Pd-Catalyzed Buchwald-Hartwig C−N
Coupling Reactions and its applications in
Medicinal Chemistry
1
-:Presented By:-
Anil Kumar Pujari
M.S. (Pharm.)
MEDICINAL CHEMISTRY
Flow of Presentation
2
Introduction
Current strategies for C-N bond Formation Reactions
General Reaction and Mechanism
Components of the Catalytic System
Troubleshooting guide for Pd-catalyzed amination
Applications of Palladium-Catalyzed C−N Cross-Coupling Reactions
Conclusions
3
Introduction
 A carbon–nitrogen bond is a covalent bond that is one of the most
abundant bonds in organic chemistry and biochemistry
It is present in amino acids, DNA bases, and many other important biological
active molecules, include kinase inhibitors, antibiotics and CNS active agents
 Buchwald-Hartwig amination is a palladium-catalyzed cross-coupling
reaction of amines and aryl halides that results in formation of C-N bonds
 C-N bond forming reaction is used in the synthesis of many classes of
compound such as amines, carbamates, lactam, sulfonamide, guanidines etc
 In the past 20 years, the utility and versatility of this transformation has
been amply demonstrated through literature reports in many fields of chemical
research
4
J. Med. Chem. 2011, 54, 3451 Org. Biomol. Chem. 2006, 4, 2337
Med Chem
• A survey of reactions used in Med Chem at
GSK, Pfizer and Astra Zeneca from 2008 to
2011
• 23.1% included heteroatom
alkylation/arylation (also largest class of
reactions).
29%
29%
34%
4%
3%
N-Substitution
Reductive Alkylation N-Alkylation with Alk-X
N-Arylation with Aryl-X Amide N-Alkylation
Heteroaryl N-Alkylation
73%
24%
3%
Alkylation/Arylation
N-substitution O-substitution
S-substitution
C-N bond Formation: Who needs it?
5
J. Med. Chem. 2011, 54, 3451 Org. Biomol. Chem. 2006, 4, 2337
Process Chem
• A survey of reactions used in Process Chem at
GSK, Pfizer and Astra Zeneca.
• Out of small molecule drugs (<550 MW), 90%
contained nitrogen.
• Heteroatom alkylation/arylation represented the
largest class of reactions (19%)
57%
28%
8%
7%
Alkylation/Arylation
N-substitution O-substitution
S-substitution Other
36%
20%
17%
10%
10%
8%
N-Substitution
Alkylation with Alk-X Reductive Alkylation
Arylation with Aryl-X Amide Alkylation
Aniline alkylation Heteroaryl Alkylation
C-N bond Formation: Who needs it?
Current strategies for C-N bond
Formation Reactions
6
In early 1990, Buchwald and Hartwig developed C-N bond formation reaction using Pd and
Cu catalyst in presence of suitable ligands.
Chem. Soc. Rev., 2013,42, 9283
7
• Early work by Migita in 1983.
• Limited scope, but conditions are mild
compared to other methods at the time.
• Sn toxicity problematic.
• Buchwald and Hartwig studied this reaction
in detail.
Chem. Lett. 1983, 927
J. Am. Chem. Soc.1994,116, 5969
J. Am. Chem. Soc.1994, 116, 7901
• Developed a tin-free methodology utilizing
a bulky base.
• Scope was limited to secondary amines
due to competing β-hydride elimination.
• Encouraged the development of novel
phosphine ligands to improve the reaction
generality.
J. Am. Chem. Soc.1996,118, 72
J. Am. Chem. Soc.1996,118, 7217.
• Since 1994, vast amount of
research devoted to extending the
reaction generality.
• Can now be applied to a vast array
of systems.
