Physic department
University of duhok
2011/3/29
Physic department
r
fa
Q1 Q2
â
2
2
a
r
qq1
F 04
1
πε
= 2
2
b
r
qq1
F 04
1
πε
=
ε 0
12
2
28 85 10= × −
.
c
m N
1221 - FF

=
229
/.109 cmNk ×=
04
1
πε
=
e
k
Ce
19
106.1
−
×−=
ABOUT COLOUM
Cp
19
106.1
−
×= kgnmass
kgemass
kgpmass
27
31
27
106.1
101.9
106.1
−
−
−
×=→
×=→
×=→
0=n
Neq =
eC
28
1061 ×=
K = electrical constant (9.0 x 109
(
F = force of charge
q = amt. of charge on object
d = distance between objects
Answer is (-) when force is attractive
Answer is (+) when force is repulsive
1 2
2
12
q q
F k
12 r
=
Force is a vector quantity
The field strength at any
point in this field is:
E = field strength (Vm-1
)
V = potential difference
(V)
d = plate separation (m)
dVE /=
Coulombs Law: 2 Charges
A positive charge of 6.0 x 10 -6
C is 0.030m from a second positive
charge of 3.0 x 10 -6
C. Calculate the force between the charges.
•Fe = k q1 q2
r2
= (8.99 x 109
N m2
/C2
) (6.0 x 10 -6
C) (3.0 x 10 -6
C)
( 0.030m )2
= (8.99 x 109
N m2
/C2
) (18.0 x 10 -12
C)
(9.0 x 10 -4
m2
)
= + 1.8 x 10 -8
N
Example I–1. An alpha particle (charge +2.0e) is
sent at high
speed toward a gold nucleus (charge +79e). What is the
electrical
force acting on the alpha particle when it is 2.0 ×10−14 m from
the
gold nucleus?
NE
krqKqE
91
10.2/10.6.1.79.2/21
14192
=
==
−− An electron with a speed of 3.00
× 106 m/s
moves into a uniform electric
field of 1000 N/C. The field is
parallel
to the electron’s motion. How far
does the electron travel before it
is brought to rest?
214
3119
/10*76.1
10*11.9/1000.10*6.1
/
sm
a
meEmfa
e
−−
=
−==
Example 2
Three charges are positioned as shown. Find the force
acting on the 2 C charge.
Three charges are positioned as shown. Find the force
acting on the 2 C charge.
L
q
2
=λ
θ
λ
πε
cos
4
1
2 2
0






=
r
dx
dE
22
cos
xz
z
r
z
+
==θ
( )
220
0
2220
0
2/3220
2
4
1
4
2
2
4
1
Lzz
L
xzz
xz
dx
xz
z
E
L
Lx
x
+
=








+
=
+
= ∫
=
=
λ
πε
πε
λ
λ
πε
( )
∫
+
2/322
xz
dx
( )
dx
xz
z
E
Lx
x
∫
=
= +
=
0
2/3220
2
4
1 λ
πε
How to evaluate this integral
Let θtanzx = then ( ) θθ 222222
sec1tan zzzx =+=+ and
θθdzdx 2
sec= Substitute these into the integral:
( ) ( )
c
z
d
z
d
zz
dz
xz
dx
+====
+
∫∫∫∫ θθθθ
θθ
θθ
sin
1
cos
1
sec
11
sec
sec
2
2
22/322
2
2/322
From diagram, 22
sin
zx
x
+
=θ
( ) 2222/322
1
zx
x
zxz
dx
+
=
+
∫
Hence
Lq λ2=
The line “looks” like a point charge
,so the field reduces to that of a
( )2
04/ zq πε
point charge
( )
2200
222
0
0
2/3220
222
0
2
0
4
11
4
1
1
4
1
cos;;cos
4
1
Lz
L
zxz
x
z
z
dx
xz
z
r
z
xzr
r
dx
E
Lx
x
L
Lx
x
z
+
=








+
=
+
=






=+==
=
=
=
=
∫
∫
λ
πε
λ
πε
λ
πε
θθ
λ
πε
( )








+
−−=








+
−−=
+
−=−=
=
=
∫∫
2200
220
0
2/32200
2
0
11
4
11
4
1
4
1
sin
4
1
Lzzxz
xz
xdx
r
dx
E
Lx
x
LL
x
λ
πε
λ
πε
λ
πε
θ
λ
πε
Net electric field E = Ex + Ez
















+
+








−
+
= zx ˆˆ1
4
1
22220 Lz
L
Lz
z
z
E
λ
πε
For z >> L and
Lq λ=
zˆ
4
1
2
0 z
L
E
λ
πε
→
x
dldq λ=
θ
r
2/3
22
22
2
((/cos
/coscos
/coscos
ladlqxkFd
lakdqqFd
rkdqqFd
+=
+=
=
λθ
θθ
θθ
l
Ex – apositive charge rod length l and liner charge distributid
lenda find the force the test charge along the x axis through
middle of the road
dL dq
This qustion from first test
Univercity of duhok by azad sleman
1
2
21
//
.
/
qrqqKE
forceF
fieldEE
qEF
qFE
=
=
=
=
=
2
q
E=k
r
- - - - - - - - - - - - -
+ + + + + + + + + + + + +
-
F
E
F ma qE.= =∑
r rr
A charged particle in an electric field
experiences a force, and if it is free
to move, an acceleration.
+q
r

q0
E
r
+q
-q
-q
r
r
q0
E
r
02
04
1
r
r
q
επ
E
r
=
‫بن‬ ‫هه‬ ‫شحن‬ ‫ك‬ ‫له‬ ‫كه‬ ‫ته‬ ‫دحالتي‬
∑=
=+⋅⋅⋅++=
n
1i
in21 FFFFF

∑=
=+⋅⋅⋅++=
n
i
in FFFFF
1 000
2
0
1
0 qqqqq

02 i
i
i
n
1i 0
n
1i
in21 r
r
q
4π
1
EEEEE
rr
∑∑ ==
==+⋅⋅⋅++=
ε
102
1
1
0
1
1 r
r
q
4π
1
q
F
E
0


