A Different Scientific Perspective About
                                the Causes and Cures of Bullying, and:
                                (ADHD, Obesity, Crime, Substance Abuse and More)
                                        Dennis D. Embry, Ph.D.,president/senior scientist, PAXIS Institute
                                        Co-investigator, Johns Hopkins Center for Prevention & Early Intervention
                                        Scientific advisor, Healthy Child Manitoba,
                                        Co-Investigator, School of Medicine, Yale University




Cape May, March 22, New Jersey, USA • Copyright 2012, PAXIS Institute. All rights reserved.
Housekeeping
What bricks—heavy objects of pain, injury, illness, or
problems—do you NOT want in your childrens’ suitcases
Our Own Children’s Future Rests On Other Children
Our Own Children’s Future Rests On Other Children


                                                                    ADHD

                   stealing                                                     aggression

                                                 asthma                               depression
learning disabilities
                                    obesity                    cancer
                                                                                             bipolar
 depression
                               hi-blood pressure            heart-disease
              violence                                                                 tobacco
                          suicide                diabetes                   alcohol
                                    crime                        drugs
                                              dangerous acts
Our Own Children’s Future
Our Futures
Thinking about all
the children, youth
and adults you
know…
Some international comparisons…
e nt ion
                     p rev
             te on
           vo
     ica’s
   er
Am
America speaks…
 77% believe prevention will save money
 72% say investing in prevention, because it will prevent disease and save
 lives
 57% say they support prevention programs for health and quality-of-life
 reasons
 21% say they support prevention to lower costs
Hearing the Heart of America…
  59% believe the nation needs
  to put more emphasis on
  prevention
  This is a 20% increase over 20
  years
Rationing prevention in America



                           ion
                  pre vent
Is this the
future we
 want for
America?      See video of the story on prisons costing much more than all
                         state supported universities in Arizona
What if…crime or delinquency
could be reduced by 50% in a
                     decade?
What if mental illnesses from ADHD to Depression to
Schizophrenia could be reduced by 50% in a decade?
What if obesity and related illnesses like asthma
or diabetes were reduced by 50% in a decade?
What if bullying and suicides could be reduced by
50% in a decade?
What if tobacco, alcohol, illegal drug & prescription
abuse were reduced by 50% in a decade?
What if child maltreatment were reduced by 50%
in a decade?
What would happen to America over the
next decade if all these these problems
were reduced by large margins?
What would happen to America over the
next decade if all these these problems
were reduced by large margins?


What good things might happen to
America over the next decade if our
children, youth and adults were smarter
and healthier in body, behavior, mind
and spirit?
What would we, in this room, could we do
personally today to help make these things happen?
How are these all related to the same causes?
Obesity
 Conduct
 Disorders

                                  Homicide
                                  & Suicide


                                                             Early Sex

                  Early
               Pregnancy
                           Addictions

                                                       Aggression
                                              Asthma




Disabilities



How are these all related to the same causes?
Psychological flexibility is required…
What if we think about these problems from an
evolutionary angle…instead from a cage of past ideas?
Every species has a Fearsome predator…
The first
capital
crime…
…and Cain rose up
and slew Abel
Humans have been the principle predator of other
humans since the invention of stone tools…
Friend                       Foe
       “Us”                  “Them”

The principal source of safety of humans has been
other humans…
Three evolutionary
mechanism for today’s
mental gymnastics for
heartfelt & principled
protection of our futures…

  Evolutionary Mismatches
  Evolutionary Bottlenecks
  Epigensis
Selection by Consequences –
A Meta-Theory with a Fractal Pattern
  A Fractal is a repeated     Selection Level           Consequences
  pattern at many levels                             Selection of Genes
                                    Genes
                                                     Evolution of species
                                     Cells
                                                     Epigensis
                                    Bodies
                             Individual Behaviors    Wiring of neurons
                               Group Behaviors       Human development
                            Organizational Actions   Selection of behaviors
                                   Language          Reproductive behaviors
                                  Economies          Behavioral economics
                               Species Groups        Organization behavior
                                                     Language /Cultural evolution
Social Biological
Epigenesis                  Environmental Inputs                                         Genesis
                                 Nurturing or Toxic
Epigenetics are                   Environments,                           These
heritable                           Disease, or                         polygenes
                                      Threats
changes in                                                                can be
gene expression                                                          “added”,
caused by                                                             “subtracted”,




                                                     M
mechanisms                  g                                          “divided”, or




                                                      or
                          lin
                                    Phosphorlyation




                                                        ph
other than                                                             “multiplied.”
                        na




                                                           og
                                      Acetylation
                     Sig




                                                                en
changes in the                        Methylation




                                                                 sis
underlying DNA                 Histone Remodeling
                           Chromatin Stucture Changes
sequence.
                   Development   Immunity   Stem Cell Changes   Imprinting

These changes                                                      Parent,
can pass           Three                                           1st Generation

through multiple   Generation                                      Baby,
                                                                   2nd Generation
                   Effects
generations.
                                                                   Reproductive Cells,
                                                                   3rd Generation
Epigensis permits adaptation without risk of mutation, when conditions change.
Methylation dials up or down expression of genes
Methylation dials up or down expression of genes
Evolutionary
Mismatch
Daily Movement &                    Brain Food
 Physical Activity                  Deficiency

                       Human
                     Evolutionary
                     Mismatches

  Ratio/Rate of
                                      Sleep
Reinforcement for
                                    Sufficiency
 Prosocial Acts
The America’s First Peoples…
 26,000 to 12,000 B.E.       1491 AD     Disease & War    Extermination,
   OriginalHuman                                          Marginalization,
    Migrations to                                         & Suppression
   North America
                          30,000,000
                                                300,000
                         ≈ Souls in          ≈   Souls
                         North America
                                                           Residential
                                                            Schools;
                                                           Western Diet




Evolutionary bottleneck
The America’s First Peoples…
 26,000 to 12,000 B.E.       1491 AD     Disease & War    Extermination,
   OriginalHuman                                          Marginalization,
    Migrations to                                         & Suppression
   North America
                          30,000,000
                                                300,000
                         ≈ Souls in          ≈   Souls
                                                                             Today
                         North America
                                                           Residential
                                                            Schools;
                                                           Western Diet




Evolutionary bottleneck
Slavery                                    The Great
African Americans             1863
                                       Middle
                          … 1500’s to Passage
                                                  Institution
                                                  of Slavery
                                                                  Jim
                                                                 Crow
                                                                        Migration
                                                                          North
    Original Human
  Populations in Africa
                                                  Continuing
                           ≈Capture                Trauma


                                      30% to      Separation,
                                                                        Exposure
                                      50% +        violence,
                                                                        to Toxins
                                      mortality   malnutrition




Evolutionary bottleneck
Slavery                                    The Great
African Americans             1863
                                       Middle
                          … 1500’s to Passage
                                                  Institution
                                                  of Slavery
                                                                  Jim
                                                                 Crow
                                                                        Migration
                                                                          North
    Original Human
  Populations in Africa
                                                  Continuing
                           ≈Capture                Trauma
                                                                                    today


                                      30% to      Separation,
                                                                        Exposure
                                      50% +        violence,
                                                                        to Toxins
                                      mortality   malnutrition




Evolutionary bottleneck
Example Lasting Effects of Evolutionary Bottlenecks
                                          US Blacks            Barbados           St. Lucia         Jamaica
Popular political pundits say:            Cameroon (urban)     Cameroon (Rural)   Nigeria (Rural)

“Slavery is over. Jim Crow is       40%
                                                     Slavery Exposure              No Slavery Exposure
over. Everybody should be over
                                    30%
all this.”
Evolution is bigger than pundits,   20%

and epigensis is a solution to a
                                    10%
past evolutionary problem that
might come back. Evolution is       0%
                                                             Hi Blood Pressure Percentage


                                                       Source: Scientific American, February, 1999
Airborne lead levels
predict homicide &
delinquency…
  African Americans have higher lead
  levels in the same geographic area
  as other peoples.
  African Americans absorb lead
  more readily.
  Incarcerated African Americans
  have the highest lead levels.
  Lead is concentrated in the old
  industrial North, where African
  Americans migrated in after WWII.
Audited Life Path of a Male Convicted Criminal , “Billy”
           Age 4             6      8        10         12      14       16    18       20     22     24        26

   Birth
                  ADHD           ODD                   A/D      A/D   A/D A/D A/D             A/D    A/D

 DSM IV                    TS                CD        SA       SA       SA SA SA             SA     SA
 Labels                                                                  depression
                                                                          anxiety
 Self-Rep.       Likes      Stole             Binge            Daily        Meth &     IV
               Violent TV Cigarettes         Drinking        Marijuana    Other Drugs Use
 School             SD       SD         LD        LD         LD SED Dropout
 Labels
 Medical     Prenatal Unintentional Injuries          Sexually     Serious      Hepatitis C
             Smoking Ashtma                           Transmitted Car Crash
 Notes &                             Intentional      Diseases          Gunshot
                Low Birth Weight
 Bio              Fussy,Irritable
                                     Injuries at
                                                                Fathers
                                                                        Wound
                                                                                Fathers
                                     School
 Markers     Mom is 16.5 years old Underactive                  Child           Child
                   Low omega-3       Beh. Inhibition Reduced Prefontal Function
                   Serotonin         System            Lower Resting Heart Rate                                      Case study
 Police      Mom DV
 Records     Has
                             Abused     Assault
                     Calls by Mom's at School Theft
                                                   Various      Drug sales;     Armed
                                                                Felony Assault Robbery
                                                                                                                     from Reclaim-
             Multiple        Live-in Witness       Complaints;                                                       ing Wyoming
             Offenses                Homicde       Truancy
                                                                                                                     Blueprint by
                                                         Legend                                                      Embry and
             ADHD    =   Attention Deficit Hyperactivity Disorder        SA    =    Substance Abuse
             TS      =   Tourette's Syndrome (tics diagnosed)            SD    =    Speech Delay                     Rodgers, 2002,
             ODD
             A/D
                     =
                     =
                         Oppositional Defiant Disorder
                         Antisocial Personality Disorder
                                                                         LD
                                                                         SED
                                                                               =
                                                                               =
                                                                                    Learning Disabilityr
                                                                                    Severe Emotional Disorder
                                                                                                                     for Wyoming
             CD      =   Conduct Disorder                                                                            Legislature
Audited Life Path of a Male Convicted Criminal , “Billy”
                                                                                                                                      When could this path
           Age 4             6      8        10         12      14       16    18       20     22     24        26
                                                                                                                                       have been altered
   Birth
                                                                                                                                       based on scientific
                  ADHD           ODD                   A/D      A/D   A/D A/D A/D             A/D    A/D
                                                                                                                                          evidence?
 DSM IV                    TS                CD        SA       SA       SA SA SA             SA     SA
 Labels                                                                  depression
                                                                          anxiety
 Self-Rep.       Likes      Stole             Binge            Daily        Meth &     IV
               Violent TV Cigarettes         Drinking        Marijuana    Other Drugs Use
 School             SD       SD         LD        LD         LD SED Dropout
 Labels
 Medical     Prenatal Unintentional Injuries          Sexually     Serious      Hepatitis C
             Smoking Ashtma                           Transmitted Car Crash
 Notes &                             Intentional      Diseases          Gunshot
                Low Birth Weight
 Bio              Fussy,Irritable
                                     Injuries at
                                                                Fathers
                                                                        Wound
                                                                                Fathers
                                     School
 Markers     Mom is 16.5 years old Underactive                  Child           Child
                   Low omega-3       Beh. Inhibition Reduced Prefontal Function
                   Serotonin         System            Lower Resting Heart Rate                                      Case study
 Police      Mom DV
 Records     Has
                             Abused     Assault
                     Calls by Mom's at School Theft
                                                   Various      Drug sales;     Armed
                                                                Felony Assault Robbery
                                                                                                                     from Reclaim-
             Multiple        Live-in Witness       Complaints;                                                       ing Wyoming
             Offenses                Homicde       Truancy
                                                                                                                     Blueprint by
                                                         Legend                                                      Embry and
             ADHD    =   Attention Deficit Hyperactivity Disorder        SA    =    Substance Abuse
             TS      =   Tourette's Syndrome (tics diagnosed)            SD    =    Speech Delay                     Rodgers, 2002,
             ODD
             A/D
                     =
                     =
                         Oppositional Defiant Disorder
                         Antisocial Personality Disorder
                                                                         LD
                                                                         SED
                                                                               =
                                                                               =
                                                                                    Learning Disabilityr
                                                                                    Severe Emotional Disorder
                                                                                                                     for Wyoming
             CD      =   Conduct Disorder                                                                            Legislature
Audited Life Path of a Male Convicted Criminal , “Billy”
                                                                                                                                      When could this path
           Age 4             6      8        10         12      14       16    18       20     22     24        26
                                                                                                                                       have been altered
   Birth
                                                                                                                                       based on scientific
                  ADHD           ODD                   A/D      A/D   A/D A/D A/D             A/D    A/D
                                                                                                                                          evidence?
 DSM IV                    TS                CD        SA       SA       SA SA SA             SA     SA
 Labels                                                                  depression
                                                                          anxiety
 Self-Rep.       Likes      Stole
               Violent TV Cigarettes
                                              Binge
                                             Drinking
                                                               Daily
                                                             Marijuana
                                                                            Meth &     IV
                                                                          Other Drugs Use                                             What is the cost of
                                                                                                                                      human suffering to
 School             SD       SD         LD        LD         LD SED Dropout
 Labels
 Medical
 Notes &
             Prenatal Unintentional Injuries
             Smoking Ashtma
                                                      Sexually     Serious
                                                      Transmitted Car Crash
                                                                                Hepatitis C
                                                                                                                                      this family, victims,
                                     Intentional
                                                                                                                                         and society?
                Low Birth Weight                      Diseases          Gunshot
 Bio              Fussy,Irritable
                                     Injuries at
                                                                Fathers
                                                                        Wound
                                                                                Fathers
                                     School
 Markers     Mom is 16.5 years old Underactive                  Child           Child
                   Low omega-3       Beh. Inhibition Reduced Prefontal Function
                   Serotonin         System            Lower Resting Heart Rate                                      Case study
 Police      Mom DV
 Records     Has
                             Abused     Assault
                     Calls by Mom's at School Theft
                                                   Various      Drug sales;     Armed
                                                                Felony Assault Robbery
                                                                                                                     from Reclaim-
             Multiple        Live-in Witness       Complaints;                                                       ing Wyoming
             Offenses                Homicde       Truancy
                                                                                                                     Blueprint by
                                                         Legend                                                      Embry and
             ADHD    =   Attention Deficit Hyperactivity Disorder        SA    =    Substance Abuse
             TS      =   Tourette's Syndrome (tics diagnosed)            SD    =    Speech Delay                     Rodgers, 2002,
             ODD
             A/D
                     =
                     =
                         Oppositional Defiant Disorder
                         Antisocial Personality Disorder
                                                                         LD
                                                                         SED
                                                                               =
                                                                               =
                                                                                    Learning Disabilityr
                                                                                    Severe Emotional Disorder
                                                                                                                     for Wyoming
             CD      =   Conduct Disorder                                                                            Legislature
Audited Life Path of a Male Convicted Criminal , “Billy”
                                                                                                                                      When could this path
           Age 4             6      8        10         12      14       16    18       20     22     24        26
                                                                                                                                       have been altered
   Birth
                                                                                                                                       based on scientific
                  ADHD           ODD                   A/D      A/D   A/D A/D A/D             A/D    A/D
                                                                                                                                          evidence?
 DSM IV                    TS                CD        SA       SA       SA SA SA             SA     SA
 Labels                                                                  depression
                                                                          anxiety
 Self-Rep.       Likes      Stole
               Violent TV Cigarettes
                                              Binge
                                             Drinking
                                                               Daily
                                                             Marijuana
                                                                            Meth &     IV
                                                                          Other Drugs Use                                              What is the cost of
                                                                                                                                       human suffering to
 School             SD       SD         LD        LD         LD SED Dropout
 Labels
 Medical
 Notes &
             Prenatal Unintentional Injuries
             Smoking Ashtma
                                                      Sexually     Serious
                                                      Transmitted Car Crash
                                                                                Hepatitis C
                                                                                                                                       this family, victims,
                                     Intentional
                                                                                                                                          and society?
                Low Birth Weight                      Diseases          Gunshot
 Bio              Fussy,Irritable
                                     Injuries at
                                                                Fathers
                                                                        Wound
                                                                                Fathers
                                     School
 Markers     Mom is 16.5 years old Underactive                  Child           Child
                   Low omega-3       Beh. Inhibition Reduced Prefontal Function
                   Serotonin         System            Lower Resting Heart Rate                                      Case study
 Police      Mom DV          Abused     Assault    Various      Drug sales;     Armed                                from Reclaim-
                                                                                                                                      What are the costs of
 Records     Has     Calls by Mom's at School Theft             Felony Assault Robbery
             Multiple        Live-in Witness       Complaints;                                                       ing Wyoming
             Offenses                Homicde       Truancy
                                                                                                                     Blueprint by
             ADHD    =
                                                         Legend
                         Attention Deficit Hyperactivity Disorder        SA    =    Substance Abuse
                                                                                                                     Embry and          evidence-based
             TS
             ODD
                     =
                     =
                         Tourette's Syndrome (tics diagnosed)
                         Oppositional Defiant Disorder
                                                                         SD
                                                                         LD
                                                                               =
                                                                               =
                                                                                    Speech Delay
                                                                                    Learning Disabilityr
                                                                                                                     Rodgers, 2002,
                                                                                                                     for Wyoming
                                                                                                                                       practices to avert?
             A/D     =   Antisocial Personality Disorder                 SED   =    Severe Emotional Disorder
             CD      =   Conduct Disorder                                                                            Legislature
If modern society is to flourish for all,
we must alter the predator-prey
relationships between human groups.

This means fewer humans as prey,
This means fewer humans as predators;
This means more humans as cooperators.
Whether the talon, claw or weapon
carries human rank or authority
matters not to the blind engine of evolution
when trying to suppress one group of
humans in favor of another.

Life finds a way.
Hypothesis: Evolutionary “inflammatory” processes
Redness, rubor, a response of body
                           tissues to injury or irritation; characterized
                           by pain and swelling and redness and
                           heat.
                           Excitation, excitement, fervor, fervour the
                           state of being emotionally aroused and
                           worked up
                           Inflaming arousal to violent emotion
                           Firing, ignition, kindling, lighting



Hypothesis: Evolutionary “inflammatory” processes
Human Infectious/Biological Threats                      Human Predatory Threats


   Evolutionary Adaptive Responses                     Evolutionary Adaptive Responses
              (Simplified)             Neuro-Hormones              (Simplified)

                                          Mood
                                        Modulators

                                         Reward                                 Threat Attributional
                                          Delay         Intra-Group
Generalized           Localized         Modulators      Affiliation               Bias (Inflammatory)
Inflammatory       Inflammatory                           (Anti-Inflammatory)
                                                                                         Out-Group
Response             Response            Stress
                                                                             Aggress. (Inflammatory)
                                        Modulators      Intra-Group
                                                        Cooperation            Tit-for-Tat Beh. Bias
  Anti-Inflammatory Regulators           Puberty/Sex     (Anti-Inflammatory)
                                        Modulators                                     (Inflammatory)
Evolutionary Path
 of a Child’s Life
K                                                                         R
    Path                                                                      Path



                               Evolutionary Path
                                of a Child’s Life




                                                     Probability of short-life and
Probability of long-life and                        doubtful reproductive success
  reproductive success
Multi-Inflammatory Brain & Body Response




Major Connected Ecologic Causes of the Adverse Trends Predicting MEBs & Related Illnesses

      Reinforcement        Antecedents         Physiological       Verbal Relations
     more for anti-social cue anti-social    influences trigger    occasion perceived
       than prosocial     acts and threats   adverse biological   threats and related
         behaviors                              mechanisms             reactions
Mood                               Lo Reward     Lo Executive      Lo Behavioral
                            Inattention        Delay        Function
        Instability                                                          Competencies
         Poor                                                                 Immune-
         Motor                                                                 Healing
         Skills         Multi-Inflammatory Brain & Body Response              Dysfunction




Major Connected Ecologic Causes of the Adverse Trends Predicting MEBs & Related Illnesses

      Reinforcement        Antecedents           Physiological             Verbal Relations
     more for anti-social cue anti-social      influences trigger          occasion perceived
       than prosocial     acts and threats     adverse biological         threats and related
         behaviors                                mechanisms                   reactions
Substance                        Work      Obesity,
 Early      Mental Illness                    Violence                                 Cancer       School
                                Abuse                        Problems      etc
 Sex                                                                                                Failure

              Mood                               Lo Reward     Lo Executive      Lo Behavioral
                                Inattention        Delay        Function
            Instability                                                          Competencies
             Poor                                                                 Immune-
STD’s        Motor                                                                 Healing           Special
             Skills          Multi-Inflammatory Brain & Body Response             Dysfunction           Ed




 Major Connected Ecologic Causes of the Adverse Trends Predicting MEBs & Related Illnesses

          Reinforcement        Antecedents           Physiological             Verbal Relations
         more for anti-social cue anti-social      influences trigger          occasion perceived
           than prosocial     acts and threats     adverse biological         threats and related
             behaviors                                mechanisms                   reactions
Obesity
 Conduct
 Disorders

                                  Homicide
                                  & Suicide


                                                             Early Sex

                  Early
               Pregnancy
                           Addictions

                                                       Aggression
                                              Asthma




Disabilities



R PATH = risky adolescence, predator and prey
The metaphor of stopping a
         past epidemic…
Epidemiological survey of mental, emotional,
and behavioral disorders…an epidemic?
Depression Onset By Birth Cohort
Depression Onset By Birth Cohort


Born
Now?
Lifetime Prevalence of Disorders in US Adolescents (N=10,123)

 35%

 30%

 25%

 20%

 15%

 10%

  5%
                                                                        Merikangas et al., 2010
  0%
       4   5   6   7   8   9   10 11 12       13   14   15   16   17   18
                               Age in Years
Lifetime Prevalence of Disorders in US Adolescents (N=10,123)

 35%
                                                                            Anxiety
 30%

 25%

 20%

 15%

 10%

  5%
                                                                        Merikangas et al., 2010
  0%
       4   5   6   7   8   9   10 11 12       13   14   15   16   17   18
                               Age in Years
Lifetime Prevalence of Disorders in US Adolescents (N=10,123)

 35%
                                                                            Anxiety
 30%

 25%
                                                                            Behavior
 20%

 15%

 10%

  5%
                                                                        Merikangas et al., 2010
  0%
       4   5   6   7   8   9   10 11 12       13   14   15   16   17   18
                               Age in Years
Lifetime Prevalence of Disorders in US Adolescents (N=10,123)

 35%
                                                                            Anxiety
 30%

 25%
                                                                            Behavior
 20%
                                                                            Mood
 15%

 10%

  5%
                                                                        Merikangas et al., 2010
  0%
       4   5   6   7   8   9   10 11 12       13   14   15   16   17   18
                               Age in Years
Lifetime Prevalence of Disorders in US Adolescents (N=10,123)

 35%
                                                                            Anxiety
 30%

 25%
                                                                            Substance
                                                                            Behavior
 20%
                                                                            Mood
 15%

 10%

  5%
                                                                        Merikangas et al., 2010
  0%
       4   5   6   7   8   9   10 11 12       13   14   15   16   17   18
                               Age in Years
Nearly 3 out of 4 of United States 17- to 24-year-olds are
ineligible for military service for based on national
epidemiological data (not service entrance exams)

                                                                        Medical/physical problems, 35
                                                                        percent.
                                                                        Illegal drug use, 18 percent.
                                                                        Mental Category V (the lowest 10
                                                                        percent of the population), 9
                                                                        percent.
                                                                        Too many dependents under age
                                                                        18, 6 percent.
                                                                        Criminal record, 5 percent.


       Army Times, Nov 5, 2009 • www.missionreadiness.org/PAEE0609.pd
Cumulative prevalence of psychiatric disorders by
young adulthood: a prospective cohort analysis
from the Great Smoky Mountains Study.
By 21 years of age,
61.1% of participants
had met criteria for a
well-specified psychiatric
disorder. An additional
21.4% had met criteria
for a not otherwise
specified disorder only,
increasing the total
cumulative prevalence
for any disorder to
82.5%.
The US has 75
  million children
  and teens.
  40.4 million are
  on psychotropic
  medications



Wall Street Journal, 12-28-2010
Participant brain buzz…
a) What does these trends mean for the future?
b) What must change to fix these trends?
Evolutionary Mismatches                   Evolutionary Consequences


                                          Change in                  Increased
                                           Genes                       Cancer


                                        Rise in                      Increased
                                        Obesity
                                                                       Autism
                                         Rates

               Rise in              Rise in           ATOD
                                                    Addictions       Increased
             Depression           Aggression
               Rates                Rates
                                                                       Schizo.




New cultural trends predict new challenges and risks
Evolutionary Mismatches                    Evolutionary Consequences


                                           Change in                  Increased
                                            Genes                       Cancer


                        Lower Rates      Rise in                      Increased
                         of Positive     Obesity
                       Reinforcement                                    Autism
                                          Rates

               Rise in               Rise in           ATOD
                                                     Addictions       Increased
             Depression            Aggression
               Rates                 Rates
                                                                        Schizo.




New cultural trends predict new challenges and risks
Evolutionary Mismatches                         Evolutionary Consequences


  Fear of           Reduced
Violence &          Outdoor
                                       Vitamin D     Change in                  Increased
                                       Deficiency      Genes
  Crime             Activities                                                    Cancer


Increased                         Lower Rates      Rise in                      Increased
Electronic                         of Positive     Obesity
Media Use                        Reinforcement                                    Autism
                                                    Rates

                    Rise in                    Rise in           ATOD
Omega 3                                                        Addictions       Increased
Fatty Acid        Depression                 Aggression
Deficiency           Rates                      Rates
                                                                                  Schizo.




New cultural trends predict new challenges and risks
Inukshuk points the way
Apparent consumption ofl inoleic acid (% of dietary energy) among
                                                                           Australia, Canada, UK and USA for the years 1961–2000


                                                                                                                   10        Australia       Canada         UK        USA




                                                                           Apparent consumption of linoleic acid
                                                                                                                    9

                                                                                                                    8

                                                                                                                    7




                                                                                       (% energy)
                                                                                                                    6

                                                                                                                    5

                                                                                                                    4

                                                                                                                    3

                                                                                                                    2

                                                                                                                    1

                                                                                                                    0
                                                                                                                        1960 1965   1970   1975 1980 1985    1990   1995 2000




    Evolution                            Neonates                                                                  Breast Milk                                                  “Risky” Beh.
 In the Rife Valley, the               Successful human                                                 American infants have                                                    Almost all adolescent
      human brain                      neonates born with                                                been getting steadily                                                   risky behaviors have
 evolution the result of                60-day supply of                                                less omega-3 (n3) and                                                   now been documented
   eating fish high in                     omega-3 in                                                    more pro-inflammatory                                                    to be related to low n3
      omega-3 not                       subcutaneous fat                                                omega-6 (n6) in breast                                                  and high n6 in US diet
   savannah animals                    from mother’s diet                                                       milk                                                            change in last 50 years
   See Broadhurst, Cunnane, &         See HIbbeln et al. (2007).Maternal                                           See Ailhaud et al. (2006).Temporal
 Crawford (1998). Rift Valley lake    seafood consumption in pregnancy                                             changes in dietary fats: Role of n6
 fish and shellfish provided brain-    and neurodevelopmental outcomes in                                              polyunsaturated fatty acids in                              Hibbeln et al. (2006). Healthy intakes
       specific nutrition for            childhood (ALSPAC study): an                                                   excessive adipose tissue                                 of n-3 and n-6 fatty acids: estimations
           early Homo                     observational cohort study                                                development and relationship to                                considering worldwide diversity.
                                                                                                                                obesity




Physiological Adaptation
Out of Africa migration	   Stringer, C. Nature 2000; 405: 24-26
Essential Fats: Metabolism and Dietary Sources
Essential Fats: Metabolism and Dietary Sources
                             Omega-3




                                                         O

                                                          C- OH
                           20:5n-3,eicosapentaenoic acid,
                              EPA                                   Seafood
                                                                   Breast milk
                                                                     (DHA)


                                                                        O

                                                                         C- OH

                                    22:6n-3, docosahexaenoic acid,
                                       DHA
                                         (brain, retina, testis)
Essential Fats: Metabolism and Dietary Sources
                                   Omega-3
                                                           O
                                                           C- OH
                                 18:3n-3 alfa-linolenic acid,
                                   ALA                                     Flax
                                                                           ~ Canola
                                                                           Leaf plants
                      FADS 1-2




                                                                   O

                                                                   C- OH
                                 20:5n-3,eicosapentaenoic acid,
                                    EPA                                      Seafood
                                                                            Breast milk
                                                                              (DHA)


                                                                                  O

                                                                                  C- OH

                                          22:6n-3, docosahexaenoic acid,
                                              DHA
                                                (brain, retina, testis)
Essential Fats: Metabolism and Dietary Sources
                           Omega-6                                              Omega-3
                                             O                                                          O

                                             C- OH                                                      C- OH
                         18:2n-6 linoleic acid,                               18:3n-3 alfa-linolenic acid,
                                           LA               - Competition -     ALA                                     Flax
         Soy bean oil                                                                                                   ~ Canola
         Safflower oil                                                                                                  Leaf plants
                                                              FADS 1-2
           Corn oil




                                                    O                                                           O

                                                    C- OH                                                       C- OH
                  20:4n-6, arachidonic acid                                   20:5n-3,eicosapentaenoic acid,
                                            AA                                   EPA                                      Seafood
                                                                                                                         Breast milk
         Meat,                                                                                                             (DHA)
         Organs

                                                                                                                               O

                                            O                                                                                  C- OH

                                            C- OH
                                                                                       22:6n-3, docosahexaenoic acid,
            22:5n-6              DPA n-6                                                   DHA
                                                                                             (brain, retina, testis)
Essential Fats: Metabolism and Dietary Sources
                           Omega-6                                                        Omega-3
                                             O                                                                     O

                                             C- OH                                                                 C- OH
                         18:2n-6 linoleic acid,                                       18:3n-3 alfa-linolenic acid,
                                           LA               - Competition -               ALA                                      Flax
         Soy bean oil                                                                                                              ~ Canola
         Safflower oil                                                                                                             Leaf plants
                                                                FADS 1-2
           Corn oil




                                                    O                                                                      O

                                                    C- OH                                                                  C- OH
                  20:4n-6, arachidonic acid                                           20:5n-3,eicosapentaenoic acid,
                                            AA                                               EPA                                     Seafood
                                                                                                                                    Breast milk
         Meat,                                                                                                                        (DHA)
         Organs

                                                                                                                                          O
                                                        Series 2           Series 3
                                            O            Prostaglandins     Prostaglandins                                                C- OH
                                                         Thromboxanes       Thromboxanes
                                            C- OH       Series 4           Series 5
                                                         Leukotrienes        Leukotrienes          22:6n-3, docosahexaenoic acid,
            22:5n-6              DPA n-6                                                              DHA
                                                            immune - metabolic - developmental          (brain, retina, testis)
                                                                       responses
DHA dietary deficiency impairs synapse development

                          Adequate                             Deficient

Hippocampal      DHA      6.6 ± 0.7%        0.5 ± 0.1%
Fatty Acids      DPAn-6   0.4 ± 0.1%        4.7 ± 0.1%




                                                         Cao et al. J. Neurochem. 2009
DHA dietary deficiency impairs synapse development

                                Adequate                                     Deficient

Hippocampal            DHA      6.6 ± 0.7%                0.5 ± 0.1%
Fatty Acids            DPAn-6   0.4 ± 0.1%                4.7 ± 0.1%




              Synapes in
              Hippocampal
              Neurons




                                                                                      30 µm




              Mother mice fed adequate of deficient diets, embryo neurons harvested day 18
                                                                       Cao et al. J. Neurochem. 2009
Low maternal omega-3 consumption from seafood and
                                                                   suboptimal verbal IQ among their children
                                                     34

                                                     32

                                                     30

                                                     28
                              - UK , 8y




                                                     26
                              III




                                                                                                                                                 r = 0.97
Percentage of children with




                                                     24                                                                                          r2 = 0.95
                                                                                                                                                 F=27.2
                                                                                                                                                 p<0.02.
                               low verbal IQ, WISC




                                                     22

                                                     20

                                                     18

                                                     16

                                                     14


                                                          0     0.05   0.10    0.15   0.20   0.25    0.30   0.35   0.40       0.45      0.50     0.55    0.60

                                                                                              -
                                                                              Estimated omega 3 fatty acids from seafood (en %)
                                                                                          Mother at 32 wk gestation
                                                                                                                          Hibbeln et al, Lancet 2007: 369: 578-585
Oilseeds in the US Food Supply in the 20th Century
                                    12


                                    10

                                                                                                               Soybean
                                    8                                                                          Cottonseed
                                                                                                               Corn
                                    6                                                                          Olive
                                                                                                               Coconut

                                    4
Disappearance (kg/person/y)




                                    2


                                    0
                                                                                                                Canola
                              0.9
                              0.8                                                                               Peanut
                              0.7
                                                                                                                Palm/Palm
                              0.6
                                                                                                                Kernel
                              0.5
                              0.4                                                                               Safflower
                              0.3
                              0.2                                                                               Sunflower
                              0.1                                                                               Sesame




                                                                                                 1989

                                                                                                        1999
                                                                                   1969

                                                                                          1979
                                                                     1949

                                                                            1959
                                                       1929

                                                              1939
                                         1909

                                                1919




                                                                       Year
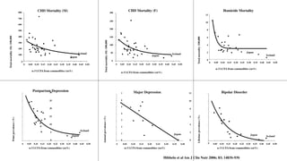
3500              All Cause Mortality (M)                                                                                                               Stroke Mortality (M)                                                                                             CVD Mortality (M)
                                                                                                                                                                     400                                                                              1400

                                        3000                                                                                                                         350
                                                                                                                                                                                                                                                      1200
                                                                                                                                                                     300
                                        2500
                                                                                                                                                                                                                                                      1000
                                                                                                                                                                     250
                                        2000
                                                                                                                                                                                                                                                      800
                                                                                                                                                                     200
Total mortality (M) /100,000




                                                                                                                                   Total mortality (M) /100,000
                                        1500




                                                                                                                                                                                                                                                             Total mortality (M) /100,000
                                                                                                                                                                                                                                                      600
                                                                                                                                                                     150
                                        1000                                                                                                                                                                                                          400
                                                                                                                                                                     100
                                                                                           Japan                                                                                                                                                                                                                                          Japan
                                         500                                                                                                                                                                            Japan
                                                                                                           Iceland                                                    50                                                                              200                                                                                                       Iceland
                                                                                                                                                                                                                                        Iceland
                                          0                                                                                                                            0                                                                               0
                                               0   0.05   0.10   0.15   0.20   0.25   0.30   0.35   0.40   0.45   0.50                                                     0        0.05 0.10    0.15   0.20   0.25 0.30    0.35   0.40 0.45   0.50                                               0   0.05     0.10 0.15    0.20   0.25   0.30    0.35   0.40   0.45   0.50
                                                      n-3 LCFA from commodities (en%)                                                                                                n-3 LCFA from commodities (en%)                                                                                         n-3 LCFA from commodities (en%)




                                        1200                All Cause Mortality (F)                                                                                                          Stroke Mortality (F)                                                                                                CVD Mortality (F)
                                                                                                                                                                               250                                                                                                          700

                                        1000                                                                                                                                                                                                                                                600
                                                                                                                                                                               200
                                         800                                                                                                                                                                                                                                                500

                                                                                                                                                                               150
                                                                                                                                                                                                                                                                                            400
                                         600
          Total Mortality (F)/100,000




                                                                                                                                      Total mortality (F) /100,000




                                                                                                                                                                                                                                                                                            300




                                                                                                                                                                                                                                                             Total mortality (F) /100,000
                                                                                                                                                                               100
                                         400
                                                                                   Japan
                                                                                                                                                                                                                                                                                            200
                                                                                                       Iceland
                                                                                                                                                                               50
                                         200                                                                                                                                                                        Japan
                                                                                                                                                                                                                                                                                            100                                           Japan
                                                                                                                                                                                                                                          Iceland                                                                                                               Iceland

                                          0                                                                                                                                     0
                                                                                                                                                                                                                                                                                             0
                                                                               0   0.05 0.10 0.15 0.20 0.25 0.30 0.35 0.40 0.45 0.50                                                 0    0.05 0.10 0.15 0.20 0.25 0.30 0.35 0.40 0.45 0.50                                                       0   0.05    0.10   0.15   0.20   0.25   0.30    0.35   0.40   0.45   0.50

                                                          n-3 LCFA from commodities (en%)                                                                                                n-3 LCFA from commodities (en%)                                                                                 n-3 LCFA from commodities (en%)




                                                                                                                                                                                                                               Hibbeln et al Am J Clin Nutr 2006; 83; 1483S-93S
800
                                                                          CHD Mortality (M)                                                                                        300
                                                                                                                                                                                                        CHD Mortality (F)                                                                                                      Homicide Mortality
                                                                                                                                                                                                                                                                                                          12
                                                 700
                                                                                                                                                                                   250
                                                                                                                                                                                                                                                                                                          10
                                                 600
                                                                                                                                                                                   200                                                                                                                     8
                                                 500
Total mortality (M) /100,000




                                                 400                                                                                                                               150




                                                                                                                                                                                                                                                                               Total mortality /100,000
                                                                                                                                                                                                                                                                                                           6




                                                                                                                                                    Total mortality (M) /100,000
                                                 300
                                                                                                                                                                                   100                                                                                                                     4
                                                 200

                                                                                                                          Iceland                                                  50                                                                                                                      2                                            Japan
                                                 100                                                                                                                                                                                                      Iceland                                                                                                              Iceland
                                                                                                                                                                                                                                    Japan
                                                                                                              Japan
                                                                                                                                                                                    0                                                                                                                      0
                                                   0                                                                                                                                                                                                                                                           0   0.05     0.10   0.15   0.20   0.25   0.30     0.35   0.40   0.45   0.50
                                                           0    0.05    0.10   0.15   0.20   0.25   0.30   0.35   0.40    0.45    0.50                                                   0   0.05    0.10     0.15   0.20   0.25    0.30   0.35    0.40   0.45   0.50

                                                                                                                                                                                                                                                                                                                     n-3 LCFA from commodities (en%)
                                                                      n-3 LCFA from commodities (en%)
                                                                                                                                                                                             n-3 LCFA from commodities (en%)




                                                                       Postpartum Depression
                                                                                 30                                                                                                                           Major Depression                                                                                               Bipolar Disorder
                                                                                                                                                                                             7                                                                            12


                                                                                        25                                                                                                   6                                                                            10

                                                                                                                                                                                             5
                                                                                        20                                                                                                                                                                                8

                                                                                                                                                                                             4




                                                                                                                                                                                                                                                                               Lifetime prevalence (%)
                                                                                        15                                                                                                                                                                                6
                                                                                                                                          Annual prevalence (%)
                          Point prevalence (%)




                                                                                                                                                                                             3
                                                                                        10                                                                                                                                                                                4
                                                                                                                                                                                             2
                                                                                                                           Iceland
                                                                                         5                                                                                                                                                                                2
                                                                                                                                                                                             1                                                              Japan
                                                                                                                  Japan                                                                                                                                                                                                                                        Japan           Iceland
                                                                                         0                                                                                                   0                                                                            0
                                                       0       0.05    0.10    0.15   0.20   0.25   0.30   0.35    0.40    0.45    0.50                                                  0       0.05       0.10     0.15    0.20      0.25       0.30    0.35     0.40                                        0   0.05     0.10   0.15   0.20   0.25   0.30    0.35    0.40   0.45   0.50
                                                                n-3 LCFA from commodities (en%)                                                                                                     n-3 LCFA from commodities (en%)                                                                                       n-3 LCFA from commodities (en%)


                                                                                                                                                                                                                                                  Hibbeln et al Am J Clin Nutr 2006; 83; 1483S-93S
Increasing Mismatch Causes Homicides
Homicide Rate

                10



                 8



                 6



                 4

                                United        2000
                                Kingdom
                 2

                         1961


                 0
                     0                    2           4        6         8   10

                     Lo                                                      Hi
                                                     Omega 3 Deficiency
Increasing Mismatch Causes Homicides
Homicide Rate

                10



                 8



                 6



                 4

                                United                      2000
                                              2000
                                                1961
                                Kingdom                        Canada
                 2

                         1961


                 0
                     0                    2             4               6   8   10

                     Lo                                                         Hi
                                                       Omega 3 Deficiency
Increasing Mismatch Causes Homicides
Homicide Rate

                10



                 8



                 6



                 4

                                United                             2000
                                              2000
                                                1961
                                Kingdom                                  Canada
                 2
                                                                  2000
                         1961
                          1961                   Australia
                 0
                     0                    2                   4                   6   8   10

                     Lo                                                                   Hi
                                                             Omega 3 Deficiency
Increasing Mismatch Causes Homicides
Homicide Rate

                10



                 8



                 6                                                                       1988




                 4                                            1961                       Argentina

                                United                                2000
                                              2000
                                                1961
                                Kingdom                                     Canada
                 2
                                                                     2000
                         1961
                          1961                   Australia
                 0
                     0                    2                   4                      6               8   10

                     Lo                                                                                  Hi
                                                             Omega 3 Deficiency
Increasing Mismatch Causes Homicides
Homicide Rate
                                                                                                             1985
                10


                                                                                                               United
                 8                                                                                             States



                 6                                                                        1988        1999

                                                                     1961


                 4                                            1961                        Argentina

                                United                                 2000
                                              2000
                                                1961
                                Kingdom                                      Canada
                 2
                                                                      2000
                         1961
                          1961                   Australia
                 0
                     0                    2                   4                       6               8                 10

                     Lo                                                                                                 Hi
                                                             Omega 3 Deficiency
An ancient inukshuk points the
                                                                                                                                                                                                                   way
                                                                          Brief Report
                                                                                                                                                                                                             30%




                                                                                                                                                                    Percentage with Psychosis at 12 months
                                      Omega-3 Fatty Acid Treatment of Women
 Physiological
                                                                                                                                                                                                                                         27.5%
                                        With Borderline Personality Disorder:

    Kernel                          A Double-Blind, Placebo-Controlled Pilot Study
                                                                                                                                                                                                             24%
                  Mary C. Zanarini, Ed.D.                                              Results: Twenty subjects were randomly assigned to 1 g of E-
                  Frances R. Frankenburg, M.D.                                         EPA; 10 subjects were given placebo. Ninety percent of those in
                                                                                       both groups completed all 8 weeks of the trial. Analyses that
                  Objective: The purpose of this study was to compare the effi-        used random-effects regression modeling and controlled for
                  cacy of ethyl-eicosapentaenoic acid (E-EPA) and placebo in the       baseline severity showed E-EPA to be superior to placebo in
                  treatment of female subjects with borderline personality disorder.
                  Method: The authors conducted an 8-week, placebo-con-
                                                                                       diminishing aggression as well as the severity of depressive
                                                                                       symptoms.                                                                                                             18%
                  trolled, double-blind study of E-EPA in 30 female subjects meet-     Conclusions: The results of this study suggest that E-EPA may
                  ing Revised Diagnostic Interview for Borderlines and DSM-IV cri-     be a safe and effective form of monotherapy for women with
                  teria for borderline personality disorder.                           moderately severe borderline personality disorder.