Chem. Sci. 2010, 2, 27
Buchwald-Hartwig Amination
General Reaction and Mechanism
8
Chem. Sci., 2011, 2, 27-50
Components of the Catalytic System
9
Solvents
Role of the solvent
 Dissolution of the coupling partners as well as parts of the
base
 Allowing for a respective temperature window for the reaction
 Stabilization of intermediates in the catalytic cycle
10
Tetrahedron 2002, 58, 2041–2075
• Buchwald–Hartwig aminations are usually run within an
organic solvent system
• Toluene and 1,4-dioxane are most commonly employed
• 1,4-dioxane has an unfavorable toxicity profile and can
typically be replaced with Bu2O
• THF and DME can also be used
• Toluene is particularly advantageous in the coupling of aryl
iodides due its weak ability to solubilize the inorganic iodide
salts
• Polar solvents DMF, DMSO and t-BuOH can also be used
11
Angew. Chem. .Int. Ed. 1998, 37, 2047
12
Base
 Bases deprotonates the amine before or after coordination to palladium
 The most common bases for C-N couplings are: t-BuONa, t-BuOK, LHMDS,
Cs2CO3, K2CO3, K3PO4, NaOMe, NaOH, KOH
 The relative base strength determines the functional group tolerance
 Weak inorganic bases such as Cs2CO3, K3PO4 or K2CO3 can bring significant
benefits in the functional group tolerance of Pd-catalyzed amination reactions
Base strengths of typical bases used in Buchwald– Hartwig aminations
 LHMDS allows amination of aryl halides containing hydroxy, amide or
enolizable keto groups with dialkylbiaryl phosphine ligands
 Cs2CO3 is most effective when chelating bisphosphine ligands are used
Angew. Chem. Int. Ed. 1999, 38, 2413
13
Base Advantages Disadvantages
NaOt-Bu Permits highest reaction rates and lowest
catalyst loadings
Incompatible with many
electrophilic functional
groups
LHMDS Allows utilization of substrates bearing
protic functional groups
Useful for low temperature amination
Solid base is air sensitive
Incompatible with some
functional groups at elevated
temperature
Cs2CO3 Provides excellent functional group
tolerance and often highest reaction rate
of weak bases
Expensive
Can be hard to stir on large
scale
K3PO4,
K2CO3
Excellent functional group tolerance
Often most efficient for the arylation of
amides
Economically attractive
Can require relatively high
catalyst loadings and long
reaction times
Comparison of bases typically used in Pd-catalyzed amination
Chem. Sci., 2011, 2, 27-50
14
Palladium
 Typically, Pd(0) or Pd(II) precursors are used
 The most prominent Pd(0) precursors are Pd2(dba)3 and Pd(dba)2
 The most versatile Pd(II) precursor is Pd(OAc)2. [allPdCl]2 or Pd(acac)2 also
show remarkable activity in special cases
 One of the most abundant Pd(II) salts is PdCl2, efficient in the amination of
aryl bromides using diphosphines but not very promising with mono-
phosphines
 The palladium catalyst must be in the (0) oxidation state before the catalytic
cycle initiates, and therefore the palladium(II) in Pd(OAc)2 must be reduced
prior to catalysis initiation
Can. J. Chem. , 2001, 79(11), 1799-1805
Pd2(dba)3
 In the case of Pd2(dba)3 (dba = dibenzylideneacetone), the oxidation state
of palladium is already (0) and there is no need for reduction
 In this case reaction with phosphines L gives species of the type Pd(dba)L2
rather than Pd(0)Ln
15
Pd(OAc)2
 Pd(OAc)2 is usually reduced to palladium(0) complex [Pd(OAc)L2]- by
phosphines
 At least 3 equivalents of PPh3 is needed for the reduction of Pd(OAc)2
Chem. Sci., 2011, 2, 27-50
Ligands
16
 C-N coupling reactions are usually carried out with an added ligand
 A palladium precursor is typically stabilized in solution by an adequate ligand
that also raises the electron density at the metal to facilitate oxidative
addition and provides sufficient bulkiness to accelerate reductive elimination
 The first ligands to be used were P(o-Tol)3 and P(t-Bu)3
 The chelating bisphosphines BINAP, DPPF and DtBPF used by Buchwald and
Hartwig
 These bisphos-phines interestingly can act in a trans-chelating mode
 Buchwald developed a series of new monodentate phosphines exemplified
by DavePhos, XPhos, BrettPhos and RuPhos
 van Leeuwen developed XantPhos and DPEPhos (aryl ethers) that show
