth of
some are desirable [production of alcohol, flavor production
in some food etc.]
• Micro organisms are capable of spoiling food and found
everywhere [soil, water, air, skins of cattle, feathers of poultry,everywhere [soil, water, air, skins of cattle, feathers of poultry,
intestines and cavities of animal body, skins and peels of fruits
and vegetables, hulls of grains and the shells of nuts, food
processing equipment, hands, skin and clothes of the worker]
• It is to be noted that the micro organisms are not found within
the flesh of healthy living animal and juice of plants
• Milk of a healthy cow is sterile but becomes contaminated as
it passes through the teat canals
• Bacteria are single-celled organisms and can be classified into
one of three types based on the shape of the cells
• Bacterial spores are far more resistant than yeast and mold
spores
• All bacteria associated with food are small in the order of
micro meter
• Molds are still larger and complex in structure and are in the
order of 1 micro meter
• Most yeasts are spherical or ellipsoidal and are larger in the• Most yeasts are spherical or ellipsoidal and are larger in the
order of 20 micro meter
• Bacteria, yeast and mold can attack all food items. Some
ferment sugars, hydrolyze starches and celluloses, hydrolyze
fats and produce rancidity, few produce toxins, digest
proteins, produce ammonia like odors
• The micro organisms like warm and moist conditions and are
called as mesophilic [temp 16 to 38 deg c]
• Some will grow at freezing point of water and are called as
psychrophilic
• The others will grow at temperatures above 82 deg c and are
called as thermophilic
• The spores of many bacteria will survive prolonged exposure
to boiling water and then multiply when the temperature is
lowered
• Bacteria will multiply by cell division. One will become two,• Bacteria will multiply by cell division. One will become two,
two will become four and so on. They can double their
number in every 30 minutes under favorable conditions
• Food intoxications involve toxic substances produced in food
by micro organisms
• The bacteria called C Botulinum produce food toxins in many
foods
FOOD-BORNE DISEASE
• Food-borne diseases are commonly classified as food infections
that are caused by microorganisms or food intoxicants that are
produced in foods as by products of microorganisms prior to
consumption
• S aureus and C botulinum produce specific food toxins
• Certain molds also produce toxins
• Many bacteria can transmit food-borne infections capable of• Many bacteria can transmit food-borne infections capable of
causing human disease
• Number of viral infections may be contracted by man through
contaminated food
• Microorganisms that are causing disease to humans are known as
pathogenic or pathogens
• Scientists are still learning about food-borne diseases
INSECTS, PARASITES AND RODENTS
• Insects are particularly destructive to cereal grains, fruits and
vegetables
• When insects eat food the food will be open to
microorganisms and this will cause further damage
• Insect eggs may persist or be laid in food then they multiply
• Commodities containing highly destructive insects are
prohibited from import and exportprohibited from import and export
• The important food-borne parasite is the Trichinosis
nematode and Trichinella spiralis. This will penetrate into the
intestines of pork
• A worm from food called Genus Anisakis can infect man and
this can survive in refrigeration temperature
• Rodents consume and waste huge volume of food. The urine
poured on the food by rodents is containing several disease
producing bacteria
FOOD ENZYMES
• The enzymes present in food ferment, rancidify and putrefy
• The activity of enzymes may be present in food even after 60
yrs of storage
• In living plant and animals these type enzymatic activities are
balanced
• The enzyme pepsin helps digest proteins in food but it will not• The enzyme pepsin helps digest proteins in food but it will not
digest the intestine
• Some of the reaction of the enzymes are highly desirable. For
example the ripening of fruits
• The enzymes may be inactivated by heat, chemicals,
irradiation etc.,
HEAT AND COLD
• Heat and cold can also cause deterioration in foods if they are
nor controlled
• The rate of chemical reaction is doubled in every 10 deg C rise
• Excessive heat will denature proteins, breaks emulsions, dries
food by removing moisture and destroys vitamins
• Freezing will also denature proteins in milk, the emulsion will•
be broken and the fat will separate
• In refrigerated storage temperature ie) 4 deg C, some are
weakened or killed and deterioration will follow. This is known
as chill injury
• Bananas, lemons and some other foods are to be kept above
10 deg C for retaining maximum quality
MOISTURE AND DRYNESS
• Excessive moisture pickup and dryness cause deterioration in
foods
• Moisture is required for chemical reactions and for
microorganisms
• Loss of moisture particularly affect the texture and
appearanceappearance
• Surface moisture resulting from changes in RH can cause
lumping, caking, mottling, crystallization and stickiness
• Very small amount of condensed water is enough for the
growth of microorganisms
• The condensation may also occur from the water of the food.
Vegetables can give off moisture from respiration
OXYGEN
• The 20% of oxygen in the air is quite enough to cause
reactions in many foods
• Vitamins A & C, food colors and flavors are subject to
oxidation
• Oxygen is essential for the growth of microorganisms
• Most of the molds are aerobic. They grow on the surface of
foodsfoods
• Atmospheric oxygen is removed from the packing of many
foods and other gases like nitrogen and carbon dioxide are
filled inside. This is called as modified atmosphere packaging
• Some foods are packed with oxygen scavengers for absorbing
residual oxygen
LIGHT
• Light destroys vitamins A, C and riboflavin
• Light also cause deterioration in many food colors
• Milk in bottles exposed to the sun light changes its flavor. This
is due to light induced oxidation and changes in protein
• Surface discolorations of sausages and meat pigments are
different under natural light and under fluorescent lamps
• Sensitive foods are packaged in opaque materials• Sensitive foods are packaged in opaque materials
TIME
• After harvest there is a time when the quality of the food is
highest. In many foods the quality is peak in one or two days
• All deteriorative activities progress with time. But this is not
applicable to some fermented foods
• Adequate processing and packaging will prolong life
PRINCIPLES OF FOOD PRESERVATION
1. Keep the food alive as long as possible. Kill
the animal or plant just before it is to be used
2. After killing the food clean it, cover it and
cool it as quickly as possible. This will
slowdown the deterioration for a short timeslowdown the deterioration for a short time
3. For long term and practical preservation
inactivating or controlling microorganisms,
enzymes and reducing or eliminating
chemical reactions are to be done
CONTROL OF MICROORGANISMS
• Controlling bacteria, yeasts and molds is done by heat, cold,
drying, acid, sugar, salt, smoke, air, chemicals radiation
HEAT
• Most of the micro organisms grow best at the temperature
range of about 16 to 38 deg C
• Most bacteria are killed in the temperature range of 82 to 93•
deg C
• But many bacterial spores are not destroyed even by boiling
water at 100 deg C for 30 min
• To ensure sterility (total destruction of microorganisms
including spores) a temperature of 121 deg (wet heat) must
be maintained for 15 min or longer
• There are two standards called sterility and commercial
sterility
• Not all the foods require the same amount of heat for
sterilization
• When food are high in acid such as tomatoes and oranges, the
killing power of heat is increased. A temperature of 93 deg C
for 15 min is enough to gain sterility if sufficient acid is
present
• Safe temperatures and times fro different foods are published• Safe temperatures and times fro different foods are published
in standard handbooks
• Many times it is not necessary to kill all the microorganisms. It
may be enough to supply heat to destroy disease producing
organisms only
• In pasteurization of milk 63 deg C for 30 min is enough to
destroy all pathogenic microorganisms
COLD
• Psychrotroph type microorganisms will grow down to 0 deg C, the freezing
point of water and below
• At temperatures below 10 deg C the growth rate is slow and becomes
slower the colder it gets
• When the water is frozen there is no multiplication of microorganisms
• But in some foods all of the water is not frozen at a temperature of -10
deg C or lower
• The slowing of microbial activity is the principle behind the refrigeration
and freezing preservationand freezing preservation
• An important thing is to be noted that an ice cream mix inoculated with
typhoid bacteria still remained 600000 live bacteria per millimeter after 1
year of frozen storage
• When the food is taken out of the frozen storage and thawed the
microorganisms will begin to grow
• Recent studies show that some disease producing bacteria can grow at
refrigeration temperatures of 3.3 deg C
DRYING
• Microorganisms in a healthy growing state may contain in excess of
80% water
• If the water is removed from the food, water will also be removed
from the bacterial cells and multiplication will stop
• Partial drying is less effective than total drying and is done for
several reasons
ACID
• In sufficient strength acid modifies bacterial proteins as in
denatures food proteins and hence the microorganisms are
sensitive to acidsensitive to acid
• The acid produced by one organism during fermentation will often
will inhibit another type of organism
• Controlled fermentation is a method of preservation
• Acid may be produced in foods by adding acid producing bacterial
cultures. In some cases the acids are directly added to foods. Some
foods naturally contain rich acids
• As we discussed earlier acid combined with heat is more
destructive to microorganisms. The acid concentration is measured
in ph values
SUGAR and SALT
• Many fruits are preserved by placing them in a sugar syrup
• Meat products are preserved by placing them in salt brine
• The microorganisms are contained by cell membranes and the
membranes allow water to pass through them
• Active microorganisms contain about 80% of water. When
they are placed in salt or sugar syrup the water from the cells
is moved out through the membrane into the syrup. This isis moved out through the membrane into the syrup. This is
the process of osmosis
• This cause partial dehydration of cells called as plasmolysis
and this prevent cell multiplication
• Quite opposite will happen in placing food in distilled water
• Different organisms have various degrees of tolerance to
osmosis. Yeast and molds are more tolerant than bacteria
SMOKE
• Smoking of food is used as a meth of preservation in meat and
fish
• Smoke contains preservative chemicals like formaldehyde
• Smoke is generally associated with heat and kill some bacteria
• In the presence of smoke dehydration will also occur in foods
• Smoking is also done to improve flavor
ATMOSPHERIC COMPOSITIONATMOSPHERIC COMPOSITION
• The growth of microorganisms require oxygen and air
• It is easy to exclude air from aerobes by wax coating and skin
tight plastic films
• But preserving against anaerobe like C Botulinum the
presence of air is essential
CHEMICALS
• Many chemicals will kill or inhibit the growth of microorganisms
• Most of the chemicals are producing side effects and are not
permitted
• Very few are permitted to be added in low levels in certain foods.