r
ε
==
i02
i
i
0
i
i r
r
q
4π
1
q
F
E
0



ε
==
202
2
2
0
2
2 r
r
q
4π
1
q
F
E
0



ε
==
qn
qi
q3q2
q1 r2
ri
rn
r1
r3
F
r
nF
r
iF
r
3F
r
2F
r
1F
r
q0
Draw and label forces (only those on Q3(.
Draw components of forces which are not along axes.
x
y
Q2=+50µC
Q3=+65µC
Q1=-86µC
52cm
60
cm
30cm
θ=30º
F31
F32Draw a representative
sketch.
Draw and label relevant
quantities.
Draw axes, showing
origin and directions.
Step 1: Diagram
1 2
2
12
q q
F k
12 r
=
“Do I have to put in the absolute value signs?”
x
y
Q2=+50µC
Q3=+65µC
Q1=-86µC
52cm
60
cm
30cm
θ=30º
F31
F32
Step 2: Starting Equation
3 2
2
32
Q Q
F k ,
32 r
repulsive
=
r
3 2
2
32
Q Q
F k
32,y r
=
F 0
32,x
= (from diagram(
F32,y = 330 N and F32,x = 0 N.
x
y
Q2=+50µC
Q3=+65µC
Q1=-86µC
52cm
r31 =60 cm
r32=30cm
θ=30º
F31
F32
Step 3: Replace Generic Quantities by
Specifics
3 1
2
31
Q Q
F k ,
31 r
attractive
=
r
3 1
2
31
Q Q
F k cos
31,x r
= + θ
You would get F31,x = +120 N and F31,y = -70 N.
(-sign comes from diagram(
3 1
2
31
Q Q
F k sin
31, y r
= − θ
(+sign comes from
diagram(
x
y
Q2=+50µC
Q3=+65µC
Q1=-86µC
θ=30º
F31
F32
Step 3 (continued(
r32=30cm
r31 =60 cm
52cm
F3x = F31,x + F32,x = 120 N + 0 N = 120 N
F3y = F31,y + F32,y = -70 N + 330 N = 260 N
You know how to calculate the magnitude F3 and the angle
between F3 and the x-axis.
F3
The net force is the
vector sum of all the
forces on Q3.
x
y
Q2=+50µC
Q3=+65µC
Q1=-86µC
52cm
60
cm
30cm
θ=30º
F31
F32
Step 3: Complete the Math
Faraday, beginning in the 1830's, was the leader in developing
the idea of the electric field. Here's the idea:
• A charged particle emanates a "field"
into all space.
• Another charged particle senses the field,
and “knows” that the first one is there.
+
+
-
like
charges
repel
unlike
charges
attract
F12
F21
F31
F13
We define the electric field by the force it exerts on a test
charge q0:
0
0
F
E =
q
r
r
This is your second starting equation. By convention the direction of the electric field
is the direction of the force exerted on a POSITIVE test charge. The absence of
absolute value signs around q0 means you must include the sign of q0 in your work.
If the test charge is "too big" it perturbs the electric field, so the
“correct” definition is
0
0
q 0
0
F
E = lim
q→
r
r
Any time you know the electric field, you can use this equation to calculate the force
on a charged particle in that electric field.
You won’t be required to use
this version of the equation.
F = qE
r r
If charge is distributed along a straight line segment parallel to
the x-axis, the amount of charge dq on a segment of length dx
is λdx.
λ is the linear density of charge (amount of charge per unit
length). λ may be a function of position.
Think λ ⇔ ⇔ length. λ times the length of line segment is the
total charge on the line segment.
l
x
dx
λ λdx
The electric field at point P due to the charge dq is
x
dq
P
2 2
0 0
1 dq 1 dx
dE = r' = r'
4πε r' 4πε r'
λr
$ $
r’
r'$
dE
I’m assuming positively charged objects
in these “distribution of charges” slides.
I would start a homework or test problem with this:
2
dq
dE = k
r
The electric field at P due to the entire line of charge is
2
0
1λ(x) dx
E = r' .
4πε r'∫
r
$
The integration is carried out over the entire length of the line, which need
not be straight. Also, λ could be a function of position, and can be taken
outside the integral only if the charge distribution is uniform.
x
dq
P
r’
r'$
E
If charge is distributed over a two-dimensional surface, the
amount of charge dq on an infinitesimal piece of the surface is σ
dS, where σ is the surface density of charge (amount of charge
per unit area).
x
y
area = dS
σ
charge dq = σdS
dE
The electric field at P due to the charge dq is
2 2
0 0
1 dq 1 dS
dE = r' = r'
4πε r' 4πε r'
σr
$ $
x
y
P
r’
r'$
The net electric field at P due to the entire surface of charge is
x
y
P
r’
r'$
2
0 S
1 (x, y) dS
E = r'
4πε r'
σ
∫
r
$
E
x
z
P
r’
r'$
2
0 V
1 (x, y,z) dV
E = r' .
4πε r'
ρ
∫
r
$
After you have seen the above, I hope you believe that the net
electric field at P due to a three-dimensional distribution of
charge is…
y
E
Calculate E1, E2, and ETOTAL
at point “C”:
q = 12 nC
See Fig. 21.23: Electric field at
“C” set up by charges q1 and q1
(an electric dipole)
At “C” E1= 6.4 (10)3
N/C
E2 = 6.4 (10)3
N/C
EC = 4.9 (10)3
N/Cin
the +x-direction
A
C
Need TABLE of ALL vector
component VALUES.
Summarizing:
2
0
1λ dx
E = r' .
4πε r'∫
r
$
2
0 S
1 dS
E = r' .
4πε r'
σ
∫
r
$
2
0 V
1 dV
E = r' .
4πε r'
ρ
∫
r
$
Charge distributed along a line:
Charge distributed over a surface:
Charge distributed inside a volume:
If the charge distribution is uniform, then λ, σ, and ρ can be taken outside the
integrals.
The Electric Field
Due to a Continuous Charge
Distribution
(worked examples)
Gauss law
Adobe Acrobat
Document
Adobe Acrobat
Document
e.fieldGauss lawe.flux
Gauss’sLaw
Gauss law
Adobe Acrobat
Document
Microsoft Office
WordDocument
Adobe Acrobat
Document
ELECTRICITYAND MAGNETISM
P10D
Coulomb’s Law
The force of attraction or repulsion between two point charges q1 and q2 is
directly proportional to the product of their charges and inversely proportional
to the square of the distance between them.
where F12 is the force exerted on point charge q1 by point charge q2
when they are separated by a distance r12.
The unit vector is directed from q2 to q1 along the line between the two
charges. The constant is called the permitivity of free space. In SI
units where force is in Newton's (N), distance in meters (m) and
charge in coulombs (C),
Electricty all
Physics 2102
Final Exam Review
Physics 2102
Jonathan Dowling
Microsoft Office
Word 97 - 2003 Document
Microsoft Office
Word Document
Adobe Acrobat
Document
2.2 Applications of Gauss' Law
2.2.1 Electric Field Due to a Line Charge - Cylindrical Symmetry
Let's find the electric field due to a line charge. As we have done this before, much of
the setup of the problem is already done Let's make things a bit tougher by
considering the field due to an infinitely long line of charge as opposed to the one of
finite length which we did before. It's clear here that it's impossible for us to talk
about a finite amount of charge stretched over an infinitely long distance. Instead, we
state that the line has a constant linear charge density, λ.
Realistically, all line charges are finite, but, first, we have done the finite length
problem explicitly, and second, a line of charge which is quite long compared to the
distance from it at which we would like to know the E field is not an uncommon
problem. We can deal with the approximate answer as easily as with the true solution
and compare the differences. Physicists will often engage in thoughts of this kind in
theoretical research as it is important to know where our ideas ``break down''. Those
ideas which can hold up under the most extreme extrapolations without delivering
clearly nonsensical results indicate something deep about our understanding.
The above being said, we still need to do the calculation. Consider the figure below
which shows a view of the line charge and a point P a distance h away from it. We
wish to find the electric field at point P. To set up the integral, we do, as before, the
trick of taking infinitesimally small line segments of charge in pairs so that their
horizontal components cancel and the vertical
(i.e. radial) components add.
Figure 2.4: Calculation of the electric field at the midpoint of a line charge of length l.
Hence we only need to change the definition of dq, the charge on an infinitesimal
segment with length dx, otherwise our approach for the finite line charge is
unchanged for the infinite length case. Now, dq = λdx, so, as with the finite length
charge, we use the angle, θwith respect to the vertical to identify the radial
component, r, as the distance from the infinitesimal charge to point P, i.e.
r = ______ (2.2.1.7)
Example: A rod of length L has a uniform charge per unit length
λ and a total charge Q. Calculate the electric field at a point P
along the axis of the rod at a distance d from one end.
Q
= and Q = L
L
λ λ
P x
y
d L
dE x dx dQ = λ dx
2 2
dq dx
dE = k k
x x
λ
=
Note: dE is in the –x direction. dE is the
magnitude of dE. I’ve used the fact that Q>0
(so dq=0) to eliminate the absolute value signs
in the starting equation.
d L
d+L d+L d+L
x 2 2d d d
d
dx dx 1ˆ ˆ ˆE = dE = -k i = -k i = -k i
x x x
+
λ  
λ λ − ÷
 
∫ ∫ ∫
r r
( ) ( ) ( )
1 1 d d L L kQˆ ˆ ˆ ˆE = -k i = -k i= -k i= - i
d L d d d L d d L d d L
 − + + λ 
λ − + λ  ÷ ÷  ÷+ + + +   
r
L
P
a
0
a
La +
x
dxλdQ =
x
Q
V
04
d
d
πε
=
dxλ
∫∫
+
==
La
a x
x
dVV
04
d
πε
λ
La
a
x
+
= ln
4 0πε
λ
( )[ ]aLa lnln
4 0
−+=
πε
λ
a
La +
ln
x
Example: A rod of length L has a uniform charge per unit length λ
and a total charge Q. Calculate the electric potential at a point P
along the axis of the rod at a distance d from one end.
αcosdEEd
X
=
2
dQ
dE=k
r
Ex = ∫ dEx = ∫ dE cos a
Ex = ∫ [k dq /r2
] [xo / r[
Ex = ∫ [k dq /(xo2
+y2
)] [xo /(xo2
+ y2
)1/2
[
dq = λ dy
Ex = ∫ [k λ dy /(xo2
+y2
)] [xo /(xo2
+ y2
)1/2
[[
Ex = k λ xo ∫ [dy /(xo2
+y2
)] [1 /(xo2
+ y2
)1/2
[
Ex = k λ xo ∫ [dy /(xo2
+y2
) 3/2
[
Example: A rod of length y has a uniform charge per unit length λ
and a total charge Q. Calculate the electric field at a point P along
the axis of the rod length from (a to –a ).
Consider symmetry! Ey =
0cos a = dEx / dE
r = (xo2
+ y2
)1/2
Tabulated integral: (Integration variable “z”)
∫ dz / (c2
+z2
) 3/2
= z / c2
(c2
+z2
) 1/2
∫ dy / (c2
+y2
) 3/2
= y / c2
(c2
+y2
) 1/2
∫ dy / (Xo2
+y2
) 3/2
= y / Xo2
(Xo2
+y2
) 1/2
Ex = k λ xo ∫ -a
a
[dy /(xo2
+y2
) 3/2
[
Ex = k(Q/2a) Xo [y /Xo2
(Xo2
+y2
) 1/2
] -a
a
aQ 2/=λ
Ex = k (Q /2a) Xo [(a –(-a)) / Xo2
(Xo2
+a2
) 1/2
[
Ex = k (Q /2a) Xo [2a / Xo2
(Xo2
+a2
) 1/2
[
Ex = k Q Xo / (Xo2
+a2
) 3/2
Ex = k (Q / Xo) [1 / (Xo2
+a2
) 1/2
[Answer 1
Answer 2
2/1222
2/322
2/322
2/322
222
2
22
).(/
)/(2.2/
)/(
)(/
)(
/coscos
//
xaxkqx
xaaakqx
xzdyqxk
azdzqxkdf
azr
rdzkdF
rkdzqrkdqqF
a
a
+=
+=
+
+=
+=
=
==
∫−
λ
λ
αλα
dz
dzdq λ=
In this qustion we have not (a,-a)we want force
z
Answer 1
Answer 2
Fig. 21.48 Calculate the electric field at -q
caused by +Q, and then the force on -q.
Tabulated integral:
∫ dz / (z2
+ a2
)3/2
= z / a2
(z2
+ a2
) 1/2
∫ z dz / (z2
+ a2
)3/2
= -1 / (z2
+ a2
) 1/2
Tabulated integral: ∫ dz / (c-z) 2
= 1 / (c-z)
Fig. 21.47 Calculate the
electric field at +q
caused by the
distributed charge
+Q.
radius R, which carries a uniform line charge λ.
R
q
π
λ
2
=
θ
λ
πε
cos
4
1
2
0
∫=
r
dl
Ez
r
z
zRr =+= θcos;222
( )
∫
+
= dl
Rz
z
Ez 2/32204
1 λ
πε
Rdl π2=∫
( )
( ) 2/3220
2
4
1
Rz
zR
Ez
+
=
πλ
πε
Find the electric field a distance z above the center of a
flat
circular disk of radius a, which carries a uniform surface
density, segma.
(Models an electrostatic microphone)
A typical element is a ring of radius r and thickness dr, which
has
an area.
rdrdA π2= ( )2
/ aq πσ =
22
2
2
a
qrdr
rdr
a
q
dAdq === π
π
σ
( ) ( ) 2/3222
0
2/3220
2
4
1
4
1
rz
rdr
a
qz
dq
rz
z
dE
+
=
+
=
πεπε
( )
dr
rz
r
a
qz
E
a
∫
+
=
0
2/3222
0
2
4
1
πε
( )
dr
rz
r
a
qz
E
a
∫
+
=
0
2/3222
0
2
4
1
πε
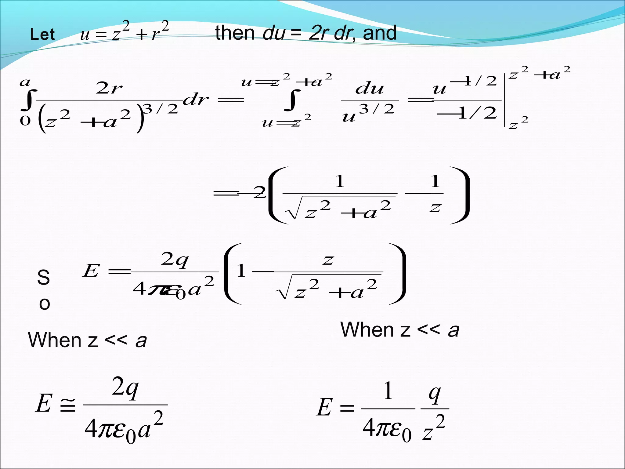
Let
22
rzu += then du = 2r dr, and
( )








