A. Moonis et al. (Eds.): IEA/AIE 2014, Part II, LNAI 8482, pp. 497–506, 2014.
© Springer International Publishing Switzerland 2014
Constraint and Qualitative Preference Specification
in Multi-Attribute Reverse Auctions
Samira Sadaoui and Shubhashis Kumar Shil*
Department of Computer Science, University of Regina, Regina, SK, Canada
{sadaouis,shil200s}@uregina.ca
Abstract. In the context of Multi-Attribute and Reverse Auctions (MARAs),
two significant problems need to be addressed: 1) specifying precisely the buy-
er's requirements about the attributes of the auctioned product, and 2) determin-
ing the winner accordingly. Buyers are more comfortable in expressing their
preferences qualitatively, and there should be an option to allow them describes
their constraints. Both constraints and preferences may be non-conditional and
conditional. However for the sake of efficiency, it is more suitable for MARAs
to process quantitative requirements. Hence, there is a remaining challenge to
provide the buyers with more facilities and comfort, and at the same time to
keep the auctions efficient. To meet this challenge, we develop a MARA sys-
tem based on MAUT. The proposed system takes advantage of the efficiency of
MAUT by transforming the qualitative requirements into quantitative ones.
Another benefit of our system is the complete automation of the bid evaluation
since it is a really difficult task for buyers to determine quantitatively all the
weights and utility functions of attributes, especially when there is a large num-
ber of attributes. The weights and utility functions are produced based on the
qualitative preferences. Our MARA looks for the outcome that satisfies all the
constraints and best satisfies the preferences. We demonstrate the feasibility of
our system through a 10-attribute reverse auction involving many constraints
and qualitative preferences.
Keywords: Constraint Specification, Qualitative Preference Specification,
Winner Determination, Multi-Attribute Reverse Auctions, MAUT.
1 Introduction
Over the last decades, several companies have started using reverse auctions [21].
According to an annual benchmark e-sourcing survey of the Purchasing magazine, in
2006, 31% of participating companies employed reverse auctions [13]. Procurement
software vendors, such as PurchasePro, IBM, DigitalUnion and Perfect, have also
adopted reverse auctions [4]. In addition, there are numerous popular service provid-
ers of reverse auctions such as eBay.com, Priceline.com, Bidz.com, and AuctionA-
nything.com. A survey reported that buyers of reverse auctions achieved savings of
*
Both authors contributed equally for the work presented in this paper.
498 S. Sadaoui and S.K. Shil
15% in cost and up to 90% in time [19]. On the other hand, multi-attribute auctions
are considered one of the most valuable procurement systems in which bidders nego-
tiate over the price along with other dimensions such as warranty, quality, sellers'
reputation, delivery and payment terms, [5], [20]. This type of auctions guarantees
higher efficiency than traditional auctions by exchanging information between the
buyers’ preferences and sellers' offers [4]. Multi-attribute auctions have been success-
fully utilized for the acquisition of a huge amount of specific products [4]. In this
paper, we are interested in Multi-Attribute and Reverse Auctions (that we call MA-
RAs). Several research works have been done in the context of MARAs, still two
significant problems have to be solved: 1) eliciting precisely the buyers’ requirements
containing the constraints and preferences about the product attributes, and 2) deter-
mining the winner (the best bid) accordingly. Qualitative preferences and constraints
are important features for any multi-attribute auction systems [8]. Indeed, the buyers
would like to express their requirements qualitatively and in a friendly and interactive
way, which is the most convenient. MARAs should provide these facilities to the
buyers so that they can feel that their desires are satisfied at the maximum. Neverthe-
less, for the purpose of efficiency, it is more suitable for the auction systems to
process quantitative requirements. Consequently, there is a remaining challenge to
provide the buyers with more features and comfort, and to keep the auctions efficient
at the same time.
Maximizing the satisfaction of the users may be achieved by considering precisely
their preferences and interests [11]. [11] proposes a personalized matchmaking system
that determines the best offer for a buyer by evaluating and sorting the sellers’ offer-
ings according to the buyer’s precise interests. Preference elicitation is essential in
interactive applications such as online shopping systems [2], [14]. [2] introduces an
online shopping system that provides the users with the ability to specify their re-
quirements (constraints and preferences) in an interactive way. [14] enhances the
online shopping system developed in [2] with a learning component to learn the users’
preferences, and therefore suggest products based on them. More precisely, the new
component learns from other users’ preferences and makes a set of recommendations
using data mining techniques. Nowadays, there are several preference-aware com-
mercial systems, such as Amazon, Netflix, SmartClient, Teaching Salesman and
PExA [14]. Nevertheless, these systems do not allow the users to express qualitative
preferences nor constraints. Formalizing users' preferences accurately also is very
important in most decision support systems [6]. These systems rely on preferences to
produce effective user models. For instance, [18] discusses and evaluates different
methods to elicit preferences in negotiation support systems. [7] proposes a general
interactive tool to obtain users’ preferences about concrete outcomes and to learn
utility functions automatically based on users’ feedback. [12] develops a variant of the
fully probabilistic design of decision making strategies. In [12], the elicitation of pre-
ferences is based on quantitative data. Preference elicitation plays an essential role in
negotiations such as in automated market places and auctions [9]. Moreover, the ac-
quisitions of high quality users’ preferences are also significant for interactive Web
services [10]. The quality of the returned results depends on the capability of the ser-
vices to acquire the preferences. [10] examines the adaptation and personalization
Constraint and Qualitative Preference Specification 499
strategies during the elicitation process for Web services. Preferences and constraints
can co-exist together in many domains [1], [20], and it is of great benefit to handle
them together in many real-world applications. For instance, [8] employs MAUT to
process quantitative preferences and Conditional Preference networks (CP-nets) to
formalize qualitative preferences. [1] represents preferences as an instance of CP-nets
and the constraints as a Constraint Satisfaction Problem (CSP). [1] also introduces a
new algorithm to determine the best outcome based on the arc consistency propaga-
tion technique. It performs several experiments to show that the proposed approach is
able to save substantial amount of time to generate the optimal solution. [16] intro-
duces an algorithm that processes constraints and preferences and finds the optimal
outcomes of a constrained CP-nets. [2] employs C-semiring to describe quantitative
preferences, CP-nets for qualitative ones, CSP for constraints. This paper utilizes
branch and bound method to provide the users with a list of outcomes.
