Strength of Bolts
1
Bearing type connections
In bearing type, load transferred is greater than friction resistance
Bolts in Bearing type connection are checked for
• (i) shear, and
• (ii) bearing
Strength of Bolt:
Strength of bolt = Minimum of i) Strength of bolt in bearing, and ii) Strength of bolt in shearing
Strength of bolt connection = strength of one bolt x no. of bolts
Strength of joint = Minimum of (i) strength of bolt or bolt group, and (ii) net tensile Strength of
plate
2
Shearing Strength of Bolt:
Nominal Shear Capacity of the bolt is Vnsb =
Design Shear Capacity of the bolt is Vdsb = =
fub = Ultimate tensile strength of bolt
nn = No. of shear planes with threads,
ns = No. of shear planes without threads (shanks),
Asb = Nominal area of shank, Asb,
Anb = Net stress area of bolt = 0.78x Asb
m = partial safety factor for bolt material= 1.25
3
For safety of bolt
Vnsb < Vdsb
Bearing Strength of Bolt
• The nominal bearing strength of bolt is given by
Vpb = 2.5 x kb.d.t.
• The design strength of bolt is Vdpb = = 2.5 x kb.d.t.
where
d0 = diameter of hole, d = diameter of bolt
e, p = end and pitch distances of the bolt along bearing direction
fub = Ultimate tensile strength of bolt , fu = Ultimate tensile strength of plate
t = aggregate thickness of the connected plates in bearing stress in same direction
m = partial safety factor for bolt material= 1.25
4
For safety of
joint in bearing
Vpb < Vdpb
Tensile strength of plate
• The tensile strength of the plate is given by
Tnd =
where fu = the ultimate stress of material in MPa
= partial safety factor = 1.25
An = the effective net area of plate in mm2
An = (b-nd0).t for chain bolting
An ={ b-n.do + ∑}.t for staggered bolting
5
b = width of plate
t= thickness of thinner plate
d0 = diameter of hole
Ps = staggered pitch
g = gauge length
Design of Bolt Joint – Basic specifications
1. Clearance for fastener holes : Table 19 (Clause 10.2.1)
• Diameter of bolt hole (d0) = dia of bolt (d) + 1mm ( dia range from 12 to 14mm)
= d + 2 ( d range from 16 to 24mm)
= d+ 3 ( d is greater than 30mm)
6
d+1 d+1 d+2 d+2 d+2 d+2 d+3 d+3
Nominal
diameter (d) in mm 12 14 16 20 22 24 30 36
Diameter of
hole (d0) in mm 13 15 18 22 24 26 33 39
Design of Bolt Joint – Basic specifications
2. Area of bolts at root (Anb) = 0.78 Asb
where Asb = area of bolt at shank = πd2
/4
3. Grade of Bolts (as per IS1367)
7
For a 4.6 grade:
4 indicates that the ultimate tensile strength
of the bolt, fub = 4 x 100 = 400 N/mm2
0.6 indicates that the yield strength of the
bolt, fyb= 0.6 x Ultimate strength = 0.6 x 400
= 240 N/ mm2.
Efficiency of Joint
• It is defined as the ratio of strength of joint and strength of plate in tension
Efficiency ŋ =
Strength of solid plate is governed by its strength in yielding
Strength of joint is the smaller of strength in shear and strength in bearing
8
Problems in Bolted Connections
Cover the problems on
• Strength of bolt , plate and efficiency of joint – both lap and butt joint
• Design of Lap joint and butt joint
• Eccentric bolted connection
9
Q1. Calculate the strength of a 20mm diameter bolt of grade 4.6 for the following cases: the main plates to be jointed are 12mm thick.
a) Lap Joint
b) Single cover butt joint, the cover plate being 10mm thick
c) Double cover butt joint each of cover plate being 8mm thick.
