PENCELUPAN POLIAKRILAT DENGAN ZAT WARNA BASA

I.

MAKSUD dan TUJUAN
Maksud

: Untuk melakukan proses pencelupan pada kain
poliakrilat dengan menggunakan zat warna basa
metoda perendaman.

Tujuan
o

Agar dapat memahami karakter serat poliakrilat,zat warna basa,zat
pembantu dan metoda pencelupan yang akan dipakai.

o
o
II.

Mampu melakukan proses pre treatment sampai proses pencelupan serat
Mampu mengevaluasi dan menganalisa hasil proses pencelupan.

TEORI DASAR

Poliakrilat
Serat-serat poliakrilat selalu mengandung kopolimer yang sangat berguna
dalam mekanisme pencelupannya. Sebagai contoh serat acrilan 1656 mengandung
kopolimer bersifat basa yang mempunyai afinitas terhadap zat warna asam;
sedangkan Courtelle dan serat-serat poliakrilat yang lain mengandung kopolimer
dengan gugusan negatif sehingga serat poliakrilat tersebut mempunyai afinitas yang
besar terhadap zat warna basa atau zat warna kation meskipun serat-serat tersebut
bersifat hidrofob.
Proses pembuatan serat-serat poliakrilat secara terperinci belum diterangkan,
tetapi secara umum adalah sebagai berikut:
40 bagian berat amonium persulfat sebagai katalisator dan 80 bagian natrium
bisulfit sebagai pengaktif dilarutkan dengan 94 bagian air suling pada suhu 40 0C,
dan kemudian setelah 2 jam, 16 bagian campuran akrilonitril 90 persen dan 10
persen monomer etilenat ditambahkan perlahan-lahan sambil diaduk. Polimer
poliakrilonitril yang dimodifikasi dengan monomer lain, mengendap dengan berat
sekitar 60.000. polimer yang diendapkan disaring, dicuci, dikeringkan, dan
dilarutkan kembali dalam pelarut untuk pemintalan yang sesuai misalnya dimetil
formamida (konsentrasi larutan 10-20 persen).
Larutan tersebut kemudian dipanaskan dan disemprotkan melalui sel
pemintalan yang dipanaskan. Medium penguap yang dipanaskan seperti udara,
nitrogen, atau uap dialirkan berlawanan dengan arah perjalanan filamen, untuk
menguapkan pelarut. Filamen dalam keadaan panas ditarik sampai beberapa kali
panjang semula dengan cara melewatkannya melalui jarum yang dipanaskan udara
panas, atau air panas. Suhu penarikan dapat divariasi dari 1000C sampai 2500C
bergantung pada lamanya kontak dalam pemanasan.
Serat akrilic merupakan polimer akrilonitril yang dibentuk oleh reaksi
polimerisasi adisi sebagai berikut :
Sifat-sifat dari poliakrilat adalah :
1. Mekanik
Kekuatan kering serat 5 gram per denier dan kekuatan basahnya 4,8 gram per
denier. Dari perbandingan yang tinggi antara kekuatan basah dan kering terlihat
bahwa serat bersifat tahan air, sama dengan vinyon dan saran. Mulur saat putus
keringh 17 persen, basah 16 persen.
2. Ketahanan kimia
Pada umunya poliakrilik mempunyai ketahanan yang baik terhadap asam-asam
mineral dan pelarut-pelarut, minyak-minyak, lemak-lemak, dan garam-garam
netral.
3. Pengaruh panas
Poliakrilik tahan terhadap pengrusakan panas meskipun dalam waktu yang lama
sampai 1500C.
Zat Warna Basa
Zat Warna basa adalah zat warna yang mempunyai muatan positif atau sebagai
kation pada bagian yang berwarna, maka zat warna tersebut disebut juga
disebut juga zat warna kation.
Pada tahun 1856, W.H. Perkin mereaksikan kondensasi senyawa anilin yang
belum dimurnikan untuk membuat senyawa kwinin tetapi didalamnya terdapat
pula senayawa berwarna yang dapat mencelup serat sutera atau wol secara
langsung.
Kimiawi zat warna basa.
Zat warna basa merupakan garam, basa zat warna basa pada umumnya
mempunyai :
HO