−
+
−=
−
==
+
+−+=
=
∫∫
zaz
/
u
u
du
dr
az
r
az
z
azu
zu
a
11
2
21
2
22
2/1
2/3
0
2/322
22
2
22
2








+
−=
222
0
1
4
2
az
z
a
q
E
πεS
o
When z << a,
2
04
2
a
q
E
πε
≅
When z << a,
2
04
1
z
q
E
πε
=
Example: A ring of radius a has a uniform charge per unit length
and a total positive charge Q. Calculate the electric field at a point
P along the axis of the ring at a distance x0 from its center.
By symmetry, the y- and z-components
of E are zero, and all points on the ring
are a distance r from point P.
P
a
dQ
r
dE
xθ
θx0
2
dQ
dE=k
r
x 2
dQ
dE =k cos
r
θ
No absolute value
signs because Q is
positive.
2 2
0r = x a+
0x
cos
r
θ =
( )
0 0 0 0
x x 3/ 22 3 3 2 2
ring ring ring 0
x x x kx QdQ
E dE k k dQ k Q
r r r r x a
 
= = = = = ÷
  +
∫ ∫ ∫
Or, in general, on the ring axis
( )
x,ring 3/ 22 2
kxQ
E .
x a
=
+
For a given x0, r is a constant
for points on the ring.
R r

x
0
P
∫=
Q r
dQ
V
04πε∫= Q
r
d
4
1
0πε
r
Q
04πε
=
22
xRr +=
22
04 xR
Q
V
+
=
πε
r
Q
V
04
d
d
πε
=
Qd
x
A Example: Find the an expression electric potential due to a
uniformly charged ring of radius R and total charge Q at a point P
on the axis of the ring.
.)/(2.)(2/1
).(/
2/3222/322
2/122
−−
−
+=+−−
+=−=
rxkqxxrxkq
rxkqdxdvE
X
Example: A disc of radius R has a uniform charge per unit area σ.
Calculate the electric field at a point P along the central axis of the
disc at a distance x0 from its center.
P
r
dQ
x
x0R
The disc is made of concentric rings. The area of a ring at a
radius r is 2πrdr, and the charge on each ring is σ(2πrdr).
We can use the equation on the previous
slide for the electric field due to a ring,
replace a by r, and integrate from r=0 to
r=R.
( )
0
ring 3/22 2
0
kx 2 rdr
dE .
x r
σ π
=
+
Caution! I’ve switched
the “meaning” of r!
( ) ( )
R
0
x x 03/ 2 3/ 202 2 2 2
disc disc 0 0
kx 2 rdr 2r dr
E dE kx
x r x r
σ π
= = = πσ
+ +
∫ ∫ ∫
( )
( )
R1/ 22 2
0 0 0
x 0 1/ 22 2
0 0
0
x r x x
E kx 2k
1/ 2 x x R
−
   +
 ÷ = πσ = πσ −
 ÷ − +   
2 2
0r = x a+
0x
cos
r
θ=
2
dQ
dE=k
r
θ
Electric Potential due to non-uniformly charged disk
A disk of radius R has a non-uniform surface charge density
σ=Cr where C is constant and r is distance from the center of
the disk as shown. Find the potential at P.
22
xr
dqk
dV e
+
=
dq = σdA = Cr(2πrdr) and
∫ +
=
R
e
xr
drr
kCV
0
22
2
)2( π
V= C(2πk) {R(R2
+x2
)1/2
+x2
ln(x/[R+ (R2
+x2
)1/2
[){
Standard
integral
‫بدريخه‬ ‫فيلد‬ ‫الكتريك‬
Electric Potential due to uniformly charged annulus
Calculate the electric potential at point P on the axis of an
annulus, which has uniform charge density σ.
Pictures from Serway & Beichner
drrdAdq
xrKdqdE
πσσ 2where
)(/
2/322
==
+=
b
a
b
a
e
xrxxrk
r
drr
xkE




+
== ∫
2/122
3
)(/.2
2
σπ
σπ
E= 2πσk [ b/(x2
+b2
)1/2
- a/(x2
+a2
)1/2
[
Example: Calculate the electric field at a distance x0 from an
infinite plane sheet with a uniform charge density σ.
Treat the infinite sheet as disc of infinite radius.
Let R→∞ and use to get
0
1
k
4
=
πε
sheet
0
E .
2
σ
=
ε
Interesting...does not depend on distance from the sheet.
I’ve been Really Nice and put this on your starting equation sheet. You don’t
have to derive it for your homework!
S∆
S

d E

n

n

Using gauss
law
0
0
/2
/.
εσ
ε
AEA
qdAE
enc
=
=∫
Electric Field Lines
Electric field lines help us visualize the electric field and predict
how charged particles would respond the field.
Example: electric field lines for isolated +2e and -e charges.
+-
+ -
Gauss’ Law
Electric Flux
We have used electric field lines to visualize electric fields and
indicate their strength.
We are now going to count the
number of electric field lines passing
through a surface, and use this
count to determine the electric field.
E
The electric flux passing through a surface is the number of
electric field lines that pass through it.
Because electric field lines are drawn
arbitrarily, we quantify electric flux
like this: ΦE=EA, except that…
If the surface is tilted, fewer lines cut
the surface.
E
A
Later we’ll learn about magnetic flux, which is
why I will use the subscript E on electric flux.
E
θ
If the electric field is not uniform, or the surface is not flat…
divide the surface into
infinitesimal surface
elements and add the
flux through each…
dA
E i
E i i
A 0
i
lim E A
∆ →
Φ = ×∆∑

E E dAΦ = ×∫

∆A
Electric Flux
What is the electric flux of
this cylinder?
0
0)1()1(
90cos180cos0cos
constant,,
21
321
21321
=Φ
+−+=Φ
++=Φ
==Φ+Φ+Φ=Φ=Φ ∑
E
E
E
E
EAEA
EAEAEA
AAE
What does this tell us?
his tells us that there are NO sources or sinks INSIDE the cylindrical
If the surface is closed (completely encloses a volume)…
E
…we count* lines going
out as positive and lines
going in as negative…
E E dAΦ = ×∫

Ñ
dA
a surface integral, therefore a
double integral ∫∫
Question: you gave me five different equations for electric flux.
Which one do I need to use?
E E dAΦ = ×∫

Ñ
E E dAΦ = ×∫

E E AΦ = ×

E EAcosΦ = θ
E EAΦ =
Answer: use the simplest (easiest!) one that works.
Flat surface, E || A, E constant over surface. Easy!
Flat surface, E not || A, E constant over surface.
Flat surface, E not || A, E constant over surface.
Surface not flat, E not uniform. Avoid, if possible.
Closed surface. Most general. Most complex.
If the surface is closed, you may be able to “break it up” into
simple segments and still use ΦE=E·A for each segment.
Mathematically*, we express the idea two slides back as
enclosed
E
o
q
E dAΦ = × =
ε∫