Solution: Given data
• For Fe410 grade of steel : fu = 410 Mpa
• For bolts of grade 4.6 : fub = 400 Mpa
• Partial safety factor for the material of bolt (Ɣmb)= 1.25
• Net tensile stress area of 20mm dia bolt Anb = 0.78.πd2
/4 =0.78x πx202
/4 = 245 mm2
10
Case (a): Single bolt Lap Joint ( dia of bolt d = 20mm)
• The strength of bolt in single shear Vsb = Anb = x 10-3
= 45.26 kN
• The strength of bolt in bearing Vpb = 2.5 x kb.d.t.
• d0 = dia of hole = 20+2 = 22mm, e = 1.5xd0 =33mm, pitch p = 2.5xd = 50mm
i) = = 0.5 ii) - 0.25 =0.25 =0.5, iii) = =0.975. and iv) 1.0
Hence the least of above values kb = 0.5
• Bearing strength Vpb = 2.5 x kb.d.t. =2.5 x 0.5x20x12x. x10-3
= 98.4 kN
• The strength of bolt will be minimum of the strength in shear and bearing and it is 45.26 kN
11
Case (b): Single cover butt joint with 10mm thick cover plate
• The bolt will be in single shear and bearing.
• t = least of aggregate thickness of cover plates (10mm) and min thickness of main
plates (12mm) jointed. Hence t =10mm.
• The strength of bolt in single shear (from case: a) =45.26 kN
• The strength of bolt in bearing
Vpb = 2.5 x kb.d.t. =2.5 x 0.5x20x10x. x10-3
= 82 kN
The strength of bolt will be minimum of the strength in shear and bearing and it is
45.26 kN
12
Case (c): The bolt will be in double shear and bearing
• t = least of aggregate thickness of cover plates and min thickness of main plates jointed.
• Sum of thickness of cover plates = 8+8 =16mm,
• thickness of main plate is 12mm
• The strength of bolt in double shear Vsb = 2xAnb =2x x 10-3
= 90.52 kN
• The strength of bolt in bearing Vpb = 2.5 x kb.d.t. = 2.5 x 0.5x20x12x. x10-3
= 98.4 kN
• The strength of bolt will be minimum of the strength in shear and bearing and it is 90.52
kN
13
Hence t =12mm
Q2:
• A single bolted double cover butt joint is used to connect two plates which
are 8mm thick. Assuming 16mm diameter bolts of grade 4.6 and cover
plates to be 6mm thick. Calculate the strength and efficiency of the joint, if 4
bolts are provided in the bolt line at a pitch of 45mm as shown.
• Also determine the efficiency of the joint if two lines of bolts with two bolts
in each line have been arranged to result in a double bolted double cover
butt joint
• Figure:
14
Solution: For Fe410 grade of steel : fu = 400 Mpa,
For bolts of grade 4.6 : fub = 400 Mpa
Dia of bolt d = 16mm , Dia of hole d0 = 16+2 = 18mm
Net area Anb = 0.78 . Asb = 0.78.π(16)2
/4 = 157mm2
Ɣmb = partial safety factor for material of bolt = 1.25
Ɣm1 = partial safety factor for resistance governed by ultimate stress = 1.25
t = least of aggregate thickness of cover plates (6+6 =12mm) and minimum
thickness of main plates (8mm).
Hence take t = 8mm
Step1: Strength of Bolt :
i) The strength of bolt in double shear Vsb = 2[Anb ]= x 10-3
= 58 kN
15
ii) The strength of bolt in bearing Vpb = 2.5 x kb.d.t.
