Physical Chemistry II (InCh3107)
Chapter 2
Electrochemical Cells
1
2. ELECTROCHEMICAL CELLS
2.1. Introduction
 An electrochemical cell consists of two electrodes in contact with
an electrolyte.
 An electrode and its electrolyte comprise an electrode
compartment.
 Two electrodes may share the same compartment if their
electrolytes are the same.
 If their electrolytes are different, the two compartments may be
joined by a salt bridge
 A tube containing a concentrated electrolyte solution, mainly
KCl in agar jelly.
 The salt bridge is used to complete the electrical circuit and thus
enable the cell to function.
2
 Two electrolytes may also be separated by a porous partition.
Types of Electrochemical Cells
1. Electrolytic Cell:
 An electrochemical cell where external source of current causes
the oxidation and reduction of the electrolyte present in the cell.
The reaction is non-spontaneous.
3
2. Galvanic Cell:
 It is an electrochemical cell where a spontaneous chemical
reaction produces electricity.
There are two half cells – two redox couples.
Galvanic Cell Representation:
 The oxidized couple is written on the left and the reduced couple
is written on the right.
The two are separated by:
|| if salt bridge is used
⁞ if a porous partition is used
Phase boundaries are represented by |.
 Metals are written at extreme left and right.
4
Example: For a Galvanic cell reaction:
Representations:
Zn|Zn2+ || Cu2+ | Cu
Zn | ZnSO4 (aq) || CuSO4 (aq) | Cu
Zn | ZnSO4 (aq) ⁞ CuSO4 (aq) | Cu
For:
Representation:
Pt (s) | H2 (g) | HCl (aq) | AgCl (s) | Ag
5
Zn (s) +CuSO4 (aq) ZnSO4 (aq) + Cu (s)
2.2. Reversible Electrodes
2.2.1. Standard Reduction Potentials (Eo) of Electrodes
 It is the reduction potential under standard condition.
Examples:
6
Couple Eo/V
Ce4+ (aq) + e-  Ce2+ (aq) +1.61
Ag+(aq) + e-  Ag(s) +0.80
Cu2+ (aq) + 2e-  Cu (s) +0.34
AgCl(s) + e-  Ag(s) + Cl-(aq) +0.22
H+ (aq) + e-  ½H2 (g) 0
Zn2+ (aq) + 2e-  Zn (s) -0.76
Mg2+ (aq) + 2e-  Mg (s) -2.36
Na+ (aq) + e-  Na (s) -2.71
Note: Greater negative reduction potential implies greater tendency
to be oxidized.
Example:
Spontaneous reaction: Mg + Zn2+  Mg2+ + Zn
Non-spontaneous: 2Ag + Cu2+  2Ag+ + Cu
2.2.2. Cell Potential (electromotive force)
 It is the difference between the reduction potential of the reduced
couple and the reduction potential of the oxidized couple
 It can be determine from the electrode potentials.
E cell = E red – E ox
Eo
cell = Eo
red – Eo
ox (at standard condition)
Using the Galvanic cell representation,
E cell = E right electrode – E left electrode
Eo
cell = Eo
right electrode – Eo
left electrode
7
Note:
E cell is:
+ve implies the reaction is spontaneous
–ve implies the reaction is non-spontaneous
0 implies the reaction is at equilibrium
Example 1:
Determine the standard cell potential for Zn|Zn2+ || Cu2+ | Cu
Answer:
Eo
cell = Eo
red – Eo
ox = 0.34 V – (- 0.76 V) = 1.1 V
Example 2:
Is the following reaction spontaneous?
Cr (s) + 3Fe3+  Cr3+ + 3Fe2+
Answer
Representation: Cr|Cr3+||Fe3+|Fe2+
8
3 3 2
/ /
0.74 , 0.77
o o
Cr Cr Fe Fe
E V E V
  
   
Eo
cell = Eo
right – Eo
left = Eo
red – Eo
ox = 0.77 V – (-0.74V) = 1.51V
 Eo
cell = +ve
The reaction is spontaneous.
2.2.3. The Nernst Equation
 It relates the variation of electrode or cell potential with
concentration (or pressure for gases).
For:
At 25oC,
9
Ox + ne- Red
 Concentration expression is used for dilute solution.
 For any concentration activity is used instead of concentration.
For a cell reaction (at 25oC):
Example:
For a reaction,
Find: a) 𝐸𝑍𝑛
2+
𝑍𝑛
b) 𝐸Cu2+
𝐶𝑢
c) 𝐸cell
10
Ox1 + Red2 Red1 + Ox2
Zn + Cu2+
(0.1M) Zn2+
(0.2) + Cu
Solution
b)
𝑬𝑪𝒖2+/𝑪𝒖 = 𝑬𝑪𝒖2+/𝑪𝒖
𝒐
−
𝟎. 𝟎𝟓𝟗
𝟐
𝒍𝒐𝒈
𝑪𝒖
𝑪𝒖2+
= 𝟎. 𝟑𝟒 −
𝟎. 𝟎𝟓𝟗
𝟐
𝒍𝒐𝒈
𝟏
𝟎. 𝟏
= 𝟎. 𝟑𝟏𝑽
11
2 2
2 2
0 0 0
2 2
/ /
0.059 [ ][ ] 0.059 [ ][ ]
) log ( ) log
[ ][ ] [ ][ ]
0.059 0.2
(0.34 ( 0.76) log 1.09
2 0.1
cell cell Cu Cu Zn Zn
Zn Cu Zn Cu
c E E E E
n Zn Cu n Zn Cu
V
 
 
 
    
    
Re 0.31 ( 0.78 ) 1.09
cell d Ox
Or E E E V V V
     
2 2 2
/ /
0.059 [ ] 0.059 1
) log 0.76 log 0.78
[ ] 2 0.2
o
Zn Zn Zn Zn
Zn
a E E V
n Zn
  
      
2.2.4. Types of Electrodes in Galvanic Cells
1. Metal – metal ion electrode: A metal rod is dipped in a solution
containing the ion of he metal.
Mn+ + ne-  M
E.g. Ag+|Ag
2. Gas – ion electrode: The gas is allowed to mix with a solution
containing its ions. Inert metal is used for the passage of electrons.
E.g. 2H+ + 2e-  H2 Or H+ + e-  ½H2
3. Metal – insoluble salt – anion of salt electrode: A metal coated
with its insoluble salt is dipped in a solution containing the anion
of the salt.
12
/ /
0.059 1
log
[ ]
n n
o
n
M M M M
E E
n M
  
 
2
2 2
( )
2
/ /
0.059
log
[ ]
H atm
o
H H H H
P
E E
n H
  
 
E.g.1 Ag|AgCl(s)|Cl-
AgCl (s) + e-  Ag + Cl-
𝐸Ag/AgCl/Cl- = 𝐸o
Ag/AgCl/Cl- −
0.059
1
log⁡
[𝐶𝑙-]
E.g.2 Saturated calomel electrode (SCE): Hg|Hg2Cl2 (s)||Cl-
Hg2Cl2 (s) + 2e-  2Hg (l) + 2Cl-
𝐸Hg/Hg2Cl2/Cl- = 𝐸o
Hg/Hg2Cl2/Cl- −
0.059
2
log 𝐶𝑙− 2 = 𝐸o
Hg/Hg2Cl2/Cl- − 0.059log⁡
[𝐶𝑙−]
4. Amalgam electrode: Na (Hg)|Na+
Na+ + e- + Hg  Na (Hg)
13
( )/ ( )/
0.059 ( )
log
1 [ ]
o
Na Hg Na Na Hg Na
Na Hg
E E
Na
  
