5/23/12




                                                                                            How	
  we	
  started	
  
           The	
  Journey	
  of	
  a	
  Two	
  way	
                                      •  District	
  adopted	
  	
  
            Program	
  Implemen4ng	
  	
                                                       –  Response	
  to	
  Interven4on	
  (RTI)	
  	
  
           Response	
  to	
  Interven4on	
                                                     –  Posi4ve	
  Behavioral	
  Interven4ons	
  &	
  Supports	
  (PBIS)	
  
                                                                                               –  Call	
  it-­‐	
  the	
  Academic	
  Achievement	
  Framework	
  (AAF)	
  
                                     Claudia	
  Rinaldi,	
  Ph.D.	
                       •  We	
  started	
  with	
  a	
  primary	
  focus	
  on	
  Reading	
  in	
  
                                     Diana	
  Colon	
                                        the	
  K-­‐3	
  rd	
  grade	
  level	
  
                                                                                               –  We	
  adopted	
  Structures,	
  Rou4nes,	
  &	
  PD	
  that	
  went	
  
                                     May	
  2012	
  
                                                                                                  along	
  with	
  	
  it.	
  
                                                                                               –  We	
  used	
  research	
  based	
  screeners	
  &	
  interven4ons	
  	
  
                                     crinaldi@EDC.org	
  




     We	
  targeted	
  Tier	
  1	
  Core	
  FIRST!
                                                 	
                                                        Instruc4onal	
  Planning	
  
•  Deconstructed	
  the	
  5	
  cri4cal	
  skills	
  of	
  an	
                             •  	
  “Unpacked”	
  what	
  teaching	
  each	
  skill	
  looks	
  like	
  
   effec4ve	
  primary	
  literacy	
  CORE:	
                                                   with	
  a	
  list	
  of	
  ac4vi4es	
  teachers	
  did	
  
    –  	
  alphabe4c	
  principle,	
  phonemic	
  awareness,	
                                  –  	
  During	
  whole	
  group	
  4me	
  	
  
       vocabulary,	
  fluency	
  and	
  comprehension	
                                          –  During	
  small	
  group	
  4me	
  	
  
•  To	
  assess	
  fidelity	
  of	
  CORE	
  implementa4on,	
  all	
                             –  checked	
  to	
  see	
  if	
  students	
  have	
  opportuni4es	
  to	
  
   teachers	
  logged	
  how	
  many	
  minutes	
  they	
                                          apply	
  &	
  prac4ce	
  the	
  skills	
  during	
  independent	
  
   actually	
  spent	
  on	
  each	
  skill	
  for	
  each	
  day	
  of	
  the	
                   work	
  4me	
  	
  
   week	
  	
                                                                               •  Concluded	
  students	
  were	
  ge_ng	
  few	
  to	
  no	
  
    –  determined	
  the	
  averages	
  to	
  iden4fy	
  strengths	
  and	
                    opportuni4es	
  to	
  prac4ce	
  oral	
  fluency	
  beyond	
  
       deficits	
  (phonemic	
  awareness	
  and	
  fluency	
  were	
                            whole	
  and	
  small	
  group	
  4me	
  
       iden4fied	
  as	
  possible	
  courses	
  of	
  study	
  for	
  a	
  CCL)	
  	
  




                                                                                                    Using	
  Data	
  for	
  Instruc4onal	
  
          Result	
  of	
  Ini4al	
  Unpacking!
                                             	
  
                                                                                                      Planning	
  at	
  CORE	
  Tier	
  1	
  
•  We	
  devised	
  a	
  living	
  document	
  Hurley	
                                   •  Compared	
  BOY	
  &	
  MOY	
  data	
  to	
  determine:	
  
   Founda4onal	
  Skills	
  Ac4vity	
  Bank	
  to	
  give	
                                   1.  	
  how	
  many	
  students	
  were	
  making	
  adequate	
  
   teachers	
  an	
  expanding	
  resource	
  with	
  ac4vi4es	
                                  progress	
  with	
  Tier	
  1	
  CORE	
  instruc4on	
  	
  
   to	
  develop	
  each	
  of	
  the	
  5	
  cri4cal	
  literacy	
  skills	
                 2.  how	
  many	
  students	
  needed	
  more	
  intensive	
  
   in	
  whole	
  and	
  small	
  groups	
  and	
  in	
  centers	
  	
                            exposure	
  through	
  Tier	
  2	
  and	
  Tier	
  3	
  interven4ons	
  
                                                                                          •  Iden6fied	
  the	
  cri6cal	
  skills	
  to	
  target	
  in	
  each	
  
                                                                                             grade	
  with	
  interven4ons:	
  
