‫الرحيم‬ ‫الرحمن‬ ‫اهلل‬ ‫بسم‬
Concurrent Forces
in Three Dimensions
3D relations as generalizations of 2D
relations
.
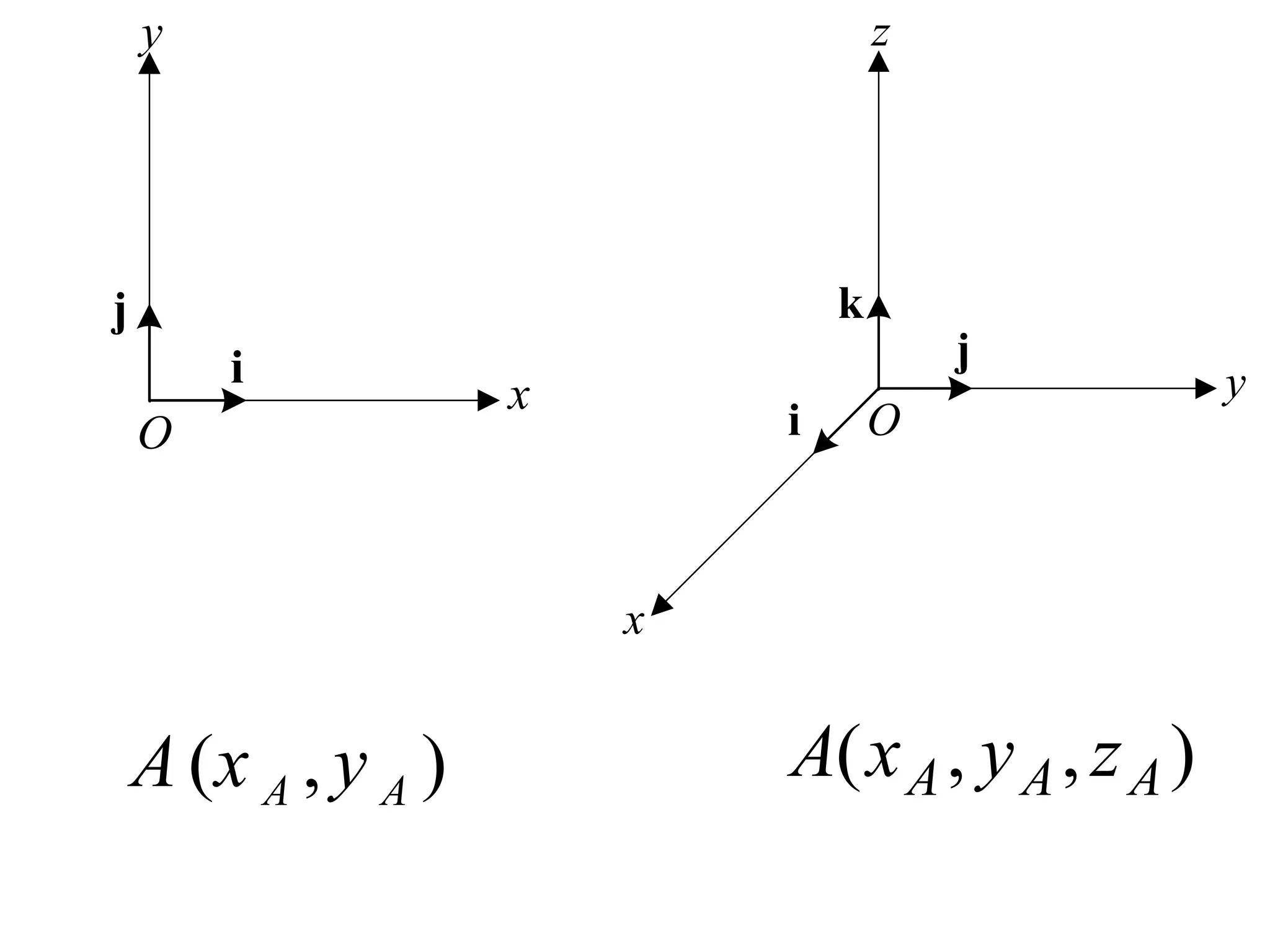
y
z
x
O
j
i
k
x
y
O
j
i
)
,
,
( A
A
A z
y
x
A
( , )
A A
A x y
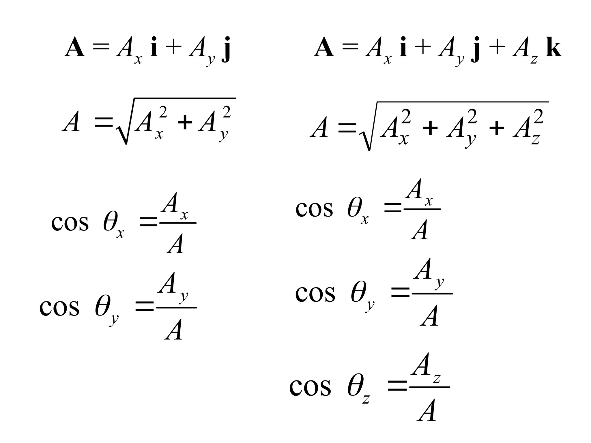
A = Ax i + Ay j + Az k
2
2
2
z
y
x A
A
A
A 