 
5. Oxidation – Reduction Electrode
There are two ions one of which is reduced to the other.
E.g. Pt|Fe3+, Fe2+
Fe3+ + e-  Fe2+
2.3. Determination of Standard Electrode Potential
 Consider the Galvanic cell: Pt|H2|HCl|AgCl|Ag
Cell reaction:
½H2 (1atm) + AgCl  Ag + H+ (aH
+) + Cl- (aCl
-)
At 25 oC,
𝑬cell = 𝑬o
cell − 𝟎. 𝟎𝟓𝟗𝒍𝒐𝒈𝒂H
+𝒂Cl−
14
3 2 3 2
2
3
, ,
0.059 [ ]
log
1 [ ]
o
Fe Fe Fe Fe
Fe
E E
Fe
   
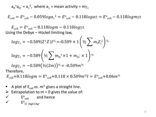


 
aH
+aCl
- = a
2, where a = mean activity = m
𝐸cell = 𝐸o
cell − 0.059𝑙𝑜𝑔𝑎
2 = 𝐸o
cell − 0.118𝑙𝑜𝑔𝑎 = 𝐸o
cell − 0.118𝑙𝑜𝑔𝑚
𝐸cell = 𝐸o
cell − 0.118𝑙𝑜𝑔𝑚 − 0.118𝑙𝑜𝑔
Using the Debye – Hückel limiting law,
𝑙𝑜𝑔 = −0.509|𝑍+𝑍-|𝐼½⁡
=-0.509 × 1 ½ 𝑚i𝑍i
2 ½
𝑙𝑜𝑔 = −0.509 ½ 𝑚H
+×1⁡+⁡𝑚Cl
- × 1 ½
𝑙𝑜𝑔 = −0.509 ½ 2𝑚 ½⁡
=⁡-0.509𝑚½
Therefore,
𝐸cell+0.118𝑙𝑜𝑔𝑚 = 𝐸o
cell+0.118 × 0.509𝑚½𝑙 = 𝐸o
cell+0.06𝑚½
 A plot of Ecell vs. m½ gives a straight line.
 Extrapolation to m = 0 gives the value of:
 Eo
cell and hence
 Eo
Cl
-
|AgCl|Ag.
15
2.4. Thermodynamics of Electrochemical Cells
2.4.1. Determining Free Energy Change
For a reaction:
In a Galvanic cell,
Equating the two relations and rearrangement yields,
 At equilibrium,
G = 0, Ecell = 0.
Therefore,
Go = - nFEo
cell
16
a A + b B c C + d D
ln
c d
o C D
a b
A B
a a
G G RT
a a
   
ln
c d
o C D
cell cell a b
A B
a a
RT
E E
nF a a
 
( )
o o
cell cell
G G E E nF
    
 Under non-equilibrium condition,
G = Go + nFEo
cell – nFEcell
Therefore,
G = – nFEcell
 Hence, the free energy change can be determined by measuring
the cell potential.
2.4.2. Determining the mean activity coefficient
Consider a Galvanic cell reaction:
aH2 = 1, +- = , n = 1
17
AgCl (s) + 1/2H2 (1atm) Ag (s) + H+
(aq) + Cl-
(aq)
2
1
2
ln
o H Cl
cell cell
H
a a
RT
E E
nF a
 
 
2
ln
o
cell cell
RT
E E C
nF

 
At 25oC,
Hence,
 The mean activity coefficient (of HCl in the above case) can be
determined by measuring Ecell at different concentrations of the
electrolyte.
2.4.3. Determining the Equilibrium Constant, K
For a reaction:
18
0.118log 0.118log
o
cell cell
E E C

  
log log
0.118
o
cell cell
E E
C


 
a A + b B c C + d D
ln
c d
o C D
a b
A B
a a
G G RT
a a
   
At equilibrium, G = 0
Go = - nFEo
cell
Therefore,
At 25oC,
Example
Calculate ∆𝐺o
r and K at 25oC for the galvanic cell reaction:
AgCl (s) + ½H2 (g)  Ag (s) + H+
(aq) + Cl-
(aq) (Eo
Ag|AgCl|Cl- = 0.2223V)
19
ln
o
G RT K
  
c d
C D
a b
A B equilibrium
a a
where K
a a
 
  
 
ln
o
cell
RT
E K
nF
 ln o
cell
nF
K E
RT

log
0.059
o
cell
n
K E

Solution
Galvanic cell representation: Pt|H2 (1 atm)|HCl (aq)|AgCl (s)|Ag
∆𝐺o
r = −𝑛𝐹𝐸o
cell n = 1
Eo
cell = Eo
Red - Eo
Ox = 0.2223 V – 0 = 0.2223V
∆𝐺o
r = - 1  96485 Cmol-1  0.2223 V
= - 21449 CVmol-1
= -21449 Jmol-1
= - 21. 45kJmol-1
20
3
1
log 0.2223 3.76
0.059 0.059
5.86 10
o
cell
n
K E
K
   
 
2.4.4. Determining S and H
𝜕𝐸cell
𝜕𝑇
= 𝑡𝑒𝑚𝑝𝑒𝑟𝑎𝑡𝑢𝑟𝑒⁡𝑐𝑜𝑒𝑓𝑓𝑖𝑐𝑖𝑒𝑛𝑡⁡𝑜𝑓⁡𝑡𝑕𝑒⁡𝑐𝑒𝑙𝑙⁡𝑒𝑚𝑓
 It shows change in Ecell at different temperatures.
 Positive value implies Ecell increases with increasing
temperature and the vice versa.
 S can be determined from the temperature coefficient.
At standard state,
21
, cell
P
G
S G nFE
T

 
    
 

 
cell
P
E
S nF
T

 
    

 
cell
P
E
S nF
T

 
   

 
cell cell
cell cell
P P
E E
H G T S nFE TnF nF T E
T T
 
 
   
         
 
   
 
   
 
o
o cell
P
E
S nF
T
 

   

 
0
0
o cell
cell
P
E
H nF T E
T
 
 

 
  
 
 

 
 
 
Example
 The cell emf of a galvanic cell (n = 2) was found to change with
temperature (oC) according to the expression:
Ecell (V) = 1.01845 – 4.05  10-5 (t/to – 20) – 9.5  10-7(t/to – 20)2
where to = 1oC.
Determine at 25oC a) G, b) S, c) H
Solution
a) at 25oC,
Ecell = 1.01845 – 4.05  10-5 (25oC/1oC – 20) – 9.5  10-(25oC/1oC – 20)2
= 1.01822 V
G = - nFEcell = -2  96485 Cmol-1  1.01822V
= -196486 CVmol-1 = - 196486 J mol-1
22
c) H = G + TS = 196486Jmol-1 + 298K  (-9.6485) Jmol-1K-1
= -199.36 kJmol-1
23
 