   Changes                                                                                                           (Am J Psychiatry 2003; 160:167–169)
                                                                                                                                                                                                             12%
biochemistry of   B     orderline personality disorder is marked by notable
                  reactivity of mood and impulsive aggression. Because re-
                                                                                       week, were actively abusing alcohol or drugs, or were acutely sui-
                                                                                       cidal.

   behavior       sponse to antidepressants and mood stabilizers has typi-
                  cally been clinically modest in this patient group (1), the
                                                                                          Subjects were next invited to participate in face-to-face inter-
                                                                                       views. At that time, the study procedures were fully explained,
                                                                                       and written informed consent was obtained. Two semistructured                                                         6%
                  identification of novel treatments is needed. Candidates             diagnostic interviews were then administered to each subject: the


                                                                                                                                                                                                                   4.9%
                  include omega-3 fatty acids, such as eicosapentaenoic                Structured Clinical Interview for DSM-IV Axis I Disorders (6) and
                  acid and docosahexaenoic acid, which are commonly                    the Revised Diagnostic Interview for Borderlines (DIB-R) (7). Two
                                                                                       observer-rated scales were also administered: the Modified Overt
                  found in seafood and have beneficial effects and none of             Aggression Scale (8) and the Montgomery-Åsberg Depression
                  the adverse side effects commonly associated with phar-              Rating Scale (9).
                  macotherapy. In cross-national studies, greater seafood
                  consumption was associated with lower rates of bipolar
                                                                                          Subjects were included if they met both DIB-R and DSM-IV cri-
                                                                                       teria for borderline personality disorder. They were excluded if
                                                                                                                                                                                                             0%
                  disorder (30-fold range) and major depression (50-fold
                  range) (2). In placebo-controlled trials, a mixture of these
                                                                                       they met current or lifetime criteria for schizophrenia, schizoaf-
                                                                                       fective disorder, or bipolar I or bipolar II disorder or were cur-                                                          Omega-3               Placeo
                                                                                       rently in the midst of a major depressive episode.
                  fatty acids was found to be an effective adjunctive agent
                  for patients suffering from bipolar disorder (3), and ethyl-
                                                                                          Study duration was 8 weeks. Subjects were seen every week for
                                                                                       the first month and then biweekly for the next month. Both psy-                                                                       Psychosis
                  eicosapentaenoic acid (E-EPA) was found to have a bene-              chiatric rating scales were readministered at each subsequent
                                                                                       visit. Side effects were also assessed at these visits with a struc-
                  ficial adjunctive effect for patients suffering from recur-
                                                                                       tured questionnaire.
                  rent depression (4). Because of the shared symptoms of                  Subjects received two capsules per day (beginning the day after


                  Source: Am. Journal of Psychiatry                                                                                                           Source: Archives of General Psychiatry
                  borderline personality disorder and these mood disorders,            their baseline assessment); each capsule contained either 500 mg
                  a double-blind, placebo-controlled trial of E-EPA seemed             of 97% E-EPA or a placebo (mineral oil). One gram was chosen as
                  warranted.                                                           the dose most likely to be effective on the basis of unpublished
                                                                                       studies in depression (David Horrobin, personal communication,
                                                                                       Feb. 1, 2001). Capsules were supplied by Laxdale Pharmaceuticals
                  Method                                                               (Stirling, U.K.).
Reduced Felony Violent Offenses Among Prisoners
 with recommended daily amounts of vitamins, minerals and
                  essential fatty acids
  Ratio of Disciplinary Incidents Supplementation/Baseline



                                                             1.00

                                                                                             Active -37.0%                 Placebo -10.1%
                                                             0.75                              p ‹ 0.005                        p = ns

                                                             0.50

                                                                                                                                     Active
                                                             0.25                                                                    Placebo


                                                               0
                                                                    Before supplementation        During supplementation


UK maximum security prison - 338 offences among 172 prisoners over 9 months
              treatment in a compared to 9 months baseline.
               Gesch et al. Br J Psychiatry 2002, 181:22-28
Why not reproduce the rapid
results in throughout Canada
to get a 37% reduction in jail
violence?
It cost the Brits 19¢ per day or $69.35 per year.
Before Omega 3



                 Omega-3 can improve school
                 grades and success
                       Omega 3   Placebo
                  7
                                              These were gains in
                  6
After Omega 3                                  academics after 3
                  5
                                              months of exposure
                  4
                                                  to fish oil.
                  3
                  2
                  1
                  0
                 -1
                 -2
                      Reading    Spelling   See www.durhamtrial.org/
What can bad brain foods do to our teens?
   Double their chances of serious depression…




    Good                   Bad
    Odds                   Odds




 Eat Fish 2x per wk   Eat Fish Rarely   Eat No Seed Oil   Eat Seed Oils
What can bad brain foods do to our teens?
         Double their chances of serious depression…



Odds



   -0.75              0     0.75              1.50       2.25          3.00

          Good                   Bad
          Odds                   Odds




       Eat Fish 2x per wk   Eat Fish Rarely          Eat No Seed Oil          Eat Seed Oils
Increased academic and
    learning problems
                 40%



                 30%
 Percentage
of 8-year olds
 with Poor IQ    20%



                 10%



                 0%
                       Low Omega 3   Hi Omega 3
Omega-3 Status and US Military Suicide Deaths


Suicide Deaths of Active-Duty US Military and
Omega-3 Fatty-Acid Status: A Case-Control Comparison
Michael D. Lewis, MD; Joseph R. Hibbeln, MD; Jeremiah E. Johnson, RD;
Yu Hong Lin, PhD; Duk Y. Hyun, BS; and James D. Loewke, BS



ABSTRACT
Background: The recent escalation of US military
                                                        S    uicide rates among active-duty US military have increased to re-
                                                             cord numbers, doubling since the inception of Operation Enduring
                                                        Freedom (Afghanistan) and Operation Iraqi Freedom and rivaling the
suicide deaths to record numbers has been               battlefield in toll on the US military.1 Army Vice–Chief of Staff General
a sentinel for impaired force efficacy and has          Peter W. Chiarelli described the record suicide rate as “horrible” and
accelerated the search for reversible risk factors.     voiced frustration that “the Army has not yet been able to identify any
Objective: To determine whether deficiencies            causal links among the suicide cases.”2(pA2)
of neuroactive, highly unsaturated omega-3                  Deficiencies of nutrients critical for brain function may be a signifi-
essential fatty acids (n-3 HUFAs), in particular
docosahexaenoic acid (DHA), are associated with
                                                        cant contributing risk factor for psychiatric pathology, especially suicide
increased risk of suicide death among a large           and stress-related psychiatric symptoms.3 Highly unsaturated omega-3
random sample of active-duty US military.               essential fatty acids (n-3 HUFAs), in particular docosahexaenoic acid
Method: In this retrospective case-control              (DHA), are selectively concentrated in neural tissues and are required
study, serum fatty acids were quantified as             for optimal neural function.4 These fatty acids cannot be made de novo
a percentage of total fatty acids among US              but are available only from dietary sources, with seafood being the richest
military suicide deaths (n = 800) and controls          source. Nutritional deficiencies in n-3 HUFAs may increase vulnerabil-
(n = 800) matched for age, date of collection of
sera, sex, rank, and year of incident. Participants
                                                        ity to combat deployment stress, manifesting as psychiatric symptoms
were active-duty US military personnel                  including adjustment disorders, major depression, impulsive violence,
(2002–2008). For cases, age at death ranged             and suicide.5 In civilian populations, observational studies indicate that
from 17–59 years (mean = 27.3 years, SD = 7.3           low fish consumption is associated with increased risk of completed sui-
years). Outcome measures included death by              cides6,7 and greater suicidal ideation.8 Low DHA status was associated
suicide, postdeployment health assessment
questionnaire (Department of Defense Form
                                                        with increased risk of past suicide attempts9 and future suicide attempts.10
2796), and ICD-9 mental health diagnosis data.          In comparison to placebo, 2 grams per day of n-3 HUFA reduced suicidal
Results: Risk of suicide death was 14% higher per
                                                        thinking and depressive symptoms and reduced the perception of stress
SD of lower DHA percentage (OR = 1.14; 95% CI,          among subjects (n = 49) with deliberate self-harm.11
1.02–1.27; P < .03) in adjusted logistic regressions.       These findings suggest that low DHA levels may be a contributing
Among men, risk of suicide death was 62%                factor for adverse psychiatric symptoms. In this study, we posited that
greater with low serum DHA status (adjusted             low DHA status would be associated with increased risk of suicide death
OR = 1.62; 95% CI, 1.12–2.34; P < .01, comparing
DHA below 1.75% [n = 1,389] to DHA of 1.75%
                                                        among military personnel. Prospectively collected serum and supporting
and above [n = 141]). Risk of suicide death was         data were available from the Armed Forces Health Surveillance Center
52% greater in those who reported having seen           (AFHSC) for a large number of active-duty suicide deaths (n = 800) and
Matsuoka BioPsychoSocial Medicine 2011, 5:3
                                                                                            http://www.bpsmedicine.com/content/5/1/3




                                                                                             REVIEW                                                                                            Open Access

                                                                                            Clearance of fear memory from the hippocampus
                                                                                            through neurogenesis by omega-3 fatty acids:
                                                                                            a novel preventive strategy for posttraumatic
                                                                                            stress disorder?
                                                                                            Yutaka Matsuoka1,2


                                                                                             Abstract
                                                                                             Not only has accidental injury been shown to account for a significant health burden on all populations, regardless
                                                                                             of age, sex and geographic region, but patients with accidental injury frequently present with the psychiatric
                                                                                             condition of posttraumatic stress disorder (PTSD). Prevention of accident-related PTSD thus represents a potentially
 Clearance of fear memory from the hippocampus                                               important goal. Physicians in the field of psychosomatic medicine and critical care medicine have the opportunity
 through neurogenesis by omega-3 fatty acids: a novel                                        to see injured patients in the immediate aftermath of an accident. This article first briefly reviews the prevalence
 preventive strategy for posttraumatic stress disorder?                                      and associated factors of accident-related PTSD, then focuses on a conceptual model of fear memory and
 Matsuoka                                                                                    proposes a new, rationally hypothesized translational preventive intervention for PTSD through promoting
                                                                                             hippocampal neurogenesis by omega-3 fatty acid supplementation. The results of an open-label pilot trial of
                                              Matsuoka BioPsychoSocial Medicine 2011, 5:3
                               http://www.bpsmedicine.com/content/5/1/3 (8 February 2011)    injured patients admitted to the intensive care unit suggest that omega-3 fatty acid supplementation immediately
                                                                                             after accidental injury can reduce subsequent PTSD symptoms.




Omega-3 for PTSD symptoms could be used
routinely for the patients exposed to trauma
Schizophrenia Bulletin vol. 35 no. 3 pp. 582–595, 2009
                                                                                                                                                                                                                                                                                                                                                                                                                                  doi:10.1093/schbul/sbp023
                                                                                                                                                                                                                                                                                                                                                                                                                                  Advance Access publication on April 8, 2009




Hedelin et al. BMC Psychiatry 2010, 10:38
http://www.biomedcentral.com/1471-244X/10/38
                                                                                                                                                                                                        Schizophrenia Bulletin Advance Access published September 10, 2010                                                                                                                                                        Relation of Schizophrenia Prevalence to Latitude, Climate, Fish Consumption, Infant
                                                                                                                                                                                    Schizophrenia Bulletin
                                                                                                                                                                                    doi:10.1093/schbul/sbq101
                                                                                                                                                                                                                                                                                                                                                                                                                                  Mortality, and Skin Color: A Role for Prenatal Vitamin D Deficiency and Infections?
    RESEARCH ARTICLE                                                                                                                                  Open Access
                                                                                                                                                                                                                                                                           ENVIRONMENT AND SCHIZOPHRENIA

Dietary intake of fish, omega-3, omega-6
Research article
                                                                                                                                                                                    Developmental Vitamin D Deficiency and Risk of Schizophrenia: A 10-Year Update
polyunsaturated fatty acids and vitamin D and the                                                                                                                                                                                                                                                                                                                                                                                 Dennis K. Kinney1–3, Pamela Teixeira2, Diane Hsu2, Siena          derlie variations in schizophrenia prevalence deserves high
prevalence of psychotic-like symptoms in a cohort                                                                                                                                                                                                                                                                                                                                                                                 C. Napoleon2,4, David J. Crowley2, Andrea Miller2,                priority.
                                                                                                                                                                                                                                                                                                                                                                                                                                  William Hyman2, and Emerald Huang2
of 33 000 women from the general population                                                                                                                                                                                         x
                                                                                                                                                                                    John J. McGrath*,1,2,3, Thomas H. Burne1,2, Francois Feron4, Allan Mackay-Sim5, and Darryl W. Eyles1,2
                                                                                                                                                                                                                                          ´
                                                                                                                                                                                                                                                                                                                                                                                                                                  2                                                                 Key words: epidemiology/etiology/immune function/
                                                                                                                                                                                    1
                                                                                                                                                                                     Queensland Center for Mental Health Research, The Park Center for Mental Health, Wacol, Queensland 4076, Australia; 2Queensland                                                                                                                Genetics Laboratory, McLean Hospital, Belmont, MA; 3De-
Maria Hedelin*1,2, Marie Löf3, Marita Olsson3,4, Tommy Lewander1, Björn Nilsson1, Christina M Hultman1,3 and                                                                        Brain Institute, University of Queensland, St Lucia, Queensland 4076 Australia; 3Department of Psychiatry, University of Queensland, St
                                                                                                                                                                                                                                                                                                                                                                                                                                  partment of Psychiatry, Harvard Medical School, Boston, MA;       prenatal/geography/risk factor
                                                                                                                                                                                    Lucia, Queensland 4076 Australia; 4Neurobiologie des Interactions Cellulaires et Neurophysiopathologie (CNRS UMR 6184), Universite de    ´




                                                                                                                                                                                                                                                                                                                                                                                                                                                                                                                                                                    Downloaded from http://schizophreniabulletin.oxfordjournals.org/ by guest on February 10, 2012
Elisabete Weiderpass2,3,5                                                                                                                                                               ´         ´                            ´     ´                           ´ ´
                                                                                                                                                                                    la Mediterranee (Aix-Marseille II), Faculte de Medecine Nord, Institut Federatif de Recherche Jean Roche (IFR11), Marseille, France;
                                                                                                                                                                                                                                                                                                                                                                                                                                  4
                                                                                                                                                                                                                                                                                                                                                                                                                                    Wellesley College, Wellesley, MA
                                                                                                                                                                                    5
                                                                                                                                                                                     National Center for Adult Stem Cell Research, Eskitis Institute for Cell and Molecular Therapies, Griffith University, Brisbane, Queensland




                                                                                                                                                                                                                                                                                                                                   Downloaded from schizophreniabulletin.oxfordjournals.org at UQ Library on September 19, 2010
                                                                                                                                                                                    4111, Australia
                                                                                                                                                                                    *To whom correspondence should be addressed; tel: þ61-7-3346-6372, fax: þ61-7-3271-8698, e-mail: john_mcgrath@qcmhr.uq.edu.au
    Abstract                                                                                                                                                                                                                                                                                                                                                                                                                      Previous surveys found a large (>10-fold) variation in            Introduction
    Background: Low intake of fish, polyunsaturated fatty acids (PUFA) and vitamin D deficiency has been suggested to
    play a role in the development of schizophrenia. Our aim was to evaluate the association between the intake of                                                                                                                                                                                                                                                                                                                schizophrenia prevalence at different geographic sites            Schizophrenia is an unusually burdensome disorder be-
    different fish species, PUFA and vitamin D and the prevalence of psychotic-like symptoms in a population-based study                                                            There is an urgent need to generate and test candidate risk                  dations for future research. Key features of the evidence
                                                                                                                                                                                    factors that may explain gradients in the incidence of                       are summarized in table 1.
                                                                                                                                                                                                                                                                                                                                                                                                                                  and a tendency for prevalence to increase with latitude.          cause of the great economic costs of extensive care and
    among Swedish women.
    Methods: Dietary intake was estimated using a food frequency questionnaire among 33 623 women aged 30-49 years
                                                                                                                                                                                    schizophrenia. Based on clues from epidemiology, we pro-                                                                                                                                                                                      We conducted meta-analyses of prevalence studies to inves-        loss of economic productivity, as well as the personal suf-
    at enrolment (1991/92). Information on psychotic-like symptoms was derived from a follow-up questionnaire in the                                                                posed that developmental vitamin D deficiency may con-                                                                                                                                                                                        tigate whether these findings pointed to underlying etiologic
    years 2002/03. Participants were classified into three predefined levels: low, middle and high frequency of symptoms.                                                           tribute to the risk of developing schizophrenia. This                        Vitamin D—The Basics                                                                                                                                                                                                               fering and stigma, which often affect a patient and his or
    The association between diet and psychotic-like symptoms was summarized in terms of relative risks (RR) and                                                                     hypothesis may explain diverse epidemiological findings in-                                                                                                                                                                                   factors in schizophrenia or were the result of methodolog-        her family for most of the patient’s life. Moreover, for
                                                                                                                                                                                                                                                                 Ultra Violet B (UVB) radiation on the epidermis converts
    corresponding 95% confidence intervals and was evaluated by energy-adjusted multinomial logistic regression.                                                                    cluding season of birth, the latitude gradients in incidence
                                                                                                                                                                                                                                                                 a cholesterol metabolite to vitamin D3 (cholecalciferol;                                                                                                         ical artifacts or the confounding of sites’ latitude with level   most patients there is still no cure or even an effective
    Results: 18 411 women were classified as having a low level of psychotic-like symptoms, 14 395 as middle and 817 as                                                             and prevalence, the increased risk in dark-skinned migrants
                                                                                                                                                                                    to certain countries, and the urban-rural gradient. Animal                   a preprohormone). This is subsequently hydroxylated                                                                                                              of healthcare at those sites. We found that these patterns        way of treating many of the most disabling, ‘‘negative’’
    having a high level. The risk of high level symptoms was 53% (95% CI, 30-69%) lower among women who ate fish 3-4                                                                                                                                             to 25-hydroxyvitamin D3 (25OHD), a prehormone com-
    times per week compared to women who never ate fish. The risk was also lower for women with a high intake of                                                                    experiments demonstrate that transient prenatal hypovita-
                                                                                                                                                                                                                                                                 monly used to measure vitamin D status. A second hy-
                                                                                                                                                                                                                                                                                                                                                                                                                                  were still present after controlling for an index of health-      symptoms of the disorder. Therefore, a key goal of schizo-
    omega-3 and omega-6 PUFA compared to women with a lower intake of these fatty acids. The effect was most                                                                        minosis D is associated with persisting changes in brain
                                                                                                                                                                                    structure and function, including convergent evidence of al-                 droxylation of this molecule converts 25OHD to the                                                                                                               care—infant mortality—and focusing on 49 studies that             phrenia research is elucidation of etiologic factors, partic-
    pronounced for omega-6 PUFAs. The RR comparing the highest to the lowest quartile of omega-6 PUFAs intake was
                                                                                                                                                                                    tered dopaminergic function. A recent case-control study                     active secosteroid hormone 1,25-dihydroxyvitamin D3                                                                                                              used similar diagnostic and ascertainment methods. The
    0.78 (95% CI, 0.64-0.97). The associations were J-shaped with the strongest reduced risk for an intermediate intake of                                                                                                                                                                                                                                                                                                                                                                          ularly environmental ones that could be readily avoided
                                                                                                                                                                                    based on neonatal blood samples identified a significant as-                 (1,25OHD). This hormone binds the vitamin D receptor
    fish or PUFA. For fatty fish (herring/mackerel, salmon-type fish), the strongest inverse association was found for an                                                                                                                                                                                                                                                                                                         tendencies for schizophrenia prevalence to increase with
                                                                                                                                                                                                                                                                 (VDR), a member of the nuclear receptor superfamily.                                                                                                                                                                               and used in effective, inexpensive, and ethically sound pri-
    intermediate intake (RR: 0.81, 95% CI, 0.66-0.98), whereas a high intake of fatty fish was associated with an increased risk                                                    sociation between neonatal vitamin D status and risk of
    of psychotic-like symptoms (RR: 1.90, 95% CI, 1.34-2.70). Women in the highest compared with the lowest quartile of                                                             schizophrenia. This article provides a concise summary                       In concert with a range of binding partners and coactiva-                                                                                                        both latitude and colder climate were still large and signif-     mary prevention programs.
    vitamin D consumption experienced a 37% (95% CI, 22-50%) lower risk of psychotic-like symptoms.                                                                                                                                                              tors (including the retinoid X receptor), this phylo-
                                                                                                                                                                                    of the epidemiological and animal experimental research
                                                                                                                                                                                                                                                                 genetically ancient system influences the expression                                                                                                             icant and present on several continents. The increase in             In a comprehensive survey of schizophrenia prevalence
    Conclusion: Our findings raise a possibility that adult women with a high intake of fish, omega-3 or omega-6 PUFA and                                                           that has explored this hypothesis.
    vitamin D have a lower rate of psychotic-like symptoms.
                                                                                                                                                                                                                                                                 of many genes in mammals. Vitamin D is a potent                                                                                                                  prevalence with latitude was greater for groups with low          studies around the world that were published in English
                                                                                                                                                                                                                                                                 prodifferentiating and antiproliferative agent.
                                                                                                                                                                                    Key words: vitamin D/schizophrenia/epidemiology/
                                                                                                                                                                                                                                                                    Vitamin D deficiency (<25 nmol/l) and insufficiency
                                                                                                                                                                                                                                                                                                                                                                                                                                  fish consumption, darker skin, and higher infant mortali-          over a period of 4 decades, Torrey1 noted 2 important
                                                                                                                                                                                    animal models/neurodevelopment/prevention
Background                                                                                  their lifetime [1-3]. The biological mechanisms underly-                                                                                                             (25–50 nmo/l) are common in many nations.6–8 Hypovi-                                                                                                             ty—consistent with a role of prenatal vitamin D deficiency         patterns. First, prevalence rates varied widely at different
Even though psychoses are relatively rare, between 5-15%                                    ing the etiology of schizophrenia and psychotic symp-                                                                                                                taminosis D is more prevalent in winter, in high latitudes,
of the general population has been estimated to report                                      toms are largely unknown. Genetic constitution is
                                                                                                                                                                                                                                                                                                                                                                                                                                  in schizophrenia. Previous research indicates that poor pre-      geographic sites, with the highest rate being more than 10
                                                                                                                                                                                                                                                                 and in dark-skinned individuals. Migrants to European
single schizophrenia-like symptoms like delusions, magi-                                    important [4], but environmental factors like an                                                                                                                     countries are at higher risk of hypovitaminosis D com-                                                                                                           natal healthcare and nutrition increase risk for schizophre-      times greater than the lowest. Second, there was a strong
cal thinking, and hearing internal voices at some point in                                  unhealthy lifestyle with a poor diet may be involved [5,6].                                                                                                          pared with native-born.9 Compared with nonimmigrants,
                                                                                              Schizophrenia in adulthood is often preceded by milder                                Introduction                                                                                                                                                                                                                                  nia within the same region. These adverse conditions are          tendency for schizophrenia prevalence to increase with
                                                                                                                                                                                                                                                                 those from Africa have the highest adjusted ORs for vi-
* Correspondence: maria.hedelin@ki.se                                                       symptoms and delusions during adolescence. The typical                                  There is robust evidence demonstrating that the risk of                      tamin D deficiency (about 7-fold), followed by migrants                                                                                                          more prevalent in developing countries concentrated near
1Department of Neuroscience, Psychiatry, Ulleråker, Uppsala University,                     age of onset for schizophrenia is early adulthood (20-25                                                                                                                                                                                                                                                                                                                                                increasing latitude; ie, prevalence rates tended to be
Uppsala, Sweden
                                                                                            years of age). Expression of psychotic symptoms in popu-
                                                                                                                                                                                    schizophrenia varies according to season of birth, place                     from Arab-Islamic countries (about 6-fold) and Turkey                                                                                                            the equator, but schizophrenia prevalence is lowest at
Full list of author information is available at the end of the article                                                                                                              of birth, and migrant status.1 We propose that develop-                      (about 4-fold).10 Apart from darker skin color, variables                                                                                                                                                                          very low near the equator and to increase as one moved
                                                                                                                                                                                                                                                                                                                                                                                                                                  sites near the equator. This suggests that schizophrenia-
                                            © 2010 Hedelin et al; licensee BioMed Central Ltd. This is an Open Access article distributed under the terms of the Creative Commons   mental vitamin D (DVD) deficiency underlies these                            related to dress (eg, wearing a veil), behavior (eg, less out-                                                                                                                                                                     toward the poles. Both of Torrey’s conclusions were also
                                            Attribution License (http://creativecommons.org/licenses/by/2.0), which permits unrestricted use, distribution, and reproduction in
                                                                                                                                                                                    gradients.2 Over the last decade, we have undertaken                         door activities), and diet also contribute to an increased                                                                                                       producing environmental factors associated with higher lat-
                                            any medium, provided the original work is properly cited.
                                                                                                                                                                                    a coordinated program of animal experiments, assay                           risk of deficiency in certain ethnic groups.11,12 Urban res-                                                                                                                                                                       reached in a survey and meta-analysis by Saha et al,2
                                                                                                                                                                                                                                                                                                                                                                                                                                  itude may be so powerful they overwhelm protective effects
                                                                                                                                                                                    development, and analytic epidemiology in order to ex-                       idence is associated with an increased risk of hypovitami-                                                                                                                                                                         which included more recent studies as well as ones pub-
                                                                                                                                                                                    plore this hypothesis. This article summarizes the current                   nosis, due to factors such as reduced outdoor activity and                                                                                                       of better healthcare in industrialized countries. The ob-
                                                                                                                                                                                                                                                                 access to UVB radiation.13,14
                                                                                                                                                                                                                                                                                                                                                                                                                                                                                                    lished in languages other than English. Several other sur-
                                                                                                                                                                                    research related to this hypothesis and makes recommen-                                                                                                                                                                                       served patterns of correlations of risk factors with preva-
                                                                                                                                                                                                                                                                                                                                                                                                                                                                                                    veys have also concluded that schizophrenia rates vary at
                                                                                                                                                                                    Ó The Author 2010. Published by Oxford University Press on behalf of the Maryland Psychiatric Research Center. All rights reserved.                                                                                                           lence are consistent with an etiologic role for prenatal
                                                                                                                                                                                    For permissions, please email: journals.permissions@oxfordjournals.org.                                                                                                                                                                                                                                         least 10-fold around the world, including studies using
                                                                                                                                                                                                                                                                                                                                                                                                                                  vitamin D deficiency and exposure to certain infectious dis-
Bridging human mismatch   Balancing the omega -6 and omega-3 ratios
Neither PAXIS nor Dr. Embry
Where and how can we                             have any financial interest in an
                                                     omega-3 supplement.
correct the brain food?
  Home?
  Schools?
  Child-care and youth serving organizations?
  Workplaces?
  Prisons and jails?
  Mental health and substance abuse treatment?
  Doctors, clinics and insurance payers?
  Local, state, and federal policies?
If we can predict human
predators and prey from
omega-3 fatty acid and
vitamin D3 deficiency…


Then, why not prevent it using remedying
this deficiency that both ancient wisdom
recognizes and science confirms?

Neither Dr. Embry nor PAXIS have any financial involvement with
any manufacturer or distributor of omega-3 or vitamin D products.
Evolution                       Matching Law                            Reinforcer Diet                        “Risky” Beh.
       Humans are                         A simple 3-term                       Multiple data sets and              When children or youth
  apparently unique in                    algebra formula                      controlled studies show              receive differential rates
    the ability to use               predicts either risky or                  that children and youth                  of peer and adult
                                      non-risky behavior in                      in general receive low                 reinforcement for
  arbitrary sounds and
                                       human in real-world                      levels of reinforcement
  symbols to reinforce                                                                                               prosociality virtually all
                                                                                  for prosociality, with
   behavior in others.                   settings related to                                                         risk behaviors decline.
                                                                                   adverse effects on
                                     differential verbal/social
                                                                                        behavior
    See Hayes, Barnes-Holmes &             reinforcement.
                                                                                                                    See Biglan & Hinds, E. (2009). Evolving
   Roche. (2001). Relational frame   See Plaud, (1992). The prediction and
                                     control of behavior revisited: A review    See Biglan et al. (2004). Helping         prosocial and sustainable
 theory: A post-Skinnerian account                                                                                    neighborhoods and communities.
 of human language and cognition       of the matching law.of intergroup             Adolescents at Risk.
                                                    conflict




Reinforcement Adaptation
Paying attention, being good?




What are the social reinforcers for…
Paying attention, being good?   Showing off, being bad?




What are the social reinforcers for…
A formula to predict in class?


                        # rewards
 Percent of             for “good”
   Good
                                     # rewards
  Behavior        # rewards
                  for “good”     +   for “bad”
A formula to predict in class?


                        # rewards
 Percent of             for “good”
   Good        =# rewards        # rewards
  Behavior
                  for “good” +   for “bad”
A formula to predict behavior in class?



                         1 “Good”
 Percent of
   Good
                                  10 (to 20)
  Behavior
                  1 “Good”   +     “Bad’s”
A formula to predict behavior in class?



                         1 “Good”
 Percent of
   Good        =                  10 (to 20)
  Behavior
                   1 “Good”   +    “Bad’s”
A formula to predict behavior in class?


      Percent of
        Good
       Behavior
                      =     4.7% to 9%

       How much engaged learning and academic
            instruction can happen now?
Footnote: This formula is based on the “Matching Law,” one of
  the most cited papers in psychology by Herrnstein, 1970
Oh, #$&#!
                                                # rewards
                 Percent of                    for “Good”
What can I
   do to
                   Good         =# rewards                  # rewards
solve this?
                  Behavior
                                    for “Good”        +     for “Bad”




                  Footnote: This formula is based on the “Matching Law,” one of
                    the most cited papers in psychology by Herrnstein, 1970
Age 4             6      8        10         12      14       16    18       20     22     24        26

  Birth                                                                                                                A Life Map of Travail
                 ADHD           ODD                   A/D      A/D   A/D A/D A/D             A/D    A/D

DSM IV                    TS                CD        SA       SA       SA SA SA             SA     SA
Labels                                                                  depression
                                                                         anxiety
Self-Rep.       Likes      Stole             Binge            Daily        Meth &     IV
              Violent TV Cigarettes         Drinking        Marijuana    Other Drugs Use
School             SD       SD         LD        LD         LD SED Dropout
Labels
Medical     Prenatal Unintentional Injuries          Sexually     Serious      Hepatitis C
            Smoking   Ashtma                         Transmitted Car Crash
Notes &                             Intentional      Diseases          Gunshot
               Low Birth Weight
Bio              Fussy,Irritable
                                    Injuries at
                                                               Fathers
                                                                       Wound
                                                                               Fathers
                                    School
Markers     Mom is 16.5 years old Underactive                  Child           Child
                  Low CSF           Beh. Inhibition Reduced Prefontal Function
                  Serotonin         System            Lower Resting Heart Rate                                      Case study
Police      Mom DV
Records     Has
                            Abused     Assault
                    Calls by Mom's at School Theft
                                                  Various      Drug sales;     Armed
                                                               Felony Assault Robbery
                                                                                                                    from Reclaim-
            Multiple        Live-in Witness       Complaints;                                                       ing Wyoming
            Offenses                Homicde       Truancy
                                                                                                                    Blueprint by
                                                        Legend                                                      Embry and
            ADHD    =   Attention Deficit Hyperactivity Disorder        SA    =    Substance Abuse
            TS      =   Tourette's Syndrome (tics diagnosed)            SD    =    Speech Delay                     Rodgers, 2002,
            ODD
            A/D
                    =
                    =
                        Oppositional Defiant Disorder
                        Antisocial Personality Disorder
                                                                        LD
                                                                        SED
                                                                              =
                                                                              =
                                                                                   Learning Disabilityr
                                                                                   Severe Emotional Disorder
                                                                                                                    for Wyoming
            CD      =   Conduct Disorder                                                                            Legislature
Remember the life
  case histories
   presented?




                    Source: Dr.Tom Dishion
Remember the life
  case histories
   presented?




                    Source: Dr.Tom Dishion
Simplified Matching Law




     B = predicted behavior rate
 k = A “rubber-band” like asymptotic        Halvor Teigen, K. (2002). One hundred years of laws in psychology. American
               constant                                         Journal of Psychology, 115(1), 103-118.
 rp =rate of reinforcement for target      Pierce, W. D., & Epling, W. F. (1995). The applied importance of research on the
                                                 matching law. Journal of Applied Behavior Analysis, 28(2), 237-241.
               behavior
                                           Correia, C. J., Simons, J., Carey, K. B., & Borsari, B. E. (1998). Predicting drug use:
rv =rate of reinforcement for all other   Application of behavioral theories of choice. Addictive Behaviors, 23(5), 705-710.
               behaviors
Language, physiological, medication or substance
                                     abuse effect on behavior
This “selection by
  consequences”
 mathematical law
 predicts wiring of
the brain neurons,
 bullying, criminal
   behavior, drug
  addictions, and
 other predatory/
  prey outcomes.
   So, what if…

                          Rate influenced by:                  Rate influenced by:
                      •      Reinforcements               •      Reinforcement
                      •       Antecedents                 •       Antecedents
                      •     Relational-frames             •     Relational-frames
PAX GBG: An Example Behavioural Vaccine




Muriel Saunders




                  Read about multiple scientific studies on the “Good Behavior Game” at www.pubmed.gov
How Manitoban
teachers are
teaching and using
the PAX Good
Behavior Game
CUES
CUES
CUES

  PAX
CUES

  PAX   GBG
CUES

  PAX   GBG
They teach children a vision of a wonderful school
OK                             tm
                                tm

                                         Bien         Not OK                                                                Pas
                                                                                                                            bien
                                                tm




                                                                                                                                À
                                         Vive                                                                                bas
                                         les                                                                                  les
GO PAX                               !           !
                                                     No              Spleems                                             Spleem
© 2002-2012, PAXIS Institute             PAX         Peeling cards up is a spleem for your team   (Si tu soulèves les cartes, c’est un Spleem à ton équipe.)




