Quadratic Formula
Quadratics come in this form:
ax 2 + bx + c = 0
Sometimes it is factorable and finding
the value(s) of x is easy. What do you do
when it isn't factorable?
Can you still solve for x?
2 + bx + c = 0
ax

   2 + bx + c = 0
ax
a      a     a    a


  2
x     + bx       +c=0
        a         a
x 2
                  + bx       +c=0
                    a         a

          x 2
                 + bx        =0-c
                   a            a

  2                     2=                 2
x     + bx +
        a      ( )
                 b
                 2a
                              -c +
                               a     ( )
                                      b
                                      2a
2                   2
(   x+   b
         2a
           )    =    -c +
                      a     ( )
                             b
                             2a


            2                   2
(   x+   b
         2a
           )    =    -c +
                      a     ( )
                             b
                             2a


                                 2
                             ( )
         x+ b   =±    -c +    b
           2a         a       2a
2
                     ( )
x+ b     =±   -c +    b
  2a          a       2a



                    2
x   =±   -c +
         a
                ( )
                 b
                 2a
                        -    b
                             2a
2
x=   ±   -c +
          a
                ( )b
                   2a
                           -   b
                               2a

                              2
x= -
                          ( )
         b ±      -c +     b
         2a        a       2a

                              2
x= -
                          ( )
         b ± 2a    -c +    b
         2a  2a     a      2a
2
x= -
                          ( )
         b ± 2a    -c +    b
         2a  2a     a      2a


                              2
                          ( )
x=   -   b ± 2a    -c +    b
                    a      2a
              2a
2
                               ( )
x=   -       b ± 2a     -c +       b
                         a         2a
                   2a


                               2        2      2
x=       -   b ±      - c (2a) +
                        a          ( )
                                     b
                                     2a
                                          (2a)


                      2a
2       2      2
x=   -   b ±   - c (2a) +
                 a           ( )
                              b
                              2a
                                   (2a)


               2a

                     2         2         2
x=   -   b ±   - c 4a +
                 a
                             ( )
                             b
                             4a
                                2
                                    4a


               2a
2       2         2
x=   -   b ±   - c 4a +
                 a        ( )
                          b
                          4a
                            2
                                 4a


               2a

                     2      2         2
x=   -   b ±   - c 4a +
                 a        ( )
                           b
                           4a
                             2
                                 4a


               2a
2     2            2
x=   -       b ±   - c 4a +
                     a        ( )
                              b
                              4a
                                2
                                       4a


                   2a

                                   2
x=       -   b ±   - c 4a +    b


                    2a
2
x = -b ±    b - 4ac
           2a
2
   7x + 14x - 3 = 0

What are the roots of
the above function

               2
  x = -b ±    b - 4ac
             2a

     2
  7x + 14x - 3 = 0
2
  7x + 14x - 3 = 0

             2
x = -14 ± 14 - 4(7)(-3)
         2(7)


x = -14 ± 196 + 84
         14
x = -14 ± 280
         14


x = -14 ± 16.73
         14
x = -14 ± 16.73
                     14

x1 = -14 + 16.73       x2 = -14 - 16.73
          14                     14
x1 = 2.73              x2 = -30.73
      14                      14

 x1 = .2               x2 = -2.2

March 9 Quadratic Formula

  • 1.
  • 2.
    Quadratics come inthis form: ax 2 + bx + c = 0 Sometimes it is factorable and finding the value(s) of x is easy. What do you do when it isn't factorable? Can you still solve for x?
  • 3.
    2 + bx+ c = 0 ax 2 + bx + c = 0 ax a a a a 2 x + bx +c=0 a a
  • 4.
    x 2 + bx +c=0 a a x 2 + bx =0-c a a 2 2= 2 x + bx + a ( ) b 2a -c + a ( ) b 2a
  • 5.
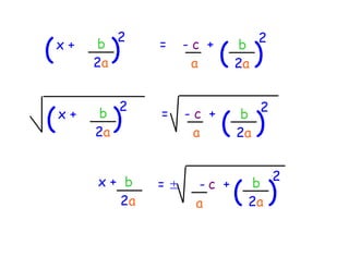
    2 2 ( x+ b 2a ) = -c + a ( ) b 2a 2 2 ( x+ b 2a ) = -c + a ( ) b 2a 2 ( ) x+ b =± -c + b 2a a 2a
  • 6.
    2 ( ) x+ b =± -c + b 2a a 2a 2 x =± -c + a ( ) b 2a - b 2a
  • 7.
    2 x= ± -c + a ( )b 2a - b 2a 2 x= - ( ) b ± -c + b 2a a 2a 2 x= - ( ) b ± 2a -c + b 2a 2a a 2a
  • 8.
    2 x= - ( ) b ± 2a -c + b 2a 2a a 2a 2 ( ) x= - b ± 2a -c + b a 2a 2a
  • 9.
    2 ( ) x= - b ± 2a -c + b a 2a 2a 2 2 2 x= - b ± - c (2a) + a ( ) b 2a (2a) 2a
  • 10.
    2 2 2 x= - b ± - c (2a) + a ( ) b 2a (2a) 2a 2 2 2 x= - b ± - c 4a + a ( ) b 4a 2 4a 2a
  • 11.
    2 2 2 x= - b ± - c 4a + a ( ) b 4a 2 4a 2a 2 2 2 x= - b ± - c 4a + a ( ) b 4a 2 4a 2a
  • 12.
    2 2 2 x= - b ± - c 4a + a ( ) b 4a 2 4a 2a 2 x= - b ± - c 4a + b 2a
  • 13.
    2 x = -b± b - 4ac 2a
  • 14.
    2 7x + 14x - 3 = 0 What are the roots of the above function 2 x = -b ± b - 4ac 2a 2 7x + 14x - 3 = 0
  • 15.
    2 7x+ 14x - 3 = 0 2 x = -14 ± 14 - 4(7)(-3) 2(7) x = -14 ± 196 + 84 14
  • 16.
    x = -14± 280 14 x = -14 ± 16.73 14
  • 17.
    x = -14± 16.73 14 x1 = -14 + 16.73 x2 = -14 - 16.73 14 14 x1 = 2.73 x2 = -30.73 14 14 x1 = .2 x2 = -2.2