 
-5 -7 2
-5 -7 2
-5 -7
1.01845 - 4.05 10 (t - 20) - 9.5 10 (t - 20)
-4.05 10 t - 9.5 10 (t - 20)
4.05 10 2 9.5 10 ( 20)
cell
P
E
T T
T
t
 
 
  
 
 
 

  

      
) cell
P
E
b S nF
T

 
   

 
-5 -7 5
4.05 10 2 9.5 10 (25 20) 5 10 /o
cell
P
E
V C
T


 
         
 

 
1 5 1 1 1
2 96485 5 10 / 9.6485 / 9.6485
o o
S Cmol V C Jmo C Jmo K
    
         
2.5. Liquid Junction Potential (Elj)
 A potential developed at the junction of two electrolyte solutions
or the same electrolyte at different concentrations.
 The electrolytes are separated by a permeable membrane.
E.g. Zn|ZnSO4⁞CuSO4|Cu
 Zn2+ moves faster than SO4
2-.
 Therefore, they cross the junction earlier.
 The separation of charges develops a potential at the junction.
Ecell = (ER – EL)  Elj
2.6. Measurement of pH
 pH can be determined from the measured cell potential.
E.g. Pt|H2|H+ (aH
+)||Cl- (aCl-), Hg2Cl2|Hg|Pt
24
Cell reaction: ½Hg2Cl2 + ½H2  H+ (aH
+) + Cl- (aCl
-) + Hg (l)
At 25oC,
 Determine the cell constant by measuring Ecell of a solution of
known pH.
 Insert the SCE into a solution whose pH is to be determined.
 Determine Ecell
 Calculate the pH using the above relationship.
25
2.7. Membrane Potentials ()
 Consider two different electrolyte solutions separated by a
membrane:
 A potential difference will be setup between the two solutions if
the membrane is permeable to some ions and impermeable to
others.
 The potential difference across the membrane is called membrane
potential.
Ion Selective Electrode:
 It is an electrode whose potential (membrane Potential) changes
with the activity of a specific type of ion.
26
E.g. Glass Electrode - sensitive to aH
+
Ag|AgCl|HCl (0.1N)||Glass |solution (pH = x)||SCE
 It is filled with a phosphate buffer containing Cl- ions.
 It conveniently has E = 0 when the external medium is at pH = 7.
 The membrane is permeable to Na+ and Li+ ions but not to H+
ions.
27
 The hydrogen ion activity in a test solution gives rise to a
membrane potential
 The glass electrode along with a saturated calomel electrode is
used in pH meter that measures the pH of an unknown solution.
At 25oC,
E = cell constant + 0.059 pH
It is necessary to calibrate the glass electrode before use with
solutions of known pH.
 This determines the cell constant.
Examples:
 saturated aqueous solution of potassium hydrogen tartarate;
pH = 3.557 at 25oC
 0.0100 molkg-1 disodium tartarate;
pH = 9.180 at 25oC
28
2.8. Classes of Electrochemical Cells
2.8.1. Chemical Cells
 The electromotive force arises due to a chemical reaction.
 There are two types of chemical cells.
a) Chemical Cells with Transference
 The electrolytes are separated by a permeable membrane where
ions can move across.
E.g. Zn|ZnSO4⁞CuSO4|Cu
b) Chemical Cells without Transference
 There is no transfer of ions.
They are of two types.
29
i) Two electrolytes separated by a salt bridge
E.g. Zn|ZnSO4||CuSO4|Cu
ii) One electrolyte into which two electrodes are immersed
 One electrode is in equilibrium with a positive ion and the other with the
negative ion.
E.g. Pt|H2|HCl|AgCl|Ag
2.8.2. Concentration Cells
• Concentration (pressure) difference is used to setup a potential
difference.
They are of two types.
a) Electrode Concentration Cells
 Same electrodes at different concentrations are used.
E.g. Pt|H2 (P1)|HCl|H2 (P2)|Pt where P1 > P2
left: H2 (P1)  2H+ + 2e- Right: 2H+ + 2e-  H2 (P2)
Net: H2 (P1)  H2 (P2)
30
 At 25oC,
𝐸cell = 𝐸o
cell − 0.059𝑙𝑜𝑔
𝑃2
𝑃1
b) Electrolyte Concentration Cells
i) Without Transference
 The same electrolyte at different concentrations is used.
 The electrodes are the same and the two cells are joined.
E.g. Ag|AgCl|HCl (a2)||HCl(a1)|AgCl|Ag
Left: Ag + Cl- (a2)  AgCl + e- Right: AgCl (s) + e-  Ag + Cl- (a1)
Net: HCl (a2)  HCl (a1)
𝐸cell = 𝐸o
cell − 0.059𝑙𝑜𝑔
𝑎1
𝑎2
Eo
R = Eo
L, Eo
cell = 0
Therefore,
𝐸cell = −0.059𝑙𝑜𝑔
𝑎1
𝑎2 31
ii) With Transference
 Two identical electrodes are immersed in two solutions of the
same electrolyte at different concentrations.
 The two solutions are separated by a permeable membrane.
E.g. Pt|H2 (1atm)|HCl (a1)⁞HCl (a2|H2 (1 atm)|Pt where a2 > a1
Left: ½H2 (1 atm)  H+
(a1) + 1e-
Right: H+
(a2) + e-  ½H2 (1 atm)
Net: H+
(a2)  H+
(a1)
32
2.9. Examples of Electrochemical Cell
1. Dry Cell:
Anode – Zn can Cathode – carbon rod
Electrolyte – paste of MnO2, C, NH4Cl, ZnCl2 moistened with water.
Anode reaction: Zn  Zn2+ + 2e-
Cathode reaction: NH4
+ + MnO2 (s) + e-  MnO (OH) (s) + NH3
 The cell dies because of the formation of NH3 that insulates the
cathode.
2. Lead Storage Cell
Pb (s)|PbSO4 (s)|H+HSO4
-|PbO2 (s)|Pb (s)
Anode reaction: Pb (s) + HSO4
-  PbSO4 (s) + H+ + 2e-
Cathode reaction: PbO2 (s) + 3H+ + HSO4
- + 2e-  2PbSO4 (s) + 2H2O
Cell reaction:
Pb (s) + PbO2 (s) + 2H+ + 2HSO4
-  2PbSO4 (s) + 2H2O
33
 The cell can be recharged.
 Overcharging electrolyzes the water to H2 and O2 that degrade
the electrode surface.
As a result, the PbSO4 detaches from the electrode.
 The performance of the cell is checked by specific gravity tester.
3. Nickel – Cadmium Cell
Cd (s)|Cd(OH)2 (s)|OH-|Ni(OH)2 (s)|NiO2 (s)
Anode reaction: Cd (s) + 2OH-  Cd(OH)2 (s) + 2e-
Cathode reaction: NiO2 (s) + 2H2O + 2e-  Ni(OH)2 (s) + 2OH-
Cell reaction: Cd (s)+ NiO2 (s) + 2H2O  Cd(OH)2 (s)+ Ni(OH)2 (s)
 The cell voltage stays constant till the cell is discharged.
Reason: The ionic concentrations do not change till the cell is
discharged.
34
2.10. Interfacial Electrochemistry
2.10.1. The electrical double layer
 It is a model of the boundary between the solid and liquid
phases
 It consists of a sheet of positive charge on the surface of the
electrode and a sheet of negative charge next to it in the
solution (or vice versa).
 The model is called the Helmholtz layer model
 This arrangement creates an electrical potential difference,
called the Galvani potential difference (), between the bulk
of the metal electrode and the bulk of the solution.
35
Structure of the double layer
 Solvated ions arrange themselves along the surface of the