They are sodium benzoate, sorbic acid, sodium, calcium propionate,
ethyl formate and sulphur dioxide
RADIATION
• Radiation using x-rays, microwaves, ultraviolet light and ionizing• Radiation using x-rays, microwaves, ultraviolet light and ionizing
radiations are used to kill or inhibit microorganisms in foods. This
radiation sterile most foods and deactivate enzymes
• For all types of radiation different type doses are required
• Today foods are irradiated with ionizing radiation obtained from
radioactive isotopes or electron accelerators
• There will be no significant temperature rise in this irradiation and
this method is called cold sterilization
CONTROL OF ENZYMES AND OTHER FACTORS
• Preservation of foods against deterioration from inherent
food enzymes will be the second important thing
• Just as microorganisms are controlled with heat, cold, drying
etc. these are used here to control or inactivate damaging
enzymes
• Heat and cold at the time of killing microorganisms also
inactivate the enzymes to some extentinactivate the enzymes to some extent
• It is important to note that some enzymes are more resistant
to the effects of heat, cold and other methods of preservation
• Freezing Irradiation may be useful in inhibiting or killing
bacteria. But they are ineffective against enzymes
• Hence specific methods are to be employed for inactivating
enzymes in foods
FOOD DEHYDRATION AND CONCENTRATION
• Water is removed from food by a variety of controlled
dehydration processes such as cooking and baking
• Grains in the field dried by exposure to sun [upto 14% of
moisture]
• Centuries ago humans learned the natural sun drying process
to dry fish and thin slices of meat. This will not lower moisture
less than 15%
• Food dehydration refers to artificial of dehydration under
controlled conditions and will completely remove moisture
[upto 1% - 5%]
• Water is removed from potatoes before frying and cereals
from toasting
• Concentration process is the removal of partial water such as
in the manufacture of syrups
DEHYDRATION
• Preservation is not the only reason for dehydration. Foods
may be dehydrated to reduce weight also
• Orange juice contain only 12% solids. So removal of moisture
leaves one eighth of the total weight approximately
• This is useful in making powders of many fruits and other
liquid foodsliquid foods
• Some drying processes are chosen to retain the size and
shape of the original food. Freeze-drying is such a method
• Reduced weight will reduce the shipping cost considerably
• Another reason is for production convenience. Instant coffee
is a good example for this
HEAT AND MASS TRANSFER
• Irrespective of the method of dehydration and drying all will
involve heat and mass transfer
• These two processes are not always favored by the same
operating conditions. For example pressing food between two
hot plates will help to transfer heat but will not help to
transfer moisture
• Our process must generally concentrate to remove moisture• Our process must generally concentrate to remove moisture
as fast as possible
The following considerations are important
Surface area, temperature, air velocity, humidity, atmospheric
pressure, vacuum, evaporation temperature, time and
temperature.
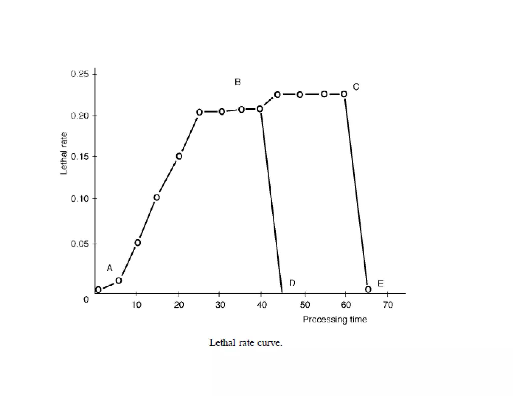
NORMAL DRYING CURVE
• Figure 1 represents a typical drying curve for virtually any product. Drying occurs
in three different periods, or phases, which can be clearly defined. The first
phase, or initial period, is where sensible heat is transferred to the product and
the contained moisture. This is the heating up of the product from the inlet
condition to the process condition, which enables the subsequent processes to
take place. In some instances, pre-processing can reduce or eliminate this phase.
For example, if the feed material is coming from a reactor or if the feed is
preheated by a source of waste energy, the inlet condition of the material will
already be at a raised temperature.
• The rate of evaporation increases dramatically during this period with mostly
free moisture being removed.
• During the second phase, or constant rate period, free moisture persists on the• During the second phase, or constant rate period, free moisture persists on the
surfaces and the rate of evaporation alters very little as the moisture content
reduces. During this period, drying rates are high, and higher inlet air
temperatures than in subsequent drying stages can be used without detrimental
effect to the product. There is a gradual and relatively small increase in the
product temperature during this period.
• Interestingly, a common occurrence is that the time scale of the constant rate
period may determine and affect the rate of drying in the next phase.
• The third phase, or falling rate period, is the phase during which migration of
moisture from the inner interstices of each particle to the outer surface becomes
the limiting factor that reduces the drying rate.
FIG 10.20
INTERMEDIATE MOISTURE FOODS
HEAT PRESERVATION AND PROCESSING
• Cooking, frying, and heating of foods prior to consumption are
forms of heat preservation
• Heat processing is done for making food tender, palatable,
free from microorganisms and for deactivation enzymes
• The toxin produced by C Botulinum can be destroyed by
heating to 100 deg C for a period of 10 min
• Simple cooking process will not destroy all microorganisms• Simple cooking process will not destroy all microorganisms
DEGREES OF PRESERVATION:
• Sterilization
• Commercial sterilization
• Pasteurization
• Blanching
• Sterilization refers to 121 deg C of wet heat for 15 min or more
• Commercial sterilization refers to killing pathogens• Commercial sterilization refers to killing pathogens
SELECTING HEAT TREATMENTS
The selection of the heat treatment is based on
• Time-temperature combination required to inactivate the most
of the heat resistant pathogens and spoiling microorganisms in
a particular food
• Heat penetration characteristics of a particular food
• The D value and z value are used to characterize the heat resistance
of a micro-organism and its temperature dependence respectively.
• There are a large number of factors which determine the heat
resistance of microorganisms, but general statements of the effect
of a given variable on heat resistance are not always possible.
• The following factors are known to be important.
MARGIN OF SAFETY
COLD POINT IN FOOD MASSES
• When heat is applied from the outside the food nearest to the
heating surface will reach sterilization temperature sooner then the
food near the centre
• The point in a food or inside a heating “can” which is the last to
reach the final heating temperature is called as the cold point
• Knowledge about the cold point is important in determining the
process timeprocess time
• Sufficient time must be allowed to bring the cold point of a given
food mass to the required temperature in any heating process
• In heating food inside a can the cold point will be located in very
centre of the can
• Both conduction and convection heating methods are used to heat
food
DETERMINING PROCESS TIME AND PROCESS LETHALITY
MICROWAVE HEATING
HOT PACK AND HOT FILL
• Packing of previously heat treated foods into
clean containers while the food is still hot
• This is most effective with acid foods• This is most effective with acid foods
• Many fruit juices are hot packed in the
temperature not less than 77 deg C
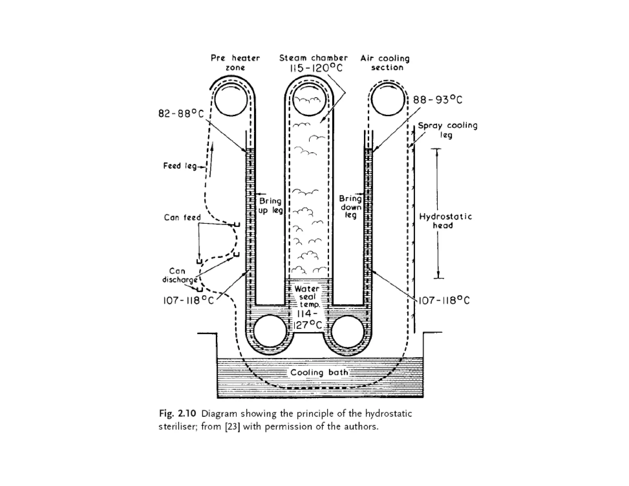
FLASH 18 PROCESS
• When conventional hot pack process is not possible for low
acid foods [heating above 100 deg C and filling in the
containers above 100 deg C] flash 18 process is used
• This is also known as Smith-Ball process
• The entire canning process is done in a pressure chamber• The entire canning process is done in a pressure chamber
under a pressure of 18 to 20 psig above atmospheric
• Under this process the boiling point will be raised above 124
deg C and facilitates the canning process
• The filling process at this temperature also provide
commercial sterilization and pasteurization
COLD PROCESSING AND PRESERVATION
DETAILED
REFRIGERATION LOAD
CALCULATIONCALCULATION
HEAT TRANSMISSION
OVERALL COEFFICIENT OF HEAT
TRANSFER — U
The overall coeffcient of heat transfer, U, is defned as the rate of heat
transfer through a material or compound structural member with
parallel walls.
The U factor, as it is commonly called, is the resulting heat
transfercoeffcient after giving effect to thermal conductivity,
conductance, and surface flm conductance, and is ex-pressed in
terms of BTU/(hour) (square foot of area)(°F TD).terms of BTU/(hour) (square foot of area)(°F TD).
It is usually applied to compound structures such as walls, ceilings, and
roofs.
The formula for calculating the U factor is complicated by the fact that
the total resistance to heat fow through a substance of several layers
is the sum of the resistance of the various layers.
The resistance of heat fow is the reciprocal of the conductivity.
Therefore, in order to calculate the overall heat transfer factor, it is
necessary to frst fnd the overall resistance to heat fow, and then fnd
the reciprocal of the overall resistance to calculate the U factor.
AIR INFILTRATION
PRODUCT LOAD
The heat to be removed from a product to reduce its
temperature above freezing may be calculated as fol-
lows:
SUPPLEMENTARY LOAD
ELECTRIC MOTORS
Since energy cannot be destroyed, and can only be changed to a different
form, any electrical energy transmitted to motors inside a refrigerated space
must undergo a transformation.
Any motor losses due to friction and ineffciency are immediately changed to heat
energy.
That portion of the electrical energy converted into useful work, for example in
driving a fan or pump, exists only briefy as mechanical energy, is transferred to
the fluid medium in the form of increased velocity, and as the fuid loses its
velocity due to friction, eventually becomes entirely converted into heat
energy.energy.
A common misunderstanding is the belief that no heat is transmitted into the
refrigerated space if an electric motor is located outside the space, and a fan
inside the space is driven by means of a shaft.
All of the electrical energy converted to mechanical energy actually be-comes
a part of the load in the refrigerated space.
Because the motor effciency varies with size, the heat load per horsepower as
shown in Table 16 has different values for varying size motors.
While the values in the table represent useful approximations, the actual electric
power input in watts is the only accurate measure of the energy input.
EQUIPMENT SELECTION
An additional 5% to 10% safety factor is often added to load
calculations as a conservative measure to be sure the
equipment will not be undersized.
If data concerning the refrigeration load is very uncertain, this
may be desirable, but in general the fact that the
compressor is sized on the basis of 16 to 18 hour operation
in itself provides a sizable safety factor.
