Diabetic Kidney Disease
What have you done for me lately
Conflicts of interest
• ZS Pharma honorarium
• Relypsa bought me breakfast
• Astute speaker bureau
• Alexis honorarium
• Astellas travel honorarium
• Davita partner in multiple dialysis units and a vascular access center
Incidence of Renal Replacement Therapy
0
30,000
60,000
90,000
120,000
1996 1997 1998 1999 2000 2001 2002 2003 2004 2005 2006 2007 2008 2009 2010 2011 2012 2013
33,625
32,61431,865
32,62532,539
31,25130,52729,627
28,93628,49928,434
27,34126,309
25,041
24,343
23,069
21,758
20,062 51,39650,54150,32651,23350,72949,31048,61548,96747,16146,40345,50044,58544,129
42,406
40,261
38,316
35,822
33,010
Diabetes Hypertension Glomerulonephritis Cystic kidney disease
Other urologic Other cause Unknown cause Missing disease
114,771
Incidence of Renal Replacement Therapy
0
30,000
60,000
90,000
120,000
1996 1997 1998 1999 2000 2001 2002 2003 2004 2005 2006 2007 2008 2009 2010 2011 2012 2013
33,625
32,61431,865
32,62532,539
31,25130,52729,627
28,93628,49928,434
27,34126,309
25,041
24,343
23,069
21,758
20,062 51,39650,54150,32651,23350,72949,31048,61548,96747,16146,40345,50044,58544,129
42,406
40,261
38,316
35,822
33,010
Diabetes Hypertension Glomerulonephritis Cystic kidney disease
Other urologic Other cause Unknown cause Missing disease
114,771
15%
2%
8%
30%
46%
15%
2%
13%
26%
43%
Incidence of Renal Replacement Therapy
Glycemic control
RAAS inhibition
Blood pressure control
WSU Graduation, 1995
Glycemic control
RAAS inhibition
Blood pressure control
Glycemic control
RAAS inhibition
Blood pressure control
The New England Journal of Medicine
Diabetes Control and Complications Trial
1441 Type 1 diabetics
7 years of follow up
primary outcome was decreased
retinopathy and development of
microalbuminuria
Hgb A1c 7 vs 9
1993
intensive therapy reduced the incidence of microalbuminuria by 34%
intensive therapy conservative therapy
hypoglycemic episodes
requiring assistance
62/100 patient years 19/100 patient years
hypoglycemic coma or
seizure
16/100 patient years 5/100 patient years
hospitalizations for
hypoglycemia
54 times in 40
patients
36 times in 27
patients
fatal MVA 1 (+ 1 passenger) 1
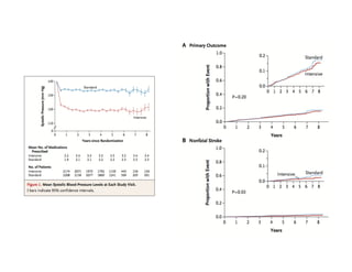
Association Between 7 Years of Intensive Treatment
of Type 1 Diabetes and Long-term Mortality
Writing Group for the DCCT/EDIC Research Group
IMPORTANCE Whether mortality in type 1 diabetes mellitus is affected following intensive
glycemic therapy has not been established.
OBJECTIVE To determine whether mortality differed between the original intensive and
conventional treatment groups in the long-term follow-up of the Diabetes Control and
Complications Trial (DCCT) cohort.
DESIGN, SETTING, AND PARTICIPANTS After the DCCT (1983-1993) ended, participants were
followed up in a multisite (27 US and Canadian academic clinical centers) observational study
(Epidemiology of Diabetes Control and Complications [EDIC]) until December 31, 2012.
Participants were 1441 healthy volunteers with diabetes mellitus who, at baseline, were 13 to
39 years of age with 1 to 15 years of diabetes duration and no or early microvascular
complications, and without hypertension, preexisting cardiovascular disease, or other
potentially life-threatening disease.
INTERVENTIONS AND EXPOSURES During the clinical trial, participants were randomly
assigned to receive intensive therapy (n = 711) aimed at achieving glycemia as close to the
nondiabetic range as safely possible, or conventional therapy (n = 730) with the goal of
avoiding symptomatic hypoglycemia and hyperglycemia. At the end of the DCCT, after a
mean of 6.5 years, intensive therapy was taught and recommended to all participants and
diabetes care was returned to personal physicians.
MAIN OUTCOMES AND MEASURES Total and cause-specific mortality was assessed through
annual contact with family and friends and through records over 27 years’ mean follow-up.
RESULTS Vital status was ascertained for 1429 (99.2%) participants. There were 107 deaths,
64 in the conventional and 43 in the intensive group. The absolute risk difference was −109
per 100 000 patient-years (95% CI, −218 to −1), with lower all-cause mortality risk in the
intensive therapy group (hazard ratio [HR] = 0.67 [95% CI, 0.46-0.99]; P = .045). Primary
causes of death were cardiovascular disease (24 deaths; 22.4%), cancer (21 deaths; 19.6%),
acute diabetes complications (19 deaths; 17.8%), and accidents or suicide (18 deaths; 16.8%).
Higher levels of glycated hemoglobin (HbA1c) were associated with all-cause mortality
(HR = 1.56 [95% CI, 1.35-1.81 per 10% relative increase in HbA1c]; P < .001), as well as the
development of albuminuria (HR = 2.20 [95% CI, 1.46-3.31]; P < .001).
CONCLUSIONS AND RELEVANCE After a mean of 27 years’ follow-up of patients with type 1
diabetes, 6.5 years of initial intensive diabetes therapy was associated with a modestly lower
all-cause mortality rate when compared with conventional therapy.
TRIAL REGISTRATION clinicaltrials.gov Identifiers: NCT00360815 and NCT00360893
JAMA. 2015;313(1):45-53. doi:10.1001/jama.2014.16107
Editorial page 35
Author Video Interview and
JAMA Report Video at
jama.com
Related article page 37
Supplemental content at
jama.com
The Authors/Writing Group for the
DCCT/EDIC Research Group are
listed at the end of this article.
Corresponding Author: Trevor J.
Orchard, MD, University of
Pittsburgh, 3512 Fifth Ave, Room 207,
Pittsburgh, PA 15213 (tjo@pitt.edu).
Research
Original Investigation
4
DCCT long term follow up
27 years
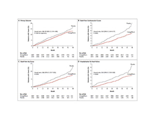
Only 7 deaths due to diabetic kidney disease, 6 with conventional control
Incidence of GFR < 60
De boer IH. Kidney disease and related findings in the diabetes
control and complications trial/epidemiology of diabetes interventions
and complications study. Diabetes Care. 2014;37(1):24-30.
UKPDS showed
modest benefit from
tight glycemic control
in type 2 diabetes
5,100 patients
53,000 patient years
intensive glucose control policy HbA1c 7.0% vs 7.9%
reduces risk of
any diabetes-related endpoints 12% p=0.030
microvascular endpoints 25% p=0.010
myocardial infarction 16% p=0.052
Hgb A1c 7.0 vs 7.9
1998
If 7.0 is good 6.5 or 6.0 must be better
ADVANCE collaborative group
Hgb a1c of 7.3 vs 6.5
n=11,140
median follow-up 5 years
21% reduction in diabetic
nephropathy
2008
“development of macroalbuminuria, doubling of the serum creatinine to at least 2.26
mg/dL, the need for renal-replacement therapy, or death due to renal disease”
development of macroalbuminuria
2.9% vs 4.1% HR 0.7
(CI 0.57-0.85 P<0.001)
doubling of serum creatinine 