electrode but are held away from it by their hydration spheres.
 Outer Helmholtz plane (OHP): the plane running through the
solvated ions.
36
 The electrical potential changes linearly within the layer bounded by
the electrode surface on one side and the OHP on the other.
 Inner Helmholtz plane (IHP): Runs through ions that have discarded
their solvating molecules and have become attached to the electrode
surface.
 These are said to be specifically adsorbed
37
 The total charge density from specifically adsorbed ions in this inner layer
is 1 (С/ст2).
 Solvated ions are said to be nonspecifically adsorbed.
 The interaction of the solvated ions with the charged metals:
 involves only long-range electrostatic forces
 is independent of the chemical properties of the ions
38
 Because of thermal agitation, the nonspecifically adsorbed ions
are distributed in a diffuse layer, which extends from the OHP into
the bulk of the solution
 The excess charge density in the diffuse layer is d
 The thickness of the diffuse layer depends on the total ionic
concentration in the solution;
 for concentrations greater than 10~2 M, the thickness is less than
~100 Å.
 The structure of the double layer can affect the rates of electrode
processes
2.10.2. Electrochemical kinetics
1. Kinetics of Simple electrode reactions
a) The rate laws
Rate of reduction of Ox: Ox = 𝑘c[𝑂𝑥]
Rate of oxidation of Red: Red = 𝑘a[𝑅𝑒𝑑]
39
 Consider an electrode reaction in which an ion is reduced by the
transfer of a single electron in the rate-determining step.
Cathodic current density:
Anodic current density:
The net current density at the electrode is:
when ja > jc so that j > 0, the current is anodic.
when jc > ja so that j < 0, the current is cathodic.
40
b) The Activation Gibbs Energy
 If a species is to be reduced or oxidized at an electrode, it must:
 discard any solvating molecules,
 migrate through the electrode-solution interface,
 adjust its hydration sphere as it receives or discards electrons.
 A species already at the inner plane must be detached and
migrate into the bulk.
 Both processes are activated.
 Using the transition state theory, the rate constants
 The current density is rewritten as:
41
 The activation Gibbs energies for the cathodic and anodic
processes are different
c) The Butler-Volmer equation
 For the reduction reaction, If the transition state of the activated
complex is product-like,
 = transfer coefficient
- activation energy in the absence of a potential difference
across the double layer
 If the electrode is more positive than the solution,  > 0,
 more work has to be done to form an activated complex from
Ox;
 If for the oxidation reaction, the transition state is reactant-like
42
 Insert the activation energy expressions into the expression for
current density yields
Let: 𝑓 =
𝐹
𝑅𝑇
Effect of change of potential difference on activation energy and
current density at an electrode
For reduction,
Change of cathodic activation energy = F( - )
43
Example:  -  = 1V, T = 298 K,  = ½. 1J = 1VC
Change of cathodic activation energy = ½96485 = 48,242.5J
𝑗′
𝑗
= 𝑒−𝑓 ∆−∆ = 3.5 × 10−9
Note: Mild change in potential results with great change in activation
energy and great change in current density
 When the cell is balanced against an eternal source, the Galvani
potential difference () can be identified as the zero current
electrode potential, E.
There is no net current at the electrode
 The two current densities at the electrodes are equal
Each current is called exchange current density, jo
44
 When the cell produces current (when load is connected), the
electrode potential changes from its zero current value E to a
new value E
 The difference is called over potential, .
 = E – E
Accordingly,  = E + 
𝑗a = 𝑗o𝑒− 1−𝑓 𝑗c = 𝑗o𝑒−𝑓
𝑗 = 𝑗o 𝑒 1− 𝑓 − 𝑒−𝑓 Butler – Volmer Equation
The low overpotential limit
When f << 1 (when  < 0.01 V),
j = jof
45
 The current density is proportional to the overpotential
 When  is small +ve the current is anodic (j = +ve)
 When  is small -ve the current is cathodic (j = -ve)
Rearrangement yields the potential difference required for a given
current density:
 =
𝑹𝑻𝒋
𝑭𝒋𝒐
Example:
The exchange current density of a hydrogen electrode at 298 K is
0.79 mAcm-2
Determine the current density when  = +5.0 mV
Solution:
𝑓 =
𝐹
𝑅𝑇
=
1
25.69𝑚𝑉
𝑗 = 𝑗o𝑓 =
0.79𝑚𝐴𝑐𝑚−2 × 5⁡𝑚𝑉
25.69⁡𝑚𝑉
= 0.15𝑚𝐴𝑐𝑚−2
46
The high overpotential limit
 When  is large and positive (  0.12 V) (anodic current):
𝑗 = 𝑗o𝑒 1− 𝑓
𝑙𝑛𝑗 = 𝑙𝑛𝑗o + 1 −  𝑓
 When  is large and negative (  - 0.12 V) (cathodic current):
𝑗 = −𝑗o𝑒−𝑓
ln −𝑗 = 𝑙𝑛𝑗o − f
The plot of ln(-j) against  is called Tafel plot
The slope gives 
The intercept gives jo
Example: The data below refer to the anodic current through a Pt
electrode of area 2 cm2 in contact with an Fe3+,Fe2+ aqueous
solution at 298 K.
Calculate jo and  for the electrode process.
47
Solution
Intercept = 0.88 = ln jo Therefore, jo = 2.4 mAcm-2
Slope = (1-)F/RT = 0.0165. Therefore  = 0.58
2. The Influence of Mass Transfer
 The consumption of electroactive species close to the electrode
results in a concentration gradient
 Diffusion of the species towards the electrode from the bulk is
slow and may become rate-determining.
48
Consider a solution that has its bulk concentration, c, up to a
distance  from the outer Helmholtz plane, and then falls linearly to
c' at the plane
The layer is called the Nernst diffusion layer
thickness ()  0.1 mm – less than the double layer
49
𝑑𝑐
𝑑𝑥
=
𝑐′−𝑐

The gradient gives rise to a flux of ions (J) towards the electrode,
which replenishes the reduced cations.
J is proportional to the concentration gradient
𝐽 = −𝐷
𝜕𝑐
𝜕𝑥
𝐽 = 𝐷
𝑐⁡−⁡𝑐′

Therefore,
𝐽 = 𝑧𝐹𝐽 = 𝑧𝐹𝐷
𝑐 − 𝑐′

The current density is the product of the particle flux and the
charge transferred per mole of ions, zF
50
 The maximum rate of diffusion across the Nernst layer occurs
when c' = 0.
 The limiting current density, jlim is given by
𝒋lim = 𝒛𝑭𝑱lim =
𝒛𝑭𝑫𝒄

