PHASES
• In an alloy system, the components may combine
to form two homogenous coexisting portions,
each potion having different composition and
properties. For example, a liquid may exists in
equilibrium with a solid solution.
• These homogenous, physically distinct portions of
the system are called phases. In above said
example, liquid is one phase and solid solution is
another portion.
8/25/2022 1
• A phase may be defined as any part or portion
of a chemical system which possesses
distinctive physical characteristics is limited
by definite bonding surfaces and may
conceivably be mechanically separated from
its surroundings.
8/25/2022 2
PHASE DIAGRAM
• A great deal of information concerning the phases
changes in many alloy systems has been
accumulated and the best method of recording the
data is in the form of phase diagram, which is also
termed as equilibrium diagram or constitutional
diagram.
• An equilibrium diagram shows the limits of
composition and temperature within which the
various constituents or phases of an alloy are
stable
8/25/2022 3
• Changes of structure and the composition of
the constituents in equilibrium at a fixed
temperature can be ascertained from an
equilibrium.
8/25/2022 4
Phase Diagram Of Pure Substance
8/25/2022 5
Binary phase diagram
• This is the another extremely common phase
diagram is one in which temperature and
composition are variable parameters and
pressure is held at constant.
• It is a map that represent the relationship
between temperature and the composition and
quantities of phases at equilibrium, which
influence the microstructure of an alloy.
8/25/2022 6
• Many microstructure develop from phase
transformations, the change that occur when
the temperature is altered.
• This may involve the transition from one phase
to another, or the appearance or disappearance
of a phases.
• Binary phase diagram are helpful in predicting
phase transformation and the resulting
microstructures.
8/25/2022 7
8/25/2022 8
8/25/2022 9
Interpretation of phase diagram
• Phase present
• Determination of phase compositions
• Determination of phase amounts
8/25/2022 10
Phase present
• Locate the temperature-composition point on
the graph to see which phases are present.
• For example at 60 wt% Ni – 40 wt% Cu at
1100°C. (Point A in Fig. shows a and α (solid)
phases present). On other hand, a 35wt%Ni –
65 wt% Cu at 1250°C. (Point B in Fig. shows
a and L (liquid) phases present).
8/25/2022 11
Determination of phase compositions
• Single phase present: The composition of the phase is simply
the overall composition of the alloy. Only single phase is
present (composition of point A in Fig. is 60%Ni, 40% Cu at
1100°C).
• · Two phase regions: Procedure:
– Draw a horizontal “tie line” to intersect the liquidus and
solidus lines at the given temperature.
– The composition of the liquid portion of the two phase
region is determined by the composition at the point where
the tie line intersects the liquidus line (CL in Fig.)
– The composition of the solid portion of the two phase
region is determined by the composition at the point where
the tie line intersects the solidus line (Ca in Fig.)
8/25/2022 12
Determination of phase amounts
• Use the tie line and lever rule
• The percentage of each phase is computed as the ratio
of the length of the tie line from the overall
composition to the opposite phase (not the phase of
interest) boundary, divided by the overall length of the
tie line.
• The lever rule give a mass fraction of each phase (if the
composition scale is wt%). Sometimes it is useful to
express phase amounts as volume fractions (to compare
with visual microstructure examinations). The
conversions between mass and volume fractions are
8/25/2022 13
8/25/2022 14
Development of microstructure in
isomorphous alloys
8/25/2022 15
8/25/2022 16
Mechanical properties of isomorphous
alloys
• An isomorphous solid will have show solid-
solution strengthening. Each component is
initially strengthened by the creation of a solid
solution up to some maximum strength that is
higher than the individual strength of either
component
8/25/2022 17
8/25/2022 18
Eutectic system
• A eutectic system is a mixture of chemical
compounds or elements that has a single
chemical composition that solidifies at a lower
temperature than any other composition. This
composition is known as the eutectic
composition and the temperature is known as
the eutectic temperature. On a phase diagram
the intersection of the eutectic temperature and
the eutectic composition gives the eutectic
point
8/25/2022 19
Eutectic
• A eutectic is a mixture of two or more phases at a
composition that has the lowest melting point.
• It is where the phases simultaneously crystallize from
molten solution.
• The proper ratios of phases to obtain a eutectic is
identified by the eutectic point on a binary phase
diagram.
• The term comes from the Greek 'eutektos', meaning
'easily melted’.
Binary - 2 components
Eutectic - Has a special composition with a min.
melting Temp..
8/25/2022 20
8/25/2022 21
•The phase diagram displays a simple binary system composed of
two components, A and B, which has a eutectic point.
•The phase diagram plots relative concentrations of A and B along
the X-axis, and temperature along the Y-axis. The eutectic point is
the point where the liquid phase borders directly on the solid α + β
phase; it represents the minimum melting temperature of any
possible A B alloy.
•The temperature that corresponds to this point is known as the
eutectic temperature.
•Not all binary system alloys have a eutectic point: those that form a
solid solution at all concentrations, such as the gold-silver system,
have no eutectic. An alloy system that has a eutectic is often referred
to as a eutectic system, or eutectic alloy.
•Solid products of a eutectic transformation can often be identified
by their lamellar structure, as opposed to the dendritic structures
commonly seen in non-eutectic solidification. The same conditions
that force the material to form lamellae can instead form an
amorphous solid if pushed to an extreme.