A = Ax i + Ay j
2 2
x y
A A A
 
cos x
x
A
A
 
cos y
y
A
A
 
cos z
z
A
A
 
cos x
x
A
A
 
cos y
y
A
A
 
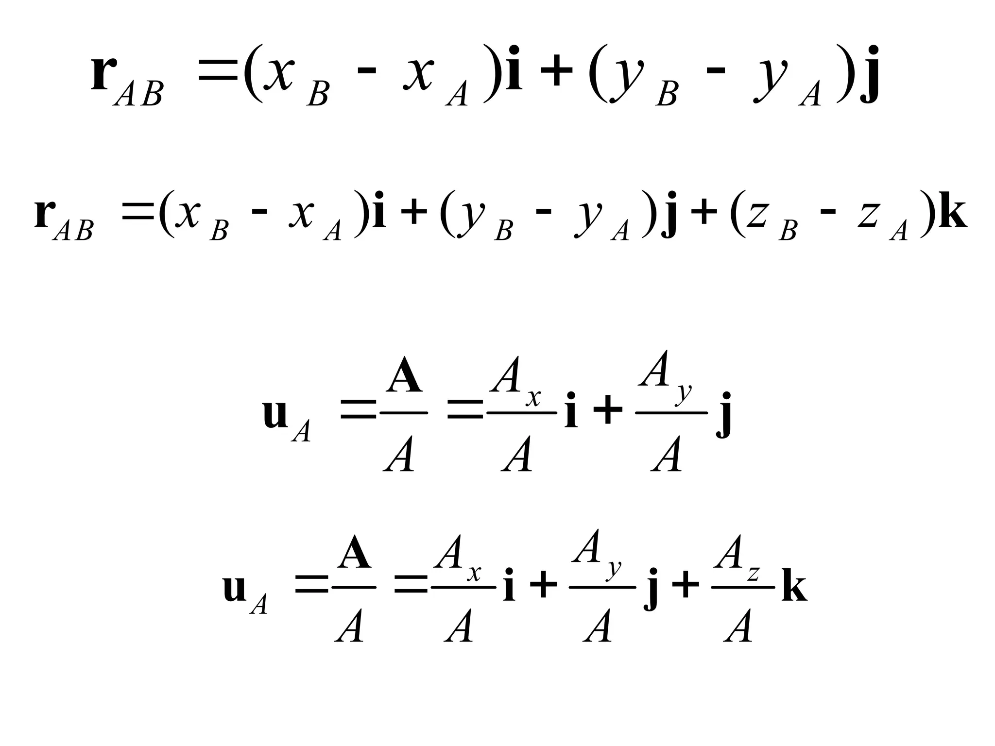
( ) ( ) ( )
AB B A B A B A
x x y y z z
     
r i j k
( ) ( )
AB B A B A
x x y y
   
r i j
y
x
A
A
A
A A A
  
A
u i j
y
x z
A
A
A A
A A A A
   
A
u i j k
cos cos
x y
A  
 
u i j
cos cos cos
x y z
A   
  
u i j k
2 2
cos cos 1
x y
 
 
2 2 2
cos cos cos 1
x y z
  
  
2 2
( ) ( )
( ) ( )
AB B A B A
AB
AB A B A B
x x y y
x x y y
  
 
  
r i j
u
r
2 2 2
( ) ( ) ( )
( ) ( ) ( )
AB B A B A B A
AB
AB A B A B B A
x x y y z z k
x x y y z z
    