R

(C6H4)

NH2

Yang dapat membentuk garam dengan asam sebagai berikut :

R
OH

NH2 +

HCl

+
N
H

R

Cl

Zat warna basa diperdagangkan dapat membentuk garam dengan asam hidro –
klorida atau oksalat sebagai asamnya, dan mungkin pula berbentuk garam seng
klorida.
Berdasarkan inti khomofornya yang menciri maka zat warna basa dapat
digolongkan sebagai berikut.


Golongan 1.
Yaitu merupakan devirat Tri fenil Metan, Misalnya Melachite Green

C
+
N(CH3) Cl
2



Golongan 2
Yaitu merupakan devirat Thiasin, misalnya Methylen blue

N
(CH3)2
N

N(CH3)2
S
+
Cl

Methylene
Blue


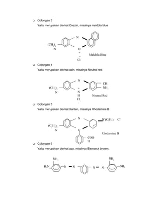
Golongan 3
Yaitu merupakan devirat Oxazin, misalnya meldola blue

N
(CH3)2
N



O
+
Cl

Meldola Blue

Golongan 4
Yaitu merupakan devirat azin, misalnya Neutral red

N
(CH3)2
N



+
N
H
Cl-

CH3
NH2
Neutral Red

-

Golongan 5

Yaitu merupakan devirat Xanten, misalnya Rhodamine B

N
(C2H5)2
N



N+(C2H5)2

C

Cl-

Rhodamine B
COO
H

Golongan 6

Yaitu merupakan devirat azo, misalnya Bismarck browm.

NH2

NH2
H2N

N

N

N

N

NH2
Sifat zat warna basa
Sifat utama zat warna basa adalah mempunyai kecerahan dan intensitas
warna yang tinggi. Zat warna basa segera larut dalam alkohol

tetapi pada

umumnya tidak larut dalam air sehingga sering kali terbentuk gumpalan.
Demikian pula pada zat warna basa misalnya Anramine akan mengurai dengan
pendidihan sehingga pemakaiannya hanya pada temperatur 60 – 65 oC. Dan
pada umumnya pada pendidihan yang lama akan terjadi penguraian sebagian
yang menghasilkan

penurunnan intensitas warna. Bila kedalam larutan zat

warna basa ditambahkan alkali kuat maka akan terbentuk basa zat warna basa
yang tidak berwarna. Tetapi dengan penambahan suatu asam akan terbentuk
lagi bentuk garamnya yang berwarna. Basa tersebut akan larut dalam eter.
Zat warna basa memiliki ketahanan sinar yang jelek dan ketahanan cuci
yang kurang. Asam tanin akan memberikan senyawa yang tidak larut dalam air
dengan zat warna basa terutama bila tidak ada asam mineral. Sifat tersebut
berguna dalam pencelupan serat – serat sellulosa. Dengan istilah back tanning
tetapi kerja iring tersebut berguna akan menyuramkan kilap zat warna basa.
Beberapa senyawa reduktor akan mengubah zat warna basa menjadi basanya
yang tidak berwarna Basa tersebut teroksidasi menjadi bentuk semula. Misal
pada zat warna pararosaniline.

H2N

H2N
C=

+
- H
= NH2 Cl O

H2N

C=

NH2

H2N

Tetapi zat warna basa yang mempunyai ikatan azo proses reduksi tersebut akan
membongkar ikatan azonya sehingga tidak mungkin kembali kebentuk semula
dengan proses oksidasi.
Afinitas zat warna basa
Serat – serat selulosa tidak mempunyai afinitas terhadap zat warna basa.
Apabila beberapa zat warna basa dapat mencelup serat–serat tersebut maka
ketahanan cucinya akan rendah sekali. Tetapi serat –serat protein afinitas
terhadap zat warna basa adalah besar karena terbentuk ikatan garam yang
dapat digambar sebagai berikut :
W – COO - + ( Kation – Zat warna ) +

W – COO ( Kation – Zat warna )

Zat warna tersebut akan terserap pada tempat – tempat yang
bermuatan negatif

sehingga apabila tempat tersebut telah terisi

maka penyerapan zat warna akan terhenti.