8/25/2022 22/100
Binary-Eutectic Systems
• 3 single phase regions
(L, a, b)
• Limited solubility:
a: mostly Cu
b: mostly Ag
• TE : No liquid below TE
: Composition at
temperature TE
• CE
Cu-Ag system
L (liquid)
a L + a
L +bb
a + b
C , wt% Ag
20 40 60 80 100
0
200
1200
T(°C)
400
600
800
1000
CE
TE 8.0 71.9 91.2
779°C
Ag)
wt%
1.2
9
(
Ag)
wt%
.0
8
(
Ag)
wt%
9
.
71
( b
+
a
L
cooling
heating
• Eutectic reaction
L(CE) a(CaE) + b(CbE)
8/25/2022 23
Copper-Silver Phase Diagram
8/25/2022 24
Eutectic Reaction
• An isothermal, reversible reaction between two (or more) solid
phases during the heating of a system where a single liquid
phase is produced.
Eutectic reaction
L(CE) a(CaE) + b(CbE)
Ag)
wt%
1.2
9
(
Ag)
wt%
.0
8
(
Ag)
wt%
9
.
71
( b
+
a
L
cooling
heating
• Solvus – (solid solubility line) BC, GH
• Solidus – AB, FG, BEG (eutectic isotherm)
• Liquidus – AEF
• Maximum solubility: α = 8.0 wt% Ag, β = 8.8 wt %Cu
• Invariant point (where 3 phases are in equilibrium) is at E; CE =
71.9 wt% Ag, TE = 779C (1434F).
8/25/2022 25
Pb-Sn Phase Diagram
Liquidus
Solidus
Solidus
Solidus
Solvus Solvus
8/25/2022 26
Solidification of Eutectic Mixtures
• Mixtures of some metals, such as copper & nickel, are completely soluble
in both liquid and solid states for all concentrations of both metals. Copper
& nickel have the same crystal structure (FCC) and have nearly the same
atomic radii. The solid formed by cooling can have any proportion of
copper & nickel. Such completely miscible mixtures of metals are called
isomorphous.
• By contrast, a mixture of lead & tin that is eutectic is only partially soluble
when in the solid state. Lead & tin have different crystal structures (FCC
versus BCT) and lead atoms are much larger. No more than 18.3 weight %
solid tin can dissolve in solid lead and no more than 2.2% of solid lead can
dissolve in solid tin (according to previous phase diagram).
• The solid lead-tin alloy consists of a mixture of two solid phases, one
consisting of a maximum of 18.3 wt% tin (the alpha phase) and one
consisting of a maximum of 2.2 wt% lead (the beta phase).
8/25/2022 27
L + a
L +b
a + b
200
T(°C)
18.3
C, wt% Sn
20 60 80 100
0
300
100
L (liquid)
a
183°C
61.9 97.8
b
• For a 40 wt% Sn-60 wt% Pb alloy at 150°C, determine:
-- the phases present Pb-Sn
system
(Ex 1) Pb-Sn Eutectic System
Answer: a + b
-- the phase compositions
-- the relative amount
of each phase
150
40
C0
11
Ca
99
Cb
Answer: Ca = 11 wt% Sn
Cb = 99 wt% Sn
W
a
=
Cb - C0
Cb - Ca
=
99 - 40
99 - 11
=
59
88
= 0.67
Wb
C0 - Ca
Cb - Ca
=
=
29
88
= 0.33
=
40 - 11
99 - 11
Answer:
8/25/2022 28
Answer: Ca = 17 wt% Sn
-- the phase compositions
L +b
a + b
200
T(°C)
C, wt% Sn
20 60 80 100
0
300
100
L (liquid)
a
b
L + a
183°C
• For a 40 wt% Sn-60 wt% Pb alloy at 220°C, determine:
-- the phases present:
(Ex 2) Pb-Sn Eutectic System
-- the relative amount
of each phase
Wa =
CL - C0
CL - Ca
=
46 - 40
46 - 17
=
6
29
= 0.21
WL =
C0 - Ca
CL - Ca
=
23
29
= 0.79
40
C0
46
CL
17
Ca
220
Answer: a + L
CL = 46 wt% Sn
Answer:
8/25/2022 29
Pb-Sn
• For lead & tin the eutectic composition is
61.9 wt% tin and the eutectic temperature is
183ºC -- which makes this mixture useful as
solder.
• At 183ºC, compositions of greater than
61.9 wt% tin result in precipitation of a tin-rich
solid in the liquid mixture, whereas
compositions of less than 61.9 wt% tin result
in precipitation of lead-rich solid.
8/25/2022 30
• For alloys where
C0 < 2 wt% Sn
• Result at room temperature is a
polycrystalline with grains of a
phase having composition C0
Microstructural Developments
in Eutectic Systems - I
0
L+ a
200
T(°C)
C , wt% Sn
10
2
20
C0
300
100
L
a
30
a +b
400
(room T solubility limit)
TE
a
L
L: C0 wt% Sn
a: C0 wt% Sn
Pb-Sn
system
8/25/2022 31
2 wt% Sn < C0 < 18.3 wt% Sn
• Results in polycrystalline
microstructure with a grains and
small b-phase particles at lower
temperatures.