This research proposes a MARA system where the buyer specifies his require-
ments containing constraints and qualitative preferences about the product attributes.
Our system looks for the outcome that completely satisfies all the constraints and best
satisfies the preferences. More precisely, we develop a MARA protocol to assist the
buyer step by step in specifying conditional and non-conditional qualitative prefe-
rences as well as conditional and non-conditional constraints. The specification
process is carried out through several friendly and interactive GUIs. The proposed
auction system is based on MAUT [3], a widely used technique in multi-attribute
decision-making. It takes advantage of the efficiency of MAUT by transforming the
qualitative requirements into quantitative ones. Another major contribution of our
auction system is the complete automation of the MAUT calculation. Indeed, it is a
really challenging task for the buyers to determine quantitatively all the weights and
all the utility functions of attributes, especially when there are lots of attributes for the
auctioned product. The weights and utility functions are generated based on the qua-
litative preferences. We may also note that our system can handle multiple rounds to
give the sellers a chance to improve their bids and compete better in the next rounds,
allow any number of attributes to aid the buyer elicit his interests in a more precise
way. Our protocol is semi-sealed because the bidders' offers are kept private during
the auction, but at the end of each round, MARA reveals the overall MAUT utilities
of the valid bids and statuses of all the submitted bids.
2 The Proposed MARA Protocol
When the buyer requests to purchase a product (e.g. a Television), our system first
provides him with possible attributes for the product (generated from the product
database). The buyer then selects the attributes he is interested in (e.g. Brand, Weight,
Display Technology, Refresh Rate and Price). Subsequently, a reverse auction based
on the buyer's attributes is launched. Next, the buyer will specify his requirements
about the auctioned product.
A. Specifying Constraints on Attributes: first the buyer expresses hard constraints
on the attributes of his choice. Constraints are described with the following syntax:
500 S. Sadaoui and S.K. Shil
⁄ , … , ⁄ (1)
where and both denote a relation between an attribute and its
possible values: , such that , , , , , .When the
condition clause in (1) is NULL, the constraint is non-conditional i.e. it has no de-
pendencies on other attributes.
Assume the buyer submits the following two constraints regarding the TV auction:
(c1) NULL => Brand ≠ Panasonic
(c2) (Weight ≥ [5 - 5.9]) or (Display Technology = LED) and (Refresh Rate ≤ 120)
 Price ≤ [1000 - 1499.99]
Here (c1) indicates that the TV brand must not be a Panasonic. (c2) means if the
TV weight is greater than or equal to [5kg - 5.9kg] (i.e. not less than 5kg), or the dis-
play technology is LED, and the refresh rate is less than or equal to 120Hz, then the
price must be less than or equal to [$1000 - $1499.99] (i.e. not greater than $1499.99).
Since the precedence of 'and' is greater than of 'or', the condition clauses of (c2) is
evaluated as: conditionWeight or (conditionDisplayTechnology and conditionRefreshRate).
B. Specifying Qualitative Preferences on Attributes: next the buyer should submit
the qualitative importance levels for all the attributes. The system assigns equivalent
quantitative values of these importance levels as shown in Table 1. Rank is a relative
value of an attribute and M the number of attributes.
Table 1. Attribute Importance Levels in MARA
Qualitative Importance Level Quantitative Importance Level Rank
ExtremelyImportant (EI) 1 M
VeryImportant (VI) 0.75 M - 1
Important (I) 0.5 M - 2
Not VeryImportant (NVI) 0.25 M - 3
C. Specifying Qualitative Preferences on Attribute Values: the buyer can also
specify qualitative preferences (liking) on the values of some attributes by using the
following format:
⁄ , … , ⁄ (2)
where , such that , , , , , , and
: , … ,
Values can be of two types: string and numeric. Table 2 gives the corresponding
quantitative liking where rank is a relative value of an attribute value and N the
number of values of an attribute. If the condition clause in (2) is NULL, then the pref-
erence is non-conditional.
Constraint and Qualitative Preference Specification 501
Table 2. Attribute Value Liking in MARA
Attribute Value
Type
Qualitative Liking Quantitative Liking Rank
String Highest (H) 1 N
Above Average (AA) 0.8 N - 1
Average (A) 0.6 N - 2
Below Average (BA) 0.4 N - 3
Lowest (L) 0.2 N - 4
Numeric Highest (H) 1
Lowest (L) 0.2
Suppose the buyer submits the following preferences for the TV auction:
(p1) NULL => Price ([800 - 899.99] (H), [1000 - 1499.99] (L))
(p2) (Refresh Rate > 120) => Brand (LG (BA), Panasonic (A), Sharp (A), Sony
(AA), Toshiba (H))
(p1) expresses [800 - 899.99] as the highest preference and [1000 - 1499.99] as the
lowest one for the attribute Price; (p2) means if the value of Refresh Rate is greater
than 120, then the liking of each value of Brand is given. (p1) is an example of prefer-
ence on numeric values whereas (p2) is on string values.
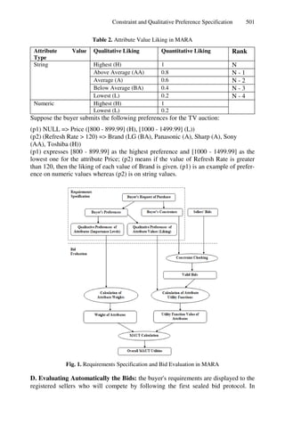
Fig. 1. Requirements Specification and Bid Evaluation in MARA
D. Evaluating Automatically the Bids: the buyer's requirements are displayed to the
registered sellers who will compete by following the first sealed bid protocol. In
502 S. Sadaoui and S.K. Shil
MAUT, each attribute in a bid has a value denoted by , and is evaluated through
a utility function 4 . An attribute has a weight which shows its importance to
the buyer. The MAUT utility of a bid is calculated as the sum of all weighted utilities
of the attributes [4]:
M ∑ (3)
As illustrated in Fig. 1, after each round, the system deletes from the auction those
bids that violate any constraint. For the qualified bids, MARA calculates automati-
cally the weights and utility functions of all the attributes. As shown in Table 3, the
weights are produced based on the buyer’s importance levels. The utility function
values are generated using the buyer’s liking. If the buyer does not include a liking for
an attribute value, then the system assigns 0 to the corresponding quantitative liking.
