Assign a configuration, R or S to each of these compounds


                                                                            Br
                                                       Cl

                                                                                 Cl
                               OH                                      HO
      Br


CF3         OH

                                        NH2
                                HS                                               CHO
                                           CO2H
Problem: Compound I has two stereoisomers, but compound
II and III exist as single compounds. Explain?


            +                +
  Me       N H         Me   N H        Me   N
           Et    Cl         Me    Cl        H

       I                    II              III


 Problem: The following compound has only one chirality center,
 why then dose it have four stereoisomers


                      Br
1.
                            KMnO4
     HO
                                                  A (chiral) + B (achiral)
            OH

          (R)                Identify A & B




2.
                           H2/Ni
                                        C (chiral) + D (achiral)

                                        Both C & D are C8H18, identify them.
             (R)

 3. Two stereoisomers are obtained from the reaction of HBr with (3S, 4S)-4-bromo-3-methyl-1-pentene.
 one of the stereoisomer is optically active and the other is not. Explain?




                                   Me         H
                                                        + HBr
                                   Br         H
                                         Me
Problem: Feist's acid (C6H6O4) is a cyclopropane based natural product and having two
stereocenter. The compound is chiral. Based on this information predict its correct structure?

                  CO2H                                        CO2H
     Hint:


                      CO2H             HO2C    CO2H               CO2H
                  X                                           X




                         HO2C         CO2H     HO2C    CO2H
                             right structure
Discuss the stereochemistry of the following compounds and
mention about their optical activity with good diagrams.
                     OH
    NHCO2Me
                               O
                                        Ph
   Me
                           O
 SMe O    SMe


                           N
                           H
Problem: Which of the following are chiral and why?

                Me
                                                                  Me


 Me      Me                 Me          Me             Me
                     a(p)                                                     Me
      a(p)                                        c                    a(p)
                     Me            Cl        Me
Me                                                           Cl          Me
           Cl                                                                         Cl


                     Cl            Me        Cl
          Me                                                 Me          Cl           Me
      c
                            a(p)                      a(c)                         a(p)
Problem: Draw all the isomers with mol. formula C 6H-12 that
contain a cyclobutane ring, and comment on their chirality

Hint: the base structure is dimethyl cyclobutane [1,2 (cis & trans) and
1,3 (cis & trans) also 1,1]; there also exist 1ethyl cyclobutane.

     Me      Me     Me                 Me
                                            Me

                             Me
Problem: 2,5-dimethyl-1,1-cyclopentane dicarboxylic acid exist as two optically
        inactive isomers (A & B; differ in mp),Upon heating (mono decarboxylation A yields
        two 2,5-dimethylcyclopentanecarboxylic acid and B yields one.
        Assign structures of A & B.


               HO2C       CO2H
Hint:
                                                    CO2H                    CO2H
                                      heat
                      A                                           +   Me           Me


                                                  CO2H                     CO2H
              HO2C        CO2H
                                      heat
                                                             or


                      B
                                                           same
            A & B are diastereomers
Indicate wheather each of the following pairs of compounds
           are identical or enantiomers, diastereomers or constitutional isomers.

                H                               Me                            Me                            Et
a.        Et         CH2OH         and     H         Et         b. HO              H            HO               H
                Me                              CH2OH                                    and
                                                                          H        Cl               H            Cl
                                                                              Et                            Me

               Me                         Me
          HO         H              H           OH
c.                           and                          d.                            and             Cl
          H          Cl            Cl           H
               Me                         Me
                                                                          Cl Cl                     H Cl



     e.         H H                     H Cl                              Cl H                      H Cl
                             and                          f.                            and

                Cl Cl                    Cl H                             H Cl                      Cl H


                                                                                               Br            H
                     CH2Cl                 Et                        H         Br
     g.                                                        h.                        and
               Et         Me and Me             CH2Cl
                                                                                                    H        Br
                     H                     H                         Br        H