Microstructural Developments
in Eutectic Systems - II
L + a
200
T(°C)
C , wt% Sn
10
18.3
20
0
C0
300
100
L
a
30
a + b
400
(sol. limit at TE)
TE
2
(sol. limit at T room )
L
a
L: C0 wt% Sn
a
b
a: C0 wt% Sn
Pb-Sn
system
8/25/2022 32
Microstructures in Eutectic Systems - III
Pb-Sn
system
• Co = CE
• Results in a
eutectic
microstructure
with alternating
layers of a and b
crystals.
Sn)
wt%
7.8
9
(
Sn)
wt%
.3
8
(1
Sn)
wt%
9
.
61
( b
a +
L
cooling
heating
8/25/2022 33
Lamellar Eutectic Structure
A 2-phase microstructure
resulting from the
solidification of a liquid
having the eutectic
composition where the phases
exist as a lamellae that
alternate with one another.
Formation of eutectic layered
microstructure in the Pb-Sn
system during solidification at
the eutectic composition.
Compositions of α and β
phases are very different.
Solidification involves
redistribution of Pb and Sn
atoms by atomic diffusion.
Pb-rich
Sn-rich
8/25/2022 34
• For alloys with18.3 wt% Sn < C0 < 61.9 wt% Sn
• Result: a phase particles and a eutectic microconstituent
Microstructures in Eutectic Systems - IV
18.3 61.9 97.8
eutectic a
eutectic b
WL = (1- Wa ) = 0.50
= 18.3 wt% Sn
CL = 61.9 wt% Sn
= = 0.50
• Just above TE :
• Just below TE :
Ca = 18.3 wt% Sn
Cb = 97.8 wt% Sn
Wa= = 0.727
Wb = 0.273 wt% Sn
Pb-Sn
system
L+
b
200
T(°C)
C, wt% Sn
20 60 80 100
0
300
100
L
a
b
L+a
40
a+b
TE
L: C0 wt% Sn L
a
L
a
CL - C0
CL - Ca
Cβ - C0
Cβ - Ca
Primary α
8/25/2022 35
Ca
Wa
8/25/2022 36
Cu-Zn System (Brass)
Cartridge brass:
70 wt% Cu
38
Intermetallic Compounds
Mg2Pb
Note: intermetallic compounds exist as a line on the diagram - not a phase
region. The composition of a compound has a distinct chemical formula.
19 wt% Mg-81 wt% Pb
Peritectic Reaction
8/25/2022 39
8/25/2022 40
Eutectoid Reaction
8/25/2022 41
Peritectoid Reaction
8/25/2022 42
43
Eutectoid & Peritectic
Cu-Zn Phase diagram
Eutectoid transformation   + 
Peritectic transformation  + L 
44
• Eutectoid – one solid phase transforms to two other solid phases
Solid1 ↔ Solid2 + Solid3
 a + Fe3C (For Fe-C, 727C, 0.76 wt% C)
Eutectic, Eutectoid, & Peritectic
• Eutectic - liquid transforms to two solid phases
L a + b (For Pb-Sn, 183C, 61.9 wt% Sn)
cool
heat
• Peritectic - liquid and one solid phase transform to a 2nd solid phase
Solid1 + Liquid ↔ Solid2
 + L ε (For Cu-Zn, 598°C, 78.6 wt% Zn)
cool
heat
cool
heat
45
Micro Constituents Of Iron Carbon
Diagram
• Ferrite
• Austenite
• Cementite
• Pearlite
• Ledeburite
• Martensite
• Troosite
• Sorbite
• Bainite
8/25/2022 46
• Ferrite, also known as α-ferrite (α-Fe) or
alpha iron, is a materials science term for pure
iron, with a body-centered cubic B.C.C crystal
structure. It is this crystalline structure which
gives steel and cast iron their magnetic
properties, and is the classic example of a
ferromagnetic material.
• It has a strength of 280 N/mm2 and a hardness
of approximately 80 Brinell.
8/25/2022 47
FERRITE
• In pure iron, ferrite is stable below 910 °C
(1,670 °F). Above this temperature the face-
centred cubic form of iron, austenite (gamma-
iron) is stable. Above 1,390 °C (2,530 °F), up
to the melting point at 1,539 °C (2,802 °F), the
body-centred cubic crystal structure is again
the more stable form of delta-ferrite (δ-Fe).
8/25/2022 48
AUSTENITE
• Iron-carbon phase diagram, showing the
conditions under which austenite (γ) is stable in
carbon steel.
• Allotropes of iron; alpha iron and gamma iron
• Austenite, also known as gamma-phase iron (γ-
Fe), is a metallic, non-magnetic allotrope of iron
or a solid solution of iron, with an alloying
element. In plain-carbon steel, austenite exists
above the critical eutectoid temperature of
1,000 K (1,340 °F; 730 °C); other alloys of steel
have different eutectoid temperatures.
8/25/2022 49
CEMENTITE
• Cementite, also known as iron carbide, is a
chemical compound of iron and carbon, with
the formula Fe3C (or Fe2C:Fe).
• By weight, it is 6.67% carbon and 93.3% iron.
It has an orthorhombic crystal structure.
• It is a hard, brittle material, normally classified
as a ceramic in its pure form, though it is more
important in metallurgy.