                                           	
                                                1.  K2	
  -­‐	
  phonemic	
  segmenta4on	
  	
  
                                                                                              2.  G1	
  -­‐	
  phonemic	
  segmenta4on	
  &	
  alphabe4c	
  principle	
  
                                                                                              3.  G2-­‐G3	
  –	
  fluency	
  prac4ce	
  in	
  both	
  languages	
  




                                                                                                                                                                                   1
5/23/12




                     Public	
  Data	
  Wall
                                          	
                                             So	
  We	
  Iden4fied	
  Areas	
  of	
  Need…	
  
                                                                                      •  Professional	
  development	
  sessions	
  (4	
  hours	
  
                                                                                          –  Literacy	
  Coach	
  trained	
  teachers	
  and	
  
                                                                                             interven4onists	
  in	
  strategies	
  for	
  teaching	
  
                                                                                             phonemic	
  awareness	
  and	
  fluency	
  and	
  	
  
                                                                                          –  provided	
  materials	
  for	
  interven4ons	
  (fluency	
  
                                                                                             phones,	
  4mers,	
  crag	
  s4cks,	
  ac4vity	
  packets,	
  high	
  
                                                                                             frequency	
  word	
  and	
  phrase	
  lists)	
  	
  
                                                                                          –  Literacy	
  Coach	
  recruited	
  volunteers,	
  paras,	
  
                                                                                             teachers,	
  and	
  other	
  adults	
  to	
  do	
  Tier	
  2	
  
                                                                                             interven4ons	
  (working	
  with	
  a	
  small	
  group	
  of	
  
                                                                                             students	
  on	
  an	
  iden4fied	
  skill	
  2-­‐3	
  4mes	
  a	
  week	
  for	
  
                                                                                             20	
  minutes)	
  




                                                                                            Fluidity	
  of	
  Tiered	
  Interven4on	
  
      ✔Fidelity	
  of	
  Implementa4on	
  
                                      	
  
                                                                                      •  We	
  iden4fy	
  the	
  4er	
  in	
  terms	
  of	
  needs	
  not	
  
•  ✔Fidelity	
  if	
  the	
  process	
  of	
  delivering	
  what	
  was	
                students	
  -­‐-­‐-­‐	
  Luke	
  needs	
  a	
  4er	
  2	
  phonemic	
  
   intended	
  to	
  be	
  delivered	
  in	
  the	
  way	
  of	
                         awareness	
  interven4on	
  vs.	
  Luke	
  is	
  a	
  4er	
  2	
  
   interven4on	
  &	
  progress	
  monitoring	
  tools	
                                 student	
  
    All	
  6-­‐8	
  week	
  interven4ons	
  were	
  put	
  in	
  place	
  with	
  
                                                                                          –  At	
  mid-­‐point	
  of	
  interven4ons,	
  we	
  analyzed	
  
     a	
  protocol	
  for	
  recording	
  frequency	
  of	
  interven4on,	
                  student	
  progress-­‐	
  ac4ons	
  included:	
  
     list	
  of	
  ac4vi4es,	
  and	
  progress	
  monitoring	
  at	
  
                                                                                               •  phased	
  out	
  students	
  who	
  had	
  passed	
  EOY	
  benchmarks	
  
     outset,	
  mid-­‐point,	
  and	
  end	
  of	
  interven4on	
  
                                                                                               •  reconfigured	
  groups	
  where	
  needed	
  to	
  maximize	
  
     progress	
  monitoring	
                                                                     effec4veness	
  (range	
  of	
  skills	
  has	
  to	
  be	
  narrow	
  in	
  order	
  
    All	
  forms	
  were	
  collected	
  &	
  they	
  reported	
  95%	
  of	
                    for	
  all	
  students	
  in	
  interven4on	
  to	
  make	
  progress	
  
     fidelity	
  of	
  implementa4on	
  although	
  it	
  took	
  a	
  week	
                   •  revisited	
  ac4vi4es	
  with	
  knowledge	
  from	
  CCL	
  
     longer	
  than	
  expected	
  (9	
  weeks-­‐	
  18	
  sessions	
  of	
  
     interven4on)	
  