1.2% vs 1.1% HR 1.15 

(CI 0.82-1.63 P=0.420
dialysis or death due to renal failure 

0.4% vs 0.6% HR 0.64 

(CI 0.38-1.08 P=0.09
ACCORD study group
Hgb a1c 6.4 vs 7.5%
n=10,251
median follow-up 3.5 years
primary outcome: 

• nonfatal myocardial infarction

• nonfatal stroke

• death from cardiovascular causes
2008
hazard ratio, 0.90; 95% CI 0.78 to 1.04; P=0.16
primary outcome: 

• nonfatal myocardial 

infarction

• nonfatal stroke

• death from cardiovascular 

causes
hazard ratio, 1.22; 95% CI 1.01 to 1.46; P=0.04
hazard ratio, 1.22; 95% CI 1.01 to 1.46; P=0.04
“These findings identify a previously
unrecognized harm of intensive
glucose lowering in high-risk
patients with type 2 diabetes.”
Ismail-beigi F, Craven T, Banerji MA, et al. Effect of intensive treatment of hyperglycaemia on microvascular
outcomes in type 2 diabetes: an analysis of the ACCORD randomised trial. Lancet. 2010;376(9739):419-30.
microvascular outcomes of ACCORD
NO DIFFERENCE POSITIVE REDUCTION
macroalbuminuria

HR = 0.68, CI 0.54-0.86; 

p = 0.001; NNT = 82
renal failure 

(RRT, Cr > 3.3 mg/dl) 

HR 0.95, p = 0.713
microvascular
complications
microalbuminuria

HR = 0.81, CI 0.70-0.94; 

p = 0.005; NNT = 44
The new engl and jour nal of medicine
n engl j med 360;2 nejm.org january 8, 2009 129
original article
Glucose Control and Vascular Complications
in Veterans with Type 2 Diabetes
William Duckworth, M.D., Carlos Abraira, M.D., Thomas Moritz, M.S.,
Domenic Reda, Ph.D., Nicholas Emanuele, M.D., Peter D. Reaven, M.D.,
Franklin J. Zieve, M.D., Ph.D., Jennifer Marks, M.D., Stephen N. Davis, M.D.,
Rodney Hayward, M.D., Stuart R. Warren, J.D., Pharm.D., Steven Goldman, M.D.,
Madeline McCarren, Ph.D., M.P.H., Mary Ellen Vitek, William G. Henderson, Ph.D.,
and Grant D. Huang, M.P.H., Ph.D., for the VADT Investigators*
From the Phoenix Veterans Affairs (VA)
Health Care Center, Phoenix, AZ (W.D.,
P.D.R.); Miami VA Medical Center, Miami
(C.A., J.M.); Hines VA Cooperative Stud-
ies Program Coordinating Center (T.M.,
D.R., M.M., M.E.V., W.G.H.) and Hines
VA Hospital (N.E.) — both in Hines, IL;
Hunter Holmes McGuire VA Medical
Center, Richmond, VA (F.J.Z.); Tennessee
Valley Health Care System, Nashville
(S.N.D.); VA Ann Arbor Healthcare Sys-
tem, Ann Arbor, MI (R.H.); VA Coopera-
tive Studies Program Clinical Research
Pharmacy Coordinating Center, Albuquer-
que, NM (S.R.W.); Southern Arizona VA
Health Care System, Tucson (S.G.); and
the Cooperative Studies Program Central
Office, VA Office of Research and Devel-
opment, Washington, DC (G.D.H.). Ad-
dress reprint requests to Dr. Duckworth
at the Phoenix VA Health Care System,
650 E. Indian School Rd., Phoenix, AZ
85012, or at william.duckworth@va.gov.
*Investigators in the Veterans Affairs Dia-
betes Trial (VADT) are listed in the Ap-
pendix.
This article (10.1056/NEJMoa0808431) was
published on December 17, 2008, and
was last updated on September 2, 2009, at
NEJM.org.
N Engl J Med 2009;360:129-39.
Copyright © 2009 Massachusetts Medical Society.
Abstr act
Background
The effects of intensive glucose control on cardiovascular events in patients with long-
standing type 2 diabetes mellitus remain uncertain.
Methods
We randomly assigned 1791 military veterans (mean age, 60.4 years) who had a sub-
optimal response to therapy for type 2 diabetes to receive either intensive or stan-
dard glucose control. Other cardiovascular risk factors were treated uniformly. The
mean number of years since the diagnosis of diabetes was 11.5, and 40% of the pa-
tients had already had a cardiovascular event. The goal in the intensive-therapy group
was an absolute reduction of 1.5 percentage points in the glycated hemoglobin level,
as compared with the standard-therapy group. The primary outcome was the time
from randomization to the first occurrence of a major cardiovascular event, a com-
posite of myocardial infarction, stroke, death from cardiovascular causes, congestive
heart failure, surgery for vascular disease, inoperable coronary disease, and ampu-
tation for ischemic gangrene.
Results
The median follow-up was 5.6 years. Median glycated hemoglobin levels were 8.4%
in the standard-therapy group and 6.9% in the intensive-therapy group. The primary
outcome occurred in 264 patients in the standard-therapy group and 235 patients
in the intensive-therapy group (hazard ratio in the intensive-therapy group, 0.88; 95%
confidence interval [CI], 0.74 to 1.05; P=0.14). There was no significant difference
between the two groups in any component of the primary outcome or in the rate of
death from any cause (hazard ratio, 1.07; 95% CI, 0.81 to 1.42; P=0.62). No differ-
ences between the two groups were observed for microvascular complications. The
rates of adverse events, predominantly hypoglycemia, were 17.6% in the standard-ther-
apy group and 24.1% in the intensive-therapy group.
Conclusions
Intensive glucose control in patients with poorly controlled type 2 diabetes had
no significant effect on the rates of major cardiovascular events, death, or micro-
vascular complications, with the exception of progression of albuminuria (P=0.01).
(ClinicalTrials.gov number, NCT00032487.)
The New England Journal of Medicine
Downloaded from nejm.org by JOEL TOPF on June 6, 2016. For personal use only. No other uses without permission.
Copyright © 2009 Massachusetts Medical Society. All rights reserved.
Veterans Affairs Diabetes Trial (VADT)
Hgb a1c 6.9 vs 8.4
n=1,791
median follow-up 5.6 years
primary outcome: time to first
• myocardial infarction