- Nernst-Einstein equation
𝐷 =
𝑅𝑇
𝑧2𝐹2
Therefore,
𝒋lim =
𝒄𝑹𝑻
𝒛𝑭
Consider an electrode in a 0.10 M Cu2+(aq) unstirred solution.
Let  = 0.3 mm,  = 107 S cm2 mol -1, T = 298 K,
Then, jlim = 0.045 mA cm-2
51

Chapter 2.pdf

  • 1.
    Physical Chemistry II(InCh3107) Chapter 2 Electrochemical Cells 1
  • 2.
    2. ELECTROCHEMICAL CELLS 2.1.Introduction  An electrochemical cell consists of two electrodes in contact with an electrolyte.  An electrode and its electrolyte comprise an electrode compartment.  Two electrodes may share the same compartment if their electrolytes are the same.  If their electrolytes are different, the two compartments may be joined by a salt bridge  A tube containing a concentrated electrolyte solution, mainly KCl in agar jelly.  The salt bridge is used to complete the electrical circuit and thus enable the cell to function. 2
  • 3.
     Two electrolytesmay also be separated by a porous partition. Types of Electrochemical Cells 1. Electrolytic Cell:  An electrochemical cell where external source of current causes the oxidation and reduction of the electrolyte present in the cell. The reaction is non-spontaneous. 3
  • 4.
    2. Galvanic Cell: It is an electrochemical cell where a spontaneous chemical reaction produces electricity. There are two half cells – two redox couples. Galvanic Cell Representation:  The oxidized couple is written on the left and the reduced couple is written on the right. The two are separated by: || if salt bridge is used ⁞ if a porous partition is used Phase boundaries are represented by |.  Metals are written at extreme left and right. 4
  • 5.
    Example: For aGalvanic cell reaction: Representations: Zn|Zn2+ || Cu2+ | Cu Zn | ZnSO4 (aq) || CuSO4 (aq) | Cu Zn | ZnSO4 (aq) ⁞ CuSO4 (aq) | Cu For: Representation: Pt (s) | H2 (g) | HCl (aq) | AgCl (s) | Ag 5 Zn (s) +CuSO4 (aq) ZnSO4 (aq) + Cu (s)
  • 6.
    2.2. Reversible Electrodes 2.2.1.Standard Reduction Potentials (Eo) of Electrodes  It is the reduction potential under standard condition. Examples: 6 Couple Eo/V Ce4+ (aq) + e-  Ce2+ (aq) +1.61 Ag+(aq) + e-  Ag(s) +0.80 Cu2+ (aq) + 2e-  Cu (s) +0.34 AgCl(s) + e-  Ag(s) + Cl-(aq) +0.22 H+ (aq) + e-  ½H2 (g) 0 Zn2+ (aq) + 2e-  Zn (s) -0.76 Mg2+ (aq) + 2e-  Mg (s) -2.36 Na+ (aq) + e-  Na (s) -2.71
  • 7.
    Note: Greater negativereduction potential implies greater tendency to be oxidized. Example: Spontaneous reaction: Mg + Zn2+  Mg2+ + Zn Non-spontaneous: 2Ag + Cu2+  2Ag+ + Cu 2.2.2. Cell Potential (electromotive force)  It is the difference between the reduction potential of the reduced couple and the reduction potential of the oxidized couple  It can be determine from the electrode potentials. E cell = E red – E ox Eo cell = Eo red – Eo ox (at standard condition) Using the Galvanic cell representation, E cell = E right electrode – E left electrode Eo cell = Eo right electrode – Eo left electrode 7
  • 8.
    Note: E cell is: +veimplies the reaction is spontaneous –ve implies the reaction is non-spontaneous 0 implies the reaction is at equilibrium Example 1: Determine the standard cell potential for Zn|Zn2+ || Cu2+ | Cu Answer: Eo cell = Eo red – Eo ox = 0.34 V – (- 0.76 V) = 1.1 V Example 2: Is the following reaction spontaneous? Cr (s) + 3Fe3+  Cr3+ + 3Fe2+ Answer Representation: Cr|Cr3+||Fe3+|Fe2+ 8 3 3 2 / / 0.74 , 0.77 o o Cr Cr Fe Fe E V E V       
  • 9.
    Eo cell = Eo right– Eo left = Eo red – Eo ox = 0.77 V – (-0.74V) = 1.51V  Eo cell = +ve The reaction is spontaneous. 2.2.3. The Nernst Equation  It relates the variation of electrode or cell potential with concentration (or pressure for gases). For: At 25oC, 9 Ox + ne- Red
  • 10.
     Concentration expressionis used for dilute solution.  For any concentration activity is used instead of concentration. For a cell reaction (at 25oC): Example: For a reaction, Find: a) 𝐸𝑍𝑛 2+ 𝑍𝑛 b) 𝐸Cu2+ 𝐶𝑢 c) 𝐸cell 10 Ox1 + Red2 Red1 + Ox2 Zn + Cu2+ (0.1M) Zn2+ (0.2) + Cu
  • 11.
    Solution b) 𝑬𝑪𝒖2+/𝑪𝒖 = 𝑬𝑪𝒖2+/𝑪𝒖 𝒐 − 𝟎.𝟎𝟓𝟗 𝟐 𝒍𝒐𝒈 𝑪𝒖 𝑪𝒖2+ = 𝟎. 𝟑𝟒 − 𝟎. 𝟎𝟓𝟗 𝟐 𝒍𝒐𝒈 𝟏 𝟎. 𝟏 = 𝟎. 𝟑𝟏𝑽 11 2 2 2 2 0 0 0 2 2 / / 0.059 [ ][ ] 0.059 [ ][ ] ) log ( ) log [ ][ ] [ ][ ] 0.059 0.2 (0.34 ( 0.76) log 1.09 2 0.1 cell cell Cu Cu Zn Zn Zn Cu Zn Cu c E E E E n Zn Cu n Zn Cu V                 Re 0.31 ( 0.78 ) 1.09 cell d Ox Or E E E V V V       2 2 2 / / 0.059 [ ] 0.059 1 ) log 0.76 log 0.78 [ ] 2 0.2 o Zn Zn Zn Zn Zn a E E V n Zn          
  • 12.
    2.2.4. Types ofElectrodes in Galvanic Cells 1. Metal – metal ion electrode: A metal rod is dipped in a solution containing the ion of he metal. Mn+ + ne-  M E.g. Ag+|Ag 2. Gas – ion electrode: The gas is allowed to mix with a solution containing its ions. Inert metal is used for the passage of electrons. E.g. 2H+ + 2e-  H2 Or H+ + e-  ½H2 3. Metal – insoluble salt – anion of salt electrode: A metal coated with its insoluble salt is dipped in a solution containing the anion of the salt. 12 / / 0.059 1 log [ ] n n o n M M M M E E n M      2 2 2 ( ) 2 / / 0.059 log [ ] H atm o H H H H P E E n H     
  • 13.
    E.g.1 Ag|AgCl(s)|Cl- AgCl (s)+ e-  Ag + Cl- 𝐸Ag/AgCl/Cl- = 𝐸o Ag/AgCl/Cl- − 0.059 1 log⁡ [𝐶𝑙-] E.g.2 Saturated calomel electrode (SCE): Hg|Hg2Cl2 (s)||Cl- Hg2Cl2 (s) + 2e-  2Hg (l) + 2Cl- 𝐸Hg/Hg2Cl2/Cl- = 𝐸o Hg/Hg2Cl2/Cl- − 0.059 2 log 𝐶𝑙− 2 = 𝐸o Hg/Hg2Cl2/Cl- − 0.059log⁡ [𝐶𝑙−] 4. Amalgam electrode: Na (Hg)|Na+ Na+ + e- + Hg  Na (Hg) 13 ( )/ ( )/ 0.059 ( ) log 1 [ ] o Na Hg Na Na Hg Na Na Hg E E Na     
  • 14.