Ñ Gauss’ Law
We will find that Gauss law gives a simple way to calculate
electric fields for charge distributions that exhibit a high degree
of symmetry…
…and save more complex and realistic charge distributions for
advanced classes.
*“Mathematics is the Queen of the Sciences.”—Karl Gauss
Gauss’ Law
∫ =•
o
encq
dAE
ε
The electric flux (flow) is in
direct proportion to the charge
that is enclosed within some
type of surface, which we call
Gaussian
The vacuum permittivity constant is
the constant of proportionality in this
case as the flow can be interrupted
should some type of material come
between the flux and the surface
area. Gauss’ Law then is derived
mathematically using 2 known
expressions for flux.
r < R
Therefore, for r < R
Case II: r > R
Therefore, for r > R,
R r
0
0>r < R
rkE
lrlE
/2
/)2(
λ
ελπ
=
=
L
a
b
+2Q
cylnder
o
enc
o
enc
l
rlE
rlA
lq
q
dAE
ε
λ
π
π
λ
ε
=
=
=
=•∫
)2(
2
b>a
a<r<b
0
2
=
=
=
=•∫
E
rlA
zeroq
q
dAE
enc
o
enc
π
ε
b
a
0
0>r < R
rkE
lrlE
/2
/)2(
λ
ελπ
=
=
r
conductor
insulator
shell
a<r < R
insulator
b
a
0r
shell
rarkE
arlrlE
arllalrv
/)(2
/)()2(
)(
22
22
2222
−=
−=
−=−=
λρπ
ερππ
πππ
r > b
rabkE
abllrlE
/)(2
/)(()2(
22
22
−=
−+=
λρπ
ερπλπ
rabkE
rarkE
rkE
/)(2
/)(2
/2
22
22
−=
−=
=
λρπ
λρπ
λ
insulator
b
a
0r
shell
0>r < R
a<r < R
r >b
Question
Use Gauss's Law to find the electric field everywhere due to a
uniformly charged insulator shell, like the one shown below.
The shell has a total charge Q, which is uniformly distributed
throughout its volume.
(c) Use Gauss's Law to find the electric field for radius r < a.
(d) Use Gauss's Law to find the electric field for radius a < r < b.
(e) Use Gauss's Law to find the electric field for radius r > b.
(a) What is the charge on the inner surface of the conductor?
(b) What is the charge on the outer surface of the conductor?
We need to look at this problem in three parts: one, for when
Answer
qenc = 0
r
Insulator shell-sph
Here, qenc
is Q, so we have
Again, since the electric field will be constant at every point on
the spherical Gaussian surface, we have
For the case where r > R:
We construct a spherical Gaussian
surface through an outside point r > R,
and apply Gauss's Law. In this case,
R
a
Q
Find the electric field at a point inside the sphere.
Now we select a spherical Gaussian surface
with radius r < a. Again the symmetry of the
charge distribution allows us to simply evaluate
the left side of Gauss’s law just as before.r
The charge inside the Gaussian sphere is no longer Q. If we
call the Gaussian sphere volume V’ then
( )2
Left side: 4E dA E dA E dA E rπ× = = =∫ ∫ ∫

Ñ Ñ Ñ

( )
3
2
0 0
4
4
3
inQ r
E r
ρπ
π
ε ε
= =


34
Right side:
3
inQ V rρ ρ π′= =
( )
3
3 32
30 00
4 1
but so
43 43 4
3
e
r Q Q Q
E r E r k r
a ar a
ρπ ρ
ρ
ε πεε π π
= = = = =

a
b
-Q
+2Q
Find the field for r > b
From the symmetry of the problem, the field
in this region is radial and everywhere
perpendicular to the spherical Gaussian
surface. Furthermore, the field has the same
value at every point on the Gaussian surface
so the solution then proceeds exactly as in
Ex. 2, but Qin=2Q-Q.
( )2
4E dA E dA E dA E rπ× = = =∫ ∫ ∫

Ñ Ñ Ñ
Gauss’s law now gives:
( )2
2 2
0 0 0 0
2 1
4 or
4
in
e
Q Q Q Q Q Q
E r E k
r r
π
ε ε ε πε
−
= = = = =
2
3
We found for ,
and for ,
e
e
Q
r a E k
r
k Q
r a E r
a
> =
< =
a
Q
Let’s plot this:
E
ra
For spherical those answer
For conductoe is smilal
An insulating sphere of radius a has a uniform charge density ρ and a total
positive charge Q. Calculate the electric field outside the sphere.
a
Since the charge distribution is spherically
symmetric we select a spherical Gaussian
surface of radius r > a centered on the
charged sphere. Since the charged sphere
has a positive charge, the field will be
directed radially outward. On the Gaussian
sphere E is always parallel to dA, and is
constant.Q
rE
dA
( )2
Left side: 4E dA E dA E dA E rπ× = = =∫ ∫ ∫
rr
Ñ Ñ Ñ
0 0
Right side: inQ Q
ε ε
=

( )2
2 2
0 0
1
4 or
4
e
Q Q Q
E r E k
r r
π
ε πε
= = =

A conducting spherical shell of inner radius a and outer radius b with a
net charge -Q is centered on point charge +2Q. Use Gauss’s law to
find the electric field everywhere, and to determine the charge
distribution on the spherical shell.
a
b
-Q First find the field for 0 < r < a
This is the same as Ex. 2 and is the field due to a
point charge with charge +2Q.
2
2
e
Q
E k
r
=
Now find the field for a < r < b
The field must be zero inside a conductor in equilibrium. Thus from
Gauss’s law Qin is zero. There is a + 2Q from the point charge so we
must have Qa = -2Q on the inner surface of the spherical shell. Since the
net charge on the shell is -Q we can get the charge on the outer surface
from Qnet = Qa + Qb.
Qb= Qnet - Qa = -Q - (-2Q) = + Q.
+2Q
Pictures from Serway &
Outside the sphere, we have
k Q
Er=
r2
For r > R
To obtain potential at B, we use
VB= -
r

Er dr = - kQ
r
r2
dr
Potential must be continuous at r = R, => potential at surface
Pictures from Serway &
Inside the sphere, we have
k Q
Er=
R3
For r < R
To obtain the potential difference at D, we use
VD - VC= -
r
Er dr= - r dr=
r
R
k Q
R3
r
R
k Q
2R3
)R2
– r2
(
Since
To obtain the absolute value of the potential at D, we add
the potential at C to the potential difference VD - VC:
Check V for r = R
For r < R
r< R1
In condector sphereca
And we have two
charge
E=0
r> R2 22
/21/21 rqKqrqKqF −=+=
2
/12 rqKF =
R1< r< R2
2
/1 rKqE =
Gauss’ Law – How does it work?
Step 1 – Is there a source of
symmetry?
Consider a POSITIVE POINT CHARGE, Q.
Yes, it is spherical symmetry!
You then draw a shape in such a way
as to obey the symmetry and
ENCLOSE the charge. In this case,
we enclose the charge within a
sphere. This surface is called a
GAUSSIAN SURFACE.
Step 2 – What do you know about the
electric field at all points on this
surface?
It is constant.
∫ =
o
encq
daE
ε
The “E” is then brought out of the integral.
Gauss’ Law – How does it work?
o
encq
rE
ε
π =(4) 2
Step 4 – Identify the charge enclosed?
The charge enclosed is Q!
Step 3 – Identify the area of the
Gaussian surface?
In this case, summing
each and every dA gives
us the surface area of a
sphere.
oo r
Q
E
Q
rE
επε
π 2
2
4
(4) =→=
This is the
equation for a
POINT CHARGE!
Strategy for Solving Gauss’ Law Problems
• Select a Gaussian surface with symmetry that matches the
charge distribution.
• Draw the Gaussian surface so that the electric field is either
constant or zero at all points on the Gaussian surface.
• Evaluate the surface integral (electric flux).
• Determine the charge inside the Gaussian surface.
• Solve for E.
• Use symmetry to determine the direction of E on the Gaussian
surface.
Example: use Gauss’ Law to calculate the electric field due to a
long line of charge, with linear charge density λ.
Example: use Gauss’ Law to calculate the electric field due to
an infinite sheet of charge, with surface charge density σ.
These are easy using Gauss’ Law (remember what a pain they
were in the previous chapter). Study these examples and others
in your text!
sheet
0
E .
2
σ
=
ε
line
0
E .
2 r
λ
=
πε
Gauss’ Law and cylindrical symmetry
rLA
qLQ
L
Q
MacroRECALL
cylinder
enc
π
λ
λ
2
:
=
==
=→
Consider a line( or rod) of charge that is very long (infinite
+
+
+
+
+
+
+
+
+
+
+
+
We can ENCLOSE it within a
CYLINDER. Thus our Gaussian surface
is a cylinder.
o
o
o
enc
o
enc
r
E
L
rLE
q
rLE
q
daE
επ
λ
ε
λ
π
ε
π
ε
2
(2)
(2)
=
=
==∫
This is the same equation we got doing extended charge distributions.
Gauss’ Law for insulating sheets and disks
A charge is distributed with a uniform charge density over an infinite
plane INSULATING thin sheet. Determine E outside the sheet.
For an insulating sheet the
charge resides INSIDE the
sheet. Thus there is an electric
field on BOTH sides of the plane.
o
o
oo
o
enc
E
A
EA
A
Q
Q
EA
Q
EAEA
q
dAE
ε
σ
ε
σ
σ
εε
ε
2
2,
2
=
==
=→=+
=•∫
This is the same equation we got
doing extended charge distributions.
Gauss’ Law for conducting sheets and disks
A charge is distributed with a uniform charge density over an infinite
thick conducting sheet. Determine E outside the sheet.
+
For a thick conducting sheet, the charge exists
on the surface only
o
o
o
o
enc
E
A
EA
A
Q
Q
EA
q
dAE
ε
σ
ε
σ
σ
ε
ε
=
==
=
=•∫
,
+
+
+
+
+
+
E =0
In
summaryWhether you use electric charge distributions or Gauss’ Law you get the
SAME electric field functions for symmetrical situations.
∫ =•
=→=
o
enc
oo
q
dAE
r
dq
dE
r
Q
E
ε
πεπε 22
44
Function Point, hoop,
or Sphere
(Volume)
Disk or Sheet
(AREA)
“insulating
and thin”
Line, rod, or
cylinder
(LINEAR)
Equation
2
4 r
Q
E
oπε
=
r
E
oπε
λ
2
=
o
E
ε
σ
2
=
Created
byaza
d
The top 5 reasons why we make you learn Gauss’ Law:
5. You can solve (high-symmetry) problems with it.
4. It’s good for you. It’s fun! What more can you ask!
3. It’s easy. Smart physicists go for the easy solutions.
2. If I had to learn it, you do too.
And the number one reason…
…will take a couple of slides to present
Starting with Gauss’s law, calculate the electric
field due to an isolated point charge q.
q
E
r dA
We choose a Gaussian surface that is a
sphere of radius r centered on the point
charge. I have chosen the charge to be
positive so the field is radial outward by
symmetry and therefore everywhere
perpendicular to the Gaussian surface.
E dA E dA× =
rr
Gauss’s law then gives:
0 0
inQ q
E dA E dA
ε ε
× = = =∫ ∫
rr
Ñ Ñ Symmetry tells us that the field is
constant on the Gaussian surface.
( )2
2 2
0 0
1
4 so
4
e
q q q
E dA E dA E r E k
r r
π
ε πε
= = = = =∫ ∫Ñ Ñ
Conductors in Electrostatic
Equilibrium
The electric field is zero everywhere inside the
conductor
Any net charge resides on the conductor’s
surface
The electric field just outside a charged conductor
is perpendicular to the conductor’s surface
By electrostatic equilibrium we mean a situation where
there is no net motion of charge within the conductor
When electric charges are at rest, the electric
field within a conductor is zero.
The electric field is always perpendicular to the
surface of a conductor – if it weren’t, the
charges would move along the surface.
Any net charge on an isolated conductor must reside on its surface and
the electric field just outside a charged conductor is perpendicular to its
surface (and has magnitude σ/ε0). Use Gauss’s law to show this.
For an arbitrarily shaped conductor we
can draw a Gaussian surface inside the
conductor. Since we have shown that the
electric field inside an isolated conductor
is zero, the field at every point on the
Gaussian surface must be zero.
From Gauss’s law we then conclude that the
net charge inside the Gaussian surface is
zero. Since the surface can be made
arbitrarily close to the surface of the
conductor, any net charge must reside on the
conductor’s surface.
0
inQ
E dA
ε
× =∫
rr
Ñ
We can also use Gauss’s law to determine the electric field just outside
the surface of a charged conductor. Assume the surface charge density
is σ. Since the field inside the conductor is
zero there is no flux through the face
of the cylinder inside the conductor. If
E had a component along the surface
of the conductor then the free charges
would move under the action of the
field creating surface currents. Thus E
is perpendicular to the conductor’s
surface, and the flux through the
cylindrical surface must be zero.
Consequently the net flux through the
cylinder is EA and Gauss’s law gives:
0 0 0
orin
E
Q A
EA E
σ σ
ε ε ε
Φ = = = =
Summary
Two methods for calculating electric field
Coulomb’s Law
Gauss’s Law
Gauss’s Law: Easy, elegant method for
symmetric charge distributions
Coulomb’s Law: Other cases
Gauss’s Law and Coulomb’s Law are
equivalent for electric fields produced by static
charges

