Cholinergic Blocking agents
Solanaceous Alkaloids and Analogues
~ By Madhuri Muwel
Cholinergic agents :-
• Also called cholinomimetics, cholinergic stimulants, cholinergic
agonists
• Drugs that stimulate the parasympathetic nervous system (PSNS)
• Mimic the effects of the PSNS neurotransmitter
• Example - Acetylcholine (ACH)
Cholinergic Blocking agents :-
• Drugs that block or inhibit the actions of acetylcholine (Ach) in the
parasympathetic nervous system (PSNS)
• The substance or agent that reduces the activity of the parasympathetic nervous
system are called as Cholinergic blocking agents.
• E.g.: Atropine, Propantheline, Biperiden
• Cholinergic blocking agents will reduce the availability of ACH-receptor
interactions and its biological response.
• • Also called as cholinolytics or parasympatholytics or cholinergic antagonists or
anticholinergics.
• They can also reduce the activity of cholinergic agonistic drugs.
• Cholinergic blockers are differentiated as muscarinic blockers and nicotinic
blockers
SAR of cholinolytic agents :-
General structure of Cholinergic blocking agents -
• The R1 or R2 groups must be carbocyclic or heterocyclic
• The R3 group can be hydrogen, hydroxyl (-OH), hydroxymethyl (-
CH2OH), amide
• The X is mostly Ester in most potent derivatives but it can be a ether
oxygen or absent completely
• The N substituent cab be both quaternary ammonium salt or tertiary
amine with different alkyl groups
• The distance between the ring substituted carbon and nitrogen is not
fixed but maximum potency requires about 2 carbon units
Cationic head (Quaternary N):
• In agonist the N can only be quanternary but in antagonist N can be
both quanternary or tertiary
• Drugs should contain quaternary ammonium like AcH to show
cholinergic blocking activity.
• Tertiary amine protonated with positive charge increases the potency
of a drug.
• 10 to 12 carbon bridge between two nitrogens is optimal for
maximum neuromuscular blockade.
• Methylethylpropyl or isopropyl substitution on quaternary N atom
shows good activity .
Chain substitution:
• Bridging structure between two N atoms should be lipophilic in nature to
show increased potency.
• . Ester group in the chain provides the most potent anticholinergic activity.
• The substituent may also be ether or aminoalcohol shows blocking action.
• No substitution in the chain decreases the activity.
A & B Substitution:
Substitution may be cycloalkyl,aromatic or heterocyclic rings.
• Substitution with heterocyclic rings or carbocyclic groups increases
antagonistic activity.
• More potent anticholinergic compounds possess different rings at position
A & B.
Substitution at position C :-
• The substituent can be hydrogen atom or hydroxyl group or
hyroxymethyl group. Antagonist with hydroxyl group or
hydroxymethyl group is more potent.
Drug effects on cholinergic Agent :-
“SLUDGE”
• Salivation
• Lacrimation
• Urinary incontinence
• Diarrhea
• Gastrointestinal cramps
• Emesis
Solanaceous Alkaloids and Analogues:-
The solanaceous alkaloids, represented by:
• (-)-hyoscyamine
• Atropine [(+)-hyoscyamine], and
• Scopolamine (hyoscine).
• The forerunners of the class of antimuscarinic drugs.
• These alkaloids are found principally in henbane (Hyoscyomus niger). Deadly nightshade (Atropa
belladonna).
• All of the solanaceous alkaloids are esters of the bicyclic aminoalcohol 3-hydroxytropane or of related
aminoalcohols.
• Their chair conformation is accepted because this form has the lowest energy requirement.
• They were used in hemorrhoides because of their weak local anesthetic effects.
• They stimulate the respiratory center.
• They lead to mydriasis.
• They commonly use as antispasmodic.
Classification
1. Atropine Sulphate
2. Hyoscyamine Sulphate
3. Scopolamine Hydrobromide
4. Homatropine Hydrobromide
5. Ipratropium Bromide
1. Atropine Sulphate
Properties :
• It is a white crystalline powder or colourless crystals, freely soluble in
alcohol and well soluble in water.
• Atropine has all the actions and uses of antimuscarinic drugs.
1. Atropine Sulphate
Uses:
1.Atropine produces mydriatic effect (dilation of pupil).
2.Used in the treatment of iritis and corneal
inflammations.
3. To treat arrythmias by increasing heart rate.
4. Atropine is used before general anaesthesia to reduce
oral and nasal secretions
5. Used as organophosphate antidote(to prevent
muscarinic effects of AcH accumulation).