     i.                                                               H
                                                                j.                      and
                              and                                                  Br                   H             Br
Problem: Which of the following compounds are resolvable,
               and which are non resolvable?Which are truly meso?
             a) cis-1,2-cyclohexane diol; b) trans-1,2-cyclohexane diol;
             c) cis-1,3-cyclohexane diol; d) trans-1,3-cyclohexane diol;
             e) cis-1,4-cyclohexane diol; f) trans-1,4-cyclohexane diol.
Hint:
                                                                         OH
                                       OH
                                                                                               OH
                     OH                                                                       OH
                                         OH
                                                                       OH
             OH                                                                trans (resolvable)
   Non resolvable (easily interconvertible by flipping)
                                                                  OH
                                  OH      OH
    HO
                      OH                                                      OH
        cis (meso)                                                trans (resolvable)
                                                                                                OH
                     OH
                                                            HO                OH
    HO
                                                                                       OH
                          achiral (absence of chirality center)
Problem: On treatment with the aromatic base pyridine, racemic 1,2-dibromo-1,2-diphenyl ethane
   loses HBr to yield trans-1-bromo-1,2-diphenyl ethane; In contrast the meso dibromide loses Br 2 to
   yield trans-1,2-diphenyl ethene. Suggets a mechanism?

Hnit:                                          Ph                          Br
              Ph
                                      Br
                                     Ph                               H
        Br          H                               H       H                   Ph      Br2 loss is not favored
                                                                       Ph
        H           Br         H       Br
                                                                 Br
              Ph
             Racemic


                                                                      H
                                                             Ph                  -HBr       Ph
                                                        H                 Br
                                                                 Ph
                                                                                            Br        Ph
              Ph                     Ph                     Br        Br
                             PhH                                                           Ph
        H           Br                                           Ph
                                          Br            H                   H    -Br2
        H           Br                                            Ph                                  Ph
                         H      Br
              Ph                                            Br
             meso
Problem: Reduction of 4-t-butyl cyclohexanone with LiAlH 4 gives exclusively
trans alcohol; whereas with lithiumtri-sec butylborohydride yields cis`alcohol
exclusively? explain.
  Hnit:

             OH                                                                  H
                     Li-sBu3BH                 O    LiAlH4
                H                                                                    OH

                                                          H
                                                          Al
                                                      H          H
                       B                                     H
                           H
It is more difficult to form an acetal of compound A than B?

                                                                O
                                              OH
                            O       HO
                                                                        O

                                         H+

                  A
                                                                O
                                              OH
                            O       HO
                                                                        O

                                         H+

                  A
        R                       R                         R                           R           +
Hint:                                                                            H+       O
            O                        OH+                            OH
        R         H+            R                         R O                -H2O     R               OH
                                              OH
                                    HO                                      OH
                                                          R     R

                                                          O         O                 R   O
                                                                                              +
                                                                                          O
                                                                                      R
                                                                                          H
                            HO
                       OH                            HO
                                                   OH

                        O                            O
Problem: Which of these two compounds would form
        an epoxide on treatment with base?

                OH                    OH


                Br                    Br
        H                   H
        A                    B


Hint:         Me      OH           Me

                                            OH
                                           Br
            H        Br           H
                A                     B
Problem: Only one of the diastereomeric bromides shown here
        eliminates to give alkene A. Why? Neither bromide gives alkene B. Why not?


                 O                                O
        O                           O
                      Base
                                                                        O
 Br                                                          O
                                          A
                 O
        O
                      Base                                   Alkene B
                                 No alkene A
  Br



Hint:                        O                        O
                  O                           O

                                     Br

                Br
N + CH3I                       N   CH3 +           I



Explain the relative rate
                   Me




                                  N         Me       N          Me
                   N        Me
 N

                  2.27           0.47               0.042
1.00
Explain the reaction sequences with proper explanation.



                                                          H
               Ph
                    heat                  Ph             H
                                               heat              Ph
                                                  HO2C
HO2C
                           HO2C
Identify the missing products in the following reaction sequence.

O                a)     MgBr
                                      175oC
                                ?                ?
H
                  b) KH, 60oC                             O
         H



                                O
Each of the following reactions involves one or more concerted steps
          that take place in accordance with theWoodward-Hoffmann rules. In each case,
          prdeict exactly what is happening, with stereochemistry?


1.                    25oC
               O                                Hint: (ring junction cis-beta)
                                          O




                    100oC                     light                     25oC
2.


                               cis-beta                                          trans

              H                                                     H
                      140oC                       220oC
     3.