• nonfatal stroke

• death from cardiovascular causes
• congestive heart failure
• surgery for vascular disease

• inoperable coronary disease

• ischemic gangrene
2009
No difference in the change in GFR (P=0.36)
No difference in severe renal function (P = 0.35)
Increased albumin excretion in the standard-

therapy group (P = 0.01)
Increased progression to macroalbuminuria 

(P=0.04).
Agrawal L, Azad N, Emanuele NV, et al. Observation on renal outcomes
in the Veterans Affairs Diabetes Trial. Diabetes Care. 2011;34(9):2090-4.
Protection from progression of albuminuria was dependent
on a history of microvascular disease and BMI
intensive glucose control was more likely to protect from progression of
albuminuria if the patient had history of microvascular disease
Intensive glucose control was more likely to protect people
at high BMI.
Agrawal L, Azad N, Emanuele NV, et al. Observation on renal outcomes
in the Veterans Affairs Diabetes Trial. Diabetes Care. 2011;34(9):2090-4.
Protection from progression of albuminuria was dependent
on a history of microvascular disease and BMI
intensive glucose control was more likely to protect from progression of
albuminuria if the patient had history of microvascular disease
Intensive glucose control was more likely to protect people
at high BMI.
Intensive control of blood glucose was asso-
ciated with an attenuation in the decline of
eGFR in patients with higher ACR, becom-
ing significant at ACR 665 mg/g
Glycemic control
RAAS inhibition
Blood pressure control
Glycemic control
RAAS inhibition
Blood pressure control
Some is good…a lot, not so clear
Glycemic control
RAAS inhibition
Blood pressure control
Some is good…a lot, not so clear
UKPDS showed
significant benefit from
reasonable blood
pressure control in
type 2 diabetes
5,100 patients
53,000 patient years
Blood pressure of 144/82 vs 154/87
1998
Achieved blood pressure of 144/82 vs 154/87 reduces
risk of
any diabetes-related endpoint 24% p=0.005
microvascular endpoint 37% p=0.009
stroke 44% p=0.013
Intensive glucose control policy HbA1c 7.0 % vs 7.9 % reduces risk of
any diabetes-related endpoints 12% p=0.030
microvascular endpoints 25% p=0.010
myocardial infarction 16% p=0.052
UKPDS showed
significant benefit from
reasonable blood
pressure control in
type 2 diabetes
5,100 patients
53,000 patient years
Blood pressure of 144/82 vs 154/87
1998
Achieved blood pressure of 144/82 vs 154/87 reduces
risk of
any diabetes-related endpoint 24% p=0.005
microvascular endpoint 37% p=0.009
stroke 44% p=0.013
Intensive glucose control policy HbA1c 7.0 % vs 7.9 % reduces risk of
any diabetes-related endpoints 12% p=0.030
microvascular endpoints 25% p=0.010
myocardial infarction 16% p=0.052
60
80
100
140
160
180
0 2 4 6 8
mmHg
Years from randomisation
baseline
mean during
treatment
Less tight control 160/94 154/87
Tight control 161/94 144/82
difference 1/0 10/5
ADVANCE collaborative group
n=11,140 with type 2 DM
perindopril + indapamide 

or matching placebo
Active treatment BP 136/73

Placebo treatment BP 140/73
median follow-up 4.3 years
Primary endpoints:
death from cardiovascular disease
non-fatal stroke
non-fatal myocardial infarction
new or worsening renal disease
new or worsening diabetic eye disease
2007
Active treatment BP 136/73
Placebo treatment BP 140/73
ACCORD
Type 2 diabetics
Target a SBP < 120 vs. < 140
Mean follow-up: 5 years
primary outcome:

• nonfatal myocardial infarction

• nonfatal stroke

• death from cardiovascular cause
Twice as much hypokalemia
50% more creatinine rising over 1.5 (1.3 in women)
Twice as much progression to CKD stage 4
Glycemic control
RAAS inhibition
Blood pressure control
Glycemic control
RAAS inhibition
Blood pressure control
Some is good…a lot, not so clear
Some is good…a lot, not so clear
Glycemic control
RAAS inhibition
Blood pressure control
Some is good…a lot, not so clear
Some is good…a lot, not so clear
The Collaborative Study Group
Captopril vs Placebo
n=409 type 1 DM
median follow-up 3 years
primary outcome: time to doubling of
serum creatinine
1993
RENAAL Study
Losartan vs Placebo
n=1513 type 2 DM
median follow-up 3.4 years
primary outcome: composite of time
to doubling of serum creatinine,
ESRD or death
2001
IDNT
Irbesartan vs Amlodipine vs Placebo
n=1715 type 2 DM
median follow-up 2.6 years
primary outcome: composite of time
to doubling of serum creatinine,
ESRD or death
2001
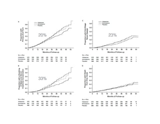
33%
20% 23%
High ! High | High ! Low | Low ! High | Low ! Low
Ibsen H, Et al. Hypertension 2005; 45: 198-202.
Pre-specified subanalysis of the LIFE trial
8,206 men and women ages 55-80 with hypertension and LVH
13% were diabetics
Primary analysis was Atenolol vs Losartan
Composite endpoint (CEP) was CV death, non-fatal stroke, or non-fatal MI
Theory: reduce proteinuria, reduce cardiovascular
events and renal end-points

Reanalysis of the RENAAL trial. 