8/25/2022 50
PEARLITE
• Pearlite is a two-phased, lamellar (or layered)
structure composed of alternating layers of alpha-
ferrite (88 wt%) and cementite (12 wt%) that
occurs in some steels and cast irons.
• In an iron-carbon alloy, during slow cooling
pearlite forms by a eutectoid reaction as austenite
cools below 727 °C (1,341 °F) (the eutectoid
temperature). Pearlite is a common microstructure
occurring in many grades of steels.
8/25/2022 51
LEDEBURITE
• In iron and steel metallurgy, ledeburite is a
mixture of 4.3% carbon in iron and is a eutectic
mixture of austenite and cementite.
• Ledeburite is not a type of steel as the carbon
level is too high.
• It is mostly found with cementite or pearlite in a
range of cast irons.
• Ledeburite arises when the carbon content is
between 2.06% and 6.67%. The eutectic mixture
of austenite and cementite is 4.3% carbon,
Fe3C:2Fe, with a melting point of 1147 °C.
8/25/2022 52
MARTENSITE
• Martensite is formed in carbon steels by the rapid cooling
(quenching) of austenite. The martensitic reaction begins during
cooling when the austenite reaches the martensite start temperature
(Ms) and the parent austenite becomes mechanically unstable.
• For a eutectoid steel, between 6 and 10% of austenite, called
retained austenite, will remain. The percentage of retained austenite
increases from insignificant for less than 0.6% C to 13% retained
austenite at 0.95% C and 30–47% retained austenite for a 1.4%
carbon steels. A very rapid quench is essential to create martensite.
For a eutectoid carbon steel (0.78% C) of thin section, if the quench
starting at 750 °C and ending at 450 °C takes place in 0.7 seconds (a
rate of 430 °C/s) no pearlite will form and the steel will be
martensitic with small amounts of retained austenite.[2] For steel 0-
0.6% carbon the martensite has the appearance of lath, and is called
lath martensite.
8/25/2022 53
BAINITE
• Bainite is an acicular microstructure or phase morphology
(not an equilibrium phase) that forms in steels at
temperatures of 250–550 °C (depending on alloy content). It
is one of the decomposition products that may form when
austenite (the face centered cubic crystal structure of iron) is
cooled past a critical temperature. This critical temperature
is 1000K (727 °C, 1340 °F) in plain carbon steels.
• The temperature range for transformation to bainite (250–
550 °C) is between those for pearlite and martensite. When
formed during continuous cooling, the cooling rate to form
bainite is more rapid than that required to form pearlite, but
less rapid than is required to form martensite.
8/25/2022 54
55
Ceramic Phase Diagrams
MgO-Al2O3 diagram:

56
• Need a material to use in high temperature furnaces.
• Consider Silica (SiO2) - Alumina (Al2O3) system.
• Phase diagram shows: mullite, alumina and crystobalite (made up of SiO2)
are candidate refractories.
Composition (wt% alumina)
T(°C)
1400
1600
1800
20 00
2200
20 40 60 80 100
0
alumina
+
mullite
mullite
+ L
mullite
Liquid
(L)
mullite
+ crystobalite
crystobalite
+ L
alumina + L
3Al2O3-2SiO 2
APPLICATION: REFRACTORIES
57
Ceramic Phases and Cements
58
Gibbs Phase Rule
• Phase diagrams and phase equilibria are subject to the laws of thermodynamics.
• Gibbs phase rule is a criterion that determines how many phases can coexist within a
system at equilibrium.
P + F = C + N
P: # of phases present
F: degrees of freedom (temperature, pressure, composition)
C: components or compounds
N: noncompositional variables
For the Cu-Ag system @ 1 atm for a single phase P:
N=1 (temperature), C = 2 (Cu-Ag), P= 1 (a, b, L)
F = 2 + 1 – 1= 2
This means that to characterize the alloy within a single phase
field, 2 parameters must be given: temperature and composition.
If 2 phases coexist, for example, a+L , b+L, a+b, then according to GPR, we have 1
degree of freedom: F = 2 + 1 – 2= 1. So, if we have Temp or composition, then we can
completely define the system.
If 3 phases exist (for a binary system), there are 0 degrees of freedom. This means the
composition and Temp are fixed. This condition is met for a eutectic system by the
eutectic isotherm.
59
Iron-Carbon System
• Pure iron when heated experiences 2
changes in crystal structure before it melts.
• At room temperature the stable form, ferrite
(a iron) has a BCC crystal structure.
• Ferrite experiences a polymorphic
transformation to FCC austenite ( iron) at
912 ˚C (1674 ˚F).
• At 1394˚C (2541˚F) austenite reverts back to
BCC phase  ferrite and melts at 1538 ˚C
(2800 ˚F).
• Iron carbide (cementite or Fe3C) an
intermediate compound is formed at 6.7
wt% C.
• Typically, all steels and cast irons have
carbon contents less than 6.7 wt% C.
• Carbon is an interstitial impurity in iron and
forms a solid solution with the a, , 
phases.
8/25/2022 By - T.S.SENTHILKUMAR/AP 60
Iron-Carbon System
L+Fe3C

EMM - Unit 1.pptx

  • 1.