• d0 = dia of hole = 16+2 = 18mm, e = 1.5xd0 =27mm ~ 30mm, pitch p = 45mm
i) = = 0.55 ii) - 0.25 =0.25 =0.58, iii) = =0.975. and iv) 1.0
Hence the least of above values kb = 0.55
• Bearing strength Vpb = 2.5 x kb.d.t. =2.5 x 0.55x16x8x. x10-3
= 57.73 kN
• The strength of bolt will be minimum of the strength in shear (i) and bearing(ii) = 57.73 kN
16
iii) The net tensile strength of plate per pitch length
Tnd = = 0.9x x(p-nd0).t = =63.76 kN
Hence the strength of joint per pitch length will be least of the strength per pitch length in
shear (i), bearing for bolts (ii) and net strength of plate (iii)
The strength of joint per pitch length = 57.73 kN
Step2: Strength of solid plate per pitch length = = x8x10-3
= 106.27 kN
Efficiency of joint ŋ = = = 54.32 %
17
Case 2: when bolts are arranged in two rows
i) The strength of bolt in double shear = 2 x58 = 116 kN
ii) The strength of bolt in bearing = 2 x57.73 = 115.46 kN
iii) The net strength of plate = 63.76 kN (Only one bolt will fall in section 1-1)
Hence the strength of the joint per pitch length will be least of i), ii) and iii) is 63.76 kN
Efficiency of joint ŋ =
= = 59.99 %
18
Q 3: Design Examples
Design a lap joint to connect two plates each of width 120 mm, if the thickness of one
plate is 16 mm and the other is 12 mm. The joint has to transfer a factored load of 160
kN. The plates are of Fe410 grade. Use bearing type of bolts and draw connection details.
Solution:
Using M16 bolts of grade 4.6
d = 16 mm, do = 16+2 =18mm, fub = 400 N/mm2
Since it is a lap joint, the bolt is in single shear, the critical section being at the roots of
the thread of the bolts.
Design strength of a bolt in shear Vsb = Anb =0.78x x 10-3
= 28.974 kN
19
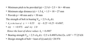
• Minimum pitch to be provided (p) = 2.5 d = 2.5 × 16 = 40 mm
• Minimum edge distance (e) = 1.5 do = 1.5 × 18 = 27 mm
• Provide p = 40 mm and e = 30 mm
The strength of bolt in bearing Vpb = 2.5 x kb.d.t.
• Kb is the least of i) = = 0.55 ii) - 0.25 =0.25 =0.4907,
• iii) = =0.975. and iv) 1.0
Hence the least of above values kb = 0.4907
• Bearing strength Vpb = 2.5 x kb.d.t. =2.5 x 0.4907x16x12x. x10-3
= 77.25 kN
• Design strength of bolt = least of (i) and (ii) =28.974
20
• Hence to transfer design force of 160 kN
• No of bolts req= Design force/ strength of bolt = 160/28.974 = 5.5
• Provide 6 no of bolts in two rows with pitch of 40mm as shown in figure.
Check for strength of plate:
• Tnd = = 0.9x (b-nd0).t =
= 297.56 kN > 160 kN ….Safe..
21
Q.4 Design Example
Two ISF sections 200mm x 10mm each and 1.5m long are to be jointed to make a member length of
3m. Design a butt joint with the bolts arranged in the diamond pattern. The flats are supposed to carry
a factored tensile force of 450 kN. Steel is of grade Fe 410. 20mm diameter bolts of grade 4.6 are used
to make the connection. Also determine the net tensile strength of the main plate and cover plates.
Solution: For Fe410 grade of steel : fu = 410 Mpa,
For bolts of grade 4.6 : fub = 400 Mpa
Dia of bolt d = 20mm , Dia of hole d0 = 20+2 = 22mm
Net area Anb = 0.78 .Asb = 0.78.π(20)2
/4 = 245 mm2
Ɣmb = partial safety factor for material of bolt = 1.25
Ɣm1 = partial safety factor for resistance governed by ultimate stress = 1.25
22
• Design strength of a bolt in double shear Vsb = 2xAnb =2x245 x 10-3
= 90.52 kN
• The strength of bolt in bearing Vpb = 2.5 x kb.d.t.
• d0 = dia of hole = 20+2 = 22mm, e = 1.5xd0 =33mm, pitch p = 2.5xd = 50mm
• = = 0.5 ii) - 0.25 =0.25 =0.5, iii) = =0.975. and iv) 1.0
• Hence the least of above values kb = 0.5
• Bearing strength Vpb = 2.5 x kb.d.t. =2.5 x 0.5x20x10x. x10-3
= 82 kN
• Design strength of bolt = least of (i) and (ii) = 82 kN
• Number of bolts = = = 5.48 - 6
23
• Arrange the bolt in the diamond pattern as shown in figure.