To create more good,                                  By sweeping away the
called “PAX”                                          “bad”, called “Spleems”
Playing the PAX Game by Teams:
During any regular teaching & learning activity
     The Blue Team   The Red Team   The Yellow Team
The Aim: 	 	 	 	 	    to Win PAX


           Ms. Dion   Jan 23

                               Spleems are counted and marked with neutral
   Blue                        tone for the team, not the individual child.
   Red
                               Teams who have 3 or fewer Spleems win.
  Yellow
                               Winning teams earn a “Granny’s Wacky Prize”.
                               Team having 4 or more Spleems lose that game.
                               PAX Minutes = winning teams x minutes played.
The Aim: 	 	 	 	 	    to Win PAX


           Ms. Dion   Jan 23

                               Spleems are counted and marked with neutral
   Blue                        tone for the team, not the individual child.
   Red
                               Teams who have 3 or fewer Spleems win.
  Yellow
                               Winning teams earn a “Granny’s Wacky Prize”.
                               Team having 4 or more Spleems lose that game.
                               PAX Minutes = winning teams x minutes played.
The Aim: 	 	 	 	 	         to Win PAX


                Ms. Dion   Jan 23

                                    Spleems are counted and marked with neutral
   Blue                             tone for the team, not the individual child.
   Red
                                    Teams who have 3 or fewer Spleems win.
  Yellow
                                    Winning teams earn a “Granny’s Wacky Prize”.
                                    Team having 4 or more Spleems lose that game.
           20
           40                       PAX Minutes = winning teams x minutes played.
The Aim: 	 	 	 	 	         to Win PAX


                Ms. Dion   Jan 23

                                    Spleems are counted and marked with neutral
   Blue                             tone for the team, not the individual child.
   Red
                                    Teams who have 3 or fewer Spleems win.
  Yellow
                                    Winning teams earn a “Granny’s Wacky Prize”.
                                    Team having 4 or more Spleems lose that game.
           20
           40                       PAX Minutes = winning teams x minutes played.
The Aim: 	 	 	 	 	      to Win PAX


             Ms. Dion   Jan 23

                                 Spleems are counted and marked with neutral
   Blue                          tone for the team, not the individual child.
   Red
                                 Teams who have 3 or fewer Spleems win.
  Yellow
                                 Winning teams earn a “Granny’s Wacky Prize”.
                                 Team having 4 or more Spleems lose that game.
           20 20
           40 60                 PAX Minutes = winning teams x minutes played.
Winning teams get “Granny’s
Wacky Prizes”
 Brief (30 seconds or so) activity rewards for winning game
 Start and stop with non-verbal cue
 Based on mystery motivator and Premack Principle
 Function as “intrinsic motivators”


As-tu   J’ai les                   Got      Got PAX?
 des    Surprises     Got
                                  PAX?                    Got
                                                         PAX?




                                            I’ve got
                     PAX?




PAX?
        fofolles
        de Mémé                  Granny’s Wacky Prizes
The PAX Game teaches
 Individual and group goal orientation/
 dependency
 Voluntary control over attention
 Self-regulation, self-calming under excitement
 Self-regulation during failure or disappointment
 Delay of gratification
 Cooperation to achieve a bigger goal
 How to ignore accidental attention to negative
 behavior from peers
 Mild sanctions for anti-social acts by others
View the Canadian Broadcast Corporation Video on Manitoba
Seine River Pilot Demonstration
  April, 2011 – Principals and key                               Disruptions by All Seine River First Graders
  staff trained for two days for all




                                       Rate Per Hour Per Child
                                                                  12
  12 schools.
                                                                  10
                                                                                               40.8%
                                                                                               45%
  April, 2011 – First grade                                       8                          Reduction
  classrooms then trained that
                                                                  6
  week
                                                                  4
  April through May – Each                                        2
  successive month other grades
                                                                  0
  trained, including 8th grade                                          Before               After
                                                                        (Baseline)           PAX GBG
Longitudinal Johns Hopkins Studies of GBG
Kindergarden


   Every
   child
 rated by
 teachers
Longitudinal Johns Hopkins Studies of GBG
Kindergarden


   Every
   child
 rated by
 teachers
Longitudinal Johns Hopkins Studies of GBG
Kindergarden      First Grade


   Every             GBG
   child
 rated by
 teachers         NO GBG

                Tested in 41 first-
               and second-grade
                classrooms within
                  19 elementary
                schools with two
               consecutive groups
                 of first graders.
Longitudinal Johns Hopkins Studies of GBG
                                       Grades 2 thru 12
Kindergarden      First Grade
                                          Follow Up

   Every             GBG              No More GBG
   child
 rated by
 teachers         NO GBG                  No GBG

                Tested in 41 first-   Purpose: To find out if
               and second-grade       GBG affected their
                classrooms within      adolescent lives.
                  19 elementary       Note: Some kids got
                schools with two     GBG in 1st Grade only,
               consecutive groups    and some in both 1st &
                 of first graders.         2nd grade,
Longitudinal Johns Hopkins Studies of GBG
                                       Grades 2 thru 12          Young Adulthood
Kindergarden      First Grade
                                          Follow Up                 Follow Up

                     GBG                                       Age      Age      Age
   Every                              No More GBG
   child                                                      19-21      26       30
 rated by
                                                               Age      Age      Age
 teachers         NO GBG                  No GBG
                                                              19-21      26       30

                Tested in 41 first-   Purpose: To find out if    Purpose: To find out if
               and second-grade       GBG affected their        GBG affected their
                classrooms within      adolescent lives.            adult lives.
                  19 elementary       Note: Some kids got
                schools with two     GBG in 1st Grade only,
               consecutive groups    and some in both 1st &
                 of first graders.         2nd grade,
District Priorities:
                  Our Priorities:
                   Our Priorities:                                  Preparing Your Student For The Future
                   Scholarship
                   Scholarship
                    Scholarship


                                                         Mt. Adams School News
                   Citizenship
                    Citizenship
                    Citizenship
                   Leadership
                    Leadership
                    Leadership
                   Sportsmanship
                    Sportsmanship
                  Sportsmanship
                                                               May 2011        Volume 5, Issue 9 Editor: Linda King


                                                                                                                 Important Dates
                                                                                                             Early Release: May 2, 9, 16, 23
                                                                                                                       What we are seeing so far is
                                                                                                    Central Washington Junior Livestock Show
                                                                                                            May 2-4, Toppenish Rodeo Grounds
                                                                                                             JOM/IPEC Recognition Dinner
                                                                                                                       1. decreased disciplinary referrals
                                                                                                           May 11, 6:00 pm, Middle School Gym
                                                                                                          Spring Community Meeting with Board


                                                                                                                       2. increased attendance
                                                                                                                 May 12, 6:00 pm, Harrah
                                                                                                               Board of Director Meeting
                                                                                                                 May 16, 6:00 pm, Harrah

                                                                                                                       3. increased time on task and decreased transition
                                                                                                    JOM Meeting, May 17, 6:00 pm, White Swan
                                                                                                   Senior Banquet, May 19, 7:00 pm, White Swan

                                                                                                                       times which=more time teaching
                                                                                                            No School, May 30, Memorial Day


                                                                                                     You are Invited to an Informal Chat
                     Students Help Classmate Communicate
                 Shane Carey is a freshman student with Cerebral Palsy. While he cannot walk
                                                                                                                       4. improvement of school climate where students
                                                                                                      with the Mt. Adams School Board
               or talk, he is fully aware of what is going on around him. However, making his
               needs known to others is a serious problem. He has a custom computer that he                            are being kinder and helping each other more,
                                                                                                 May 12, 6:00 pm, at Harrah Elementary
                                                                                                  Ask the questions you feel need to be an-
                           Game Teaches Good Behavior
               can use to communicate, but, without a device to attach it to his wheel chair, it
               can only be used in the classroom. The stand he needs was ordered two years                             staff are feeling less stress.
                                                                                                 swered, make suggestions and pass on your
ock’s  5th     ago If your a complicated process that appears to have led nowhere. unusual new
                    and was first grader is coming home speaking some Demand                     ideas. This is an opportunity to get a better
               for such specialized items is small so the number of venders who can provide
ntral            words like PAX, Spleem longer seemed your child is participating in an idea of what your child’s education
               them is equally small. Waiting anyand Toodle, a very poor option.
haracter-­       innovative program that ESD 105 who works with Shane took the prob-
                 The educational specialist from
                                                                                                                      Nancy Fiander, Elder & PAX Coach, Harrah Elementary
                                                 focuses on teaching very young children opportunities will look like in the future.
e bumpy        lem to Rob Ford.good behavior that makes past in the special ed depart- enjoy-
                 the kind of He has worked with Shane in the the classroom a more
               ment and nowproductiveeducational assistant in the vocational teachers.
                 able and works as an place for both students and shop program
               and the Intro to Engineering class, grades 10-12. Could a stand be built for
en better.     Shane right here at hisis funded by a $75,000 a year, Five-Year
                   The program own school?                                                    Preventa-
 la mon-          tive saw the possibleSchools the perfect real world experience by the stu- and
                  Ford Practices In project as grant, which was written for School
 ful  in       dents in the engineering and welding classes. The engineering students
                  Community Programs Coordinator Nancy Fiander. The grant dol-
               (pictured above with Shane and Ford on the left), first brain-stormed the problem,
  a suc-       took measurements and then sessions, travel, and substitutes for participat-
                  lars will fund training began creating design drawings of what they be-
ced the        lieved the stand should look like as well it would function. Using 3-D animation
                  ing teachers and staff, and how as paying for instructional materials
Timeline of Benefits…
Timeline of Benefits…
First Month

     More time for             Less stress for
 teaching and learning        Staff & Students
First Year

    Better         Fewer       Fewer Service     Less       Happier      Less          Better
 Attendance       Referrals       Needs         Illness     Families   Vandalism     Academics
2nd & 3rd Years

   ADHD            Oppositional         Special Education
   Averted        Defiance Averted           Averted
5-15 Years

   No          Less       Less Conduct           Less            Less Crime,      High School
 Tobacco      Alcohol       Disorders          Depression     Violence, Suicide Grad & University
OUTCOMES                             STUDENT GROUPS                  GBG CLASSROOM                   STANDARD CLASSROOM
                                                 Drug abuse and                       All males                         19 percent                     38 percent
                                                 dependence disorders
                                                                                      Highly aggressive males           29 percent                     83 percent

                                                 Regular smoking                      All males                         6 percent                      19 percent

                                                                                      Highly aggressive males           0 percent                      40 percent
         First graders                           Alcohol abuse and                    All males and females             13 percent                     20 percent
       exposed to GBG                            dependence disorders
       for one year had                          Antisocial personality               Highly aggressive males           40 percent                     100 percent
       these benefits at                          disorder (ASPD)
            age 21.                              Violent and criminal                 Highly agressive males            34 percent                     50 percent
                                                 behavior (and ASPD)

                                                 Service use for         All males                                      25 percent                     42 percent
                                                 problems with behavior,
                                                 emotions, drugs, or
                                                 alcohol

                                                 Suicidal thoughts                    All females                       9 percent                      19 percent

                                                                                      All males                         11 percent                     24 percent


SOURCE: Kellam, S. G., Mackenzie, A. C., Brown, C. H., Poduska, J. M., Wang, W., Petras, H., & Wilcox, H. C. (2011). The good behavior game and the future of prevention and treatment. Addict Sci Clin Pract, 6(1), 73-84.

                               Read this and other studies about the Good Behavior Game at www.pubmed.gov
How much might PAX GBG
                                                                                                                     save New Jersey?
                                                                                                                     To do PAX GBG will cost about $150 to protect our children for
                                                                                                                     life from mental illnesses, behavioral problems, drug addictions,
                                                                                                                     becoming a criminal, trying suicide, dying from tobacco or
                                                                                                                     alcohol related illnesses. And, it increases their academic
                                                                                                                     success—including university entry.
                                                                                                                     PAX GBG pays back $14,300 to individuals, taxpayers, and
                                                                                                                     others per student exposed in First Grade over 15 years.
                                                                    Cost
                                                                   Savings
                                                                                                                     Assuming 105,000 First Graders each year, that saves
                                                                                                                     $1.5 Billion every First Grade cohort.




Source: Aos, S., Lee, S., Drake, E., Pennucci, A., Klima, T., Miller, M., et al. (2011). Return on Investment: Evidence-Based Options to Improve Statewide Outcomes. (July), 8. Retrieved from http://www.wsipp.wa.gov/rptfiles/11-07-1201.pdf
How much might PAX GBG
                                                                                                                     save New Jersey?
                                                                                                                     To do PAX GBG will cost about $150 to protect our children for
                                                                                                                     life from mental illnesses, behavioral problems, drug addictions,
                                                                                                                     becoming a criminal, trying suicide, dying from tobacco or
                                                                                                                     alcohol related illnesses. And, it increases their academic
                                                                                                                     success—including university entry.
                                                                                                                     PAX GBG pays back $14,300 to individuals, taxpayers, and
                                                                                                                     others per student exposed in First Grade over 15 years.
                                                                    Cost
                                                                   Savings
                                                                                                                     Assuming 105,000 First Graders each year, that saves
                                                                                                                     $1.5 Billion every First Grade cohort.

                                                                                                                     And the cost?

Source: Aos, S., Lee, S., Drake, E., Pennucci, A., Klima, T., Miller, M., et al. (2011). Return on Investment: Evidence-Based Options to Improve Statewide Outcomes. (July), 8. Retrieved from http://www.wsipp.wa.gov/rptfiles/11-07-1201.pdf
How much might PAX GBG
                                                                                                                     save New Jersey?
                                                                                                                     To do PAX GBG will cost about $150 to protect our children for
                                                                                                                     life from mental illnesses, behavioral problems, drug addictions,
                                                                                                                     becoming a criminal, trying suicide, dying from tobacco or
                                                                                                                     alcohol related illnesses. And, it increases their academic
                                                                                                                     success—including university entry.
                                                                                                                     PAX GBG pays back $14,300 to individuals, taxpayers, and
                                                                                                                     others per student exposed in First Grade over 15 years.
                                                                    Cost
                                                                   Savings
                                                                                                                     Assuming 105,000 First Graders each year, that saves
                                                                                                                     $1.5 Billion every First Grade cohort.

                                                                                                                     And the cost?                           $15.7 million per cohort

Source: Aos, S., Lee, S., Drake, E., Pennucci, A., Klima, T., Miller, M., et al. (2011). Return on Investment: Evidence-Based Options to Improve Statewide Outcomes. (July), 8. Retrieved from http://www.wsipp.wa.gov/rptfiles/11-07-1201.pdf
Where and how can we correct this
reinforcement mismatch in classrooms?
  Schools?
  Child-care and youth serving organizations?

  Doctors, clinics and insurance payers?
  Local, state, and federal policies?
Built
      Evolution                     Environment                                 Play Diet                           “Risky” Beh.
 Running and walking               Mixed environments                     American children have                    The change in play is
 5-10 miles per day in             versus “residential”                    dramatically changed                      associated with an
      the pursuit of                settings increase                     their play from outdoor                 increase in most DSM-
                                                                           play, imaginative play,                 IV plus many behavior
  reinforcers has long             grades and reduce
                                                                         free-play, multi-age play,
   history in humans.              conduct problems.                                                                    and academic
                                                                           and rough and tumble
    Such movement                                                                                                   problems plus health
                                                                         play to solo screen time
    increases BDNF.                 See Szapocznik et al. (2006). The                                                  issues in youth.
                                   impact of the built environment on           See Clements (2004). An
                                                                                                                   See Kuo & Taylor (2004). A potential
 See Bramble & Lieberman (2004).   children's school conduct grades:     Investigation of the Status of Outdoor
                                                                                                                   natural treatment for attention-deficit/
    Endurance running and the        The role of diversity of use in a     Play. Contemporary Issues in Early
                                                                                                                  hyperactivity disorder: evidence from a
        evolution of Homo                Hispanic neighborhood                         Childhood.
                                                                                                                               national study.




Antecedent Movement Inflammatory/Anti-inflammatory
A simple intervention that reduces ADHD and
autism symptoms
Consumer feedback
Structured play at recess…
Where and how can we correct this
movement mismatch among children?
 Schools?
 Child-care and youth serving organizations?

 Doctors, clinics and insurance payers?
 Local, state, and federal policies?
Cultural Trend:
Sleep Deprivation
    IOM Report (IOM, page 212)
Data on Sleep Deprivation
  On the average, school-age
  children have a sleep deficit
  of .5 - 1.5 hours per night.
  This multiplies out to a deficit
  of 2.5 - 7.5 hours per five day
  school week.
Sleep Deprivation caused by…
  TV’s in children’s bedrooms       Televisions in Children’s Bedrooms in 1997
                                1
  Computers in bedrooms
                                0
  Gameboys in bedrooms
                                0

  …Rapidly increasing since     0           25.6%               37..8%             55.8%
  1990
                                0
                                    Preschoolers (2-5)   Elementary (6-11)   Secondary (12-17)
New Major Cause of Sleep Deprivation…
 91% of teens (ages 15-17)
 have web-enabled
 cellphones.
 Many teens stay up to 2am
 or so texting               25.6%   37..8%   55.8%
Sleep Deprivation causes…

•   Significant risk of alcohol,
    tobacco and other drug use
•   Increased risk of early sexual
    behavior and violence
•   School problems                  25.6%   37.%%   55.8%


•   Family/home problems
Sleep Improvement evidence-based kernels
  Curfew one-hour before bedtime for:
    Televisions
    Computers
    Gameboys
    Cellphones
                                       25.6%   37.%%   55.8%
  General reduction of passive media
Sleep deprivation predicts drug use in teams                                                                                                                                                                                                                                                  Sleep, Drugs, Social Networks




The Spread of Sleep Loss Influences Drug Use in
Adolescent Social Networks
Sara C. Mednick1*, Nicholas A. Christakis2, James H. Fowler3
1 Department of Psychiatry, University of California San Diego, La Jolla, California, United States of America, 2 Department of Medicine, Harvard University, Boston,
Massachusetts, United States of America, 3 Department of Political Science, University of California San Diego, La Jolla, California, United States of America



     Abstract
     Troubled sleep is a commonly cited consequence of adolescent drug use, but it has rarely been studied as a cause. Nor have
     there been any studies of the extent to which sleep behavior can spread in social networks from person to person to
     person. Here we map the social networks of 8,349 adolescents in order to study how sleep behavior spreads, how drug use
     behavior spreads, and how a friend’s sleep behavior influences one’s own drug use. We find clusters of poor sleep behavior
     and drug use that extend up to four degrees of separation (to one’s friends’ friends’ friends’ friends) in the social network.
     Prospective regression models show that being central in the network negatively influences future sleep outcomes, but not
     vice versa. Moreover, if a friend sleeps #7 hours, it increases the likelihood a person sleeps #7 hours by 11%. If a friend uses
     marijuana, it increases the likelihood of marijuana use by 110%. Finally, the likelihood that an individual uses drugs increases
     by 19% when a friend sleeps #7 hours, and a mediation analysis shows that 20% of this effect results from the spread of
     sleep behavior from one person to another. This is the first study to suggest that the spread of one behavior in social
                                                                                                                                                                        Figure 1. Network graph. Figure 1 is a network graph of the largest component of friends in Wave I of the Add Health study (year 1995), from a
     networks influences the spread of another. The results indicate that interventions should focus on healthy sleep to prevent                                        single school. Each node represents a subject (there are 800 shown) and its shape denotes gender (circles are female, squares are male). Lines
     drug use and targeting specific individuals may improve outcomes across the entire social network.                                                                 between nodes indicate relationships (arrows point from the naming friend to the named friend). Node colour denotes nightly sleep duration (red for
                                                                                                                                                                        6 hours or less, orange for 7 hours, white for 8 hours or more) and node size indicates frequency of marijuana use (the smallest nodes do not use
                                                                                                                                                                        marijuana, the largest report using at least daily). The network suggests clustering of both sleep and drug use behavior, and as we show in the
                                                                                                                                                                        statistical analysis, some of the overlap in clustering may result from a causal effect of sleep on drug use. Node placement is based on the Kamada-
  Citation: Mednick SC, Christakis NA, Fowler JH (2010) The Spread of Sleep Loss Influences Drug Use in Adolescent Social Networks. PLoS ONE 5(3): e9775.               Kawai algorithm (see Text S1) [50].
  doi:10.1371/journal.pone.0009775                                                                                                                                      doi:10.1371/journal.pone.0009775.g001

  Editor: Kenji Hashimoto, Chiba University Center for Forensic Mental Health, Japan
                                                                                                                                                                        relationships more rigorously by computing network centrality for           contact who sleeps #7 hours in Wave I increases the likelihood
  Received January 20, 2010; Accepted February 23, 2010; Published March 19, 2010                                                                                       each subject (see Text S1). We found that centrality is significantly       the ego will sleep #7 hours in Wave II by 5% (95% CI: 1% to
                                                                                                                                                                        associated with less sleep in the future: a two-standard-deviation          10%, p = 0.02). In a continuous model with hours of sleep as the
  Copyright: ß 2010 Mednick et al. This is an open-access article distributed under the terms of the Creative Commons Attribution License, which permits
                                                                                                                                                                        increase in centrality at Wave I increases the probability of               dependent variable, the effect is also significant (p = 0.03). In
  unrestricted use, distribution, and reproduction in any medium, provided the original author and source are credited.
                                                                                                                                                                        sleeping #7 hours at Wave II by 13% (95% CI: 1% to 26%,                     contrast to the spread of poor sleep behavior, the number of
  Funding: Mednick was supported by National Institute of Mental Health (NIMH) grant K01MH080992, Christakis and Fowler by National Institute on Aging (NIA)            p = 0.03). This relationship between centrality and sleep is net of         contacts who sleep .7 hours has a weak but not-quite significant
  grant P01AG031093 and by grant #58729 from the Pioneer Portfolio of the Robert Wood Johnson Foundation; the National Longitudinal Study of Adolescent                 controls for age, race, ethnicity, household income, and mother’s           (p = 0.08) positive effect on an individual’s sleep behavior.
  Health was originally funded by National Institute of Child Health and Human Development. The funders had no role in study design, data collection and analysis,      education.                                                                     Similarly, ego drug use in Wave II is associated with the number
  decision to publish, or preparation of the manuscript.                                                                                                                   In contrast, we find no significant relationship between                 of contacts in Wave I who use drugs, as shown in Table 2. Each
                                                                                                                                                                        centrality and drug use (see Text S1). We also considered the               additional drug-using friend increases the likelihood of use by 42%
Sleep, Drugs, Social Networks




Figure 2. Spread of sleep and drug use. Figure 2 shows that the association between ego and alter sleep is significant up to four degrees of
separation in both Wave I and Wave II. The left panel shows the percentage increase in the likelihood a person sleeps #7 hours if a friend at a certain
social distance sleeps #7 hours. The right panel shows the percentage increase in the likelihood a person uses marijuana if a friend at a certain social
distance uses marijuana. The relationship is strongest between individuals who are directly connected, but it remains significantly greater than zero
at social distances up to 4 degrees of separation in both Wave I and Wave II. Thus, a person’s sleep and drug use behavior is associated with the same
behavior of other people up to 4 degrees removed from them in the network. Error bars are derived by comparing the conditional probability of the
behavior in the observed network with an identical network in which topology and incidence of the behavior is preserved but the assignment of the
behavior is randomly distributed [19,55 2008]. Alter social distance (degrees of separation) refers to closest social distance between the alter and ego
(friend = distance 1, friend’s friend = distance 2, etc.). Error bars show 95% confidence intervals.
doi:10.1371/journal.pone.0009775.g002


that suggests the negative health behavior is more contagious than            change in behavior in each alter is associated with a change in
the positive health behavior.                                                 behavior in the ego. The models adjust for sex, age, race, ethnicity,
2 hours
Where and how can we correct
sleep deprivation mismatch?
 Home?
 Schools?
 Child-care and youth serving organizations?
 Workplaces?
 Prisons and jails?
 Mental health and substance abuse treatment?
 Doctors, clinics and insurance payers?
 Local, state, and federal policies?
Evidence-Based Kernels for
prevention, mitigation,
treatment & promotion
The smallest units of proven behavioral influence
can be used well outside the PAX Game for
reducing the burden of mental, emotional,
behavioral, and related physical illnesses.

Download and review at: www.pubmed.gov
Preventing child abuse?
Underestimate of official, substantiated child
   maltreatment cases…
     1 confirmed
          cased      =




Theodore, A. D., Chang, J. J., Runyan, D. K., Hunter, W. M., Bangdiwala, S. I., & Agans, R. (2005). Epidemiologic Features of the Physical and Sexual Maltreatment
                                                     of Children in the Carolinas. Pediatrics, 115(3), e331-337.
Underestimate of official, substantiated child
   maltreatment cases…
     1 confirmed
          cased      =     40 Cases Never Reported




Theodore, A. D., Chang, J. J., Runyan, D. K., Hunter, W. M., Bangdiwala, S. I., & Agans, R. (2005). Epidemiologic Features of the Physical and Sexual Maltreatment
                                                     of Children in the Carolinas. Pediatrics, 115(3), e331-337.
Relational
   Antecedent      Reinforcement             Physiological
                                                                          Frame
     Kernel            Kernel                   Kernel
                                                                          Kernel




                                               Changes                 Creates verbal
Happens BEFORE   Happens AFTER the
                                            biochemistry of           relations for the
  the behavior       behavior
                                               behavior                   behavior


                                       Embry, D. D., & Biglan, A.
                                        (2008). Evidence-Based

Four Types of Kernels
                                     Kernels: Fundamental Units of
                                      Behavioral Influence. Clinical
                                       Child & Family Psychology
                                              Review, 39.
Kernels are building
blocks of behavior change
  Humans survive individually and collectively by
  influencing the behavior or other humans
  The 2008 paper by Embry and Biglan identifies
  52 evidence based kernels that can be used to
  design or or improve programs.
Secondary School Bullying
and Violence
Current culture creates an evolutionary
mismatch during adolescence that results in
violence, bullying, and antisocial behavior.
Curriculum and posters do not solve the
problem, and often feed the evolutionary
mismatch.
Could evidence-based kernels help correct
the evolutionary mismatch?
Meaningful Roles
Meaningful Roles
Meaningful Roles
Meaningful Roles
Meaningful Roles
Meaningful Roles
Meaningful Roles
Meaningful Roles
DRI = Differential Reinforcement of   DRO = Differential Reinforcement of
Incompatible Behaviors                Other Behaviors
Antecedents that make transitions   Relational frame of belonging and
more peaceful                       generalization of prosocial behavior
60


Results
                                     Logan Jr. High School, Princeton, Ill. Grades 7-8 DETENTIONS

                       Before                                                  After Kernels
          50
                       Kernels



          40




          30




          20




          10




          0
          Sep-99 Oct-99 Nov-99 Dec-99 Jan-00 Feb-00 Mar-00 Apr-00 May-00 Sep-00 Oct-00 Nov-00 Dec-00 Jan-01 Feb-01 Mar-01 Apr-01
Results
          6.25
                                      Logan Jr. High School, Princeton, Ill. Grades 7-8 FIGHTING

                    Before Kernels
                                           After Kernels

            5




          3.75




           2.5




          1.25




            0
            Sep-99 Oct-99 Nov-99 Dec-99 Jan-00 Feb-00 Mar-00 Apr-00 May-00 Sep-00 Oct-00 Nov-00 Dec-00 Jan-01 Feb-01 Mar-01 Apr-01
What happens if you teach students to praise each other for
“peaceability”
Acceptance & Commitment
                       Therapy Kernels

Relational
 Frame
 Kernel
Relational-Frame Example:
             “Families United Promise”

Relational
 Frame                                1
                                                                                                         1.35


 Kernel                              0.9
                                     0.8                                                                  1.3
                  Mean drunkenness




                                                                                      Mean delinquency
                                     0.7
                                     0.6                                                                 1.25
                                     0.5
                                     0.4                                                                  1.2
                                     0.3
                                     0.2                                                                 1.15
                                     0.1
                                      0                                                                   1.1
                                           grade 7   grade 8          grade 9                                   grade 7   grade 8            grade 9

                  Figure 2 Repeated-measures analysis of variance displaying self-reported drunkenness (a) and delinquency (b) separately for youths in the
                  intervention and control conditions
Emotional writing…
Relational          Figure 2. Effect of Structured Writing by Disease: Asthma or Rheumatoid Arthritis
 Frame
                                                                     Control          Experimental
 Kernel                                                       90                                                                           Asymptomatic

                                                                               Asthma
             Forced Expiratory Volume




                                                              85                                                                                              Rheumatoid Arthritis




                                                                                                                Overall Disease Activity
                                        in 1 s, % Predicted




                                                              80
                                                                                                                                                   Mild
                                                              75

                                                              70
                                                                                                                                              Moderate
                                                              65

                                                              60

                                                              55                                                                                 Severe
                                                                   Baseline           4-mo Follow-up                                                      Baseline          4-mo Follow-up
                                                                               Time                                                                                  Time
                                                                                                     JAMA, April 14, 1999—Vol 281, No. 14 1307
Goal Maps (visual organized brief
                                                    motivational interview)

   Relational
    Frame
    Kernel          Cigarettes Consumed



 Creates verbal     Alcohol Consumed
relations for the
    behavior


                    Marijuana Consumed
Anger Management?   Effective Alcohol & Drug Treatment?


What works better for reducing domestic violence?
Lifespan example of one kernel
                                                    for prevention, intervention and
                                                                           treatment

Reinforcement
    Kernel




Happens AFTER
 the behavior




                Available from Amazon.com for $45
T6--'->!$#%81!";S0+FQT0P!+0IIF2;G!HQT!0PP!


Kernels lower cost of training, support & change…
!
L.'(-!MC!?N.B1(-!L.'(-!3;!E-25-(!A/)()/$!;32!G-(-*/-9O!659)*./-9!.59!A5)4-27.(!
%2-4-5/)35!

  ?4)9-5*-+D.7-9!             G-(-*/-9!                659)*./-9!               A5)4-27.(!
      E-25-(!             Intervention
                            %2-4-5/)35!               Targeted
                                                      %2-4-5/)35!              Universal
                                                                               %2-4-5/)35!
%2)P-!                  T#86,#!%*,($(*:!          T#86,#!J)(C*#5!          F5J)(&#!#->%>#8!
D3:(QR$7/-2$!           7(C%,,(!()!8)6>!          C#$%&'()!'-!$'>$3)'.Y!   *#%)-'->!(/!X$(*#!
R3/)4./32!              6.#@]O:!@V@:!@VD!         ,$'*8)#-!()!A(67$DD@3    ,*%..!%-8!)#86,#!
U)#'-/(),#5#-7!         F5J)(&#!
                                                  DD!                     8'.)6J7'(-.!(/!X$(*#!
Y#)-#*W!                #->%>#5#-7!'-!                                     ,*%..DDL3DDV!
                        7)#%75#-7!>(%*.@V_:!
                        @VN!

S3.(Q839-!              T#86,#!)#*%J.#!()!        4)#&#-7!0MQ<!6.#!        F-,)#%.#!%,%8#5',!
R.11)5K!U)#*%7'(-%*!    )#,'8'&'.5!)%7#.DD_:!     )%7#.DD_:!DK!           .6,,#..!()!,(>-'7'&#!
/)%5#!Y#)-#*W!          DDN!
                                                  F5J)(&#!%77%'-5#-7!      J)(,#..#.DD3D]!
                        F5J)(&#!)#,(&#)ADDO!      (/!7$#)%J#67',!
                                                  >(%*.DK:!D@!
JB-K.+T!;.//$!.*)9!     M)#%7!8#J)#..'(-:!        4)#&#-7!#5#)>#-,#!       F5J)(&#!,$'*8)#-c.!
7&11(-B-5/./)35!        C()8#)*'-#!%-8Z()!        (/!J.A,$(7',!            ,(>-'7'&#!
UJ$A.'(*(>',%*!         C'J(*%)!8'.()8#)_K!       #J'.(8#.!'-!             J#)/()5%-,#!%-8!
Y#)-#*W!                T#86,#!%67'.5!            J)(8)(5%*!               J)#&#-7!C#$%&'()%*!
                        .A5J7(5._@:!@LD!          %8(*#.,#-7.L_!           8'.()8#).VO:!DV3DN!

%&'()*!137/)5K!         T#86,#!,(556-'7A!         F5J)(&#!J)(C*#5%7',!     T#86,#!'5J6*.'&#!()!
U%-7#,#8#-7!Y#)-#*W!    '**#>%*!C#$%&'().@KK:!    C#$%&'()!'-!             )'.YA!C#$%&'().!'-!
                        @K@:!@DK!                 7$#)%J#67',!             >#-#)%*!
                                                  .#77'->.DO:!DLK!        J(J6*%7'(-DL@3DL!
                       Kernels provide robustness, cost-efficiency and community sustainability across multi-problem behaviors.
                                                              F5J)(&#8!
                                                                           %,%8#5',.DLL3DLV!
                                                                           4)(5(7'->!
                                                                           J%)7','J%7'(-!()!
                                                                           ,(556-'7A!>((8.DL_:!
                                                                           DLN!
Better Health Care
   via Proven Practices
 Used by Broad Workforce
                           =>      Better Health
                                  via Multiple Indicators,
                                 Increased and Decreased
                                                                      =>   Better Fiscals
                                                                             Cost Benefits &
                                                                             Cost Efficiencies


                                                                            Lower
      Better
      Health                                                                 Care
      Promotion                                                             Costs
      Better
      Prevention &                                                          Reduced          Stronger
      Protection                                                           Disparties        Economy
      Better
      Interventions
                                                                           Other
      Better
      Treatments                                                            Cost
      Better                                                               Offsets
      Recovery



      Implementation
                            Monitoring of Immediate and Longer Term          Sustainaibility Policies and
       monitoring &
                                Outcomes with Feedback Loops                   Practices Implemented
         feedback
Create policy &
                                                                                                   funding supports                           TH
    Vaccine                                                                                                                                 cacy,
                                   Identify                                                        (organizational,
    Recipe                                                          List local,                   local and/or state                 Adoption,
                                  Behaviors                                                                                      Implementation, &
                                  Reduced                           state and
                                                                     national                                                      Maintenance
                                                                     policies
                                                                                                   Cultivate some
                                                                    positively
                                                                                                     current or
                                    Identify                       impacted or
     Psychinfo                                                                                    prospective early
                                  Behaviors                            lled by
  www.pubmed.gov
                                                                     recipe                         adopters for
       ERIC                       Increased                                                         testimonials                       Lo Hi
       NTIS

                                                                                             Cite relevant      Evaluation &
 User T                                                          Cite relevant              endorsements          Outcome
       Local          Impacting Values                              studies                  or standards        Monitoring
       State
      National


                                         Population Targeting
                                                                                                                  -A                           -
  Daily, Weekly                                B Developmen
                                          Birth Childhood
                                                            ta      l stages          Low               catchy positive           What the
   or Monthly                                             Adolescence                 Intensity
                                                                        Adulthood
                                                                                      Hi
                                                                                                        name (meme)                  ts are
   Feedback                                                                           reach
                      Multiple
                                        Fa




                                    Sc




                                                                                els
                                           m




                                      ho
                                           ilie




                      Settings            o


                                                                             lev
                                 Or
                                                                                                                 - Where/
                                                 s




                                   ga ls                                                                                              - What
                       A     Co       ni
                                         at                                ach
                                mm
                                    un ns
                                            io                                                               how to get        the costs of use
                                       itie
                                                                        /re
                                             s
                                                                              C                                recipe          are
                                                                      sity



Recognition/Rewards
                                                                    en




for Successs
                                                                 Int




                                                                                                                       - Relational framing
                                                                 High Intensity
                                                                 Low reach


                                                                                                      Support
                                                                                                      & Training                         res
Thinking about and measuring recovery, relapse
and recidivism
           Treatment Strategy #1                                      Treatment Strategy #2
 100                                                      100
                                                                                                                     Do these two
                                    Only 17% of the                                   About 80% of the
                                                                                                                   evidence- based
                                    discharged clients
                                    of program #1 have
                                                                                      discharged clients
                                                                                      of program #2
                                                                                                                    strategies look
 50                                                       50
                                    not relapsed, been
                                    re-arrested, or
                                                                                      “survived” with
                                                                                      no relapse,
                                                                                                                     significantly
                                    re-hospitalized by
                                    48 months.
                                                                                      re-arrested, or
                                                                                      re-hospitalization by
                                                                                                                    different at 20
                                                                                      48 months.                         days?
  0                                                           0

       0        10     20      30          40            50       0       10     20      30          40       50
                      Time in Months                                            Time in Months
Thinking about and measuring recovery, relapse
and recidivism
           Treatment Strategy #1                                      Treatment Strategy #2
 100                                                      100


                                    Only 17% of the                                   About 80% of the
                                    discharged clients                                discharged clients
                                    of program #1 have                                of program #2
 50                                 not relapsed, been    50                          “survived” with
                                    re-arrested, or                                   no relapse,
                                    re-hospitalized by                                re-arrested, or
                                    48 months.                                        re-hospitalization by
                                                                                      48 months.


  0                                                           0

       0        10     20      30          40            50       0       10     20      30          40       50
                      Time in Months                                            Time in Months
Where and how can we spread cost efficient
evidence-based kernels for…
  Home?
  Schools?
  Child-care and youth serving organizations?
  Workplaces?
  Prisons and jails?
  Mental health and substance abuse treatment?
  Doctors, clinics and insurance payers?
  Local, state, and federal policies?
Text
Text




Text
Text




Text
Text
Basic understanding of kernels
Embry, D. D. and A. Biglan (2008). "Evidence-Based Kernels: Fundamental Units of
Behavioral Influence." Clinical Child & Family Psychology Review 11(3): 75-113.




Using kernels for population change
Embry, D. D. (2004). "Community-Based Prevention Using Simple, Low-Cost,
Evidence-Based Kernels and Behavior Vaccines." Journal of Community
Psychology 32(5): 575.