Instead of the intension to treat analysis, patients were analyzed
by baseline proteinuria or reduction in proteinuria.
Could we get better outcomes by focusing on reducing proteinuria?
ACEi and ARB together
Combination ACEi and ARB
%reductioninalbuminuria
0
10
20
30
40
50
candesartan lisinopril combination
50%
39%
24%
Mogensen CE, Et al. BMJ 2000; 321: 1440-4.
VA NEPHRON-D
Losartan + placebo vs 

Losartan + lisinopril
n=1448 type 2 DM
median follow-up 2.2 years
primary outcome: decline in eGFR of
30 mL/min or 50%, ESRD, death
2013
Stopped early due to excess hyperkalemia and acute kidney injury
Stopped early due to excess hyperkalemia and acute kidney injury
Glycemic control
RAAS inhibition
Blood pressure control
Glycemic control
RAAS inhibition
Blood pressure control
Some is good…a lot, not so clear
Some is good…a lot, not so clear
Glycemic control
RAAS inhibition
Blood pressure control
Some is good…a lot, not so clear
Some is good…a lot, not so clear
Some is good…a lot? Don’t do it
"All things 

are poison and 

nothing is without 

poison; only the dose 

makes a thing not a poison."
Paracelsus, founder of toxicology
Glycemic control
RAAS inhibition
Blood pressure control
Some is good…a lot, not so clear
Some is good…a lot, not so clear
Some is good…a lot, don’t do it
1,000
1,175
1,350
1,525
1,700
1996 1997 1998 1999 2000 2001 2002 2003 2004 2005 2006 2007 2008 2009 2010 2011 2012 2013
Incidence of renal replacement therapy in Michigan
incidenceofESRDper1,000,000
140
154
168
182
196
210
1996 1997 1998 1999 2000 2001 2002 2003 2004 2005 2006 2007 2008 2009 2010 2011 2012 2013
Michigan All
Dialysis due to Diabetic Kidney Disease
incidenceofESRDper1,000,000
140
154
168
182
196
210
1996 1997 1998 1999 2000 2001 2002 2003 2004 2005 2006 2007 2008 2009 2010 2011 2012 2013
Michigan All
Dialysis due to Diabetic Kidney Disease
Glycemic control
RAAS inhibition
Blood pressure control
Some is good…a lot, not so clear
Some is good…a lot, not so clear
Some is good…a lot, don’t do it
EMPA-REG
Empagliflozin vs placebo
n=7.020 type 2 DM
median follow-up 3.1 years
primary outcome composite of:
• death from cardiovascular causes
• nonfatal myocardial infarction
• nonfatal stroke
2015
40
41
42
43
44
45
46
WEEKS
0 12 24 52
Stolen without permission from UKidney.com
Stolen without permission from UKidney.com
Na+
140 mEq/L Na+
4 mEq/L
3456 mmol/day 50-100 mmol/day
Glucose
Phosphorus
Bicarbonate
Amino acids
Na+
140 mEq/L Na+
4 mEq/L
Phosphate
amino acids
glucose
H+
3456 mmol/day 50-100 mmol/day
Glucose
Phosphorus
Bicarbonate
Amino acids
Na+
140 mEq/L Na+
4 mEq/L
Phosphate
amino acids
glucose
H+
3456 mmol/day 50-100 mmol/day
Glucose
Phosphorus
Bicarbonate
Amino acids
Na+
140 mEq/L Na+
4 mEq/L
Phosphate
amino acids
glucose
H+
3456 mmol/day 50-100 mmol/day
Glucose
Phosphorus
Bicarbonate
Amino acids
Na+
140 mEq/L Na+
4 mEq/L
Phosphate
amino acids
glucose
H+
3456 mmol/day 50-100 mmol/day
Glucose
Phosphorus
Bicarbonate
Amino acids
Hyperglycemia
Glucose
Na+
140 mEq/L Na+
4 mEq/L
Phosphate
amino acids
glucose
H+
3456 mmol/day 50-100 mmol/day
Glucose
Phosphorus
Bicarbonate
Amino acids
Hyperglycemia
Glucose
glucose
Na+
140 mEq/L Na+
4 mEq/L
Phosphate
amino acids
glucose
H+
3456 mmol/day 50-100 mmol/day
Glucose
Phosphorus
Bicarbonate
Amino acids
Hyperglycemia
Glucose
Na+
140 mEq/L Na+
4 mEq/L
Phosphate
amino acids
glucose
H+
3456 mmol/day 50-100 mmol/day
Glucose
Phosphorus
Bicarbonate
Amino acids
Fanconi syndrome
Na+
140 mEq/L Na+
4 mEq/L
Phosphate
amino acids
glucose
H+
3456 mmol/day 50-100 mmol/day
Glucose
Phosphorus
Bicarbonate
Amino acids
Fanconi syndrome
Na+
140 mEq/L Na+
4 mEq/L
Phosphate
amino acids
glucose
H+
3456 mmol/day 50-100 mmol/day
SGLT2 inhibitors
Glucose
Phosphorus
Bicarbonate
Amino acids
Na+
140 mEq/L Na+
4 mEq/L
Phosphate
amino acids
glucose
H+
3456 mmol/day 50-100 mmol/day
SGLT2 inhibitors
Glucose
Phosphorus
Bicarbonate
Amino acids
Na+
140 mEq/L Na+
4 mEq/L
Phosphate
amino acids
glucose
H+
3456 mmol/day 50-100 mmol/day
SGLT2 inhibitors
Glucose
Phosphorus
Bicarbonate
Amino acids
glucose
Na+
140 mEq/L Na+
4 mEq/L
Phosphate
amino acids
glucose
H+
3456 mmol/day 50-100 mmol/day
SGLT2 inhibitors
Glucose
less glucose
Phosphorus
Bicarbonate
Amino acids
glucose
Na+
140 mEq/L Na+
4 mEq/L
Phosphate
amino acids
glucose
H+
3456 mmol/day 50-100 mmol/day
SGLT2 inhibitors
Glucose
less glucose
Phosphorus
Bicarbonate
Amino acids
glucose
Na+
140 mEq/L Na+
4 mEq/L
Phosphate
amino acids
glucose
H+
3456 mmol/day 50-100 mmol/day
SGLT2 inhibitors
Glucose
less glucose
Phosphorus
Bicarbonate
Amino acids
glucose
sodium
Increase distal delivery of sodium
Increase distal delivery of sodium
Triggers TG feedback which acts to
decrease GFR
Increase distal delivery of sodium
Triggers TG feedback which acts to
decrease GFR
Decreased GFR happens by decreasing
efferent arteriolar tone, lowering
glomerular pressure.
Increase distal delivery of sodium
Triggers TG feedback which acts to
decrease GFR
Decreased GFR happens by decreasing
efferent arteriolar tone, lowering
glomerular pressure.
This is the same way ACEi and ARB
provide renal protection.
Glycemic control
RAAS inhibition
Blood pressure control
Some is good…a lot, not so clear
Some is good…a lot, not so clear
Some is good…a lot, don’t do it
Seems to be working
SGLT2 inhibitors are a possible therapeutic option