The load should be calculated on the basis of the peakThe load should be calculated on the basis of the peak
demand at design conditions, and normally the design
conditions are selected on the basis that they will occur no
more that 1% of the hours during the summer months.
If the load calculations are made reasonably accurately, and
the equipment sized properly, an additional safety factor
may actually result in the equipment being oversized during
light load conditions, and can result in operating difficulties.
Some manufacturers of commercial and low temperature
coils publish only ratings based on the temperature
difference between entering dry bulb temperature and
the evaporating refrigerant temperature.
Although frost accumulation involving latent heat will
occur, unless the latent load is unusually large, the dry
bulb ratings may be used without appreciable error.bulb ratings may be used without appreciable error.
Because of the many variables involved, the calculation
of system balance points is extremely complicated.
A simple, accurate, and convenient method of forecast-
ing system performance from readily available manu-
facturer’s catalog data is the graphical construction of
a component balancing chart.
END OF REFRIGERATION LOAD
CALCULATION
PROCESSING AND PRESERVATION OF
MEAT PRODUCTS
SAUSAGES MANUFACTURE
SPECIAL EXTRUSION DIE FOR FORMING
AND FILLING SAUSAGE CASING
SEA FOODS
MILK PRODUCTS
RELATED MILK PRODUCTS
• Vitamin D milk
• Multi-vitamin mineral milk
• Low sodium milk
• Soft curd milk
• Low lactose milk
• Sterile milk• Sterile milk
• Evaporated milk
• Sweetened condensed milk
• Dried whole milk
• Low fat milks, etc.
MILK SUBSTITUTES
BEER MANUFACTURE
COFFEE PRODUCTION PRACTICES
COOLING is generally considered the removal of field
heat from freshly harvested products to inhibit spoilage
and to maintain preharvest freshness and flavor.
The term PRECOOLING implies the removal of heat
PRECOOLING
The term PRECOOLING implies the removal of heat
before the product is shipped to a distant market,
processed, or stored. Some products are slowly cooled
in the room in which they are stored. Precooling is
generally done in a separate facility within a few hours
or even minutes. Therefore room cooling is not
considered precooling.
PRECOOLING METHODS
The principal methods of precooling are hydrocooling, forced air
cooling, forced-air evaporative cooling, package icing, and
vacuum cooling.
Most cooling is done at the packinghouse or in central coolingMost cooling is done at the packinghouse or in central cooling
facilities. Some products can be cooled by any of these
methods without suffering any adverse effects. For these
products, the cooling method chosen is often determined
more by such factors as economy, convenience, relation of the
cooling equipment to the total packing operation, and
personal preference
HYDROCOOLING
Because of its simplicity, economy, and effectiveness,
hydrocooling is a popular precooling method.
When a film of cold water flows briskly and uniformly over the
surface of a warm substance, the surface temperature of the
substance becomes essentially equal to that of the water.
Rate of internal cooling is limited by the size and shape
(volume in relation to surface area) and thermal properties of(volume in relation to surface area) and thermal properties of
the substance being cooled.
Hydrocooling is not popular for citrus fruit because it has a long
marketing season and good postharvest holding ability.
Citrus fruits are also susceptible to increased peel injury and to
decay and loss of quality and vitality after hydrocooling.
Apples are usually cooled in the storage rooms.
TYPES OF HYDROCOOLERS
Hydrocooling is accomplished by flooding, spraying, or
immersing the product in an agitated bath of chilled water.
Flood-type and bulk-type hydrocoolers are used to cool
freestone peaches. The flood-type hydrocooler cools the
packaged product by flooding as it is conveyed through a
cooling tunnel. Adaptations consist of conveying the productcooling tunnel. Adaptations consist of conveying the product
through the cooling tunnel in loose bulk or in bulk bins.
The bulk-type cooler uses combined immersion and flood
cooling. Loose fruit, dumped into cold water, remains
immersed for half of its travel through the cooling tunnel. An
inclined conveyor gradually lifts the fruit out of the water and
moves it through an overhead shower. The bulk-type cooler
permits greater packaging flexibility than the flood-type.
Spray or waterfall hydrocoolers with conveyors
are used to cool vegetables prior to packaging. The water is
cooled by flooded refrigerated plates or pipe coils located over
or adjacent to flood pans above the mesh belt conveyor. The
flood pans deliver 34°F water evenly over the produce as it is
conveyed below. The water passes through the mesh
conveyor, is filtered, and returned by pump and piping to the
chiller
Hydraircooling
uses a mixture of refrigerated air and water in a fine mistuses a mixture of refrigerated air and water in a fine mist
spray that is circulated around and through the stack by
forced convection. It has the advantage of reduced water
requirements, the potential for improved sanitation, and the
capability of adapting to fiberboard containers of the type that
cannot be used in conventional hydrocooling systems.
Cooling rates equal to, and in some cases better than, those
obtained in conventional unit load hydrocoolers are possible.
Commercial Methods
Produce can be satisfactorily cooled
(1) with air circulated in refrigerated rooms adapted for that
purpose,
(2) in rail cars or highway vans using special portable cooling
equipment that cools the load before it is transported,
(3) with air forced through the voids of bulk products moving
through a cooling tunnel on continuous conveyors,
(4) on continuous conveyors in wind tunnels, or
(5) by the forced-air method of passing air through the(5) by the forced-air method of passing air through the
containers by pressure differential.
Each of these methods is used commercially, and each is suitable
for certain commodities when properly applied. In
circumstances where air cannot be forced directly through the
voids of products in bulk, a container type and a load pattern
that permits air to circulate through the container and reach a
substantial part of the product surface is beneficial.
EFFECTS OF CONTAINERS AND STACKING PATTERNS
The accessibility of the product to the cooling medium, essential
to rapid cooling, may involve both access to the product in the
container and to the individual container in a stack.
This effect is evident in the cooling rate data of various
commodities in various types of containers. A corrugated
paperboard container venting pattern for palletized unit loads
that produced cooling rates equal to those from conventional
register stacked patterns.
The spacing apple containers on pallets reduced cooling time by
50% as compared with pallet loads stacked solidly.50% as compared with pallet loads stacked solidly.
Palletization is essential for shipment of many products, and
pallet stability is improved if cartons are packed closely
together.
Thus, cartons and packages should be designed to allow ample
airflow though the stacked products.
The importance of vent sizes and location to obtain good cooling
in palletized loads without reducing the strength of the
container is also realised.
PACKAGE ICING
Finely crushed ice placed in shipping containers can effectively cool
products that are not harmed by contact with ice. Spinach,
collards, kale, brussels sprouts, broccoli, radishes, carrots, and
onions are commonly packaged with ice .
Cooling a product from 95 to 35°F requires melting ice equal to
38% of the product’s mass. Additional ice must melt to remove
heat leaking into the packages and to remove heat from the
container. In addition to removing field heat, package ice can
keep the product cool during transit.
Top icing, or placing ice on top of packed containers, is used
occasionally to supplement another cooling method. Because
Top icing, or placing ice on top of packed containers, is used
occasionally to supplement another cooling method. Because
corrugated containers have largely replaced wooden crates, the
use of top ice has decreased in favor of forced-air and
hydrocooling.
Waximpregnated corrugated containers, however, have allowed
the use of icing and hydrocooling of products after packaging.
Pumping slush ice or liquid ice into the shipping container through
a hose and special nozzle that connect to the package is another
method used for cooling some products.
Some systems can ice an entire pallet at one time
VACUUM COOLING
Vacuum cooling of fresh produce by the rapid evaporation
of water from the product works best with vegetables
having a high ratio of surface area to volume.
In vacuum refrigeration, water, as the primary refrigerant,
vaporizes in a flash chamber under low pressure. The
pressure in the chamber is lowered to the saturation
point corresponding to the lowest required temperaturepoint corresponding to the lowest required temperature
of the water.
Vacuum cooling is a batch process. The product to be
cooled is loaded into the flash chamber, the system is
put into operation, and the product is cooled by reducing
the pressure to the corresponding saturation
temperature desired. The system is then shut down, the
product removed, and the process repeated.
Refrigerated transport equipment can be broadly classified by
type of operation—highway and intermodal equipment, or
straight trucks. Intermodal equipment often includes special
provisions for marine service.
Highway and Intermodal Vehicles
Refrigerated semitrailers for overland use are up to 55 ft long,
8.5 ft wide, and 14 ft overall height. Where permitted, double
or triple trailers may be pulled by one tractor, or a trailer mayor triple trailers may be pulled by one tractor, or a trailer may
be pulled by a refrigerated truck.
Highway trailers, uncoupled from their tractors, are carried
“piggyback”on railroad flatcars.
Trailerswith tractors—and trucks—are driven onto ships (roll-on
roll-off, or RORO). Containers are carried on trailer and truck
chassis, on railroad flatcars (container on flatcar, or COFC),
and above and below deck on container ships.
Trucks
Refrigerated trucks are used primarily for short-haul wholesale
delivery within or between population centers. Body styles
have been developed to suit the character and distribution
needs of perishable products. Trucks are used in operations
that may require more door openings than trailers.
Various devices such as power lift gates and conveyors, which
facilitate loading and unloading, are built into the body. Trucks
for retail delivery may be furnished for either walk-in or reach-
in service. Wheeled racks, which can be rolled into place in
the truck, are used to expedite loading.the truck, are used to expedite loading.
Multitemperature Vehicles
Trucks and trailers may be partitioned into several
compartments that can be held at different temperatures. This
enables a variety of products to be carried in a single vehicle,
making food distribution more efficient.
For example, multitemperature vehicles can carry ice cream
at -10°F, frozen vegetables at 0°F, meat at 30°F, and fresh
vegetables at 34°F. This is usually accomplished via a
thermostatically controlled fan-coil unit in each compartment.
ENDEND

Food processing and preservation full

  • 1.
    FOOD PROCESSING AND PRESERVATION- FULLPRESERVATION - FULL J.ILANGUMARAN
  • 2.
    HEAD ACHE…? • EATFISH! • Eat plenty of fish -- fish oil helps prevent headaches. So does ginger, which reduces inflammation and pain.
  • 3.
    HEAVY FEVER ….? •EAT YOGURT! • Eat lots of yogurt before pollen season. • Also-eat honey from your area (local region) daily.
  • 4.
    TO PREVENT STROKE…..? • DRINK TEA! • Prevent buildup of fatty deposits on artery walls with regular doses of tea. • (Actually, tea suppresses my appetite and keeps the pounds from invading....Green tea is great for our immune system)!
  • 5.
    INSOMNIA.. (CAN'T SLEEP…?) •HONEY! • Use honey as a tranquilizer and sedative.
  • 6.