24
• As per code IS 800 :
• Thickness of cover plate : > (5/8).t = (5/8)x10 = 6.25 - 8mm
• Provide 8mm thick cover plates to make double cover butt joint.
• The tensile strength of main plate is critical at sec 1-1
• Tnd1 = 0.9x (b-nd0).t = = 525.45 kN
• The tensile strength of cover plate is critical at sec 3-3
• Tnd1 = 0.9x (b-nd0).t = = 632.90 kN
25
> 450 kN factored
tensile force
Hence safe
Q 5: Design Examples
Two flats (Fe 410 Grade Steel), each 210mm x 8mm, are to be joined using 20mm
diameter, 4.6 grade bolts, to form a lap joint. The joint is designed to transfer a factored
load of 250kN. Design the joint.
26
High Strength Friction Grip bolts (HSFG)
• (HSFG) provide extremely efficient connections and perform well under
fluctuating/fatigue load conditions.
• These bolts should be tightened to their proof loads and require hardened washers to
distribute the load under the bolt heads.
• The tension in the bolt ensures that no slip takes place under working conditions and
so the load transmission from plate to the bolt is through friction and not by bearing.
• HSFG bolts are made from quenched and tempered alloy steels with grades from 8.8
to 10.9
• HSFG bolts will come into bearing only after if slip takes place
27
Slip Resistance as per IS: 800: Cl.10.4.3
• Slip resistance per bolt is given by Vsf < Vdsf
• Vdsf = Vnsf /
• Vnsf = nominal shear capacity of a bolt as governed by slip for friction type connection,
and is given as:
• Vnsf = µf. ne. Kh. Fo
• i) Slip resistance of bolt Vdsf =
where Fo = minimum bolt tension (proof load) at installation = Anb fo
fo = proof stress = 0.7 fub
µf = slip factor as specified in table 20 (0.55)
ne = number of effective interfaces offering frictional resistance to slip = 1
28
• Kh = 1.0 for fasteners in clearance holes,
= 0.85 for fasteners in oversized and short slotted holes loaded
perpendicular to the slot.
γmf = 1.10 (if slip resistance is designed at service load)
= 1.25 (if slip resistance is designed at ultimate load)
ii) Bearing strength of HSFG Bolts:
HSFG bolts will come into bearing only after slip takes place. If slip is not
critical, HSFG bolts will slip into bearing.
29
An ISA 100mm x 100mm x10mm carries a factored tensile force of 100 kN. It is to jointed with a 12mm thick gusset plate .
Design a high strength bolted joint when a) no slip is permitted b) when slip is permitted. Steel is of grade Fe410.
Solution: Let us provide HSFG bolts of grade 8.8 and of diameter 16mm
For 8.8 grade bolts : fub = 800 MPa, Anb = 0.78.π(16)2
/4 = 157mm2
When slip is not permitted, the joint will be a slip critical connection and when it is allowed
to slip, the joint will be bearing type connection.
a) Slip-critical connection:
Proof load F0 = Anb x 0.7 fub = 157x0.7x800 x10-3
= 87.92 kN
Slip resistance of bolt Vdsf =
30
• μf = 0.55
• ne = number of effective interfaces offering frictional resistance to slip = 1
• Kh = 1.0 for fasteners in clearance holes
• γmf =1.25 (if slip resistance is designed at ultimate load
• Slip resistance of bolt Vnsf = =
• =38.67 kN
• No of bolts required = 100/38.67 =2.58 = 3 nos
• Provide 3-16mm diameter 8.8 grade HSFG bolts for making connection
31
ii) Slip is permitted (Bearing type connection)
Strength of a bolt in shear Vsb = Anb =157x x 10-3
= 58 kN
Bearing strength Vpb = 2.5 x kb.d.t. =2.5 x 0.5x16x10x. x10-3 = 65 kN { assume kb =0.5)
Hence strength of bolt = 58 kN
No of bolts required = 100/58 = 1.72 = 2
Provide 2, 16mm diameter HSFG bolts
32

Chapter two - Steel design part -3.pptx

  • 1.