    5. Oxidation –Reduction Electrode There are two ions one of which is reduced to the other. E.g. Pt|Fe3+, Fe2+ Fe3+ + e-  Fe2+ 2.3. Determination of Standard Electrode Potential  Consider the Galvanic cell: Pt|H2|HCl|AgCl|Ag Cell reaction: ½H2 (1atm) + AgCl  Ag + H+ (aH +) + Cl- (aCl -) At 25 oC, 𝑬cell = 𝑬o cell − 𝟎. 𝟎𝟓𝟗𝒍𝒐𝒈𝒂H +𝒂Cl− 14 3 2 3 2 2 3 , , 0.059 [ ] log 1 [ ] o Fe Fe Fe Fe Fe E E Fe        
  • 15.
    aH +aCl - = a 2,where a = mean activity = m 𝐸cell = 𝐸o cell − 0.059𝑙𝑜𝑔𝑎 2 = 𝐸o cell − 0.118𝑙𝑜𝑔𝑎 = 𝐸o cell − 0.118𝑙𝑜𝑔𝑚 𝐸cell = 𝐸o cell − 0.118𝑙𝑜𝑔𝑚 − 0.118𝑙𝑜𝑔 Using the Debye – Hückel limiting law, 𝑙𝑜𝑔 = −0.509|𝑍+𝑍-|𝐼½⁡ =-0.509 × 1 ½ 𝑚i𝑍i 2 ½ 𝑙𝑜𝑔 = −0.509 ½ 𝑚H +×1⁡+⁡𝑚Cl - × 1 ½ 𝑙𝑜𝑔 = −0.509 ½ 2𝑚 ½⁡ =⁡-0.509𝑚½ Therefore, 𝐸cell+0.118𝑙𝑜𝑔𝑚 = 𝐸o cell+0.118 × 0.509𝑚½𝑙 = 𝐸o cell+0.06𝑚½  A plot of Ecell vs. m½ gives a straight line.  Extrapolation to m = 0 gives the value of:  Eo cell and hence  Eo Cl - |AgCl|Ag. 15
  • 16.
    2.4. Thermodynamics ofElectrochemical Cells 2.4.1. Determining Free Energy Change For a reaction: In a Galvanic cell, Equating the two relations and rearrangement yields,  At equilibrium, G = 0, Ecell = 0. Therefore, Go = - nFEo cell 16 a A + b B c C + d D ln c d o C D a b A B a a G G RT a a     ln c d o C D cell cell a b A B a a RT E E nF a a   ( ) o o cell cell G G E E nF     
  • 17.
     Under non-equilibriumcondition, G = Go + nFEo cell – nFEcell Therefore, G = – nFEcell  Hence, the free energy change can be determined by measuring the cell potential. 2.4.2. Determining the mean activity coefficient Consider a Galvanic cell reaction: aH2 = 1, +- = , n = 1 17 AgCl (s) + 1/2H2 (1atm) Ag (s) + H+ (aq) + Cl- (aq) 2 1 2 ln o H Cl cell cell H a a RT E E nF a     2 ln o cell cell RT E E C nF   
  • 18.
    At 25oC, Hence,  Themean activity coefficient (of HCl in the above case) can be determined by measuring Ecell at different concentrations of the electrolyte. 2.4.3. Determining the Equilibrium Constant, K For a reaction: 18 0.118log 0.118log o cell cell E E C     log log 0.118 o cell cell E E C     a A + b B c C + d D ln c d o C D a b A B a a G G RT a a    
  • 19.
    At equilibrium, G= 0 Go = - nFEo cell Therefore, At 25oC, Example Calculate ∆𝐺o r and K at 25oC for the galvanic cell reaction: AgCl (s) + ½H2 (g)  Ag (s) + H+ (aq) + Cl- (aq) (Eo Ag|AgCl|Cl- = 0.2223V) 19 ln o G RT K    c d C D a b A B equilibrium a a where K a a        ln o cell RT E K nF  ln o cell nF K E RT  log 0.059 o cell n K E 
  • 20.
    Solution Galvanic cell representation:Pt|H2 (1 atm)|HCl (aq)|AgCl (s)|Ag ∆𝐺o r = −𝑛𝐹𝐸o cell n = 1 Eo cell = Eo Red - Eo Ox = 0.2223 V – 0 = 0.2223V ∆𝐺o r = - 1  96485 Cmol-1  0.2223 V = - 21449 CVmol-1 = -21449 Jmol-1 = - 21. 45kJmol-1 20 3 1 log 0.2223 3.76 0.059 0.059 5.86 10 o cell n K E K      
  • 21.
    2.4.4. Determining Sand H 𝜕𝐸cell 𝜕𝑇 = 𝑡𝑒𝑚𝑝𝑒𝑟𝑎𝑡𝑢𝑟𝑒⁡𝑐𝑜𝑒𝑓𝑓𝑖𝑐𝑖𝑒𝑛𝑡⁡𝑜𝑓⁡𝑡𝑕𝑒⁡𝑐𝑒𝑙𝑙⁡𝑒𝑚𝑓  It shows change in Ecell at different temperatures.  Positive value implies Ecell increases with increasing temperature and the vice versa.  S can be determined from the temperature coefficient. At standard state, 21 , cell P G S G nFE T              cell P E S nF T            cell P E S nF T           cell cell cell cell P P E E H G T S nFE TnF nF T E T T                                 o o cell P E S nF T           0 0 o cell cell P E H nF T E T                     
  • 22.
    Example  The cellemf of a galvanic cell (n = 2) was found to change with temperature (oC) according to the expression: Ecell (V) = 1.01845 – 4.05  10-5 (t/to – 20) – 9.5  10-7(t/to – 20)2 where to = 1oC. Determine at 25oC a) G, b) S, c) H Solution a) at 25oC, Ecell = 1.01845 – 4.05  10-5 (25oC/1oC – 20) – 9.5  10-(25oC/1oC – 20)2 = 1.01822 V G = - nFEcell = -2  96485 Cmol-1  1.01822V = -196486 CVmol-1 = - 196486 J mol-1 22
  • 23.
    c) H =G + TS = 196486Jmol-1 + 298K  (-9.6485) Jmol-1K-1 = -199.36 kJmol-1 23     -5 -7 2 -5 -7 2 -5 -7 1.01845 - 4.05 10 (t - 20) - 9.5 10 (t - 20) -4.05 10 t - 9.5 10 (t - 20) 4.05 10 2 9.5 10 ( 20) cell P E T T T t                          ) cell P E b S nF T           -5 -7 5 4.05 10 2 9.5 10 (25 20) 5 10 /o cell P E V C T                    1 5 1 1 1 2 96485 5 10 / 9.6485 / 9.6485 o o S Cmol V C Jmo C Jmo K               
  • 24.
    2.5. Liquid JunctionPotential (Elj)  A potential developed at the junction of two electrolyte solutions or the same electrolyte at different concentrations.  The electrolytes are separated by a permeable membrane. E.g. Zn|ZnSO4⁞CuSO4|Cu  Zn2+ moves faster than SO4 2-.  Therefore, they cross the junction earlier.  The separation of charges develops a potential at the junction. Ecell = (ER – EL)  Elj 2.6. Measurement of pH  pH can be determined from the measured cell potential. E.g. Pt|H2|H+ (aH +)||Cl- (aCl-), Hg2Cl2|Hg|Pt 24
  • 25.
    Cell reaction: ½Hg2Cl2+ ½H2  H+ (aH +) + Cl- (aCl -) + Hg (l) At 25oC,  Determine the cell constant by measuring Ecell of a solution of known pH.  Insert the SCE into a solution whose pH is to be determined.  Determine Ecell  Calculate the pH using the above relationship. 25
  • 26.
    2.7. Membrane Potentials()  Consider two different electrolyte solutions separated by a membrane:  A potential difference will be setup between the two solutions if the membrane is permeable to some ions and impermeable to others.  The potential difference across the membrane is called membrane potential. Ion Selective Electrode:  It is an electrode whose potential (membrane Potential) changes with the activity of a specific type of ion. 26