especially high activity for coupling of aryl halides with amides, hydra-zines,
oxazolidinones and ureas
J. Am. Chem. Soc. 2004, 126, 1, 82–83
J. Am. Chem. Soc. 2002, 124, 6043–6048
Ligands
17
Acc. Chem. Res., 1998, 31 (12), 805–818 Org. Lett. 2000, 2 (8), 1101− 1104
J. Am. Chem. Soc. 2003, 125, 6653–6655 Chem. Sci., 2011, 2, 27-50
19
 BINAP and Xant-phos have become the most often used ligands
for N-arylation reactions
 BrettPhos first became famous because of its ability to effect
amination of aryl mesylates
 DavePhos with Pd2(dba)3 and Pd(OAc)2, it demonstrated good
results for arylation of both primary and secondary amines with
various aryl halides with low catalyst loading
 Hartwig explored the use of DPPF which improved on the
amination of primary amines by promoting reductive elimination
over β-hydride elimination because of its coordination geometry
and bite angle
Name BrettPhos RuPhos
Best nucleophiles Primary alkyl amines
Primary anilines
Secondary alkyl amines
Secondary anilines
Chem. Sci., 2011, 2, 27-50
20
Chem. Sci., 2011, 2, 57
Cross-coupling reactions of functionalized aryl chlorides and simple primary aliphatic amines
21
Chem. Sci., 2011, 2, 57
RuPhos as the ligand for Pd-catalyzed C–N coupling reactions of secondary amines and aryl
chlorides
22
N-arylation of the chiral amine with the bromonaphthalene
J. Am. Chem. Soc., 2010, 132 (3), 1151–1158
23
Problem Possible causes Solutions
Low conversion Inefficient formation of active catalyst
Low rate of reaction
Employ readily activatable precatalysts
Increase catalyst loading
Perform reaction at a higher temperature
Poor yield Incompatibility of base with functional groups in
substrate
Employ a weaker base with better functional
group tolerance (Cs2CO3 or K3PO4)
Formation of Catalyst decomposition
Inefficient reductive elimination
Perform reaction at a lower temperature
Use a ligand that gives faster reductive
elimination
Presence of adventitious water in reaction Dry reagents
Add activated molecular sieves
Presence of adventitious water in reaction Dry reagents
Add activated molecular sieves
Inefficient transmetallation
Unsuitable solvent for reaction
Use a ligand that is less sterically hindered or
more electron-deficient at P
Troubleshooting guide for Pd-catalyzed amination
Chem. Sci., 2011, 2, 27-50
24
24
Nucleophile Ligand Typical condition Pd source
BrettPhos NaOt-Bu,dioxane
Or K2CO3, t-BuOH
90-110 ̊C
Pd2(dba)3
RuPhos NaOt-Bu, THF
Or Cs2CO3, t-BuOH
65-110 ̊C
Pd2(dba)3
tBuBrettPhos Pd(OAc)2, K3PO4
t-BuOH,110 ̊C Pd(OAc)2
DavePhos
or others
NaOt-Bu,
toluene,80-100 ̊C
Pd2(dba)3
tBuXPhos K3PO4,
DME, 30 ̊C
Or NaOt-Bu,
Toluene, 65 ̊C
Pd2(dba)3
Reaction conditions used for different classes of nucleophile
Chem. Sci., 2011, 2, 27-50
25
Electrophile Ligand Typical condition
Aryl bromides and chlorides BrettPhos/
RuPhos/tBuBrettPhos
K2CO3, t-BuOH
110 ̊C
Aryl sulfonates XPhos NaOt-Bu, t-BuOH
K3PO4 , 110 oC
25
Reaction conditions used for different classes of electrophile
ArI> ArBr > ArCl > ArF
Chem. Sci., 2011, 2, 27-50
26
Applications of Palladium-
Catalyzed C−N Cross-Coupling
Reactions
27
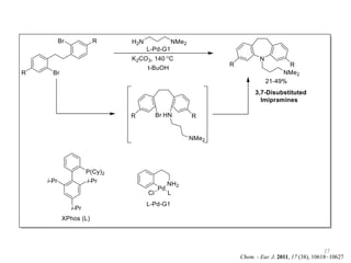
Chem. - Eur. J. 2011, 17 (38), 10618−10627
28
Chem. Commun. 2010, 46(14), 2450−2452
29
Org. Lett., 2011, 13 (24), 6496–6499
30
Org. Process Res. Dev. 2014, 18 (11), 1571−1574
31
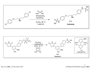
Org. Lett. 2011, 13 (10), 2564−2567 US Patent 20130224149, Aug 29, 2013
32
Conclusions
 Nitrogen containing compounds are of great importance because of their interesting
and diverse biological activities
 The construction of the C–N bond is of significant importance as it opens avenues
for the introduction of nitrogen in organic molecules
 Nitrogen-based heterocycles are key building blocks in the area of medicinal
chemistry
 Methods for their preparation that utilize Pd-catalyzed C−N coupling chemistry
typically provide significant advantages over traditional ones
 These methods have become increasingly versatile as a result of innovations in
catalyst design and improvements in reaction conditions
 The applicability of Pd-catalyzed C-N cross-coupling reactions in medicinal
chemistry has rapidly grown in the past years
33
Thank You….