Diabetic kidney disease

  • 1.
    Diabetic Kidney Disease Whathave you done for me lately
  • 2.
    Conflicts of interest •ZS Pharma honorarium • Relypsa bought me breakfast • Astute speaker bureau • Alexis honorarium • Astellas travel honorarium • Davita partner in multiple dialysis units and a vascular access center
  • 3.
    Incidence of RenalReplacement Therapy
  • 4.
    0 30,000 60,000 90,000 120,000 1996 1997 19981999 2000 2001 2002 2003 2004 2005 2006 2007 2008 2009 2010 2011 2012 2013 33,625 32,61431,865 32,62532,539 31,25130,52729,627 28,93628,49928,434 27,34126,309 25,041 24,343 23,069 21,758 20,062 51,39650,54150,32651,23350,72949,31048,61548,96747,16146,40345,50044,58544,129 42,406 40,261 38,316 35,822 33,010 Diabetes Hypertension Glomerulonephritis Cystic kidney disease Other urologic Other cause Unknown cause Missing disease 114,771 Incidence of Renal Replacement Therapy
  • 5.
    0 30,000 60,000 90,000 120,000 1996 1997 19981999 2000 2001 2002 2003 2004 2005 2006 2007 2008 2009 2010 2011 2012 2013 33,625 32,61431,865 32,62532,539 31,25130,52729,627 28,93628,49928,434 27,34126,309 25,041 24,343 23,069 21,758 20,062 51,39650,54150,32651,23350,72949,31048,61548,96747,16146,40345,50044,58544,129 42,406 40,261 38,316 35,822 33,010 Diabetes Hypertension Glomerulonephritis Cystic kidney disease Other urologic Other cause Unknown cause Missing disease 114,771 15% 2% 8% 30% 46% 15% 2% 13% 26% 43% Incidence of Renal Replacement Therapy
  • 6.
  • 8.
  • 10.
  • 11.
  • 12.
    The New EnglandJournal of Medicine Diabetes Control and Complications Trial 1441 Type 1 diabetics 7 years of follow up primary outcome was decreased retinopathy and development of microalbuminuria Hgb A1c 7 vs 9 1993
  • 13.
    intensive therapy reducedthe incidence of microalbuminuria by 34%
  • 14.
    intensive therapy conservativetherapy hypoglycemic episodes requiring assistance 62/100 patient years 19/100 patient years hypoglycemic coma or seizure 16/100 patient years 5/100 patient years hospitalizations for hypoglycemia 54 times in 40 patients 36 times in 27 patients fatal MVA 1 (+ 1 passenger) 1
  • 15.
    Association Between 7Years of Intensive Treatment of Type 1 Diabetes and Long-term Mortality Writing Group for the DCCT/EDIC Research Group IMPORTANCE Whether mortality in type 1 diabetes mellitus is affected following intensive glycemic therapy has not been established. OBJECTIVE To determine whether mortality differed between the original intensive and conventional treatment groups in the long-term follow-up of the Diabetes Control and Complications Trial (DCCT) cohort. DESIGN, SETTING, AND PARTICIPANTS After the DCCT (1983-1993) ended, participants were followed up in a multisite (27 US and Canadian academic clinical centers) observational study (Epidemiology of Diabetes Control and Complications [EDIC]) until December 31, 2012. Participants were 1441 healthy volunteers with diabetes mellitus who, at baseline, were 13 to 39 years of age with 1 to 15 years of diabetes duration and no or early microvascular complications, and without hypertension, preexisting cardiovascular disease, or other potentially life-threatening disease. INTERVENTIONS AND EXPOSURES During the clinical trial, participants were randomly assigned to receive intensive therapy (n = 711) aimed at achieving glycemia as close to the nondiabetic range as safely possible, or conventional therapy (n = 730) with the goal of avoiding symptomatic hypoglycemia and hyperglycemia. At the end of the DCCT, after a mean of 6.5 years, intensive therapy was taught and recommended to all participants and diabetes care was returned to personal physicians. MAIN OUTCOMES AND MEASURES Total and cause-specific mortality was assessed through annual contact with family and friends and through records over 27 years’ mean follow-up. RESULTS Vital status was ascertained for 1429 (99.2%) participants. There were 107 deaths, 64 in the conventional and 43 in the intensive group. The absolute risk difference was −109 per 100 000 patient-years (95% CI, −218 to −1), with lower all-cause mortality risk in the intensive therapy group (hazard ratio [HR] = 0.67 [95% CI, 0.46-0.99]; P = .045). Primary causes of death were cardiovascular disease (24 deaths; 22.4%), cancer (21 deaths; 19.6%), acute diabetes complications (19 deaths; 17.8%), and accidents or suicide (18 deaths; 16.8%). Higher levels of glycated hemoglobin (HbA1c) were associated with all-cause mortality (HR = 1.56 [95% CI, 1.35-1.81 per 10% relative increase in HbA1c]; P < .001), as well as the development of albuminuria (HR = 2.20 [95% CI, 1.46-3.31]; P < .001). CONCLUSIONS AND RELEVANCE After a mean of 27 years’ follow-up of patients with type 1 diabetes, 6.5 years of initial intensive diabetes therapy was associated with a modestly lower all-cause mortality rate when compared with conventional therapy. TRIAL REGISTRATION clinicaltrials.gov Identifiers: NCT00360815 and NCT00360893 JAMA. 2015;313(1):45-53. doi:10.1001/jama.2014.16107 Editorial page 35 Author Video Interview and JAMA Report Video at jama.com Related article page 37 Supplemental content at jama.com The Authors/Writing Group for the DCCT/EDIC Research Group are listed at the end of this article. Corresponding Author: Trevor J. Orchard, MD, University of Pittsburgh, 3512 Fifth Ave, Room 207, Pittsburgh, PA 15213 (tjo@pitt.edu). Research Original Investigation 4 DCCT long term follow up 27 years
  • 16.
    Only 7 deathsdue to diabetic kidney disease, 6 with conventional control
  • 17.
    Incidence of GFR< 60 De boer IH. Kidney disease and related findings in the diabetes control and complications trial/epidemiology of diabetes interventions and complications study. Diabetes Care. 2014;37(1):24-30.