In the case of conditional preferences, if a bid does not satisfy the condition clause,
then the system assigns 0 to the quantitative liking of the attribute value for that bid.
Finally, MARA informs the bidders about the overall utilities of the valid bids and
statuses of all the submitted bids. In the next round, each seller is expected to place a
bid with a utility higher than the one of the previous round. Bidding continues until
the highest utility values of two consecutive rounds remain the same. Suppose now
the following two bids have been submitted:
Bid1: Brand = Panasonic; Display Technology = LCD; Price = 1000; Refresh Rate =
240; Weight = 4
Bid2: Brand = Toshiba; Display Technology = Plasma; Price = 1200; Refresh Rate =
600; Weight = 4
The first bid does not satisfy the two constraints (c1) and (c3), however respects
(c2) and (c4). In fact, this bid is deleted as soon as it violets (c1) and therefore there is
no need to check the other constraints and calculate its MAUT utility value in order to
save some processing time. On the other hand, the second bid satisfies all the con-
straints but does not guaranty to be the best bid.
Table 3. Attribute weight and utility function determination
Attribute Weight Calculation
/∑ 1
Attribute Utility Function Calculation (String)
Attribute Utility Function Calculation (Numeric)
is the attribute value which has the highest preference
is the attribute value which has the lowest preference
1
if , then
/
else 0 such that (
lowest / N
/ / is a value or an average value in case of range of values of
Constraint and Qualitative Preference Specification 503
Table 4. Weight and utility function value calculation for Brand
Weight calculation Rank Quantitative
Importance
Level
Weight
4 0.75 0.27
Utility function
value calculation
Attribute
Value
Rank Quantitative
Liking
Utility
Value
LG 4 0.8 0.32
Panasonic 3 0.6 0.36
Sharp 2 0.4 0.24
Sony 4 0.8 0.64
Toshiba 5 1 1
Here, we illustrate the MAUT calculation for Bid2. MAUT (Bid2) = WeightBrand.UBrand
(Toshiba) + WeightDisplayTechnology.UDisplayTechnology (Plasma) +WeightPrice.UPrice (1200) +
WeightRefreshRate.URefreshRate (600) + WeightWeight.UWeight (4). In Table 4, we show for exam-
ple how the weight and utility function values are computed by MARA for the attribute
Brand.
3 A 10-Attribute Reverse Auction
We fully developed our MARA system using the Belief-Desire-Intention model [17]
and the agent-based simulation environment Jadex [15]. We designed MARA as 3-
layer architecture. The presentation layer contains several GUIs to assist the buyer
step by step in specifying the (non)conditional constraints as well as (non)conditional
qualitative preferences. It also aids the sellers to submit their bids. The business layer
contains the algorithms for constraint checking, weight, utility function value and
MAUT calculation. The database layer stores all the information regarding the prod-
ucts and auctions. In this case study, the buyer wants to purchase a TV with ten at-
tributes (given in Fig. 3).
The buyer can now submit the constraints for this auction:
(c1) NULL => Model Year ≠ 2011
(c2) NULL => Warranty ≥ 2
(c3) NULL => Refresh Rate ≥ 120
(c4) NULL => Screen Size ≥ [30 - 39]
(c5) (Refresh Rate ≤ 240) => Price ≤ [900 - 999.99]
(c6) (Brand = Panasonic) and (Resolution = 720p HD) => Weight ≤ [5 - 5.9]
(c7) (Brand = LG) or (Resolution = 1080p HD) => Screen Size ≤ [40 - 49]
Next, the buyer ranks the ten attributes according to their importance: Brand (VI),
Customer Rating (NVI), Display Technology (I), Model Year (NVI), Price (EI), Re-
fresh Rate (NVI), Resolution (I), Screen Size (VI), Warranty (NVI), and Weight (VI).
The following are examples of buyer's qualitative preferences on attribute values:
(p1) NULL => Price ([300 - 399.99] (H), [1000 - 1499.99] (L))
(p2) NULL => Refresh Rate (600(H), 120(L))
504 S. Sadaoui and S.K. Shil
(p3) NULL => Brand (Bose (BA), Dynex (L), Insignia (BA), LG (AA), Panasonic
(A), Philips (A), Samsung (A), Sharp (BA), Sony (AA), Toshiba (H))
(p4) NULL => Screen Size ([50 - 60] (H), [30 - 39] (L))
(p5) NULL => Model Year (2013(H), 2012(L))
(p6) NULL => Warranty (3(H), 2(L))
(p7) NULL => Customer Rating (5(H), 3(L))
(p8) (Price > [300 - 399.99]) and (Screen Size ≥ [40 - 49]) =>
Display Technology (LCD (BA), LED (A), OLED (AA), Plasma (H))
(p9) (Refresh Rate ≥ 120) =>
Resolution (1080p HD (H), 4K Ultra HD (AA), 720p HD (A))
(p10) (Screen Size ≥ [30 - 39]) => Weight ([4 - 4.9] (H), [6 - 7] (L))
Fig. 2. Bid Submission in MARA
After the buyer's requirements have been submitted, the sellers can now start bid-
ding. Assume 20 sellers participate and their first bids are depicted in Fig. 2. Five
sellers, S2, S3, S5, S13 and S14, are disqualified as they do not satisfy some buyer’s
constraints. The remaining bids respect all the seven constraints. Fig. 3 shows the
overall MAUT utilities of the valid bids and statuses of all the submitted bids for the
first round. It also depicts S18 as the winner and the remaining 14 bids are challenged.