Chemo

  • 1.
    Pd-Catalyzed Buchwald-Hartwig C−N CouplingReactions and its applications in Medicinal Chemistry 1 -:Presented By:- Anil Kumar Pujari M.S. (Pharm.) MEDICINAL CHEMISTRY
  • 2.
    Flow of Presentation 2 Introduction Currentstrategies for C-N bond Formation Reactions General Reaction and Mechanism Components of the Catalytic System Troubleshooting guide for Pd-catalyzed amination Applications of Palladium-Catalyzed C−N Cross-Coupling Reactions Conclusions
  • 3.
    3 Introduction  A carbon–nitrogenbond is a covalent bond that is one of the most abundant bonds in organic chemistry and biochemistry It is present in amino acids, DNA bases, and many other important biological active molecules, include kinase inhibitors, antibiotics and CNS active agents  Buchwald-Hartwig amination is a palladium-catalyzed cross-coupling reaction of amines and aryl halides that results in formation of C-N bonds  C-N bond forming reaction is used in the synthesis of many classes of compound such as amines, carbamates, lactam, sulfonamide, guanidines etc  In the past 20 years, the utility and versatility of this transformation has been amply demonstrated through literature reports in many fields of chemical research
  • 4.
    4 J. Med. Chem.2011, 54, 3451 Org. Biomol. Chem. 2006, 4, 2337 Med Chem • A survey of reactions used in Med Chem at GSK, Pfizer and Astra Zeneca from 2008 to 2011 • 23.1% included heteroatom alkylation/arylation (also largest class of reactions). 29% 29% 34% 4% 3% N-Substitution Reductive Alkylation N-Alkylation with Alk-X N-Arylation with Aryl-X Amide N-Alkylation Heteroaryl N-Alkylation 73% 24% 3% Alkylation/Arylation N-substitution O-substitution S-substitution C-N bond Formation: Who needs it?
  • 5.
    5 J. Med. Chem.2011, 54, 3451 Org. Biomol. Chem. 2006, 4, 2337 Process Chem • A survey of reactions used in Process Chem at GSK, Pfizer and Astra Zeneca. • Out of small molecule drugs (<550 MW), 90% contained nitrogen. • Heteroatom alkylation/arylation represented the largest class of reactions (19%) 57% 28% 8% 7% Alkylation/Arylation N-substitution O-substitution S-substitution Other 36% 20% 17% 10% 10% 8% N-Substitution Alkylation with Alk-X Reductive Alkylation Arylation with Aryl-X Amide Alkylation Aniline alkylation Heteroaryl Alkylation C-N bond Formation: Who needs it?
  • 6.
    Current strategies forC-N bond Formation Reactions 6 In early 1990, Buchwald and Hartwig developed C-N bond formation reaction using Pd and Cu catalyst in presence of suitable ligands. Chem. Soc. Rev., 2013,42, 9283
  • 7.
    7 • Early workby Migita in 1983. • Limited scope, but conditions are mild compared to other methods at the time. • Sn toxicity problematic. • Buchwald and Hartwig studied this reaction in detail. Chem. Lett. 1983, 927 J. Am. Chem. Soc.1994,116, 5969 J. Am. Chem. Soc.1994, 116, 7901 • Developed a tin-free methodology utilizing a bulky base. • Scope was limited to secondary amines due to competing β-hydride elimination. • Encouraged the development of novel phosphine ligands to improve the reaction generality. J. Am. Chem. Soc.1996,118, 72 J. Am. Chem. Soc.1996,118, 7217. • Since 1994, vast amount of research devoted to extending the reaction generality. • Can now be applied to a vast array of systems. Chem. Sci. 2010, 2, 27 Buchwald-Hartwig Amination
  • 8.
    General Reaction andMechanism 8 Chem. Sci., 2011, 2, 27-50
  • 9.
    Components of theCatalytic System 9
  • 10.
    Solvents Role of thesolvent  Dissolution of the coupling partners as well as parts of the base  Allowing for a respective temperature window for the reaction  Stabilization of intermediates in the catalytic cycle 10 Tetrahedron 2002, 58, 2041–2075
  • 11.