    ASTHMA……. ? • EATONIONS!!!! • Eating onions helps ease constriction of bronchial tubes. (When I was young, My mother would make onion packs to place on our chest, helped the respiratory ailments and actually made us breathe better).
  • 7.
    ARTHRITIS… ? Salmon FishTuna Fish • EAT FISH, TOO!! • Salmon, tuna, mackerel and sardines actually prevent arthritis. (Fish has omega oils, good for our immune system) Mackerel Fish Sardines Fish
  • 8.
    UPSET STOMACH… ? •BANANAS - GINGER!!!!! • Bananas will settle an upset stomach. • Ginger will cure morning sickness and nausea.
  • 9.
    BLADDER INFECTION…. ? •DRINK CRANBERRY JUICE!!!! • High-acid cranberry juice controls• High-acid cranberry juice controls harmful bacteria.
  • 10.
    BONE PROBLEMS…? • EATPINEAPPLE!!! • Bone fractures and osteoporosis can be prevented by the manganese in pineapple .
  • 11.
    MEMORY PROBLEMS…? • EATOYSTERS! • Oysters help improve your mental functioning by supplying much-needed zinc.
  • 12.
    COLD …? • EATGARLIC! • Clear up that stuffy head with garlic. (Remember, garlic lowers cholesterol, too .)
  • 13.
    COUGHING….? • USE REDPEPPERS!! • A substance similar to that found in the cough syrups is found in hot red pepper . Use red (cayenne) pepper with caution-it can irritate your tummy.
  • 14.
    BREAST CANCER….. ? •EAT Wheat, bran and cabbage, helps to maintain estrogen at healthy levels.
  • 15.
    LUNG CANCER….. ? Trythese green fruits & vegetables: •Broccoli (excellent!!) •Kale •Romaine lettuce •Bok choy •Zucchini •Collard greens •Brussel Sprouts •Cucumbers •Cabbage •Artichoke •Okra •Kiwi •Honeydew Melon •Lime • EAT DARK GREEN VEGGIES AND ORANGE !!! • A good antidote is beta carotene, a form of Vitamin A found in dark green and orange vegetables. •Brussel Sprouts •Turnip greens •Spinach •Asparagus •Lime •Green bell pepper •and there are many, many more!!
  • 16.
    ULCERS….? • EAT CABBAGEALSO!!! • Cabbage contains chemicals that help heal both gastric and duodenal ulcers.
  • 17.
    DIARRHEA…..? • EAT APPLES! •Grate an apple with its skin, let it turn brown and eat it to cure this condition . (Bananas are good for this ailment)
  • 18.
    CLOGGED ARTERIES….? • EATAVOCADO! • Mono unsaturated fat in avocados lowers cholesterol.
  • 19.
    HIGH BLOOD PRESSURE….? CELERYOLIVES • EAT CELERY AND OLIVE OIL!!! • Celery contains a chemical that lowers pressure too. • Olive oil has been shown to lower blood pressure. CELERY OLIVES
  • 20.
    BLOOD SUGAR IMBALANCE……? •EAT BROCCOLI AND PEANUTS!!! • The chromium in broccoli and peanuts helps regulate insulin and blood sugar.
  • 21.
    FRUITS:- Kiwi….? • Tiny butmighty. This is a good source of potassium, magnesium, • Vitamin E &fiber. Its Vitamin C content is twice that of an orange.
  • 22.
    Apple…. • An applea day keeps the doctor away? Although an apple has a low Vitamin C content, it has antioxidants & flavonoids which enhances the activity of Vitamin C thereby helping to lower the risks of colon cancer, Heart attack & stroke.
  • 23.
    Strawberry….. • Protective fruit.Strawberries have the highest total• Protective fruit. Strawberries have the highest total antioxidant power among major fruits &protects the body from cancer causing, blood vessels clogging free radicals. (Actually, any berry is good for you . .they're high in anti- oxidants and they actually keep us young .........blueberries are the best and very versatile in the health field ........they get rid of all the free-radicals that invade our bodies)
  • 24.
    Orange…. • Sweetest medicine.Taking 2 - 4 oranges a day• Sweetest medicine. Taking 2 - 4 oranges a day may help keep colds away , lower cholesterol, prevent & dissolve kidney stones as well as lessen the risk of colon cancer.
  • 25.
    Water melon • CoolestThirst Quencher. Composed of 92% water, it is also packed with a giant dose of glutathione which helps boost our immune system. They are also a key source of lycopene - the cancer fighting oxidant. Other Nutrients found in watermelon are Vitamin C &Potassium. (watermelon also has natural substances [natural SPF sources] that keep our skin healthy, protecting our skin from those darn suv rays)
  • 26.
    Guava & Papaya… Guavafruit Papaya fruit • - Top awards for Vitamin C. They are the clear winners for their high Vitamin C content. Guava is also rich in fiber which helps prevent constipation. • Papaya is rich in carotene, this is good for your eyes. (also good for gas and indigestion)
  • 27.
    Tomatoes……. • Are verygood as a preventative measure for men, keeps those prostrate problems from invading their bodies.
  • 28.
    CONSTITUENTS OF FOODS THEREARE THREE MAIN GROUPS OF CONSTITUENTS OF FOODS • CARBOHYDRATES • PROTEINS • FATS and derivatives of these In addition, there are inorganic and mineral components and a diverse group of organic substances like vitamins, enzymes, emulsifiers, acids, oxidants, antioxidants, pigments and flavors in small proportions.
  • 29.
    The general compositionof a food as well as the way in which the components are organized give a food its individual characteristics For example, whole milk and fresh apples have about the same water content. But one is a liquid and the other is a solid because of the way the components are arranged
  • 30.
    CARBOHYDRATES • Carbohydrates areorganic compounds with the basic structure of Cx (H2O)y • In foods they are available as sugars (glucose, fructose, maltose, sucrose, and lactose) , dextrins, starches, celluloses, hemicelluloses, pectins and certain gums • Simple carbohydrates are called as sugars and they contain 6 carbon atoms, 12 hydrogen atoms, and 6 oxygen atomscarbon atoms, 12 hydrogen atoms, and 6 oxygen atoms • Carbohydrates play a major role in biological systems and in foods. They are produced by photo synthesis in plants. • Carbohydrates can be oxidized to furnish energy • Glucose in the blood is a ready source of energy • Fermentation of carbohydrates by yeast and other micro organisms can yield carbon dioxide, alcohol, etc.
  • 31.
    PROPERTIES OF SUGARS •They are used for their sweetness • They are readily soluble in water and form syrups • They form crystals when water is evaporated from their solutions (this is the way sucrose is recovered from sugar cane juice) • They supply energy • They are readily fermented by microorganisms• They are readily fermented by microorganisms • They prevent the growth of microorganisms in high concentration. So they are used as preservatives • They darken in color or caramelize (burnt appearance) on heating. Some combine with proteins to give dark colors(browning reaction) • They give body and mouth feel to solutions in addition to sweetness
  • 32.
    PROPERTIES OF STARCHES •Starches are from plant origin • They are not sweet • They are not readily soluble in cold water • They provide a reserve energy source in plants• They provide a reserve energy source in plants and supply energy in nutrition • They occur in seeds as characteristic starch granules • Starch granules may be precooked to produce a starch that will swell in cold water
  • 33.
    PROPERTIES OF CELLULOSESAND HEMICELLULOSES • They are acting as supporting structures in plant tissues and relatively resistant to breakdown • They are soluble in cold and hot water and are not digested by man. So they don't yield energy • Long cellulose chains may be held together in bundles• Long cellulose chains may be held together in bundles forming fibers as in cotton • The fiber in food that produces necessary dietary roughage is largely cellulose. The hard parts of coffee beans and nut shells contain celluloses and hemicelluloses • They can be broken down to glucose units by certain enzymes and microorganisms
  • 34.
    PROPERTIES OF PECTINSAND CARBOHYDRATE GUMS • They are sugar derivatives usually present in plants in lesser amounts • Pectins are made up of chains of repeating units • Pectins are common in fruits and vegetables and are gumlike • Pectins are soluble in hot water• Pectins are soluble in hot water • Pectins contribute viscosity to tomato paste and stabilize the fine particles in orange juice from setting out • Pectins in solution form gels when sugar and acid are added (jelly manufacture) • Pectins and gums are added to foods as thickeners and stabilizers
  • 35.
    PROTEINS • Proteins aremade by linking individual amino acids in long chains. Amino acids are made up of carbon, hydrogen, oxygen and nitrogen and some may also have sulfur • Proteins are essential to all life • They are major constituents of enzymes, antibodies, many hormones and body fluids such as blood, milk and egg whitehormones and body fluids such as blood, milk and egg white • Protein chains can be oriented parallel to one another like the strands of rope as in wool, hair and the fibrous tissue of chicken or they can be randomly tangled like a bunch of string • When the organized molecular configuration is of the protein is disorganized we can say the protein is denatured
  • 36.
    FATS AND OILS •Fats differ from carbohydrates and proteins in that they are not polymers of repeating molecular units • They do not contribute structural strength to plant and animal tissues • Fats are smooth and greasy substances that are insoluble in waterwater • Fat is mainly is a fuel source for animal and plant. It contains 2.25 times the calories found in equal dry weight of protein and carbohydrate • A typical fat molecule consists of glycerol combined with three fatty acids
  • 37.
    • Fats graduallysoften on heating. They do not have sharp melting point. Fats can be heated above the boiling point of water, they can brown the surfaces of foods • When heated further they begin to smoke, then they flash and then they burn. The temperatures are called as smoke, flash and fire points respectively. This is important in commercial frying operations • Fats will become rancid when they react with oxygen OR fatty acids are liberated from glycerol by enzymes • Fat forms emulsions with water and air. Fat globules are suspended in a large amount of water as in milk or cream. Water droplets may be suspended in a large amount of fat as in butter • Fat is a lubricant in foods. Fat has shortening power of fibrous muscles. Fat tenderizes meat as well as baked goods • Fats contribute characteristic flavors to foods and in small amounts produce a feeling of loss of hunger
  • 38.
    ADDITIONAL FOOD CONSTITUENTS •Carbohydrates, Proteins and fats are called as major food constituents • There are other groups of substances which play in important role, out of proportion to their relativelyimportant role, out of proportion to their relatively small concentration in foods • They are Natural Emulsifiers, Analogs, Organic Acids, Oxidants and Antioxidants, Enzymes, Pigments and Colors, Flavors, Vitamins and Minerals, Natural Toxicants and water
  • 39.