              H                                                     H
Problem: Account for the difference in conditions required
to bring about the following transformations
                                      Me
   Me         Me             Me
                   176oC                   H
                                           Me
   Me         Me             Me
                                      H
   Me     H                    Me
                     400oC

  Me                           Me
          H

   Problem: Give stereochemical structures of A and B and tell exactly
   what process is taking place in each reaction
                                                100oC
   cis, cis, cis-cycloocta-1,3,5-triene                      A (C8H10)
    A+     MeO2C               CO2Me                    B (C14H16O4)
         heat
    B               Cyclobutene + dimethylphthalate
Predict the products in the following reactions;
                                                                               O
1.         OH

                            KH               H+
                                     ?                ?
                        THF, heat




2.                               MeCOCl               LDA           heat                    OH
      Ph                OH                        ?           ?                ?
                                    Et3N                            H+
                                                                                   Ph   O
                             Ireland-Claisen rearrangement

3. Suggest a mechanism for this reaction?

                                                              Me
                O
                        +
                    O                    O                                 O
                                                              H
           CO2Me                                            CO2Me
Each of the following transformations is believed to proceed by the indicated
      sequence of concerted reactions. Show just what each step involves,
      and give structures of each intermediates
1.                                                      H
                   H                                         R
                          heat               heat
                   R                 A
                   R
                                                             R
               H                                        H
      Both electrocyclic closure



2.                      200oC            260oC
                                 B                  C


      1,5-H shift, electrocyclic opening.
                                                            Me
              H                                         H        Et
                   Me       170oC             170oC
 3.                                      D
                   Et
               H
                                                        H
      electrocyclic opening, electrocyclic closure
The deuterium scrambling has been accounted for on the basis ofintramolecular
Diels-Alder and retro DA reactions. Show how might this occur?


                           heat

        D                         D




                       D



Hint: look for an intermediate that is symmetrical except for the presence of deuterium.
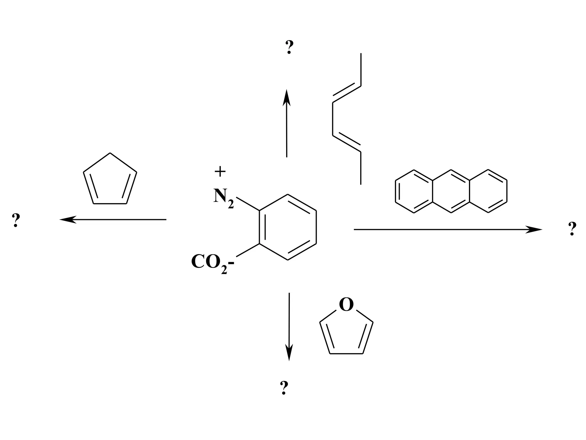
?




      +
      N2
?                  ?
    CO2-

               O



           ?
Which alkyl halide would you expect to be more reactive
          in an SN2/SN1 reaction with a given nucleophile?
a.
          Br    and              I

                                      e.                 Br                    Br
b.   Cl                                                        and
               and    O    Cl


                                      f.                  and             Br
c.   Br                     Br                      Br
               and

                                      g.                             Br
                                                         and
d.             and                             Br
          Br                     Br
Problem: When cis-1-bromo-4-methyl cyclohexane undergoes an SN2 reaction,
 only trans-4-methylcyclohexanolis obtained, where as under SN1 reaction condition
 both cis and trans product is obtained. Explain

 Hint:
                 Br                          Br
Me                    OH-         Me                          Me             OH
                      SN2                         OH-                trans
         cis


                Br                                                                   OH
                      H 2O               +
Me                            Me                       Me           OH Me
                      SN1
     cis                                                    trans             cis


 Problem: Which of the following will react faster in an SN1 reaction?


               But           Br    But            Br
Problem: Which of the following compounds would you expect to be
more reactive in an SN2 reaction?


                                                              Br
                             Br          Hint:                         Br
             Me                  Me
         Me Br          Me                                A        B
            A                B

                                      Ans: A



Problem: Which of the following compounds would you expect to be
more reactive in an SN2 reaction?




 But              OTs                 OTs        Ans: A



            A                B
NH2                NaNO2, H2O                  CHO
  Problem1
                            OH
                                         H2SO4


                                    NaNO2, H2O
                                                                         O
                                     H2SO4



Problem 2
                  O
                                    AgNO3        HO          CHO

                           Br



 Problem 3: Kinetic measurements reveal that solvolytic displacement of sulfonate
 is about 5 X 105 faster for 3B than for 3A

                                OSO2Ar
                                                                         OSO2Ar

                 O                                          O
                      3A
                                                                3B
Q.
                                        O
                                X                      X                X                   X
                                                           O

                                                                            O

  Relative rate   1.0                   0.014                  0.14         4.85 x 10 4