    • Buchwald–Hartwig aminationsare usually run within an organic solvent system • Toluene and 1,4-dioxane are most commonly employed • 1,4-dioxane has an unfavorable toxicity profile and can typically be replaced with Bu2O • THF and DME can also be used • Toluene is particularly advantageous in the coupling of aryl iodides due its weak ability to solubilize the inorganic iodide salts • Polar solvents DMF, DMSO and t-BuOH can also be used 11 Angew. Chem. .Int. Ed. 1998, 37, 2047
  • 12.
    12 Base  Bases deprotonatesthe amine before or after coordination to palladium  The most common bases for C-N couplings are: t-BuONa, t-BuOK, LHMDS, Cs2CO3, K2CO3, K3PO4, NaOMe, NaOH, KOH  The relative base strength determines the functional group tolerance  Weak inorganic bases such as Cs2CO3, K3PO4 or K2CO3 can bring significant benefits in the functional group tolerance of Pd-catalyzed amination reactions Base strengths of typical bases used in Buchwald– Hartwig aminations  LHMDS allows amination of aryl halides containing hydroxy, amide or enolizable keto groups with dialkylbiaryl phosphine ligands  Cs2CO3 is most effective when chelating bisphosphine ligands are used Angew. Chem. Int. Ed. 1999, 38, 2413
  • 13.
    13 Base Advantages Disadvantages NaOt-BuPermits highest reaction rates and lowest catalyst loadings Incompatible with many electrophilic functional groups LHMDS Allows utilization of substrates bearing protic functional groups Useful for low temperature amination Solid base is air sensitive Incompatible with some functional groups at elevated temperature Cs2CO3 Provides excellent functional group tolerance and often highest reaction rate of weak bases Expensive Can be hard to stir on large scale K3PO4, K2CO3 Excellent functional group tolerance Often most efficient for the arylation of amides Economically attractive Can require relatively high catalyst loadings and long reaction times Comparison of bases typically used in Pd-catalyzed amination Chem. Sci., 2011, 2, 27-50
  • 14.
    14 Palladium  Typically, Pd(0)or Pd(II) precursors are used  The most prominent Pd(0) precursors are Pd2(dba)3 and Pd(dba)2  The most versatile Pd(II) precursor is Pd(OAc)2. [allPdCl]2 or Pd(acac)2 also show remarkable activity in special cases  One of the most abundant Pd(II) salts is PdCl2, efficient in the amination of aryl bromides using diphosphines but not very promising with mono- phosphines  The palladium catalyst must be in the (0) oxidation state before the catalytic cycle initiates, and therefore the palladium(II) in Pd(OAc)2 must be reduced prior to catalysis initiation Can. J. Chem. , 2001, 79(11), 1799-1805
  • 15.
    Pd2(dba)3  In thecase of Pd2(dba)3 (dba = dibenzylideneacetone), the oxidation state of palladium is already (0) and there is no need for reduction  In this case reaction with phosphines L gives species of the type Pd(dba)L2 rather than Pd(0)Ln 15 Pd(OAc)2  Pd(OAc)2 is usually reduced to palladium(0) complex [Pd(OAc)L2]- by phosphines  At least 3 equivalents of PPh3 is needed for the reduction of Pd(OAc)2 Chem. Sci., 2011, 2, 27-50
  • 16.
    Ligands 16  C-N couplingreactions are usually carried out with an added ligand  A palladium precursor is typically stabilized in solution by an adequate ligand that also raises the electron density at the metal to facilitate oxidative addition and provides sufficient bulkiness to accelerate reductive elimination  The first ligands to be used were P(o-Tol)3 and P(t-Bu)3  The chelating bisphosphines BINAP, DPPF and DtBPF used by Buchwald and Hartwig  These bisphos-phines interestingly can act in a trans-chelating mode  Buchwald developed a series of new monodentate phosphines exemplified by DavePhos, XPhos, BrettPhos and RuPhos  van Leeuwen developed XantPhos and DPEPhos (aryl ethers) that show especially high activity for coupling of aryl halides with amides, hydra-zines, oxazolidinones and ureas J. Am. Chem. Soc. 2004, 126, 1, 82–83 J. Am. Chem. Soc. 2002, 124, 6043–6048
  • 17.
    Ligands 17 Acc. Chem. Res.,1998, 31 (12), 805–818 Org. Lett. 2000, 2 (8), 1101− 1104
  • 18.
    J. Am. Chem.Soc. 2003, 125, 6653–6655 Chem. Sci., 2011, 2, 27-50
  • 19.