Behavioral vaccines for disease control
Embry, D. D. 2011. Behavioral vaccines and evidence-based kernels: non-pharmaceutical
approaches for the prevention of mental, emotional, and behavioral disorders. Psychiatr Clin
North Am 34 (1):1-34.
We need to and empower every person with tools
and structures to build a positive, productive,
Key “good news” messages from IOM Report…
Key “good news” messages from IOM Report…

 MEB’s are
preventable.
Key “good news” messages from IOM Report…
               Break-even for
 MEB’s are          MEB
preventable.    prevention is
                 1-2 years.
Key “good news” messages from IOM Report…
               Break-even for        MEB
 MEB’s are          MEB           prevention
preventable.    prevention is   balances gov’t
                 1-2 years.        budgets.
Key “good news” messages from IOM Report…
               Break-even for        MEB            MEB
 MEB’s are          MEB           prevention     prevention
preventable.    prevention is   balances gov’t    reduces
                 1-2 years.        budgets.       suffering.
Key “good news” messages from IOM Report…
                 Break-even for        MEB            MEB
 MEB’s are            MEB           prevention     prevention
preventable.      prevention is   balances gov’t    reduces
                   1-2 years.        budgets.       suffering.

Effective MEB
  prevention
 helps save
Health Accord.
Key “good news” messages from IOM Report…
                 Break-even for          MEB            MEB
 MEB’s are            MEB             prevention     prevention
preventable.      prevention is     balances gov’t    reduces
                   1-2 years.          budgets.       suffering.

Effective MEB         MEB
  prevention       prevention
 helps save      national & local
Health Accord.    economies.
Key “good news” messages from IOM Report…
                 Break-even for          MEB            MEB
 MEB’s are            MEB             prevention     prevention
preventable.      prevention is     balances gov’t    reduces
                   1-2 years.          budgets.       suffering.

Effective MEB         MEB
  prevention       prevention       MEB prevention
 helps save      national & local   saves Old Age
                                       Security.
Health Accord.    economies.
Key “good news” messages from IOM Report…
                 Break-even for          MEB            MEB
 MEB’s are            MEB             prevention     prevention
preventable.      prevention is     balances gov’t    reduces
                   1-2 years.          budgets.       suffering.

Effective MEB         MEB                               MEB
  prevention       prevention       MEB prevention   prevention
 helps save      national & local   saves Old Age    heals past
                                       Security.
Health Accord.    economies.                         inequities.
dde@paxis.org
                Dennis D. Embry, Ph.D.
                dde@paxis.org
                520-299-6770

                Business cards available
                for follow up and copies
                of papers & presentations