                                                                                             Kindergarten – Fall and Winter 2011-12
    How Can I Read This Literacy Data?
                                                                                                         Spanish Data
  Fall reading data are in Orange, Winter reading data are
   in Green
  All data represent students’ dominant language skills
  There are 3 Tiers to indicate students’ skill levels:
    •  Students in Tier 1 are meeting or exceeding the benchmark                                                                                    Fluidez en la segmentacion
                                                                                         Fluidez en el nombramiento
    •  Students in Tier 2 are below the benchmark                                        de las letras                                              de fonemas
    •  Students in Tier 3 are significantly below the benchmark

  What do we want to see?
    –  Number of students at or above benchmark in Tier 1
       INCREASING from Fall to Winter
    –  Number of students at Tier 2 and Tier 3 needing additional
       support DECREASING from Fall to Winter
                                                                                                                  Fluidez en las palabras sin sentido




                                                                                                                                                                                               2
5/23/12




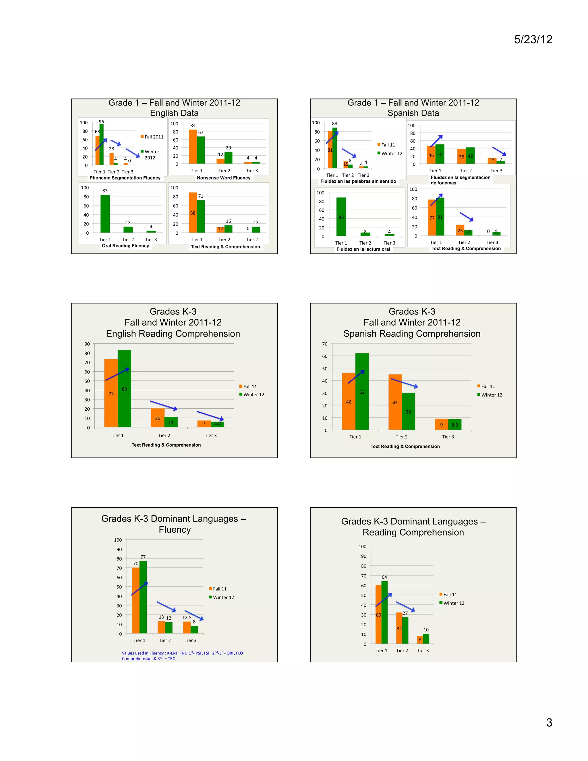
            Grade 1 – Fall and Winter 2011-12                                                                                                                                     Grade 1 – Fall and Winter 2011-12
                      English Data                                                                                                                                                          Spanish Data




     Phoneme Segmentation Fluency                                                                   Nonsense Word Fluency                                                                                            Fluidez en la segmentacion
                                                                                                                                                                      Fluidez en las palabras sin sentido            de fonemas




          Oral Reading Fluency                                                                Text Reading & Comprehension
                                                                                                                                                                             Fluidez en la lectura oral              Text Reading & Comprehension




                      Grades K-3                                                                                                                                                           Grades K-3
               Fall and Winter 2011-12                                                                                                                                              Fall and Winter 2011-12
           English Reading Comprehension                                                                                                                                        Spanish Reading Comprehension
90	
  
80	
  
70	
  
60	
  
50	
  
                        83	
                                                                                                                       Fall	
  11	
  
40	
  
            73	
                                                                                                                                   Winter	
  12	
  
30	
  
20	
  
10	
                                                      20	
  
                                                                       11	
                               7	
        5.8	
  
  0	
  
               Tier	
  1	
                                   Tier	
  2	
                                    Tier	
  3	
  
                                  Text Reading & Comprehension                                                                                                                               Text Reading & Comprehension




          Grades K-3 Dominant Languages –                                                                                                                                      Grades K-3 Dominant Languages –
                      Fluency                                                                                                                                                      Reading Comprehension




                         Values	
  used	
  in	
  Fluency	
  :	
  K-­‐LNF,	
  FNL	
  	
  1st-­‐	
  PSF,	
  FSF	
  	
  2nd-­‐3rd-­‐	
  ORF,	
  FLO	
  
                         Comprehension:	
  K-­‐3rd	
  	
  –	
  TRC	
  




                                                                                                                                                                                                                                                         3
5/23/12




                                                                                                                 What is PALS?
                    What	
  Interven4on	
  work?	
                               •  Combines	
  proven	
  instruc4onal	
  principles	
  &	
  
                                                                                 	
  	
  	
  	
  	
  prac4ces	
  and	
  peer	
  media4on	
  into	
  research-­‐based	
  reading	
  
     •  We	
  adopted	
  Peer	
                                                                    &	
  math	
  ac4vi4es.	
  	