  • 2.
    Bearing type connections Inbearing type, load transferred is greater than friction resistance Bolts in Bearing type connection are checked for • (i) shear, and • (ii) bearing Strength of Bolt: Strength of bolt = Minimum of i) Strength of bolt in bearing, and ii) Strength of bolt in shearing Strength of bolt connection = strength of one bolt x no. of bolts Strength of joint = Minimum of (i) strength of bolt or bolt group, and (ii) net tensile Strength of plate 2
  • 3.
    Shearing Strength ofBolt: Nominal Shear Capacity of the bolt is Vnsb = Design Shear Capacity of the bolt is Vdsb = = fub = Ultimate tensile strength of bolt nn = No. of shear planes with threads, ns = No. of shear planes without threads (shanks), Asb = Nominal area of shank, Asb, Anb = Net stress area of bolt = 0.78x Asb m = partial safety factor for bolt material= 1.25 3 For safety of bolt Vnsb < Vdsb
  • 4.
    Bearing Strength ofBolt • The nominal bearing strength of bolt is given by Vpb = 2.5 x kb.d.t. • The design strength of bolt is Vdpb = = 2.5 x kb.d.t. where d0 = diameter of hole, d = diameter of bolt e, p = end and pitch distances of the bolt along bearing direction fub = Ultimate tensile strength of bolt , fu = Ultimate tensile strength of plate t = aggregate thickness of the connected plates in bearing stress in same direction m = partial safety factor for bolt material= 1.25 4 For safety of joint in bearing Vpb < Vdpb
  • 5.
    Tensile strength ofplate • The tensile strength of the plate is given by Tnd = where fu = the ultimate stress of material in MPa = partial safety factor = 1.25 An = the effective net area of plate in mm2 An = (b-nd0).t for chain bolting An ={ b-n.do + ∑}.t for staggered bolting 5 b = width of plate t= thickness of thinner plate d0 = diameter of hole Ps = staggered pitch g = gauge length
  • 6.
    Design of BoltJoint – Basic specifications 1. Clearance for fastener holes : Table 19 (Clause 10.2.1) • Diameter of bolt hole (d0) = dia of bolt (d) + 1mm ( dia range from 12 to 14mm) = d + 2 ( d range from 16 to 24mm) = d+ 3 ( d is greater than 30mm) 6 d+1 d+1 d+2 d+2 d+2 d+2 d+3 d+3 Nominal diameter (d) in mm 12 14 16 20 22 24 30 36 Diameter of hole (d0) in mm 13 15 18 22 24 26 33 39
  • 7.
    Design of BoltJoint – Basic specifications 2. Area of bolts at root (Anb) = 0.78 Asb where Asb = area of bolt at shank = πd2 /4 3. Grade of Bolts (as per IS1367) 7 For a 4.6 grade: 4 indicates that the ultimate tensile strength of the bolt, fub = 4 x 100 = 400 N/mm2 0.6 indicates that the yield strength of the bolt, fyb= 0.6 x Ultimate strength = 0.6 x 400 = 240 N/ mm2.
  • 8.
    Efficiency of Joint •It is defined as the ratio of strength of joint and strength of plate in tension Efficiency ŋ = Strength of solid plate is governed by its strength in yielding Strength of joint is the smaller of strength in shear and strength in bearing 8
  • 9.
    Problems in BoltedConnections Cover the problems on • Strength of bolt , plate and efficiency of joint – both lap and butt joint • Design of Lap joint and butt joint • Eccentric bolted connection 9
  • 10.
    Q1. Calculate thestrength of a 20mm diameter bolt of grade 4.6 for the following cases: the main plates to be jointed are 12mm thick. a) Lap Joint b) Single cover butt joint, the cover plate being 10mm thick c) Double cover butt joint each of cover plate being 8mm thick. Solution: Given data • For Fe410 grade of steel : fu = 410 Mpa • For bolts of grade 4.6 : fub = 400 Mpa • Partial safety factor for the material of bolt (Ɣmb)= 1.25 • Net tensile stress area of 20mm dia bolt Anb = 0.78.πd2 /4 =0.78x πx202 /4 = 245 mm2 10
  • 11.