 
    
r i j
u
r
( ) ( )
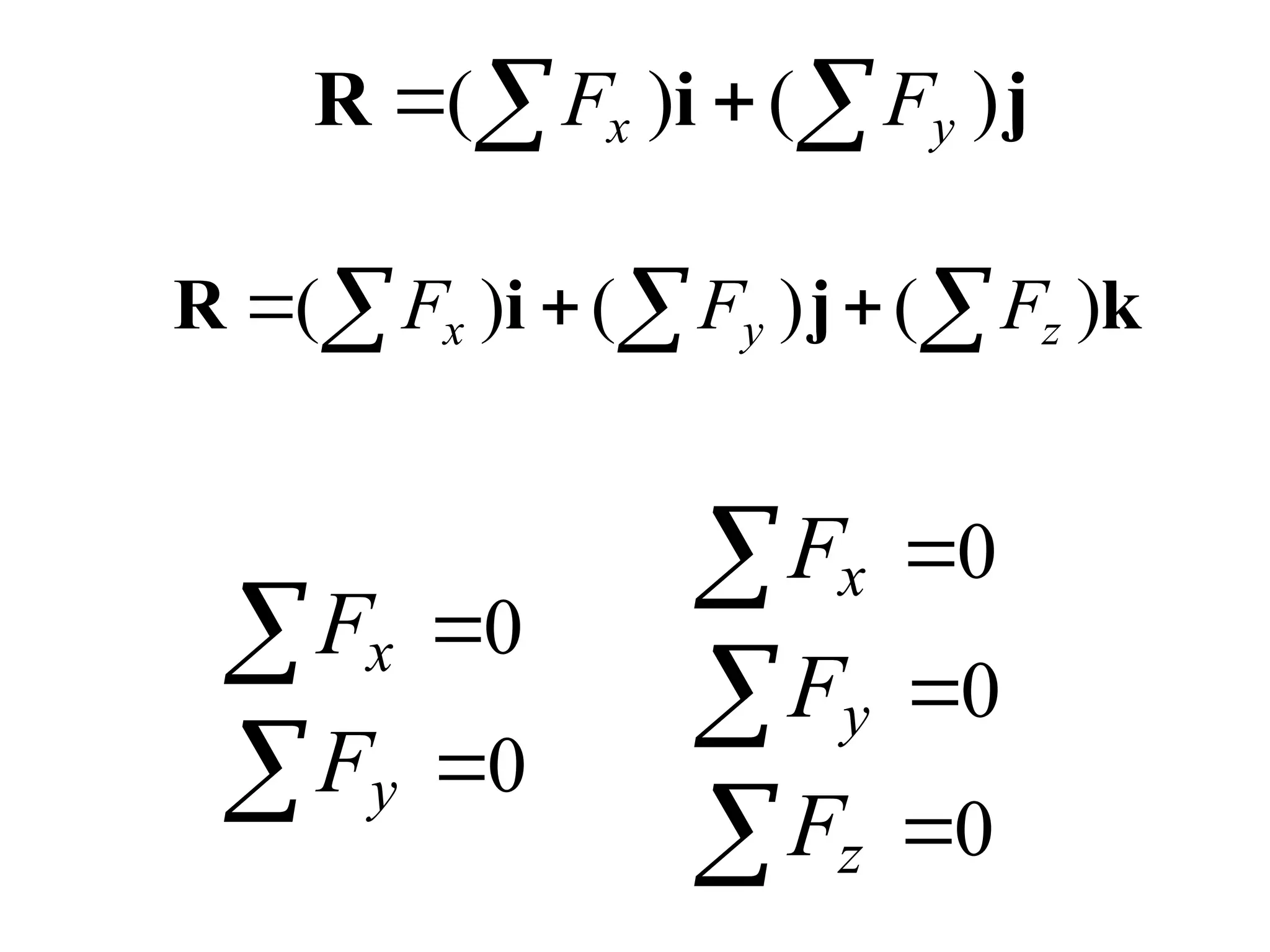
x y
F F
 
 
R i j
( ) ( ) ( )
x y z
F F F
  
  
R i j k
0
0
x
y
F
F




0
0
0
x
y
z
F
F
F






double projection case
x
y
z


F
O
A
B
C
x
y
z
0
90 

F
z
F
xy
F
O
A
C
B

cos
sin
z
xy
F F
F F




x
y
z

z
F
x y
F
y
F
x
F
O
C
D
E
cos
sin cos
x xy
F F
F

 


sin
sin sin
y xy
F F
F

 