4 Conclusion and Future Work
The proposed auction system is able to assist the buyer in specifying non-conditional
and conditional constraints as well as qualitative non-conditional and conditional
preferences about the attributes of a product. To determine the winner efficiently, it
converts qualitative requirements into quantitative ones. To generate the MAUT util-
ity for each valid bid, MARA calculates automatically the attribute weights and utility
functions. The latter are directly calculated from the buyer’s preferences. In this pa-
per, we explored experimentally the feasibility of MARA with a 10-attribute reverse
auction involving 7 constraints, 10 preferences and 20 sellers.
Constraint and Qualitative Preference Specification 505
Fig. 3. Overall Utilities and Statuses of Bids
There are several promising future directions for this research work. In the litera-
ture, there are approaches to assign weights for the attributes, such as Simple Multi-
Attribute Rating Technique (SMART) and Weight determination based on Ordinal
Ranking of Alternatives (WORA) [5]. We can compare our weight calculation algo-
rithm with these approaches in terms of processing time and best outcome. Another
direction is to compare MAUT with other decision analysis techniques [3], such as
Analytic Hierarchy Process and Conjoint Analysis, specifically in the domain of re-
verse auctions. Also, we would like to test the performance of our MARA system on a
large dataset involving a large number of attributes, constraints, preferences and sell-
ers. Our system allows the buyer to specify his preferences only qualitatively. To
increase the acceptability of MARA, the buyer can be allowed to elicit qualitative
preferences on some attributes as well as quantitative preferences on others.
References
1. Alanazi, E., Mouhoub, M.: Managing qualitative preferences with constraints. In:
Huang, T., Zeng, Z., Li, C., Leung, C.S. (eds.) ICONIP 2012, Part III. LNCS, vol. 7665,
pp. 653–662. Springer, Heidelberg (2012)
2. Alanazi, E., Mouhoub, M., Mohammed, B.: A preference-aware interactive system for on-
line shopping. Computer and Information Science 5(6), 33–42 (2012)
3. Bichler, M.: An experimental analysis of multi-attribute auctions. Decision Support Sys-
tems 29(3), 249–268 (2000)
4. Bichler, M., Kalagnanam, J.: Configurable offers and winner determination in multi-
attribute auctions. European Journal of Operational Research 160(2), 380–394 (2005)
5. Chandrashekar, T.S., Narahari, Y., Rosa, C.H., Kulkarni, D.M., Tew, J.D., Dayama, P.:
Auction-based mechanisms for electronic procurement. IEEE Transactions on Automation
Science and Engineering 4(3), 297–321 (2007)
506 S. Sadaoui and S.K. Shil
6. Faltings, B., Pu, P., Zhang, J.: Agile Preference Models Based on Soft Constraints.
In: AAAI Spring Symposium: Challenges to Decision Support in a Changing World,
pp. 23–28 (2005)
7. Gajos, K., Weld, D.S.: Preference elicitation for interface optimization. In: Proceedings of
the 18th Annual ACM Symposium on User Interface Software and Technology, UIST
2005, pp. 173–182. ACM, New York (2005)
8. Ghavamifar, F., Sadaoui, S., Mouhoub, M.: Preference elicitation and winner determina-
tion in multi-attribute auctions. In: Murray, R.C., McCarthy, P.M. (eds.) FLAIRS Confe-
rence, pp. 93–94. AAAI Press (2011)
9. Guo, Y., Müller, J.P., Weinhardt, C.: Learning user preferences for multi-attribute negotia-
tion: An evolutionary approach. In: Mařík, V., Müller, J.P., Pěchouček, M. (eds.)
CEEMAS 2003. LNCS (LNAI), vol. 2691, pp. 303–313. Springer, Heidelberg (2003)
10. Jannach, D., Kreutler, G.: Personalized user preference elicitation for e-services. In: Pro-
ceedings of the 2005 IEEE International Conference on e-Technology, e-Commerce and
e-Service, EEE 2005, pp. 604–611 (2005)
11. Jiang, W., Sadaoui, S.: Evaluating and Ranking Semantic Offers According to Users’ In-
terests. Journal of Electronic Commerce Research, JECR 13(1), 1–22 (2012)
12. Karny, M., Guy, T.V.: Preference elicitation in fully probabilistic design of decision strat-
egies. In: 2010 49th IEEE Conference on Decision and Control (CDC), pp. 5327–5332
(2010)
13. Manoochehri, G., Lindsy, C.: Reverse auctions: Benefits, challenges, and best practices.
California Journal of Operations Management 6(1), 123–130 (2008)
14. Mohammed, B., Mouhoub, M., Alanazi, E., Sadaoui, S.: Data Mining Techniques and
Preference Learning in Recommender Systems. Computer and Information Science 6(4),
88-1-2 (2013)
15. Pokahr, A., Braubach, L., Lamersdorf, W.: Jadex: A BDI Reasoning Engine. In: Bordini,
R.H., Dastani, M., Dix, J., El FallahSeghrouchni, A. (eds.) Multi-Agent Programming. Mul-
tiagent Systems, Artificial Societies, and Simulated Organizations, vol. 15, pp. 149–174.
Springer, US (2005)
16. Prestwich, S., Rossi, F., Venable, K.B., Walsh, T.: Constraint-based preferential optimiza-
tion. In: AAAI, vol. 5, pp. 461–466 (2005)
17. Seow, K.T., Sim, K.M.: Collaborative Assignment using Belief-Desire-Intention Agent
Modeling and Negotiation with Speedup Strategies. Information Sciences 178(4), 1110–1132
(2008)
18. Shao-bin, D., Yu Qiang, F., Kexing, L., Xuncheng, S.: Preference elicitation of the NSS in
the ecommerce. In: International Conference on Management Science and Engineering,
ICMSE 2007, pp. 135–140 (2007)
19. Talluri, S., Narasimhan, R., Viswanathan, S.: Information technologies for procurement
decisions: A decision support system for multi-attribute e-reverse auctions. International
Journal of Production Research 45(11), 2615–2628 (2007)
20. Teich, J.E., Wallenius, H., Wallenius, J., Zaitsev, A.: A multi-attribute e-auction mechan-
ism for procurement: Theoretical foundations. European Journal of Operational Re-
search 175(1), 90–100 (2006)
21. Williams, C.L.: An overview of reverse auctions. In: Southwest Decision Sciences Insti-
tute Conference (2010)

Constraint and Qualitative Preference Specification in Multi-Attribute Reverse Auctions

  • 1.