Cape May New Jersey Presentation on Prevention

  • 1.
    A Different ScientificPerspective About the Causes and Cures of Bullying, and: (ADHD, Obesity, Crime, Substance Abuse and More) Dennis D. Embry, Ph.D.,president/senior scientist, PAXIS Institute Co-investigator, Johns Hopkins Center for Prevention & Early Intervention Scientific advisor, Healthy Child Manitoba, Co-Investigator, School of Medicine, Yale University Cape May, March 22, New Jersey, USA • Copyright 2012, PAXIS Institute. All rights reserved.
  • 2.
  • 4.
    What bricks—heavy objectsof pain, injury, illness, or problems—do you NOT want in your childrens’ suitcases
  • 6.
    Our Own Children’sFuture Rests On Other Children
  • 7.
    Our Own Children’sFuture Rests On Other Children ADHD stealing aggression asthma depression learning disabilities obesity cancer bipolar depression hi-blood pressure heart-disease violence tobacco suicide diabetes alcohol crime drugs dangerous acts
  • 8.
  • 10.
  • 11.
    Thinking about all thechildren, youth and adults you know…
  • 12.
  • 14.
    e nt ion p rev te on vo ica’s er Am
  • 15.
    America speaks… 77%believe prevention will save money 72% say investing in prevention, because it will prevent disease and save lives 57% say they support prevention programs for health and quality-of-life reasons 21% say they support prevention to lower costs
  • 16.
    Hearing the Heartof America… 59% believe the nation needs to put more emphasis on prevention This is a 20% increase over 20 years
  • 17.
    Rationing prevention inAmerica ion pre vent
  • 18.
    Is this the futurewe want for America? See video of the story on prisons costing much more than all state supported universities in Arizona
  • 19.
    What if…crime ordelinquency could be reduced by 50% in a decade?
  • 20.
    What if mentalillnesses from ADHD to Depression to Schizophrenia could be reduced by 50% in a decade?
  • 21.
    What if obesityand related illnesses like asthma or diabetes were reduced by 50% in a decade?
  • 22.
    What if bullyingand suicides could be reduced by 50% in a decade?
  • 23.
    What if tobacco,alcohol, illegal drug & prescription abuse were reduced by 50% in a decade?
  • 24.
    What if childmaltreatment were reduced by 50% in a decade?
  • 25.
    What would happento America over the next decade if all these these problems were reduced by large margins?
  • 26.
    What would happento America over the next decade if all these these problems were reduced by large margins? What good things might happen to America over the next decade if our children, youth and adults were smarter and healthier in body, behavior, mind and spirit?
  • 27.
    What would we,in this room, could we do personally today to help make these things happen?
  • 28.
    How are theseall related to the same causes?
  • 29.
    Obesity Conduct Disorders Homicide & Suicide Early Sex Early Pregnancy Addictions Aggression Asthma Disabilities How are these all related to the same causes?
  • 30.
  • 31.
    What if wethink about these problems from an evolutionary angle…instead from a cage of past ideas?
  • 32.
    Every species hasa Fearsome predator…
  • 33.
  • 34.
    Humans have beenthe principle predator of other humans since the invention of stone tools…
  • 35.
    Friend Foe “Us” “Them” The principal source of safety of humans has been other humans…
  • 36.
    Three evolutionary mechanism fortoday’s mental gymnastics for heartfelt & principled protection of our futures… Evolutionary Mismatches Evolutionary Bottlenecks Epigensis
  • 37.
    Selection by Consequences– A Meta-Theory with a Fractal Pattern A Fractal is a repeated Selection Level Consequences pattern at many levels Selection of Genes Genes Evolution of species Cells Epigensis Bodies Individual Behaviors Wiring of neurons Group Behaviors Human development Organizational Actions Selection of behaviors Language Reproductive behaviors Economies Behavioral economics Species Groups Organization behavior Language /Cultural evolution
  • 38.
    Social Biological Epigenesis Environmental Inputs Genesis Nurturing or Toxic Epigenetics are Environments, These heritable Disease, or polygenes Threats changes in can be gene expression “added”, caused by “subtracted”, M mechanisms g “divided”, or or lin Phosphorlyation ph other than “multiplied.” na og Acetylation Sig en changes in the Methylation sis underlying DNA Histone Remodeling Chromatin Stucture Changes sequence. Development Immunity Stem Cell Changes Imprinting These changes Parent, can pass Three 1st Generation through multiple Generation Baby, 2nd Generation Effects generations. Reproductive Cells, 3rd Generation
  • 40.
    Epigensis permits adaptationwithout risk of mutation, when conditions change.
  • 41.
    Methylation dials upor down expression of genes
  • 42.
    Methylation dials upor down expression of genes
  • 44.
  • 46.
    Daily Movement & Brain Food Physical Activity Deficiency Human Evolutionary Mismatches Ratio/Rate of Sleep Reinforcement for Sufficiency Prosocial Acts
  • 47.
    The America’s FirstPeoples… 26,000 to 12,000 B.E. 1491 AD Disease & War Extermination, OriginalHuman Marginalization, Migrations to & Suppression North America 30,000,000 300,000 ≈ Souls in ≈ Souls North America Residential Schools; Western Diet Evolutionary bottleneck
  • 48.
    The America’s FirstPeoples… 26,000 to 12,000 B.E. 1491 AD Disease & War Extermination, OriginalHuman Marginalization, Migrations to & Suppression North America 30,000,000 300,000 ≈ Souls in ≈ Souls Today North America Residential Schools; Western Diet Evolutionary bottleneck
  • 49.
    Slavery The Great African Americans 1863 Middle … 1500’s to Passage Institution of Slavery Jim Crow Migration North Original Human Populations in Africa Continuing ≈Capture Trauma 30% to Separation, Exposure 50% + violence, to Toxins mortality malnutrition Evolutionary bottleneck
  • 50.
    Slavery The Great African Americans 1863 Middle … 1500’s to Passage Institution of Slavery Jim Crow Migration North Original Human Populations in Africa Continuing ≈Capture Trauma today 30% to Separation, Exposure 50% + violence, to Toxins mortality malnutrition Evolutionary bottleneck
  • 51.
    Example Lasting Effectsof Evolutionary Bottlenecks US Blacks Barbados St. Lucia Jamaica Popular political pundits say: Cameroon (urban) Cameroon (Rural) Nigeria (Rural) “Slavery is over. Jim Crow is 40% Slavery Exposure No Slavery Exposure over. Everybody should be over 30% all this.” Evolution is bigger than pundits, 20% and epigensis is a solution to a 10% past evolutionary problem that might come back. Evolution is 0% Hi Blood Pressure Percentage Source: Scientific American, February, 1999
  • 52.
    Airborne lead levels predicthomicide & delinquency… African Americans have higher lead levels in the same geographic area as other peoples. African Americans absorb lead more readily. Incarcerated African Americans have the highest lead levels. Lead is concentrated in the old industrial North, where African Americans migrated in after WWII.
  • 53.
    Audited Life Pathof a Male Convicted Criminal , “Billy” Age 4 6 8 10 12 14 16 18 20 22 24 26 Birth ADHD ODD A/D A/D A/D A/D A/D A/D A/D DSM IV TS CD SA SA SA SA SA SA SA Labels depression anxiety Self-Rep. Likes Stole Binge Daily Meth & IV Violent TV Cigarettes Drinking Marijuana Other Drugs Use School SD SD LD LD LD SED Dropout Labels Medical Prenatal Unintentional Injuries Sexually Serious Hepatitis C Smoking Ashtma Transmitted Car Crash Notes & Intentional Diseases Gunshot Low Birth Weight Bio Fussy,Irritable Injuries at Fathers Wound Fathers School Markers Mom is 16.5 years old Underactive Child Child Low omega-3 Beh. Inhibition Reduced Prefontal Function Serotonin System Lower Resting Heart Rate Case study Police Mom DV Records Has Abused Assault Calls by Mom's at School Theft Various Drug sales; Armed Felony Assault Robbery from Reclaim- Multiple Live-in Witness Complaints; ing Wyoming Offenses Homicde Truancy Blueprint by Legend Embry and ADHD = Attention Deficit Hyperactivity Disorder SA = Substance Abuse TS = Tourette's Syndrome (tics diagnosed) SD = Speech Delay Rodgers, 2002, ODD A/D = = Oppositional Defiant Disorder Antisocial Personality Disorder LD SED = = Learning Disabilityr Severe Emotional Disorder for Wyoming CD = Conduct Disorder Legislature
  • 54.
    Audited Life Pathof a Male Convicted Criminal , “Billy” When could this path Age 4 6 8 10 12 14 16 18 20 22 24 26 have been altered Birth based on scientific ADHD ODD A/D A/D A/D A/D A/D A/D A/D evidence? DSM IV TS CD SA SA SA SA SA SA SA Labels depression anxiety Self-Rep. Likes Stole Binge Daily Meth & IV Violent TV Cigarettes Drinking Marijuana Other Drugs Use School SD SD LD LD LD SED Dropout Labels Medical Prenatal Unintentional Injuries Sexually Serious Hepatitis C Smoking Ashtma Transmitted Car Crash Notes & Intentional Diseases Gunshot Low Birth Weight Bio Fussy,Irritable Injuries at Fathers Wound Fathers School Markers Mom is 16.5 years old Underactive Child Child Low omega-3 Beh. Inhibition Reduced Prefontal Function Serotonin System Lower Resting Heart Rate Case study Police Mom DV Records Has Abused Assault Calls by Mom's at School Theft Various Drug sales; Armed Felony Assault Robbery from Reclaim- Multiple Live-in Witness Complaints; ing Wyoming Offenses Homicde Truancy Blueprint by Legend Embry and ADHD = Attention Deficit Hyperactivity Disorder SA = Substance Abuse TS = Tourette's Syndrome (tics diagnosed) SD = Speech Delay Rodgers, 2002, ODD A/D = = Oppositional Defiant Disorder Antisocial Personality Disorder LD SED = = Learning Disabilityr Severe Emotional Disorder for Wyoming CD = Conduct Disorder Legislature
  • 55.
    Audited Life Pathof a Male Convicted Criminal , “Billy” When could this path Age 4 6 8 10 12 14 16 18 20 22 24 26 have been altered Birth based on scientific ADHD ODD A/D A/D A/D A/D A/D A/D A/D evidence? DSM IV TS CD SA SA SA SA SA SA SA Labels depression anxiety Self-Rep. Likes Stole Violent TV Cigarettes Binge Drinking Daily Marijuana Meth & IV Other Drugs Use What is the cost of human suffering to School SD SD LD LD LD SED Dropout Labels Medical Notes & Prenatal Unintentional Injuries Smoking Ashtma Sexually Serious Transmitted Car Crash Hepatitis C this family, victims, Intentional and society? Low Birth Weight Diseases Gunshot Bio Fussy,Irritable Injuries at Fathers Wound Fathers School Markers Mom is 16.5 years old Underactive Child Child Low omega-3 Beh. Inhibition Reduced Prefontal Function Serotonin System Lower Resting Heart Rate Case study Police Mom DV Records Has Abused Assault Calls by Mom's at School Theft Various Drug sales; Armed Felony Assault Robbery from Reclaim- Multiple Live-in Witness Complaints; ing Wyoming Offenses Homicde Truancy Blueprint by Legend Embry and ADHD = Attention Deficit Hyperactivity Disorder SA = Substance Abuse TS = Tourette's Syndrome (tics diagnosed) SD = Speech Delay Rodgers, 2002, ODD A/D = = Oppositional Defiant Disorder Antisocial Personality Disorder LD SED = = Learning Disabilityr Severe Emotional Disorder for Wyoming CD = Conduct Disorder Legislature
  • 56.
    Audited Life Pathof a Male Convicted Criminal , “Billy” When could this path Age 4 6 8 10 12 14 16 18 20 22 24 26 have been altered Birth based on scientific ADHD ODD A/D A/D A/D A/D A/D A/D A/D evidence? DSM IV TS CD SA SA SA SA SA SA SA Labels depression anxiety Self-Rep. Likes Stole Violent TV Cigarettes Binge Drinking Daily Marijuana Meth & IV Other Drugs Use What is the cost of human suffering to School SD SD LD LD LD SED Dropout Labels Medical Notes & Prenatal Unintentional Injuries Smoking Ashtma Sexually Serious Transmitted Car Crash Hepatitis C this family, victims, Intentional and society? Low Birth Weight Diseases Gunshot Bio Fussy,Irritable Injuries at Fathers Wound Fathers School Markers Mom is 16.5 years old Underactive Child Child Low omega-3 Beh. Inhibition Reduced Prefontal Function Serotonin System Lower Resting Heart Rate Case study Police Mom DV Abused Assault Various Drug sales; Armed from Reclaim- What are the costs of Records Has Calls by Mom's at School Theft Felony Assault Robbery Multiple Live-in Witness Complaints; ing Wyoming Offenses Homicde Truancy Blueprint by ADHD = Legend Attention Deficit Hyperactivity Disorder SA = Substance Abuse Embry and evidence-based TS ODD = = Tourette's Syndrome (tics diagnosed) Oppositional Defiant Disorder SD LD = = Speech Delay Learning Disabilityr Rodgers, 2002, for Wyoming practices to avert? A/D = Antisocial Personality Disorder SED = Severe Emotional Disorder CD = Conduct Disorder Legislature
  • 57.
    If modern societyis to flourish for all, we must alter the predator-prey relationships between human groups. This means fewer humans as prey, This means fewer humans as predators; This means more humans as cooperators.
  • 58.
    Whether the talon,claw or weapon carries human rank or authority matters not to the blind engine of evolution when trying to suppress one group of humans in favor of another. Life finds a way.
  • 59.
  • 60.
    Redness, rubor, aresponse of body tissues to injury or irritation; characterized by pain and swelling and redness and heat. Excitation, excitement, fervor, fervour the state of being emotionally aroused and worked up Inflaming arousal to violent emotion Firing, ignition, kindling, lighting Hypothesis: Evolutionary “inflammatory” processes
  • 61.
    Human Infectious/Biological Threats Human Predatory Threats Evolutionary Adaptive Responses Evolutionary Adaptive Responses (Simplified) Neuro-Hormones (Simplified) Mood Modulators Reward Threat Attributional Delay Intra-Group Generalized Localized Modulators Affiliation Bias (Inflammatory) Inflammatory Inflammatory (Anti-Inflammatory) Out-Group Response Response Stress Aggress. (Inflammatory) Modulators Intra-Group Cooperation Tit-for-Tat Beh. Bias Anti-Inflammatory Regulators Puberty/Sex (Anti-Inflammatory) Modulators (Inflammatory)
  • 62.
    Evolutionary Path ofa Child’s Life
  • 63.
    K R Path Path Evolutionary Path of a Child’s Life Probability of short-life and Probability of long-life and doubtful reproductive success reproductive success
  • 64.
    Multi-Inflammatory Brain &Body Response Major Connected Ecologic Causes of the Adverse Trends Predicting MEBs & Related Illnesses Reinforcement Antecedents Physiological Verbal Relations more for anti-social cue anti-social influences trigger occasion perceived than prosocial acts and threats adverse biological threats and related behaviors mechanisms reactions
  • 65.
    Mood Lo Reward Lo Executive Lo Behavioral Inattention Delay Function Instability Competencies Poor Immune- Motor Healing Skills Multi-Inflammatory Brain & Body Response Dysfunction Major Connected Ecologic Causes of the Adverse Trends Predicting MEBs & Related Illnesses Reinforcement Antecedents Physiological Verbal Relations more for anti-social cue anti-social influences trigger occasion perceived than prosocial acts and threats adverse biological threats and related behaviors mechanisms reactions
  • 66.
    Substance Work Obesity, Early Mental Illness Violence Cancer School Abuse Problems etc Sex Failure Mood Lo Reward Lo Executive Lo Behavioral Inattention Delay Function Instability Competencies Poor Immune- STD’s Motor Healing Special Skills Multi-Inflammatory Brain & Body Response Dysfunction Ed Major Connected Ecologic Causes of the Adverse Trends Predicting MEBs & Related Illnesses Reinforcement Antecedents Physiological Verbal Relations more for anti-social cue anti-social influences trigger occasion perceived than prosocial acts and threats adverse biological threats and related behaviors mechanisms reactions
  • 67.
    Obesity Conduct Disorders Homicide & Suicide Early Sex Early Pregnancy Addictions Aggression Asthma Disabilities R PATH = risky adolescence, predator and prey
  • 68.
    The metaphor ofstopping a past epidemic…
  • 69.
    Epidemiological survey ofmental, emotional, and behavioral disorders…an epidemic?
  • 70.
    Depression Onset ByBirth Cohort
  • 71.
    Depression Onset ByBirth Cohort Born Now?
  • 72.
    Lifetime Prevalence ofDisorders in US Adolescents (N=10,123) 35% 30% 25% 20% 15% 10% 5% Merikangas et al., 2010 0% 4 5 6 7 8 9 10 11 12 13 14 15 16 17 18 Age in Years
  • 73.
    Lifetime Prevalence ofDisorders in US Adolescents (N=10,123) 35% Anxiety 30% 25% 20% 15% 10% 5% Merikangas et al., 2010 0% 4 5 6 7 8 9 10 11 12 13 14 15 16 17 18 Age in Years
  • 74.
    Lifetime Prevalence ofDisorders in US Adolescents (N=10,123) 35% Anxiety 30% 25% Behavior 20% 15% 10% 5% Merikangas et al., 2010 0% 4 5 6 7 8 9 10 11 12 13 14 15 16 17 18 Age in Years
  • 75.
    Lifetime Prevalence ofDisorders in US Adolescents (N=10,123) 35% Anxiety 30% 25% Behavior 20% Mood 15% 10% 5% Merikangas et al., 2010 0% 4 5 6 7 8 9 10 11 12 13 14 15 16 17 18 Age in Years
  • 76.
    Lifetime Prevalence ofDisorders in US Adolescents (N=10,123) 35% Anxiety 30% 25% Substance Behavior 20% Mood 15% 10% 5% Merikangas et al., 2010 0% 4 5 6 7 8 9 10 11 12 13 14 15 16 17 18 Age in Years
  • 77.
    Nearly 3 outof 4 of United States 17- to 24-year-olds are ineligible for military service for based on national epidemiological data (not service entrance exams) Medical/physical problems, 35 percent. Illegal drug use, 18 percent. Mental Category V (the lowest 10 percent of the population), 9 percent. Too many dependents under age 18, 6 percent. Criminal record, 5 percent. Army Times, Nov 5, 2009 • www.missionreadiness.org/PAEE0609.pd
  • 78.
    Cumulative prevalence ofpsychiatric disorders by young adulthood: a prospective cohort analysis from the Great Smoky Mountains Study. By 21 years of age, 61.1% of participants had met criteria for a well-specified psychiatric disorder. An additional 21.4% had met criteria for a not otherwise specified disorder only, increasing the total cumulative prevalence for any disorder to 82.5%.
  • 79.
    The US has75 million children and teens. 40.4 million are on psychotropic medications Wall Street Journal, 12-28-2010
  • 80.
    Participant brain buzz… a)What does these trends mean for the future? b) What must change to fix these trends?
  • 81.
    Evolutionary Mismatches Evolutionary Consequences Change in Increased Genes Cancer Rise in Increased Obesity Autism Rates Rise in Rise in ATOD Addictions Increased Depression Aggression Rates Rates Schizo. New cultural trends predict new challenges and risks
  • 82.
    Evolutionary Mismatches Evolutionary Consequences Change in Increased Genes Cancer Lower Rates Rise in Increased of Positive Obesity Reinforcement Autism Rates Rise in Rise in ATOD Addictions Increased Depression Aggression Rates Rates Schizo. New cultural trends predict new challenges and risks
  • 83.
    Evolutionary Mismatches Evolutionary Consequences Fear of Reduced Violence & Outdoor Vitamin D Change in Increased Deficiency Genes Crime Activities Cancer Increased Lower Rates Rise in Increased Electronic of Positive Obesity Media Use Reinforcement Autism Rates Rise in Rise in ATOD Omega 3 Addictions Increased Fatty Acid Depression Aggression Deficiency Rates Rates Schizo. New cultural trends predict new challenges and risks
  • 84.
  • 85.
    Apparent consumption oflinoleic acid (% of dietary energy) among Australia, Canada, UK and USA for the years 1961–2000 10 Australia Canada UK USA Apparent consumption of linoleic acid 9 8 7 (% energy) 6 5 4 3 2 1 0 1960 1965 1970 1975 1980 1985 1990 1995 2000 Evolution Neonates Breast Milk “Risky” Beh. In the Rife Valley, the Successful human American infants have Almost all adolescent human brain neonates born with been getting steadily risky behaviors have evolution the result of 60-day supply of less omega-3 (n3) and now been documented eating fish high in omega-3 in more pro-inflammatory to be related to low n3 omega-3 not subcutaneous fat omega-6 (n6) in breast and high n6 in US diet savannah animals from mother’s diet milk change in last 50 years See Broadhurst, Cunnane, & See HIbbeln et al. (2007).Maternal See Ailhaud et al. (2006).Temporal Crawford (1998). Rift Valley lake seafood consumption in pregnancy changes in dietary fats: Role of n6 fish and shellfish provided brain- and neurodevelopmental outcomes in polyunsaturated fatty acids in Hibbeln et al. (2006). Healthy intakes specific nutrition for childhood (ALSPAC study): an excessive adipose tissue of n-3 and n-6 fatty acids: estimations early Homo observational cohort study development and relationship to considering worldwide diversity. obesity Physiological Adaptation
  • 86.
    Out of Africamigration Stringer, C. Nature 2000; 405: 24-26
  • 87.
    Essential Fats: Metabolismand Dietary Sources
  • 88.
    Essential Fats: Metabolismand Dietary Sources Omega-3 O C- OH 20:5n-3,eicosapentaenoic acid, EPA Seafood Breast milk (DHA) O C- OH 22:6n-3, docosahexaenoic acid, DHA (brain, retina, testis)
  • 89.
    Essential Fats: Metabolismand Dietary Sources Omega-3 O C- OH 18:3n-3 alfa-linolenic acid, ALA Flax ~ Canola Leaf plants FADS 1-2 O C- OH 20:5n-3,eicosapentaenoic acid, EPA Seafood Breast milk (DHA) O C- OH 22:6n-3, docosahexaenoic acid, DHA (brain, retina, testis)
  • 90.
    Essential Fats: Metabolismand Dietary Sources Omega-6 Omega-3 O O C- OH C- OH 18:2n-6 linoleic acid, 18:3n-3 alfa-linolenic acid, LA - Competition - ALA Flax Soy bean oil ~ Canola Safflower oil Leaf plants FADS 1-2 Corn oil O O C- OH C- OH 20:4n-6, arachidonic acid 20:5n-3,eicosapentaenoic acid, AA EPA Seafood Breast milk Meat, (DHA) Organs O O C- OH C- OH 22:6n-3, docosahexaenoic acid, 22:5n-6 DPA n-6 DHA (brain, retina, testis)
  • 91.
    Essential Fats: Metabolismand Dietary Sources Omega-6 Omega-3 O O C- OH C- OH 18:2n-6 linoleic acid, 18:3n-3 alfa-linolenic acid, LA - Competition - ALA Flax Soy bean oil ~ Canola Safflower oil Leaf plants FADS 1-2 Corn oil O O C- OH C- OH 20:4n-6, arachidonic acid 20:5n-3,eicosapentaenoic acid, AA EPA Seafood Breast milk Meat, (DHA) Organs O Series 2 Series 3 O Prostaglandins Prostaglandins C- OH Thromboxanes Thromboxanes C- OH Series 4 Series 5 Leukotrienes Leukotrienes 22:6n-3, docosahexaenoic acid, 22:5n-6 DPA n-6 DHA immune - metabolic - developmental (brain, retina, testis) responses
  • 92.
    DHA dietary deficiencyimpairs synapse development Adequate Deficient Hippocampal DHA 6.6 ± 0.7% 0.5 ± 0.1% Fatty Acids DPAn-6 0.4 ± 0.1% 4.7 ± 0.1% Cao et al. J. Neurochem. 2009
  • 93.
    DHA dietary deficiencyimpairs synapse development Adequate Deficient Hippocampal DHA 6.6 ± 0.7% 0.5 ± 0.1% Fatty Acids DPAn-6 0.4 ± 0.1% 4.7 ± 0.1% Synapes in Hippocampal Neurons 30 µm Mother mice fed adequate of deficient diets, embryo neurons harvested day 18 Cao et al. J. Neurochem. 2009
  • 94.
    Low maternal omega-3consumption from seafood and suboptimal verbal IQ among their children 34 32 30 28 - UK , 8y 26 III r = 0.97 Percentage of children with 24 r2 = 0.95 F=27.2 p<0.02. low verbal IQ, WISC 22 20 18 16 14 0 0.05 0.10 0.15 0.20 0.25 0.30 0.35 0.40 0.45 0.50 0.55 0.60 - Estimated omega 3 fatty acids from seafood (en %) Mother at 32 wk gestation Hibbeln et al, Lancet 2007: 369: 578-585
  • 95.
    Oilseeds in theUS Food Supply in the 20th Century 12 10 Soybean 8 Cottonseed Corn 6 Olive Coconut 4 Disappearance (kg/person/y) 2 0 Canola 0.9 0.8 Peanut 0.7 Palm/Palm 0.6 Kernel 0.5 0.4 Safflower 0.3 0.2 Sunflower 0.1 Sesame 1989 1999 1969 1979 1949 1959 1929 1939 1909 1919 Year
  • 96.
    3500 All Cause Mortality (M) Stroke Mortality (M) CVD Mortality (M) 400 1400 3000 350 1200 300 2500 1000 250 2000 800 200 Total mortality (M) /100,000 Total mortality (M) /100,000 1500 Total mortality (M) /100,000 600 150 1000 400 100 Japan Japan 500 Japan Iceland 50 200 Iceland Iceland 0 0 0 0 0.05 0.10 0.15 0.20 0.25 0.30 0.35 0.40 0.45 0.50 0 0.05 0.10 0.15 0.20 0.25 0.30 0.35 0.40 0.45 0.50 0 0.05 0.10 0.15 0.20 0.25 0.30 0.35 0.40 0.45 0.50 n-3 LCFA from commodities (en%) n-3 LCFA from commodities (en%) n-3 LCFA from commodities (en%) 1200 All Cause Mortality (F) Stroke Mortality (F) CVD Mortality (F) 250 700 1000 600 200 800 500 150 400 600 Total Mortality (F)/100,000 Total mortality (F) /100,000 300 Total mortality (F) /100,000 100 400 Japan 200 Iceland 50 200 Japan 100 Japan Iceland Iceland 0 0 0 0 0.05 0.10 0.15 0.20 0.25 0.30 0.35 0.40 0.45 0.50 0 0.05 0.10 0.15 0.20 0.25 0.30 0.35 0.40 0.45 0.50 0 0.05 0.10 0.15 0.20 0.25 0.30 0.35 0.40 0.45 0.50 n-3 LCFA from commodities (en%) n-3 LCFA from commodities (en%) n-3 LCFA from commodities (en%) Hibbeln et al Am J Clin Nutr 2006; 83; 1483S-93S
  • 97.
    800 CHD Mortality (M) 300 CHD Mortality (F) Homicide Mortality 12 700 250 10 600 200 8 500 Total mortality (M) /100,000 400 150 Total mortality /100,000 6 Total mortality (M) /100,000 300 100 4 200 Iceland 50 2 Japan 100 Iceland Iceland Japan Japan 0 0 0 0 0.05 0.10 0.15 0.20 0.25 0.30 0.35 0.40 0.45 0.50 0 0.05 0.10 0.15 0.20 0.25 0.30 0.35 0.40 0.45 0.50 0 0.05 0.10 0.15 0.20 0.25 0.30 0.35 0.40 0.45 0.50 n-3 LCFA from commodities (en%) n-3 LCFA from commodities (en%) n-3 LCFA from commodities (en%) Postpartum Depression 30 Major Depression Bipolar Disorder 7 12 25 6 10 5 20 8 4 Lifetime prevalence (%) 15 6 Annual prevalence (%) Point prevalence (%) 3 10 4 2 Iceland 5 2 1 Japan Japan Japan Iceland 0 0 0 0 0.05 0.10 0.15 0.20 0.25 0.30 0.35 0.40 0.45 0.50 0 0.05 0.10 0.15 0.20 0.25 0.30 0.35 0.40 0 0.05 0.10 0.15 0.20 0.25 0.30 0.35 0.40 0.45 0.50 n-3 LCFA from commodities (en%) n-3 LCFA from commodities (en%) n-3 LCFA from commodities (en%) Hibbeln et al Am J Clin Nutr 2006; 83; 1483S-93S
  • 99.
    Increasing Mismatch CausesHomicides Homicide Rate 10 8 6 4 United 2000 Kingdom 2 1961 0 0 2 4 6 8 10 Lo Hi Omega 3 Deficiency
  • 100.
    Increasing Mismatch CausesHomicides Homicide Rate 10 8 6 4 United 2000 2000 1961 Kingdom Canada 2 1961 0 0 2 4 6 8 10 Lo Hi Omega 3 Deficiency
  • 101.
    Increasing Mismatch CausesHomicides Homicide Rate 10 8 6 4 United 2000 2000 1961 Kingdom Canada 2 2000 1961 1961 Australia 0 0 2 4 6 8 10 Lo Hi Omega 3 Deficiency
  • 102.
    Increasing Mismatch CausesHomicides Homicide Rate 10 8 6 1988 4 1961 Argentina United 2000 2000 1961 Kingdom Canada 2 2000 1961 1961 Australia 0 0 2 4 6 8 10 Lo Hi Omega 3 Deficiency
  • 103.
    Increasing Mismatch CausesHomicides Homicide Rate 1985 10 United 8 States 6 1988 1999 1961 4 1961 Argentina United 2000 2000 1961 Kingdom Canada 2 2000 1961 1961 Australia 0 0 2 4 6 8 10 Lo Hi Omega 3 Deficiency
  • 105.
    An ancient inukshukpoints the way Brief Report 30% Percentage with Psychosis at 12 months Omega-3 Fatty Acid Treatment of Women Physiological 27.5% With Borderline Personality Disorder: Kernel A Double-Blind, Placebo-Controlled Pilot Study 24% Mary C. Zanarini, Ed.D. Results: Twenty subjects were randomly assigned to 1 g of E- Frances R. Frankenburg, M.D. EPA; 10 subjects were given placebo. Ninety percent of those in both groups completed all 8 weeks of the trial. Analyses that Objective: The purpose of this study was to compare the effi- used random-effects regression modeling and controlled for cacy of ethyl-eicosapentaenoic acid (E-EPA) and placebo in the baseline severity showed E-EPA to be superior to placebo in treatment of female subjects with borderline personality disorder. Method: The authors conducted an 8-week, placebo-con- diminishing aggression as well as the severity of depressive symptoms. 18% trolled, double-blind study of E-EPA in 30 female subjects meet- Conclusions: The results of this study suggest that E-EPA may ing Revised Diagnostic Interview for Borderlines and DSM-IV cri- be a safe and effective form of monotherapy for women with teria for borderline personality disorder. moderately severe borderline personality disorder. Changes (Am J Psychiatry 2003; 160:167–169) 12% biochemistry of B orderline personality disorder is marked by notable reactivity of mood and impulsive aggression. Because re- week, were actively abusing alcohol or drugs, or were acutely sui- cidal. behavior sponse to antidepressants and mood stabilizers has typi- cally been clinically modest in this patient group (1), the Subjects were next invited to participate in face-to-face inter- views. At that time, the study procedures were fully explained, and written informed consent was obtained. Two semistructured 6% identification of novel treatments is needed. Candidates diagnostic interviews were then administered to each subject: the 4.9% include omega-3 fatty acids, such as eicosapentaenoic Structured Clinical Interview for DSM-IV Axis I Disorders (6) and acid and docosahexaenoic acid, which are commonly the Revised Diagnostic Interview for Borderlines (DIB-R) (7). Two observer-rated scales were also administered: the Modified Overt found in seafood and have beneficial effects and none of Aggression Scale (8) and the Montgomery-Åsberg Depression the adverse side effects commonly associated with phar- Rating Scale (9). macotherapy. In cross-national studies, greater seafood consumption was associated with lower rates of bipolar Subjects were included if they met both DIB-R and DSM-IV cri- teria for borderline personality disorder. They were excluded if 0% disorder (30-fold range) and major depression (50-fold range) (2). In placebo-controlled trials, a mixture of these they met current or lifetime criteria for schizophrenia, schizoaf- fective disorder, or bipolar I or bipolar II disorder or were cur- Omega-3 Placeo rently in the midst of a major depressive episode. fatty acids was found to be an effective adjunctive agent for patients suffering from bipolar disorder (3), and ethyl- Study duration was 8 weeks. Subjects were seen every week for the first month and then biweekly for the next month. Both psy- Psychosis eicosapentaenoic acid (E-EPA) was found to have a bene- chiatric rating scales were readministered at each subsequent visit. Side effects were also assessed at these visits with a struc- ficial adjunctive effect for patients suffering from recur- tured questionnaire. rent depression (4). Because of the shared symptoms of Subjects received two capsules per day (beginning the day after Source: Am. Journal of Psychiatry Source: Archives of General Psychiatry borderline personality disorder and these mood disorders, their baseline assessment); each capsule contained either 500 mg a double-blind, placebo-controlled trial of E-EPA seemed of 97% E-EPA or a placebo (mineral oil). One gram was chosen as warranted. the dose most likely to be effective on the basis of unpublished studies in depression (David Horrobin, personal communication, Feb. 1, 2001). Capsules were supplied by Laxdale Pharmaceuticals Method (Stirling, U.K.).
  • 106.
    Reduced Felony ViolentOffenses Among Prisoners with recommended daily amounts of vitamins, minerals and essential fatty acids Ratio of Disciplinary Incidents Supplementation/Baseline 1.00 Active -37.0% Placebo -10.1% 0.75 p ‹ 0.005 p = ns 0.50 Active 0.25 Placebo 0 Before supplementation During supplementation UK maximum security prison - 338 offences among 172 prisoners over 9 months treatment in a compared to 9 months baseline. Gesch et al. Br J Psychiatry 2002, 181:22-28
  • 107.
    Why not reproducethe rapid results in throughout Canada to get a 37% reduction in jail violence? It cost the Brits 19¢ per day or $69.35 per year.
  • 108.
    Before Omega 3 Omega-3 can improve school grades and success Omega 3 Placebo 7 These were gains in 6 After Omega 3 academics after 3 5 months of exposure 4 to fish oil. 3 2 1 0 -1 -2 Reading Spelling See www.durhamtrial.org/
  • 109.
    What can badbrain foods do to our teens? Double their chances of serious depression… Good Bad Odds Odds Eat Fish 2x per wk Eat Fish Rarely Eat No Seed Oil Eat Seed Oils
  • 110.
    What can badbrain foods do to our teens? Double their chances of serious depression… Odds -0.75 0 0.75 1.50 2.25 3.00 Good Bad Odds Odds Eat Fish 2x per wk Eat Fish Rarely Eat No Seed Oil Eat Seed Oils
  • 111.
    Increased academic and learning problems 40% 30% Percentage of 8-year olds with Poor IQ 20% 10% 0% Low Omega 3 Hi Omega 3
  • 112.
    Omega-3 Status andUS Military Suicide Deaths Suicide Deaths of Active-Duty US Military and Omega-3 Fatty-Acid Status: A Case-Control Comparison Michael D. Lewis, MD; Joseph R. Hibbeln, MD; Jeremiah E. Johnson, RD; Yu Hong Lin, PhD; Duk Y. Hyun, BS; and James D. Loewke, BS ABSTRACT Background: The recent escalation of US military S uicide rates among active-duty US military have increased to re- cord numbers, doubling since the inception of Operation Enduring Freedom (Afghanistan) and Operation Iraqi Freedom and rivaling the suicide deaths to record numbers has been battlefield in toll on the US military.1 Army Vice–Chief of Staff General a sentinel for impaired force efficacy and has Peter W. Chiarelli described the record suicide rate as “horrible” and accelerated the search for reversible risk factors. voiced frustration that “the Army has not yet been able to identify any Objective: To determine whether deficiencies causal links among the suicide cases.”2(pA2) of neuroactive, highly unsaturated omega-3 Deficiencies of nutrients critical for brain function may be a signifi- essential fatty acids (n-3 HUFAs), in particular docosahexaenoic acid (DHA), are associated with cant contributing risk factor for psychiatric pathology, especially suicide increased risk of suicide death among a large and stress-related psychiatric symptoms.3 Highly unsaturated omega-3 random sample of active-duty US military. essential fatty acids (n-3 HUFAs), in particular docosahexaenoic acid Method: In this retrospective case-control (DHA), are selectively concentrated in neural tissues and are required study, serum fatty acids were quantified as for optimal neural function.4 These fatty acids cannot be made de novo a percentage of total fatty acids among US but are available only from dietary sources, with seafood being the richest military suicide deaths (n = 800) and controls source. Nutritional deficiencies in n-3 HUFAs may increase vulnerabil- (n = 800) matched for age, date of collection of sera, sex, rank, and year of incident. Participants ity to combat deployment stress, manifesting as psychiatric symptoms were active-duty US military personnel including adjustment disorders, major depression, impulsive violence, (2002–2008). For cases, age at death ranged and suicide.5 In civilian populations, observational studies indicate that from 17–59 years (mean = 27.3 years, SD = 7.3 low fish consumption is associated with increased risk of completed sui- years). Outcome measures included death by cides6,7 and greater suicidal ideation.8 Low DHA status was associated suicide, postdeployment health assessment questionnaire (Department of Defense Form with increased risk of past suicide attempts9 and future suicide attempts.10 2796), and ICD-9 mental health diagnosis data. In comparison to placebo, 2 grams per day of n-3 HUFA reduced suicidal Results: Risk of suicide death was 14% higher per thinking and depressive symptoms and reduced the perception of stress SD of lower DHA percentage (OR = 1.14; 95% CI, among subjects (n = 49) with deliberate self-harm.11 1.02–1.27; P < .03) in adjusted logistic regressions. These findings suggest that low DHA levels may be a contributing Among men, risk of suicide death was 62% factor for adverse psychiatric symptoms. In this study, we posited that greater with low serum DHA status (adjusted low DHA status would be associated with increased risk of suicide death OR = 1.62; 95% CI, 1.12–2.34; P < .01, comparing DHA below 1.75% [n = 1,389] to DHA of 1.75% among military personnel. Prospectively collected serum and supporting and above [n = 141]). Risk of suicide death was data were available from the Armed Forces Health Surveillance Center 52% greater in those who reported having seen (AFHSC) for a large number of active-duty suicide deaths (n = 800) and
  • 113.
    Matsuoka BioPsychoSocial Medicine2011, 5:3 http://www.bpsmedicine.com/content/5/1/3 REVIEW Open Access Clearance of fear memory from the hippocampus through neurogenesis by omega-3 fatty acids: a novel preventive strategy for posttraumatic stress disorder? Yutaka Matsuoka1,2 Abstract Not only has accidental injury been shown to account for a significant health burden on all populations, regardless of age, sex and geographic region, but patients with accidental injury frequently present with the psychiatric condition of posttraumatic stress disorder (PTSD). Prevention of accident-related PTSD thus represents a potentially Clearance of fear memory from the hippocampus important goal. Physicians in the field of psychosomatic medicine and critical care medicine have the opportunity through neurogenesis by omega-3 fatty acids: a novel to see injured patients in the immediate aftermath of an accident. This article first briefly reviews the prevalence preventive strategy for posttraumatic stress disorder? and associated factors of accident-related PTSD, then focuses on a conceptual model of fear memory and Matsuoka proposes a new, rationally hypothesized translational preventive intervention for PTSD through promoting hippocampal neurogenesis by omega-3 fatty acid supplementation. The results of an open-label pilot trial of Matsuoka BioPsychoSocial Medicine 2011, 5:3 http://www.bpsmedicine.com/content/5/1/3 (8 February 2011) injured patients admitted to the intensive care unit suggest that omega-3 fatty acid supplementation immediately after accidental injury can reduce subsequent PTSD symptoms. Omega-3 for PTSD symptoms could be used routinely for the patients exposed to trauma
  • 114.
    Schizophrenia Bulletin vol.35 no. 3 pp. 582–595, 2009 doi:10.1093/schbul/sbp023 Advance Access publication on April 8, 2009 Hedelin et al. BMC Psychiatry 2010, 10:38 http://www.biomedcentral.com/1471-244X/10/38 Schizophrenia Bulletin Advance Access published September 10, 2010 Relation of Schizophrenia Prevalence to Latitude, Climate, Fish Consumption, Infant Schizophrenia Bulletin doi:10.1093/schbul/sbq101 Mortality, and Skin Color: A Role for Prenatal Vitamin D Deficiency and Infections? RESEARCH ARTICLE Open Access ENVIRONMENT AND SCHIZOPHRENIA Dietary intake of fish, omega-3, omega-6 Research article Developmental Vitamin D Deficiency and Risk of Schizophrenia: A 10-Year Update polyunsaturated fatty acids and vitamin D and the Dennis K. Kinney1–3, Pamela Teixeira2, Diane Hsu2, Siena derlie variations in schizophrenia prevalence deserves high prevalence of psychotic-like symptoms in a cohort C. Napoleon2,4, David J. Crowley2, Andrea Miller2, priority. William Hyman2, and Emerald Huang2 of 33 000 women from the general population x John J. McGrath*,1,2,3, Thomas H. Burne1,2, Francois Feron4, Allan Mackay-Sim5, and Darryl W. Eyles1,2 ´ 2 Key words: epidemiology/etiology/immune function/ 1 Queensland Center for Mental Health Research, The Park Center for Mental Health, Wacol, Queensland 4076, Australia; 2Queensland Genetics Laboratory, McLean Hospital, Belmont, MA; 3De- Maria Hedelin*1,2, Marie Löf3, Marita Olsson3,4, Tommy Lewander1, Björn Nilsson1, Christina M Hultman1,3 and Brain Institute, University of Queensland, St Lucia, Queensland 4076 Australia; 3Department of Psychiatry, University of Queensland, St partment of Psychiatry, Harvard Medical School, Boston, MA; prenatal/geography/risk factor Lucia, Queensland 4076 Australia; 4Neurobiologie des Interactions Cellulaires et Neurophysiopathologie (CNRS UMR 6184), Universite de ´ Downloaded from http://schizophreniabulletin.oxfordjournals.org/ by guest on February 10, 2012 Elisabete Weiderpass2,3,5 ´ ´ ´ ´ ´ ´ la Mediterranee (Aix-Marseille II), Faculte de Medecine Nord, Institut Federatif de Recherche Jean Roche (IFR11), Marseille, France; 4 Wellesley College, Wellesley, MA 5 National Center for Adult Stem Cell Research, Eskitis Institute for Cell and Molecular Therapies, Griffith University, Brisbane, Queensland Downloaded from schizophreniabulletin.oxfordjournals.org at UQ Library on September 19, 2010 4111, Australia *To whom correspondence should be addressed; tel: þ61-7-3346-6372, fax: þ61-7-3271-8698, e-mail: john_mcgrath@qcmhr.uq.edu.au Abstract Previous surveys found a large (>10-fold) variation in Introduction Background: Low intake of fish, polyunsaturated fatty acids (PUFA) and vitamin D deficiency has been suggested to play a role in the development of schizophrenia. Our aim was to evaluate the association between the intake of schizophrenia prevalence at different geographic sites Schizophrenia is an unusually burdensome disorder be- different fish species, PUFA and vitamin D and the prevalence of psychotic-like symptoms in a population-based study There is an urgent need to generate and test candidate risk dations for future research. Key features of the evidence factors that may explain gradients in the incidence of are summarized in table 1. and a tendency for prevalence to increase with latitude. cause of the great economic costs of extensive care and among Swedish women. Methods: Dietary intake was estimated using a food frequency questionnaire among 33 623 women aged 30-49 years schizophrenia. Based on clues from epidemiology, we pro- We conducted meta-analyses of prevalence studies to inves- loss of economic productivity, as well as the personal suf- at enrolment (1991/92). Information on psychotic-like symptoms was derived from a follow-up questionnaire in the posed that developmental vitamin D deficiency may con- tigate whether these findings pointed to underlying etiologic years 2002/03. Participants were classified into three predefined levels: low, middle and high frequency of symptoms. tribute to the risk of developing schizophrenia. This Vitamin D—The Basics fering and stigma, which often affect a patient and his or The association between diet and psychotic-like symptoms was summarized in terms of relative risks (RR) and hypothesis may explain diverse epidemiological findings in- factors in schizophrenia or were the result of methodolog- her family for most of the patient’s life. Moreover, for Ultra Violet B (UVB) radiation on the epidermis converts corresponding 95% confidence intervals and was evaluated by energy-adjusted multinomial logistic regression. cluding season of birth, the latitude gradients in incidence a cholesterol metabolite to vitamin D3 (cholecalciferol; ical artifacts or the confounding of sites’ latitude with level most patients there is still no cure or even an effective Results: 18 411 women were classified as having a low level of psychotic-like symptoms, 14 395 as middle and 817 as and prevalence, the increased risk in dark-skinned migrants to certain countries, and the urban-rural gradient. Animal a preprohormone). This is subsequently hydroxylated of healthcare at those sites. We found that these patterns way of treating many of the most disabling, ‘‘negative’’ having a high level. The risk of high level symptoms was 53% (95% CI, 30-69%) lower among women who ate fish 3-4 to 25-hydroxyvitamin D3 (25OHD), a prehormone com- times per week compared to women who never ate fish. The risk was also lower for women with a high intake of experiments demonstrate that transient prenatal hypovita- monly used to measure vitamin D status. A second hy- were still present after controlling for an index of health- symptoms of the disorder. Therefore, a key goal of schizo- omega-3 and omega-6 PUFA compared to women with a lower intake of these fatty acids. The effect was most minosis D is associated with persisting changes in brain structure and function, including convergent evidence of al- droxylation of this molecule converts 25OHD to the care—infant mortality—and focusing on 49 studies that phrenia research is elucidation of etiologic factors, partic- pronounced for omega-6 PUFAs. The RR comparing the highest to the lowest quartile of omega-6 PUFAs intake was tered dopaminergic function. A recent case-control study active secosteroid hormone 1,25-dihydroxyvitamin D3 used similar diagnostic and ascertainment methods. The 0.78 (95% CI, 0.64-0.97). The associations were J-shaped with the strongest reduced risk for an intermediate intake of ularly environmental ones that could be readily avoided based on neonatal blood samples identified a significant as- (1,25OHD). This hormone binds the vitamin D receptor fish or PUFA. For fatty fish (herring/mackerel, salmon-type fish), the strongest inverse association was found for an tendencies for schizophrenia prevalence to increase with (VDR), a member of the nuclear receptor superfamily. and used in effective, inexpensive, and ethically sound pri- intermediate intake (RR: 0.81, 95% CI, 0.66-0.98), whereas a high intake of fatty fish was associated with an increased risk sociation between neonatal vitamin D status and risk of of psychotic-like symptoms (RR: 1.90, 95% CI, 1.34-2.70). Women in the highest compared with the lowest quartile of schizophrenia. This article provides a concise summary In concert with a range of binding partners and coactiva- both latitude and colder climate were still large and signif- mary prevention programs. vitamin D consumption experienced a 37% (95% CI, 22-50%) lower risk of psychotic-like symptoms. tors (including the retinoid X receptor), this phylo- of the epidemiological and animal experimental research genetically ancient system influences the expression icant and present on several continents. The increase in In a comprehensive survey of schizophrenia prevalence Conclusion: Our findings raise a possibility that adult women with a high intake of fish, omega-3 or omega-6 PUFA and that has explored this hypothesis. vitamin D have a lower rate of psychotic-like symptoms. of many genes in mammals. Vitamin D is a potent prevalence with latitude was greater for groups with low studies around the world that were published in English prodifferentiating and antiproliferative agent. Key words: vitamin D/schizophrenia/epidemiology/ Vitamin D deficiency (<25 nmol/l) and insufficiency fish consumption, darker skin, and higher infant mortali- over a period of 4 decades, Torrey1 noted 2 important animal models/neurodevelopment/prevention Background their lifetime [1-3]. The biological mechanisms underly- (25–50 nmo/l) are common in many nations.6–8 Hypovi- ty—consistent with a role of prenatal vitamin D deficiency patterns. First, prevalence rates varied widely at different Even though psychoses are relatively rare, between 5-15% ing the etiology of schizophrenia and psychotic symp- taminosis D is more prevalent in winter, in high latitudes, of the general population has been estimated to report toms are largely unknown. Genetic constitution is in schizophrenia. Previous research indicates that poor pre- geographic sites, with the highest rate being more than 10 and in dark-skinned individuals. Migrants to European single schizophrenia-like symptoms like delusions, magi- important [4], but environmental factors like an countries are at higher risk of hypovitaminosis D com- natal healthcare and nutrition increase risk for schizophre- times greater than the lowest. Second, there was a strong cal thinking, and hearing internal voices at some point in unhealthy lifestyle with a poor diet may be involved [5,6]. pared with native-born.9 Compared with nonimmigrants, Schizophrenia in adulthood is often preceded by milder Introduction nia within the same region. These adverse conditions are tendency for schizophrenia prevalence to increase with those from Africa have the highest adjusted ORs for vi- * Correspondence: maria.hedelin@ki.se symptoms and delusions during adolescence. The typical There is robust evidence demonstrating that the risk of tamin D deficiency (about 7-fold), followed by migrants more prevalent in developing countries concentrated near 1Department of Neuroscience, Psychiatry, Ulleråker, Uppsala University, age of onset for schizophrenia is early adulthood (20-25 increasing latitude; ie, prevalence rates tended to be Uppsala, Sweden years of age). Expression of psychotic symptoms in popu- schizophrenia varies according to season of birth, place from Arab-Islamic countries (about 6-fold) and Turkey the equator, but schizophrenia prevalence is lowest at Full list of author information is available at the end of the article of birth, and migrant status.1 We propose that develop- (about 4-fold).10 Apart from darker skin color, variables very low near the equator and to increase as one moved sites near the equator. This suggests that schizophrenia- © 2010 Hedelin et al; licensee BioMed Central Ltd. This is an Open Access article distributed under the terms of the Creative Commons mental vitamin D (DVD) deficiency underlies these related to dress (eg, wearing a veil), behavior (eg, less out- toward the poles. Both of Torrey’s conclusions were also Attribution License (http://creativecommons.org/licenses/by/2.0), which permits unrestricted use, distribution, and reproduction in gradients.2 Over the last decade, we have undertaken door activities), and diet also contribute to an increased producing environmental factors associated with higher lat- any medium, provided the original work is properly cited. a coordinated program of animal experiments, assay risk of deficiency in certain ethnic groups.11,12 Urban res- reached in a survey and meta-analysis by Saha et al,2 itude may be so powerful they overwhelm protective effects development, and analytic epidemiology in order to ex- idence is associated with an increased risk of hypovitami- which included more recent studies as well as ones pub- plore this hypothesis. This article summarizes the current nosis, due to factors such as reduced outdoor activity and of better healthcare in industrialized countries. The ob- access to UVB radiation.13,14 lished in languages other than English. Several other sur- research related to this hypothesis and makes recommen- served patterns of correlations of risk factors with preva- veys have also concluded that schizophrenia rates vary at Ó The Author 2010. Published by Oxford University Press on behalf of the Maryland Psychiatric Research Center. All rights reserved. lence are consistent with an etiologic role for prenatal For permissions, please email: journals.permissions@oxfordjournals.org. least 10-fold around the world, including studies using vitamin D deficiency and exposure to certain infectious dis-