  • 27.
    E.g. Glass Electrode- sensitive to aH + Ag|AgCl|HCl (0.1N)||Glass |solution (pH = x)||SCE  It is filled with a phosphate buffer containing Cl- ions.  It conveniently has E = 0 when the external medium is at pH = 7.  The membrane is permeable to Na+ and Li+ ions but not to H+ ions. 27
  • 28.
     The hydrogenion activity in a test solution gives rise to a membrane potential  The glass electrode along with a saturated calomel electrode is used in pH meter that measures the pH of an unknown solution. At 25oC, E = cell constant + 0.059 pH It is necessary to calibrate the glass electrode before use with solutions of known pH.  This determines the cell constant. Examples:  saturated aqueous solution of potassium hydrogen tartarate; pH = 3.557 at 25oC  0.0100 molkg-1 disodium tartarate; pH = 9.180 at 25oC 28
  • 29.
    2.8. Classes ofElectrochemical Cells 2.8.1. Chemical Cells  The electromotive force arises due to a chemical reaction.  There are two types of chemical cells. a) Chemical Cells with Transference  The electrolytes are separated by a permeable membrane where ions can move across. E.g. Zn|ZnSO4⁞CuSO4|Cu b) Chemical Cells without Transference  There is no transfer of ions. They are of two types. 29
  • 30.
    i) Two electrolytesseparated by a salt bridge E.g. Zn|ZnSO4||CuSO4|Cu ii) One electrolyte into which two electrodes are immersed  One electrode is in equilibrium with a positive ion and the other with the negative ion. E.g. Pt|H2|HCl|AgCl|Ag 2.8.2. Concentration Cells • Concentration (pressure) difference is used to setup a potential difference. They are of two types. a) Electrode Concentration Cells  Same electrodes at different concentrations are used. E.g. Pt|H2 (P1)|HCl|H2 (P2)|Pt where P1 > P2 left: H2 (P1)  2H+ + 2e- Right: 2H+ + 2e-  H2 (P2) Net: H2 (P1)  H2 (P2) 30
  • 31.
     At 25oC, 𝐸cell= 𝐸o cell − 0.059𝑙𝑜𝑔 𝑃2 𝑃1 b) Electrolyte Concentration Cells i) Without Transference  The same electrolyte at different concentrations is used.  The electrodes are the same and the two cells are joined. E.g. Ag|AgCl|HCl (a2)||HCl(a1)|AgCl|Ag Left: Ag + Cl- (a2)  AgCl + e- Right: AgCl (s) + e-  Ag + Cl- (a1) Net: HCl (a2)  HCl (a1) 𝐸cell = 𝐸o cell − 0.059𝑙𝑜𝑔 𝑎1 𝑎2 Eo R = Eo L, Eo cell = 0 Therefore, 𝐸cell = −0.059𝑙𝑜𝑔 𝑎1 𝑎2 31
  • 32.
    ii) With Transference Two identical electrodes are immersed in two solutions of the same electrolyte at different concentrations.  The two solutions are separated by a permeable membrane. E.g. Pt|H2 (1atm)|HCl (a1)⁞HCl (a2|H2 (1 atm)|Pt where a2 > a1 Left: ½H2 (1 atm)  H+ (a1) + 1e- Right: H+ (a2) + e-  ½H2 (1 atm) Net: H+ (a2)  H+ (a1) 32
  • 33.
    2.9. Examples ofElectrochemical Cell 1. Dry Cell: Anode – Zn can Cathode – carbon rod Electrolyte – paste of MnO2, C, NH4Cl, ZnCl2 moistened with water. Anode reaction: Zn  Zn2+ + 2e- Cathode reaction: NH4 + + MnO2 (s) + e-  MnO (OH) (s) + NH3  The cell dies because of the formation of NH3 that insulates the cathode. 2. Lead Storage Cell Pb (s)|PbSO4 (s)|H+HSO4 -|PbO2 (s)|Pb (s) Anode reaction: Pb (s) + HSO4 -  PbSO4 (s) + H+ + 2e- Cathode reaction: PbO2 (s) + 3H+ + HSO4 - + 2e-  2PbSO4 (s) + 2H2O Cell reaction: Pb (s) + PbO2 (s) + 2H+ + 2HSO4 -  2PbSO4 (s) + 2H2O 33
  • 34.
     The cellcan be recharged.  Overcharging electrolyzes the water to H2 and O2 that degrade the electrode surface. As a result, the PbSO4 detaches from the electrode.  The performance of the cell is checked by specific gravity tester. 3. Nickel – Cadmium Cell Cd (s)|Cd(OH)2 (s)|OH-|Ni(OH)2 (s)|NiO2 (s) Anode reaction: Cd (s) + 2OH-  Cd(OH)2 (s) + 2e- Cathode reaction: NiO2 (s) + 2H2O + 2e-  Ni(OH)2 (s) + 2OH- Cell reaction: Cd (s)+ NiO2 (s) + 2H2O  Cd(OH)2 (s)+ Ni(OH)2 (s)  The cell voltage stays constant till the cell is discharged. Reason: The ionic concentrations do not change till the cell is discharged. 34
  • 35.
    2.10. Interfacial Electrochemistry 2.10.1.The electrical double layer  It is a model of the boundary between the solid and liquid phases  It consists of a sheet of positive charge on the surface of the electrode and a sheet of negative charge next to it in the solution (or vice versa).  The model is called the Helmholtz layer model  This arrangement creates an electrical potential difference, called the Galvani potential difference (), between the bulk of the metal electrode and the bulk of the solution. 35
  • 36.
    Structure of thedouble layer  Solvated ions arrange themselves along the surface of the electrode but are held away from it by their hydration spheres.  Outer Helmholtz plane (OHP): the plane running through the solvated ions. 36
  • 37.
     The electricalpotential changes linearly within the layer bounded by the electrode surface on one side and the OHP on the other.  Inner Helmholtz plane (IHP): Runs through ions that have discarded their solvating molecules and have become attached to the electrode surface.  These are said to be specifically adsorbed 37
  • 38.
     The totalcharge density from specifically adsorbed ions in this inner layer is 1 (С/ст2).  Solvated ions are said to be nonspecifically adsorbed.  The interaction of the solvated ions with the charged metals:  involves only long-range electrostatic forces  is independent of the chemical properties of the ions 38
  • 39.