    PHASES • In analloy system, the components may combine to form two homogenous coexisting portions, each potion having different composition and properties. For example, a liquid may exists in equilibrium with a solid solution. • These homogenous, physically distinct portions of the system are called phases. In above said example, liquid is one phase and solid solution is another portion. 8/25/2022 1
  • 2.
    • A phasemay be defined as any part or portion of a chemical system which possesses distinctive physical characteristics is limited by definite bonding surfaces and may conceivably be mechanically separated from its surroundings. 8/25/2022 2
  • 3.
    PHASE DIAGRAM • Agreat deal of information concerning the phases changes in many alloy systems has been accumulated and the best method of recording the data is in the form of phase diagram, which is also termed as equilibrium diagram or constitutional diagram. • An equilibrium diagram shows the limits of composition and temperature within which the various constituents or phases of an alloy are stable 8/25/2022 3
  • 4.
    • Changes ofstructure and the composition of the constituents in equilibrium at a fixed temperature can be ascertained from an equilibrium. 8/25/2022 4
  • 5.
    Phase Diagram OfPure Substance 8/25/2022 5
  • 6.
    Binary phase diagram •This is the another extremely common phase diagram is one in which temperature and composition are variable parameters and pressure is held at constant. • It is a map that represent the relationship between temperature and the composition and quantities of phases at equilibrium, which influence the microstructure of an alloy. 8/25/2022 6
  • 7.
    • Many microstructuredevelop from phase transformations, the change that occur when the temperature is altered. • This may involve the transition from one phase to another, or the appearance or disappearance of a phases. • Binary phase diagram are helpful in predicting phase transformation and the resulting microstructures. 8/25/2022 7
  • 8.
  • 9.
  • 10.
    Interpretation of phasediagram • Phase present • Determination of phase compositions • Determination of phase amounts 8/25/2022 10
  • 11.
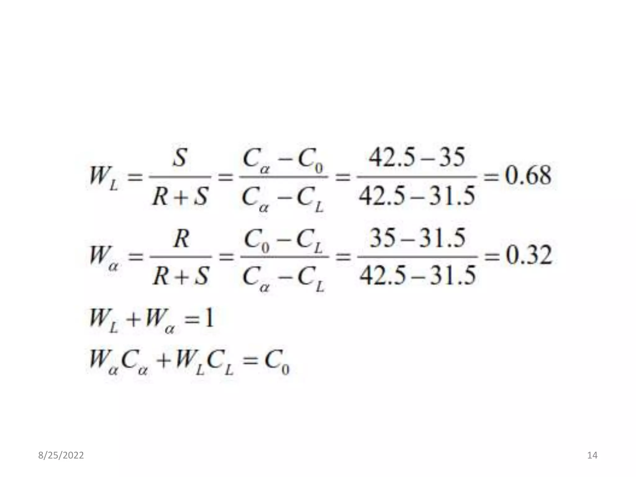
    Phase present • Locatethe temperature-composition point on the graph to see which phases are present. • For example at 60 wt% Ni – 40 wt% Cu at 1100°C. (Point A in Fig. shows a and α (solid) phases present). On other hand, a 35wt%Ni – 65 wt% Cu at 1250°C. (Point B in Fig. shows a and L (liquid) phases present). 8/25/2022 11
  • 12.
    Determination of phasecompositions • Single phase present: The composition of the phase is simply the overall composition of the alloy. Only single phase is present (composition of point A in Fig. is 60%Ni, 40% Cu at 1100°C). • · Two phase regions: Procedure: – Draw a horizontal “tie line” to intersect the liquidus and solidus lines at the given temperature. – The composition of the liquid portion of the two phase region is determined by the composition at the point where the tie line intersects the liquidus line (CL in Fig.) – The composition of the solid portion of the two phase region is determined by the composition at the point where the tie line intersects the solidus line (Ca in Fig.) 8/25/2022 12
  • 13.
    Determination of phaseamounts • Use the tie line and lever rule • The percentage of each phase is computed as the ratio of the length of the tie line from the overall composition to the opposite phase (not the phase of interest) boundary, divided by the overall length of the tie line. • The lever rule give a mass fraction of each phase (if the composition scale is wt%). Sometimes it is useful to express phase amounts as volume fractions (to compare with visual microstructure examinations). The conversions between mass and volume fractions are 8/25/2022 13
  • 14.
  • 15.
    Development of microstructurein isomorphous alloys 8/25/2022 15
  • 16.
  • 17.
    Mechanical properties ofisomorphous alloys • An isomorphous solid will have show solid- solution strengthening. Each component is initially strengthened by the creation of a solid solution up to some maximum strength that is higher than the individual strength of either component 8/25/2022 17
  • 18.
  • 19.
    Eutectic system • Aeutectic system is a mixture of chemical compounds or elements that has a single chemical composition that solidifies at a lower temperature than any other composition. This composition is known as the eutectic composition and the temperature is known as the eutectic temperature. On a phase diagram the intersection of the eutectic temperature and the eutectic composition gives the eutectic point 8/25/2022 19
  • 20.
    Eutectic • A eutecticis a mixture of two or more phases at a composition that has the lowest melting point. • It is where the phases simultaneously crystallize from molten solution. • The proper ratios of phases to obtain a eutectic is identified by the eutectic point on a binary phase diagram. • The term comes from the Greek 'eutektos', meaning 'easily melted’. Binary - 2 components Eutectic - Has a special composition with a min. melting Temp.. 8/25/2022 20
  • 21.