  • 115.
    Bridging human mismatch Balancing the omega -6 and omega-3 ratios
  • 116.
    Neither PAXIS norDr. Embry Where and how can we have any financial interest in an omega-3 supplement. correct the brain food? Home? Schools? Child-care and youth serving organizations? Workplaces? Prisons and jails? Mental health and substance abuse treatment? Doctors, clinics and insurance payers? Local, state, and federal policies?
  • 117.
    If we canpredict human predators and prey from omega-3 fatty acid and vitamin D3 deficiency… Then, why not prevent it using remedying this deficiency that both ancient wisdom recognizes and science confirms? Neither Dr. Embry nor PAXIS have any financial involvement with any manufacturer or distributor of omega-3 or vitamin D products.
  • 118.
    Evolution Matching Law Reinforcer Diet “Risky” Beh. Humans are A simple 3-term Multiple data sets and When children or youth apparently unique in algebra formula controlled studies show receive differential rates the ability to use predicts either risky or that children and youth of peer and adult non-risky behavior in in general receive low reinforcement for arbitrary sounds and human in real-world levels of reinforcement symbols to reinforce prosociality virtually all for prosociality, with behavior in others. settings related to risk behaviors decline. adverse effects on differential verbal/social behavior See Hayes, Barnes-Holmes & reinforcement. See Biglan & Hinds, E. (2009). Evolving Roche. (2001). Relational frame See Plaud, (1992). The prediction and control of behavior revisited: A review See Biglan et al. (2004). Helping prosocial and sustainable theory: A post-Skinnerian account neighborhoods and communities. of human language and cognition of the matching law.of intergroup Adolescents at Risk. conflict Reinforcement Adaptation
  • 119.
    Paying attention, beinggood? What are the social reinforcers for…
  • 120.
    Paying attention, beinggood? Showing off, being bad? What are the social reinforcers for…
  • 121.
    A formula topredict in class? # rewards Percent of for “good” Good # rewards Behavior # rewards for “good” + for “bad”
  • 122.
    A formula topredict in class? # rewards Percent of for “good” Good =# rewards # rewards Behavior for “good” + for “bad”
  • 123.
    A formula topredict behavior in class? 1 “Good” Percent of Good 10 (to 20) Behavior 1 “Good” + “Bad’s”
  • 124.
    A formula topredict behavior in class? 1 “Good” Percent of Good = 10 (to 20) Behavior 1 “Good” + “Bad’s”
  • 125.
    A formula topredict behavior in class? Percent of Good Behavior = 4.7% to 9% How much engaged learning and academic instruction can happen now?
  • 126.
    Footnote: This formulais based on the “Matching Law,” one of the most cited papers in psychology by Herrnstein, 1970
  • 127.
    Oh, #$&#! # rewards Percent of for “Good” What can I do to Good =# rewards # rewards solve this? Behavior for “Good” + for “Bad” Footnote: This formula is based on the “Matching Law,” one of the most cited papers in psychology by Herrnstein, 1970
  • 128.
    Age 4 6 8 10 12 14 16 18 20 22 24 26 Birth A Life Map of Travail ADHD ODD A/D A/D A/D A/D A/D A/D A/D DSM IV TS CD SA SA SA SA SA SA SA Labels depression anxiety Self-Rep. Likes Stole Binge Daily Meth & IV Violent TV Cigarettes Drinking Marijuana Other Drugs Use School SD SD LD LD LD SED Dropout Labels Medical Prenatal Unintentional Injuries Sexually Serious Hepatitis C Smoking Ashtma Transmitted Car Crash Notes & Intentional Diseases Gunshot Low Birth Weight Bio Fussy,Irritable Injuries at Fathers Wound Fathers School Markers Mom is 16.5 years old Underactive Child Child Low CSF Beh. Inhibition Reduced Prefontal Function Serotonin System Lower Resting Heart Rate Case study Police Mom DV Records Has Abused Assault Calls by Mom's at School Theft Various Drug sales; Armed Felony Assault Robbery from Reclaim- Multiple Live-in Witness Complaints; ing Wyoming Offenses Homicde Truancy Blueprint by Legend Embry and ADHD = Attention Deficit Hyperactivity Disorder SA = Substance Abuse TS = Tourette's Syndrome (tics diagnosed) SD = Speech Delay Rodgers, 2002, ODD A/D = = Oppositional Defiant Disorder Antisocial Personality Disorder LD SED = = Learning Disabilityr Severe Emotional Disorder for Wyoming CD = Conduct Disorder Legislature
  • 129.
    Remember the life case histories presented? Source: Dr.Tom Dishion
  • 130.
    Remember the life case histories presented? Source: Dr.Tom Dishion
  • 131.
    Simplified Matching Law B = predicted behavior rate k = A “rubber-band” like asymptotic Halvor Teigen, K. (2002). One hundred years of laws in psychology. American constant Journal of Psychology, 115(1), 103-118. rp =rate of reinforcement for target Pierce, W. D., & Epling, W. F. (1995). The applied importance of research on the matching law. Journal of Applied Behavior Analysis, 28(2), 237-241. behavior Correia, C. J., Simons, J., Carey, K. B., & Borsari, B. E. (1998). Predicting drug use: rv =rate of reinforcement for all other Application of behavioral theories of choice. Addictive Behaviors, 23(5), 705-710. behaviors
  • 132.
    Language, physiological, medicationor substance abuse effect on behavior This “selection by consequences” mathematical law predicts wiring of the brain neurons, bullying, criminal behavior, drug addictions, and other predatory/ prey outcomes. So, what if… Rate influenced by: Rate influenced by: • Reinforcements • Reinforcement • Antecedents • Antecedents • Relational-frames • Relational-frames
  • 133.
    PAX GBG: AnExample Behavioural Vaccine Muriel Saunders Read about multiple scientific studies on the “Good Behavior Game” at www.pubmed.gov
  • 134.
    How Manitoban teachers are teachingand using the PAX Good Behavior Game
  • 135.
  • 136.
  • 137.
  • 138.
  • 139.
  • 140.
    They teach childrena vision of a wonderful school
  • 142.
    OK tm tm Bien Not OK Pas bien tm À Vive bas les les GO PAX ! ! No Spleems Spleem © 2002-2012, PAXIS Institute PAX Peeling cards up is a spleem for your team (Si tu soulèves les cartes, c’est un Spleem à ton équipe.) To create more good, By sweeping away the called “PAX” “bad”, called “Spleems”
  • 143.
    Playing the PAXGame by Teams: During any regular teaching & learning activity The Blue Team The Red Team The Yellow Team
  • 144.
    The Aim: to Win PAX Ms. Dion Jan 23 Spleems are counted and marked with neutral Blue tone for the team, not the individual child. Red Teams who have 3 or fewer Spleems win. Yellow Winning teams earn a “Granny’s Wacky Prize”. Team having 4 or more Spleems lose that game. PAX Minutes = winning teams x minutes played.
  • 145.
    The Aim: to Win PAX Ms. Dion Jan 23 Spleems are counted and marked with neutral Blue tone for the team, not the individual child. Red Teams who have 3 or fewer Spleems win. Yellow Winning teams earn a “Granny’s Wacky Prize”. Team having 4 or more Spleems lose that game. PAX Minutes = winning teams x minutes played.
  • 146.
    The Aim: to Win PAX Ms. Dion Jan 23 Spleems are counted and marked with neutral Blue tone for the team, not the individual child. Red Teams who have 3 or fewer Spleems win. Yellow Winning teams earn a “Granny’s Wacky Prize”. Team having 4 or more Spleems lose that game. 20 40 PAX Minutes = winning teams x minutes played.
  • 147.
    The Aim: to Win PAX Ms. Dion Jan 23 Spleems are counted and marked with neutral Blue tone for the team, not the individual child. Red Teams who have 3 or fewer Spleems win. Yellow Winning teams earn a “Granny’s Wacky Prize”. Team having 4 or more Spleems lose that game. 20 40 PAX Minutes = winning teams x minutes played.
  • 148.
    The Aim: to Win PAX Ms. Dion Jan 23 Spleems are counted and marked with neutral Blue tone for the team, not the individual child. Red Teams who have 3 or fewer Spleems win. Yellow Winning teams earn a “Granny’s Wacky Prize”. Team having 4 or more Spleems lose that game. 20 20 40 60 PAX Minutes = winning teams x minutes played.
  • 149.
    Winning teams get“Granny’s Wacky Prizes” Brief (30 seconds or so) activity rewards for winning game Start and stop with non-verbal cue Based on mystery motivator and Premack Principle Function as “intrinsic motivators” As-tu J’ai les Got Got PAX? des Surprises Got PAX? Got PAX? I’ve got PAX? PAX? fofolles de Mémé Granny’s Wacky Prizes
  • 150.
    The PAX Gameteaches Individual and group goal orientation/ dependency Voluntary control over attention Self-regulation, self-calming under excitement Self-regulation during failure or disappointment Delay of gratification Cooperation to achieve a bigger goal How to ignore accidental attention to negative behavior from peers Mild sanctions for anti-social acts by others
  • 151.
    View the CanadianBroadcast Corporation Video on Manitoba
  • 152.
    Seine River PilotDemonstration April, 2011 – Principals and key Disruptions by All Seine River First Graders staff trained for two days for all Rate Per Hour Per Child 12 12 schools. 10 40.8% 45% April, 2011 – First grade 8 Reduction classrooms then trained that 6 week 4 April through May – Each 2 successive month other grades 0 trained, including 8th grade Before After (Baseline) PAX GBG
  • 153.
    Longitudinal Johns HopkinsStudies of GBG Kindergarden Every child rated by teachers
  • 154.
    Longitudinal Johns HopkinsStudies of GBG Kindergarden Every child rated by teachers
  • 155.
    Longitudinal Johns HopkinsStudies of GBG Kindergarden First Grade Every GBG child rated by teachers NO GBG Tested in 41 first- and second-grade classrooms within 19 elementary schools with two consecutive groups of first graders.
  • 156.
    Longitudinal Johns HopkinsStudies of GBG Grades 2 thru 12 Kindergarden First Grade Follow Up Every GBG No More GBG child rated by teachers NO GBG No GBG Tested in 41 first- Purpose: To find out if and second-grade GBG affected their classrooms within adolescent lives. 19 elementary Note: Some kids got schools with two GBG in 1st Grade only, consecutive groups and some in both 1st & of first graders. 2nd grade,
  • 157.
    Longitudinal Johns HopkinsStudies of GBG Grades 2 thru 12 Young Adulthood Kindergarden First Grade Follow Up Follow Up GBG Age Age Age Every No More GBG child 19-21 26 30 rated by Age Age Age teachers NO GBG No GBG 19-21 26 30 Tested in 41 first- Purpose: To find out if Purpose: To find out if and second-grade GBG affected their GBG affected their classrooms within adolescent lives. adult lives. 19 elementary Note: Some kids got schools with two GBG in 1st Grade only, consecutive groups and some in both 1st & of first graders. 2nd grade,
  • 158.
    District Priorities: Our Priorities: Our Priorities: Preparing Your Student For The Future Scholarship Scholarship Scholarship Mt. Adams School News Citizenship Citizenship Citizenship Leadership Leadership Leadership Sportsmanship Sportsmanship Sportsmanship May 2011 Volume 5, Issue 9 Editor: Linda King Important Dates Early Release: May 2, 9, 16, 23 What we are seeing so far is Central Washington Junior Livestock Show May 2-4, Toppenish Rodeo Grounds JOM/IPEC Recognition Dinner 1. decreased disciplinary referrals May 11, 6:00 pm, Middle School Gym Spring Community Meeting with Board 2. increased attendance May 12, 6:00 pm, Harrah Board of Director Meeting May 16, 6:00 pm, Harrah 3. increased time on task and decreased transition JOM Meeting, May 17, 6:00 pm, White Swan Senior Banquet, May 19, 7:00 pm, White Swan times which=more time teaching No School, May 30, Memorial Day You are Invited to an Informal Chat Students Help Classmate Communicate Shane Carey is a freshman student with Cerebral Palsy. While he cannot walk 4. improvement of school climate where students with the Mt. Adams School Board or talk, he is fully aware of what is going on around him. However, making his needs known to others is a serious problem. He has a custom computer that he are being kinder and helping each other more, May 12, 6:00 pm, at Harrah Elementary Ask the questions you feel need to be an- Game Teaches Good Behavior can use to communicate, but, without a device to attach it to his wheel chair, it can only be used in the classroom. The stand he needs was ordered two years staff are feeling less stress. swered, make suggestions and pass on your ock’s  5th   ago If your a complicated process that appears to have led nowhere. unusual new and was first grader is coming home speaking some Demand ideas. This is an opportunity to get a better for such specialized items is small so the number of venders who can provide ntral words like PAX, Spleem longer seemed your child is participating in an idea of what your child’s education them is equally small. Waiting anyand Toodle, a very poor option. haracter-­ innovative program that ESD 105 who works with Shane took the prob- The educational specialist from Nancy Fiander, Elder & PAX Coach, Harrah Elementary focuses on teaching very young children opportunities will look like in the future. e bumpy lem to Rob Ford.good behavior that makes past in the special ed depart- enjoy- the kind of He has worked with Shane in the the classroom a more ment and nowproductiveeducational assistant in the vocational teachers. able and works as an place for both students and shop program and the Intro to Engineering class, grades 10-12. Could a stand be built for en better. Shane right here at hisis funded by a $75,000 a year, Five-Year The program own school? Preventa- la mon- tive saw the possibleSchools the perfect real world experience by the stu- and Ford Practices In project as grant, which was written for School ful  in   dents in the engineering and welding classes. The engineering students Community Programs Coordinator Nancy Fiander. The grant dol- (pictured above with Shane and Ford on the left), first brain-stormed the problem, a suc- took measurements and then sessions, travel, and substitutes for participat- lars will fund training began creating design drawings of what they be- ced the lieved the stand should look like as well it would function. Using 3-D animation ing teachers and staff, and how as paying for instructional materials
  • 159.
  • 160.
    Timeline of Benefits… FirstMonth More time for Less stress for teaching and learning Staff & Students First Year Better Fewer Fewer Service Less Happier Less Better Attendance Referrals Needs Illness Families Vandalism Academics 2nd & 3rd Years ADHD Oppositional Special Education Averted Defiance Averted Averted 5-15 Years No Less Less Conduct Less Less Crime, High School Tobacco Alcohol Disorders Depression Violence, Suicide Grad & University
  • 161.
    OUTCOMES STUDENT GROUPS GBG CLASSROOM STANDARD CLASSROOM Drug abuse and All males 19 percent 38 percent dependence disorders Highly aggressive males 29 percent 83 percent Regular smoking All males 6 percent 19 percent Highly aggressive males 0 percent 40 percent First graders Alcohol abuse and All males and females 13 percent 20 percent exposed to GBG dependence disorders for one year had Antisocial personality Highly aggressive males 40 percent 100 percent these benefits at disorder (ASPD) age 21. Violent and criminal Highly agressive males 34 percent 50 percent behavior (and ASPD) Service use for All males 25 percent 42 percent problems with behavior, emotions, drugs, or alcohol Suicidal thoughts All females 9 percent 19 percent All males 11 percent 24 percent SOURCE: Kellam, S. G., Mackenzie, A. C., Brown, C. H., Poduska, J. M., Wang, W., Petras, H., & Wilcox, H. C. (2011). The good behavior game and the future of prevention and treatment. Addict Sci Clin Pract, 6(1), 73-84. Read this and other studies about the Good Behavior Game at www.pubmed.gov
  • 162.
    How much mightPAX GBG save New Jersey? To do PAX GBG will cost about $150 to protect our children for life from mental illnesses, behavioral problems, drug addictions, becoming a criminal, trying suicide, dying from tobacco or alcohol related illnesses. And, it increases their academic success—including university entry. PAX GBG pays back $14,300 to individuals, taxpayers, and others per student exposed in First Grade over 15 years. Cost Savings Assuming 105,000 First Graders each year, that saves $1.5 Billion every First Grade cohort. Source: Aos, S., Lee, S., Drake, E., Pennucci, A., Klima, T., Miller, M., et al. (2011). Return on Investment: Evidence-Based Options to Improve Statewide Outcomes. (July), 8. Retrieved from http://www.wsipp.wa.gov/rptfiles/11-07-1201.pdf
  • 163.
    How much mightPAX GBG save New Jersey? To do PAX GBG will cost about $150 to protect our children for life from mental illnesses, behavioral problems, drug addictions, becoming a criminal, trying suicide, dying from tobacco or alcohol related illnesses. And, it increases their academic success—including university entry. PAX GBG pays back $14,300 to individuals, taxpayers, and others per student exposed in First Grade over 15 years. Cost Savings Assuming 105,000 First Graders each year, that saves $1.5 Billion every First Grade cohort. And the cost? Source: Aos, S., Lee, S., Drake, E., Pennucci, A., Klima, T., Miller, M., et al. (2011). Return on Investment: Evidence-Based Options to Improve Statewide Outcomes. (July), 8. Retrieved from http://www.wsipp.wa.gov/rptfiles/11-07-1201.pdf
  • 164.
    How much mightPAX GBG save New Jersey? To do PAX GBG will cost about $150 to protect our children for life from mental illnesses, behavioral problems, drug addictions, becoming a criminal, trying suicide, dying from tobacco or alcohol related illnesses. And, it increases their academic success—including university entry. PAX GBG pays back $14,300 to individuals, taxpayers, and others per student exposed in First Grade over 15 years. Cost Savings Assuming 105,000 First Graders each year, that saves $1.5 Billion every First Grade cohort. And the cost? $15.7 million per cohort Source: Aos, S., Lee, S., Drake, E., Pennucci, A., Klima, T., Miller, M., et al. (2011). Return on Investment: Evidence-Based Options to Improve Statewide Outcomes. (July), 8. Retrieved from http://www.wsipp.wa.gov/rptfiles/11-07-1201.pdf
  • 165.
    Where and howcan we correct this reinforcement mismatch in classrooms? Schools? Child-care and youth serving organizations? Doctors, clinics and insurance payers? Local, state, and federal policies?
  • 166.
    Built Evolution Environment Play Diet “Risky” Beh. Running and walking Mixed environments American children have The change in play is 5-10 miles per day in versus “residential” dramatically changed associated with an the pursuit of settings increase their play from outdoor increase in most DSM- play, imaginative play, IV plus many behavior reinforcers has long grades and reduce free-play, multi-age play, history in humans. conduct problems. and academic and rough and tumble Such movement problems plus health play to solo screen time increases BDNF. See Szapocznik et al. (2006). The issues in youth. impact of the built environment on See Clements (2004). An See Kuo & Taylor (2004). A potential See Bramble & Lieberman (2004). children's school conduct grades: Investigation of the Status of Outdoor natural treatment for attention-deficit/ Endurance running and the The role of diversity of use in a Play. Contemporary Issues in Early hyperactivity disorder: evidence from a evolution of Homo Hispanic neighborhood Childhood. national study. Antecedent Movement Inflammatory/Anti-inflammatory
  • 167.
    A simple interventionthat reduces ADHD and autism symptoms
  • 168.
  • 169.
  • 170.
    Where and howcan we correct this movement mismatch among children? Schools? Child-care and youth serving organizations? Doctors, clinics and insurance payers? Local, state, and federal policies?
  • 171.
    Cultural Trend: Sleep Deprivation IOM Report (IOM, page 212)
  • 172.
    Data on SleepDeprivation On the average, school-age children have a sleep deficit of .5 - 1.5 hours per night. This multiplies out to a deficit of 2.5 - 7.5 hours per five day school week.
  • 173.
    Sleep Deprivation causedby… TV’s in children’s bedrooms Televisions in Children’s Bedrooms in 1997 1 Computers in bedrooms 0 Gameboys in bedrooms 0 …Rapidly increasing since 0 25.6% 37..8% 55.8% 1990 0 Preschoolers (2-5) Elementary (6-11) Secondary (12-17)
  • 174.
    New Major Causeof Sleep Deprivation… 91% of teens (ages 15-17) have web-enabled cellphones. Many teens stay up to 2am or so texting 25.6% 37..8% 55.8%
  • 175.
    Sleep Deprivation causes… • Significant risk of alcohol, tobacco and other drug use • Increased risk of early sexual behavior and violence • School problems 25.6% 37.%% 55.8% • Family/home problems
  • 176.
    Sleep Improvement evidence-basedkernels Curfew one-hour before bedtime for: Televisions Computers Gameboys Cellphones 25.6% 37.%% 55.8% General reduction of passive media
  • 177.
    Sleep deprivation predictsdrug use in teams Sleep, Drugs, Social Networks The Spread of Sleep Loss Influences Drug Use in Adolescent Social Networks Sara C. Mednick1*, Nicholas A. Christakis2, James H. Fowler3 1 Department of Psychiatry, University of California San Diego, La Jolla, California, United States of America, 2 Department of Medicine, Harvard University, Boston, Massachusetts, United States of America, 3 Department of Political Science, University of California San Diego, La Jolla, California, United States of America Abstract Troubled sleep is a commonly cited consequence of adolescent drug use, but it has rarely been studied as a cause. Nor have there been any studies of the extent to which sleep behavior can spread in social networks from person to person to person. Here we map the social networks of 8,349 adolescents in order to study how sleep behavior spreads, how drug use behavior spreads, and how a friend’s sleep behavior influences one’s own drug use. We find clusters of poor sleep behavior and drug use that extend up to four degrees of separation (to one’s friends’ friends’ friends’ friends) in the social network. Prospective regression models show that being central in the network negatively influences future sleep outcomes, but not vice versa. Moreover, if a friend sleeps #7 hours, it increases the likelihood a person sleeps #7 hours by 11%. If a friend uses marijuana, it increases the likelihood of marijuana use by 110%. Finally, the likelihood that an individual uses drugs increases by 19% when a friend sleeps #7 hours, and a mediation analysis shows that 20% of this effect results from the spread of sleep behavior from one person to another. This is the first study to suggest that the spread of one behavior in social Figure 1. Network graph. Figure 1 is a network graph of the largest component of friends in Wave I of the Add Health study (year 1995), from a networks influences the spread of another. The results indicate that interventions should focus on healthy sleep to prevent single school. Each node represents a subject (there are 800 shown) and its shape denotes gender (circles are female, squares are male). Lines drug use and targeting specific individuals may improve outcomes across the entire social network. between nodes indicate relationships (arrows point from the naming friend to the named friend). Node colour denotes nightly sleep duration (red for 6 hours or less, orange for 7 hours, white for 8 hours or more) and node size indicates frequency of marijuana use (the smallest nodes do not use marijuana, the largest report using at least daily). The network suggests clustering of both sleep and drug use behavior, and as we show in the statistical analysis, some of the overlap in clustering may result from a causal effect of sleep on drug use. Node placement is based on the Kamada- Citation: Mednick SC, Christakis NA, Fowler JH (2010) The Spread of Sleep Loss Influences Drug Use in Adolescent Social Networks. PLoS ONE 5(3): e9775. Kawai algorithm (see Text S1) [50]. doi:10.1371/journal.pone.0009775 doi:10.1371/journal.pone.0009775.g001 Editor: Kenji Hashimoto, Chiba University Center for Forensic Mental Health, Japan relationships more rigorously by computing network centrality for contact who sleeps #7 hours in Wave I increases the likelihood Received January 20, 2010; Accepted February 23, 2010; Published March 19, 2010 each subject (see Text S1). We found that centrality is significantly the ego will sleep #7 hours in Wave II by 5% (95% CI: 1% to associated with less sleep in the future: a two-standard-deviation 10%, p = 0.02). In a continuous model with hours of sleep as the Copyright: ß 2010 Mednick et al. This is an open-access article distributed under the terms of the Creative Commons Attribution License, which permits increase in centrality at Wave I increases the probability of dependent variable, the effect is also significant (p = 0.03). In unrestricted use, distribution, and reproduction in any medium, provided the original author and source are credited. sleeping #7 hours at Wave II by 13% (95% CI: 1% to 26%, contrast to the spread of poor sleep behavior, the number of Funding: Mednick was supported by National Institute of Mental Health (NIMH) grant K01MH080992, Christakis and Fowler by National Institute on Aging (NIA) p = 0.03). This relationship between centrality and sleep is net of contacts who sleep .7 hours has a weak but not-quite significant grant P01AG031093 and by grant #58729 from the Pioneer Portfolio of the Robert Wood Johnson Foundation; the National Longitudinal Study of Adolescent controls for age, race, ethnicity, household income, and mother’s (p = 0.08) positive effect on an individual’s sleep behavior. Health was originally funded by National Institute of Child Health and Human Development. The funders had no role in study design, data collection and analysis, education. Similarly, ego drug use in Wave II is associated with the number decision to publish, or preparation of the manuscript. In contrast, we find no significant relationship between of contacts in Wave I who use drugs, as shown in Table 2. Each centrality and drug use (see Text S1). We also considered the additional drug-using friend increases the likelihood of use by 42%
  • 178.
    Sleep, Drugs, SocialNetworks Figure 2. Spread of sleep and drug use. Figure 2 shows that the association between ego and alter sleep is significant up to four degrees of separation in both Wave I and Wave II. The left panel shows the percentage increase in the likelihood a person sleeps #7 hours if a friend at a certain social distance sleeps #7 hours. The right panel shows the percentage increase in the likelihood a person uses marijuana if a friend at a certain social distance uses marijuana. The relationship is strongest between individuals who are directly connected, but it remains significantly greater than zero at social distances up to 4 degrees of separation in both Wave I and Wave II. Thus, a person’s sleep and drug use behavior is associated with the same behavior of other people up to 4 degrees removed from them in the network. Error bars are derived by comparing the conditional probability of the behavior in the observed network with an identical network in which topology and incidence of the behavior is preserved but the assignment of the behavior is randomly distributed [19,55 2008]. Alter social distance (degrees of separation) refers to closest social distance between the alter and ego (friend = distance 1, friend’s friend = distance 2, etc.). Error bars show 95% confidence intervals. doi:10.1371/journal.pone.0009775.g002 that suggests the negative health behavior is more contagious than change in behavior in each alter is associated with a change in the positive health behavior. behavior in the ego. The models adjust for sex, age, race, ethnicity,
  • 179.
  • 180.
    Where and howcan we correct sleep deprivation mismatch? Home? Schools? Child-care and youth serving organizations? Workplaces? Prisons and jails? Mental health and substance abuse treatment? Doctors, clinics and insurance payers? Local, state, and federal policies?
  • 181.
    Evidence-Based Kernels for prevention,mitigation, treatment & promotion The smallest units of proven behavioral influence can be used well outside the PAX Game for reducing the burden of mental, emotional, behavioral, and related physical illnesses. Download and review at: www.pubmed.gov
  • 182.
  • 183.
    Underestimate of official,substantiated child maltreatment cases… 1 confirmed cased = Theodore, A. D., Chang, J. J., Runyan, D. K., Hunter, W. M., Bangdiwala, S. I., & Agans, R. (2005). Epidemiologic Features of the Physical and Sexual Maltreatment of Children in the Carolinas. Pediatrics, 115(3), e331-337.
  • 184.
    Underestimate of official,substantiated child maltreatment cases… 1 confirmed cased = 40 Cases Never Reported Theodore, A. D., Chang, J. J., Runyan, D. K., Hunter, W. M., Bangdiwala, S. I., & Agans, R. (2005). Epidemiologic Features of the Physical and Sexual Maltreatment of Children in the Carolinas. Pediatrics, 115(3), e331-337.
  • 185.
    Relational Antecedent Reinforcement Physiological Frame Kernel Kernel Kernel Kernel Changes Creates verbal Happens BEFORE Happens AFTER the biochemistry of relations for the the behavior behavior behavior behavior Embry, D. D., & Biglan, A. (2008). Evidence-Based Four Types of Kernels Kernels: Fundamental Units of Behavioral Influence. Clinical Child & Family Psychology Review, 39.
  • 186.
    Kernels are building blocksof behavior change Humans survive individually and collectively by influencing the behavior or other humans The 2008 paper by Embry and Biglan identifies 52 evidence based kernels that can be used to design or or improve programs.
  • 187.
    Secondary School Bullying andViolence Current culture creates an evolutionary mismatch during adolescence that results in violence, bullying, and antisocial behavior. Curriculum and posters do not solve the problem, and often feed the evolutionary mismatch. Could evidence-based kernels help correct the evolutionary mismatch?
  • 188.
  • 189.
  • 190.
  • 191.
  • 192.
  • 193.
  • 194.
  • 195.
  • 196.
    DRI = DifferentialReinforcement of DRO = Differential Reinforcement of Incompatible Behaviors Other Behaviors
  • 197.
    Antecedents that maketransitions Relational frame of belonging and more peaceful generalization of prosocial behavior
  • 198.
    60 Results Logan Jr. High School, Princeton, Ill. Grades 7-8 DETENTIONS Before After Kernels 50 Kernels 40 30 20 10 0 Sep-99 Oct-99 Nov-99 Dec-99 Jan-00 Feb-00 Mar-00 Apr-00 May-00 Sep-00 Oct-00 Nov-00 Dec-00 Jan-01 Feb-01 Mar-01 Apr-01
  • 199.
    Results 6.25 Logan Jr. High School, Princeton, Ill. Grades 7-8 FIGHTING Before Kernels After Kernels 5 3.75 2.5 1.25 0 Sep-99 Oct-99 Nov-99 Dec-99 Jan-00 Feb-00 Mar-00 Apr-00 May-00 Sep-00 Oct-00 Nov-00 Dec-00 Jan-01 Feb-01 Mar-01 Apr-01
  • 200.
    What happens ifyou teach students to praise each other for “peaceability”
  • 201.
    Acceptance & Commitment Therapy Kernels Relational Frame Kernel
  • 202.
    Relational-Frame Example: “Families United Promise” Relational Frame 1 1.35 Kernel 0.9 0.8 1.3 Mean drunkenness Mean delinquency 0.7 0.6 1.25 0.5 0.4 1.2 0.3 0.2 1.15 0.1 0 1.1 grade 7 grade 8 grade 9 grade 7 grade 8 grade 9 Figure 2 Repeated-measures analysis of variance displaying self-reported drunkenness (a) and delinquency (b) separately for youths in the intervention and control conditions
  • 203.
    Emotional writing… Relational Figure 2. Effect of Structured Writing by Disease: Asthma or Rheumatoid Arthritis Frame Control Experimental Kernel 90 Asymptomatic Asthma Forced Expiratory Volume 85 Rheumatoid Arthritis Overall Disease Activity in 1 s, % Predicted 80 Mild 75 70 Moderate 65 60 55 Severe Baseline 4-mo Follow-up Baseline 4-mo Follow-up Time Time JAMA, April 14, 1999—Vol 281, No. 14 1307
  • 204.
    Goal Maps (visualorganized brief motivational interview) Relational Frame Kernel Cigarettes Consumed Creates verbal Alcohol Consumed relations for the behavior Marijuana Consumed
  • 205.
    Anger Management? Effective Alcohol & Drug Treatment? What works better for reducing domestic violence?
  • 206.
    Lifespan example ofone kernel for prevention, intervention and treatment Reinforcement Kernel Happens AFTER the behavior Available from Amazon.com for $45
  • 207.
    T6--'->!$#%81!";S0+FQT0P!+0IIF2;G!HQT!0PP! Kernels lower costof training, support & change… ! L.'(-!MC!?N.B1(-!L.'(-!3;!E-25-(!A/)()/$!;32!G-(-*/-9O!659)*./-9!.59!A5)4-27.(! %2-4-5/)35! ?4)9-5*-+D.7-9! G-(-*/-9! 659)*./-9! A5)4-27.(! E-25-(! Intervention %2-4-5/)35! Targeted %2-4-5/)35! Universal %2-4-5/)35! %2)P-! T#86,#!%*,($(*:! T#86,#!J)(C*#5! F5J)(&#!#->%>#8! D3:(QR$7/-2$! 7(C%,,(!()!8)6>! C#$%&'()!'-!$'>$3)'.Y! *#%)-'->!(/!X$(*#! R3/)4./32! 6.#@]O:!@V@:!@VD! ,$'*8)#-!()!A(67$DD@3 ,*%..!%-8!)#86,#! U)#'-/(),#5#-7! F5J)(&#! DD! 8'.)6J7'(-.!(/!X$(*#! Y#)-#*W! #->%>#5#-7!'-! ,*%..DDL3DDV! 7)#%75#-7!>(%*.@V_:! @VN! S3.(Q839-! T#86,#!)#*%J.#!()! 4)#&#-7!0MQ<!6.#! F-,)#%.#!%,%8#5',! R.11)5K!U)#*%7'(-%*! )#,'8'&'.5!)%7#.DD_:! )%7#.DD_:!DK! .6,,#..!()!,(>-'7'&#! /)%5#!Y#)-#*W! DDN! F5J)(&#!%77%'-5#-7! J)(,#..#.DD3D]! F5J)(&#!)#,(&#)ADDO! (/!7$#)%J#67',! >(%*.DK:!D@! JB-K.+T!;.//$!.*)9! M)#%7!8#J)#..'(-:! 4)#&#-7!#5#)>#-,#! F5J)(&#!,$'*8)#-c.! 7&11(-B-5/./)35! C()8#)*'-#!%-8Z()! (/!J.A,$(7',! ,(>-'7'&#! UJ$A.'(*(>',%*! C'J(*%)!8'.()8#)_K! #J'.(8#.!'-! J#)/()5%-,#!%-8! Y#)-#*W! T#86,#!%67'.5! J)(8)(5%*! J)#&#-7!C#$%&'()%*! .A5J7(5._@:!@LD! %8(*#.,#-7.L_! 8'.()8#).VO:!DV3DN! %&'()*!137/)5K! T#86,#!,(556-'7A! F5J)(&#!J)(C*#5%7',! T#86,#!'5J6*.'&#!()! U%-7#,#8#-7!Y#)-#*W! '**#>%*!C#$%&'().@KK:! C#$%&'()!'-! )'.YA!C#$%&'().!'-! @K@:!@DK! 7$#)%J#67',! >#-#)%*! .#77'->.DO:!DLK! J(J6*%7'(-DL@3DL! Kernels provide robustness, cost-efficiency and community sustainability across multi-problem behaviors. F5J)(&#8! %,%8#5',.DLL3DLV! 4)(5(7'->! J%)7','J%7'(-!()! ,(556-'7A!>((8.DL_:! DLN!
  • 208.
    Better Health Care via Proven Practices Used by Broad Workforce => Better Health via Multiple Indicators, Increased and Decreased => Better Fiscals Cost Benefits & Cost Efficiencies Lower Better Health Care Promotion Costs Better Prevention & Reduced Stronger Protection Disparties Economy Better Interventions Other Better Treatments Cost Better Offsets Recovery Implementation Monitoring of Immediate and Longer Term Sustainaibility Policies and monitoring & Outcomes with Feedback Loops Practices Implemented feedback
  • 209.
    Create policy & funding supports TH Vaccine cacy, Identify (organizational, Recipe List local, local and/or state Adoption, Behaviors Implementation, & Reduced state and national Maintenance policies Cultivate some positively current or Identify impacted or Psychinfo prospective early Behaviors lled by www.pubmed.gov recipe adopters for ERIC Increased testimonials Lo Hi NTIS Cite relevant Evaluation & User T Cite relevant endorsements Outcome Local Impacting Values studies or standards Monitoring State National Population Targeting -A - Daily, Weekly B Developmen Birth Childhood ta l stages Low catchy positive What the or Monthly Adolescence Intensity Adulthood Hi name (meme) ts are Feedback reach Multiple Fa Sc els m ho ilie Settings o lev Or - Where/ s ga ls - What A Co ni at ach mm un ns io how to get the costs of use itie /re s C recipe are sity Recognition/Rewards en for Successs Int - Relational framing High Intensity Low reach Support & Training res
  • 210.
    Thinking about andmeasuring recovery, relapse and recidivism Treatment Strategy #1 Treatment Strategy #2 100 100 Do these two Only 17% of the About 80% of the evidence- based discharged clients of program #1 have discharged clients of program #2 strategies look 50 50 not relapsed, been re-arrested, or “survived” with no relapse, significantly re-hospitalized by 48 months. re-arrested, or re-hospitalization by different at 20 48 months. days? 0 0 0 10 20 30 40 50 0 10 20 30 40 50 Time in Months Time in Months
  • 211.
    Thinking about andmeasuring recovery, relapse and recidivism Treatment Strategy #1 Treatment Strategy #2 100 100 Only 17% of the About 80% of the discharged clients discharged clients of program #1 have of program #2 50 not relapsed, been 50 “survived” with re-arrested, or no relapse, re-hospitalized by re-arrested, or 48 months. re-hospitalization by 48 months. 0 0 0 10 20 30 40 50 0 10 20 30 40 50 Time in Months Time in Months
  • 212.
    Where and howcan we spread cost efficient evidence-based kernels for… Home? Schools? Child-care and youth serving organizations? Workplaces? Prisons and jails? Mental health and substance abuse treatment? Doctors, clinics and insurance payers? Local, state, and federal policies?
  • 213.
  • 214.
    Basic understanding ofkernels Embry, D. D. and A. Biglan (2008). "Evidence-Based Kernels: Fundamental Units of Behavioral Influence." Clinical Child & Family Psychology Review 11(3): 75-113. Using kernels for population change Embry, D. D. (2004). "Community-Based Prevention Using Simple, Low-Cost, Evidence-Based Kernels and Behavior Vaccines." Journal of Community Psychology 32(5): 575. Behavioral vaccines for disease control Embry, D. D. 2011. Behavioral vaccines and evidence-based kernels: non-pharmaceutical approaches for the prevention of mental, emotional, and behavioral disorders. Psychiatr Clin North Am 34 (1):1-34.
  • 215.
    We need toand empower every person with tools and structures to build a positive, productive,
  • 216.
    Key “good news”messages from IOM Report…
  • 217.
    Key “good news”messages from IOM Report… MEB’s are preventable.
  • 218.
    Key “good news”messages from IOM Report… Break-even for MEB’s are MEB preventable. prevention is 1-2 years.
  • 219.
    Key “good news”messages from IOM Report… Break-even for MEB MEB’s are MEB prevention preventable. prevention is balances gov’t 1-2 years. budgets.
  • 220.
    Key “good news”messages from IOM Report… Break-even for MEB MEB MEB’s are MEB prevention prevention preventable. prevention is balances gov’t reduces 1-2 years. budgets. suffering.
  • 221.
    Key “good news”messages from IOM Report… Break-even for MEB MEB MEB’s are MEB prevention prevention preventable. prevention is balances gov’t reduces 1-2 years. budgets. suffering. Effective MEB prevention helps save Health Accord.
  • 222.
    Key “good news”messages from IOM Report… Break-even for MEB MEB MEB’s are MEB prevention prevention preventable. prevention is balances gov’t reduces 1-2 years. budgets. suffering. Effective MEB MEB prevention prevention helps save national & local Health Accord. economies.
  • 223.
    Key “good news”messages from IOM Report… Break-even for MEB MEB MEB’s are MEB prevention prevention preventable. prevention is balances gov’t reduces 1-2 years. budgets. suffering. Effective MEB MEB prevention prevention MEB prevention helps save national & local saves Old Age Security. Health Accord. economies.
  • 224.
    Key “good news”messages from IOM Report… Break-even for MEB MEB MEB’s are MEB prevention prevention preventable. prevention is balances gov’t reduces 1-2 years. budgets. suffering. Effective MEB MEB MEB prevention prevention MEB prevention prevention helps save national & local saves Old Age heals past Security. Health Accord. economies. inequities.
  • 225.
    dde@paxis.org Dennis D. Embry, Ph.D. dde@paxis.org 520-299-6770 Business cards available for follow up and copies of papers & presentations