Electricity for physic

  • 1.
  • 2.
  • 3.
    r fa Q1 Q2 â 2 2 a r qq1 F 04 1 πε =2 2 b r qq1 F 04 1 πε = ε 0 12 2 28 85 10= × − . c m N 1221 - FF  = 229 /.109 cmNk ×= 04 1 πε = e k Ce 19 106.1 − ×−= ABOUT COLOUM Cp 19 106.1 − ×= kgnmass kgemass kgpmass 27 31 27 106.1 101.9 106.1 − − − ×=→ ×=→ ×=→ 0=n Neq = eC 28 1061 ×=
  • 4.
    K = electricalconstant (9.0 x 109 ( F = force of charge q = amt. of charge on object d = distance between objects Answer is (-) when force is attractive Answer is (+) when force is repulsive 1 2 2 12 q q F k 12 r = Force is a vector quantity The field strength at any point in this field is: E = field strength (Vm-1 ) V = potential difference (V) d = plate separation (m) dVE /=
  • 7.
    Coulombs Law: 2Charges A positive charge of 6.0 x 10 -6 C is 0.030m from a second positive charge of 3.0 x 10 -6 C. Calculate the force between the charges. •Fe = k q1 q2 r2 = (8.99 x 109 N m2 /C2 ) (6.0 x 10 -6 C) (3.0 x 10 -6 C) ( 0.030m )2 = (8.99 x 109 N m2 /C2 ) (18.0 x 10 -12 C) (9.0 x 10 -4 m2 ) = + 1.8 x 10 -8 N
  • 8.
    Example I–1. Analpha particle (charge +2.0e) is sent at high speed toward a gold nucleus (charge +79e). What is the electrical force acting on the alpha particle when it is 2.0 ×10−14 m from the gold nucleus? NE krqKqE 91 10.2/10.6.1.79.2/21 14192 = == −− An electron with a speed of 3.00 × 106 m/s moves into a uniform electric field of 1000 N/C. The field is parallel to the electron’s motion. How far does the electron travel before it is brought to rest? 214 3119 /10*76.1 10*11.9/1000.10*6.1 / sm a meEmfa e −− = −==
  • 9.
    Example 2 Three chargesare positioned as shown. Find the force acting on the 2 C charge.
  • 10.
    Three charges arepositioned as shown. Find the force acting on the 2 C charge.
  • 11.
  • 12.
    ( ) ∫ + 2/322 xz dx ( ) dx xz z E Lx x ∫ = =+ = 0 2/3220 2 4 1 λ πε How to evaluate this integral Let θtanzx = then ( ) θθ 222222 sec1tan zzzx =+=+ and θθdzdx 2 sec= Substitute these into the integral: ( ) ( ) c z d z d zz dz xz dx +==== + ∫∫∫∫ θθθθ θθ θθ sin 1 cos 1 sec 11 sec sec 2 2 22/322 2 2/322 From diagram, 22 sin zx x + =θ ( ) 2222/322 1 zx x zxz dx + = + ∫ Hence Lq λ2= The line “looks” like a point charge ,so the field reduces to that of a ( )2 04/ zq πε point charge
  • 13.
  • 14.
    x dldq λ= θ r 2/3 22 22 2 ((/cos /coscos /coscos ladlqxkFd lakdqqFd rkdqqFd += += = λθ θθ θθ l Ex –apositive charge rod length l and liner charge distributid lenda find the force the test charge along the x axis through middle of the road dL dq This qustion from first test Univercity of duhok by azad sleman
  • 15.
    1 2 21 // . / qrqqKE forceF fieldEE qEF qFE = = = = = 2 q E=k r - - -- - - - - - - - - - + + + + + + + + + + + + + - F E F ma qE.= =∑ r rr A charged particle in an electric field experiences a force, and if it is free to move, an acceleration. +q r  q0 E r +q
  • 16.
  • 17.
    ‫بن‬ ‫هه‬ ‫شحن‬‫ك‬ ‫له‬ ‫كه‬ ‫ته‬ ‫دحالتي‬ ∑= =+⋅⋅⋅++= n 1i in21 FFFFF  ∑= =+⋅⋅⋅++= n i in FFFFF 1 000 2 0 1 0 qqqqq  02 i i i n 1i 0 n 1i in21 r r q 4π 1 EEEEE rr ∑∑ == ==+⋅⋅⋅++= ε 102 1 1 0 1 1 r r q 4π 1 q F E 0   r ε == i02 i i 0 i i r r q 4π 1 q F E 0    ε == 202 2 2 0 2 2 r r q 4π 1 q F E 0    ε == qn qi q3q2 q1 r2 ri rn r1 r3 F r nF r iF r 3F r 2F r 1F r q0
  • 18.
    Draw and labelforces (only those on Q3(. Draw components of forces which are not along axes. x y Q2=+50µC Q3=+65µC Q1=-86µC 52cm 60 cm 30cm θ=30º F31 F32Draw a representative sketch. Draw and label relevant quantities. Draw axes, showing origin and directions. Step 1: Diagram
  • 19.
    1 2 2 12 q q Fk 12 r = “Do I have to put in the absolute value signs?” x y Q2=+50µC Q3=+65µC Q1=-86µC 52cm 60 cm 30cm θ=30º F31 F32 Step 2: Starting Equation
  • 20.
    3 2 2 32 Q Q Fk , 32 r repulsive = r 3 2 2 32 Q Q F k 32,y r = F 0 32,x = (from diagram( F32,y = 330 N and F32,x = 0 N. x y Q2=+50µC Q3=+65µC Q1=-86µC 52cm r31 =60 cm r32=30cm θ=30º F31 F32 Step 3: Replace Generic Quantities by Specifics
  • 21.
    3 1 2 31 Q Q Fk , 31 r attractive = r 3 1 2 31 Q Q F k cos 31,x r = + θ You would get F31,x = +120 N and F31,y = -70 N. (-sign comes from diagram( 3 1 2 31 Q Q F k sin 31, y r = − θ (+sign comes from diagram( x y Q2=+50µC Q3=+65µC Q1=-86µC θ=30º F31 F32 Step 3 (continued( r32=30cm r31 =60 cm 52cm
  • 22.
    F3x = F31,x+ F32,x = 120 N + 0 N = 120 N F3y = F31,y + F32,y = -70 N + 330 N = 260 N You know how to calculate the magnitude F3 and the angle between F3 and the x-axis. F3 The net force is the vector sum of all the forces on Q3. x y Q2=+50µC Q3=+65µC Q1=-86µC 52cm 60 cm 30cm θ=30º F31 F32 Step 3: Complete the Math
  • 23.
    Faraday, beginning inthe 1830's, was the leader in developing the idea of the electric field. Here's the idea: • A charged particle emanates a "field" into all space. • Another charged particle senses the field, and “knows” that the first one is there. + + - like charges repel unlike charges attract F12 F21 F31 F13
  • 24.
    We define theelectric field by the force it exerts on a test charge q0: 0 0 F E = q r r This is your second starting equation. By convention the direction of the electric field is the direction of the force exerted on a POSITIVE test charge. The absence of absolute value signs around q0 means you must include the sign of q0 in your work. If the test charge is "too big" it perturbs the electric field, so the “correct” definition is 0 0 q 0 0 F E = lim q→ r r Any time you know the electric field, you can use this equation to calculate the force on a charged particle in that electric field. You won’t be required to use this version of the equation. F = qE r r
  • 25.
    If charge isdistributed along a straight line segment parallel to the x-axis, the amount of charge dq on a segment of length dx is λdx. λ is the linear density of charge (amount of charge per unit length). λ may be a function of position. Think λ ⇔ ⇔ length. λ times the length of line segment is the total charge on the line segment. l x dx λ λdx
  • 26.
    The electric fieldat point P due to the charge dq is x dq P 2 2 0 0 1 dq 1 dx dE = r' = r' 4πε r' 4πε r' λr $ $ r’ r'$ dE I’m assuming positively charged objects in these “distribution of charges” slides. I would start a homework or test problem with this: 2 dq dE = k r
  • 27.
    The electric fieldat P due to the entire line of charge is 2 0 1λ(x) dx E = r' . 4πε r'∫ r $ The integration is carried out over the entire length of the line, which need not be straight. Also, λ could be a function of position, and can be taken outside the integral only if the charge distribution is uniform. x dq P r’ r'$ E
  • 28.
    If charge isdistributed over a two-dimensional surface, the amount of charge dq on an infinitesimal piece of the surface is σ dS, where σ is the surface density of charge (amount of charge per unit area). x y area = dS σ charge dq = σdS
  • 29.
    dE The electric fieldat P due to the charge dq is 2 2 0 0 1 dq 1 dS dE = r' = r' 4πε r' 4πε r' σr $ $ x y P r’ r'$
  • 30.
    The net electricfield at P due to the entire surface of charge is x y P r’ r'$ 2 0 S 1 (x, y) dS E = r' 4πε r' σ ∫ r $ E
  • 31.
    x z P r’ r'$ 2 0 V 1 (x,y,z) dV E = r' . 4πε r' ρ ∫ r $ After you have seen the above, I hope you believe that the net electric field at P due to a three-dimensional distribution of charge is… y E
  • 33.
    Calculate E1, E2,and ETOTAL at point “C”: q = 12 nC See Fig. 21.23: Electric field at “C” set up by charges q1 and q1 (an electric dipole) At “C” E1= 6.4 (10)3 N/C E2 = 6.4 (10)3 N/C EC = 4.9 (10)3 N/Cin the +x-direction A C Need TABLE of ALL vector component VALUES.
  • 34.
    Summarizing: 2 0 1λ dx E =r' . 4πε r'∫ r $ 2 0 S 1 dS E = r' . 4πε r' σ ∫ r $ 2 0 V 1 dV E = r' . 4πε r' ρ ∫ r $ Charge distributed along a line: Charge distributed over a surface: Charge distributed inside a volume: If the charge distribution is uniform, then λ, σ, and ρ can be taken outside the integrals.