  • 22.
    •The phase diagramdisplays a simple binary system composed of two components, A and B, which has a eutectic point. •The phase diagram plots relative concentrations of A and B along the X-axis, and temperature along the Y-axis. The eutectic point is the point where the liquid phase borders directly on the solid α + β phase; it represents the minimum melting temperature of any possible A B alloy. •The temperature that corresponds to this point is known as the eutectic temperature. •Not all binary system alloys have a eutectic point: those that form a solid solution at all concentrations, such as the gold-silver system, have no eutectic. An alloy system that has a eutectic is often referred to as a eutectic system, or eutectic alloy. •Solid products of a eutectic transformation can often be identified by their lamellar structure, as opposed to the dendritic structures commonly seen in non-eutectic solidification. The same conditions that force the material to form lamellae can instead form an amorphous solid if pushed to an extreme. 8/25/2022 22/100
  • 23.
    Binary-Eutectic Systems • 3single phase regions (L, a, b) • Limited solubility: a: mostly Cu b: mostly Ag • TE : No liquid below TE : Composition at temperature TE • CE Cu-Ag system L (liquid) a L + a L +bb a + b C , wt% Ag 20 40 60 80 100 0 200 1200 T(°C) 400 600 800 1000 CE TE 8.0 71.9 91.2 779°C Ag) wt% 1.2 9 ( Ag) wt% .0 8 ( Ag) wt% 9 . 71 ( b + a L cooling heating • Eutectic reaction L(CE) a(CaE) + b(CbE) 8/25/2022 23
  • 24.
  • 25.
    Eutectic Reaction • Anisothermal, reversible reaction between two (or more) solid phases during the heating of a system where a single liquid phase is produced. Eutectic reaction L(CE) a(CaE) + b(CbE) Ag) wt% 1.2 9 ( Ag) wt% .0 8 ( Ag) wt% 9 . 71 ( b + a L cooling heating • Solvus – (solid solubility line) BC, GH • Solidus – AB, FG, BEG (eutectic isotherm) • Liquidus – AEF • Maximum solubility: α = 8.0 wt% Ag, β = 8.8 wt %Cu • Invariant point (where 3 phases are in equilibrium) is at E; CE = 71.9 wt% Ag, TE = 779C (1434F). 8/25/2022 25
  • 26.
  • 27.
    Solidification of EutecticMixtures • Mixtures of some metals, such as copper & nickel, are completely soluble in both liquid and solid states for all concentrations of both metals. Copper & nickel have the same crystal structure (FCC) and have nearly the same atomic radii. The solid formed by cooling can have any proportion of copper & nickel. Such completely miscible mixtures of metals are called isomorphous. • By contrast, a mixture of lead & tin that is eutectic is only partially soluble when in the solid state. Lead & tin have different crystal structures (FCC versus BCT) and lead atoms are much larger. No more than 18.3 weight % solid tin can dissolve in solid lead and no more than 2.2% of solid lead can dissolve in solid tin (according to previous phase diagram). • The solid lead-tin alloy consists of a mixture of two solid phases, one consisting of a maximum of 18.3 wt% tin (the alpha phase) and one consisting of a maximum of 2.2 wt% lead (the beta phase). 8/25/2022 27
  • 28.
    L + a L+b a + b 200 T(°C) 18.3 C, wt% Sn 20 60 80 100 0 300 100 L (liquid) a 183°C 61.9 97.8 b • For a 40 wt% Sn-60 wt% Pb alloy at 150°C, determine: -- the phases present Pb-Sn system (Ex 1) Pb-Sn Eutectic System Answer: a + b -- the phase compositions -- the relative amount of each phase 150 40 C0 11 Ca 99 Cb Answer: Ca = 11 wt% Sn Cb = 99 wt% Sn W a = Cb - C0 Cb - Ca = 99 - 40 99 - 11 = 59 88 = 0.67 Wb C0 - Ca Cb - Ca = = 29 88 = 0.33 = 40 - 11 99 - 11 Answer: 8/25/2022 28
  • 29.
    Answer: Ca =17 wt% Sn -- the phase compositions L +b a + b 200 T(°C) C, wt% Sn 20 60 80 100 0 300 100 L (liquid) a b L + a 183°C • For a 40 wt% Sn-60 wt% Pb alloy at 220°C, determine: -- the phases present: (Ex 2) Pb-Sn Eutectic System -- the relative amount of each phase Wa = CL - C0 CL - Ca = 46 - 40 46 - 17 = 6 29 = 0.21 WL = C0 - Ca CL - Ca = 23 29 = 0.79 40 C0 46 CL 17 Ca 220 Answer: a + L CL = 46 wt% Sn Answer: 8/25/2022 29
  • 30.
    Pb-Sn • For lead& tin the eutectic composition is 61.9 wt% tin and the eutectic temperature is 183ºC -- which makes this mixture useful as solder. • At 183ºC, compositions of greater than 61.9 wt% tin result in precipitation of a tin-rich solid in the liquid mixture, whereas compositions of less than 61.9 wt% tin result in precipitation of lead-rich solid. 8/25/2022 30
  • 31.