Explain
      Transannular participation of ether oxygen

                                                                 O
                                    O                                             O




                        .
                                         I                        II                  III


                        .   III is more favorable than either I or II
                            Unfavorable polar effect of the C-O bond
OH                                         OPh                                      NMe2
                              DEAD, TPP                                 DEAD, TPP
                   NMe2                                        NMe2                                    OH
                             PhOH                                         PhOH

         A                                                                                    B


Both A and B gave the same priduct when subjected to Mitsunobu conditions with phenol as nucleophile




                                                                                      H
                                                                                 H
                              OH              DEAD, TPP
                                                                                        NO2
                                  NO2
                                                                                 H

                          Explain the reaction
PhOH

                                    Me                 OPh
                                 +
                                N
                                    Me                       NMe2


                  common intermediate




OH                             OP+Ph3         OP+Ph3
           TPP                                                      NO2

           DEAD                     NO2
     NO2                                      C NO2
                                          H
O
         H2O   HO   CHO
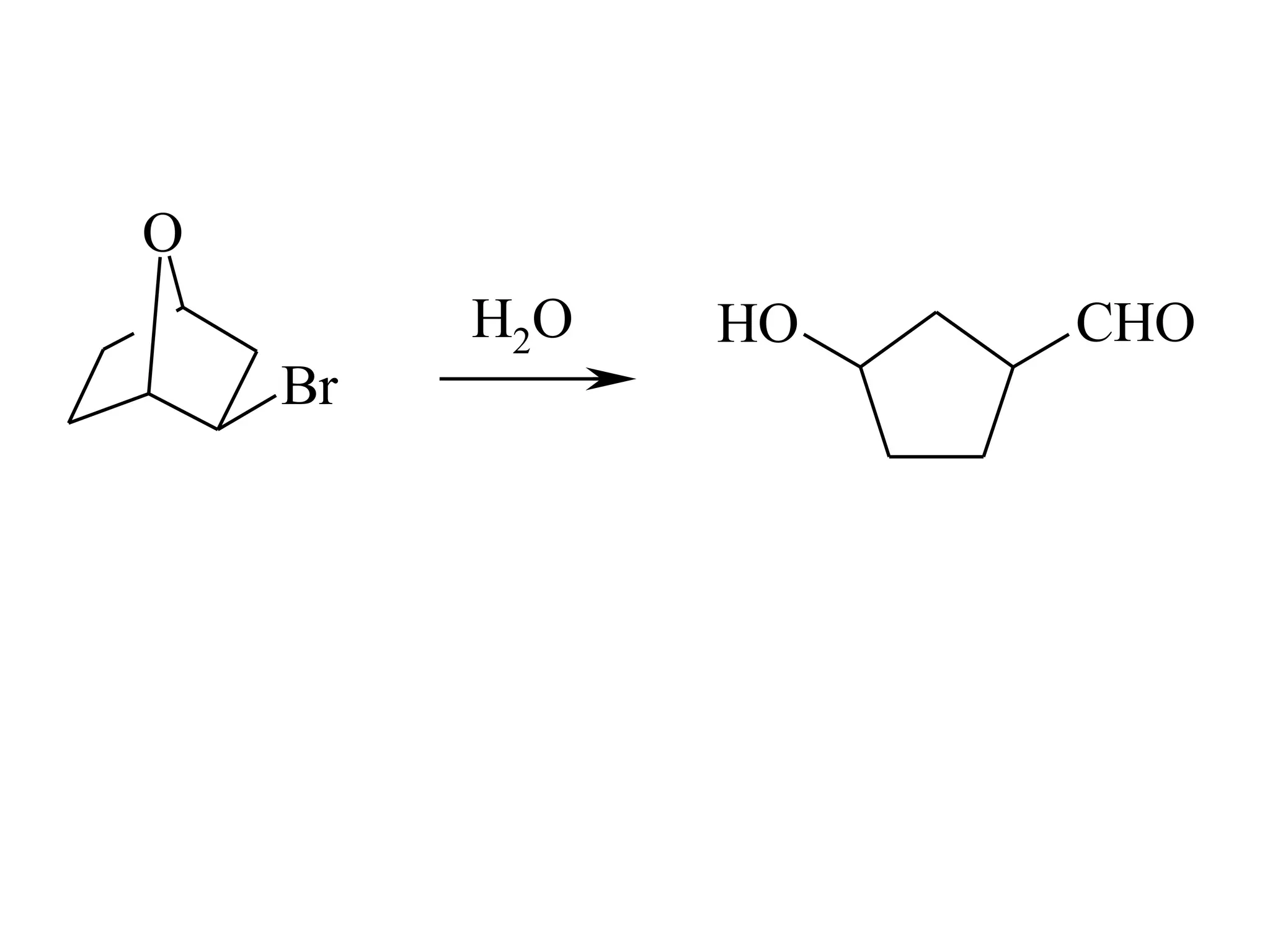
    Br
O        O             O

    Br       +
                             hemiacetal
         C
                      HO




             +
         O
                 HO        CHO
Q. Describe the stereochemistry of the products of these reactions.