  • 35.
    The Electric Field Dueto a Continuous Charge Distribution (worked examples) Gauss law Adobe Acrobat Document Adobe Acrobat Document e.fieldGauss lawe.flux Gauss’sLaw Gauss law Adobe Acrobat Document Microsoft Office WordDocument Adobe Acrobat Document ELECTRICITYAND MAGNETISM P10D Coulomb’s Law The force of attraction or repulsion between two point charges q1 and q2 is directly proportional to the product of their charges and inversely proportional to the square of the distance between them. where F12 is the force exerted on point charge q1 by point charge q2 when they are separated by a distance r12. The unit vector is directed from q2 to q1 along the line between the two charges. The constant is called the permitivity of free space. In SI units where force is in Newton's (N), distance in meters (m) and charge in coulombs (C), Electricty all
  • 36.
    Physics 2102 Final ExamReview Physics 2102 Jonathan Dowling Microsoft Office Word 97 - 2003 Document Microsoft Office Word Document Adobe Acrobat Document 2.2 Applications of Gauss' Law 2.2.1 Electric Field Due to a Line Charge - Cylindrical Symmetry Let's find the electric field due to a line charge. As we have done this before, much of the setup of the problem is already done Let's make things a bit tougher by considering the field due to an infinitely long line of charge as opposed to the one of finite length which we did before. It's clear here that it's impossible for us to talk about a finite amount of charge stretched over an infinitely long distance. Instead, we state that the line has a constant linear charge density, λ. Realistically, all line charges are finite, but, first, we have done the finite length problem explicitly, and second, a line of charge which is quite long compared to the distance from it at which we would like to know the E field is not an uncommon problem. We can deal with the approximate answer as easily as with the true solution and compare the differences. Physicists will often engage in thoughts of this kind in theoretical research as it is important to know where our ideas ``break down''. Those ideas which can hold up under the most extreme extrapolations without delivering clearly nonsensical results indicate something deep about our understanding. The above being said, we still need to do the calculation. Consider the figure below which shows a view of the line charge and a point P a distance h away from it. We wish to find the electric field at point P. To set up the integral, we do, as before, the trick of taking infinitesimally small line segments of charge in pairs so that their horizontal components cancel and the vertical (i.e. radial) components add. Figure 2.4: Calculation of the electric field at the midpoint of a line charge of length l. Hence we only need to change the definition of dq, the charge on an infinitesimal segment with length dx, otherwise our approach for the finite line charge is unchanged for the infinite length case. Now, dq = λdx, so, as with the finite length charge, we use the angle, θwith respect to the vertical to identify the radial component, r, as the distance from the infinitesimal charge to point P, i.e. r = ______ (2.2.1.7)
  • 37.
    Example: A rodof length L has a uniform charge per unit length λ and a total charge Q. Calculate the electric field at a point P along the axis of the rod at a distance d from one end. Q = and Q = L L λ λ P x y d L dE x dx dQ = λ dx 2 2 dq dx dE = k k x x λ = Note: dE is in the –x direction. dE is the magnitude of dE. I’ve used the fact that Q>0 (so dq=0) to eliminate the absolute value signs in the starting equation. d L d+L d+L d+L x 2 2d d d d dx dx 1ˆ ˆ ˆE = dE = -k i = -k i = -k i x x x + λ   λ λ − ÷   ∫ ∫ ∫ r r ( ) ( ) ( ) 1 1 d d L L kQˆ ˆ ˆ ˆE = -k i = -k i= -k i= - i d L d d d L d d L d d L  − + + λ  λ − + λ  ÷ ÷  ÷+ + + +    r
  • 38.
    L P a 0 a La + x dxλdQ = x Q V 04 d d πε = dxλ ∫∫ + == La ax x dVV 04 d πε λ La a x + = ln 4 0πε λ ( )[ ]aLa lnln 4 0 −+= πε λ a La + ln x Example: A rod of length L has a uniform charge per unit length λ and a total charge Q. Calculate the electric potential at a point P along the axis of the rod at a distance d from one end.
  • 39.
    αcosdEEd X = 2 dQ dE=k r Ex = ∫dEx = ∫ dE cos a Ex = ∫ [k dq /r2 ] [xo / r[ Ex = ∫ [k dq /(xo2 +y2 )] [xo /(xo2 + y2 )1/2 [ dq = λ dy Ex = ∫ [k λ dy /(xo2 +y2 )] [xo /(xo2 + y2 )1/2 [[ Ex = k λ xo ∫ [dy /(xo2 +y2 )] [1 /(xo2 + y2 )1/2 [ Ex = k λ xo ∫ [dy /(xo2 +y2 ) 3/2 [ Example: A rod of length y has a uniform charge per unit length λ and a total charge Q. Calculate the electric field at a point P along the axis of the rod length from (a to –a ). Consider symmetry! Ey = 0cos a = dEx / dE r = (xo2 + y2 )1/2
  • 40.
    Tabulated integral: (Integrationvariable “z”) ∫ dz / (c2 +z2 ) 3/2 = z / c2 (c2 +z2 ) 1/2 ∫ dy / (c2 +y2 ) 3/2 = y / c2 (c2 +y2 ) 1/2 ∫ dy / (Xo2 +y2 ) 3/2 = y / Xo2 (Xo2 +y2 ) 1/2 Ex = k λ xo ∫ -a a [dy /(xo2 +y2 ) 3/2 [ Ex = k(Q/2a) Xo [y /Xo2 (Xo2 +y2 ) 1/2 ] -a a aQ 2/=λ Ex = k (Q /2a) Xo [(a –(-a)) / Xo2 (Xo2 +a2 ) 1/2 [ Ex = k (Q /2a) Xo [2a / Xo2 (Xo2 +a2 ) 1/2 [ Ex = k Q Xo / (Xo2 +a2 ) 3/2 Ex = k (Q / Xo) [1 / (Xo2 +a2 ) 1/2 [Answer 1 Answer 2
  • 41.
  • 42.
    Fig. 21.48 Calculatethe electric field at -q caused by +Q, and then the force on -q. Tabulated integral: ∫ dz / (z2 + a2 )3/2 = z / a2 (z2 + a2 ) 1/2 ∫ z dz / (z2 + a2 )3/2 = -1 / (z2 + a2 ) 1/2 Tabulated integral: ∫ dz / (c-z) 2 = 1 / (c-z) Fig. 21.47 Calculate the electric field at +q caused by the distributed charge +Q.
  • 43.
    radius R, whichcarries a uniform line charge λ. R q π λ 2 = θ λ πε cos 4 1 2 0 ∫= r dl Ez r z zRr =+= θcos;222 ( ) ∫ + = dl Rz z Ez 2/32204 1 λ πε Rdl π2=∫ ( ) ( ) 2/3220 2 4 1 Rz zR Ez + = πλ πε
  • 44.
    Find the electricfield a distance z above the center of a flat circular disk of radius a, which carries a uniform surface density, segma. (Models an electrostatic microphone) A typical element is a ring of radius r and thickness dr, which has an area. rdrdA π2= ( )2 / aq πσ = 22 2 2 a qrdr rdr a q dAdq === π π σ ( ) ( ) 2/3222 0 2/3220 2 4 1 4 1 rz rdr a qz dq rz z dE + = + = πεπε ( ) dr rz r a qz E a ∫ + = 0 2/3222 0 2 4 1 πε ( ) dr rz r a qz E a ∫ + = 0 2/3222 0 2 4 1 πε
  • 45.
    Let 22 rzu += thendu = 2r dr, and ( )         − + −= − == + +−+= = ∫∫ zaz / u u du dr az r az z azu zu a 11 2 21 2 22 2/1 2/3 0 2/322 22 2 22 2         + −= 222 0 1 4 2 az z a q E πεS o When z << a, 2 04 2 a q E πε ≅ When z << a, 2 04 1 z q E πε =
  • 46.
    Example: A ringof radius a has a uniform charge per unit length and a total positive charge Q. Calculate the electric field at a point P along the axis of the ring at a distance x0 from its center. By symmetry, the y- and z-components of E are zero, and all points on the ring are a distance r from point P. P a dQ r dE xθ θx0 2 dQ dE=k r x 2 dQ dE =k cos r θ No absolute value signs because Q is positive. 2 2 0r = x a+ 0x cos r θ = ( ) 0 0 0 0 x x 3/ 22 3 3 2 2 ring ring ring 0 x x x kx QdQ E dE k k dQ k Q r r r r x a   = = = = = ÷   + ∫ ∫ ∫ Or, in general, on the ring axis ( ) x,ring 3/ 22 2 kxQ E . x a = + For a given x0, r is a constant for points on the ring.
  • 47.
    R r  x 0 P ∫= Q r dQ V 04πε∫=Q r d 4 1 0πε r Q 04πε = 22 xRr += 22 04 xR Q V + = πε r Q V 04 d d πε = Qd x A Example: Find the an expression electric potential due to a uniformly charged ring of radius R and total charge Q at a point P on the axis of the ring. .)/(2.)(2/1 ).(/ 2/3222/322 2/122 −− − +=+−− +=−= rxkqxxrxkq rxkqdxdvE X
  • 48.