Editor's Notes

  • #2 \n
  • #3 \n
  • #4 \n
  • #5 \n
  • #6 \n
  • #7 \n
  • #8 \n
  • #9 \n
  • #10 \n
  • #11 \n
  • #12 \n
  • #13 \n
  • #14 \n
  • #15 \n
  • #16 \n
  • #17 \n
  • #18 \n
  • #19 \n
  • #20 \n
  • #21 \n
  • #22 \n
  • #23 \n
  • #24 \n
  • #25 \n
  • #26 \n
  • #27 \n
  • #28 \n
  • #29 \n
  • #30 \n
  • #31 \n
  • #32 \n
  • #33 \n
  • #34 \n
  • #35 \n
  • #36 \n
  • #37 \n
  • #38 \n
  • #39 \n
  • #40 \n
  • #41 \n
  • #42 \n
  • #43 \n
  • #44 \n
  • #45 \n
  • #46 \n
  • #47 \n
  • #48 \n
  • #49 \n
  • #50 \n
  • #51 \n
  • #52 \n
  • #53 \n
  • #54 \n
  • #55 \n
  • #56 \n
  • #57 \n
  • #58 \n
  • #59 \n
  • #60 \n
  • #61 \n
  • #62 \n
  • #63 \n
  • #64 \n
  • #65 \n
  • #66 \n
  • #67 \n
  • #68 \n
  • #69 \n
  • #70 \n
  • #71 \n
  • #72 \n
  • #73 \n
  • #74 \n
  • #75 \n
  • #76 \n
  • #77 \n
  • #78 \n
  • #79 \n
  • #80 \n
  • #81 \n
  • #82 \n
  • #83 \n
  • #84 \n
  • #85 \n
  • #86 \n
  • #87 \n
  • #88 \n
  • #89 \n
  • #90 \n
  • #91 \n
  • #92 \n
  • #93 \n
  • #94 \n
  • #95 \n
  • #96 \n
  • #97 \n
  • #98 \n
  • #99 \n
  • #100 \n
  • #101 \n
  • #102 \n
  • #103 \n
  • #104 MISSION: READINESS\nIn a study being released Thursday Nov 5, 2009 in Washington, Education Secretary Arne Duncan and a group of retired military officers led by former Army Gen. Wesley Clark will sound the alarm bells and call young Americans&amp;#x2019; relative lack of overall fitness for military duty a national security threat. The group, Mission: Readiness, will release a report that draws on Pentagon data showing that 75 percent of the nation&amp;#x2019;s 17- to 24-year-olds are ineligible for service for a variety of reasons.\n\nPut another way, only 4.7 million of the 31.2 million 17- to 24-year-olds in a 2007 survey are eligible to enlist, according to a periodic survey commissioned by the Pentagon. This group includes those who have scored in the top four categories on the Armed Forces Qualification Test, or AQFT; eligible college graduates; and qualified college students.\n\nAccording to the Pentagon, the ineligible population breaks down this way:\n\n&amp;#x2022;Medical/physical problems, 35 percent.\n&amp;#x2022;Illegal drug use, 18 percent.\n&amp;#x2022;Mental Category V (the lowest 10 percent of the population), 9 percent.\n&amp;#x2022;Too many dependents under age 18, 6 percent.\n&amp;#x2022;Criminal record, 5 percent.\n
  • #105 \n
  • #106 \n
  • #107 \n
  • #108 \n
  • #109 \n
  • #110 \n
  • #111 \n
  • #112 \n
  • #113 \n
  • #114 \n
  • #115 \n
  • #116 \n
  • #117 \n
  • #118 \n
  • #119 \n
  • #120 \n
  • #121 \n
  • #122 \n
  • #123 \n
  • #124 \n
  • #125 \n
  • #126 \n
  • #127 \n
  • #128 \n
  • #129 \n
  • #130 \n
  • #131 \n
  • #132 \n
  • #133 There are now studies showing that grades and behavior improve in school when children and teens increase their daily intake of omega-3 brain food. \n\nIn a randomized study on Durham school district in the England, children got omega-3 or placebo. During the first 3 months the average gain for children taking fatty acids was 9.5 months for reading and 6.5 months for spelling. Yes, this was very statistically significant. Notice the improvement in writing skills, as an example of change.\n\nLater the children who got the placebo received omega-3, and their results then improved.\n\n\n
  • #134 When people consume lots of the omega 6s, they are 2.5 times more likely to develop depression, compared to people who consume omega-3&amp;#x2018;s. Depression in the United States has been steadily increasing, and our young people consume the most omega-6&amp;#x2019;s in the world.\n
  • #135 When people consume lots of the omega 6s, they are 2.5 times more likely to develop depression, compared to people who consume omega-3&amp;#x2018;s. Depression in the United States has been steadily increasing, and our young people consume the most omega-6&amp;#x2019;s in the world.\n
  • #136 When people consume lots of the omega 6s, they are 2.5 times more likely to develop depression, compared to people who consume omega-3&amp;#x2018;s. Depression in the United States has been steadily increasing, and our young people consume the most omega-6&amp;#x2019;s in the world.\n
  • #137 When people consume lots of the omega 6s, they are 2.5 times more likely to develop depression, compared to people who consume omega-3&amp;#x2018;s. Depression in the United States has been steadily increasing, and our young people consume the most omega-6&amp;#x2019;s in the world.\n
  • #138 When people consume lots of the omega 6s, they are 2.5 times more likely to develop depression, compared to people who consume omega-3&amp;#x2018;s. Depression in the United States has been steadily increasing, and our young people consume the most omega-6&amp;#x2019;s in the world.\n
  • #139 Too much omega 6&amp;#x2014;the bad brain food&amp;#x2014;hurts intelligence and school performance. American children have the highest levels of omega-6 in the world, and countries like Japan have the lowest level. And which country has children scoring high on standardized achievement tests?\n
  • #140 \n
  • #141 \n
  • #142 \n
  • #143 \n
  • #144 \n
  • #145 \n
  • #146 \n
  • #147 \n
  • #148 \n
  • #149 Explain:\n\nBilly&amp;#x2019;s behavior can be predicted by a mathematical formula&amp;#x2014;just like many things in nature can be predicted by a formula. The formula is simple just like E=MC2 by Einstein is simple&amp;#x2014;though powerful and complex in many ways.\n
  • #150 So here is our estimate of the frequency of reinforcement for PAX and the reinforcement of Spleems. What does that mean for the amount of PAX time wherein the conditions of teaching and learning favor success?\n
  • #151 And the answer?\n
  • #152 The question is how to solve the situation. \n
  • #153 The question is how to solve the situation. \n
  • #154 The question is how to solve the situation. \n
  • #155 The question is how to solve the situation. \n
  • #156 The question is how to solve the situation. \n
  • #157 The question is how to solve the situation. \n
  • #158 The question is how to solve the situation. \n
  • #159 The question is how to solve the situation. \n
  • #160 \n
  • #161 \n
  • #162 \n
  • #163 \n
  • #164 \n
  • #165 \n
  • #166 \n
  • #167 \n
  • #168 \n
  • #169 \n
  • #170 \n
  • #171 \n
  • #172 \n
  • #173 \n
  • #174 \n
  • #175 \n
  • #176 \n
  • #177 \n
  • #178 \n
  • #179 \n
  • #180 \n
  • #181 \n
  • #182 \n
  • #183 \n
  • #184 \n
  • #185 \n
  • #186 \n
  • #187 \n
  • #188 \n
  • #189 \n
  • #190 \n
  • #191 \n
  • #192 \n
  • #193 \n
  • #194 \n
  • #195 \n
  • #196 \n
  • #197 \n
  • #198 \n
  • #199 \n
  • #200 Preventing Sleep Deprivation\nThe IOM Report (IOM, page 212) points out that there is a need for a public campaign to increase healthy sleep among the nation&amp;#x2019;s children and youth to prevent mental, emotional and behavioral disorders&amp;#x2014;including risk of addictions.1-4 Good sleep also reduces obesity in children and young adults.5-7\nSleep deprivation is rapidly increasing in children and teens&amp;#x2014;by virtue of electronic media (e.g., cellphones, instant messaging, TV&amp;#x2019;s and electronic games in children&amp;#x2019;s bedrooms) is now firmly linked to increased risk of ATOD use and other problematic behaviors for multiple biological, media modeling, and adverse norming reasons.\nOur children today sleep a lot less than children just 10-20 years ago. The lack of sleep, even as a young child, significantly predicts getting drunk, stoned, or in trouble with the law including for violence as well as doing poorly in school.4 8-11 The reason is not more homework or family stress. The reason is simple: Children&amp;#x2019;s bedrooms today are like electronic super-stores&amp;#x2014;often with a TV, a computer, electronic games, and now cell phones.10 12-20 These electronic things are a lot more exciting and sleep depriving than reading a book under the covers with a flashlight.20 When parents significantly reduce use of these things&amp;#x2014;especially in children&amp;#x2019;s bedrooms&amp;#x2014;children and teens are healthier, less irritable, do better in school and less likely to get into all manner of trouble.21 22 There are some strategies to slim your child&amp;#x2019;s media diet if families are unsure what to do.23\nBibliography\n1. Abe T, Hagihara A, Nobutomo K. Sleep patterns and impulse control among Japanese junior high school students. J Adolesc 2009.2. Holm SM, Forbes EE, Ryan ND, Phillips ML, Tarr JA, Dahl RE. Reward-related brain function and sleep in pre/early pubertal and mid/late pubertal adolescents. Journal of Adolescent Health 2009;45(4):326-34.3. Wong CJ, Sheppard J-M, Dallery J, Bedient G, Robles E, Svikis D, et al. Effects of reinforcer magnitude on data-entry productivity in chronically unemployed drug abusers participating in a therapeutic workplace. Experimental &amp; Clinical Psychopharmacology 2003;11(1):46-55.4. Wong MM, Brower KJ, Fitzgerald HE, Zucker RA. Sleep problems in early childhood and early onset of alcohol and other drug use in adolescence. Alcoholism: Clinical &amp; Experimental Research 2004;28(4):578-87.5. Nielsen LS, Danielsen KV, Sorensen TI. Short sleep duration as a possible cause of obesity: critical analysis of the epidemiological evidence. Obes Rev 2010.6. Cappuccio FP, Taggart FM, Kandala NB, Currie A, Peile E, Stranges S, et al. Meta-analysis of short sleep duration and obesity in children and adults. Sleep 2008;31(5):619-26.7. Al Mamun A, Lawlor DA, Cramb S, O&apos;Callaghan M, Williams G, Najman J. Do childhood sleeping problems predict obesity in young adulthood? Evidence from a prospective birth cohort study. Am J Epidemiol 2007;166(12):1368-73.8. Chervin RD, Dillon JE, Archbold KH, Ruzicka DL. Conduct problems and symptoms of sleep disorders in children. Journal of the American Academy of Child &amp; Adolescent Psychiatry 2003;42(2):201-08.9. Owens J, Maxim R, McGuinn M, Nobile C, Msall M, Alario A. Television-viewing habits and sleep disturbance in school children. Pediatrics 1999;104(3):e27.10. Dworak M, Schierl T, Bruns T, Str&amp;#xB8;der HK. Impact of singular excessive computer game and television exposure on sleep patterns and memory performance of school-aged children. Pediatrics 2007;120(5):978-85.11. Meijer AM. Chronic sleep reduction, functioning at school and school achievement in preadolescents. Journal of Sleep Research 2008;17(4):395-405.12. Van den Bulck J. Television viewing, computer game playing, and Internet use and self-reported time to bed and time out of bed in secondary-school children.[see comment]. Sleep 2004;27(1):101-4.13. Van den Bulck J. Text messaging as a cause of sleep interruption in adolescents, evidence from a cross-sectional study. Journal of Sleep Research 2003;12(3):263-63.14. Tazawa Y, Okada K. Physical signs associated with excessive television-game playing and sleep deprivation. Pediatrics International 2001;43(6):647-50.15. Johnson JG, Cohen P, Kasen S, First MB, Brook JS. Association between television viewing and sleep problems during adolescence and early adulthood.[see comment]. Archives of Pediatrics &amp; Adolescent Medicine 2004;158(6):562-8.16. Thompson DA, Christakis DA. The association between television viewing and irregular sleep schedules among children less than 3 years of age. Pediatrics 2005;116(4):851-6.17. Paavonen EJ, Pennonen M, Roine M, Valkonen S, Lahikainen AR. TV exposure associated with sleep disturbances in 5- to 6-year-old children. Journal of Sleep Research 2006;15(2):154-61.18. Toyran M, Ozmert E, Yurdakok K. Television viewing and its effect on physical health of schoolage children. Turkish Journal of Pediatrics 2002;44(3):194-203.19. Borzekowski DLG, Robinson TN. The Remote, the Mouse, and the No. 2 Pencil: The Household Media Environment and Academic Achievement Among Third Grade Students. Arch Pediatr Adolesc Med 2005;159(7):607-13.20. Suganuma N, Kikuchi T, Yanagi K, Yamamura S, Morishima H, Adachi H, et al. Using electronic media before sleep can curtail sleep time and result in self-perceived insufficient sleep. Sleep and Biological Rhythms 2007;5(3):204-14.21. Barkin SL, Finch SA, Ip EH, Scheindlin B, Craig JA, Steffes J, et al. Is Office-Based Counseling About Media Use, Timeouts, and Firearm Storage Effective? Results From a Cluster-Randomized, Controlled Trial. Pediatrics 2008;122(1):e15-25.22. Gorin A, Raynor H, Chula-Maguire K, Wing R. Decreasing household television time: A pilot study of a combined behavioral and environmental intervention. Behavioral Interventions 2006;21(4):273-80.23. Jordan AB, Hersey JC, McDivitt JA, Heitzler CD. Reducing Children&apos;s Television-Viewing Time: A Qualitative Study of Parents and Their Children. Pediatrics 2006;118(5):e1303-10.\n
  • #201 Sleep deprivation is particularly a problem for children. In studies of elementary aged children, nearly 40% had some type of sleep problem, 15% exhibited bedtime resistance and 10% had daytime sleepiness. Nearly half of teens reported at least occasional difficulty in falling or staying asleep and almost 13% experiencing chronic and severe insomnia. This lack of sleep greatly affects mood, behavior, and academic performance. In pediatric research, poor sleepers reported being significantly more depressed and were even more likely to have a negative self-image. They were also more likely to exhibit negative behavior patterns and inferior coping behaviors and have more behavioral problems at home and in school. One study showed that students that students with C&amp;#x2019;s, D&amp;#x2019;s and F&amp;#x2019;s went to bed an average of 40 minutes later and got 20 minutes less sleep than A students. Insufficient sleep has also been associated with Attention Deficit Hyperactivity Disorder (ADHD), lower social skills and learning difficulties.\n
  • #202 \n
  • #203 \n
  • #204 \n
  • #205 Here is one example of an experimental study to reduce TV and electronic media.\n\nRobinson, T. N., M. L. Wilde, et al. (2001). &quot;Effects of reducing children&apos;s television and video game use on aggressive behavior: a randomized controlled trial.[see comment].&quot; Archives of Pediatrics &amp; Adolescent Medicine 155(1): 17-23.CONTEXT: The relationship between exposure to aggression in the media and children&apos;s aggressive behavior is well documented. However, few potential solutions have been evaluated. OBJECTIVE: To assess the effects of reducing television, videotape, and video game use on aggressive behavior and perceptions of a mean and scary world. DESIGN: Randomized, controlled, school-based trial. \nSETTING: Two sociodemographically and scholastically matched public elementary schools in San Jose, Calif. PARTICIPANTS: Third- and fourth-grade students (mean age, 8.9 years) and their parents or guardians. \nINTERVENTION: Children in one elementary school received an 18-lesson, 6-month classroom curriculum to reduce television, videotape, and video game use. MAIN OUTCOME MEASURES: In September (preintervention) and April (postintervention) of a single school year, children rated their peers&apos; aggressive behavior and reported their perceptions of the world as a mean and scary place. A 60% random sample of children were observed for physical and verbal aggression on the playground. Parents were interviewed by telephone and reported aggressive and delinquent behaviors on the child behavior checklist. The primary outcome measure was peer ratings of aggressive behavior. \nRESULTS: Compared with controls, children in the intervention group had statistically significant decreases in peer ratings of aggression (adjusted mean difference, -2.4%; 95% confidence interval [CI], -4.6 to -0.2; P =.03) and observed verbal aggression (adjusted mean difference, -0.10 act per minute per child; 95% CI, -0.18 to -0.03; P =.01). Differences in observed physical aggression, parent reports of aggressive behavior, and perceptions of a mean and scary world were not statistically significant but favored the intervention group. CONCLUSIONS: An intervention to reduce television, videotape, and video game use decreases aggressive behavior in elementary schoolchildren. These findings support the causal influences of these media on aggression and the potential benefits of reducing children&apos;s media use.\n
  • #206 \n
  • #207 \n
  • #208 \n
  • #209 \n
  • #210 \n
  • #211 \n
  • #212 Theodore, A. D., Chang, J. J., Runyan, D. K., Hunter, W. M., Bangdiwala, S. I., &amp; Agans, R. (2005). Epidemiologic Features of the Physical and Sexual Maltreatment of Children in the Carolinas. Pediatrics, 115(3), e331-337. These investigators examined the extent of the underestimate of child maltreatment, one of the few studies to do so. Here is the abstract.Child maltreatment remains a significant public health and social problem in the United States. Incidence data rely on substantiated reports of maltreatment known to official social service agencies. Objective. The objective of this study was to describe the epidemiologic features of child physical and sexual abuse, on the basis of maternal self-reports. Design, Setting, and Participants. Computer-assisted, anonymous, cross-sectional, telephone surveys (N = 1435) were conducted with mothers of children 0 to 17 years of age in North and South Carolina. Mothers were asked about potentially abusive behaviors used by either themselves or their husbands or partners in the context of other disciplinary practices. They were also asked about their knowledge of any sexual victimization their children might have experienced. Main Outcome Measures. The incidence of physical and sexual maltreatment determined through maternal reports. Results. Use of harsh physical discipline, equivalent to physical abuse, occurred with an incidence of 4.3%. Shaking of very young children as a means of discipline occurred among 2.6% of children &lt;2 years of age. Mothers reported more frequent physical discipline of their children, including shaking, for themselves than for fathers or father figures. Nearly 11 of 1000 children were reported by their mothers as having been sexually victimized within the past year. The incidence of physical abuse determined with maternal self-reports was 40 times greater than that of official child physical abuse reports, and the sexual abuse incidence was 15 times greater. For every 1 child who sustains a serious injury as a result of shaking, an estimated 150 children may be shaken and go undetected. There was no statistically significant difference in the overall rates of physical or sexual maltreatment between the 2 states. Conclusions. Official statistics underestimate the burden of child maltreatment. Supplemental data obtained with alternative strategies can assist policymakers and planners in addressing needs and services within communities and states. These data support the need for continued interventions to prevent maltreatment.\n
  • #213 Theodore, A. D., Chang, J. J., Runyan, D. K., Hunter, W. M., Bangdiwala, S. I., &amp; Agans, R. (2005). Epidemiologic Features of the Physical and Sexual Maltreatment of Children in the Carolinas. Pediatrics, 115(3), e331-337. These investigators examined the extent of the underestimate of child maltreatment, one of the few studies to do so. Here is the abstract.Child maltreatment remains a significant public health and social problem in the United States. Incidence data rely on substantiated reports of maltreatment known to official social service agencies. Objective. The objective of this study was to describe the epidemiologic features of child physical and sexual abuse, on the basis of maternal self-reports. Design, Setting, and Participants. Computer-assisted, anonymous, cross-sectional, telephone surveys (N = 1435) were conducted with mothers of children 0 to 17 years of age in North and South Carolina. Mothers were asked about potentially abusive behaviors used by either themselves or their husbands or partners in the context of other disciplinary practices. They were also asked about their knowledge of any sexual victimization their children might have experienced. Main Outcome Measures. The incidence of physical and sexual maltreatment determined through maternal reports. Results. Use of harsh physical discipline, equivalent to physical abuse, occurred with an incidence of 4.3%. Shaking of very young children as a means of discipline occurred among 2.6% of children &lt;2 years of age. Mothers reported more frequent physical discipline of their children, including shaking, for themselves than for fathers or father figures. Nearly 11 of 1000 children were reported by their mothers as having been sexually victimized within the past year. The incidence of physical abuse determined with maternal self-reports was 40 times greater than that of official child physical abuse reports, and the sexual abuse incidence was 15 times greater. For every 1 child who sustains a serious injury as a result of shaking, an estimated 150 children may be shaken and go undetected. There was no statistically significant difference in the overall rates of physical or sexual maltreatment between the 2 states. Conclusions. Official statistics underestimate the burden of child maltreatment. Supplemental data obtained with alternative strategies can assist policymakers and planners in addressing needs and services within communities and states. These data support the need for continued interventions to prevent maltreatment.\n
  • #214 Theodore, A. D., Chang, J. J., Runyan, D. K., Hunter, W. M., Bangdiwala, S. I., &amp; Agans, R. (2005). Epidemiologic Features of the Physical and Sexual Maltreatment of Children in the Carolinas. Pediatrics, 115(3), e331-337. These investigators examined the extent of the underestimate of child maltreatment, one of the few studies to do so. Here is the abstract.Child maltreatment remains a significant public health and social problem in the United States. Incidence data rely on substantiated reports of maltreatment known to official social service agencies. Objective. The objective of this study was to describe the epidemiologic features of child physical and sexual abuse, on the basis of maternal self-reports. Design, Setting, and Participants. Computer-assisted, anonymous, cross-sectional, telephone surveys (N = 1435) were conducted with mothers of children 0 to 17 years of age in North and South Carolina. Mothers were asked about potentially abusive behaviors used by either themselves or their husbands or partners in the context of other disciplinary practices. They were also asked about their knowledge of any sexual victimization their children might have experienced. Main Outcome Measures. The incidence of physical and sexual maltreatment determined through maternal reports. Results. Use of harsh physical discipline, equivalent to physical abuse, occurred with an incidence of 4.3%. Shaking of very young children as a means of discipline occurred among 2.6% of children &lt;2 years of age. Mothers reported more frequent physical discipline of their children, including shaking, for themselves than for fathers or father figures. Nearly 11 of 1000 children were reported by their mothers as having been sexually victimized within the past year. The incidence of physical abuse determined with maternal self-reports was 40 times greater than that of official child physical abuse reports, and the sexual abuse incidence was 15 times greater. For every 1 child who sustains a serious injury as a result of shaking, an estimated 150 children may be shaken and go undetected. There was no statistically significant difference in the overall rates of physical or sexual maltreatment between the 2 states. Conclusions. Official statistics underestimate the burden of child maltreatment. Supplemental data obtained with alternative strategies can assist policymakers and planners in addressing needs and services within communities and states. These data support the need for continued interventions to prevent maltreatment.\n
  • #215 Theodore, A. D., Chang, J. J., Runyan, D. K., Hunter, W. M., Bangdiwala, S. I., &amp; Agans, R. (2005). Epidemiologic Features of the Physical and Sexual Maltreatment of Children in the Carolinas. Pediatrics, 115(3), e331-337. These investigators examined the extent of the underestimate of child maltreatment, one of the few studies to do so. Here is the abstract.Child maltreatment remains a significant public health and social problem in the United States. Incidence data rely on substantiated reports of maltreatment known to official social service agencies. Objective. The objective of this study was to describe the epidemiologic features of child physical and sexual abuse, on the basis of maternal self-reports. Design, Setting, and Participants. Computer-assisted, anonymous, cross-sectional, telephone surveys (N = 1435) were conducted with mothers of children 0 to 17 years of age in North and South Carolina. Mothers were asked about potentially abusive behaviors used by either themselves or their husbands or partners in the context of other disciplinary practices. They were also asked about their knowledge of any sexual victimization their children might have experienced. Main Outcome Measures. The incidence of physical and sexual maltreatment determined through maternal reports. Results. Use of harsh physical discipline, equivalent to physical abuse, occurred with an incidence of 4.3%. Shaking of very young children as a means of discipline occurred among 2.6% of children &lt;2 years of age. Mothers reported more frequent physical discipline of their children, including shaking, for themselves than for fathers or father figures. Nearly 11 of 1000 children were reported by their mothers as having been sexually victimized within the past year. The incidence of physical abuse determined with maternal self-reports was 40 times greater than that of official child physical abuse reports, and the sexual abuse incidence was 15 times greater. For every 1 child who sustains a serious injury as a result of shaking, an estimated 150 children may be shaken and go undetected. There was no statistically significant difference in the overall rates of physical or sexual maltreatment between the 2 states. Conclusions. Official statistics underestimate the burden of child maltreatment. Supplemental data obtained with alternative strategies can assist policymakers and planners in addressing needs and services within communities and states. These data support the need for continued interventions to prevent maltreatment.\n
  • #216 Theodore, A. D., Chang, J. J., Runyan, D. K., Hunter, W. M., Bangdiwala, S. I., &amp; Agans, R. (2005). Epidemiologic Features of the Physical and Sexual Maltreatment of Children in the Carolinas. Pediatrics, 115(3), e331-337. These investigators examined the extent of the underestimate of child maltreatment, one of the few studies to do so. Here is the abstract.Child maltreatment remains a significant public health and social problem in the United States. Incidence data rely on substantiated reports of maltreatment known to official social service agencies. Objective. The objective of this study was to describe the epidemiologic features of child physical and sexual abuse, on the basis of maternal self-reports. Design, Setting, and Participants. Computer-assisted, anonymous, cross-sectional, telephone surveys (N = 1435) were conducted with mothers of children 0 to 17 years of age in North and South Carolina. Mothers were asked about potentially abusive behaviors used by either themselves or their husbands or partners in the context of other disciplinary practices. They were also asked about their knowledge of any sexual victimization their children might have experienced. Main Outcome Measures. The incidence of physical and sexual maltreatment determined through maternal reports. Results. Use of harsh physical discipline, equivalent to physical abuse, occurred with an incidence of 4.3%. Shaking of very young children as a means of discipline occurred among 2.6% of children &lt;2 years of age. Mothers reported more frequent physical discipline of their children, including shaking, for themselves than for fathers or father figures. Nearly 11 of 1000 children were reported by their mothers as having been sexually victimized within the past year. The incidence of physical abuse determined with maternal self-reports was 40 times greater than that of official child physical abuse reports, and the sexual abuse incidence was 15 times greater. For every 1 child who sustains a serious injury as a result of shaking, an estimated 150 children may be shaken and go undetected. There was no statistically significant difference in the overall rates of physical or sexual maltreatment between the 2 states. Conclusions. Official statistics underestimate the burden of child maltreatment. Supplemental data obtained with alternative strategies can assist policymakers and planners in addressing needs and services within communities and states. These data support the need for continued interventions to prevent maltreatment.\n
  • #217 Theodore, A. D., Chang, J. J., Runyan, D. K., Hunter, W. M., Bangdiwala, S. I., &amp; Agans, R. (2005). Epidemiologic Features of the Physical and Sexual Maltreatment of Children in the Carolinas. Pediatrics, 115(3), e331-337. These investigators examined the extent of the underestimate of child maltreatment, one of the few studies to do so. Here is the abstract.Child maltreatment remains a significant public health and social problem in the United States. Incidence data rely on substantiated reports of maltreatment known to official social service agencies. Objective. The objective of this study was to describe the epidemiologic features of child physical and sexual abuse, on the basis of maternal self-reports. Design, Setting, and Participants. Computer-assisted, anonymous, cross-sectional, telephone surveys (N = 1435) were conducted with mothers of children 0 to 17 years of age in North and South Carolina. Mothers were asked about potentially abusive behaviors used by either themselves or their husbands or partners in the context of other disciplinary practices. They were also asked about their knowledge of any sexual victimization their children might have experienced. Main Outcome Measures. The incidence of physical and sexual maltreatment determined through maternal reports. Results. Use of harsh physical discipline, equivalent to physical abuse, occurred with an incidence of 4.3%. Shaking of very young children as a means of discipline occurred among 2.6% of children &lt;2 years of age. Mothers reported more frequent physical discipline of their children, including shaking, for themselves than for fathers or father figures. Nearly 11 of 1000 children were reported by their mothers as having been sexually victimized within the past year. The incidence of physical abuse determined with maternal self-reports was 40 times greater than that of official child physical abuse reports, and the sexual abuse incidence was 15 times greater. For every 1 child who sustains a serious injury as a result of shaking, an estimated 150 children may be shaken and go undetected. There was no statistically significant difference in the overall rates of physical or sexual maltreatment between the 2 states. Conclusions. Official statistics underestimate the burden of child maltreatment. Supplemental data obtained with alternative strategies can assist policymakers and planners in addressing needs and services within communities and states. These data support the need for continued interventions to prevent maltreatment.\n
  • #218 Theodore, A. D., Chang, J. J., Runyan, D. K., Hunter, W. M., Bangdiwala, S. I., &amp; Agans, R. (2005). Epidemiologic Features of the Physical and Sexual Maltreatment of Children in the Carolinas. Pediatrics, 115(3), e331-337. These investigators examined the extent of the underestimate of child maltreatment, one of the few studies to do so. Here is the abstract.Child maltreatment remains a significant public health and social problem in the United States. Incidence data rely on substantiated reports of maltreatment known to official social service agencies. Objective. The objective of this study was to describe the epidemiologic features of child physical and sexual abuse, on the basis of maternal self-reports. Design, Setting, and Participants. Computer-assisted, anonymous, cross-sectional, telephone surveys (N = 1435) were conducted with mothers of children 0 to 17 years of age in North and South Carolina. Mothers were asked about potentially abusive behaviors used by either themselves or their husbands or partners in the context of other disciplinary practices. They were also asked about their knowledge of any sexual victimization their children might have experienced. Main Outcome Measures. The incidence of physical and sexual maltreatment determined through maternal reports. Results. Use of harsh physical discipline, equivalent to physical abuse, occurred with an incidence of 4.3%. Shaking of very young children as a means of discipline occurred among 2.6% of children &lt;2 years of age. Mothers reported more frequent physical discipline of their children, including shaking, for themselves than for fathers or father figures. Nearly 11 of 1000 children were reported by their mothers as having been sexually victimized within the past year. The incidence of physical abuse determined with maternal self-reports was 40 times greater than that of official child physical abuse reports, and the sexual abuse incidence was 15 times greater. For every 1 child who sustains a serious injury as a result of shaking, an estimated 150 children may be shaken and go undetected. There was no statistically significant difference in the overall rates of physical or sexual maltreatment between the 2 states. Conclusions. Official statistics underestimate the burden of child maltreatment. Supplemental data obtained with alternative strategies can assist policymakers and planners in addressing needs and services within communities and states. These data support the need for continued interventions to prevent maltreatment.\n
  • #219 Theodore, A. D., Chang, J. J., Runyan, D. K., Hunter, W. M., Bangdiwala, S. I., &amp; Agans, R. (2005). Epidemiologic Features of the Physical and Sexual Maltreatment of Children in the Carolinas. Pediatrics, 115(3), e331-337. These investigators examined the extent of the underestimate of child maltreatment, one of the few studies to do so. Here is the abstract.Child maltreatment remains a significant public health and social problem in the United States. Incidence data rely on substantiated reports of maltreatment known to official social service agencies. Objective. The objective of this study was to describe the epidemiologic features of child physical and sexual abuse, on the basis of maternal self-reports. Design, Setting, and Participants. Computer-assisted, anonymous, cross-sectional, telephone surveys (N = 1435) were conducted with mothers of children 0 to 17 years of age in North and South Carolina. Mothers were asked about potentially abusive behaviors used by either themselves or their husbands or partners in the context of other disciplinary practices. They were also asked about their knowledge of any sexual victimization their children might have experienced. Main Outcome Measures. The incidence of physical and sexual maltreatment determined through maternal reports. Results. Use of harsh physical discipline, equivalent to physical abuse, occurred with an incidence of 4.3%. Shaking of very young children as a means of discipline occurred among 2.6% of children &lt;2 years of age. Mothers reported more frequent physical discipline of their children, including shaking, for themselves than for fathers or father figures. Nearly 11 of 1000 children were reported by their mothers as having been sexually victimized within the past year. The incidence of physical abuse determined with maternal self-reports was 40 times greater than that of official child physical abuse reports, and the sexual abuse incidence was 15 times greater. For every 1 child who sustains a serious injury as a result of shaking, an estimated 150 children may be shaken and go undetected. There was no statistically significant difference in the overall rates of physical or sexual maltreatment between the 2 states. Conclusions. Official statistics underestimate the burden of child maltreatment. Supplemental data obtained with alternative strategies can assist policymakers and planners in addressing needs and services within communities and states. These data support the need for continued interventions to prevent maltreatment.\n
  • #220 Theodore, A. D., Chang, J. J., Runyan, D. K., Hunter, W. M., Bangdiwala, S. I., &amp; Agans, R. (2005). Epidemiologic Features of the Physical and Sexual Maltreatment of Children in the Carolinas. Pediatrics, 115(3), e331-337. These investigators examined the extent of the underestimate of child maltreatment, one of the few studies to do so. Here is the abstract.Child maltreatment remains a significant public health and social problem in the United States. Incidence data rely on substantiated reports of maltreatment known to official social service agencies. Objective. The objective of this study was to describe the epidemiologic features of child physical and sexual abuse, on the basis of maternal self-reports. Design, Setting, and Participants. Computer-assisted, anonymous, cross-sectional, telephone surveys (N = 1435) were conducted with mothers of children 0 to 17 years of age in North and South Carolina. Mothers were asked about potentially abusive behaviors used by either themselves or their husbands or partners in the context of other disciplinary practices. They were also asked about their knowledge of any sexual victimization their children might have experienced. Main Outcome Measures. The incidence of physical and sexual maltreatment determined through maternal reports. Results. Use of harsh physical discipline, equivalent to physical abuse, occurred with an incidence of 4.3%. Shaking of very young children as a means of discipline occurred among 2.6% of children &lt;2 years of age. Mothers reported more frequent physical discipline of their children, including shaking, for themselves than for fathers or father figures. Nearly 11 of 1000 children were reported by their mothers as having been sexually victimized within the past year. The incidence of physical abuse determined with maternal self-reports was 40 times greater than that of official child physical abuse reports, and the sexual abuse incidence was 15 times greater. For every 1 child who sustains a serious injury as a result of shaking, an estimated 150 children may be shaken and go undetected. There was no statistically significant difference in the overall rates of physical or sexual maltreatment between the 2 states. Conclusions. Official statistics underestimate the burden of child maltreatment. Supplemental data obtained with alternative strategies can assist policymakers and planners in addressing needs and services within communities and states. These data support the need for continued interventions to prevent maltreatment.\n
  • #221 Theodore, A. D., Chang, J. J., Runyan, D. K., Hunter, W. M., Bangdiwala, S. I., &amp; Agans, R. (2005). Epidemiologic Features of the Physical and Sexual Maltreatment of Children in the Carolinas. Pediatrics, 115(3), e331-337. These investigators examined the extent of the underestimate of child maltreatment, one of the few studies to do so. Here is the abstract.Child maltreatment remains a significant public health and social problem in the United States. Incidence data rely on substantiated reports of maltreatment known to official social service agencies. Objective. The objective of this study was to describe the epidemiologic features of child physical and sexual abuse, on the basis of maternal self-reports. Design, Setting, and Participants. Computer-assisted, anonymous, cross-sectional, telephone surveys (N = 1435) were conducted with mothers of children 0 to 17 years of age in North and South Carolina. Mothers were asked about potentially abusive behaviors used by either themselves or their husbands or partners in the context of other disciplinary practices. They were also asked about their knowledge of any sexual victimization their children might have experienced. Main Outcome Measures. The incidence of physical and sexual maltreatment determined through maternal reports. Results. Use of harsh physical discipline, equivalent to physical abuse, occurred with an incidence of 4.3%. Shaking of very young children as a means of discipline occurred among 2.6% of children &lt;2 years of age. Mothers reported more frequent physical discipline of their children, including shaking, for themselves than for fathers or father figures. Nearly 11 of 1000 children were reported by their mothers as having been sexually victimized within the past year. The incidence of physical abuse determined with maternal self-reports was 40 times greater than that of official child physical abuse reports, and the sexual abuse incidence was 15 times greater. For every 1 child who sustains a serious injury as a result of shaking, an estimated 150 children may be shaken and go undetected. There was no statistically significant difference in the overall rates of physical or sexual maltreatment between the 2 states. Conclusions. Official statistics underestimate the burden of child maltreatment. Supplemental data obtained with alternative strategies can assist policymakers and planners in addressing needs and services within communities and states. These data support the need for continued interventions to prevent maltreatment.\n
  • #222 Theodore, A. D., Chang, J. J., Runyan, D. K., Hunter, W. M., Bangdiwala, S. I., &amp; Agans, R. (2005). Epidemiologic Features of the Physical and Sexual Maltreatment of Children in the Carolinas. Pediatrics, 115(3), e331-337. These investigators examined the extent of the underestimate of child maltreatment, one of the few studies to do so. Here is the abstract.Child maltreatment remains a significant public health and social problem in the United States. Incidence data rely on substantiated reports of maltreatment known to official social service agencies. Objective. The objective of this study was to describe the epidemiologic features of child physical and sexual abuse, on the basis of maternal self-reports. Design, Setting, and Participants. Computer-assisted, anonymous, cross-sectional, telephone surveys (N = 1435) were conducted with mothers of children 0 to 17 years of age in North and South Carolina. Mothers were asked about potentially abusive behaviors used by either themselves or their husbands or partners in the context of other disciplinary practices. They were also asked about their knowledge of any sexual victimization their children might have experienced. Main Outcome Measures. The incidence of physical and sexual maltreatment determined through maternal reports. Results. Use of harsh physical discipline, equivalent to physical abuse, occurred with an incidence of 4.3%. Shaking of very young children as a means of discipline occurred among 2.6% of children &lt;2 years of age. Mothers reported more frequent physical discipline of their children, including shaking, for themselves than for fathers or father figures. Nearly 11 of 1000 children were reported by their mothers as having been sexually victimized within the past year. The incidence of physical abuse determined with maternal self-reports was 40 times greater than that of official child physical abuse reports, and the sexual abuse incidence was 15 times greater. For every 1 child who sustains a serious injury as a result of shaking, an estimated 150 children may be shaken and go undetected. There was no statistically significant difference in the overall rates of physical or sexual maltreatment between the 2 states. Conclusions. Official statistics underestimate the burden of child maltreatment. Supplemental data obtained with alternative strategies can assist policymakers and planners in addressing needs and services within communities and states. These data support the need for continued interventions to prevent maltreatment.\n
  • #223 Theodore, A. D., Chang, J. J., Runyan, D. K., Hunter, W. M., Bangdiwala, S. I., &amp; Agans, R. (2005). Epidemiologic Features of the Physical and Sexual Maltreatment of Children in the Carolinas. Pediatrics, 115(3), e331-337. These investigators examined the extent of the underestimate of child maltreatment, one of the few studies to do so. Here is the abstract.Child maltreatment remains a significant public health and social problem in the United States. Incidence data rely on substantiated reports of maltreatment known to official social service agencies. Objective. The objective of this study was to describe the epidemiologic features of child physical and sexual abuse, on the basis of maternal self-reports. Design, Setting, and Participants. Computer-assisted, anonymous, cross-sectional, telephone surveys (N = 1435) were conducted with mothers of children 0 to 17 years of age in North and South Carolina. Mothers were asked about potentially abusive behaviors used by either themselves or their husbands or partners in the context of other disciplinary practices. They were also asked about their knowledge of any sexual victimization their children might have experienced. Main Outcome Measures. The incidence of physical and sexual maltreatment determined through maternal reports. Results. Use of harsh physical discipline, equivalent to physical abuse, occurred with an incidence of 4.3%. Shaking of very young children as a means of discipline occurred among 2.6% of children &lt;2 years of age. Mothers reported more frequent physical discipline of their children, including shaking, for themselves than for fathers or father figures. Nearly 11 of 1000 children were reported by their mothers as having been sexually victimized within the past year. The incidence of physical abuse determined with maternal self-reports was 40 times greater than that of official child physical abuse reports, and the sexual abuse incidence was 15 times greater. For every 1 child who sustains a serious injury as a result of shaking, an estimated 150 children may be shaken and go undetected. There was no statistically significant difference in the overall rates of physical or sexual maltreatment between the 2 states. Conclusions. Official statistics underestimate the burden of child maltreatment. Supplemental data obtained with alternative strategies can assist policymakers and planners in addressing needs and services within communities and states. These data support the need for continued interventions to prevent maltreatment.\n
  • #224 Theodore, A. D., Chang, J. J., Runyan, D. K., Hunter, W. M., Bangdiwala, S. I., &amp; Agans, R. (2005). Epidemiologic Features of the Physical and Sexual Maltreatment of Children in the Carolinas. Pediatrics, 115(3), e331-337. These investigators examined the extent of the underestimate of child maltreatment, one of the few studies to do so. Here is the abstract.Child maltreatment remains a significant public health and social problem in the United States. Incidence data rely on substantiated reports of maltreatment known to official social service agencies. Objective. The objective of this study was to describe the epidemiologic features of child physical and sexual abuse, on the basis of maternal self-reports. Design, Setting, and Participants. Computer-assisted, anonymous, cross-sectional, telephone surveys (N = 1435) were conducted with mothers of children 0 to 17 years of age in North and South Carolina. Mothers were asked about potentially abusive behaviors used by either themselves or their husbands or partners in the context of other disciplinary practices. They were also asked about their knowledge of any sexual victimization their children might have experienced. Main Outcome Measures. The incidence of physical and sexual maltreatment determined through maternal reports. Results. Use of harsh physical discipline, equivalent to physical abuse, occurred with an incidence of 4.3%. Shaking of very young children as a means of discipline occurred among 2.6% of children &lt;2 years of age. Mothers reported more frequent physical discipline of their children, including shaking, for themselves than for fathers or father figures. Nearly 11 of 1000 children were reported by their mothers as having been sexually victimized within the past year. The incidence of physical abuse determined with maternal self-reports was 40 times greater than that of official child physical abuse reports, and the sexual abuse incidence was 15 times greater. For every 1 child who sustains a serious injury as a result of shaking, an estimated 150 children may be shaken and go undetected. There was no statistically significant difference in the overall rates of physical or sexual maltreatment between the 2 states. Conclusions. Official statistics underestimate the burden of child maltreatment. Supplemental data obtained with alternative strategies can assist policymakers and planners in addressing needs and services within communities and states. These data support the need for continued interventions to prevent maltreatment.\n
  • #225 Theodore, A. D., Chang, J. J., Runyan, D. K., Hunter, W. M., Bangdiwala, S. I., &amp; Agans, R. (2005). Epidemiologic Features of the Physical and Sexual Maltreatment of Children in the Carolinas. Pediatrics, 115(3), e331-337. These investigators examined the extent of the underestimate of child maltreatment, one of the few studies to do so. Here is the abstract.Child maltreatment remains a significant public health and social problem in the United States. Incidence data rely on substantiated reports of maltreatment known to official social service agencies. Objective. The objective of this study was to describe the epidemiologic features of child physical and sexual abuse, on the basis of maternal self-reports. Design, Setting, and Participants. Computer-assisted, anonymous, cross-sectional, telephone surveys (N = 1435) were conducted with mothers of children 0 to 17 years of age in North and South Carolina. Mothers were asked about potentially abusive behaviors used by either themselves or their husbands or partners in the context of other disciplinary practices. They were also asked about their knowledge of any sexual victimization their children might have experienced. Main Outcome Measures. The incidence of physical and sexual maltreatment determined through maternal reports. Results. Use of harsh physical discipline, equivalent to physical abuse, occurred with an incidence of 4.3%. Shaking of very young children as a means of discipline occurred among 2.6% of children &lt;2 years of age. Mothers reported more frequent physical discipline of their children, including shaking, for themselves than for fathers or father figures. Nearly 11 of 1000 children were reported by their mothers as having been sexually victimized within the past year. The incidence of physical abuse determined with maternal self-reports was 40 times greater than that of official child physical abuse reports, and the sexual abuse incidence was 15 times greater. For every 1 child who sustains a serious injury as a result of shaking, an estimated 150 children may be shaken and go undetected. There was no statistically significant difference in the overall rates of physical or sexual maltreatment between the 2 states. Conclusions. Official statistics underestimate the burden of child maltreatment. Supplemental data obtained with alternative strategies can assist policymakers and planners in addressing needs and services within communities and states. These data support the need for continued interventions to prevent maltreatment.\n
  • #226 Theodore, A. D., Chang, J. J., Runyan, D. K., Hunter, W. M., Bangdiwala, S. I., &amp; Agans, R. (2005). Epidemiologic Features of the Physical and Sexual Maltreatment of Children in the Carolinas. Pediatrics, 115(3), e331-337. These investigators examined the extent of the underestimate of child maltreatment, one of the few studies to do so. Here is the abstract.Child maltreatment remains a significant public health and social problem in the United States. Incidence data rely on substantiated reports of maltreatment known to official social service agencies. Objective. The objective of this study was to describe the epidemiologic features of child physical and sexual abuse, on the basis of maternal self-reports. Design, Setting, and Participants. Computer-assisted, anonymous, cross-sectional, telephone surveys (N = 1435) were conducted with mothers of children 0 to 17 years of age in North and South Carolina. Mothers were asked about potentially abusive behaviors used by either themselves or their husbands or partners in the context of other disciplinary practices. They were also asked about their knowledge of any sexual victimization their children might have experienced. Main Outcome Measures. The incidence of physical and sexual maltreatment determined through maternal reports. Results. Use of harsh physical discipline, equivalent to physical abuse, occurred with an incidence of 4.3%. Shaking of very young children as a means of discipline occurred among 2.6% of children &lt;2 years of age. Mothers reported more frequent physical discipline of their children, including shaking, for themselves than for fathers or father figures. Nearly 11 of 1000 children were reported by their mothers as having been sexually victimized within the past year. The incidence of physical abuse determined with maternal self-reports was 40 times greater than that of official child physical abuse reports, and the sexual abuse incidence was 15 times greater. For every 1 child who sustains a serious injury as a result of shaking, an estimated 150 children may be shaken and go undetected. There was no statistically significant difference in the overall rates of physical or sexual maltreatment between the 2 states. Conclusions. Official statistics underestimate the burden of child maltreatment. Supplemental data obtained with alternative strategies can assist policymakers and planners in addressing needs and services within communities and states. These data support the need for continued interventions to prevent maltreatment.\n
  • #227 Theodore, A. D., Chang, J. J., Runyan, D. K., Hunter, W. M., Bangdiwala, S. I., &amp; Agans, R. (2005). Epidemiologic Features of the Physical and Sexual Maltreatment of Children in the Carolinas. Pediatrics, 115(3), e331-337. These investigators examined the extent of the underestimate of child maltreatment, one of the few studies to do so. Here is the abstract.Child maltreatment remains a significant public health and social problem in the United States. Incidence data rely on substantiated reports of maltreatment known to official social service agencies. Objective. The objective of this study was to describe the epidemiologic features of child physical and sexual abuse, on the basis of maternal self-reports. Design, Setting, and Participants. Computer-assisted, anonymous, cross-sectional, telephone surveys (N = 1435) were conducted with mothers of children 0 to 17 years of age in North and South Carolina. Mothers were asked about potentially abusive behaviors used by either themselves or their husbands or partners in the context of other disciplinary practices. They were also asked about their knowledge of any sexual victimization their children might have experienced. Main Outcome Measures. The incidence of physical and sexual maltreatment determined through maternal reports. Results. Use of harsh physical discipline, equivalent to physical abuse, occurred with an incidence of 4.3%. Shaking of very young children as a means of discipline occurred among 2.6% of children &lt;2 years of age. Mothers reported more frequent physical discipline of their children, including shaking, for themselves than for fathers or father figures. Nearly 11 of 1000 children were reported by their mothers as having been sexually victimized within the past year. The incidence of physical abuse determined with maternal self-reports was 40 times greater than that of official child physical abuse reports, and the sexual abuse incidence was 15 times greater. For every 1 child who sustains a serious injury as a result of shaking, an estimated 150 children may be shaken and go undetected. There was no statistically significant difference in the overall rates of physical or sexual maltreatment between the 2 states. Conclusions. Official statistics underestimate the burden of child maltreatment. Supplemental data obtained with alternative strategies can assist policymakers and planners in addressing needs and services within communities and states. These data support the need for continued interventions to prevent maltreatment.\n
  • #228 Theodore, A. D., Chang, J. J., Runyan, D. K., Hunter, W. M., Bangdiwala, S. I., &amp; Agans, R. (2005). Epidemiologic Features of the Physical and Sexual Maltreatment of Children in the Carolinas. Pediatrics, 115(3), e331-337. These investigators examined the extent of the underestimate of child maltreatment, one of the few studies to do so. Here is the abstract.Child maltreatment remains a significant public health and social problem in the United States. Incidence data rely on substantiated reports of maltreatment known to official social service agencies. Objective. The objective of this study was to describe the epidemiologic features of child physical and sexual abuse, on the basis of maternal self-reports. Design, Setting, and Participants. Computer-assisted, anonymous, cross-sectional, telephone surveys (N = 1435) were conducted with mothers of children 0 to 17 years of age in North and South Carolina. Mothers were asked about potentially abusive behaviors used by either themselves or their husbands or partners in the context of other disciplinary practices. They were also asked about their knowledge of any sexual victimization their children might have experienced. Main Outcome Measures. The incidence of physical and sexual maltreatment determined through maternal reports. Results. Use of harsh physical discipline, equivalent to physical abuse, occurred with an incidence of 4.3%. Shaking of very young children as a means of discipline occurred among 2.6% of children &lt;2 years of age. Mothers reported more frequent physical discipline of their children, including shaking, for themselves than for fathers or father figures. Nearly 11 of 1000 children were reported by their mothers as having been sexually victimized within the past year. The incidence of physical abuse determined with maternal self-reports was 40 times greater than that of official child physical abuse reports, and the sexual abuse incidence was 15 times greater. For every 1 child who sustains a serious injury as a result of shaking, an estimated 150 children may be shaken and go undetected. There was no statistically significant difference in the overall rates of physical or sexual maltreatment between the 2 states. Conclusions. Official statistics underestimate the burden of child maltreatment. Supplemental data obtained with alternative strategies can assist policymakers and planners in addressing needs and services within communities and states. These data support the need for continued interventions to prevent maltreatment.\n