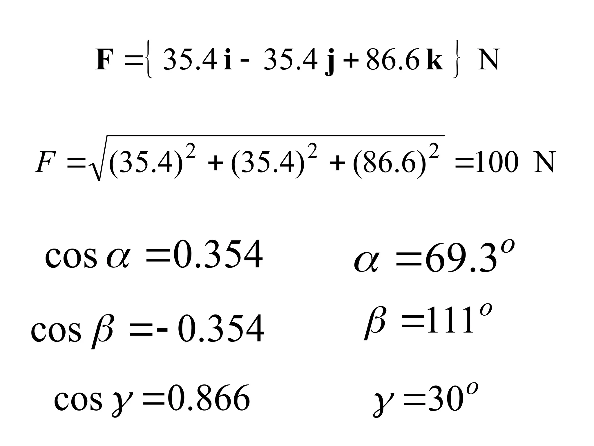
Example 3.4
Express the force vector F shown in Figure
(a) as a Cartesian vector. Also define its
direction.
6
.
86
60
sin
100 
 o
z
F
4
.
35
45
cos
50
45
cos 

 o
o
xy
x F
F
50
60
cos
100 
 o
xy
F
4
.
35
45
sin
50
45
sin 

 o
o
xy
y F
F
  N
6
.
86
5.4
3
5.4
3 k
j
i
F 


N
100
)
6
.
86
(
5.4)
3
(
5.4)
3
( 2
2
2




F
354
.
0
cos 
 o
3
.
69


354
.
0
cos 


o
111


866
.
0
cos 
 o
30


Example 3.2
Among the wires attached to the tower
shown, three wires AB, AC and AD are
attached to point A which lies on z axis. The
magnitudes of the tensions in these cables
are 50 N, 300 N and 400 N, respectively. If
cable AD is parallel to the y axis, determine
the magnitude and direction angles of the
resultant of these tensions at point A.
2
4
12
60o
45o
A
B
C
D
x
y
z
A(0,0,12)
C(2,-4,0)
4
12
60o
45o
A
B
C
D
x
y
z
as cable AD is parallel to the y axis yet with
opposite sense then
TAD = -400 j
A(0,0,12)
C(2,-4,0)
AC = 2 i - 4 j - 12 k
2 4 12
4 16 144
AC
 