2. Hyoscyamine Sulphate
Uses:
1. Used as a anticholinergic agent.
2.Levorotatory form of atropine H2SO4
3. Scopolamine Hydrobromide
Properties :
It exists as colourless or white crystals or white granular powder,
odourless, slightly efflorescent in dry air, and is an anhydrous salt,
soluble in water or alcohol and in chloroform, insoluble in ether.
3. Scopolamine Hydrobromide
Uses:
1.Scopolamine is also called as hyoscine
2.Used to treat motion sickness and postoperative nausea and vomiting
3. Scopolamine is used before surgery to decrease saliva secretion
4. Homotropine Hydrobromide :-
Properties :
• It is a white crystalline powder or colourless crystals, sparingly soluble
in alcohol, but freely soluble in water
4. Homotropine Hydrobromide
Uses:
1. First anticholinergic agent used before eye examinations and after
eye surgeries.
2. It blocks muscarinic actions of acetylcholine
3. It widens the pupil of eye
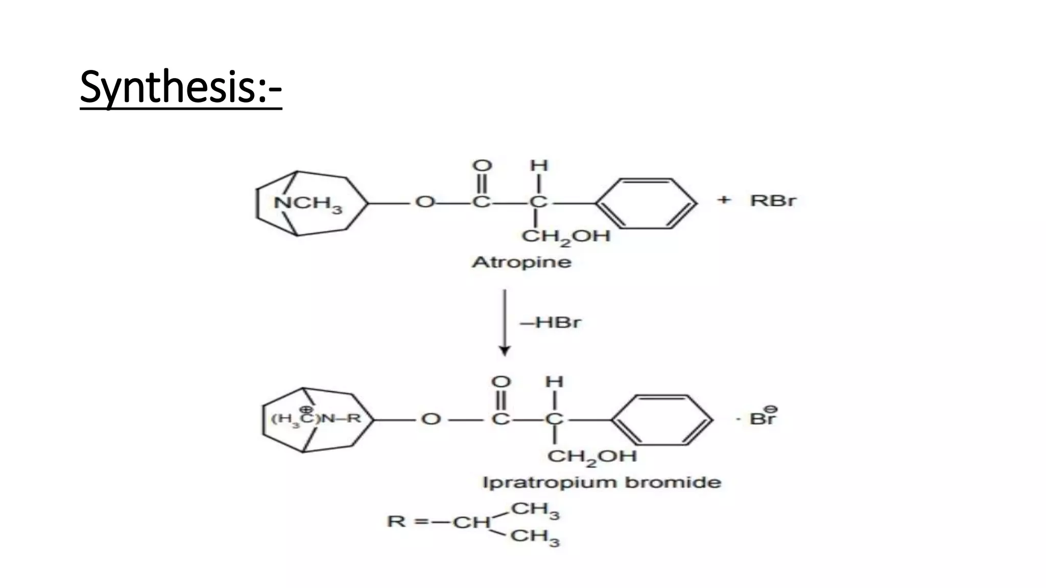
5. Ipratropium Bromide
Properties :
• It is a white or almost white crystalline powder, freely soluble in
methanol, soluble in water, but slightly soluble in ethanol.
5. Ipratropium Bromide
Uses:
1.Used to control and prevent symptoms of Wheezing and shortness of
breath caused by lung disease chronic obstructure pulmonary disease.
2.It relaxes the muscles around airways to easier the breathe
3. To treat bronchitis and emphysema.
Synthesis:-
Thank youu :-)

Cholinergic blocking agents by Aryan Patel.pptx

  • 1.
    Cholinergic Blocking agents SolanaceousAlkaloids and Analogues ~ By Madhuri Muwel
  • 2.
    Cholinergic agents :- •Also called cholinomimetics, cholinergic stimulants, cholinergic agonists • Drugs that stimulate the parasympathetic nervous system (PSNS) • Mimic the effects of the PSNS neurotransmitter • Example - Acetylcholine (ACH)
  • 3.
    Cholinergic Blocking agents:- • Drugs that block or inhibit the actions of acetylcholine (Ach) in the parasympathetic nervous system (PSNS) • The substance or agent that reduces the activity of the parasympathetic nervous system are called as Cholinergic blocking agents. • E.g.: Atropine, Propantheline, Biperiden • Cholinergic blocking agents will reduce the availability of ACH-receptor interactions and its biological response. • • Also called as cholinolytics or parasympatholytics or cholinergic antagonists or anticholinergics. • They can also reduce the activity of cholinergic agonistic drugs. • Cholinergic blockers are differentiated as muscarinic blockers and nicotinic blockers
  • 4.
    SAR of cholinolyticagents :- General structure of Cholinergic blocking agents -
  • 5.