    NATURAL EMULSIFIERS • Materialsthat keep fat globules dispersed in water OR water droplets dispersed in fat are emulsifiers • Lecithins are the example for natural emulsifiersemulsifiers • Lecithins are structurally like fats but contain Phosphoric acid • Emulsifiers belong to a broader group of chemicals known as surface active agents
  • 40.
    ANALOGS • Analogs havethe common objective of mimicking the functional properties such as flavor, mouthfeel, texture and appearance at the same time reducing the caloric content of the foodthe food • The use of fat replacers in ice cream is a good example of analogs • Other substitutes for sugar and fat are also developed
  • 41.
    ORGANIC ACIDS • Fruitscontain natural acids, such as citric acid of oranges and lemons, malic acid of apples and tartaric acid of grapes • These acids give the fruits tartness[ sharp in taste ] and slowdown the bacterial spoilage • Foods are deliberately fermented with bacteria to produce acids to improve flavor and qualityacids to improve flavor and quality • Organic acids have a wide range of textural effects in foods due to their reactions with proteins, starches, gums and other food constituents • Acids are also important inhibitors of bacterial spoilage in foods
  • 42.
    OXIDANTS AND ANTIOXIDANTS •Many food constituents are adversely affected by oxygen in the air. Oxygen is an oxidant which causes oxidation of these materials • Certain metals like copper and iron are strong promoters of oxidation. This is one of the reasons why copper and iron have largely been replaced in food processing equipment bylargely been replaced in food processing equipment by stainless steel • An antioxident tends to prevent oxidation. Natural antioxidants present in foods are lecithin, vitamin C and E and certain sulfur containing amino acids. Synthetic chemicals approved by Govt. are also effectively used as antioxidants in foods
  • 43.
    ENZYMES • Enzymes arebiological catalysts that promote a wide variety of biochemical reactions • Amylase found in saliva promotes digestion or breakdown of starch in the mouth • Pepsin found in gastric juice promotes digestion of protein • Lipase found in liver promotes breakdown of fats• Lipase found in liver promotes breakdown of fats • Even after a plant is harvested or an animal is killed, most of the enzymes continue to promote specific chemical reactions • Enzymes are large protein molecules • Enzymes function by lowering the activation energies of specific substrates • In the course of reaction the enzyme is unchanged
  • 44.
    PIGMENTS AND COLORS •Natural Plant and Animal Pigments are giving the color to foods • Chlorophyll imparts green color to peas • Carotene gives the orange color to carrots and corns • Lycopene contributes the red to tomatoes and watermelons • Anthocyanins contribute purple to grapes Oxymyoglobin gives the red color to meats• Oxymyoglobin gives the red color to meats • The natural pigments are highly susceptible chemical change – Fruit ripening, Meat ageing • Excess heat alters the color of foods • The second source of color to food is sugars • Dark colors are resultant from chemical interactions between sugars and proteins
  • 45.
    FLAVORS • The occurrenceand food flavor changes more complex than anything • In coffee alone there are 800 constituents which contribute to flavor and aroma. • These organic chemicals are highly sensitive to• These organic chemicals are highly sensitive to air, heat and interaction with one another • It is important to note that the flavor has a regional and cultural basis
  • 46.
    VITAMINS AND MINERALS •Vitamins are organic chemicals • Vitamin D can be manufactured by human body • Vitamins are divided into two main groups as fat soluble – A, D, E & K and water soluble – C & Bsoluble – A, D, E & K and water soluble – C & B • Minerals are also required by human body. The deficiency may result in weakness in bones and tooth.
  • 47.
    NATURAL TOXICANTS • Theplants have evolved the ability to form many compounds which may serve to protect the plant. Some of these are toxic • Some species of mushrooms have poisonous properties The toxicants occurring naturally in foods are alkaloid• The toxicants occurring naturally in foods are alkaloid solanine in potatoes, cyanide in lima beans, safrole in spices, prussic acid in almonds, oxalic acid in spinach etc. • Many harmful substances are also added to food from industrial contaminants, fertilizers, soil and water.
  • 48.
    WATER • Water ispresent in most natural foods to the extent of 70% of their weight or greater • Fruits and vegetables may contain 90% to 95% • Cooked meat still contains 60% of water • Water greatly affects the texture of foods • The form of water present in the food decide the physical properties of food. Milk and apple have the same amount ofproperties of food. Milk and apple have the same amount of water but have different physical structure • Removing food from water is called as food dehydration • The removal water is done in foods to reduce weight and to preserve • Water which can’t be removed by dehydration is called as bound water
  • 49.
    UNIT OPERATIONS INFOOD PROCESSING INDUSTRY • Cleaning • Coating • Concentrating • Controlling • Disintegrating • Forming • Heating/Cooling • Materials handling • Mixing • Packaging• Disintegrating • Drying • Evaporating • Fermentation • Packaging • Pumping • Separating and others The above operations are listed in alphabetical order not in sequence of importance
  • 52.
    • The unitoperations may also include numerous different activities. For example agitating, beating, blending, diffusing, dispersing, emulsifying, homogenizing, etc.homogenizing, etc. • One of the key elements to food processing is the proper selection and combination of unit operations into more complex integrated processing systems
  • 53.
    MATERIALS HANDLING • Materialshandling includes such varied operations as hand and mechanical harvesting on the farm, refrigerated trucking of perishable produce, box car transporting of live cattle and pneumatic conveying of flour from rail car to bakery storage binsbins • Throughout such operations emphasis must be given to maintaining sanitary conditions, minimizing product losses, maintaining the material quality, minimizing bacterial growth, and timing all transfers & deliveries so as to minimize the holdup time
  • 54.
    CLEANING • Foods bythe nature of the way they are grown or produced on farms in open environment requires cleaning before use • Cleaning ranges from simple removal of dirt from egg shells with an abrasive brush to the complex removal of bacteria from a liquid food by passing it through a micro porous membrane • Grains must be cleaned of stones before use• Grains must be cleaned of stones before use • Cleaning can be accomplished with brushes, high velocity air, steam, water, vacuum, magnetic attraction of metal contaminants, mechanical separation and so on • Some cleaning methods are dictated by surface characteristics of the product • Many types of soil dirt can be cleaned with mild alkaline detergents
  • 56.
    SEPARATING • Separating caninvolve separating a solid from a solid OR solid from a liquid OR liquid from a solid • One of the commonest forms of separating is the hand sorting and grading of individual units as in the case of vegetables and fruits • Mechanical and electronic sorting devices are developed to avoid the problems in manual sorting • Mechanical and electronic sorting devices are developed to avoid the problems in manual sorting • Difference in color can be detected by a photo cell and this can be done at enormous speeds • Light shining through eggs can detect blood spots • Automatic separation according to size is easily accomplished by passing fruits or vegetables over different size screens and holes
  • 57.
  • 59.
    The skins offruits and vegetables may be removed using a lye peeler
  • 60.
    DISINTEGRATING • Operations whichsubdivide large pieces of food into smaller parts are classified as disintegrating • It may involve cutting, grinding, pulping, homogenizing and so on • Normally dicing [cubing] of vegetables is done in automatic machinesmachines • The cutting of meat is still a time consuming hand-labor operation • When disintegrating is done by grinding heat is produced and this heat may denature the proteins. To avoid this grinding operations are normally done in frozen form • Homogenizing produces disintegration of fat globules in milk
  • 61.
    A. SLICING EQUIPMENT B.DICING EQUIPMENT
  • 62.
    PUMPING • Moving fluidsfrom one processing step to another is done by pumping • There are many kinds of pumps. The choice is dependent on the character of food to be movedmoved • Cam and piston pump, Gear pumps, Lobe pumps, Screw pumps, Vane pumps and Shuttle block pumps are normally used for this purpose
  • 63.
    MIXING • There aremany kinds of mixtures depending on the materials to be mixed • Mixing solids with solids, solids with liquids and liquids with liquids can be done
  • 66.
    HEATING • Many foodsare heated to destroy microorganisms • Some are heated to drive away moisture and to develop flavors • Some are also heated to make them more tender • Foods are heated by conduction, convection and radiation or a combination of thesea combination of these • Foods are sensitive to heat • Prolonged heating causes burned flavors, dark colors and loss of nutritional value • Foods may be heated or cooked using toasters, direct injection of steam, direct contact with flame, using electronic energy as in the case of microwave ovens, etc.
  • 70.
    b). HORIZONTAL SCRAPEDSURFACE HEAT EXCHANGER
  • 71.
    COOLING • Cooling isthe removal of heat energy and this may be done to the degree of chilling to refrigerator temperature. Beyond this range the food is frozen • Milk is cooled by passing them in thin layers• Milk is cooled by passing them in thin layers through heat exchangers • There are many types of commercial freezers • Quick freezing is done to preserve the food quality. Liquid nitrogen at -196 degree celcius is used for this purpose
  • 73.
  • 74.
  • 75.
    EVAPORATION • Evaporation isprincipally used to concentrate food by removal of water • It is also used to recover desirable volatiles and to remove unwanted volatiles • Grapes and some other fruits are dried in sun• Grapes and some other fruits are dried in sun light • All liquids boil at low temperature under reduced pressure
  • 76.
    DRYING • The objectiveof drying is to remove water with minimum damage to the food • Evaporators will concentrate foods twofold or threefold but the driers will take food very close to total dryness • Driers are used to prepare products like milk powder and instant coffee • Liquid foods are normally subdivided either as a spray or as a• Liquid foods are normally subdivided either as a spray or as a film and then the moisture is removed quickly with the help of circulating heated air • Small food pieces such as peas and diced onions can be dried by moving through a long tunnel oven • Over heating and shrinkage by the removal of moisture will give poor quality to the food and this can be avoided by freeze drying
  • 77.
    FORMING • Foods areoften formed into specific shapes • Pressure is applied to form the desired shapes. If necessary heating is also done in some casessome cases • Forming is an important operation in making breakfast cereals. This is done by pressure extrusion through dies
  • 78.
    PACKAGING • Food ispackaged for many purposes. • Some reasons are containment for shipping, dispensing, unitizing in to appropriate sizes, improving the usefulness, protect from microbial contamination, physical dirt, insect invasion, light exposure, flavor pickup, flavor loss, moisture pickup, moisture loss and physical abusepickup, moisture loss and physical abuse • Food is packaged in metal cans, glass & plastic bottles, paper & paper board, wide variety of plastic & metallic films and combinations of these • Packaging is done by continuous automatic machines at a speed of 1000 units per min • The container forming is dependent on the type of the food
  • 79.