 
i j k
u
300
(2 4 12 )
12.81
AC   
T i j k
TAC = (46.85 i -93.7 j - 281.1 k) N
60o
45o
A
B
x
y
z
50sin60
o
TAB(z = -50 sin (60o
) = - 43.3 N
TAB(xy =50 cos (60o
) = 25 N
45o
B
x
y
z
25sin45o
TAB(x =25 cos (45o) =17.68 N
TAB(y =25 sin (45o) =17.68 N
TAB =(17.68 i + 17.68 j -43.3 k) N
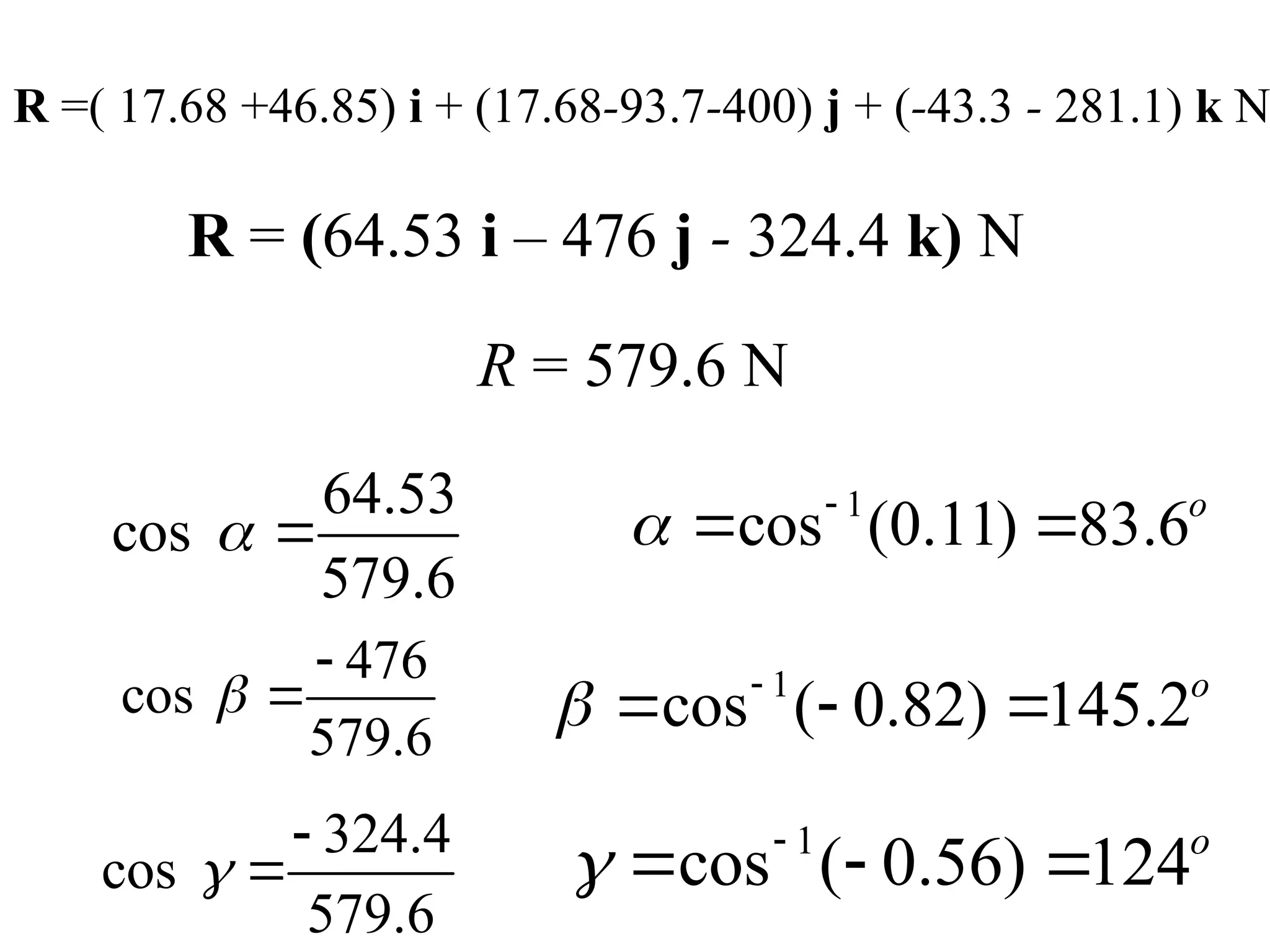
R =( 17.68 +46.85) i + (17.68-93.7-400) j + (-43.3 - 281.1) k N
R = (64.53 i – 476 j - 324.4 k) N
R = 579.6 N
64.53
cos
579.6
 