                                 Cl
                                       O             LiAlH4                      S
         (a)
                                   S
                        (_)
                         +
-
    forms, inversion takes place (SN2) at C-atom containing Cl, forms cis-fused product
                                                                                   OH

                                             O                           S
                                                          base
         (b)   HS
                    enantiomerically pure

                              Both are intramolecular SN2
H
                N
      O

                              Product




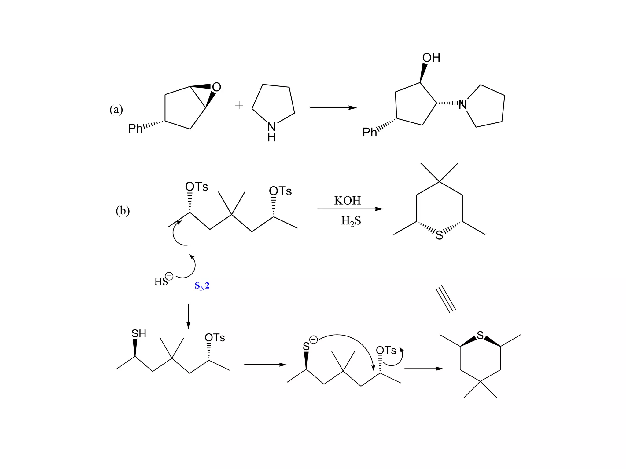
OTs       OTs       KOH/H2S
                                Product
OH

                         O
(a)                          +                               N
      Ph                         N               Ph
                                 H



                 OTs             OTs
                                           KOH
 (b)
                                           H2S
                                                         S


            HS    SN 2




       SH           OTs                                          S
                                       S          OTs
Q. Suggest a mechanism for the following reaction

              O                                           O
                                        H2O                              O            Ph
     Ph                     Cl
                  N                                  Ph        N
                                      CH3CN, heat              H
     Ph                                                                           O

              O
     O                                                              O
                                       O
                      Cl
Ph        N                                                    Ph        N
                                 Ph          N

                  O                              O                  Ph            O

     Ph                                 Ph
                                                                             OH

                                                               O

                                                                                      O        Ph
                                                          Ph        N
                                                                    H
                                                                                           O
Predict the final product


                                  I2, Ph3P

MeO              CH2OH
                                         N
                                    N
                                    H