III.

PRAKTIKUM

1. Alat dan Bahan
•

Beaker keramik

•

Termometer

•

Pengaduk kaca

•

Pipet volume

•

Timbangan digital

•

Zat sesuai resep

•

Kain poliakrilat

2. Diagram alir praktek
Benang poliakrilat

Persiapan larutan celup
Pencelupan

Cuci sabun

Pembilasan

Pengeringan
3. Resep
a. Proses Pencelupan
Resep
ZW Basa (Katacryl Red)
Pembasah
CH3COOH 30%
CH3COONa
Retarder
Suhu & waktu
VLOT

Resep I
1%
1 cc/L
2 cc/L
0,5 g/L
-

Resep II
Resep III
1%
1%
1 cc/L
1 cc/L
3 cc/L
3 cc/L
0,5 g/L
0,5 g/L
90o C ,30 menit
1 : 20

Resep IV
1%
1 cc/L
1 cc/L
0,5 g/L
1cc/L

b. Cuci Sabun
*

Sabun

: 1 cc/L

*

Na2CO3

: 0,5 g/L

*

Vlot

: 1 : 20

*

Suhu

: 700 C

*

Waktu

: 10 menit

4. Fungsi Zat
 CH3COOH

:

Memberikan

suasana

asam

karena

poliakrilat tidak tahan alkali.
 CH3COONa

:

Sebagai larutan buffer(agar pH tetap).

 Pembasah

:

Menurunkan tegangan permukaan.

 Retarder

:

Sebagai zat perata.

 Sabun

:

Untuk menghilangkan zat warna yang

masih menempel pada serat sehingga daya luntur terhadap hasil
pencelupan tinggi.
5. Perhitungan resep
1. Pencelupan
•

