Dividing Polynomials by Binomials 2



Sometimes factoring polynomials
is difficult or impossible.

Can these polynomials be divided
by binomials?
can you factor x 2 + 5x + 7?




                          NO!


    (x + 3) (x + 2) + 1

      Not factors!
2 + 5x + 7) by (x+2)?
So can you divide (x


               YES!
 ....but it's ugly.


   (x+3)(x+2)              1
     (x + 2)          + (x + 2)   =


          (x+3) +        1
                      (x + 2)
What if it is a really complicated
polynomial that is really hard to simplify?
Can it be divided?

                YES!
....but it's ugly
x 3 + 3x2 + 3x + 1           (x+1)
               2
             x    + 2x + 1
  x+1          3 + 3x2 + 3x + 1
             x
               3 + x2 )
        -   (x

                 2x 2 + 3x
               - (2x 2 + 2x)

                             x+1
                          - (x + 1)
                                 0
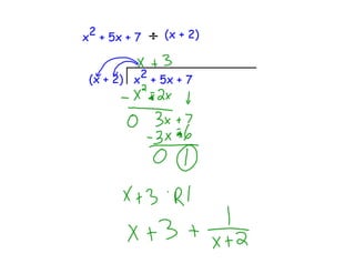
2 + 5x + 7   (x + 2)
x


 (x + 2) x 2 + 5x + 7
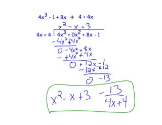
4x 3 - 1 + 8x     4 + 4x


            3 + 0x2 + 8x - 1
4x + 4   4x
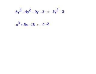
3 - 4y2 - 9y - 3     2y2-3
6y


a3 + 5a - 18    a -2
Assignment

exercise 8   1 - 4 and 8
exercise 9   1- 8

Feb 18 Dividing Polynomials By Binomials 2

  • 1.
    Dividing Polynomials byBinomials 2 Sometimes factoring polynomials is difficult or impossible. Can these polynomials be divided by binomials?
  • 2.
    can you factorx 2 + 5x + 7? NO! (x + 3) (x + 2) + 1 Not factors!
  • 3.
    2 + 5x+ 7) by (x+2)? So can you divide (x YES! ....but it's ugly. (x+3)(x+2) 1 (x + 2) + (x + 2) = (x+3) + 1 (x + 2)
  • 4.
    What if itis a really complicated polynomial that is really hard to simplify? Can it be divided? YES! ....but it's ugly
  • 5.
    x 3 +3x2 + 3x + 1 (x+1) 2 x + 2x + 1 x+1 3 + 3x2 + 3x + 1 x 3 + x2 ) - (x 2x 2 + 3x - (2x 2 + 2x) x+1 - (x + 1) 0
  • 6.
    2 + 5x+ 7 (x + 2) x (x + 2) x 2 + 5x + 7
  • 8.
    4x 3 -1 + 8x 4 + 4x 3 + 0x2 + 8x - 1 4x + 4 4x
  • 9.
    3 - 4y2- 9y - 3 2y2-3 6y a3 + 5a - 18 a -2
  • 10.
    Assignment exercise 8 1 - 4 and 8 exercise 9 1- 8