                                   NBS, TPP

MeO               CH2OH
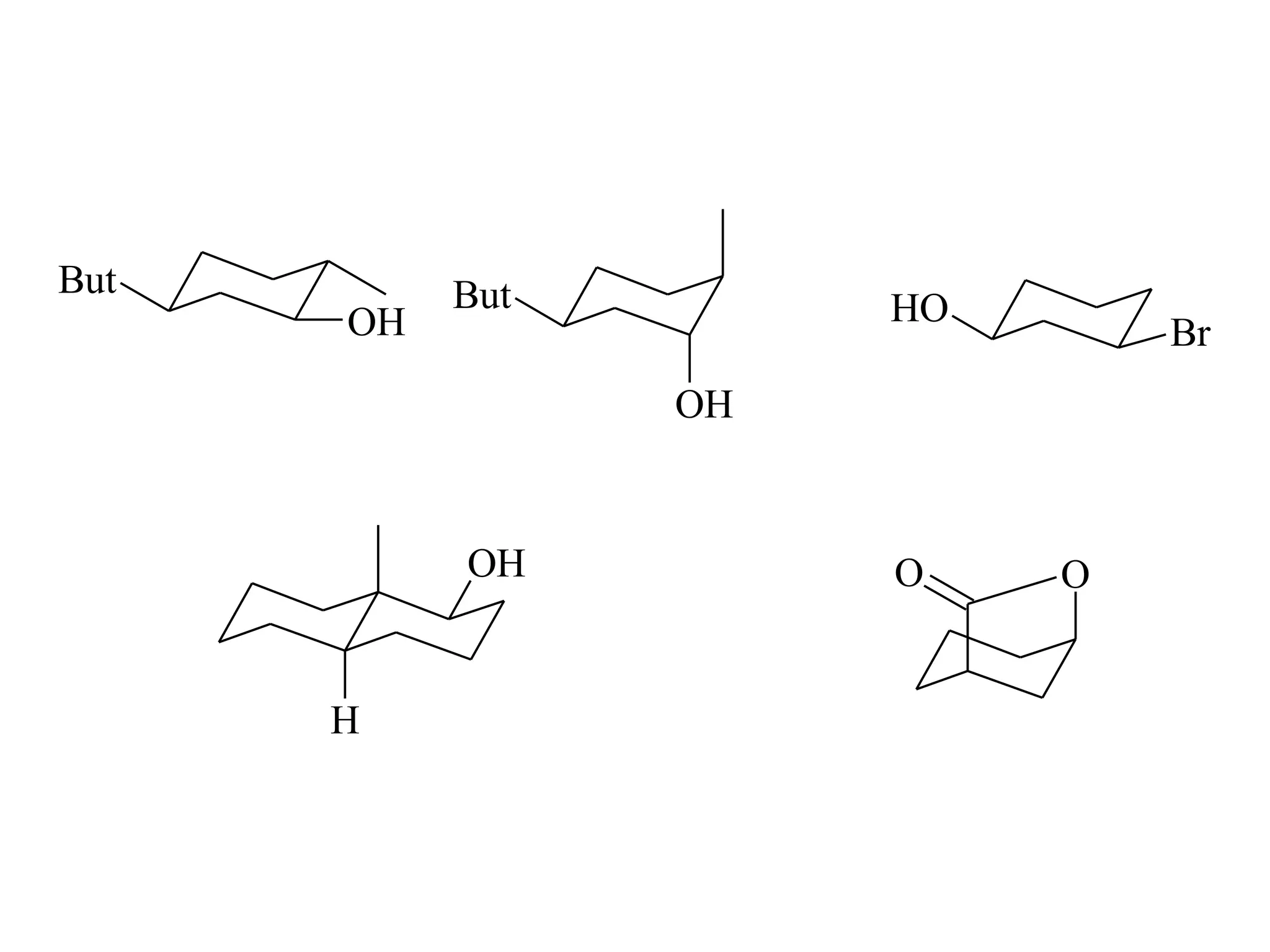
For each of the compounds A through H indicate the number of gauche butane
interactions present in the most stable chair conformation.
Me                Me


OH                OH   HO   Br


         OH   O
                  O



     H
But        But
      OH              HO
                               Br
                 OH