     Because ofthermal agitation, the nonspecifically adsorbed ions are distributed in a diffuse layer, which extends from the OHP into the bulk of the solution  The excess charge density in the diffuse layer is d  The thickness of the diffuse layer depends on the total ionic concentration in the solution;  for concentrations greater than 10~2 M, the thickness is less than ~100 Å.  The structure of the double layer can affect the rates of electrode processes 2.10.2. Electrochemical kinetics 1. Kinetics of Simple electrode reactions a) The rate laws Rate of reduction of Ox: Ox = 𝑘c[𝑂𝑥] Rate of oxidation of Red: Red = 𝑘a[𝑅𝑒𝑑] 39
  • 40.
     Consider anelectrode reaction in which an ion is reduced by the transfer of a single electron in the rate-determining step. Cathodic current density: Anodic current density: The net current density at the electrode is: when ja > jc so that j > 0, the current is anodic. when jc > ja so that j < 0, the current is cathodic. 40
  • 41.
    b) The ActivationGibbs Energy  If a species is to be reduced or oxidized at an electrode, it must:  discard any solvating molecules,  migrate through the electrode-solution interface,  adjust its hydration sphere as it receives or discards electrons.  A species already at the inner plane must be detached and migrate into the bulk.  Both processes are activated.  Using the transition state theory, the rate constants  The current density is rewritten as: 41
  • 42.
     The activationGibbs energies for the cathodic and anodic processes are different c) The Butler-Volmer equation  For the reduction reaction, If the transition state of the activated complex is product-like,  = transfer coefficient - activation energy in the absence of a potential difference across the double layer  If the electrode is more positive than the solution,  > 0,  more work has to be done to form an activated complex from Ox;  If for the oxidation reaction, the transition state is reactant-like 42
  • 43.
     Insert theactivation energy expressions into the expression for current density yields Let: 𝑓 = 𝐹 𝑅𝑇 Effect of change of potential difference on activation energy and current density at an electrode For reduction, Change of cathodic activation energy = F( - ) 43
  • 44.
    Example:  - = 1V, T = 298 K,  = ½. 1J = 1VC Change of cathodic activation energy = ½96485 = 48,242.5J 𝑗′ 𝑗 = 𝑒−𝑓 ∆−∆ = 3.5 × 10−9 Note: Mild change in potential results with great change in activation energy and great change in current density  When the cell is balanced against an eternal source, the Galvani potential difference () can be identified as the zero current electrode potential, E. There is no net current at the electrode  The two current densities at the electrodes are equal Each current is called exchange current density, jo 44
  • 45.
     When thecell produces current (when load is connected), the electrode potential changes from its zero current value E to a new value E  The difference is called over potential, .  = E – E Accordingly,  = E +  𝑗a = 𝑗o𝑒− 1−𝑓 𝑗c = 𝑗o𝑒−𝑓 𝑗 = 𝑗o 𝑒 1− 𝑓 − 𝑒−𝑓 Butler – Volmer Equation The low overpotential limit When f << 1 (when  < 0.01 V), j = jof 45
  • 46.
     The currentdensity is proportional to the overpotential  When  is small +ve the current is anodic (j = +ve)  When  is small -ve the current is cathodic (j = -ve) Rearrangement yields the potential difference required for a given current density:  = 𝑹𝑻𝒋 𝑭𝒋𝒐 Example: The exchange current density of a hydrogen electrode at 298 K is 0.79 mAcm-2 Determine the current density when  = +5.0 mV Solution: 𝑓 = 𝐹 𝑅𝑇 = 1 25.69𝑚𝑉 𝑗 = 𝑗o𝑓 = 0.79𝑚𝐴𝑐𝑚−2 × 5⁡𝑚𝑉 25.69⁡𝑚𝑉 = 0.15𝑚𝐴𝑐𝑚−2 46
  • 47.
    The high overpotentiallimit  When  is large and positive (  0.12 V) (anodic current): 𝑗 = 𝑗o𝑒 1− 𝑓 𝑙𝑛𝑗 = 𝑙𝑛𝑗o + 1 −  𝑓  When  is large and negative (  - 0.12 V) (cathodic current): 𝑗 = −𝑗o𝑒−𝑓 ln −𝑗 = 𝑙𝑛𝑗o − f The plot of ln(-j) against  is called Tafel plot The slope gives  The intercept gives jo Example: The data below refer to the anodic current through a Pt electrode of area 2 cm2 in contact with an Fe3+,Fe2+ aqueous solution at 298 K. Calculate jo and  for the electrode process. 47
  • 48.
    Solution Intercept = 0.88= ln jo Therefore, jo = 2.4 mAcm-2 Slope = (1-)F/RT = 0.0165. Therefore  = 0.58 2. The Influence of Mass Transfer  The consumption of electroactive species close to the electrode results in a concentration gradient  Diffusion of the species towards the electrode from the bulk is slow and may become rate-determining. 48
  • 49.
    Consider a solutionthat has its bulk concentration, c, up to a distance  from the outer Helmholtz plane, and then falls linearly to c' at the plane The layer is called the Nernst diffusion layer thickness ()  0.1 mm – less than the double layer 49
  • 50.
    𝑑𝑐 𝑑𝑥 = 𝑐′−𝑐  The gradient givesrise to a flux of ions (J) towards the electrode, which replenishes the reduced cations. J is proportional to the concentration gradient 𝐽 = −𝐷 𝜕𝑐 𝜕𝑥 𝐽 = 𝐷 𝑐⁡−⁡𝑐′  Therefore, 𝐽 = 𝑧𝐹𝐽 = 𝑧𝐹𝐷 𝑐 − 𝑐′  The current density is the product of the particle flux and the charge transferred per mole of ions, zF 50
  • 51.
     The maximumrate of diffusion across the Nernst layer occurs when c' = 0.  The limiting current density, jlim is given by 𝒋lim = 𝒛𝑭𝑱lim = 𝒛𝑭𝑫𝒄  - Nernst-Einstein equation 𝐷 = 𝑅𝑇 𝑧2𝐹2 Therefore, 𝒋lim = 𝒄𝑹𝑻 𝒛𝑭 Consider an electrode in a 0.10 M Cu2+(aq) unstirred solution. Let  = 0.3 mm,  = 107 S cm2 mol -1, T = 298 K, Then, jlim = 0.045 mA cm-2 51