    OVERLAPPING UNIT OPERATIONS •The division or grouping of the unit operations is not fixed and perfect. There can be overlapping • Any total food process will always be a series of unit operations, performed in a logical sequence • In modern food processing these operations are so connected as to commonly permit smooth, continuous automatically controlled production • So that the sequence is dependent on the type of the food, the industry by which it is processed, etc.
  • 80.
    ENERGY CONSERVATION • Allthe unit food processing unit operations require considerable amounts of energy. Thus the energy cost is a significant part in food production • Care must be taken while designing the unit operations for optimizing energy use • Dehydration, concentration, freezing, sterilization and other• Dehydration, concentration, freezing, sterilization and other operations are being reevaluated in terms of times and temperatures • There are many methods to conserve energy throughout the food production. Today it is also common to employ energy conservation specialists for energy auditing and management
  • 81.
    FOOD DETERIORATION ANDITS CONTROL • All foods undergo varying degrees of deterioration during storage • Deterioration include organoleptic desirability, nutritional value, safety and aesthetic appeal • Foods may change in color, texture, flavour etc• Foods may change in color, texture, flavour etc • Food is subjected to physical, chemical and biological deterioration • Heat, cold, light, other radiation, oxygen, moisture, dryness, natural food enzymes, micro organisms, macro organisms, industrial contaminants, presence of other foods and time are range of potentially destructive factors
  • 82.
    USEFUL STORAGE LIFEOF PLANT AND ANIMAL TISSUES FOOD PRODUCT GENERALISED STORAGE LIFE AT 21OC [days] Meat 1-2 Fish 1-2 Poultry 1-2 Dried, salted, smoked meat and fish 360 and more Fruits 1-7 Dried fruits 360 and more Leafy vegetables 1-2Leafy vegetables 1-2 Root crops 7-20 Dried seeds 360 and more • Room temperature is much higher than 21 deg c in many parts of the world • Similarly slow rate of deterioration will occur in low temperature, low moisture, high in sugar, high in salt, high in acid etc.
  • 83.
    • It isinteresting to note that some most important methods of food preservation have been developed during the time of war • When Napoleon of France is at war during eighteenth century the army suffered a lot with spoiled food • Prizes were offered to develop useful methods for preserving food • A scientist Nicolas Appert found that food can be preserved by heating it in a sealed container and Appert was awarded.by heating it in a sealed container and Appert was awarded. This lead to the development of canning food • The renowned scientist Pasteur invented that the spoilage of food is due to micro-organisms and that can be controlled or killed by heating. This lead to the development of processes like pasteurization and sterilization • One of the most important aspects of food processing is to understand the food deteriorative factors and to control them
  • 84.
    SHELF LIFE ANDDATING OF FOODS • It is defined as the time that a food takes to decline to an unacceptable level • The term acceptable varies from person to person. In many cases the manufacturer will define the minimum acceptable quality[MAQ] • The shelf life depend on many factors like processing method,• The shelf life depend on many factors like processing method, packing and storage conditions • For example one cant exactly tell the shelf life of fresh milk at room temperature. Milk at room temperature have different shelf life than milk stored at refrigeration temperature • So a dating system is formed in retail packages like Pack date, sell by date etc.
  • 85.
    MAJOR CAUSES OFFOOD DETERIORATION • Growth and activities of micro organisms [bacteria, yeasts and molds] • Activities of food enzymes and other chemical reactions within the food itself • Infestation by insects [parasites and rodents] • Inappropriate temperature for a given food• Inappropriate temperature for a given food • Either the gain or loss of moisture • Reaction with oxygen • Exposure to light • Physical stress or abuse • Time
  • 86.
    BACTERIA, YEASTS ANDMOLDS • There are thousands of species of micro organisms and they are all associated with one another and food products • Not all the species are causing the damage. The growth of some are desirable [production of alcohol, flavor production in some food etc.] • Micro organisms are capable of spoiling food and found everywhere [soil, water, air, skins of cattle, feathers of poultry,everywhere [soil, water, air, skins of cattle, feathers of poultry, intestines and cavities of animal body, skins and peels of fruits and vegetables, hulls of grains and the shells of nuts, food processing equipment, hands, skin and clothes of the worker] • It is to be noted that the micro organisms are not found within the flesh of healthy living animal and juice of plants • Milk of a healthy cow is sterile but becomes contaminated as it passes through the teat canals
  • 87.
    • Bacteria aresingle-celled organisms and can be classified into one of three types based on the shape of the cells • Bacterial spores are far more resistant than yeast and mold spores • All bacteria associated with food are small in the order of micro meter • Molds are still larger and complex in structure and are in the order of 1 micro meter • Most yeasts are spherical or ellipsoidal and are larger in the• Most yeasts are spherical or ellipsoidal and are larger in the order of 20 micro meter • Bacteria, yeast and mold can attack all food items. Some ferment sugars, hydrolyze starches and celluloses, hydrolyze fats and produce rancidity, few produce toxins, digest proteins, produce ammonia like odors • The micro organisms like warm and moist conditions and are called as mesophilic [temp 16 to 38 deg c]
  • 88.
    • Some willgrow at freezing point of water and are called as psychrophilic • The others will grow at temperatures above 82 deg c and are called as thermophilic • The spores of many bacteria will survive prolonged exposure to boiling water and then multiply when the temperature is lowered • Bacteria will multiply by cell division. One will become two,• Bacteria will multiply by cell division. One will become two, two will become four and so on. They can double their number in every 30 minutes under favorable conditions • Food intoxications involve toxic substances produced in food by micro organisms • The bacteria called C Botulinum produce food toxins in many foods
  • 89.
    FOOD-BORNE DISEASE • Food-bornediseases are commonly classified as food infections that are caused by microorganisms or food intoxicants that are produced in foods as by products of microorganisms prior to consumption • S aureus and C botulinum produce specific food toxins • Certain molds also produce toxins • Many bacteria can transmit food-borne infections capable of• Many bacteria can transmit food-borne infections capable of causing human disease • Number of viral infections may be contracted by man through contaminated food • Microorganisms that are causing disease to humans are known as pathogenic or pathogens • Scientists are still learning about food-borne diseases
  • 93.
    INSECTS, PARASITES ANDRODENTS • Insects are particularly destructive to cereal grains, fruits and vegetables • When insects eat food the food will be open to microorganisms and this will cause further damage • Insect eggs may persist or be laid in food then they multiply • Commodities containing highly destructive insects are prohibited from import and exportprohibited from import and export • The important food-borne parasite is the Trichinosis nematode and Trichinella spiralis. This will penetrate into the intestines of pork • A worm from food called Genus Anisakis can infect man and this can survive in refrigeration temperature • Rodents consume and waste huge volume of food. The urine poured on the food by rodents is containing several disease producing bacteria
  • 94.
    FOOD ENZYMES • Theenzymes present in food ferment, rancidify and putrefy • The activity of enzymes may be present in food even after 60 yrs of storage • In living plant and animals these type enzymatic activities are balanced • The enzyme pepsin helps digest proteins in food but it will not• The enzyme pepsin helps digest proteins in food but it will not digest the intestine • Some of the reaction of the enzymes are highly desirable. For example the ripening of fruits • The enzymes may be inactivated by heat, chemicals, irradiation etc.,
  • 95.
    HEAT AND COLD •Heat and cold can also cause deterioration in foods if they are nor controlled • The rate of chemical reaction is doubled in every 10 deg C rise • Excessive heat will denature proteins, breaks emulsions, dries food by removing moisture and destroys vitamins • Freezing will also denature proteins in milk, the emulsion will• be broken and the fat will separate • In refrigerated storage temperature ie) 4 deg C, some are weakened or killed and deterioration will follow. This is known as chill injury • Bananas, lemons and some other foods are to be kept above 10 deg C for retaining maximum quality
  • 97.
    MOISTURE AND DRYNESS •Excessive moisture pickup and dryness cause deterioration in foods • Moisture is required for chemical reactions and for microorganisms • Loss of moisture particularly affect the texture and appearanceappearance • Surface moisture resulting from changes in RH can cause lumping, caking, mottling, crystallization and stickiness • Very small amount of condensed water is enough for the growth of microorganisms • The condensation may also occur from the water of the food. Vegetables can give off moisture from respiration
  • 98.
    OXYGEN • The 20%of oxygen in the air is quite enough to cause reactions in many foods • Vitamins A & C, food colors and flavors are subject to oxidation • Oxygen is essential for the growth of microorganisms • Most of the molds are aerobic. They grow on the surface of foodsfoods • Atmospheric oxygen is removed from the packing of many foods and other gases like nitrogen and carbon dioxide are filled inside. This is called as modified atmosphere packaging • Some foods are packed with oxygen scavengers for absorbing residual oxygen
  • 99.
    LIGHT • Light destroysvitamins A, C and riboflavin • Light also cause deterioration in many food colors • Milk in bottles exposed to the sun light changes its flavor. This is due to light induced oxidation and changes in protein • Surface discolorations of sausages and meat pigments are different under natural light and under fluorescent lamps • Sensitive foods are packaged in opaque materials• Sensitive foods are packaged in opaque materials TIME • After harvest there is a time when the quality of the food is highest. In many foods the quality is peak in one or two days • All deteriorative activities progress with time. But this is not applicable to some fermented foods • Adequate processing and packaging will prolong life
  • 100.
    PRINCIPLES OF FOODPRESERVATION 1. Keep the food alive as long as possible. Kill the animal or plant just before it is to be used 2. After killing the food clean it, cover it and cool it as quickly as possible. This will slowdown the deterioration for a short timeslowdown the deterioration for a short time 3. For long term and practical preservation inactivating or controlling microorganisms, enzymes and reducing or eliminating chemical reactions are to be done
  • 101.
    CONTROL OF MICROORGANISMS •Controlling bacteria, yeasts and molds is done by heat, cold, drying, acid, sugar, salt, smoke, air, chemicals radiation HEAT • Most of the micro organisms grow best at the temperature range of about 16 to 38 deg C • Most bacteria are killed in the temperature range of 82 to 93• deg C • But many bacterial spores are not destroyed even by boiling water at 100 deg C for 30 min • To ensure sterility (total destruction of microorganisms including spores) a temperature of 121 deg (wet heat) must be maintained for 15 min or longer
  • 103.
    • There aretwo standards called sterility and commercial sterility • Not all the foods require the same amount of heat for sterilization • When food are high in acid such as tomatoes and oranges, the killing power of heat is increased. A temperature of 93 deg C for 15 min is enough to gain sterility if sufficient acid is present • Safe temperatures and times fro different foods are published• Safe temperatures and times fro different foods are published in standard handbooks • Many times it is not necessary to kill all the microorganisms. It may be enough to supply heat to destroy disease producing organisms only • In pasteurization of milk 63 deg C for 30 min is enough to destroy all pathogenic microorganisms
  • 104.