  
        Assisted	
  Learning	
                                                   •  PALS	
  is	
  a	
  version	
  of	
  classwide	
  peer	
  tutoring	
  (CWPT).	
  	
  
        Strategies	
  (PALS)	
                                                   •  Teachers	
  iden4fy	
  which	
  children	
  require	
  help	
  on	
  specific	
  
          –  Visited	
  a	
  class	
  doing	
  it	
  in	
                                          skills	
  and	
  who	
  the	
  most	
  appropriate	
  children	
  are	
  to	
  help	
  
             English	
  	
                                                                         other	
  children	
  learn	
  those	
  skills.	
  	
  
          –  Developed	
  ours	
  in	
                                           •  Teachers	
  pair	
  students	
  in	
  the	
  class,	
  so	
  that	
  partners	
  work	
  
             Spanish	
  following	
  the	
                                                         simultaneously	
  and	
  produc4vely	
  on	
  different	
  ac4vi4es	
  that	
  
             Reading	
  Street	
                                                                   address	
  the	
  problems	
  they	
  are	
  experiencing.	
  
             Curriculum	
                                                        •  Pairs	
  are	
  changed	
  regularly,	
  and	
  over	
  a	
  period	
  of	
  4me	
  as	
  
          –  Trained	
  the	
  students	
                                                          students	
  work	
  on	
  a	
  variety	
  of	
  skills,	
  all	
  students	
  have	
  the	
  
          –  Got	
  success!	
                                                                     opportunity	
  to	
  be	
  "coaches"	
  and	
  "players”	
  and	
  earn	
  points	
  
                                                                                                   working	
  together	
  




                              How	
  Does	
  it	
  Work?	
                                                               OVERVIEW	
  
•  PALS	
  creates	
  pairs	
  in	
  a	
  classroom,	
  each	
                      •  Research-­‐based	
  
   geared	
  to	
  the	
  individual	
  student's	
  needs.	
  	
                   •  PALS	
  Ac6vi6es	
  
•  The	
  strategy	
  also	
  creates	
  opportuni4es	
                                   –  Leser	
  sounds	
  
   for	
  a	
  teacher	
  to	
  circulate	
  in	
  the	
  class,	
                        –  Syllables	
  
   observe	
  students,	
  and	
  provide	
  individual	
                                 –  Words	
  
   remedial	
  lessons.	
                                                                 –  Sentences	
  
•  PALS	
  is	
  designed	
  to	
  complement,	
  not	
                                   –  Paragraph	
  
   replace,	
  exis4ng	
  reading	
  and	
  math	
                                  •  Coaches	
  and	
  Readers	
  
   curriculum.	
  PALS	
  is	
  a	
  25-­‐	
  to	
  35-­‐	
  minute	
  
                                                                                          –  Students	
  take	
  turns	
  being	
  tutors	
  and	
  tutees.	
  
   ac4vity	
  implemented	
  2	
  to	
  4	
  4mes	
  a	
  week	
  
   for	
  about	
  17	
  weeks.	
                                                   •  Incen6ve	
  Program	
  
                                                                                          –  Token	
  economy	
  to	
  keep	
  students	
  mo4vated.	
  
•  Serve	
  as	
  a	
  boost	
  or	
  part	
  of	
  Tier	
  1	
  or	
  can	
  
   be	
  used	
  as	
  an	
  Tier	
  2	
  type	
  interven4on-­‐	
  	
              •  Reading	
  &	
  Math	
  K-­‐12	
  




                                             Student	
  A	
                                                                Student	
  B	
  




                                                                                                                                                                                                        4
5/23/12




   Opportuni4es	
  to	
  Interact	
               Opportuni4es	
  to	
  Interact	
  




Breakdown	
  of	
  Types	
  of	
  Responses	
  
        	
  by	
  Language	
  	
  