           OH         O    O


      H

Extra problem for 1st yr

  • 1.
    Assign a configuration,R or S to each of these compounds Br Cl Cl OH HO Br CF3 OH NH2 HS CHO CO2H
  • 2.
    Problem: Compound Ihas two stereoisomers, but compound II and III exist as single compounds. Explain? + + Me N H Me N H Me N Et Cl Me Cl H I II III Problem: The following compound has only one chirality center, why then dose it have four stereoisomers Br
  • 3.
    1. KMnO4 HO A (chiral) + B (achiral) OH (R) Identify A & B 2. H2/Ni C (chiral) + D (achiral) Both C & D are C8H18, identify them. (R) 3. Two stereoisomers are obtained from the reaction of HBr with (3S, 4S)-4-bromo-3-methyl-1-pentene. one of the stereoisomer is optically active and the other is not. Explain? Me H + HBr Br H Me
  • 4.
    Problem: Feist's acid(C6H6O4) is a cyclopropane based natural product and having two stereocenter. The compound is chiral. Based on this information predict its correct structure? CO2H CO2H Hint: CO2H HO2C CO2H CO2H X X HO2C CO2H HO2C CO2H right structure
  • 5.
    Discuss the stereochemistryof the following compounds and mention about their optical activity with good diagrams. OH NHCO2Me O Ph Me O SMe O SMe N H
  • 6.
    Problem: Which ofthe following are chiral and why? Me Me Me Me Me Me Me a(p) Me a(p) c a(p) Me Cl Me Me Cl Me Cl Cl Cl Me Cl Me Me Cl Me c a(p) a(c) a(p)
  • 7.
    Problem: Draw allthe isomers with mol. formula C 6H-12 that contain a cyclobutane ring, and comment on their chirality Hint: the base structure is dimethyl cyclobutane [1,2 (cis & trans) and 1,3 (cis & trans) also 1,1]; there also exist 1ethyl cyclobutane. Me Me Me Me Me Me
  • 8.
    Problem: 2,5-dimethyl-1,1-cyclopentane dicarboxylicacid exist as two optically inactive isomers (A & B; differ in mp),Upon heating (mono decarboxylation A yields two 2,5-dimethylcyclopentanecarboxylic acid and B yields one. Assign structures of A & B. HO2C CO2H Hint: CO2H CO2H heat A + Me Me CO2H CO2H HO2C CO2H heat or B same A & B are diastereomers
  • 9.
    Indicate wheather eachof the following pairs of compounds are identical or enantiomers, diastereomers or constitutional isomers. H Me Me Et a. Et CH2OH and H Et b. HO H HO H Me CH2OH and H Cl H Cl Et Me Me Me HO H H OH c. and d. and Cl H Cl Cl H Me Me Cl Cl H Cl e. H H H Cl Cl H H Cl and f. and Cl Cl Cl H H Cl Cl H Br H CH2Cl Et H Br g. h. and Et Me and Me CH2Cl H Br H H Br H i. H j. and and Br H Br
  • 10.
    Problem: Which ofthe following compounds are resolvable, and which are non resolvable?Which are truly meso? a) cis-1,2-cyclohexane diol; b) trans-1,2-cyclohexane diol; c) cis-1,3-cyclohexane diol; d) trans-1,3-cyclohexane diol; e) cis-1,4-cyclohexane diol; f) trans-1,4-cyclohexane diol. Hint: OH OH OH OH OH OH OH OH trans (resolvable) Non resolvable (easily interconvertible by flipping) OH OH OH HO OH OH cis (meso) trans (resolvable) OH OH HO OH HO OH achiral (absence of chirality center)
  • 11.
    Problem: On treatmentwith the aromatic base pyridine, racemic 1,2-dibromo-1,2-diphenyl ethane loses HBr to yield trans-1-bromo-1,2-diphenyl ethane; In contrast the meso dibromide loses Br 2 to yield trans-1,2-diphenyl ethene. Suggets a mechanism? Hnit: Ph Br Ph Br Ph H Br H H H Ph Br2 loss is not favored Ph H Br H Br Br Ph Racemic H Ph -HBr Ph H Br Ph Br Ph Ph Ph Br Br PhH Ph H Br Ph Br H H -Br2 H Br Ph Ph H Br Ph Br meso
  • 12.
    Problem: Reduction of4-t-butyl cyclohexanone with LiAlH 4 gives exclusively trans alcohol; whereas with lithiumtri-sec butylborohydride yields cis`alcohol exclusively? explain. Hnit: OH H Li-sBu3BH O LiAlH4 H OH H Al H H B H H
  • 13.
    It is moredifficult to form an acetal of compound A than B? O OH O HO O H+ A O OH O HO O H+ A R R R R + Hint: H+ O O OH+ OH R H+ R R O -H2O R OH OH HO OH R R O O R O + O R H HO OH HO OH O O
  • 14.
    Problem: Which ofthese two compounds would form an epoxide on treatment with base? OH OH Br Br H H A B Hint: Me OH Me OH Br H Br H A B
  • 15.
    Problem: Only oneof the diastereomeric bromides shown here eliminates to give alkene A. Why? Neither bromide gives alkene B. Why not? O O O O Base O Br O A O O Base Alkene B No alkene A Br Hint: O O O O Br Br
  • 16.
    N + CH3I N CH3 + I Explain the relative rate Me N Me N Me N Me N 2.27 0.47 0.042 1.00
  • 17.
    Explain the reactionsequences with proper explanation. H Ph heat Ph H heat Ph HO2C HO2C HO2C