    A. Moonis etal. (Eds.): IEA/AIE 2014, Part II, LNAI 8482, pp. 497–506, 2014. © Springer International Publishing Switzerland 2014 Constraint and Qualitative Preference Specification in Multi-Attribute Reverse Auctions Samira Sadaoui and Shubhashis Kumar Shil* Department of Computer Science, University of Regina, Regina, SK, Canada {sadaouis,shil200s}@uregina.ca Abstract. In the context of Multi-Attribute and Reverse Auctions (MARAs), two significant problems need to be addressed: 1) specifying precisely the buy- er's requirements about the attributes of the auctioned product, and 2) determin- ing the winner accordingly. Buyers are more comfortable in expressing their preferences qualitatively, and there should be an option to allow them describes their constraints. Both constraints and preferences may be non-conditional and conditional. However for the sake of efficiency, it is more suitable for MARAs to process quantitative requirements. Hence, there is a remaining challenge to provide the buyers with more facilities and comfort, and at the same time to keep the auctions efficient. To meet this challenge, we develop a MARA sys- tem based on MAUT. The proposed system takes advantage of the efficiency of MAUT by transforming the qualitative requirements into quantitative ones. Another benefit of our system is the complete automation of the bid evaluation since it is a really difficult task for buyers to determine quantitatively all the weights and utility functions of attributes, especially when there is a large num- ber of attributes. The weights and utility functions are produced based on the qualitative preferences. Our MARA looks for the outcome that satisfies all the constraints and best satisfies the preferences. We demonstrate the feasibility of our system through a 10-attribute reverse auction involving many constraints and qualitative preferences. Keywords: Constraint Specification, Qualitative Preference Specification, Winner Determination, Multi-Attribute Reverse Auctions, MAUT. 1 Introduction Over the last decades, several companies have started using reverse auctions [21]. According to an annual benchmark e-sourcing survey of the Purchasing magazine, in 2006, 31% of participating companies employed reverse auctions [13]. Procurement software vendors, such as PurchasePro, IBM, DigitalUnion and Perfect, have also adopted reverse auctions [4]. In addition, there are numerous popular service provid- ers of reverse auctions such as eBay.com, Priceline.com, Bidz.com, and AuctionA- nything.com. A survey reported that buyers of reverse auctions achieved savings of * Both authors contributed equally for the work presented in this paper.
  • 2.
    498 S. Sadaouiand S.K. Shil 15% in cost and up to 90% in time [19]. On the other hand, multi-attribute auctions are considered one of the most valuable procurement systems in which bidders nego- tiate over the price along with other dimensions such as warranty, quality, sellers' reputation, delivery and payment terms, [5], [20]. This type of auctions guarantees higher efficiency than traditional auctions by exchanging information between the buyers’ preferences and sellers' offers [4]. Multi-attribute auctions have been success- fully utilized for the acquisition of a huge amount of specific products [4]. In this paper, we are interested in Multi-Attribute and Reverse Auctions (that we call MA- RAs). Several research works have been done in the context of MARAs, still two significant problems have to be solved: 1) eliciting precisely the buyers’ requirements containing the constraints and preferences about the product attributes, and 2) deter- mining the winner (the best bid) accordingly. Qualitative preferences and constraints are important features for any multi-attribute auction systems [8]. Indeed, the buyers would like to express their requirements qualitatively and in a friendly and interactive way, which is the most convenient. MARAs should provide these facilities to the buyers so that they can feel that their desires are satisfied at the maximum. Neverthe- less, for the purpose of efficiency, it is more suitable for the auction systems to process quantitative requirements. Consequently, there is a remaining challenge to provide the buyers with more features and comfort, and to keep the auctions efficient at the same time. Maximizing the satisfaction of the users may be achieved by considering precisely their preferences and interests [11]. [11] proposes a personalized matchmaking system that determines the best offer for a buyer by evaluating and sorting the sellers’ offer- ings according to the buyer’s precise interests. Preference elicitation is essential in interactive applications such as online shopping systems [2], [14]. [2] introduces an online shopping system that provides the users with the ability to specify their re- quirements (constraints and preferences) in an interactive way. [14] enhances the online shopping system developed in [2] with a learning component to learn the users’ preferences, and therefore suggest products based on them. More precisely, the new component learns from other users’ preferences and makes a set of recommendations using data mining techniques. Nowadays, there are several preference-aware com- mercial systems, such as Amazon, Netflix, SmartClient, Teaching Salesman and PExA [14]. Nevertheless, these systems do not allow the users to express qualitative preferences nor constraints. Formalizing users' preferences accurately also is very important in most decision support systems [6]. These systems rely on preferences to produce effective user models. For instance, [18] discusses and evaluates different methods to elicit preferences in negotiation support systems. [7] proposes a general interactive tool to obtain users’ preferences about concrete outcomes and to learn utility functions automatically based on users’ feedback. [12] develops a variant of the fully probabilistic design of decision making strategies. In [12], the elicitation of pre- ferences is based on quantitative data. Preference elicitation plays an essential role in negotiations such as in automated market places and auctions [9]. Moreover, the ac- quisitions of high quality users’ preferences are also significant for interactive Web services [10]. The quality of the returned results depends on the capability of the ser- vices to acquire the preferences. [10] examines the adaptation and personalization
  • 3.