  • #229 Theodore, A. D., Chang, J. J., Runyan, D. K., Hunter, W. M., Bangdiwala, S. I., &amp; Agans, R. (2005). Epidemiologic Features of the Physical and Sexual Maltreatment of Children in the Carolinas. Pediatrics, 115(3), e331-337. These investigators examined the extent of the underestimate of child maltreatment, one of the few studies to do so. Here is the abstract.Child maltreatment remains a significant public health and social problem in the United States. Incidence data rely on substantiated reports of maltreatment known to official social service agencies. Objective. The objective of this study was to describe the epidemiologic features of child physical and sexual abuse, on the basis of maternal self-reports. Design, Setting, and Participants. Computer-assisted, anonymous, cross-sectional, telephone surveys (N = 1435) were conducted with mothers of children 0 to 17 years of age in North and South Carolina. Mothers were asked about potentially abusive behaviors used by either themselves or their husbands or partners in the context of other disciplinary practices. They were also asked about their knowledge of any sexual victimization their children might have experienced. Main Outcome Measures. The incidence of physical and sexual maltreatment determined through maternal reports. Results. Use of harsh physical discipline, equivalent to physical abuse, occurred with an incidence of 4.3%. Shaking of very young children as a means of discipline occurred among 2.6% of children &lt;2 years of age. Mothers reported more frequent physical discipline of their children, including shaking, for themselves than for fathers or father figures. Nearly 11 of 1000 children were reported by their mothers as having been sexually victimized within the past year. The incidence of physical abuse determined with maternal self-reports was 40 times greater than that of official child physical abuse reports, and the sexual abuse incidence was 15 times greater. For every 1 child who sustains a serious injury as a result of shaking, an estimated 150 children may be shaken and go undetected. There was no statistically significant difference in the overall rates of physical or sexual maltreatment between the 2 states. Conclusions. Official statistics underestimate the burden of child maltreatment. Supplemental data obtained with alternative strategies can assist policymakers and planners in addressing needs and services within communities and states. These data support the need for continued interventions to prevent maltreatment.\n
  • #230 Theodore, A. D., Chang, J. J., Runyan, D. K., Hunter, W. M., Bangdiwala, S. I., &amp; Agans, R. (2005). Epidemiologic Features of the Physical and Sexual Maltreatment of Children in the Carolinas. Pediatrics, 115(3), e331-337. These investigators examined the extent of the underestimate of child maltreatment, one of the few studies to do so. Here is the abstract.Child maltreatment remains a significant public health and social problem in the United States. Incidence data rely on substantiated reports of maltreatment known to official social service agencies. Objective. The objective of this study was to describe the epidemiologic features of child physical and sexual abuse, on the basis of maternal self-reports. Design, Setting, and Participants. Computer-assisted, anonymous, cross-sectional, telephone surveys (N = 1435) were conducted with mothers of children 0 to 17 years of age in North and South Carolina. Mothers were asked about potentially abusive behaviors used by either themselves or their husbands or partners in the context of other disciplinary practices. They were also asked about their knowledge of any sexual victimization their children might have experienced. Main Outcome Measures. The incidence of physical and sexual maltreatment determined through maternal reports. Results. Use of harsh physical discipline, equivalent to physical abuse, occurred with an incidence of 4.3%. Shaking of very young children as a means of discipline occurred among 2.6% of children &lt;2 years of age. Mothers reported more frequent physical discipline of their children, including shaking, for themselves than for fathers or father figures. Nearly 11 of 1000 children were reported by their mothers as having been sexually victimized within the past year. The incidence of physical abuse determined with maternal self-reports was 40 times greater than that of official child physical abuse reports, and the sexual abuse incidence was 15 times greater. For every 1 child who sustains a serious injury as a result of shaking, an estimated 150 children may be shaken and go undetected. There was no statistically significant difference in the overall rates of physical or sexual maltreatment between the 2 states. Conclusions. Official statistics underestimate the burden of child maltreatment. Supplemental data obtained with alternative strategies can assist policymakers and planners in addressing needs and services within communities and states. These data support the need for continued interventions to prevent maltreatment.\n
  • #231 Theodore, A. D., Chang, J. J., Runyan, D. K., Hunter, W. M., Bangdiwala, S. I., &amp; Agans, R. (2005). Epidemiologic Features of the Physical and Sexual Maltreatment of Children in the Carolinas. Pediatrics, 115(3), e331-337. These investigators examined the extent of the underestimate of child maltreatment, one of the few studies to do so. Here is the abstract.Child maltreatment remains a significant public health and social problem in the United States. Incidence data rely on substantiated reports of maltreatment known to official social service agencies. Objective. The objective of this study was to describe the epidemiologic features of child physical and sexual abuse, on the basis of maternal self-reports. Design, Setting, and Participants. Computer-assisted, anonymous, cross-sectional, telephone surveys (N = 1435) were conducted with mothers of children 0 to 17 years of age in North and South Carolina. Mothers were asked about potentially abusive behaviors used by either themselves or their husbands or partners in the context of other disciplinary practices. They were also asked about their knowledge of any sexual victimization their children might have experienced. Main Outcome Measures. The incidence of physical and sexual maltreatment determined through maternal reports. Results. Use of harsh physical discipline, equivalent to physical abuse, occurred with an incidence of 4.3%. Shaking of very young children as a means of discipline occurred among 2.6% of children &lt;2 years of age. Mothers reported more frequent physical discipline of their children, including shaking, for themselves than for fathers or father figures. Nearly 11 of 1000 children were reported by their mothers as having been sexually victimized within the past year. The incidence of physical abuse determined with maternal self-reports was 40 times greater than that of official child physical abuse reports, and the sexual abuse incidence was 15 times greater. For every 1 child who sustains a serious injury as a result of shaking, an estimated 150 children may be shaken and go undetected. There was no statistically significant difference in the overall rates of physical or sexual maltreatment between the 2 states. Conclusions. Official statistics underestimate the burden of child maltreatment. Supplemental data obtained with alternative strategies can assist policymakers and planners in addressing needs and services within communities and states. These data support the need for continued interventions to prevent maltreatment.\n
  • #232 Theodore, A. D., Chang, J. J., Runyan, D. K., Hunter, W. M., Bangdiwala, S. I., &amp; Agans, R. (2005). Epidemiologic Features of the Physical and Sexual Maltreatment of Children in the Carolinas. Pediatrics, 115(3), e331-337. These investigators examined the extent of the underestimate of child maltreatment, one of the few studies to do so. Here is the abstract.Child maltreatment remains a significant public health and social problem in the United States. Incidence data rely on substantiated reports of maltreatment known to official social service agencies. Objective. The objective of this study was to describe the epidemiologic features of child physical and sexual abuse, on the basis of maternal self-reports. Design, Setting, and Participants. Computer-assisted, anonymous, cross-sectional, telephone surveys (N = 1435) were conducted with mothers of children 0 to 17 years of age in North and South Carolina. Mothers were asked about potentially abusive behaviors used by either themselves or their husbands or partners in the context of other disciplinary practices. They were also asked about their knowledge of any sexual victimization their children might have experienced. Main Outcome Measures. The incidence of physical and sexual maltreatment determined through maternal reports. Results. Use of harsh physical discipline, equivalent to physical abuse, occurred with an incidence of 4.3%. Shaking of very young children as a means of discipline occurred among 2.6% of children &lt;2 years of age. Mothers reported more frequent physical discipline of their children, including shaking, for themselves than for fathers or father figures. Nearly 11 of 1000 children were reported by their mothers as having been sexually victimized within the past year. The incidence of physical abuse determined with maternal self-reports was 40 times greater than that of official child physical abuse reports, and the sexual abuse incidence was 15 times greater. For every 1 child who sustains a serious injury as a result of shaking, an estimated 150 children may be shaken and go undetected. There was no statistically significant difference in the overall rates of physical or sexual maltreatment between the 2 states. Conclusions. Official statistics underestimate the burden of child maltreatment. Supplemental data obtained with alternative strategies can assist policymakers and planners in addressing needs and services within communities and states. These data support the need for continued interventions to prevent maltreatment.\n
  • #233 Theodore, A. D., Chang, J. J., Runyan, D. K., Hunter, W. M., Bangdiwala, S. I., &amp; Agans, R. (2005). Epidemiologic Features of the Physical and Sexual Maltreatment of Children in the Carolinas. Pediatrics, 115(3), e331-337. These investigators examined the extent of the underestimate of child maltreatment, one of the few studies to do so. Here is the abstract.Child maltreatment remains a significant public health and social problem in the United States. Incidence data rely on substantiated reports of maltreatment known to official social service agencies. Objective. The objective of this study was to describe the epidemiologic features of child physical and sexual abuse, on the basis of maternal self-reports. Design, Setting, and Participants. Computer-assisted, anonymous, cross-sectional, telephone surveys (N = 1435) were conducted with mothers of children 0 to 17 years of age in North and South Carolina. Mothers were asked about potentially abusive behaviors used by either themselves or their husbands or partners in the context of other disciplinary practices. They were also asked about their knowledge of any sexual victimization their children might have experienced. Main Outcome Measures. The incidence of physical and sexual maltreatment determined through maternal reports. Results. Use of harsh physical discipline, equivalent to physical abuse, occurred with an incidence of 4.3%. Shaking of very young children as a means of discipline occurred among 2.6% of children &lt;2 years of age. Mothers reported more frequent physical discipline of their children, including shaking, for themselves than for fathers or father figures. Nearly 11 of 1000 children were reported by their mothers as having been sexually victimized within the past year. The incidence of physical abuse determined with maternal self-reports was 40 times greater than that of official child physical abuse reports, and the sexual abuse incidence was 15 times greater. For every 1 child who sustains a serious injury as a result of shaking, an estimated 150 children may be shaken and go undetected. There was no statistically significant difference in the overall rates of physical or sexual maltreatment between the 2 states. Conclusions. Official statistics underestimate the burden of child maltreatment. Supplemental data obtained with alternative strategies can assist policymakers and planners in addressing needs and services within communities and states. These data support the need for continued interventions to prevent maltreatment.\n
  • #234 Theodore, A. D., Chang, J. J., Runyan, D. K., Hunter, W. M., Bangdiwala, S. I., &amp; Agans, R. (2005). Epidemiologic Features of the Physical and Sexual Maltreatment of Children in the Carolinas. Pediatrics, 115(3), e331-337. These investigators examined the extent of the underestimate of child maltreatment, one of the few studies to do so. Here is the abstract.Child maltreatment remains a significant public health and social problem in the United States. Incidence data rely on substantiated reports of maltreatment known to official social service agencies. Objective. The objective of this study was to describe the epidemiologic features of child physical and sexual abuse, on the basis of maternal self-reports. Design, Setting, and Participants. Computer-assisted, anonymous, cross-sectional, telephone surveys (N = 1435) were conducted with mothers of children 0 to 17 years of age in North and South Carolina. Mothers were asked about potentially abusive behaviors used by either themselves or their husbands or partners in the context of other disciplinary practices. They were also asked about their knowledge of any sexual victimization their children might have experienced. Main Outcome Measures. The incidence of physical and sexual maltreatment determined through maternal reports. Results. Use of harsh physical discipline, equivalent to physical abuse, occurred with an incidence of 4.3%. Shaking of very young children as a means of discipline occurred among 2.6% of children &lt;2 years of age. Mothers reported more frequent physical discipline of their children, including shaking, for themselves than for fathers or father figures. Nearly 11 of 1000 children were reported by their mothers as having been sexually victimized within the past year. The incidence of physical abuse determined with maternal self-reports was 40 times greater than that of official child physical abuse reports, and the sexual abuse incidence was 15 times greater. For every 1 child who sustains a serious injury as a result of shaking, an estimated 150 children may be shaken and go undetected. There was no statistically significant difference in the overall rates of physical or sexual maltreatment between the 2 states. Conclusions. Official statistics underestimate the burden of child maltreatment. Supplemental data obtained with alternative strategies can assist policymakers and planners in addressing needs and services within communities and states. These data support the need for continued interventions to prevent maltreatment.\n
  • #235 Theodore, A. D., Chang, J. J., Runyan, D. K., Hunter, W. M., Bangdiwala, S. I., &amp; Agans, R. (2005). Epidemiologic Features of the Physical and Sexual Maltreatment of Children in the Carolinas. Pediatrics, 115(3), e331-337. These investigators examined the extent of the underestimate of child maltreatment, one of the few studies to do so. Here is the abstract.Child maltreatment remains a significant public health and social problem in the United States. Incidence data rely on substantiated reports of maltreatment known to official social service agencies. Objective. The objective of this study was to describe the epidemiologic features of child physical and sexual abuse, on the basis of maternal self-reports. Design, Setting, and Participants. Computer-assisted, anonymous, cross-sectional, telephone surveys (N = 1435) were conducted with mothers of children 0 to 17 years of age in North and South Carolina. Mothers were asked about potentially abusive behaviors used by either themselves or their husbands or partners in the context of other disciplinary practices. They were also asked about their knowledge of any sexual victimization their children might have experienced. Main Outcome Measures. The incidence of physical and sexual maltreatment determined through maternal reports. Results. Use of harsh physical discipline, equivalent to physical abuse, occurred with an incidence of 4.3%. Shaking of very young children as a means of discipline occurred among 2.6% of children &lt;2 years of age. Mothers reported more frequent physical discipline of their children, including shaking, for themselves than for fathers or father figures. Nearly 11 of 1000 children were reported by their mothers as having been sexually victimized within the past year. The incidence of physical abuse determined with maternal self-reports was 40 times greater than that of official child physical abuse reports, and the sexual abuse incidence was 15 times greater. For every 1 child who sustains a serious injury as a result of shaking, an estimated 150 children may be shaken and go undetected. There was no statistically significant difference in the overall rates of physical or sexual maltreatment between the 2 states. Conclusions. Official statistics underestimate the burden of child maltreatment. Supplemental data obtained with alternative strategies can assist policymakers and planners in addressing needs and services within communities and states. These data support the need for continued interventions to prevent maltreatment.\n
  • #236 Theodore, A. D., Chang, J. J., Runyan, D. K., Hunter, W. M., Bangdiwala, S. I., &amp; Agans, R. (2005). Epidemiologic Features of the Physical and Sexual Maltreatment of Children in the Carolinas. Pediatrics, 115(3), e331-337. These investigators examined the extent of the underestimate of child maltreatment, one of the few studies to do so. Here is the abstract.Child maltreatment remains a significant public health and social problem in the United States. Incidence data rely on substantiated reports of maltreatment known to official social service agencies. Objective. The objective of this study was to describe the epidemiologic features of child physical and sexual abuse, on the basis of maternal self-reports. Design, Setting, and Participants. Computer-assisted, anonymous, cross-sectional, telephone surveys (N = 1435) were conducted with mothers of children 0 to 17 years of age in North and South Carolina. Mothers were asked about potentially abusive behaviors used by either themselves or their husbands or partners in the context of other disciplinary practices. They were also asked about their knowledge of any sexual victimization their children might have experienced. Main Outcome Measures. The incidence of physical and sexual maltreatment determined through maternal reports. Results. Use of harsh physical discipline, equivalent to physical abuse, occurred with an incidence of 4.3%. Shaking of very young children as a means of discipline occurred among 2.6% of children &lt;2 years of age. Mothers reported more frequent physical discipline of their children, including shaking, for themselves than for fathers or father figures. Nearly 11 of 1000 children were reported by their mothers as having been sexually victimized within the past year. The incidence of physical abuse determined with maternal self-reports was 40 times greater than that of official child physical abuse reports, and the sexual abuse incidence was 15 times greater. For every 1 child who sustains a serious injury as a result of shaking, an estimated 150 children may be shaken and go undetected. There was no statistically significant difference in the overall rates of physical or sexual maltreatment between the 2 states. Conclusions. Official statistics underestimate the burden of child maltreatment. Supplemental data obtained with alternative strategies can assist policymakers and planners in addressing needs and services within communities and states. These data support the need for continued interventions to prevent maltreatment.\n
  • #237 Theodore, A. D., Chang, J. J., Runyan, D. K., Hunter, W. M., Bangdiwala, S. I., &amp; Agans, R. (2005). Epidemiologic Features of the Physical and Sexual Maltreatment of Children in the Carolinas. Pediatrics, 115(3), e331-337. These investigators examined the extent of the underestimate of child maltreatment, one of the few studies to do so. Here is the abstract.Child maltreatment remains a significant public health and social problem in the United States. Incidence data rely on substantiated reports of maltreatment known to official social service agencies. Objective. The objective of this study was to describe the epidemiologic features of child physical and sexual abuse, on the basis of maternal self-reports. Design, Setting, and Participants. Computer-assisted, anonymous, cross-sectional, telephone surveys (N = 1435) were conducted with mothers of children 0 to 17 years of age in North and South Carolina. Mothers were asked about potentially abusive behaviors used by either themselves or their husbands or partners in the context of other disciplinary practices. They were also asked about their knowledge of any sexual victimization their children might have experienced. Main Outcome Measures. The incidence of physical and sexual maltreatment determined through maternal reports. Results. Use of harsh physical discipline, equivalent to physical abuse, occurred with an incidence of 4.3%. Shaking of very young children as a means of discipline occurred among 2.6% of children &lt;2 years of age. Mothers reported more frequent physical discipline of their children, including shaking, for themselves than for fathers or father figures. Nearly 11 of 1000 children were reported by their mothers as having been sexually victimized within the past year. The incidence of physical abuse determined with maternal self-reports was 40 times greater than that of official child physical abuse reports, and the sexual abuse incidence was 15 times greater. For every 1 child who sustains a serious injury as a result of shaking, an estimated 150 children may be shaken and go undetected. There was no statistically significant difference in the overall rates of physical or sexual maltreatment between the 2 states. Conclusions. Official statistics underestimate the burden of child maltreatment. Supplemental data obtained with alternative strategies can assist policymakers and planners in addressing needs and services within communities and states. These data support the need for continued interventions to prevent maltreatment.\n
  • #238 Theodore, A. D., Chang, J. J., Runyan, D. K., Hunter, W. M., Bangdiwala, S. I., &amp; Agans, R. (2005). Epidemiologic Features of the Physical and Sexual Maltreatment of Children in the Carolinas. Pediatrics, 115(3), e331-337. These investigators examined the extent of the underestimate of child maltreatment, one of the few studies to do so. Here is the abstract.Child maltreatment remains a significant public health and social problem in the United States. Incidence data rely on substantiated reports of maltreatment known to official social service agencies. Objective. The objective of this study was to describe the epidemiologic features of child physical and sexual abuse, on the basis of maternal self-reports. Design, Setting, and Participants. Computer-assisted, anonymous, cross-sectional, telephone surveys (N = 1435) were conducted with mothers of children 0 to 17 years of age in North and South Carolina. Mothers were asked about potentially abusive behaviors used by either themselves or their husbands or partners in the context of other disciplinary practices. They were also asked about their knowledge of any sexual victimization their children might have experienced. Main Outcome Measures. The incidence of physical and sexual maltreatment determined through maternal reports. Results. Use of harsh physical discipline, equivalent to physical abuse, occurred with an incidence of 4.3%. Shaking of very young children as a means of discipline occurred among 2.6% of children &lt;2 years of age. Mothers reported more frequent physical discipline of their children, including shaking, for themselves than for fathers or father figures. Nearly 11 of 1000 children were reported by their mothers as having been sexually victimized within the past year. The incidence of physical abuse determined with maternal self-reports was 40 times greater than that of official child physical abuse reports, and the sexual abuse incidence was 15 times greater. For every 1 child who sustains a serious injury as a result of shaking, an estimated 150 children may be shaken and go undetected. There was no statistically significant difference in the overall rates of physical or sexual maltreatment between the 2 states. Conclusions. Official statistics underestimate the burden of child maltreatment. Supplemental data obtained with alternative strategies can assist policymakers and planners in addressing needs and services within communities and states. These data support the need for continued interventions to prevent maltreatment.\n
  • #239 Theodore, A. D., Chang, J. J., Runyan, D. K., Hunter, W. M., Bangdiwala, S. I., &amp; Agans, R. (2005). Epidemiologic Features of the Physical and Sexual Maltreatment of Children in the Carolinas. Pediatrics, 115(3), e331-337. These investigators examined the extent of the underestimate of child maltreatment, one of the few studies to do so. Here is the abstract.Child maltreatment remains a significant public health and social problem in the United States. Incidence data rely on substantiated reports of maltreatment known to official social service agencies. Objective. The objective of this study was to describe the epidemiologic features of child physical and sexual abuse, on the basis of maternal self-reports. Design, Setting, and Participants. Computer-assisted, anonymous, cross-sectional, telephone surveys (N = 1435) were conducted with mothers of children 0 to 17 years of age in North and South Carolina. Mothers were asked about potentially abusive behaviors used by either themselves or their husbands or partners in the context of other disciplinary practices. They were also asked about their knowledge of any sexual victimization their children might have experienced. Main Outcome Measures. The incidence of physical and sexual maltreatment determined through maternal reports. Results. Use of harsh physical discipline, equivalent to physical abuse, occurred with an incidence of 4.3%. Shaking of very young children as a means of discipline occurred among 2.6% of children &lt;2 years of age. Mothers reported more frequent physical discipline of their children, including shaking, for themselves than for fathers or father figures. Nearly 11 of 1000 children were reported by their mothers as having been sexually victimized within the past year. The incidence of physical abuse determined with maternal self-reports was 40 times greater than that of official child physical abuse reports, and the sexual abuse incidence was 15 times greater. For every 1 child who sustains a serious injury as a result of shaking, an estimated 150 children may be shaken and go undetected. There was no statistically significant difference in the overall rates of physical or sexual maltreatment between the 2 states. Conclusions. Official statistics underestimate the burden of child maltreatment. Supplemental data obtained with alternative strategies can assist policymakers and planners in addressing needs and services within communities and states. These data support the need for continued interventions to prevent maltreatment.\n
  • #240 Theodore, A. D., Chang, J. J., Runyan, D. K., Hunter, W. M., Bangdiwala, S. I., &amp; Agans, R. (2005). Epidemiologic Features of the Physical and Sexual Maltreatment of Children in the Carolinas. Pediatrics, 115(3), e331-337. These investigators examined the extent of the underestimate of child maltreatment, one of the few studies to do so. Here is the abstract.Child maltreatment remains a significant public health and social problem in the United States. Incidence data rely on substantiated reports of maltreatment known to official social service agencies. Objective. The objective of this study was to describe the epidemiologic features of child physical and sexual abuse, on the basis of maternal self-reports. Design, Setting, and Participants. Computer-assisted, anonymous, cross-sectional, telephone surveys (N = 1435) were conducted with mothers of children 0 to 17 years of age in North and South Carolina. Mothers were asked about potentially abusive behaviors used by either themselves or their husbands or partners in the context of other disciplinary practices. They were also asked about their knowledge of any sexual victimization their children might have experienced. Main Outcome Measures. The incidence of physical and sexual maltreatment determined through maternal reports. Results. Use of harsh physical discipline, equivalent to physical abuse, occurred with an incidence of 4.3%. Shaking of very young children as a means of discipline occurred among 2.6% of children &lt;2 years of age. Mothers reported more frequent physical discipline of their children, including shaking, for themselves than for fathers or father figures. Nearly 11 of 1000 children were reported by their mothers as having been sexually victimized within the past year. The incidence of physical abuse determined with maternal self-reports was 40 times greater than that of official child physical abuse reports, and the sexual abuse incidence was 15 times greater. For every 1 child who sustains a serious injury as a result of shaking, an estimated 150 children may be shaken and go undetected. There was no statistically significant difference in the overall rates of physical or sexual maltreatment between the 2 states. Conclusions. Official statistics underestimate the burden of child maltreatment. Supplemental data obtained with alternative strategies can assist policymakers and planners in addressing needs and services within communities and states. These data support the need for continued interventions to prevent maltreatment.\n
  • #241 Theodore, A. D., Chang, J. J., Runyan, D. K., Hunter, W. M., Bangdiwala, S. I., &amp; Agans, R. (2005). Epidemiologic Features of the Physical and Sexual Maltreatment of Children in the Carolinas. Pediatrics, 115(3), e331-337. These investigators examined the extent of the underestimate of child maltreatment, one of the few studies to do so. Here is the abstract.Child maltreatment remains a significant public health and social problem in the United States. Incidence data rely on substantiated reports of maltreatment known to official social service agencies. Objective. The objective of this study was to describe the epidemiologic features of child physical and sexual abuse, on the basis of maternal self-reports. Design, Setting, and Participants. Computer-assisted, anonymous, cross-sectional, telephone surveys (N = 1435) were conducted with mothers of children 0 to 17 years of age in North and South Carolina. Mothers were asked about potentially abusive behaviors used by either themselves or their husbands or partners in the context of other disciplinary practices. They were also asked about their knowledge of any sexual victimization their children might have experienced. Main Outcome Measures. The incidence of physical and sexual maltreatment determined through maternal reports. Results. Use of harsh physical discipline, equivalent to physical abuse, occurred with an incidence of 4.3%. Shaking of very young children as a means of discipline occurred among 2.6% of children &lt;2 years of age. Mothers reported more frequent physical discipline of their children, including shaking, for themselves than for fathers or father figures. Nearly 11 of 1000 children were reported by their mothers as having been sexually victimized within the past year. The incidence of physical abuse determined with maternal self-reports was 40 times greater than that of official child physical abuse reports, and the sexual abuse incidence was 15 times greater. For every 1 child who sustains a serious injury as a result of shaking, an estimated 150 children may be shaken and go undetected. There was no statistically significant difference in the overall rates of physical or sexual maltreatment between the 2 states. Conclusions. Official statistics underestimate the burden of child maltreatment. Supplemental data obtained with alternative strategies can assist policymakers and planners in addressing needs and services within communities and states. These data support the need for continued interventions to prevent maltreatment.\n
  • #242 Theodore, A. D., Chang, J. J., Runyan, D. K., Hunter, W. M., Bangdiwala, S. I., &amp; Agans, R. (2005). Epidemiologic Features of the Physical and Sexual Maltreatment of Children in the Carolinas. Pediatrics, 115(3), e331-337. These investigators examined the extent of the underestimate of child maltreatment, one of the few studies to do so. Here is the abstract.Child maltreatment remains a significant public health and social problem in the United States. Incidence data rely on substantiated reports of maltreatment known to official social service agencies. Objective. The objective of this study was to describe the epidemiologic features of child physical and sexual abuse, on the basis of maternal self-reports. Design, Setting, and Participants. Computer-assisted, anonymous, cross-sectional, telephone surveys (N = 1435) were conducted with mothers of children 0 to 17 years of age in North and South Carolina. Mothers were asked about potentially abusive behaviors used by either themselves or their husbands or partners in the context of other disciplinary practices. They were also asked about their knowledge of any sexual victimization their children might have experienced. Main Outcome Measures. The incidence of physical and sexual maltreatment determined through maternal reports. Results. Use of harsh physical discipline, equivalent to physical abuse, occurred with an incidence of 4.3%. Shaking of very young children as a means of discipline occurred among 2.6% of children &lt;2 years of age. Mothers reported more frequent physical discipline of their children, including shaking, for themselves than for fathers or father figures. Nearly 11 of 1000 children were reported by their mothers as having been sexually victimized within the past year. The incidence of physical abuse determined with maternal self-reports was 40 times greater than that of official child physical abuse reports, and the sexual abuse incidence was 15 times greater. For every 1 child who sustains a serious injury as a result of shaking, an estimated 150 children may be shaken and go undetected. There was no statistically significant difference in the overall rates of physical or sexual maltreatment between the 2 states. Conclusions. Official statistics underestimate the burden of child maltreatment. Supplemental data obtained with alternative strategies can assist policymakers and planners in addressing needs and services within communities and states. These data support the need for continued interventions to prevent maltreatment.\n
  • #243 Theodore, A. D., Chang, J. J., Runyan, D. K., Hunter, W. M., Bangdiwala, S. I., &amp; Agans, R. (2005). Epidemiologic Features of the Physical and Sexual Maltreatment of Children in the Carolinas. Pediatrics, 115(3), e331-337. These investigators examined the extent of the underestimate of child maltreatment, one of the few studies to do so. Here is the abstract.Child maltreatment remains a significant public health and social problem in the United States. Incidence data rely on substantiated reports of maltreatment known to official social service agencies. Objective. The objective of this study was to describe the epidemiologic features of child physical and sexual abuse, on the basis of maternal self-reports. Design, Setting, and Participants. Computer-assisted, anonymous, cross-sectional, telephone surveys (N = 1435) were conducted with mothers of children 0 to 17 years of age in North and South Carolina. Mothers were asked about potentially abusive behaviors used by either themselves or their husbands or partners in the context of other disciplinary practices. They were also asked about their knowledge of any sexual victimization their children might have experienced. Main Outcome Measures. The incidence of physical and sexual maltreatment determined through maternal reports. Results. Use of harsh physical discipline, equivalent to physical abuse, occurred with an incidence of 4.3%. Shaking of very young children as a means of discipline occurred among 2.6% of children &lt;2 years of age. Mothers reported more frequent physical discipline of their children, including shaking, for themselves than for fathers or father figures. Nearly 11 of 1000 children were reported by their mothers as having been sexually victimized within the past year. The incidence of physical abuse determined with maternal self-reports was 40 times greater than that of official child physical abuse reports, and the sexual abuse incidence was 15 times greater. For every 1 child who sustains a serious injury as a result of shaking, an estimated 150 children may be shaken and go undetected. There was no statistically significant difference in the overall rates of physical or sexual maltreatment between the 2 states. Conclusions. Official statistics underestimate the burden of child maltreatment. Supplemental data obtained with alternative strategies can assist policymakers and planners in addressing needs and services within communities and states. These data support the need for continued interventions to prevent maltreatment.\n
  • #244 Theodore, A. D., Chang, J. J., Runyan, D. K., Hunter, W. M., Bangdiwala, S. I., &amp; Agans, R. (2005). Epidemiologic Features of the Physical and Sexual Maltreatment of Children in the Carolinas. Pediatrics, 115(3), e331-337. These investigators examined the extent of the underestimate of child maltreatment, one of the few studies to do so. Here is the abstract.Child maltreatment remains a significant public health and social problem in the United States. Incidence data rely on substantiated reports of maltreatment known to official social service agencies. Objective. The objective of this study was to describe the epidemiologic features of child physical and sexual abuse, on the basis of maternal self-reports. Design, Setting, and Participants. Computer-assisted, anonymous, cross-sectional, telephone surveys (N = 1435) were conducted with mothers of children 0 to 17 years of age in North and South Carolina. Mothers were asked about potentially abusive behaviors used by either themselves or their husbands or partners in the context of other disciplinary practices. They were also asked about their knowledge of any sexual victimization their children might have experienced. Main Outcome Measures. The incidence of physical and sexual maltreatment determined through maternal reports. Results. Use of harsh physical discipline, equivalent to physical abuse, occurred with an incidence of 4.3%. Shaking of very young children as a means of discipline occurred among 2.6% of children &lt;2 years of age. Mothers reported more frequent physical discipline of their children, including shaking, for themselves than for fathers or father figures. Nearly 11 of 1000 children were reported by their mothers as having been sexually victimized within the past year. The incidence of physical abuse determined with maternal self-reports was 40 times greater than that of official child physical abuse reports, and the sexual abuse incidence was 15 times greater. For every 1 child who sustains a serious injury as a result of shaking, an estimated 150 children may be shaken and go undetected. There was no statistically significant difference in the overall rates of physical or sexual maltreatment between the 2 states. Conclusions. Official statistics underestimate the burden of child maltreatment. Supplemental data obtained with alternative strategies can assist policymakers and planners in addressing needs and services within communities and states. These data support the need for continued interventions to prevent maltreatment.\n
  • #245 Theodore, A. D., Chang, J. J., Runyan, D. K., Hunter, W. M., Bangdiwala, S. I., &amp; Agans, R. (2005). Epidemiologic Features of the Physical and Sexual Maltreatment of Children in the Carolinas. Pediatrics, 115(3), e331-337. These investigators examined the extent of the underestimate of child maltreatment, one of the few studies to do so. Here is the abstract.Child maltreatment remains a significant public health and social problem in the United States. Incidence data rely on substantiated reports of maltreatment known to official social service agencies. Objective. The objective of this study was to describe the epidemiologic features of child physical and sexual abuse, on the basis of maternal self-reports. Design, Setting, and Participants. Computer-assisted, anonymous, cross-sectional, telephone surveys (N = 1435) were conducted with mothers of children 0 to 17 years of age in North and South Carolina. Mothers were asked about potentially abusive behaviors used by either themselves or their husbands or partners in the context of other disciplinary practices. They were also asked about their knowledge of any sexual victimization their children might have experienced. Main Outcome Measures. The incidence of physical and sexual maltreatment determined through maternal reports. Results. Use of harsh physical discipline, equivalent to physical abuse, occurred with an incidence of 4.3%. Shaking of very young children as a means of discipline occurred among 2.6% of children &lt;2 years of age. Mothers reported more frequent physical discipline of their children, including shaking, for themselves than for fathers or father figures. Nearly 11 of 1000 children were reported by their mothers as having been sexually victimized within the past year. The incidence of physical abuse determined with maternal self-reports was 40 times greater than that of official child physical abuse reports, and the sexual abuse incidence was 15 times greater. For every 1 child who sustains a serious injury as a result of shaking, an estimated 150 children may be shaken and go undetected. There was no statistically significant difference in the overall rates of physical or sexual maltreatment between the 2 states. Conclusions. Official statistics underestimate the burden of child maltreatment. Supplemental data obtained with alternative strategies can assist policymakers and planners in addressing needs and services within communities and states. These data support the need for continued interventions to prevent maltreatment.\n
  • #246 Theodore, A. D., Chang, J. J., Runyan, D. K., Hunter, W. M., Bangdiwala, S. I., &amp; Agans, R. (2005). Epidemiologic Features of the Physical and Sexual Maltreatment of Children in the Carolinas. Pediatrics, 115(3), e331-337. These investigators examined the extent of the underestimate of child maltreatment, one of the few studies to do so. Here is the abstract.Child maltreatment remains a significant public health and social problem in the United States. Incidence data rely on substantiated reports of maltreatment known to official social service agencies. Objective. The objective of this study was to describe the epidemiologic features of child physical and sexual abuse, on the basis of maternal self-reports. Design, Setting, and Participants. Computer-assisted, anonymous, cross-sectional, telephone surveys (N = 1435) were conducted with mothers of children 0 to 17 years of age in North and South Carolina. Mothers were asked about potentially abusive behaviors used by either themselves or their husbands or partners in the context of other disciplinary practices. They were also asked about their knowledge of any sexual victimization their children might have experienced. Main Outcome Measures. The incidence of physical and sexual maltreatment determined through maternal reports. Results. Use of harsh physical discipline, equivalent to physical abuse, occurred with an incidence of 4.3%. Shaking of very young children as a means of discipline occurred among 2.6% of children &lt;2 years of age. Mothers reported more frequent physical discipline of their children, including shaking, for themselves than for fathers or father figures. Nearly 11 of 1000 children were reported by their mothers as having been sexually victimized within the past year. The incidence of physical abuse determined with maternal self-reports was 40 times greater than that of official child physical abuse reports, and the sexual abuse incidence was 15 times greater. For every 1 child who sustains a serious injury as a result of shaking, an estimated 150 children may be shaken and go undetected. There was no statistically significant difference in the overall rates of physical or sexual maltreatment between the 2 states. Conclusions. Official statistics underestimate the burden of child maltreatment. Supplemental data obtained with alternative strategies can assist policymakers and planners in addressing needs and services within communities and states. These data support the need for continued interventions to prevent maltreatment.\n
  • #247 Theodore, A. D., Chang, J. J., Runyan, D. K., Hunter, W. M., Bangdiwala, S. I., &amp; Agans, R. (2005). Epidemiologic Features of the Physical and Sexual Maltreatment of Children in the Carolinas. Pediatrics, 115(3), e331-337. These investigators examined the extent of the underestimate of child maltreatment, one of the few studies to do so. Here is the abstract.Child maltreatment remains a significant public health and social problem in the United States. Incidence data rely on substantiated reports of maltreatment known to official social service agencies. Objective. The objective of this study was to describe the epidemiologic features of child physical and sexual abuse, on the basis of maternal self-reports. Design, Setting, and Participants. Computer-assisted, anonymous, cross-sectional, telephone surveys (N = 1435) were conducted with mothers of children 0 to 17 years of age in North and South Carolina. Mothers were asked about potentially abusive behaviors used by either themselves or their husbands or partners in the context of other disciplinary practices. They were also asked about their knowledge of any sexual victimization their children might have experienced. Main Outcome Measures. The incidence of physical and sexual maltreatment determined through maternal reports. Results. Use of harsh physical discipline, equivalent to physical abuse, occurred with an incidence of 4.3%. Shaking of very young children as a means of discipline occurred among 2.6% of children &lt;2 years of age. Mothers reported more frequent physical discipline of their children, including shaking, for themselves than for fathers or father figures. Nearly 11 of 1000 children were reported by their mothers as having been sexually victimized within the past year. The incidence of physical abuse determined with maternal self-reports was 40 times greater than that of official child physical abuse reports, and the sexual abuse incidence was 15 times greater. For every 1 child who sustains a serious injury as a result of shaking, an estimated 150 children may be shaken and go undetected. There was no statistically significant difference in the overall rates of physical or sexual maltreatment between the 2 states. Conclusions. Official statistics underestimate the burden of child maltreatment. Supplemental data obtained with alternative strategies can assist policymakers and planners in addressing needs and services within communities and states. These data support the need for continued interventions to prevent maltreatment.\n
  • #248 Theodore, A. D., Chang, J. J., Runyan, D. K., Hunter, W. M., Bangdiwala, S. I., &amp; Agans, R. (2005). Epidemiologic Features of the Physical and Sexual Maltreatment of Children in the Carolinas. Pediatrics, 115(3), e331-337. These investigators examined the extent of the underestimate of child maltreatment, one of the few studies to do so. Here is the abstract.Child maltreatment remains a significant public health and social problem in the United States. Incidence data rely on substantiated reports of maltreatment known to official social service agencies. Objective. The objective of this study was to describe the epidemiologic features of child physical and sexual abuse, on the basis of maternal self-reports. Design, Setting, and Participants. Computer-assisted, anonymous, cross-sectional, telephone surveys (N = 1435) were conducted with mothers of children 0 to 17 years of age in North and South Carolina. Mothers were asked about potentially abusive behaviors used by either themselves or their husbands or partners in the context of other disciplinary practices. They were also asked about their knowledge of any sexual victimization their children might have experienced. Main Outcome Measures. The incidence of physical and sexual maltreatment determined through maternal reports. Results. Use of harsh physical discipline, equivalent to physical abuse, occurred with an incidence of 4.3%. Shaking of very young children as a means of discipline occurred among 2.6% of children &lt;2 years of age. Mothers reported more frequent physical discipline of their children, including shaking, for themselves than for fathers or father figures. Nearly 11 of 1000 children were reported by their mothers as having been sexually victimized within the past year. The incidence of physical abuse determined with maternal self-reports was 40 times greater than that of official child physical abuse reports, and the sexual abuse incidence was 15 times greater. For every 1 child who sustains a serious injury as a result of shaking, an estimated 150 children may be shaken and go undetected. There was no statistically significant difference in the overall rates of physical or sexual maltreatment between the 2 states. Conclusions. Official statistics underestimate the burden of child maltreatment. Supplemental data obtained with alternative strategies can assist policymakers and planners in addressing needs and services within communities and states. These data support the need for continued interventions to prevent maltreatment.\n
  • #249 Theodore, A. D., Chang, J. J., Runyan, D. K., Hunter, W. M., Bangdiwala, S. I., &amp; Agans, R. (2005). Epidemiologic Features of the Physical and Sexual Maltreatment of Children in the Carolinas. Pediatrics, 115(3), e331-337. These investigators examined the extent of the underestimate of child maltreatment, one of the few studies to do so. Here is the abstract.Child maltreatment remains a significant public health and social problem in the United States. Incidence data rely on substantiated reports of maltreatment known to official social service agencies. Objective. The objective of this study was to describe the epidemiologic features of child physical and sexual abuse, on the basis of maternal self-reports. Design, Setting, and Participants. Computer-assisted, anonymous, cross-sectional, telephone surveys (N = 1435) were conducted with mothers of children 0 to 17 years of age in North and South Carolina. Mothers were asked about potentially abusive behaviors used by either themselves or their husbands or partners in the context of other disciplinary practices. They were also asked about their knowledge of any sexual victimization their children might have experienced. Main Outcome Measures. The incidence of physical and sexual maltreatment determined through maternal reports. Results. Use of harsh physical discipline, equivalent to physical abuse, occurred with an incidence of 4.3%. Shaking of very young children as a means of discipline occurred among 2.6% of children &lt;2 years of age. Mothers reported more frequent physical discipline of their children, including shaking, for themselves than for fathers or father figures. Nearly 11 of 1000 children were reported by their mothers as having been sexually victimized within the past year. The incidence of physical abuse determined with maternal self-reports was 40 times greater than that of official child physical abuse reports, and the sexual abuse incidence was 15 times greater. For every 1 child who sustains a serious injury as a result of shaking, an estimated 150 children may be shaken and go undetected. There was no statistically significant difference in the overall rates of physical or sexual maltreatment between the 2 states. Conclusions. Official statistics underestimate the burden of child maltreatment. Supplemental data obtained with alternative strategies can assist policymakers and planners in addressing needs and services within communities and states. These data support the need for continued interventions to prevent maltreatment.\n
  • #250 Theodore, A. D., Chang, J. J., Runyan, D. K., Hunter, W. M., Bangdiwala, S. I., &amp; Agans, R. (2005). Epidemiologic Features of the Physical and Sexual Maltreatment of Children in the Carolinas. Pediatrics, 115(3), e331-337. These investigators examined the extent of the underestimate of child maltreatment, one of the few studies to do so. Here is the abstract.Child maltreatment remains a significant public health and social problem in the United States. Incidence data rely on substantiated reports of maltreatment known to official social service agencies. Objective. The objective of this study was to describe the epidemiologic features of child physical and sexual abuse, on the basis of maternal self-reports. Design, Setting, and Participants. Computer-assisted, anonymous, cross-sectional, telephone surveys (N = 1435) were conducted with mothers of children 0 to 17 years of age in North and South Carolina. Mothers were asked about potentially abusive behaviors used by either themselves or their husbands or partners in the context of other disciplinary practices. They were also asked about their knowledge of any sexual victimization their children might have experienced. Main Outcome Measures. The incidence of physical and sexual maltreatment determined through maternal reports. Results. Use of harsh physical discipline, equivalent to physical abuse, occurred with an incidence of 4.3%. Shaking of very young children as a means of discipline occurred among 2.6% of children &lt;2 years of age. Mothers reported more frequent physical discipline of their children, including shaking, for themselves than for fathers or father figures. Nearly 11 of 1000 children were reported by their mothers as having been sexually victimized within the past year. The incidence of physical abuse determined with maternal self-reports was 40 times greater than that of official child physical abuse reports, and the sexual abuse incidence was 15 times greater. For every 1 child who sustains a serious injury as a result of shaking, an estimated 150 children may be shaken and go undetected. There was no statistically significant difference in the overall rates of physical or sexual maltreatment between the 2 states. Conclusions. Official statistics underestimate the burden of child maltreatment. Supplemental data obtained with alternative strategies can assist policymakers and planners in addressing needs and services within communities and states. These data support the need for continued interventions to prevent maltreatment.\n
  • #251 Theodore, A. D., Chang, J. J., Runyan, D. K., Hunter, W. M., Bangdiwala, S. I., &amp; Agans, R. (2005). Epidemiologic Features of the Physical and Sexual Maltreatment of Children in the Carolinas. Pediatrics, 115(3), e331-337. These investigators examined the extent of the underestimate of child maltreatment, one of the few studies to do so. Here is the abstract.Child maltreatment remains a significant public health and social problem in the United States. Incidence data rely on substantiated reports of maltreatment known to official social service agencies. Objective. The objective of this study was to describe the epidemiologic features of child physical and sexual abuse, on the basis of maternal self-reports. Design, Setting, and Participants. Computer-assisted, anonymous, cross-sectional, telephone surveys (N = 1435) were conducted with mothers of children 0 to 17 years of age in North and South Carolina. Mothers were asked about potentially abusive behaviors used by either themselves or their husbands or partners in the context of other disciplinary practices. They were also asked about their knowledge of any sexual victimization their children might have experienced. Main Outcome Measures. The incidence of physical and sexual maltreatment determined through maternal reports. Results. Use of harsh physical discipline, equivalent to physical abuse, occurred with an incidence of 4.3%. Shaking of very young children as a means of discipline occurred among 2.6% of children &lt;2 years of age. Mothers reported more frequent physical discipline of their children, including shaking, for themselves than for fathers or father figures. Nearly 11 of 1000 children were reported by their mothers as having been sexually victimized within the past year. The incidence of physical abuse determined with maternal self-reports was 40 times greater than that of official child physical abuse reports, and the sexual abuse incidence was 15 times greater. For every 1 child who sustains a serious injury as a result of shaking, an estimated 150 children may be shaken and go undetected. There was no statistically significant difference in the overall rates of physical or sexual maltreatment between the 2 states. Conclusions. Official statistics underestimate the burden of child maltreatment. Supplemental data obtained with alternative strategies can assist policymakers and planners in addressing needs and services within communities and states. These data support the need for continued interventions to prevent maltreatment.\n
  • #252 Theodore, A. D., Chang, J. J., Runyan, D. K., Hunter, W. M., Bangdiwala, S. I., &amp; Agans, R. (2005). Epidemiologic Features of the Physical and Sexual Maltreatment of Children in the Carolinas. Pediatrics, 115(3), e331-337. These investigators examined the extent of the underestimate of child maltreatment, one of the few studies to do so. Here is the abstract.Child maltreatment remains a significant public health and social problem in the United States. Incidence data rely on substantiated reports of maltreatment known to official social service agencies. Objective. The objective of this study was to describe the epidemiologic features of child physical and sexual abuse, on the basis of maternal self-reports. Design, Setting, and Participants. Computer-assisted, anonymous, cross-sectional, telephone surveys (N = 1435) were conducted with mothers of children 0 to 17 years of age in North and South Carolina. Mothers were asked about potentially abusive behaviors used by either themselves or their husbands or partners in the context of other disciplinary practices. They were also asked about their knowledge of any sexual victimization their children might have experienced. Main Outcome Measures. The incidence of physical and sexual maltreatment determined through maternal reports. Results. Use of harsh physical discipline, equivalent to physical abuse, occurred with an incidence of 4.3%. Shaking of very young children as a means of discipline occurred among 2.6% of children &lt;2 years of age. Mothers reported more frequent physical discipline of their children, including shaking, for themselves than for fathers or father figures. Nearly 11 of 1000 children were reported by their mothers as having been sexually victimized within the past year. The incidence of physical abuse determined with maternal self-reports was 40 times greater than that of official child physical abuse reports, and the sexual abuse incidence was 15 times greater. For every 1 child who sustains a serious injury as a result of shaking, an estimated 150 children may be shaken and go undetected. There was no statistically significant difference in the overall rates of physical or sexual maltreatment between the 2 states. Conclusions. Official statistics underestimate the burden of child maltreatment. Supplemental data obtained with alternative strategies can assist policymakers and planners in addressing needs and services within communities and states. These data support the need for continued interventions to prevent maltreatment.\n
  • #253 \n
  • #254 \n
  • #255 \n
  • #256 \n
  • #257 \n
  • #258 \n
  • #259 \n
  • #260 \n
  • #261 \n
  • #262 \n
  • #263 \n
  • #264 \n
  • #265 \n
  • #266 \n
  • #267 \n
  • #268 \n
  • #269 \n
  • #270 \n
  • #271 \n
  • #272 \n
  • #273 \n
  • #274 \n
  • #275 \n
  • #276 \n
  • #277 \n
  • #278 \n
  • #279 \n
  • #280 \n
  • #281 \n
  • #282 \n
  • #283 \n
  • #284 \n
  • #285 \n
  • #286 \n
  • #287 \n
  • #288 \n
  • #289 \n
  • #290 \n
  • #291 \n