Resep I

Berat kain : 2,51 g
Air

: 2,51 g x 20/1 =50,2 mL

ZW Basa

: 1% x 2,51 g= 0,0251 g
0,0251 g x 100 mL = 2,51 mL

Pembasah

: 1 cc/L x 0,0502 L = 0,05 mL

CH3COOH

: 2 cc/L x 0,0502 L = 0,1 mL

CH3COONa

: 0,5 g/L x 0,0502 L = 0,02 g

•

Resep II

Berat kain :2,68 g
Air

:2,68 g x 20/1 = 53,6 mL

ZW Basa

: 1% x 2,68 g = 0,0268 g
0,0268 g x 100 mL = 2,68 mL

Pembasah

: 1 cc/L x 0,0536 L= 0,05 mL

CH3COOH

: 3 cc/L x 0,0536 L = 0,16 mL

CH3COONa

: 0,5 g/L x 0,0536 L = 0,02 g

•

Resep III

Berat kain : 2,61 g
Air

: 2,61 x 20/1 = 52,2 mL

ZW Basa

: 1 % x 2,61 g = 0,0261 g
0,0261 g x 100 mL = 2,61 mL

Pembasah

: 1 cc/L x 0,0522 L = 0,05 mL

CH3COOH

: 3 cc/L x 0,0522 L = 0,15 mL

CH3COONa

: 0,5 g/L x 0,0522 L = 0,02 g
•

Resep IV

Berat kain : 2,56 g
Air

: 2,56 g x 20/1 = 51,2 mL

ZW Basa

: 1 % x 2,56 g =0,0256 g
0,0256 g x 100 mL = 2,56 mL

Pembasah

: 1 cc/L x 0,0512 L = 0,05 mL

CH3COOH

: 1 cc/L x 0,0521 L = 0,05 mL

CH3COONa

:0,5 g/L x 0,0521 L = 0,02 g

Retarder

: 1 cc/L x 0,0521 L = 0,05 mL

2. Cuci sabun
Berat kain : 10,36 g
Air

: 10,36 g x 20/1 = 207,2 mL

Sabun

: 1 cc/L x 0,207 L = 0,2 mL

Na2CO3

: 0,5 g/L x 0,0207 L = 0,1 g

6. Skema Proses
•

Pencelupan

Metoda Standar ( I )
Zw basa
pembasah ,CH3COOH
90o C

CH3COONa
30o C

10

55

85

90

menit
Metoda Modifikasi ( II )
90’C

As.asetat
Retarder
60’C

ZW
30’C

10 mnt

•

10 mnt

15 mnt

20 mnt

15 mnt

30 mnt

Cuci Sabun
Na2CO3
70o C

Sabun

10

20

menit

5 mnt
7. Cara kerja
*

Menyiapkan semua peralatan yang akan digunakan.

*

Menyiapkan bahan & zat yang diperlukan,menimbangnya sesuai
dengan resep.

*

Menyiapkan resep untuk proses pencelupan.

*

Masukkan poliakrilat kedalam larutan celup sesuai dengan metoda
yang digunakan.

*

Kemudian suhu diturunkan.

*

Siapkan resep pencucian.

*

Lakukan proses pencucian sesuai waktu dan suhu yang telah
ditetapkan.

*

Keringkan kain dan evaluasi.
IV.

DATA PRAKTIKUM
Kain hasil celup Resep I
Kain Hasil celup Resep II
Kain Hasil Celup Resep III
Kain hasil celup Resep IV
V.

DISKUSI
*

Akrilat dapat dicelup dengan zat warna basa karena struktur serat pada
poliakrilat

terdapat

muatan negatif, sedangkan zat`warna

basa

bermuatan positif sehingga zat warna dan serat dapat berikatan.
Pencelupan poliakrilat ini harus dalam suasana asam karena poliakrilat
tidak tahan terhadap alkali.
*

Pencelupan poliakrilat dengan zat warna basa dapat menggunakan 2
metoda yaitu metoda standar dan metoda modifikasi. Untuk metoda
standar waktu yang diperlukan lebih cepat dibanding dengan metoda
modifikasi. Sedangkan hasilnya lebih bagus metoda modifikasi.

*

Untuk proses pencelupannya, suhu tidak boleh melebihi 1000C, karena
apabila suhu terlalu tinggi dapat menurunkan derajat putih kain.

*

Untuk pH larutan celup harus stabil caranya dengan menambahkan
larutan buffer CH3COONa sehingga warnanya lebih mantap.

*

Untuk Resep I dan Resep II menggunakan metoda standar, dapat
dilihat bahwa untuk resep I poliakrilat terdapat belang dan warnanya
muda, sedangkan pada resep II warna lebih tua tetapi juga terdapat
belang. Karena asam yang digunakan pada resep 1 lebih sedikit
daripada resep 2. Jika dibandingkan kerataan warna benang hasil celup
antara resep I dan resep II maka kerataan warna paling bagus adalah
Resep II.

*

Untuk resep III dan Resep IV mengggunakan metoda modifikasi. Untuk
resep IV ditambah dengan retarder. Resep III dapat dilihat bahwa
benang hasil celup terdapat belang dan warnanya muda sedangkan
benang hasil celup resep IV warna tua dan tidak terdapat belang,
benang akrilat tercelup seluruhnya. Jika dibandingkan benang hasil
celup antara Resep III dan Resep IV maka kerataan warna benang
hasil celup paling bagus adalah Resep IV.

*

Pada resep IV menggunakan retarder (zat perata) sehingga zat warna
yang masuk kedalam serat bisa rata keseluruh bagian. Retarder ini
ditambahkan pada awal proses untuk metoda modifikasi sehingga
hasilnya lebih rata dibandingkan resep lainnya.
VI.