    COLD • Psychrotroph typemicroorganisms will grow down to 0 deg C, the freezing point of water and below • At temperatures below 10 deg C the growth rate is slow and becomes slower the colder it gets • When the water is frozen there is no multiplication of microorganisms • But in some foods all of the water is not frozen at a temperature of -10 deg C or lower • The slowing of microbial activity is the principle behind the refrigeration and freezing preservationand freezing preservation • An important thing is to be noted that an ice cream mix inoculated with typhoid bacteria still remained 600000 live bacteria per millimeter after 1 year of frozen storage • When the food is taken out of the frozen storage and thawed the microorganisms will begin to grow • Recent studies show that some disease producing bacteria can grow at refrigeration temperatures of 3.3 deg C
  • 106.
    DRYING • Microorganisms ina healthy growing state may contain in excess of 80% water • If the water is removed from the food, water will also be removed from the bacterial cells and multiplication will stop • Partial drying is less effective than total drying and is done for several reasons ACID • In sufficient strength acid modifies bacterial proteins as in denatures food proteins and hence the microorganisms are sensitive to acidsensitive to acid • The acid produced by one organism during fermentation will often will inhibit another type of organism • Controlled fermentation is a method of preservation • Acid may be produced in foods by adding acid producing bacterial cultures. In some cases the acids are directly added to foods. Some foods naturally contain rich acids • As we discussed earlier acid combined with heat is more destructive to microorganisms. The acid concentration is measured in ph values
  • 109.
    SUGAR and SALT •Many fruits are preserved by placing them in a sugar syrup • Meat products are preserved by placing them in salt brine • The microorganisms are contained by cell membranes and the membranes allow water to pass through them • Active microorganisms contain about 80% of water. When they are placed in salt or sugar syrup the water from the cells is moved out through the membrane into the syrup. This isis moved out through the membrane into the syrup. This is the process of osmosis • This cause partial dehydration of cells called as plasmolysis and this prevent cell multiplication • Quite opposite will happen in placing food in distilled water • Different organisms have various degrees of tolerance to osmosis. Yeast and molds are more tolerant than bacteria
  • 110.
    SMOKE • Smoking offood is used as a meth of preservation in meat and fish • Smoke contains preservative chemicals like formaldehyde • Smoke is generally associated with heat and kill some bacteria • In the presence of smoke dehydration will also occur in foods • Smoking is also done to improve flavor ATMOSPHERIC COMPOSITIONATMOSPHERIC COMPOSITION • The growth of microorganisms require oxygen and air • It is easy to exclude air from aerobes by wax coating and skin tight plastic films • But preserving against anaerobe like C Botulinum the presence of air is essential
  • 111.
    CHEMICALS • Many chemicalswill kill or inhibit the growth of microorganisms • Most of the chemicals are producing side effects and are not permitted • Very few are permitted to be added in low levels in certain foods. They are sodium benzoate, sorbic acid, sodium, calcium propionate, ethyl formate and sulphur dioxide RADIATION • Radiation using x-rays, microwaves, ultraviolet light and ionizing• Radiation using x-rays, microwaves, ultraviolet light and ionizing radiations are used to kill or inhibit microorganisms in foods. This radiation sterile most foods and deactivate enzymes • For all types of radiation different type doses are required • Today foods are irradiated with ionizing radiation obtained from radioactive isotopes or electron accelerators • There will be no significant temperature rise in this irradiation and this method is called cold sterilization
  • 112.
    CONTROL OF ENZYMESAND OTHER FACTORS • Preservation of foods against deterioration from inherent food enzymes will be the second important thing • Just as microorganisms are controlled with heat, cold, drying etc. these are used here to control or inactivate damaging enzymes • Heat and cold at the time of killing microorganisms also inactivate the enzymes to some extentinactivate the enzymes to some extent • It is important to note that some enzymes are more resistant to the effects of heat, cold and other methods of preservation • Freezing Irradiation may be useful in inhibiting or killing bacteria. But they are ineffective against enzymes • Hence specific methods are to be employed for inactivating enzymes in foods
  • 113.
    FOOD DEHYDRATION ANDCONCENTRATION • Water is removed from food by a variety of controlled dehydration processes such as cooking and baking • Grains in the field dried by exposure to sun [upto 14% of moisture] • Centuries ago humans learned the natural sun drying process to dry fish and thin slices of meat. This will not lower moisture less than 15% • Food dehydration refers to artificial of dehydration under controlled conditions and will completely remove moisture [upto 1% - 5%] • Water is removed from potatoes before frying and cereals from toasting • Concentration process is the removal of partial water such as in the manufacture of syrups
  • 114.
    DEHYDRATION • Preservation isnot the only reason for dehydration. Foods may be dehydrated to reduce weight also • Orange juice contain only 12% solids. So removal of moisture leaves one eighth of the total weight approximately • This is useful in making powders of many fruits and other liquid foodsliquid foods • Some drying processes are chosen to retain the size and shape of the original food. Freeze-drying is such a method • Reduced weight will reduce the shipping cost considerably • Another reason is for production convenience. Instant coffee is a good example for this
  • 115.
    HEAT AND MASSTRANSFER • Irrespective of the method of dehydration and drying all will involve heat and mass transfer • These two processes are not always favored by the same operating conditions. For example pressing food between two hot plates will help to transfer heat but will not help to transfer moisture • Our process must generally concentrate to remove moisture• Our process must generally concentrate to remove moisture as fast as possible The following considerations are important Surface area, temperature, air velocity, humidity, atmospheric pressure, vacuum, evaporation temperature, time and temperature.
  • 116.
  • 117.
    • Figure 1represents a typical drying curve for virtually any product. Drying occurs in three different periods, or phases, which can be clearly defined. The first phase, or initial period, is where sensible heat is transferred to the product and the contained moisture. This is the heating up of the product from the inlet condition to the process condition, which enables the subsequent processes to take place. In some instances, pre-processing can reduce or eliminate this phase. For example, if the feed material is coming from a reactor or if the feed is preheated by a source of waste energy, the inlet condition of the material will already be at a raised temperature. • The rate of evaporation increases dramatically during this period with mostly free moisture being removed. • During the second phase, or constant rate period, free moisture persists on the• During the second phase, or constant rate period, free moisture persists on the surfaces and the rate of evaporation alters very little as the moisture content reduces. During this period, drying rates are high, and higher inlet air temperatures than in subsequent drying stages can be used without detrimental effect to the product. There is a gradual and relatively small increase in the product temperature during this period. • Interestingly, a common occurrence is that the time scale of the constant rate period may determine and affect the rate of drying in the next phase. • The third phase, or falling rate period, is the phase during which migration of moisture from the inner interstices of each particle to the outer surface becomes the limiting factor that reduces the drying rate.
  • 143.
  • 160.
  • 163.
    HEAT PRESERVATION ANDPROCESSING • Cooking, frying, and heating of foods prior to consumption are forms of heat preservation • Heat processing is done for making food tender, palatable, free from microorganisms and for deactivation enzymes • The toxin produced by C Botulinum can be destroyed by heating to 100 deg C for a period of 10 min • Simple cooking process will not destroy all microorganisms• Simple cooking process will not destroy all microorganisms DEGREES OF PRESERVATION: • Sterilization • Commercial sterilization • Pasteurization • Blanching
  • 164.
    • Sterilization refersto 121 deg C of wet heat for 15 min or more • Commercial sterilization refers to killing pathogens• Commercial sterilization refers to killing pathogens
  • 166.
    SELECTING HEAT TREATMENTS Theselection of the heat treatment is based on • Time-temperature combination required to inactivate the most of the heat resistant pathogens and spoiling microorganisms in a particular food • Heat penetration characteristics of a particular food
  • 170.
    • The Dvalue and z value are used to characterize the heat resistance of a micro-organism and its temperature dependence respectively. • There are a large number of factors which determine the heat resistance of microorganisms, but general statements of the effect of a given variable on heat resistance are not always possible. • The following factors are known to be important.
  • 174.
  • 175.
    COLD POINT INFOOD MASSES • When heat is applied from the outside the food nearest to the heating surface will reach sterilization temperature sooner then the food near the centre • The point in a food or inside a heating “can” which is the last to reach the final heating temperature is called as the cold point • Knowledge about the cold point is important in determining the process timeprocess time • Sufficient time must be allowed to bring the cold point of a given food mass to the required temperature in any heating process • In heating food inside a can the cold point will be located in very centre of the can • Both conduction and convection heating methods are used to heat food
  • 176.
    DETERMINING PROCESS TIMEAND PROCESS LETHALITY
  • 197.
  • 202.
    HOT PACK ANDHOT FILL • Packing of previously heat treated foods into clean containers while the food is still hot • This is most effective with acid foods• This is most effective with acid foods • Many fruit juices are hot packed in the temperature not less than 77 deg C
  • 203.
    FLASH 18 PROCESS •When conventional hot pack process is not possible for low acid foods [heating above 100 deg C and filling in the containers above 100 deg C] flash 18 process is used • This is also known as Smith-Ball process • The entire canning process is done in a pressure chamber• The entire canning process is done in a pressure chamber under a pressure of 18 to 20 psig above atmospheric • Under this process the boiling point will be raised above 124 deg C and facilitates the canning process • The filling process at this temperature also provide commercial sterilization and pasteurization
  • 204.
    COLD PROCESSING ANDPRESERVATION
  • 239.
  • 240.
  • 245.
    OVERALL COEFFICIENT OFHEAT TRANSFER — U The overall coeffcient of heat transfer, U, is defned as the rate of heat transfer through a material or compound structural member with parallel walls. The U factor, as it is commonly called, is the resulting heat transfercoeffcient after giving effect to thermal conductivity, conductance, and surface flm conductance, and is ex-pressed in terms of BTU/(hour) (square foot of area)(°F TD).terms of BTU/(hour) (square foot of area)(°F TD). It is usually applied to compound structures such as walls, ceilings, and roofs. The formula for calculating the U factor is complicated by the fact that the total resistance to heat fow through a substance of several layers is the sum of the resistance of the various layers. The resistance of heat fow is the reciprocal of the conductivity. Therefore, in order to calculate the overall heat transfer factor, it is necessary to frst fnd the overall resistance to heat fow, and then fnd the reciprocal of the overall resistance to calculate the U factor.
  • 257.
  • 265.
  • 279.
    The heat tobe removed from a product to reduce its temperature above freezing may be calculated as fol- lows:
  • 291.
  • 292.