    • For alloyswhere C0 < 2 wt% Sn • Result at room temperature is a polycrystalline with grains of a phase having composition C0 Microstructural Developments in Eutectic Systems - I 0 L+ a 200 T(°C) C , wt% Sn 10 2 20 C0 300 100 L a 30 a +b 400 (room T solubility limit) TE a L L: C0 wt% Sn a: C0 wt% Sn Pb-Sn system 8/25/2022 31
  • 32.
    2 wt% Sn< C0 < 18.3 wt% Sn • Results in polycrystalline microstructure with a grains and small b-phase particles at lower temperatures. Microstructural Developments in Eutectic Systems - II L + a 200 T(°C) C , wt% Sn 10 18.3 20 0 C0 300 100 L a 30 a + b 400 (sol. limit at TE) TE 2 (sol. limit at T room ) L a L: C0 wt% Sn a b a: C0 wt% Sn Pb-Sn system 8/25/2022 32
  • 33.
    Microstructures in EutecticSystems - III Pb-Sn system • Co = CE • Results in a eutectic microstructure with alternating layers of a and b crystals. Sn) wt% 7.8 9 ( Sn) wt% .3 8 (1 Sn) wt% 9 . 61 ( b a + L cooling heating 8/25/2022 33
  • 34.
    Lamellar Eutectic Structure A2-phase microstructure resulting from the solidification of a liquid having the eutectic composition where the phases exist as a lamellae that alternate with one another. Formation of eutectic layered microstructure in the Pb-Sn system during solidification at the eutectic composition. Compositions of α and β phases are very different. Solidification involves redistribution of Pb and Sn atoms by atomic diffusion. Pb-rich Sn-rich 8/25/2022 34
  • 35.
    • For alloyswith18.3 wt% Sn < C0 < 61.9 wt% Sn • Result: a phase particles and a eutectic microconstituent Microstructures in Eutectic Systems - IV 18.3 61.9 97.8 eutectic a eutectic b WL = (1- Wa ) = 0.50 = 18.3 wt% Sn CL = 61.9 wt% Sn = = 0.50 • Just above TE : • Just below TE : Ca = 18.3 wt% Sn Cb = 97.8 wt% Sn Wa= = 0.727 Wb = 0.273 wt% Sn Pb-Sn system L+ b 200 T(°C) C, wt% Sn 20 60 80 100 0 300 100 L a b L+a 40 a+b TE L: C0 wt% Sn L a L a CL - C0 CL - Ca Cβ - C0 Cβ - Ca Primary α 8/25/2022 35 Ca Wa
  • 36.
  • 37.
  • 38.
    38 Intermetallic Compounds Mg2Pb Note: intermetalliccompounds exist as a line on the diagram - not a phase region. The composition of a compound has a distinct chemical formula. 19 wt% Mg-81 wt% Pb
  • 39.
  • 40.
  • 41.
  • 42.
  • 43.
    43 Eutectoid & Peritectic Cu-ZnPhase diagram Eutectoid transformation   +  Peritectic transformation  + L 
  • 44.
    44 • Eutectoid –one solid phase transforms to two other solid phases Solid1 ↔ Solid2 + Solid3  a + Fe3C (For Fe-C, 727C, 0.76 wt% C) Eutectic, Eutectoid, & Peritectic • Eutectic - liquid transforms to two solid phases L a + b (For Pb-Sn, 183C, 61.9 wt% Sn) cool heat • Peritectic - liquid and one solid phase transform to a 2nd solid phase Solid1 + Liquid ↔ Solid2  + L ε (For Cu-Zn, 598°C, 78.6 wt% Zn) cool heat cool heat
  • 45.
  • 46.
    Micro Constituents OfIron Carbon Diagram • Ferrite • Austenite • Cementite • Pearlite • Ledeburite • Martensite • Troosite • Sorbite • Bainite 8/25/2022 46
  • 47.
    • Ferrite, alsoknown as α-ferrite (α-Fe) or alpha iron, is a materials science term for pure iron, with a body-centered cubic B.C.C crystal structure. It is this crystalline structure which gives steel and cast iron their magnetic properties, and is the classic example of a ferromagnetic material. • It has a strength of 280 N/mm2 and a hardness of approximately 80 Brinell. 8/25/2022 47 FERRITE
  • 48.
    • In pureiron, ferrite is stable below 910 °C (1,670 °F). Above this temperature the face- centred cubic form of iron, austenite (gamma- iron) is stable. Above 1,390 °C (2,530 °F), up to the melting point at 1,539 °C (2,802 °F), the body-centred cubic crystal structure is again the more stable form of delta-ferrite (δ-Fe). 8/25/2022 48
  • 49.
    AUSTENITE • Iron-carbon phasediagram, showing the conditions under which austenite (γ) is stable in carbon steel. • Allotropes of iron; alpha iron and gamma iron • Austenite, also known as gamma-phase iron (γ- Fe), is a metallic, non-magnetic allotrope of iron or a solid solution of iron, with an alloying element. In plain-carbon steel, austenite exists above the critical eutectoid temperature of 1,000 K (1,340 °F; 730 °C); other alloys of steel have different eutectoid temperatures. 8/25/2022 49
  • 50.