KESIMPULAN
Dari hasil praktikum pencelupan poliakrilat dengan zat warna basa dapat
disimpulkan bahwa kerataan benang poliakrilat hasil celup paling bagus
adalah menggunakan Resep IV.

VII.

DAFTAR PUSTAKA
Djufri, Rasyid. 1976. Teknologi pengelantangan, pencelupan dan pencapan.
Bandung: Institut Teknologi Teksti
Buku referensi Pencelupan. Bandung: Institut Teknologi Tekstil..

Celup akrilat basa

  • 1.
    PENCELUPAN POLIAKRILAT DENGANZAT WARNA BASA I. MAKSUD dan TUJUAN Maksud : Untuk melakukan proses pencelupan pada kain poliakrilat dengan menggunakan zat warna basa metoda perendaman. Tujuan o Agar dapat memahami karakter serat poliakrilat,zat warna basa,zat pembantu dan metoda pencelupan yang akan dipakai. o o II. Mampu melakukan proses pre treatment sampai proses pencelupan serat Mampu mengevaluasi dan menganalisa hasil proses pencelupan. TEORI DASAR Poliakrilat Serat-serat poliakrilat selalu mengandung kopolimer yang sangat berguna dalam mekanisme pencelupannya. Sebagai contoh serat acrilan 1656 mengandung kopolimer bersifat basa yang mempunyai afinitas terhadap zat warna asam; sedangkan Courtelle dan serat-serat poliakrilat yang lain mengandung kopolimer dengan gugusan negatif sehingga serat poliakrilat tersebut mempunyai afinitas yang besar terhadap zat warna basa atau zat warna kation meskipun serat-serat tersebut bersifat hidrofob. Proses pembuatan serat-serat poliakrilat secara terperinci belum diterangkan, tetapi secara umum adalah sebagai berikut: 40 bagian berat amonium persulfat sebagai katalisator dan 80 bagian natrium bisulfit sebagai pengaktif dilarutkan dengan 94 bagian air suling pada suhu 40 0C, dan kemudian setelah 2 jam, 16 bagian campuran akrilonitril 90 persen dan 10 persen monomer etilenat ditambahkan perlahan-lahan sambil diaduk. Polimer poliakrilonitril yang dimodifikasi dengan monomer lain, mengendap dengan berat sekitar 60.000. polimer yang diendapkan disaring, dicuci, dikeringkan, dan
  • 2.
    dilarutkan kembali dalampelarut untuk pemintalan yang sesuai misalnya dimetil formamida (konsentrasi larutan 10-20 persen). Larutan tersebut kemudian dipanaskan dan disemprotkan melalui sel pemintalan yang dipanaskan. Medium penguap yang dipanaskan seperti udara, nitrogen, atau uap dialirkan berlawanan dengan arah perjalanan filamen, untuk menguapkan pelarut. Filamen dalam keadaan panas ditarik sampai beberapa kali panjang semula dengan cara melewatkannya melalui jarum yang dipanaskan udara panas, atau air panas. Suhu penarikan dapat divariasi dari 1000C sampai 2500C bergantung pada lamanya kontak dalam pemanasan. Serat akrilic merupakan polimer akrilonitril yang dibentuk oleh reaksi polimerisasi adisi sebagai berikut : Sifat-sifat dari poliakrilat adalah : 1. Mekanik Kekuatan kering serat 5 gram per denier dan kekuatan basahnya 4,8 gram per denier. Dari perbandingan yang tinggi antara kekuatan basah dan kering terlihat bahwa serat bersifat tahan air, sama dengan vinyon dan saran. Mulur saat putus keringh 17 persen, basah 16 persen. 