    Constraint and QualitativePreference Specification 499 strategies during the elicitation process for Web services. Preferences and constraints can co-exist together in many domains [1], [20], and it is of great benefit to handle them together in many real-world applications. For instance, [8] employs MAUT to process quantitative preferences and Conditional Preference networks (CP-nets) to formalize qualitative preferences. [1] represents preferences as an instance of CP-nets and the constraints as a Constraint Satisfaction Problem (CSP). [1] also introduces a new algorithm to determine the best outcome based on the arc consistency propaga- tion technique. It performs several experiments to show that the proposed approach is able to save substantial amount of time to generate the optimal solution. [16] intro- duces an algorithm that processes constraints and preferences and finds the optimal outcomes of a constrained CP-nets. [2] employs C-semiring to describe quantitative preferences, CP-nets for qualitative ones, CSP for constraints. This paper utilizes branch and bound method to provide the users with a list of outcomes. This research proposes a MARA system where the buyer specifies his require- ments containing constraints and qualitative preferences about the product attributes. Our system looks for the outcome that completely satisfies all the constraints and best satisfies the preferences. More precisely, we develop a MARA protocol to assist the buyer step by step in specifying conditional and non-conditional qualitative prefe- rences as well as conditional and non-conditional constraints. The specification process is carried out through several friendly and interactive GUIs. The proposed auction system is based on MAUT [3], a widely used technique in multi-attribute decision-making. It takes advantage of the efficiency of MAUT by transforming the qualitative requirements into quantitative ones. Another major contribution of our auction system is the complete automation of the MAUT calculation. Indeed, it is a really challenging task for the buyers to determine quantitatively all the weights and all the utility functions of attributes, especially when there are lots of attributes for the auctioned product. The weights and utility functions are generated based on the qua- litative preferences. We may also note that our system can handle multiple rounds to give the sellers a chance to improve their bids and compete better in the next rounds, allow any number of attributes to aid the buyer elicit his interests in a more precise way. Our protocol is semi-sealed because the bidders' offers are kept private during the auction, but at the end of each round, MARA reveals the overall MAUT utilities of the valid bids and statuses of all the submitted bids. 2 The Proposed MARA Protocol When the buyer requests to purchase a product (e.g. a Television), our system first provides him with possible attributes for the product (generated from the product database). The buyer then selects the attributes he is interested in (e.g. Brand, Weight, Display Technology, Refresh Rate and Price). Subsequently, a reverse auction based on the buyer's attributes is launched. Next, the buyer will specify his requirements about the auctioned product. A. Specifying Constraints on Attributes: first the buyer expresses hard constraints on the attributes of his choice. Constraints are described with the following syntax:
  • 4.
    500 S. Sadaouiand S.K. Shil ⁄ , … , ⁄ (1) where and both denote a relation between an attribute and its possible values: , such that , , , , , .When the condition clause in (1) is NULL, the constraint is non-conditional i.e. it has no de- pendencies on other attributes. Assume the buyer submits the following two constraints regarding the TV auction: (c1) NULL => Brand ≠ Panasonic (c2) (Weight ≥ [5 - 5.9]) or (Display Technology = LED) and (Refresh Rate ≤ 120)  Price ≤ [1000 - 1499.99] Here (c1) indicates that the TV brand must not be a Panasonic. (c2) means if the TV weight is greater than or equal to [5kg - 5.9kg] (i.e. not less than 5kg), or the dis- play technology is LED, and the refresh rate is less than or equal to 120Hz, then the price must be less than or equal to [$1000 - $1499.99] (i.e. not greater than $1499.99). Since the precedence of 'and' is greater than of 'or', the condition clauses of (c2) is evaluated as: conditionWeight or (conditionDisplayTechnology and conditionRefreshRate). B. Specifying Qualitative Preferences on Attributes: next the buyer should submit the qualitative importance levels for all the attributes. The system assigns equivalent quantitative values of these importance levels as shown in Table 1. Rank is a relative value of an attribute and M the number of attributes. Table 1. Attribute Importance Levels in MARA Qualitative Importance Level Quantitative Importance Level Rank ExtremelyImportant (EI) 1 M VeryImportant (VI) 0.75 M - 1 Important (I) 0.5 M - 2 Not VeryImportant (NVI) 0.25 M - 3 C. Specifying Qualitative Preferences on Attribute Values: the buyer can also specify qualitative preferences (liking) on the values of some attributes by using the following format: ⁄ , … , ⁄ (2) where , such that , , , , , , and : , … , Values can be of two types: string and numeric. Table 2 gives the corresponding quantitative liking where rank is a relative value of an attribute value and N the number of values of an attribute. If the condition clause in (2) is NULL, then the pref- erence is non-conditional.
  • 5.
    Constraint and QualitativePreference Specification 501 Table 2. Attribute Value Liking in MARA Attribute Value Type Qualitative Liking Quantitative Liking Rank String Highest (H) 1 N Above Average (AA) 0.8 N - 1 Average (A) 0.6 N - 2 Below Average (BA) 0.4 N - 3 Lowest (L) 0.2 N - 4 Numeric Highest (H) 1 Lowest (L) 0.2 Suppose the buyer submits the following preferences for the TV auction: (p1) NULL => Price ([800 - 899.99] (H), [1000 - 1499.99] (L)) (p2) (Refresh Rate > 120) => Brand (LG (BA), Panasonic (A), Sharp (A), Sony (AA), Toshiba (H)) (p1) expresses [800 - 899.99] as the highest preference and [1000 - 1499.99] as the lowest one for the attribute Price; (p2) means if the value of Refresh Rate is greater than 120, then the liking of each value of Brand is given. (p1) is an example of prefer- ence on numeric values whereas (p2) is on string values. Fig. 1. Requirements Specification and Bid Evaluation in MARA D. Evaluating Automatically the Bids: the buyer's requirements are displayed to the registered sellers who will compete by following the first sealed bid protocol. In
  • 6.