1
cos (0.11) 83.6o
 
 
476
cos
579.6


 1
cos ( 0.82) 145.2o
 
  
324.4
cos
579.6



1
cos ( 0.56) 124o
 
  
Example
3.7
The 100 kg crate shown is supported as
shown. Determine the tension in cords AC
and AD and the stretch of the spring.
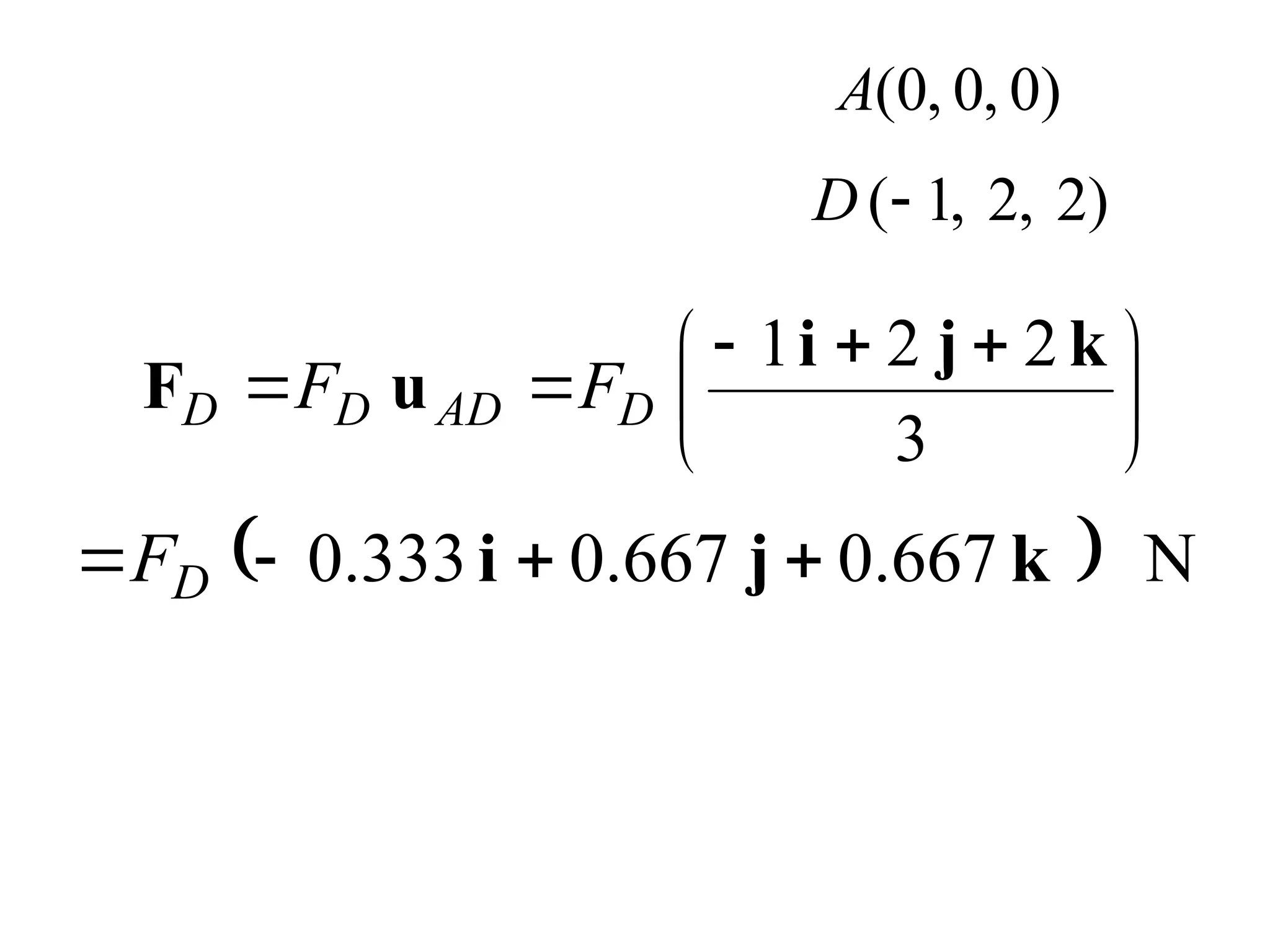
)
0
,
0
,
0
(
A
( 1, 2, 2)
D 
N
981
)
81
.
9
)(
100
( k
k
W 



B B
F N

F i
 
cos 120 cos 135 cos 60
o o o
C C
F
  
F i j k
  N
5
.
0
707
.
0
5
.
0 k
j
i 


 C
F
  N
667
.
0
667
.
0
333
.
0 k
j
i 


 D
F





 




3
2
2
1 k
j
i
u
F D
AD
D
D F
F
)
0
,
0
,
0
(
A
( 1, 2, 2)
D 
 0
x
F 0
333
.
0
5
.
0 

 D
C
B F
F
F
 0
y
F 0
667
.
0
707
.
0 

 D
C F
F
 0
z
F 0
981
667
.
0
5
.
0 

 D
C F
F
C
D F
F 06
.
1
 N
813

C
F
N
62
8

D
F
694 N
B
F 
L
k
FB 

694
0.462 m
1500
L
  
The force FB is expressed in newtons
(N) while the spring constant is
expressed in kilo newton per meter
(kN/m).

Engineering Mechanics- Sttatics - Concurrent Forces