2. Ketahanan kimia Pada umunya poliakrilik mempunyai ketahanan yang baik terhadap asam-asam mineral dan pelarut-pelarut, minyak-minyak, lemak-lemak, dan garam-garam netral. 3. Pengaruh panas Poliakrilik tahan terhadap pengrusakan panas meskipun dalam waktu yang lama sampai 1500C. Zat Warna Basa Zat Warna basa adalah zat warna yang mempunyai muatan positif atau sebagai kation pada bagian yang berwarna, maka zat warna tersebut disebut juga disebut juga zat warna kation. Pada tahun 1856, W.H. Perkin mereaksikan kondensasi senyawa anilin yang belum dimurnikan untuk membuat senyawa kwinin tetapi didalamnya terdapat pula senayawa berwarna yang dapat mencelup serat sutera atau wol secara langsung.
  • 3.
    Kimiawi zat warnabasa. Zat warna basa merupakan garam, basa zat warna basa pada umumnya mempunyai : HO R (C6H4) NH2 Yang dapat membentuk garam dengan asam sebagai berikut : R OH NH2 + HCl + N H R Cl Zat warna basa diperdagangkan dapat membentuk garam dengan asam hidro – klorida atau oksalat sebagai asamnya, dan mungkin pula berbentuk garam seng klorida. Berdasarkan inti khomofornya yang menciri maka zat warna basa dapat digolongkan sebagai berikut.  Golongan 1. Yaitu merupakan devirat Tri fenil Metan, Misalnya Melachite Green C + N(CH3) Cl 2  Golongan 2 Yaitu merupakan devirat Thiasin, misalnya Methylen blue N (CH3)2 N N(CH3)2 S + Cl Methylene Blue
  • 4.
     Golongan 3 Yaitu merupakandevirat Oxazin, misalnya meldola blue N (CH3)2 N  O + Cl Meldola Blue Golongan 4 Yaitu merupakan devirat azin, misalnya Neutral red N (CH3)2 N  + N H Cl- CH3 NH2 Neutral Red - Golongan 5 Yaitu merupakan devirat Xanten, misalnya Rhodamine B N (C2H5)2 N  N+(C2H5)2 C Cl- Rhodamine B COO H Golongan 6 Yaitu merupakan devirat azo, misalnya Bismarck browm. NH2 NH2 H2N N N N N NH2
  • 5.
    Sifat zat warnabasa Sifat utama zat warna basa adalah mempunyai kecerahan dan intensitas warna yang tinggi. Zat warna basa segera larut dalam alkohol tetapi pada umumnya tidak larut dalam air sehingga sering kali terbentuk gumpalan. Demikian pula pada zat warna basa misalnya Anramine akan mengurai dengan pendidihan sehingga pemakaiannya hanya pada temperatur 60 – 65 oC. Dan pada umumnya pada pendidihan yang lama akan terjadi penguraian sebagian yang menghasilkan penurunnan intensitas warna. Bila kedalam larutan zat warna basa ditambahkan alkali kuat maka akan terbentuk basa zat warna basa yang tidak berwarna. Tetapi dengan penambahan suatu asam akan terbentuk lagi bentuk garamnya yang berwarna. Basa tersebut akan larut dalam eter. Zat warna basa memiliki ketahanan sinar yang jelek dan ketahanan cuci yang kurang. Asam tanin akan memberikan senyawa yang tidak larut dalam air dengan zat warna basa terutama bila tidak ada asam mineral. Sifat tersebut berguna dalam pencelupan serat – serat sellulosa. Dengan istilah back tanning tetapi kerja iring tersebut berguna akan menyuramkan kilap zat warna basa. Beberapa senyawa reduktor akan mengubah zat warna basa menjadi basanya yang tidak berwarna Basa tersebut teroksidasi menjadi bentuk semula. Misal pada