  • 18.
    UKPDS showed modest benefitfrom tight glycemic control in type 2 diabetes 5,100 patients 53,000 patient years intensive glucose control policy HbA1c 7.0% vs 7.9% reduces risk of any diabetes-related endpoints 12% p=0.030 microvascular endpoints 25% p=0.010 myocardial infarction 16% p=0.052 Hgb A1c 7.0 vs 7.9 1998
  • 25.
    If 7.0 isgood 6.5 or 6.0 must be better
  • 26.
    ADVANCE collaborative group Hgba1c of 7.3 vs 6.5 n=11,140 median follow-up 5 years 21% reduction in diabetic nephropathy 2008
  • 32.
    “development of macroalbuminuria,doubling of the serum creatinine to at least 2.26 mg/dL, the need for renal-replacement therapy, or death due to renal disease”
  • 33.
    development of macroalbuminuria 2.9%vs 4.1% HR 0.7 (CI 0.57-0.85 P<0.001) doubling of serum creatinine 
 1.2% vs 1.1% HR 1.15 
 (CI 0.82-1.63 P=0.420 dialysis or death due to renal failure 
 0.4% vs 0.6% HR 0.64 
 (CI 0.38-1.08 P=0.09
  • 34.
    ACCORD study group Hgba1c 6.4 vs 7.5% n=10,251 median follow-up 3.5 years primary outcome: 
 • nonfatal myocardial infarction
 • nonfatal stroke
 • death from cardiovascular causes 2008
  • 35.
    hazard ratio, 0.90;95% CI 0.78 to 1.04; P=0.16 primary outcome: 
 • nonfatal myocardial 
 infarction
 • nonfatal stroke
 • death from cardiovascular 
 causes
  • 36.
    hazard ratio, 1.22;95% CI 1.01 to 1.46; P=0.04
  • 37.
    hazard ratio, 1.22;95% CI 1.01 to 1.46; P=0.04 “These findings identify a previously unrecognized harm of intensive glucose lowering in high-risk patients with type 2 diabetes.”
  • 38.
    Ismail-beigi F, CravenT, Banerji MA, et al. Effect of intensive treatment of hyperglycaemia on microvascular outcomes in type 2 diabetes: an analysis of the ACCORD randomised trial. Lancet. 2010;376(9739):419-30. microvascular outcomes of ACCORD NO DIFFERENCE POSITIVE REDUCTION macroalbuminuria
 HR = 0.68, CI 0.54-0.86; 
 p = 0.001; NNT = 82 renal failure 
 (RRT, Cr > 3.3 mg/dl) 
 HR 0.95, p = 0.713 microvascular complications microalbuminuria
 HR = 0.81, CI 0.70-0.94; 
 p = 0.005; NNT = 44
  • 39.
    The new england jour nal of medicine n engl j med 360;2 nejm.org january 8, 2009 129 original article Glucose Control and Vascular Complications in Veterans with Type 2 Diabetes William Duckworth, M.D., Carlos Abraira, M.D., Thomas Moritz, M.S., Domenic Reda, Ph.D., Nicholas Emanuele, M.D., Peter D. Reaven, M.D., Franklin J. Zieve, M.D., Ph.D., Jennifer Marks, M.D., Stephen N. Davis, M.D., Rodney Hayward, M.D., Stuart R. Warren, J.D., Pharm.D., Steven Goldman, M.D., Madeline McCarren, Ph.D., M.P.H., Mary Ellen Vitek, William G. Henderson, Ph.D., and Grant D. Huang, M.P.H., Ph.D., for the VADT Investigators* From the Phoenix Veterans Affairs (VA) Health Care Center, Phoenix, AZ (W.D., P.D.R.); Miami VA Medical Center, Miami (C.A., J.M.); Hines VA Cooperative Stud- ies Program Coordinating Center (T.M., D.R., M.M., M.E.V., W.G.H.) and Hines VA Hospital (N.E.) — both in Hines, IL; Hunter Holmes McGuire VA Medical Center, Richmond, VA (F.J.Z.); Tennessee Valley Health Care System, Nashville (S.N.D.); VA Ann Arbor Healthcare Sys- tem, Ann Arbor, MI (R.H.); VA Coopera- tive Studies Program Clinical Research Pharmacy Coordinating Center, Albuquer- que, NM (S.R.W.); Southern Arizona VA Health Care System, Tucson (S.G.); and the Cooperative Studies Program Central Office, VA Office of Research and Devel- opment, Washington, DC (G.D.H.). Ad- dress reprint requests to Dr. Duckworth at the Phoenix VA Health Care System, 650 E. Indian School Rd., Phoenix, AZ 85012, or at william.duckworth@va.gov. *Investigators in the Veterans Affairs Dia- betes Trial (VADT) are listed in the Ap- pendix. This article (10.1056/NEJMoa0808431) was published on December 17, 2008, and was last updated on September 2, 2009, at NEJM.org. N Engl J Med 2009;360:129-39. Copyright © 2009 Massachusetts Medical Society. Abstr act Background The effects of intensive glucose control on cardiovascular events in patients with long- standing type 2 diabetes mellitus remain uncertain. Methods We randomly assigned 1791 military veterans (mean age, 60.4 years) who had a sub- optimal response to therapy for type 2 diabetes to receive either intensive or stan- dard glucose control. Other cardiovascular risk factors were treated uniformly. The mean number of years since the diagnosis of diabetes was 11.5, and 40% of the pa- tients had already had a cardiovascular event. The goal in the intensive-therapy group was an absolute reduction of 1.5 percentage points in the glycated hemoglobin level, as compared with the standard-therapy group. The primary outcome was the time from randomization to the first occurrence of a major cardiovascular event, a com- posite of myocardial infarction, stroke, death from cardiovascular causes, congestive heart failure, surgery for vascular disease, inoperable coronary disease, and ampu- tation for ischemic gangrene. Results The median follow-up was 5.6 years. Median glycated hemoglobin levels were 8.4% in the standard-therapy group and 6.9% in the intensive-therapy group. The primary outcome occurred in 264 patients in the standard-therapy group and 235 patients in the intensive-therapy group (hazard ratio in the intensive-therapy group, 0.88; 95% confidence interval [CI], 0.74 to 1.05; P=0.14). There was no significant difference between the two groups in any component of the primary outcome or in the rate of death from any cause (hazard ratio, 1.07; 95% CI, 0.81 to 1.42; P=0.62). No differ- ences between the two groups were observed for microvascular complications. The rates of adverse events, predominantly hypoglycemia, were 17.6% in the standard-ther- apy group and 24.1% in the intensive-therapy group. Conclusions Intensive glucose control in patients with poorly controlled type 2 diabetes had no significant effect on the rates of major cardiovascular events, death, or micro- vascular complications, with the exception of progression of albuminuria (P=0.01). (ClinicalTrials.gov number, NCT00032487.) The New England Journal of Medicine Downloaded from nejm.org by JOEL TOPF on June 6, 2016. For personal use only. No other uses without permission. Copyright © 2009 Massachusetts Medical Society. All rights reserved. Veterans Affairs Diabetes Trial (VADT) Hgb a1c 6.9 vs 8.4 n=1,791 median follow-up 5.6 years primary outcome: time to first • myocardial infarction