    Case (a): Singlebolt Lap Joint ( dia of bolt d = 20mm) • The strength of bolt in single shear Vsb = Anb = x 10-3 = 45.26 kN • The strength of bolt in bearing Vpb = 2.5 x kb.d.t. • d0 = dia of hole = 20+2 = 22mm, e = 1.5xd0 =33mm, pitch p = 2.5xd = 50mm i) = = 0.5 ii) - 0.25 =0.25 =0.5, iii) = =0.975. and iv) 1.0 Hence the least of above values kb = 0.5 • Bearing strength Vpb = 2.5 x kb.d.t. =2.5 x 0.5x20x12x. x10-3 = 98.4 kN • The strength of bolt will be minimum of the strength in shear and bearing and it is 45.26 kN 11
  • 12.
    Case (b): Singlecover butt joint with 10mm thick cover plate • The bolt will be in single shear and bearing. • t = least of aggregate thickness of cover plates (10mm) and min thickness of main plates (12mm) jointed. Hence t =10mm. • The strength of bolt in single shear (from case: a) =45.26 kN • The strength of bolt in bearing Vpb = 2.5 x kb.d.t. =2.5 x 0.5x20x10x. x10-3 = 82 kN The strength of bolt will be minimum of the strength in shear and bearing and it is 45.26 kN 12
  • 13.
    Case (c): Thebolt will be in double shear and bearing • t = least of aggregate thickness of cover plates and min thickness of main plates jointed. • Sum of thickness of cover plates = 8+8 =16mm, • thickness of main plate is 12mm • The strength of bolt in double shear Vsb = 2xAnb =2x x 10-3 = 90.52 kN • The strength of bolt in bearing Vpb = 2.5 x kb.d.t. = 2.5 x 0.5x20x12x. x10-3 = 98.4 kN • The strength of bolt will be minimum of the strength in shear and bearing and it is 90.52 kN 13 Hence t =12mm
  • 14.
    Q2: • A singlebolted double cover butt joint is used to connect two plates which are 8mm thick. Assuming 16mm diameter bolts of grade 4.6 and cover plates to be 6mm thick. Calculate the strength and efficiency of the joint, if 4 bolts are provided in the bolt line at a pitch of 45mm as shown. • Also determine the efficiency of the joint if two lines of bolts with two bolts in each line have been arranged to result in a double bolted double cover butt joint • Figure: 14
  • 15.
    Solution: For Fe410grade of steel : fu = 400 Mpa, For bolts of grade 4.6 : fub = 400 Mpa Dia of bolt d = 16mm , Dia of hole d0 = 16+2 = 18mm Net area Anb = 0.78 . Asb = 0.78.π(16)2 /4 = 157mm2 Ɣmb = partial safety factor for material of bolt = 1.25 Ɣm1 = partial safety factor for resistance governed by ultimate stress = 1.25 t = least of aggregate thickness of cover plates (6+6 =12mm) and minimum thickness of main plates (8mm). Hence take t = 8mm Step1: Strength of Bolt : i) The strength of bolt in double shear Vsb = 2[Anb ]= x 10-3 = 58 kN 15
  • 16.
    ii) The strengthof bolt in bearing Vpb = 2.5 x kb.d.t. • d0 = dia of hole = 16+2 = 18mm, e = 1.5xd0 =27mm ~ 30mm, pitch p = 45mm i) = = 0.55 ii) - 0.25 =0.25 =0.58, iii) = =0.975. and iv) 1.0 Hence the least of above values kb = 0.55 • Bearing strength Vpb = 2.5 x kb.d.t. =2.5 x 0.55x16x8x. x10-3 = 57.73 kN • The strength of bolt will be minimum of the strength in shear (i) and bearing(ii) = 57.73 kN 16
  • 17.
    iii) The nettensile strength of plate per pitch length Tnd = = 0.9x x(p-nd0).t = =63.76 kN Hence the strength of joint per pitch length will be least of the strength per pitch length in shear (i), bearing for bolts (ii) and net strength of plate (iii) The strength of joint per pitch length = 57.73 kN Step2: Strength of solid plate per pitch length = = x8x10-3 = 106.27 kN Efficiency of joint ŋ = = = 54.32 % 17
  • 18.