    Example: A discof radius R has a uniform charge per unit area σ. Calculate the electric field at a point P along the central axis of the disc at a distance x0 from its center. P r dQ x x0R The disc is made of concentric rings. The area of a ring at a radius r is 2πrdr, and the charge on each ring is σ(2πrdr). We can use the equation on the previous slide for the electric field due to a ring, replace a by r, and integrate from r=0 to r=R. ( ) 0 ring 3/22 2 0 kx 2 rdr dE . x r σ π = + Caution! I’ve switched the “meaning” of r! ( ) ( ) R 0 x x 03/ 2 3/ 202 2 2 2 disc disc 0 0 kx 2 rdr 2r dr E dE kx x r x r σ π = = = πσ + + ∫ ∫ ∫ ( ) ( ) R1/ 22 2 0 0 0 x 0 1/ 22 2 0 0 0 x r x x E kx 2k 1/ 2 x x R −    +  ÷ = πσ = πσ −  ÷ − +    2 2 0r = x a+ 0x cos r θ= 2 dQ dE=k r θ
  • 49.
    Electric Potential dueto non-uniformly charged disk A disk of radius R has a non-uniform surface charge density σ=Cr where C is constant and r is distance from the center of the disk as shown. Find the potential at P. 22 xr dqk dV e + = dq = σdA = Cr(2πrdr) and ∫ + = R e xr drr kCV 0 22 2 )2( π V= C(2πk) {R(R2 +x2 )1/2 +x2 ln(x/[R+ (R2 +x2 )1/2 [){ Standard integral ‫بدريخه‬ ‫فيلد‬ ‫الكتريك‬
  • 50.
    Electric Potential dueto uniformly charged annulus Calculate the electric potential at point P on the axis of an annulus, which has uniform charge density σ. Pictures from Serway & Beichner drrdAdq xrKdqdE πσσ 2where )(/ 2/322 == += b a b a e xrxxrk r drr xkE     + == ∫ 2/122 3 )(/.2 2 σπ σπ E= 2πσk [ b/(x2 +b2 )1/2 - a/(x2 +a2 )1/2 [
  • 51.
    Example: Calculate theelectric field at a distance x0 from an infinite plane sheet with a uniform charge density σ. Treat the infinite sheet as disc of infinite radius. Let R→∞ and use to get 0 1 k 4 = πε sheet 0 E . 2 σ = ε Interesting...does not depend on distance from the sheet. I’ve been Really Nice and put this on your starting equation sheet. You don’t have to derive it for your homework! S∆ S  d E  n  n  Using gauss law 0 0 /2 /. εσ ε AEA qdAE enc = =∫
  • 52.
    Electric Field Lines Electricfield lines help us visualize the electric field and predict how charged particles would respond the field. Example: electric field lines for isolated +2e and -e charges. +-
  • 53.
  • 54.
    Gauss’ Law Electric Flux Wehave used electric field lines to visualize electric fields and indicate their strength. We are now going to count the number of electric field lines passing through a surface, and use this count to determine the electric field. E
  • 55.
    The electric fluxpassing through a surface is the number of electric field lines that pass through it. Because electric field lines are drawn arbitrarily, we quantify electric flux like this: ΦE=EA, except that… If the surface is tilted, fewer lines cut the surface. E A Later we’ll learn about magnetic flux, which is why I will use the subscript E on electric flux. E θ
  • 56.
    If the electricfield is not uniform, or the surface is not flat… divide the surface into infinitesimal surface elements and add the flux through each… dA E i E i i A 0 i lim E A ∆ → Φ = ×∆∑  E E dAΦ = ×∫  ∆A
  • 57.
    Electric Flux What isthe electric flux of this cylinder? 0 0)1()1( 90cos180cos0cos constant,, 21 321 21321 =Φ +−+=Φ ++=Φ ==Φ+Φ+Φ=Φ=Φ ∑ E E E E EAEA EAEAEA AAE What does this tell us? his tells us that there are NO sources or sinks INSIDE the cylindrical
  • 58.
    If the surfaceis closed (completely encloses a volume)… E …we count* lines going out as positive and lines going in as negative… E E dAΦ = ×∫  Ñ dA a surface integral, therefore a double integral ∫∫
  • 59.
    Question: you gaveme five different equations for electric flux. Which one do I need to use? E E dAΦ = ×∫  Ñ E E dAΦ = ×∫  E E AΦ = ×  E EAcosΦ = θ E EAΦ = Answer: use the simplest (easiest!) one that works. Flat surface, E || A, E constant over surface. Easy! Flat surface, E not || A, E constant over surface. Flat surface, E not || A, E constant over surface. Surface not flat, E not uniform. Avoid, if possible. Closed surface. Most general. Most complex. If the surface is closed, you may be able to “break it up” into simple segments and still use ΦE=E·A for each segment.
  • 60.
    Mathematically*, we expressthe idea two slides back as enclosed E o q E dAΦ = × = ε∫  Ñ Gauss’ Law We will find that Gauss law gives a simple way to calculate electric fields for charge distributions that exhibit a high degree of symmetry… …and save more complex and realistic charge distributions for advanced classes. *“Mathematics is the Queen of the Sciences.”—Karl Gauss
  • 61.
    Gauss’ Law ∫ =• o encq dAE ε Theelectric flux (flow) is in direct proportion to the charge that is enclosed within some type of surface, which we call Gaussian The vacuum permittivity constant is the constant of proportionality in this case as the flow can be interrupted should some type of material come between the flux and the surface area. Gauss’ Law then is derived mathematically using 2 known expressions for flux.
  • 62.
    r < R Therefore,for r < R Case II: r > R Therefore, for r > R, R r 0 0>r < R rkE lrlE /2 /)2( λ ελπ = = L
  • 63.
  • 64.
  • 65.
  • 66.
    Question Use Gauss's Lawto find the electric field everywhere due to a uniformly charged insulator shell, like the one shown below. The shell has a total charge Q, which is uniformly distributed throughout its volume. (c) Use Gauss's Law to find the electric field for radius r < a. (d) Use Gauss's Law to find the electric field for radius a < r < b. (e) Use Gauss's Law to find the electric field for radius r > b. (a) What is the charge on the inner surface of the conductor? (b) What is the charge on the outer surface of the conductor? We need to look at this problem in three parts: one, for when Answer qenc = 0 r Insulator shell-sph
  • 67.
    Here, qenc is Q,so we have Again, since the electric field will be constant at every point on the spherical Gaussian surface, we have For the case where r > R: We construct a spherical Gaussian surface through an outside point r > R, and apply Gauss's Law. In this case, R
  • 68.
    a Q Find the electricfield at a point inside the sphere. Now we select a spherical Gaussian surface with radius r < a. Again the symmetry of the charge distribution allows us to simply evaluate the left side of Gauss’s law just as before.r The charge inside the Gaussian sphere is no longer Q. If we call the Gaussian sphere volume V’ then ( )2 Left side: 4E dA E dA E dA E rπ× = = =∫ ∫ ∫  Ñ Ñ Ñ  ( ) 3 2 0 0 4 4 3 inQ r E r ρπ π ε ε = =   34 Right side: 3 inQ V rρ ρ π′= = ( ) 3 3 32 30 00 4 1 but so 43 43 4 3 e r Q Q Q E r E r k r a ar a ρπ ρ ρ ε πεε π π = = = = = 
  • 69.
    a b -Q +2Q Find the fieldfor r > b From the symmetry of the problem, the field in this region is radial and everywhere perpendicular to the spherical Gaussian surface. Furthermore, the field has the same value at every point on the Gaussian surface so the solution then proceeds exactly as in Ex. 2, but Qin=2Q-Q. ( )2 4E dA E dA E dA E rπ× = = =∫ ∫ ∫  Ñ Ñ Ñ Gauss’s law now gives: ( )2 2 2 0 0 0 0 2 1 4 or 4 in e Q Q Q Q Q Q E r E k r r π ε ε ε πε − = = = = =
  • 70.
    2 3 We found for, and for , e e Q r a E k r k Q r a E r a > = < = a Q Let’s plot this: E ra For spherical those answer For conductoe is smilal
  • 71.
    An insulating sphereof radius a has a uniform charge density ρ and a total positive charge Q. Calculate the electric field outside the sphere. a Since the charge distribution is spherically symmetric we select a spherical Gaussian surface of radius r > a centered on the charged sphere. Since the charged sphere has a positive charge, the field will be directed radially outward. On the Gaussian sphere E is always parallel to dA, and is constant.Q rE dA ( )2 Left side: 4E dA E dA E dA E rπ× = = =∫ ∫ ∫ rr Ñ Ñ Ñ 0 0 Right side: inQ Q ε ε =  ( )2 2 2 0 0 1 4 or 4 e Q Q Q E r E k r r π ε πε = = = 
  • 72.