 • nonfatal stroke
 • death from cardiovascular causes • congestive heart failure • surgery for vascular disease
 • inoperable coronary disease
 • ischemic gangrene 2009
  • 40.
    No difference inthe change in GFR (P=0.36) No difference in severe renal function (P = 0.35) Increased albumin excretion in the standard-
 therapy group (P = 0.01) Increased progression to macroalbuminuria 
 (P=0.04).
  • 41.
    Agrawal L, AzadN, Emanuele NV, et al. Observation on renal outcomes in the Veterans Affairs Diabetes Trial. Diabetes Care. 2011;34(9):2090-4. Protection from progression of albuminuria was dependent on a history of microvascular disease and BMI intensive glucose control was more likely to protect from progression of albuminuria if the patient had history of microvascular disease Intensive glucose control was more likely to protect people at high BMI.
  • 42.
    Agrawal L, AzadN, Emanuele NV, et al. Observation on renal outcomes in the Veterans Affairs Diabetes Trial. Diabetes Care. 2011;34(9):2090-4. Protection from progression of albuminuria was dependent on a history of microvascular disease and BMI intensive glucose control was more likely to protect from progression of albuminuria if the patient had history of microvascular disease Intensive glucose control was more likely to protect people at high BMI. Intensive control of blood glucose was asso- ciated with an attenuation in the decline of eGFR in patients with higher ACR, becom- ing significant at ACR 665 mg/g
  • 43.
  • 44.
    Glycemic control RAAS inhibition Bloodpressure control Some is good…a lot, not so clear
  • 45.
    Glycemic control RAAS inhibition Bloodpressure control Some is good…a lot, not so clear
  • 46.
    UKPDS showed significant benefitfrom reasonable blood pressure control in type 2 diabetes 5,100 patients 53,000 patient years Blood pressure of 144/82 vs 154/87 1998 Achieved blood pressure of 144/82 vs 154/87 reduces risk of any diabetes-related endpoint 24% p=0.005 microvascular endpoint 37% p=0.009 stroke 44% p=0.013 Intensive glucose control policy HbA1c 7.0 % vs 7.9 % reduces risk of any diabetes-related endpoints 12% p=0.030 microvascular endpoints 25% p=0.010 myocardial infarction 16% p=0.052
  • 47.
    UKPDS showed significant benefitfrom reasonable blood pressure control in type 2 diabetes 5,100 patients 53,000 patient years Blood pressure of 144/82 vs 154/87 1998 Achieved blood pressure of 144/82 vs 154/87 reduces risk of any diabetes-related endpoint 24% p=0.005 microvascular endpoint 37% p=0.009 stroke 44% p=0.013 Intensive glucose control policy HbA1c 7.0 % vs 7.9 % reduces risk of any diabetes-related endpoints 12% p=0.030 microvascular endpoints 25% p=0.010 myocardial infarction 16% p=0.052
  • 48.
    60 80 100 140 160 180 0 2 46 8 mmHg Years from randomisation baseline mean during treatment Less tight control 160/94 154/87 Tight control 161/94 144/82 difference 1/0 10/5
  • 50.
    ADVANCE collaborative group n=11,140with type 2 DM perindopril + indapamide 
 or matching placebo Active treatment BP 136/73
 Placebo treatment BP 140/73 median follow-up 4.3 years Primary endpoints: death from cardiovascular disease non-fatal stroke non-fatal myocardial infarction new or worsening renal disease new or worsening diabetic eye disease 2007
  • 51.
    Active treatment BP136/73 Placebo treatment BP 140/73
  • 56.
    ACCORD Type 2 diabetics Targeta SBP < 120 vs. < 140 Mean follow-up: 5 years primary outcome:
 • nonfatal myocardial infarction
 • nonfatal stroke
 • death from cardiovascular cause
  • 58.
    Twice as muchhypokalemia 50% more creatinine rising over 1.5 (1.3 in women) Twice as much progression to CKD stage 4
  • 59.
  • 60.
    Glycemic control RAAS inhibition Bloodpressure control Some is good…a lot, not so clear Some is good…a lot, not so clear
  • 61.
    Glycemic control RAAS inhibition Bloodpressure control Some is good…a lot, not so clear Some is good…a lot, not so clear
  • 62.
    The Collaborative StudyGroup Captopril vs Placebo n=409 type 1 DM median follow-up 3 years primary outcome: time to doubling of serum creatinine 1993
  • 64.
    RENAAL Study Losartan vsPlacebo n=1513 type 2 DM median follow-up 3.4 years primary outcome: composite of time to doubling of serum creatinine, ESRD or death 2001
  • 66.
    IDNT Irbesartan vs Amlodipinevs Placebo n=1715 type 2 DM median follow-up 2.6 years primary outcome: composite of time to doubling of serum creatinine, ESRD or death 2001
  • 67.
  • 68.
    High ! High| High ! Low | Low ! High | Low ! Low Ibsen H, Et al. Hypertension 2005; 45: 198-202. Pre-specified subanalysis of the LIFE trial 8,206 men and women ages 55-80 with hypertension and LVH 13% were diabetics Primary analysis was Atenolol vs Losartan Composite endpoint (CEP) was CV death, non-fatal stroke, or non-fatal MI
  • 69.