zat warna pararosaniline. H2N H2N C= + - H = NH2 Cl O H2N C= NH2 H2N Tetapi zat warna basa yang mempunyai ikatan azo proses reduksi tersebut akan membongkar ikatan azonya sehingga tidak mungkin kembali kebentuk semula dengan proses oksidasi. Afinitas zat warna basa Serat – serat selulosa tidak mempunyai afinitas terhadap zat warna basa. Apabila beberapa zat warna basa dapat mencelup serat–serat tersebut maka ketahanan cucinya akan rendah sekali. Tetapi serat –serat protein afinitas terhadap zat warna basa adalah besar karena terbentuk ikatan garam yang dapat digambar sebagai berikut :
  • 6.
    W – COO- + ( Kation – Zat warna ) + W – COO ( Kation – Zat warna ) Zat warna tersebut akan terserap pada tempat – tempat yang bermuatan negatif sehingga apabila tempat tersebut telah terisi maka penyerapan zat warna akan terhenti. III. PRAKTIKUM 1. Alat dan Bahan • Beaker keramik • Termometer • Pengaduk kaca • Pipet volume • Timbangan digital • Zat sesuai resep • Kain poliakrilat 2. Diagram alir praktek Benang poliakrilat Persiapan larutan celup Pencelupan Cuci sabun Pembilasan Pengeringan
  • 7.
    3. Resep a. ProsesPencelupan Resep ZW Basa (Katacryl Red) Pembasah CH3COOH 30% CH3COONa Retarder Suhu & waktu VLOT Resep I 1% 1 cc/L 2 cc/L 0,5 g/L - Resep II Resep III 1% 1% 1 cc/L 1 cc/L 3 cc/L 3 cc/L 0,5 g/L 0,5 g/L 90o C ,30 menit 1 : 20 Resep IV 1% 1 cc/L 1 cc/L 0,5 g/L 1cc/L b. Cuci Sabun * Sabun : 1 cc/L * Na2CO3 : 0,5 g/L * Vlot : 1 : 20 * Suhu : 700 C * Waktu : 10 menit 4. Fungsi Zat  CH3COOH : Memberikan suasana asam karena poliakrilat tidak tahan alkali.  CH3COONa : Sebagai larutan buffer(agar pH tetap).  Pembasah : Menurunkan tegangan permukaan.  Retarder : Sebagai zat perata.  Sabun : Untuk menghilangkan zat warna yang masih menempel pada serat sehingga daya luntur terhadap hasil pencelupan tinggi.
  • 8.
    5. Perhitungan resep 1.Pencelupan • Resep I Berat kain : 2,51 g Air : 2,51 g x 20/1 =50,2 mL ZW Basa : 1% x 2,51 g= 0,0251 g 0,0251 g x 100 mL = 2,51 mL Pembasah : 1 cc/L x 0,0502 L = 0,05 mL CH3COOH : 2 cc/L x 0,0502 L = 0,1 mL CH3COONa : 0,5 g/L x 0,0502 L = 0,02 g • Resep II Berat kain :2,68 g Air :2,68 g x 20/1 = 53,6 mL ZW Basa : 1% x 2,68 g = 0,0268 g 0,0268 g x 100 mL = 2,68 mL Pembasah : 1 cc/L x 0,0536 L= 0,05 mL CH3COOH : 3 cc/L x 0,0536 L = 0,16 mL CH3COONa : 0,5 g/L x 0,0536 L = 0,02 g • Resep III Berat kain : 2,61 g Air : 2,61 x 20/1 = 52,2 mL ZW Basa : 1 % x 2,61 g = 0,0261 g 0,0261 g x 100 mL = 2,61 mL Pembasah : 1 cc/L x 0,0522 L = 0,05 mL CH3COOH : 3 cc/L x 0,0522 L = 0,15 mL CH3COONa : 0,5 g/L x 0,0522 L = 0,02 g
  • 9.
    • Resep IV Berat kain: 2,56 g Air : 2,56 g x 20/1 = 51,2 mL ZW Basa : 1 % x 2,56 g =0,0256 g 0,0256 g x 100 mL = 2,56 mL Pembasah : 1 cc/L x 0,0512 L = 0,05 mL CH3COOH : 1 cc/L x 0,0521 L = 0,05 mL CH3COONa :0,5 g/L x 0,0521 L = 0,02 g Retarder : 1 cc/L x 0,0521 L = 0,05 mL 2. Cuci sabun Berat kain : 10,36 g Air : 10,36 g x 20/1 = 207,2 mL Sabun : 1 cc/L x 0,207 L = 0,2 mL Na2CO3 : 0,5 g/L x 0,0207 L = 0,1 g 6. Skema Proses • Pencelupan Metoda Standar ( I ) Zw basa pembasah ,CH3COOH 90o C CH3COONa 30o C 10 55 85 90 menit