                                                                                            5

Dual language presentation mabe 2012

  • 1.
    5/23/12 How  we  started   The  Journey  of  a  Two  way   •  District  adopted     Program  Implemen4ng     –  Response  to  Interven4on  (RTI)     Response  to  Interven4on   –  Posi4ve  Behavioral  Interven4ons  &  Supports  (PBIS)   –  Call  it-­‐  the  Academic  Achievement  Framework  (AAF)   Claudia  Rinaldi,  Ph.D.   •  We  started  with  a  primary  focus  on  Reading  in   Diana  Colon   the  K-­‐3  rd  grade  level   –  We  adopted  Structures,  Rou4nes,  &  PD  that  went   May  2012   along  with    it.   –  We  used  research  based  screeners  &  interven4ons     crinaldi@EDC.org   We  targeted  Tier  1  Core  FIRST!   Instruc4onal  Planning   •  Deconstructed  the  5  cri4cal  skills  of  an   •   “Unpacked”  what  teaching  each  skill  looks  like   effec4ve  primary  literacy  CORE:   with  a  list  of  ac4vi4es  teachers  did   –   alphabe4c  principle,  phonemic  awareness,   –   During  whole  group  4me     vocabulary,  fluency  and  comprehension   –  During  small  group  4me     •  To  assess  fidelity  of  CORE  implementa4on,  all   –  checked  to  see  if  students  have  opportuni4es  to   teachers  logged  how  many  minutes  they   apply  &  prac4ce  the  skills  during  independent   actually  spent  on  each  skill  for  each  day  of  the   work  4me     week     •  Concluded  students  were  ge_ng  few  to  no   –  determined  the  averages  to  iden4fy  strengths  and   opportuni4es  to  prac4ce  oral  fluency  beyond   deficits  (phonemic  awareness  and  fluency  were   whole  and  small  group  4me   iden4fied  as  possible  courses  of  study  for  a  CCL)     Using  Data  for  Instruc4onal   Result  of  Ini4al  Unpacking!   Planning  at  CORE  Tier  1   •  We  devised  a  living  document  Hurley   •  Compared  BOY  &  MOY  data  to  determine:   Founda4onal  Skills  Ac4vity  Bank  to  give   1.   how  many  students  were  making  adequate   teachers  an  expanding  resource  with  ac4vi4es   progress  with  Tier  1  CORE  instruc4on     to  develop  each  of  the  5  cri4cal  literacy  skills   2.  how  many  students  needed  more  intensive   in  whole  and  small  groups  and  in  centers     exposure  through  Tier  2  and  Tier  3  interven4ons   •  Iden6fied  the  cri6cal  skills  to  target  in  each   grade  with  interven4ons:      1.  K2  -­‐  phonemic  segmenta4on     2.  G1  -­‐  phonemic  segmenta4on  &  alphabe4c  principle   3.  G2-­‐G3  –  fluency  prac4ce  in  both  languages   1
  • 2.
    5/23/12 Public  Data  Wall   So  We  Iden4fied  Areas  of  Need…   •  Professional  development  sessions  (4  hours   –  Literacy  Coach  trained  teachers  and   interven4onists  in  strategies  for  teaching   phonemic  awareness  and  fluency  and     –  provided  materials  for  interven4ons  (fluency   phones,  4mers,  crag  s4cks,  ac4vity  packets,  high   frequency  word  and  phrase  lists)     –  Literacy  Coach  recruited  volunteers,  paras,   teachers,  and  other  adults  to  do  Tier  2   interven4ons  (working  with  a  small  group  of   students  on  an  iden4fied  skill  2-­‐3  4mes  a  week  for   20  minutes)   Fluidity  of  Tiered  Interven4on   ✔Fidelity  of  Implementa4on     •  We  iden4fy  the  4er  in  terms  of  needs  not   •  ✔Fidelity  if  the  process  of  delivering  what  was   students  -­‐-­‐-­‐  Luke  needs  a  4er  2  phonemic   intended  to  be  delivered  in  the  way  of   awareness  interven4on  vs.  