    Theory: reduce proteinuria,reduce cardiovascular events and renal end-points
 Reanalysis of the RENAAL trial. 
 Instead of the intension to treat analysis, patients were analyzed by baseline proteinuria or reduction in proteinuria.
  • 70.
    Could we getbetter outcomes by focusing on reducing proteinuria? ACEi and ARB together
  • 71.
    Combination ACEi andARB %reductioninalbuminuria 0 10 20 30 40 50 candesartan lisinopril combination 50% 39% 24% Mogensen CE, Et al. BMJ 2000; 321: 1440-4.
  • 72.
    VA NEPHRON-D Losartan +placebo vs 
 Losartan + lisinopril n=1448 type 2 DM median follow-up 2.2 years primary outcome: decline in eGFR of 30 mL/min or 50%, ESRD, death 2013
  • 73.
    Stopped early dueto excess hyperkalemia and acute kidney injury
  • 74.
    Stopped early dueto excess hyperkalemia and acute kidney injury
  • 75.
  • 76.
    Glycemic control RAAS inhibition Bloodpressure control Some is good…a lot, not so clear Some is good…a lot, not so clear
  • 77.
    Glycemic control RAAS inhibition Bloodpressure control Some is good…a lot, not so clear Some is good…a lot, not so clear Some is good…a lot? Don’t do it
  • 78.
    "All things 
 arepoison and 
 nothing is without 
 poison; only the dose 
 makes a thing not a poison." Paracelsus, founder of toxicology
  • 79.
    Glycemic control RAAS inhibition Bloodpressure control Some is good…a lot, not so clear Some is good…a lot, not so clear Some is good…a lot, don’t do it
  • 80.
    1,000 1,175 1,350 1,525 1,700 1996 1997 19981999 2000 2001 2002 2003 2004 2005 2006 2007 2008 2009 2010 2011 2012 2013 Incidence of renal replacement therapy in Michigan
  • 81.
    incidenceofESRDper1,000,000 140 154 168 182 196 210 1996 1997 19981999 2000 2001 2002 2003 2004 2005 2006 2007 2008 2009 2010 2011 2012 2013 Michigan All Dialysis due to Diabetic Kidney Disease
  • 82.
    incidenceofESRDper1,000,000 140 154 168 182 196 210 1996 1997 19981999 2000 2001 2002 2003 2004 2005 2006 2007 2008 2009 2010 2011 2012 2013 Michigan All Dialysis due to Diabetic Kidney Disease Glycemic control RAAS inhibition Blood pressure control Some is good…a lot, not so clear Some is good…a lot, not so clear Some is good…a lot, don’t do it
  • 83.
    EMPA-REG Empagliflozin vs placebo n=7.020type 2 DM median follow-up 3.1 years primary outcome composite of: • death from cardiovascular causes • nonfatal myocardial infarction • nonfatal stroke 2015
  • 86.
  • 87.
    Stolen without permissionfrom UKidney.com
  • 88.
    Stolen without permissionfrom UKidney.com
  • 89.
    Na+ 140 mEq/L Na+ 4mEq/L 3456 mmol/day 50-100 mmol/day Glucose Phosphorus Bicarbonate Amino acids
  • 90.
    Na+ 140 mEq/L Na+ 4mEq/L Phosphate amino acids glucose H+ 3456 mmol/day 50-100 mmol/day Glucose Phosphorus Bicarbonate Amino acids
  • 91.
    Na+ 140 mEq/L Na+ 4mEq/L Phosphate amino acids glucose H+ 3456 mmol/day 50-100 mmol/day Glucose Phosphorus Bicarbonate Amino acids
  • 92.
    Na+ 140 mEq/L Na+ 4mEq/L Phosphate amino acids glucose H+ 3456 mmol/day 50-100 mmol/day Glucose Phosphorus Bicarbonate Amino acids
  • 93.
    Na+ 140 mEq/L Na+ 4mEq/L Phosphate amino acids glucose H+ 3456 mmol/day 50-100 mmol/day Glucose Phosphorus Bicarbonate Amino acids Hyperglycemia Glucose
  • 94.
    Na+ 140 mEq/L Na+ 4mEq/L Phosphate amino acids glucose H+ 3456 mmol/day 50-100 mmol/day Glucose Phosphorus Bicarbonate Amino acids Hyperglycemia Glucose
  • 95.
    glucose Na+ 140 mEq/L Na+ 4mEq/L Phosphate amino acids glucose H+ 3456 mmol/day 50-100 mmol/day Glucose Phosphorus Bicarbonate Amino acids Hyperglycemia Glucose
  • 96.
    Na+ 140 mEq/L Na+ 4mEq/L Phosphate amino acids glucose H+ 3456 mmol/day 50-100 mmol/day Glucose Phosphorus Bicarbonate Amino acids Fanconi syndrome
  • 97.
    Na+ 140 mEq/L Na+ 4mEq/L Phosphate amino acids glucose H+ 3456 mmol/day 50-100 mmol/day Glucose Phosphorus Bicarbonate Amino acids Fanconi syndrome
  • 98.
    Na+ 140 mEq/L Na+ 4mEq/L Phosphate amino acids glucose H+ 3456 mmol/day 50-100 mmol/day SGLT2 inhibitors Glucose Phosphorus Bicarbonate Amino acids
  • 99.
    Na+ 140 mEq/L Na+ 4mEq/L Phosphate amino acids glucose H+ 3456 mmol/day 50-100 mmol/day SGLT2 inhibitors Glucose Phosphorus Bicarbonate Amino acids
  • 100.
    Na+ 140 mEq/L Na+ 4mEq/L Phosphate amino acids glucose H+ 3456 mmol/day 50-100 mmol/day SGLT2 inhibitors Glucose Phosphorus Bicarbonate Amino acids glucose
  • 101.
    Na+ 140 mEq/L Na+ 4mEq/L Phosphate amino acids glucose H+ 3456 mmol/day 50-100 mmol/day SGLT2 inhibitors Glucose less glucose Phosphorus Bicarbonate Amino acids glucose
  • 102.
    Na+ 140 mEq/L Na+ 4mEq/L Phosphate amino acids glucose H+ 3456 mmol/day 50-100 mmol/day SGLT2 inhibitors Glucose less glucose Phosphorus Bicarbonate Amino acids glucose
  • 103.
    Na+ 140 mEq/L Na+ 4mEq/L Phosphate amino acids glucose H+ 3456 mmol/day 50-100 mmol/day SGLT2 inhibitors Glucose less glucose Phosphorus Bicarbonate Amino acids glucose sodium
  • 105.
  • 106.
    Increase distal deliveryof sodium Triggers TG feedback which acts to decrease GFR
  • 107.
    Increase distal deliveryof sodium Triggers TG feedback which acts to decrease GFR Decreased GFR happens by decreasing efferent arteriolar tone, lowering glomerular pressure.
  • 108.
    Increase distal deliveryof sodium Triggers TG feedback which acts to decrease GFR Decreased GFR happens by decreasing efferent arteriolar tone, lowering glomerular pressure. This is the same way ACEi and ARB provide renal protection.
  • 109.
    Glycemic control RAAS inhibition Bloodpressure control Some is good…a lot, not so clear Some is good…a lot, not so clear Some is good…a lot, don’t do it Seems to be working SGLT2 inhibitors are a possible therapeutic option