    502 S. Sadaouiand S.K. Shil MAUT, each attribute in a bid has a value denoted by , and is evaluated through a utility function 4 . An attribute has a weight which shows its importance to the buyer. The MAUT utility of a bid is calculated as the sum of all weighted utilities of the attributes [4]: M ∑ (3) As illustrated in Fig. 1, after each round, the system deletes from the auction those bids that violate any constraint. For the qualified bids, MARA calculates automati- cally the weights and utility functions of all the attributes. As shown in Table 3, the weights are produced based on the buyer’s importance levels. The utility function values are generated using the buyer’s liking. If the buyer does not include a liking for an attribute value, then the system assigns 0 to the corresponding quantitative liking. In the case of conditional preferences, if a bid does not satisfy the condition clause, then the system assigns 0 to the quantitative liking of the attribute value for that bid. Finally, MARA informs the bidders about the overall utilities of the valid bids and statuses of all the submitted bids. In the next round, each seller is expected to place a bid with a utility higher than the one of the previous round. Bidding continues until the highest utility values of two consecutive rounds remain the same. Suppose now the following two bids have been submitted: Bid1: Brand = Panasonic; Display Technology = LCD; Price = 1000; Refresh Rate = 240; Weight = 4 Bid2: Brand = Toshiba; Display Technology = Plasma; Price = 1200; Refresh Rate = 600; Weight = 4 The first bid does not satisfy the two constraints (c1) and (c3), however respects (c2) and (c4). In fact, this bid is deleted as soon as it violets (c1) and therefore there is no need to check the other constraints and calculate its MAUT utility value in order to save some processing time. On the other hand, the second bid satisfies all the con- straints but does not guaranty to be the best bid. Table 3. Attribute weight and utility function determination Attribute Weight Calculation /∑ 1 Attribute Utility Function Calculation (String) Attribute Utility Function Calculation (Numeric) is the attribute value which has the highest preference is the attribute value which has the lowest preference 1 if , then / else 0 such that ( lowest / N / / is a value or an average value in case of range of values of
  • 7.
    Constraint and QualitativePreference Specification 503 Table 4. Weight and utility function value calculation for Brand Weight calculation Rank Quantitative Importance Level Weight 4 0.75 0.27 Utility function value calculation Attribute Value Rank Quantitative Liking Utility Value LG 4 0.8 0.32 Panasonic 3 0.6 0.36 Sharp 2 0.4 0.24 Sony 4 0.8 0.64 Toshiba 5 1 1 Here, we illustrate the MAUT calculation for Bid2. MAUT (Bid2) = WeightBrand.UBrand (Toshiba) + WeightDisplayTechnology.UDisplayTechnology (Plasma) +WeightPrice.UPrice (1200) + WeightRefreshRate.URefreshRate (600) + WeightWeight.UWeight (4). In Table 4, we show for exam- ple how the weight and utility function values are computed by MARA for the attribute Brand. 3 A 10-Attribute Reverse Auction We fully developed our MARA system using the Belief-Desire-Intention model [17] and the agent-based simulation environment Jadex [15]. We designed MARA as 3- layer architecture. The presentation layer contains several GUIs to assist the buyer step by step in specifying the (non)conditional constraints as well as (non)conditional qualitative preferences. It also aids the sellers to submit their bids. The business layer contains the algorithms for constraint checking, weight, utility function value and MAUT calculation. The database layer stores all the information regarding the prod- ucts and auctions. In this case study, the buyer wants to purchase a TV with ten at- tributes (given in Fig. 3). The buyer can now submit the constraints for this auction: (c1) NULL => Model Year ≠ 2011 (c2) NULL => Warranty ≥ 2 (c3) NULL => Refresh Rate ≥ 120 (c4) NULL => Screen Size ≥ [30 - 39] (c5) (Refresh Rate ≤ 240) => Price ≤ [900 - 999.99] (c6) (Brand = Panasonic) and (Resolution = 720p HD) => Weight ≤ [5 - 5.9] (c7) (Brand = LG) or (Resolution = 1080p HD) => Screen Size ≤ [40 - 49] Next, the buyer ranks the ten attributes according to their importance: Brand (VI), Customer Rating (NVI), Display Technology (I), Model Year (NVI), Price (EI), Re- fresh Rate (NVI), Resolution (I), Screen Size (VI), Warranty (NVI), and Weight (VI). The following are examples of buyer's qualitative preferences on attribute values: (p1) NULL => Price ([300 - 399.99] (H), [1000 - 1499.99] (L)) (p2) NULL => Refresh Rate (600(H), 120(L))
  • 8.
    504 S. Sadaouiand S.K. Shil (p3) NULL => Brand (Bose (BA), Dynex (L), Insignia (BA), LG (AA), Panasonic (A), Philips (A), Samsung (A), Sharp (BA), Sony (AA), Toshiba (H)) (p4) NULL => Screen Size ([50 - 60] (H), [30 - 39] (L)) (p5) NULL => Model Year (2013(H), 2012(L)) (p6) NULL => Warranty (3(H), 2(L)) (p7) NULL => Customer Rating (5(H), 3(L)) (p8) (Price > [300 - 399.99]) and (Screen Size ≥ [40 - 49]) => Display Technology (LCD (BA), LED (A), OLED (AA), Plasma (H)) (p9) (Refresh Rate ≥ 120) => Resolution (1080p HD (H), 4K Ultra HD (AA), 720p HD (A)) (p10) (Screen Size ≥ [30 - 39]) => Weight ([4 - 4.9] (H), [6 - 7] (L)) Fig. 2. Bid Submission in MARA After the buyer's requirements have been submitted, the sellers can now start bid- ding. Assume 20 sellers participate and their first bids are depicted in Fig. 2. Five sellers, S2, S3, S5, S13 and S14, are disqualified as they do not satisfy some buyer’s constraints. The remaining bids respect all the seven constraints. Fig. 3 shows the overall MAUT utilities of the valid bids and statuses of all the submitted bids for the first round. It also depicts S18 as the winner and the remaining 14 bids are challenged. 4 Conclusion and Future Work The proposed auction system is able to assist the buyer in specifying non-conditional and conditional constraints as well as qualitative non-conditional and conditional preferences about the attributes of a product. To determine the winner efficiently, it converts qualitative requirements into quantitative ones. To generate the MAUT util- ity for each valid bid, MARA calculates automatically the attribute weights and utility functions. The latter are directly calculated from the buyer’s preferences. In this pa- per, we explored experimentally the feasibility of MARA with a 10-attribute reverse auction involving 7 constraints, 10 preferences and 20 sellers.