  • 10.
    Metoda Modifikasi (II ) 90’C As.asetat Retarder 60’C ZW 30’C 10 mnt • 10 mnt 15 mnt 20 mnt 15 mnt 30 mnt Cuci Sabun Na2CO3 70o C Sabun 10 20 menit 5 mnt
  • 11.
    7. Cara kerja * Menyiapkansemua peralatan yang akan digunakan. * Menyiapkan bahan & zat yang diperlukan,menimbangnya sesuai dengan resep. * Menyiapkan resep untuk proses pencelupan. * Masukkan poliakrilat kedalam larutan celup sesuai dengan metoda yang digunakan. * Kemudian suhu diturunkan. * Siapkan resep pencucian. * Lakukan proses pencucian sesuai waktu dan suhu yang telah ditetapkan. * Keringkan kain dan evaluasi.
  • 12.
  • 13.
  • 14.
  • 15.
  • 16.
    V. DISKUSI * Akrilat dapat dicelupdengan zat warna basa karena struktur serat pada poliakrilat terdapat muatan negatif, sedangkan zat`warna basa bermuatan positif sehingga zat warna dan serat dapat berikatan. Pencelupan poliakrilat ini harus dalam suasana asam karena poliakrilat tidak tahan terhadap alkali. * Pencelupan poliakrilat dengan zat warna basa dapat menggunakan 2 metoda yaitu metoda standar dan metoda modifikasi. Untuk metoda standar waktu yang diperlukan lebih cepat dibanding dengan metoda modifikasi. Sedangkan hasilnya lebih bagus metoda modifikasi. * Untuk proses pencelupannya, suhu tidak boleh melebihi 1000C, karena apabila suhu terlalu tinggi dapat menurunkan derajat putih kain. * Untuk pH larutan celup harus stabil caranya dengan menambahkan larutan buffer CH3COONa sehingga warnanya lebih mantap. * Untuk Resep I dan Resep II menggunakan metoda standar, dapat dilihat bahwa untuk resep I poliakrilat terdapat belang dan warnanya muda, sedangkan pada resep II warna lebih tua tetapi juga terdapat belang. Karena asam yang digunakan pada resep 1 lebih sedikit daripada resep 2. Jika dibandingkan kerataan warna benang hasil celup antara resep I dan resep II maka kerataan warna paling bagus adalah Resep II. * Untuk resep III dan Resep IV mengggunakan metoda modifikasi. Untuk resep IV ditambah dengan retarder. Resep III dapat dilihat bahwa benang hasil celup terdapat belang dan warnanya muda sedangkan benang hasil celup resep IV warna tua dan tidak terdapat belang, benang akrilat tercelup seluruhnya. Jika dibandingkan benang hasil celup antara Resep III dan Resep IV maka kerataan warna benang hasil celup paling bagus adalah Resep IV. * Pada resep IV menggunakan retarder (zat perata) sehingga zat warna yang masuk kedalam serat bisa rata keseluruh bagian. Retarder ini ditambahkan pada awal proses untuk metoda modifikasi sehingga hasilnya lebih rata dibandingkan resep lainnya.
  • 17.
    VI. KESIMPULAN Dari hasil praktikumpencelupan poliakrilat dengan zat warna basa dapat disimpulkan bahwa kerataan benang poliakrilat hasil celup paling bagus adalah menggunakan Resep IV. VII. DAFTAR PUSTAKA Djufri, Rasyid. 1976. Teknologi pengelantangan, pencelupan dan pencapan. Bandung: Institut Teknologi Teksti Buku referensi Pencelupan. Bandung: Institut Teknologi Tekstil..