    A conducting sphericalshell of inner radius a and outer radius b with a net charge -Q is centered on point charge +2Q. Use Gauss’s law to find the electric field everywhere, and to determine the charge distribution on the spherical shell. a b -Q First find the field for 0 < r < a This is the same as Ex. 2 and is the field due to a point charge with charge +2Q. 2 2 e Q E k r = Now find the field for a < r < b The field must be zero inside a conductor in equilibrium. Thus from Gauss’s law Qin is zero. There is a + 2Q from the point charge so we must have Qa = -2Q on the inner surface of the spherical shell. Since the net charge on the shell is -Q we can get the charge on the outer surface from Qnet = Qa + Qb. Qb= Qnet - Qa = -Q - (-2Q) = + Q. +2Q
  • 73.
    Pictures from Serway& Outside the sphere, we have k Q Er= r2 For r > R To obtain potential at B, we use VB= - r  Er dr = - kQ r r2 dr Potential must be continuous at r = R, => potential at surface
  • 74.
    Pictures from Serway& Inside the sphere, we have k Q Er= R3 For r < R To obtain the potential difference at D, we use VD - VC= - r Er dr= - r dr= r R k Q R3 r R k Q 2R3 )R2 – r2 ( Since To obtain the absolute value of the potential at D, we add the potential at C to the potential difference VD - VC: Check V for r = R For r < R
  • 75.
    r< R1 In condectorsphereca And we have two charge E=0 r> R2 22 /21/21 rqKqrqKqF −=+= 2 /12 rqKF = R1< r< R2 2 /1 rKqE =
  • 76.
    Gauss’ Law –How does it work? Step 1 – Is there a source of symmetry? Consider a POSITIVE POINT CHARGE, Q. Yes, it is spherical symmetry! You then draw a shape in such a way as to obey the symmetry and ENCLOSE the charge. In this case, we enclose the charge within a sphere. This surface is called a GAUSSIAN SURFACE. Step 2 – What do you know about the electric field at all points on this surface? It is constant. ∫ = o encq daE ε The “E” is then brought out of the integral.
  • 77.
    Gauss’ Law –How does it work? o encq rE ε π =(4) 2 Step 4 – Identify the charge enclosed? The charge enclosed is Q! Step 3 – Identify the area of the Gaussian surface? In this case, summing each and every dA gives us the surface area of a sphere. oo r Q E Q rE επε π 2 2 4 (4) =→= This is the equation for a POINT CHARGE!
  • 78.
    Strategy for SolvingGauss’ Law Problems • Select a Gaussian surface with symmetry that matches the charge distribution. • Draw the Gaussian surface so that the electric field is either constant or zero at all points on the Gaussian surface. • Evaluate the surface integral (electric flux). • Determine the charge inside the Gaussian surface. • Solve for E. • Use symmetry to determine the direction of E on the Gaussian surface.
  • 79.
    Example: use Gauss’Law to calculate the electric field due to a long line of charge, with linear charge density λ. Example: use Gauss’ Law to calculate the electric field due to an infinite sheet of charge, with surface charge density σ. These are easy using Gauss’ Law (remember what a pain they were in the previous chapter). Study these examples and others in your text! sheet 0 E . 2 σ = ε line 0 E . 2 r λ = πε
  • 80.
    Gauss’ Law andcylindrical symmetry rLA qLQ L Q MacroRECALL cylinder enc π λ λ 2 : = == =→ Consider a line( or rod) of charge that is very long (infinite + + + + + + + + + + + + We can ENCLOSE it within a CYLINDER. Thus our Gaussian surface is a cylinder. o o o enc o enc r E L rLE q rLE q daE επ λ ε λ π ε π ε 2 (2) (2) = = ==∫ This is the same equation we got doing extended charge distributions.
  • 81.
    Gauss’ Law forinsulating sheets and disks A charge is distributed with a uniform charge density over an infinite plane INSULATING thin sheet. Determine E outside the sheet. For an insulating sheet the charge resides INSIDE the sheet. Thus there is an electric field on BOTH sides of the plane. o o oo o enc E A EA A Q Q EA Q EAEA q dAE ε σ ε σ σ εε ε 2 2, 2 = == =→=+ =•∫ This is the same equation we got doing extended charge distributions.
  • 82.
    Gauss’ Law forconducting sheets and disks A charge is distributed with a uniform charge density over an infinite thick conducting sheet. Determine E outside the sheet. + For a thick conducting sheet, the charge exists on the surface only o o o o enc E A EA A Q Q EA q dAE ε σ ε σ σ ε ε = == = =•∫ , + + + + + + E =0
  • 83.
    In summaryWhether you useelectric charge distributions or Gauss’ Law you get the SAME electric field functions for symmetrical situations. ∫ =• =→= o enc oo q dAE r dq dE r Q E ε πεπε 22 44 Function Point, hoop, or Sphere (Volume) Disk or Sheet (AREA) “insulating and thin” Line, rod, or cylinder (LINEAR) Equation 2 4 r Q E oπε = r E oπε λ 2 = o E ε σ 2 = Created byaza d
  • 84.
    The top 5reasons why we make you learn Gauss’ Law: 5. You can solve (high-symmetry) problems with it. 4. It’s good for you. It’s fun! What more can you ask! 3. It’s easy. Smart physicists go for the easy solutions. 2. If I had to learn it, you do too. And the number one reason… …will take a couple of slides to present
  • 85.
    Starting with Gauss’slaw, calculate the electric field due to an isolated point charge q. q E r dA We choose a Gaussian surface that is a sphere of radius r centered on the point charge. I have chosen the charge to be positive so the field is radial outward by symmetry and therefore everywhere perpendicular to the Gaussian surface. E dA E dA× = rr Gauss’s law then gives: 0 0 inQ q E dA E dA ε ε × = = =∫ ∫ rr Ñ Ñ Symmetry tells us that the field is constant on the Gaussian surface. ( )2 2 2 0 0 1 4 so 4 e q q q E dA E dA E r E k r r π ε πε = = = = =∫ ∫Ñ Ñ
  • 86.
    Conductors in Electrostatic Equilibrium Theelectric field is zero everywhere inside the conductor Any net charge resides on the conductor’s surface The electric field just outside a charged conductor is perpendicular to the conductor’s surface By electrostatic equilibrium we mean a situation where there is no net motion of charge within the conductor
  • 87.
    When electric chargesare at rest, the electric field within a conductor is zero.
  • 88.
    The electric fieldis always perpendicular to the surface of a conductor – if it weren’t, the charges would move along the surface.
  • 89.
    Any net chargeon an isolated conductor must reside on its surface and the electric field just outside a charged conductor is perpendicular to its surface (and has magnitude σ/ε0). Use Gauss’s law to show this. For an arbitrarily shaped conductor we can draw a Gaussian surface inside the conductor. Since we have shown that the electric field inside an isolated conductor is zero, the field at every point on the Gaussian surface must be zero. From Gauss’s law we then conclude that the net charge inside the Gaussian surface is zero. Since the surface can be made arbitrarily close to the surface of the conductor, any net charge must reside on the conductor’s surface. 0 inQ E dA ε × =∫ rr Ñ
  • 90.
    We can alsouse Gauss’s law to determine the electric field just outside the surface of a charged conductor. Assume the surface charge density is σ. Since the field inside the conductor is zero there is no flux through the face of the cylinder inside the conductor. If E had a component along the surface of the conductor then the free charges would move under the action of the field creating surface currents. Thus E is perpendicular to the conductor’s surface, and the flux through the cylindrical surface must be zero. Consequently the net flux through the cylinder is EA and Gauss’s law gives: 0 0 0 orin E Q A EA E σ σ ε ε ε Φ = = = =
  • 91.
    Summary Two methods forcalculating electric field Coulomb’s Law Gauss’s Law Gauss’s Law: Easy, elegant method for symmetric charge distributions Coulomb’s Law: Other cases Gauss’s Law and Coulomb’s Law are equivalent for electric fields produced by static charges