    19  BINAP andXant-phos have become the most often used ligands for N-arylation reactions  BrettPhos first became famous because of its ability to effect amination of aryl mesylates  DavePhos with Pd2(dba)3 and Pd(OAc)2, it demonstrated good results for arylation of both primary and secondary amines with various aryl halides with low catalyst loading  Hartwig explored the use of DPPF which improved on the amination of primary amines by promoting reductive elimination over β-hydride elimination because of its coordination geometry and bite angle Name BrettPhos RuPhos Best nucleophiles Primary alkyl amines Primary anilines Secondary alkyl amines Secondary anilines Chem. Sci., 2011, 2, 27-50
  • 20.
    20 Chem. Sci., 2011,2, 57 Cross-coupling reactions of functionalized aryl chlorides and simple primary aliphatic amines
  • 21.
    21 Chem. Sci., 2011,2, 57 RuPhos as the ligand for Pd-catalyzed C–N coupling reactions of secondary amines and aryl chlorides
  • 22.
    22 N-arylation of thechiral amine with the bromonaphthalene J. Am. Chem. Soc., 2010, 132 (3), 1151–1158
  • 23.
    23 Problem Possible causesSolutions Low conversion Inefficient formation of active catalyst Low rate of reaction Employ readily activatable precatalysts Increase catalyst loading Perform reaction at a higher temperature Poor yield Incompatibility of base with functional groups in substrate Employ a weaker base with better functional group tolerance (Cs2CO3 or K3PO4) Formation of Catalyst decomposition Inefficient reductive elimination Perform reaction at a lower temperature Use a ligand that gives faster reductive elimination Presence of adventitious water in reaction Dry reagents Add activated molecular sieves Presence of adventitious water in reaction Dry reagents Add activated molecular sieves Inefficient transmetallation Unsuitable solvent for reaction Use a ligand that is less sterically hindered or more electron-deficient at P Troubleshooting guide for Pd-catalyzed amination Chem. Sci., 2011, 2, 27-50
  • 24.
    24 24 Nucleophile Ligand Typicalcondition Pd source BrettPhos NaOt-Bu,dioxane Or K2CO3, t-BuOH 90-110 ̊C Pd2(dba)3 RuPhos NaOt-Bu, THF Or Cs2CO3, t-BuOH 65-110 ̊C Pd2(dba)3 tBuBrettPhos Pd(OAc)2, K3PO4 t-BuOH,110 ̊C Pd(OAc)2 DavePhos or others NaOt-Bu, toluene,80-100 ̊C Pd2(dba)3 tBuXPhos K3PO4, DME, 30 ̊C Or NaOt-Bu, Toluene, 65 ̊C Pd2(dba)3 Reaction conditions used for different classes of nucleophile Chem. Sci., 2011, 2, 27-50
  • 25.
    25 Electrophile Ligand Typicalcondition Aryl bromides and chlorides BrettPhos/ RuPhos/tBuBrettPhos K2CO3, t-BuOH 110 ̊C Aryl sulfonates XPhos NaOt-Bu, t-BuOH K3PO4 , 110 oC 25 Reaction conditions used for different classes of electrophile ArI> ArBr > ArCl > ArF Chem. Sci., 2011, 2, 27-50
  • 26.
    26 Applications of Palladium- CatalyzedC−N Cross-Coupling Reactions
  • 27.
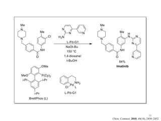
    27 Chem. - Eur.J. 2011, 17 (38), 10618−10627
  • 28.
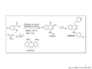
    28 Chem. Commun. 2010,46(14), 2450−2452
  • 29.
    29 Org. Lett., 2011,13 (24), 6496–6499
  • 30.
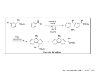
    30 Org. Process Res.Dev. 2014, 18 (11), 1571−1574
  • 31.
    31 Org. Lett. 2011,13 (10), 2564−2567 US Patent 20130224149, Aug 29, 2013
  • 32.
    32 Conclusions  Nitrogen containingcompounds are of great importance because of their interesting and diverse biological activities  The construction of the C–N bond is of significant importance as it opens avenues for the introduction of nitrogen in organic molecules  Nitrogen-based heterocycles are key building blocks in the area of medicinal chemistry  Methods for their preparation that utilize Pd-catalyzed C−N coupling chemistry typically provide significant advantages over traditional ones  These methods have become increasingly versatile as a result of innovations in catalyst design and improvements in reaction conditions  The applicability of Pd-catalyzed C-N cross-coupling reactions in medicinal chemistry has rapidly grown in the past years
  • 33.