    Case 2: whenbolts are arranged in two rows i) The strength of bolt in double shear = 2 x58 = 116 kN ii) The strength of bolt in bearing = 2 x57.73 = 115.46 kN iii) The net strength of plate = 63.76 kN (Only one bolt will fall in section 1-1) Hence the strength of the joint per pitch length will be least of i), ii) and iii) is 63.76 kN Efficiency of joint ŋ = = = 59.99 % 18
  • 19.
    Q 3: DesignExamples Design a lap joint to connect two plates each of width 120 mm, if the thickness of one plate is 16 mm and the other is 12 mm. The joint has to transfer a factored load of 160 kN. The plates are of Fe410 grade. Use bearing type of bolts and draw connection details. Solution: Using M16 bolts of grade 4.6 d = 16 mm, do = 16+2 =18mm, fub = 400 N/mm2 Since it is a lap joint, the bolt is in single shear, the critical section being at the roots of the thread of the bolts. Design strength of a bolt in shear Vsb = Anb =0.78x x 10-3 = 28.974 kN 19
  • 20.
    • Minimum pitchto be provided (p) = 2.5 d = 2.5 × 16 = 40 mm • Minimum edge distance (e) = 1.5 do = 1.5 × 18 = 27 mm • Provide p = 40 mm and e = 30 mm The strength of bolt in bearing Vpb = 2.5 x kb.d.t. • Kb is the least of i) = = 0.55 ii) - 0.25 =0.25 =0.4907, • iii) = =0.975. and iv) 1.0 Hence the least of above values kb = 0.4907 • Bearing strength Vpb = 2.5 x kb.d.t. =2.5 x 0.4907x16x12x. x10-3 = 77.25 kN • Design strength of bolt = least of (i) and (ii) =28.974 20
  • 21.
    • Hence totransfer design force of 160 kN • No of bolts req= Design force/ strength of bolt = 160/28.974 = 5.5 • Provide 6 no of bolts in two rows with pitch of 40mm as shown in figure. Check for strength of plate: • Tnd = = 0.9x (b-nd0).t = = 297.56 kN > 160 kN ….Safe.. 21
  • 22.
    Q.4 Design Example TwoISF sections 200mm x 10mm each and 1.5m long are to be jointed to make a member length of 3m. Design a butt joint with the bolts arranged in the diamond pattern. The flats are supposed to carry a factored tensile force of 450 kN. Steel is of grade Fe 410. 20mm diameter bolts of grade 4.6 are used to make the connection. Also determine the net tensile strength of the main plate and cover plates. Solution: For Fe410 grade of steel : fu = 410 Mpa, For bolts of grade 4.6 : fub = 400 Mpa Dia of bolt d = 20mm , Dia of hole d0 = 20+2 = 22mm Net area Anb = 0.78 .Asb = 0.78.π(20)2 /4 = 245 mm2 Ɣmb = partial safety factor for material of bolt = 1.25 Ɣm1 = partial safety factor for resistance governed by ultimate stress = 1.25 22
  • 23.
    • Design strengthof a bolt in double shear Vsb = 2xAnb =2x245 x 10-3 = 90.52 kN • The strength of bolt in bearing Vpb = 2.5 x kb.d.t. • d0 = dia of hole = 20+2 = 22mm, e = 1.5xd0 =33mm, pitch p = 2.5xd = 50mm • = = 0.5 ii) - 0.25 =0.25 =0.5, iii) = =0.975. and iv) 1.0 • Hence the least of above values kb = 0.5 • Bearing strength Vpb = 2.5 x kb.d.t. =2.5 x 0.5x20x10x. x10-3 = 82 kN • Design strength of bolt = least of (i) and (ii) = 82 kN • Number of bolts = = = 5.48 - 6 23
  • 24.