    • The R1or R2 groups must be carbocyclic or heterocyclic • The R3 group can be hydrogen, hydroxyl (-OH), hydroxymethyl (- CH2OH), amide • The X is mostly Ester in most potent derivatives but it can be a ether oxygen or absent completely • The N substituent cab be both quaternary ammonium salt or tertiary amine with different alkyl groups • The distance between the ring substituted carbon and nitrogen is not fixed but maximum potency requires about 2 carbon units
  • 6.
    Cationic head (QuaternaryN): • In agonist the N can only be quanternary but in antagonist N can be both quanternary or tertiary • Drugs should contain quaternary ammonium like AcH to show cholinergic blocking activity. • Tertiary amine protonated with positive charge increases the potency of a drug. • 10 to 12 carbon bridge between two nitrogens is optimal for maximum neuromuscular blockade. • Methylethylpropyl or isopropyl substitution on quaternary N atom shows good activity .
  • 7.
    Chain substitution: • Bridgingstructure between two N atoms should be lipophilic in nature to show increased potency. • . Ester group in the chain provides the most potent anticholinergic activity. • The substituent may also be ether or aminoalcohol shows blocking action. • No substitution in the chain decreases the activity. A & B Substitution: Substitution may be cycloalkyl,aromatic or heterocyclic rings. • Substitution with heterocyclic rings or carbocyclic groups increases antagonistic activity. • More potent anticholinergic compounds possess different rings at position A & B.
  • 8.
    Substitution at positionC :- • The substituent can be hydrogen atom or hydroxyl group or hyroxymethyl group. Antagonist with hydroxyl group or hydroxymethyl group is more potent.
  • 9.
    Drug effects oncholinergic Agent :- “SLUDGE” • Salivation • Lacrimation • Urinary incontinence • Diarrhea • Gastrointestinal cramps • Emesis
  • 10.
    Solanaceous Alkaloids andAnalogues:- The solanaceous alkaloids, represented by: • (-)-hyoscyamine • Atropine [(+)-hyoscyamine], and • Scopolamine (hyoscine). • The forerunners of the class of antimuscarinic drugs. • These alkaloids are found principally in henbane (Hyoscyomus niger). Deadly nightshade (Atropa belladonna). • All of the solanaceous alkaloids are esters of the bicyclic aminoalcohol 3-hydroxytropane or of related aminoalcohols. • Their chair conformation is accepted because this form has the lowest energy requirement. • They were used in hemorrhoides because of their weak local anesthetic effects. • They stimulate the respiratory center. • They lead to mydriasis. • They commonly use as antispasmodic.
  • 11.
    Classification 1. Atropine Sulphate 2.Hyoscyamine Sulphate 3. Scopolamine Hydrobromide 4. Homatropine Hydrobromide 5. Ipratropium Bromide
  • 12.
    1. Atropine Sulphate Properties: • It is a white crystalline powder or colourless crystals, freely soluble in alcohol and well soluble in water. • Atropine has all the actions and uses of antimuscarinic drugs.
  • 13.
    1. Atropine Sulphate Uses: 1.Atropineproduces mydriatic effect (dilation of pupil). 2.Used in the treatment of iritis and corneal inflammations. 3. To treat arrythmias by increasing heart rate. 4. Atropine is used before general anaesthesia to reduce oral and nasal secretions 5. Used as organophosphate antidote(to prevent muscarinic effects of AcH accumulation).
  • 14.
    2. Hyoscyamine Sulphate Uses: 1.Used as a anticholinergic agent. 2.Levorotatory form of atropine H2SO4
  • 15.
    3. Scopolamine Hydrobromide Properties: It exists as colourless or white crystals or white granular powder, odourless, slightly efflorescent in dry air, and is an anhydrous salt, soluble in water or alcohol and in chloroform, insoluble in ether.
  • 16.
    3. Scopolamine Hydrobromide Uses: 1.Scopolamineis also called as hyoscine 2.Used to treat motion sickness and postoperative nausea and vomiting 3. Scopolamine is used before surgery to decrease saliva secretion
  • 17.
    4. Homotropine Hydrobromide:- Properties : • It is a white crystalline powder or colourless crystals, sparingly soluble in alcohol, but freely soluble in water
  • 18.
    4. Homotropine Hydrobromide Uses: 1.First anticholinergic agent used before eye examinations and after eye surgeries. 2. It blocks muscarinic actions of acetylcholine 3. It widens the pupil of eye
  • 19.
    5. Ipratropium Bromide Properties: • It is a white or almost white crystalline powder, freely soluble in methanol, soluble in water, but slightly soluble in ethanol.
  • 20.
    5. Ipratropium Bromide Uses: 1.Usedto control and prevent symptoms of Wheezing and shortness of breath caused by lung disease chronic obstructure pulmonary disease. 2.It relaxes the muscles around airways to easier the breathe 3. To treat bronchitis and emphysema.
  • 21.
  • 22.