The index of a cube root is
always 3.
The cube root of 64 is written as
.3
64
Cube Roots
What does cube root mean?
The cube root of a number is…
…the value when multiplied by itself
three times gives the original number.
Cube Root Vocabulary
n
x
index
radicand
radical sign
If a number is a perfect cube, then
you can find its exact cube root.
A perfect cube is a number that can
be written as the cube (raised to
third power) of another number.
Perfect Cubes
What are Perfect Cubes?
 13
= 1 x 1 x 1 = 1
 23
= 2 x 2 x 2 = 8
 33
= 3 x 3 x 3 = 27
 43
= 4 x 4 x 4 = 64
 53
= 5 x 5 x 5 = 125
 and so on and on and on…..
Examples:
( ) ( ) ( ) ( )
3
4 4 4 4 64= =
4643
=
because
( )( )( ) ( ) 644444
3
−=−=−−−
because
3
64 4− = −
Examples:
3
327 =
3
5
4
125
64






=
3
6216 =
3273
=
5
4
125
643 =
62163
=
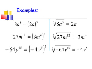
Examples:
( )33
28 aa =
( )3515
464 yy −=−
( )3412
327 mm =
aa 283 3
=
53 15
464 yy −=−
43 12
327 mm =
Not all numbers or expressions have
an exact cube root as in the previous
examples.
If a number is NOT a perfect cube,
then you might be able to SIMPLIFY it.
Simplify Cube Roots
2 Extract the cube root of the
factor that is a perfect cube.
1 Write the radicand as a product of
two factors, where one of the
factors is a perfect cube.
To simplify a cube root ...
3 The factors that are not perfect
cubes will remain as the radicand.
perfect cube
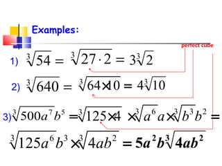
Examples:
=⋅3
227 3
23
3 36 3 2
125 4× =a b ab 3 22
45 abba
3
1043
64 10× =
3 36 3 23
125 4× × × =a a b b
=3
541)
=3
6402)
3 7 5
500 =a b3)
Not all cube roots
can be simplified!
• 30 is not a perfect cube.
• 30 does not have a perfect
cube factor.
Example: 3
30
cannot be simplified!
3
30

Cube Roots from CCSS

  • 1.
    The index ofa cube root is always 3. The cube root of 64 is written as .3 64 Cube Roots
  • 2.
    What does cuberoot mean? The cube root of a number is… …the value when multiplied by itself three times gives the original number.
  • 3.
  • 4.
    If a numberis a perfect cube, then you can find its exact cube root. A perfect cube is a number that can be written as the cube (raised to third power) of another number. Perfect Cubes
  • 5.
    What are PerfectCubes?  13 = 1 x 1 x 1 = 1  23 = 2 x 2 x 2 = 8  33 = 3 x 3 x 3 = 27  43 = 4 x 4 x 4 = 64  53 = 5 x 5 x 5 = 125  and so on and on and on…..
  • 6.
    Examples: ( ) () ( ) ( ) 3 4 4 4 4 64= = 4643 = because ( )( )( ) ( ) 644444 3 −=−=−−− because 3 64 4− = −
  • 7.
  • 8.
    Examples: ( )33 28 aa= ( )3515 464 yy −=− ( )3412 327 mm = aa 283 3 = 53 15 464 yy −=− 43 12 327 mm =
  • 9.
    Not all numbersor expressions have an exact cube root as in the previous examples. If a number is NOT a perfect cube, then you might be able to SIMPLIFY it. Simplify Cube Roots
  • 10.
    2 Extract thecube root of the factor that is a perfect cube. 1 Write the radicand as a product of two factors, where one of the factors is a perfect cube. To simplify a cube root ... 3 The factors that are not perfect cubes will remain as the radicand.
  • 11.
    perfect cube Examples: =⋅3 227 3 23 336 3 2 125 4× =a b ab 3 22 45 abba 3 1043 64 10× = 3 36 3 23 125 4× × × =a a b b =3 541) =3 6402) 3 7 5 500 =a b3)
  • 12.
    Not all cuberoots can be simplified! • 30 is not a perfect cube. • 30 does not have a perfect cube factor. Example: 3 30 cannot be simplified! 3 30