    CEMENTITE • Cementite, alsoknown as iron carbide, is a chemical compound of iron and carbon, with the formula Fe3C (or Fe2C:Fe). • By weight, it is 6.67% carbon and 93.3% iron. It has an orthorhombic crystal structure. • It is a hard, brittle material, normally classified as a ceramic in its pure form, though it is more important in metallurgy. 8/25/2022 50
  • 51.
    PEARLITE • Pearlite isa two-phased, lamellar (or layered) structure composed of alternating layers of alpha- ferrite (88 wt%) and cementite (12 wt%) that occurs in some steels and cast irons. • In an iron-carbon alloy, during slow cooling pearlite forms by a eutectoid reaction as austenite cools below 727 °C (1,341 °F) (the eutectoid temperature). Pearlite is a common microstructure occurring in many grades of steels. 8/25/2022 51
  • 52.
    LEDEBURITE • In ironand steel metallurgy, ledeburite is a mixture of 4.3% carbon in iron and is a eutectic mixture of austenite and cementite. • Ledeburite is not a type of steel as the carbon level is too high. • It is mostly found with cementite or pearlite in a range of cast irons. • Ledeburite arises when the carbon content is between 2.06% and 6.67%. The eutectic mixture of austenite and cementite is 4.3% carbon, Fe3C:2Fe, with a melting point of 1147 °C. 8/25/2022 52
  • 53.
    MARTENSITE • Martensite isformed in carbon steels by the rapid cooling (quenching) of austenite. The martensitic reaction begins during cooling when the austenite reaches the martensite start temperature (Ms) and the parent austenite becomes mechanically unstable. • For a eutectoid steel, between 6 and 10% of austenite, called retained austenite, will remain. The percentage of retained austenite increases from insignificant for less than 0.6% C to 13% retained austenite at 0.95% C and 30–47% retained austenite for a 1.4% carbon steels. A very rapid quench is essential to create martensite. For a eutectoid carbon steel (0.78% C) of thin section, if the quench starting at 750 °C and ending at 450 °C takes place in 0.7 seconds (a rate of 430 °C/s) no pearlite will form and the steel will be martensitic with small amounts of retained austenite.[2] For steel 0- 0.6% carbon the martensite has the appearance of lath, and is called lath martensite. 8/25/2022 53
  • 54.
    BAINITE • Bainite isan acicular microstructure or phase morphology (not an equilibrium phase) that forms in steels at temperatures of 250–550 °C (depending on alloy content). It is one of the decomposition products that may form when austenite (the face centered cubic crystal structure of iron) is cooled past a critical temperature. This critical temperature is 1000K (727 °C, 1340 °F) in plain carbon steels. • The temperature range for transformation to bainite (250– 550 °C) is between those for pearlite and martensite. When formed during continuous cooling, the cooling rate to form bainite is more rapid than that required to form pearlite, but less rapid than is required to form martensite. 8/25/2022 54
  • 55.
  • 56.
    56 • Need amaterial to use in high temperature furnaces. • Consider Silica (SiO2) - Alumina (Al2O3) system. • Phase diagram shows: mullite, alumina and crystobalite (made up of SiO2) are candidate refractories. Composition (wt% alumina) T(°C) 1400 1600 1800 20 00 2200 20 40 60 80 100 0 alumina + mullite mullite + L mullite Liquid (L) mullite + crystobalite crystobalite + L alumina + L 3Al2O3-2SiO 2 APPLICATION: REFRACTORIES
  • 57.
  • 58.
    58 Gibbs Phase Rule •Phase diagrams and phase equilibria are subject to the laws of thermodynamics. • Gibbs phase rule is a criterion that determines how many phases can coexist within a system at equilibrium. P + F = C + N P: # of phases present F: degrees of freedom (temperature, pressure, composition) C: components or compounds N: noncompositional variables For the Cu-Ag system @ 1 atm for a single phase P: N=1 (temperature), C = 2 (Cu-Ag), P= 1 (a, b, L) F = 2 + 1 – 1= 2 This means that to characterize the alloy within a single phase field, 2 parameters must be given: temperature and composition. If 2 phases coexist, for example, a+L , b+L, a+b, then according to GPR, we have 1 degree of freedom: F = 2 + 1 – 2= 1. So, if we have Temp or composition, then we can completely define the system. If 3 phases exist (for a binary system), there are 0 degrees of freedom. This means the composition and Temp are fixed. This condition is met for a eutectic system by the eutectic isotherm.
  • 59.
    59 Iron-Carbon System • Pureiron when heated experiences 2 changes in crystal structure before it melts. • At room temperature the stable form, ferrite (a iron) has a BCC crystal structure. • Ferrite experiences a polymorphic transformation to FCC austenite ( iron) at 912 ˚C (1674 ˚F). • At 1394˚C (2541˚F) austenite reverts back to BCC phase  ferrite and melts at 1538 ˚C (2800 ˚F). • Iron carbide (cementite or Fe3C) an intermediate compound is formed at 6.7 wt% C. • Typically, all steels and cast irons have carbon contents less than 6.7 wt% C. • Carbon is an interstitial impurity in iron and forms a solid solution with the a, ,  phases.
  • 60.
    8/25/2022 By -T.S.SENTHILKUMAR/AP 60
  • 61.