  • 9.
    Constraint and QualitativePreference Specification 505 Fig. 3. Overall Utilities and Statuses of Bids There are several promising future directions for this research work. In the litera- ture, there are approaches to assign weights for the attributes, such as Simple Multi- Attribute Rating Technique (SMART) and Weight determination based on Ordinal Ranking of Alternatives (WORA) [5]. We can compare our weight calculation algo- rithm with these approaches in terms of processing time and best outcome. Another direction is to compare MAUT with other decision analysis techniques [3], such as Analytic Hierarchy Process and Conjoint Analysis, specifically in the domain of re- verse auctions. Also, we would like to test the performance of our MARA system on a large dataset involving a large number of attributes, constraints, preferences and sell- ers. Our system allows the buyer to specify his preferences only qualitatively. To increase the acceptability of MARA, the buyer can be allowed to elicit qualitative preferences on some attributes as well as quantitative preferences on others. References 1. Alanazi, E., Mouhoub, M.: Managing qualitative preferences with constraints. In: Huang, T., Zeng, Z., Li, C., Leung, C.S. (eds.) ICONIP 2012, Part III. LNCS, vol. 7665, pp. 653–662. Springer, Heidelberg (2012) 2. Alanazi, E., Mouhoub, M., Mohammed, B.: A preference-aware interactive system for on- line shopping. Computer and Information Science 5(6), 33–42 (2012) 3. Bichler, M.: An experimental analysis of multi-attribute auctions. Decision Support Sys- tems 29(3), 249–268 (2000) 4. Bichler, M., Kalagnanam, J.: Configurable offers and winner determination in multi- attribute auctions. European Journal of Operational Research 160(2), 380–394 (2005) 5. Chandrashekar, T.S., Narahari, Y., Rosa, C.H., Kulkarni, D.M., Tew, J.D., Dayama, P.: Auction-based mechanisms for electronic procurement. IEEE Transactions on Automation Science and Engineering 4(3), 297–321 (2007)
  • 10.
    506 S. Sadaouiand S.K. Shil 6. Faltings, B., Pu, P., Zhang, J.: Agile Preference Models Based on Soft Constraints. In: AAAI Spring Symposium: Challenges to Decision Support in a Changing World, pp. 23–28 (2005) 7. Gajos, K., Weld, D.S.: Preference elicitation for interface optimization. In: Proceedings of the 18th Annual ACM Symposium on User Interface Software and Technology, UIST 2005, pp. 173–182. ACM, New York (2005) 8. Ghavamifar, F., Sadaoui, S., Mouhoub, M.: Preference elicitation and winner determina- tion in multi-attribute auctions. In: Murray, R.C., McCarthy, P.M. (eds.) FLAIRS Confe- rence, pp. 93–94. AAAI Press (2011) 9. Guo, Y., Müller, J.P., Weinhardt, C.: Learning user preferences for multi-attribute negotia- tion: An evolutionary approach. In: Mařík, V., Müller, J.P., Pěchouček, M. (eds.) CEEMAS 2003. LNCS (LNAI), vol. 2691, pp. 303–313. Springer, Heidelberg (2003) 10. Jannach, D., Kreutler, G.: Personalized user preference elicitation for e-services. In: Pro- ceedings of the 2005 IEEE International Conference on e-Technology, e-Commerce and e-Service, EEE 2005, pp. 604–611 (2005) 11. Jiang, W., Sadaoui, S.: Evaluating and Ranking Semantic Offers According to Users’ In- terests. Journal of Electronic Commerce Research, JECR 13(1), 1–22 (2012) 12. Karny, M., Guy, T.V.: Preference elicitation in fully probabilistic design of decision strat- egies. In: 2010 49th IEEE Conference on Decision and Control (CDC), pp. 5327–5332 (2010) 13. Manoochehri, G., Lindsy, C.: Reverse auctions: Benefits, challenges, and best practices. California Journal of Operations Management 6(1), 123–130 (2008) 14. Mohammed, B., Mouhoub, M., Alanazi, E., Sadaoui, S.: Data Mining Techniques and Preference Learning in Recommender Systems. Computer and Information Science 6(4), 88-1-2 (2013) 15. Pokahr, A., Braubach, L., Lamersdorf, W.: Jadex: A BDI Reasoning Engine. In: Bordini, R.H., Dastani, M., Dix, J., El FallahSeghrouchni, A. (eds.) Multi-Agent Programming. Mul- tiagent Systems, Artificial Societies, and Simulated Organizations, vol. 15, pp. 149–174. Springer, US (2005) 16. Prestwich, S., Rossi, F., Venable, K.B., Walsh, T.: Constraint-based preferential optimiza- tion. In: AAAI, vol. 5, pp. 461–466 (2005) 17. Seow, K.T., Sim, K.M.: Collaborative Assignment using Belief-Desire-Intention Agent Modeling and Negotiation with Speedup Strategies. Information Sciences 178(4), 1110–1132 (2008) 18. Shao-bin, D., Yu Qiang, F., Kexing, L., Xuncheng, S.: Preference elicitation of the NSS in the ecommerce. In: International Conference on Management Science and Engineering, ICMSE 2007, pp. 135–140 (2007) 19. Talluri, S., Narasimhan, R., Viswanathan, S.: Information technologies for procurement decisions: A decision support system for multi-attribute e-reverse auctions. International Journal of Production Research 45(11), 2615–2628 (2007) 20. Teich, J.E., Wallenius, H., Wallenius, J., Zaitsev, A.: A multi-attribute e-auction mechan- ism for procurement: Theoretical foundations. European Journal of Operational Re- search 175(1), 90–100 (2006) 21. Williams, C.L.: An overview of reverse auctions. In: Southwest Decision Sciences Insti- tute Conference (2010)