  • 18.
    Identify the missingproducts in the following reaction sequence. O a) MgBr 175oC ? ? H b) KH, 60oC O H O
  • 19.
    Each of thefollowing reactions involves one or more concerted steps that take place in accordance with theWoodward-Hoffmann rules. In each case, prdeict exactly what is happening, with stereochemistry? 1. 25oC O Hint: (ring junction cis-beta) O 100oC light 25oC 2. cis-beta trans H H 140oC 220oC 3. H H
  • 20.
    Problem: Account forthe difference in conditions required to bring about the following transformations Me Me Me Me 176oC H Me Me Me Me H Me H Me 400oC Me Me H Problem: Give stereochemical structures of A and B and tell exactly what process is taking place in each reaction 100oC cis, cis, cis-cycloocta-1,3,5-triene A (C8H10) A+ MeO2C CO2Me B (C14H16O4) heat B Cyclobutene + dimethylphthalate
  • 21.
    Predict the productsin the following reactions; O 1. OH KH H+ ? ? THF, heat 2. MeCOCl LDA heat OH Ph OH ? ? ? Et3N H+ Ph O Ireland-Claisen rearrangement 3. Suggest a mechanism for this reaction? Me O + O O O H CO2Me CO2Me
  • 22.
    Each of thefollowing transformations is believed to proceed by the indicated sequence of concerted reactions. Show just what each step involves, and give structures of each intermediates 1. H H R heat heat R A R R H H Both electrocyclic closure 2. 200oC 260oC B C 1,5-H shift, electrocyclic opening. Me H H Et Me 170oC 170oC 3. D Et H H electrocyclic opening, electrocyclic closure
  • 23.
    The deuterium scramblinghas been accounted for on the basis ofintramolecular Diels-Alder and retro DA reactions. Show how might this occur? heat D D D Hint: look for an intermediate that is symmetrical except for the presence of deuterium.
  • 24.
    ? + N2 ? ? CO2- O ?
  • 25.
    Which alkyl halidewould you expect to be more reactive in an SN2/SN1 reaction with a given nucleophile? a. Br and I e. Br Br b. Cl and and O Cl f. and Br c. Br Br Br and g. Br and d. and Br Br Br
  • 26.
    Problem: When cis-1-bromo-4-methylcyclohexane undergoes an SN2 reaction, only trans-4-methylcyclohexanolis obtained, where as under SN1 reaction condition both cis and trans product is obtained. Explain Hint: Br Br Me OH- Me Me OH SN2 OH- trans cis Br OH H 2O + Me Me Me OH Me SN1 cis trans cis Problem: Which of the following will react faster in an SN1 reaction? But Br But Br
  • 27.
    Problem: Which ofthe following compounds would you expect to be more reactive in an SN2 reaction? Br Br Hint: Br Me Me Me Br Me A B A B Ans: A Problem: Which of the following compounds would you expect to be more reactive in an SN2 reaction? But OTs OTs Ans: A A B
  • 28.
    NH2 NaNO2, H2O CHO Problem1 OH H2SO4 NaNO2, H2O O H2SO4 Problem 2 O AgNO3 HO CHO Br Problem 3: Kinetic measurements reveal that solvolytic displacement of sulfonate is about 5 X 105 faster for 3B than for 3A OSO2Ar OSO2Ar O O 3A 3B
  • 29.
    Q. O X X X X O O Relative rate 1.0 0.014 0.14 4.85 x 10 4 Explain Transannular participation of ether oxygen O O O . I II III . III is more favorable than either I or II Unfavorable polar effect of the C-O bond
  • 30.
    OH OPh NMe2 DEAD, TPP DEAD, TPP NMe2 NMe2 OH PhOH PhOH A B Both A and B gave the same priduct when subjected to Mitsunobu conditions with phenol as nucleophile H H OH DEAD, TPP NO2 NO2 H Explain the reaction
  • 31.
    PhOH Me OPh + N Me NMe2 common intermediate OH OP+Ph3 OP+Ph3 TPP NO2 DEAD NO2 NO2 C NO2 H
  • 32.
    O H2O HO CHO Br
  • 33.
    O O O Br + hemiacetal C HO + O HO CHO
  • 34.
    Q. Describe thestereochemistry of the products of these reactions. Cl O LiAlH4 S (a) S (_) + - forms, inversion takes place (SN2) at C-atom containing Cl, forms cis-fused product OH O S base (b) HS enantiomerically pure Both are intramolecular SN2
  • 35.
    H N O Product OTs OTs KOH/H2S Product
  • 36.
    OH O (a) + N Ph N Ph H OTs OTs KOH (b) H2S S HS SN 2 SH OTs S S OTs
  • 37.
    Q. Suggest amechanism for the following reaction O O H2O O Ph Ph Cl N Ph N CH3CN, heat H Ph O O O O O Cl Ph N Ph N Ph N O O Ph O Ph Ph OH O O Ph Ph N H O
  • 38.
    Predict the finalproduct I2, Ph3P MeO CH2OH N N H NBS, TPP MeO CH2OH
  • 39.
    For each ofthe compounds A through H indicate the number of gauche butane interactions present in the most stable chair conformation.
  • 40.
    Me Me OH OH HO Br OH O O H
  • 41.
    But But OH HO Br OH OH O O H