    • Arrange thebolt in the diamond pattern as shown in figure. 24
  • 25.
    • As percode IS 800 : • Thickness of cover plate : > (5/8).t = (5/8)x10 = 6.25 - 8mm • Provide 8mm thick cover plates to make double cover butt joint. • The tensile strength of main plate is critical at sec 1-1 • Tnd1 = 0.9x (b-nd0).t = = 525.45 kN • The tensile strength of cover plate is critical at sec 3-3 • Tnd1 = 0.9x (b-nd0).t = = 632.90 kN 25 > 450 kN factored tensile force Hence safe
  • 26.
    Q 5: DesignExamples Two flats (Fe 410 Grade Steel), each 210mm x 8mm, are to be joined using 20mm diameter, 4.6 grade bolts, to form a lap joint. The joint is designed to transfer a factored load of 250kN. Design the joint. 26
  • 27.
    High Strength FrictionGrip bolts (HSFG) • (HSFG) provide extremely efficient connections and perform well under fluctuating/fatigue load conditions. • These bolts should be tightened to their proof loads and require hardened washers to distribute the load under the bolt heads. • The tension in the bolt ensures that no slip takes place under working conditions and so the load transmission from plate to the bolt is through friction and not by bearing. • HSFG bolts are made from quenched and tempered alloy steels with grades from 8.8 to 10.9 • HSFG bolts will come into bearing only after if slip takes place 27
  • 28.
    Slip Resistance asper IS: 800: Cl.10.4.3 • Slip resistance per bolt is given by Vsf < Vdsf • Vdsf = Vnsf / • Vnsf = nominal shear capacity of a bolt as governed by slip for friction type connection, and is given as: • Vnsf = µf. ne. Kh. Fo • i) Slip resistance of bolt Vdsf = where Fo = minimum bolt tension (proof load) at installation = Anb fo fo = proof stress = 0.7 fub µf = slip factor as specified in table 20 (0.55) ne = number of effective interfaces offering frictional resistance to slip = 1 28
  • 29.
    • Kh =1.0 for fasteners in clearance holes, = 0.85 for fasteners in oversized and short slotted holes loaded perpendicular to the slot. γmf = 1.10 (if slip resistance is designed at service load) = 1.25 (if slip resistance is designed at ultimate load) ii) Bearing strength of HSFG Bolts: HSFG bolts will come into bearing only after slip takes place. If slip is not critical, HSFG bolts will slip into bearing. 29
  • 30.
    An ISA 100mmx 100mm x10mm carries a factored tensile force of 100 kN. It is to jointed with a 12mm thick gusset plate . Design a high strength bolted joint when a) no slip is permitted b) when slip is permitted. Steel is of grade Fe410. Solution: Let us provide HSFG bolts of grade 8.8 and of diameter 16mm For 8.8 grade bolts : fub = 800 MPa, Anb = 0.78.π(16)2 /4 = 157mm2 When slip is not permitted, the joint will be a slip critical connection and when it is allowed to slip, the joint will be bearing type connection. a) Slip-critical connection: Proof load F0 = Anb x 0.7 fub = 157x0.7x800 x10-3 = 87.92 kN Slip resistance of bolt Vdsf = 30
  • 31.
    • μf =0.55 • ne = number of effective interfaces offering frictional resistance to slip = 1 • Kh = 1.0 for fasteners in clearance holes • γmf =1.25 (if slip resistance is designed at ultimate load • Slip resistance of bolt Vnsf = = • =38.67 kN • No of bolts required = 100/38.67 =2.58 = 3 nos • Provide 3-16mm diameter 8.8 grade HSFG bolts for making connection 31
  • 32.
    ii) Slip ispermitted (Bearing type connection) Strength of a bolt in shear Vsb = Anb =157x x 10-3 = 58 kN Bearing strength Vpb = 2.5 x kb.d.t. =2.5 x 0.5x16x10x. x10-3 = 65 kN { assume kb =0.5) Hence strength of bolt = 58 kN No of bolts required = 100/58 = 1.72 = 2 Provide 2, 16mm diameter HSFG bolts 32