    ELECTRIC MOTORS Since energycannot be destroyed, and can only be changed to a different form, any electrical energy transmitted to motors inside a refrigerated space must undergo a transformation. Any motor losses due to friction and ineffciency are immediately changed to heat energy. That portion of the electrical energy converted into useful work, for example in driving a fan or pump, exists only briefy as mechanical energy, is transferred to the fluid medium in the form of increased velocity, and as the fuid loses its velocity due to friction, eventually becomes entirely converted into heat energy.energy. A common misunderstanding is the belief that no heat is transmitted into the refrigerated space if an electric motor is located outside the space, and a fan inside the space is driven by means of a shaft. All of the electrical energy converted to mechanical energy actually be-comes a part of the load in the refrigerated space. Because the motor effciency varies with size, the heat load per horsepower as shown in Table 16 has different values for varying size motors. While the values in the table represent useful approximations, the actual electric power input in watts is the only accurate measure of the energy input.
  • 296.
  • 299.
    An additional 5%to 10% safety factor is often added to load calculations as a conservative measure to be sure the equipment will not be undersized. If data concerning the refrigeration load is very uncertain, this may be desirable, but in general the fact that the compressor is sized on the basis of 16 to 18 hour operation in itself provides a sizable safety factor. The load should be calculated on the basis of the peakThe load should be calculated on the basis of the peak demand at design conditions, and normally the design conditions are selected on the basis that they will occur no more that 1% of the hours during the summer months. If the load calculations are made reasonably accurately, and the equipment sized properly, an additional safety factor may actually result in the equipment being oversized during light load conditions, and can result in operating difficulties.
  • 312.
    Some manufacturers ofcommercial and low temperature coils publish only ratings based on the temperature difference between entering dry bulb temperature and the evaporating refrigerant temperature. Although frost accumulation involving latent heat will occur, unless the latent load is unusually large, the dry bulb ratings may be used without appreciable error.bulb ratings may be used without appreciable error. Because of the many variables involved, the calculation of system balance points is extremely complicated. A simple, accurate, and convenient method of forecast- ing system performance from readily available manu- facturer’s catalog data is the graphical construction of a component balancing chart.
  • 324.
    END OF REFRIGERATIONLOAD CALCULATION
  • 342.
  • 360.
  • 361.
    SPECIAL EXTRUSION DIEFOR FORMING AND FILLING SAUSAGE CASING
  • 385.
  • 401.
  • 414.
    RELATED MILK PRODUCTS •Vitamin D milk • Multi-vitamin mineral milk • Low sodium milk • Soft curd milk • Low lactose milk • Sterile milk• Sterile milk • Evaporated milk • Sweetened condensed milk • Dried whole milk • Low fat milks, etc.
  • 415.
  • 446.
  • 458.
  • 534.
    COOLING is generallyconsidered the removal of field heat from freshly harvested products to inhibit spoilage and to maintain preharvest freshness and flavor. The term PRECOOLING implies the removal of heat PRECOOLING The term PRECOOLING implies the removal of heat before the product is shipped to a distant market, processed, or stored. Some products are slowly cooled in the room in which they are stored. Precooling is generally done in a separate facility within a few hours or even minutes. Therefore room cooling is not considered precooling.
  • 535.
    PRECOOLING METHODS The principalmethods of precooling are hydrocooling, forced air cooling, forced-air evaporative cooling, package icing, and vacuum cooling. Most cooling is done at the packinghouse or in central coolingMost cooling is done at the packinghouse or in central cooling facilities. Some products can be cooled by any of these methods without suffering any adverse effects. For these products, the cooling method chosen is often determined more by such factors as economy, convenience, relation of the cooling equipment to the total packing operation, and personal preference
  • 536.
    HYDROCOOLING Because of itssimplicity, economy, and effectiveness, hydrocooling is a popular precooling method. When a film of cold water flows briskly and uniformly over the surface of a warm substance, the surface temperature of the substance becomes essentially equal to that of the water. Rate of internal cooling is limited by the size and shape (volume in relation to surface area) and thermal properties of(volume in relation to surface area) and thermal properties of the substance being cooled. Hydrocooling is not popular for citrus fruit because it has a long marketing season and good postharvest holding ability. Citrus fruits are also susceptible to increased peel injury and to decay and loss of quality and vitality after hydrocooling. Apples are usually cooled in the storage rooms.
  • 537.
    TYPES OF HYDROCOOLERS Hydrocoolingis accomplished by flooding, spraying, or immersing the product in an agitated bath of chilled water. Flood-type and bulk-type hydrocoolers are used to cool freestone peaches. The flood-type hydrocooler cools the packaged product by flooding as it is conveyed through a cooling tunnel. Adaptations consist of conveying the productcooling tunnel. Adaptations consist of conveying the product through the cooling tunnel in loose bulk or in bulk bins. The bulk-type cooler uses combined immersion and flood cooling. Loose fruit, dumped into cold water, remains immersed for half of its travel through the cooling tunnel. An inclined conveyor gradually lifts the fruit out of the water and moves it through an overhead shower. The bulk-type cooler permits greater packaging flexibility than the flood-type.
  • 538.
    Spray or waterfallhydrocoolers with conveyors are used to cool vegetables prior to packaging. The water is cooled by flooded refrigerated plates or pipe coils located over or adjacent to flood pans above the mesh belt conveyor. The flood pans deliver 34°F water evenly over the produce as it is conveyed below. The water passes through the mesh conveyor, is filtered, and returned by pump and piping to the chiller Hydraircooling uses a mixture of refrigerated air and water in a fine mistuses a mixture of refrigerated air and water in a fine mist spray that is circulated around and through the stack by forced convection. It has the advantage of reduced water requirements, the potential for improved sanitation, and the capability of adapting to fiberboard containers of the type that cannot be used in conventional hydrocooling systems. Cooling rates equal to, and in some cases better than, those obtained in conventional unit load hydrocoolers are possible.
  • 539.
    Commercial Methods Produce canbe satisfactorily cooled (1) with air circulated in refrigerated rooms adapted for that purpose, (2) in rail cars or highway vans using special portable cooling equipment that cools the load before it is transported, (3) with air forced through the voids of bulk products moving through a cooling tunnel on continuous conveyors, (4) on continuous conveyors in wind tunnels, or (5) by the forced-air method of passing air through the(5) by the forced-air method of passing air through the containers by pressure differential. Each of these methods is used commercially, and each is suitable for certain commodities when properly applied. In circumstances where air cannot be forced directly through the voids of products in bulk, a container type and a load pattern that permits air to circulate through the container and reach a substantial part of the product surface is beneficial.
  • 540.
    EFFECTS OF CONTAINERSAND STACKING PATTERNS The accessibility of the product to the cooling medium, essential to rapid cooling, may involve both access to the product in the container and to the individual container in a stack. This effect is evident in the cooling rate data of various commodities in various types of containers. A corrugated paperboard container venting pattern for palletized unit loads that produced cooling rates equal to those from conventional register stacked patterns. The spacing apple containers on pallets reduced cooling time by 50% as compared with pallet loads stacked solidly.50% as compared with pallet loads stacked solidly. Palletization is essential for shipment of many products, and pallet stability is improved if cartons are packed closely together. Thus, cartons and packages should be designed to allow ample airflow though the stacked products. The importance of vent sizes and location to obtain good cooling in palletized loads without reducing the strength of the container is also realised.
  • 541.
    PACKAGE ICING Finely crushedice placed in shipping containers can effectively cool products that are not harmed by contact with ice. Spinach, collards, kale, brussels sprouts, broccoli, radishes, carrots, and onions are commonly packaged with ice . Cooling a product from 95 to 35°F requires melting ice equal to 38% of the product’s mass. Additional ice must melt to remove heat leaking into the packages and to remove heat from the container. In addition to removing field heat, package ice can keep the product cool during transit. Top icing, or placing ice on top of packed containers, is used occasionally to supplement another cooling method. Because Top icing, or placing ice on top of packed containers, is used occasionally to supplement another cooling method. Because corrugated containers have largely replaced wooden crates, the use of top ice has decreased in favor of forced-air and hydrocooling. Waximpregnated corrugated containers, however, have allowed the use of icing and hydrocooling of products after packaging. Pumping slush ice or liquid ice into the shipping container through a hose and special nozzle that connect to the package is another method used for cooling some products. Some systems can ice an entire pallet at one time
  • 542.
    VACUUM COOLING Vacuum coolingof fresh produce by the rapid evaporation of water from the product works best with vegetables having a high ratio of surface area to volume. In vacuum refrigeration, water, as the primary refrigerant, vaporizes in a flash chamber under low pressure. The pressure in the chamber is lowered to the saturation point corresponding to the lowest required temperaturepoint corresponding to the lowest required temperature of the water. Vacuum cooling is a batch process. The product to be cooled is loaded into the flash chamber, the system is put into operation, and the product is cooled by reducing the pressure to the corresponding saturation temperature desired. The system is then shut down, the product removed, and the process repeated.
  • 545.
    Refrigerated transport equipmentcan be broadly classified by type of operation—highway and intermodal equipment, or straight trucks. Intermodal equipment often includes special provisions for marine service. Highway and Intermodal Vehicles Refrigerated semitrailers for overland use are up to 55 ft long, 8.5 ft wide, and 14 ft overall height. Where permitted, double or triple trailers may be pulled by one tractor, or a trailer mayor triple trailers may be pulled by one tractor, or a trailer may be pulled by a refrigerated truck. Highway trailers, uncoupled from their tractors, are carried “piggyback”on railroad flatcars. Trailerswith tractors—and trucks—are driven onto ships (roll-on roll-off, or RORO). Containers are carried on trailer and truck chassis, on railroad flatcars (container on flatcar, or COFC), and above and below deck on container ships.
  • 546.
    Trucks Refrigerated trucks areused primarily for short-haul wholesale delivery within or between population centers. Body styles have been developed to suit the character and distribution needs of perishable products. Trucks are used in operations that may require more door openings than trailers. Various devices such as power lift gates and conveyors, which facilitate loading and unloading, are built into the body. Trucks for retail delivery may be furnished for either walk-in or reach- in service. Wheeled racks, which can be rolled into place in the truck, are used to expedite loading.the truck, are used to expedite loading. Multitemperature Vehicles Trucks and trailers may be partitioned into several compartments that can be held at different temperatures. This enables a variety of products to be carried in a single vehicle, making food distribution more efficient. For example, multitemperature vehicles can carry ice cream at -10°F, frozen vegetables at 0°F, meat at 30°F, and fresh vegetables at 34°F. This is usually accomplished via a thermostatically controlled fan-coil unit in each compartment.
  • 580.