Luke  is  a  4er  2   interven4on  &  progress  monitoring  tools   student   All  6-­‐8  week  interven4ons  were  put  in  place  with   –  At  mid-­‐point  of  interven4ons,  we  analyzed   a  protocol  for  recording  frequency  of  interven4on,   student  progress-­‐  ac4ons  included:   list  of  ac4vi4es,  and  progress  monitoring  at   •  phased  out  students  who  had  passed  EOY  benchmarks   outset,  mid-­‐point,  and  end  of  interven4on   •  reconfigured  groups  where  needed  to  maximize   progress  monitoring   effec4veness  (range  of  skills  has  to  be  narrow  in  order   All  forms  were  collected  &  they  reported  95%  of   for  all  students  in  interven4on  to  make  progress   fidelity  of  implementa4on  although  it  took  a  week   •  revisited  ac4vi4es  with  knowledge  from  CCL   longer  than  expected  (9  weeks-­‐  18  sessions  of   interven4on)   Kindergarten – Fall and Winter 2011-12 How Can I Read This Literacy Data? Spanish Data   Fall reading data are in Orange, Winter reading data are in Green   All data represent students’ dominant language skills   There are 3 Tiers to indicate students’ skill levels: •  Students in Tier 1 are meeting or exceeding the benchmark Fluidez en la segmentacion Fluidez en el nombramiento •  Students in Tier 2 are below the benchmark de las letras de fonemas •  Students in Tier 3 are significantly below the benchmark   What do we want to see? –  Number of students at or above benchmark in Tier 1 INCREASING from Fall to Winter –  Number of students at Tier 2 and Tier 3 needing additional support DECREASING from Fall to Winter Fluidez en las palabras sin sentido 2
  • 3.
    5/23/12 Grade 1 – Fall and Winter 2011-12 Grade 1 – Fall and Winter 2011-12 English Data Spanish Data Phoneme Segmentation Fluency Nonsense Word Fluency Fluidez en la segmentacion Fluidez en las palabras sin sentido de fonemas Oral Reading Fluency Text Reading & Comprehension Fluidez en la lectura oral Text Reading & Comprehension Grades K-3 Grades K-3 Fall and Winter 2011-12 Fall and Winter 2011-12 English Reading Comprehension Spanish Reading Comprehension 90   80   70   60   50   83   Fall  11   40   73   Winter  12   30   20   10   20   11   7   5.8   0   Tier  1   Tier  2   Tier  3   Text Reading & Comprehension Text Reading & Comprehension Grades K-3 Dominant Languages – Grades K-3 Dominant Languages – Fluency Reading Comprehension Values  used  in  Fluency  :  K-­‐LNF,  FNL    1st-­‐  PSF,  FSF    2nd-­‐3rd-­‐  ORF,  FLO   Comprehension:  K-­‐3rd    –  TRC   3
  • 4.
    5/23/12 What is PALS? What  Interven4on  work?   •  Combines  proven  instruc4onal  principles  &            prac4ces  and  peer  media4on  into  research-­‐based  reading   •  We  adopted  Peer   &  math  ac4vi4es.     Assisted  Learning   •  PALS  is  a  version  of  classwide  peer  tutoring  (CWPT).     Strategies  (PALS)   •  Teachers  iden4fy  which  children  require  help  on  specific   –  Visited  a  class  doing  it  in   skills  and  who  the  most  appropriate  children  are  to  help   English     other  children  learn  those  skills.     –  Developed  ours  in   •  Teachers  pair  students  in  the  class,  so  that  partners  work   Spanish  following  the   simultaneously  and  produc4vely  on  different  ac4vi4es  that   Reading  Street   address  the  problems  they  are  experiencing.   Curriculum   •  Pairs  are  changed  regularly,  and  over  a  period  of  4me  as   –  Trained  the  students   students  work  on  a  variety  of  skills,  all  students  have  the   –  Got  success!   opportunity  to  be  "coaches"  and  "players”  and  earn  points   working  together   How  Does  it  Work?   OVERVIEW   •  PALS  creates  pairs  in  a  classroom,  each   •  Research-­‐based   geared  to  the  individual  student's  needs.     •  PALS  Ac6vi6es   •  The  strategy  also  creates  opportuni4es   –  Leser  sounds   for  a  teacher  to  circulate  in  the  class,   –  Syllables   observe  students,  and  provide  individual   –  Words   remedial  lessons.   –  Sentences   •  PALS  is  designed  to  complement,  not   –  Paragraph   replace,  exis4ng  reading  and  math   •  Coaches  and  Readers   curriculum.  PALS  is  a  25-­‐  to  35-­‐  minute   –  Students  take  turns  being  tutors  and  tutees.   ac4vity  implemented  2  to  4  4mes  a  week   for  about  17  weeks.   •  Incen6ve  Program   –  Token  economy  to  keep  students  mo4vated.   •  Serve  as  a  boost  or  part  of  Tier  1  or  can   be  used  as  an  Tier  2  type  interven4on-­‐     •  Reading  &  Math  K-­‐12   Student  A   Student  B   4
  • 5.
    5/23/12 Opportuni4es  to  Interact   Opportuni4es  to  Interact   Breakdown  of  Types  of  Responses    by  Language     5