MADHAV INSTITUTE OF TECHNOLOGY & SCIENCE
Calculus & Optimization
Techniques (2240421)
Submitted to:
Dr. Dilip Kumar Mishra
(4th Semester)
Submitted by :
Shivam Mittal
0901MC221066
AIR- II year
Partial Differential
equation
Differential equation
• The equation which express the relationship between independent variables & dependent variables
and the derivatives of dependent variables w.r.t independent variables is called Differential eqn.
• Examples:
ⅆ𝑦
ⅆ𝑥
+ 𝑦 = 𝑥 ; here x is independent variable and y is dependent variable.
• 𝑬𝒙𝒂𝒎𝒑𝒍𝒆𝒔:
𝑑𝑦
𝑑𝑥
− 𝑦 = 𝑒𝑥
𝑑2
𝑦
𝑑𝑥2
− 5
𝑑𝑦
𝑑𝑥
+ 2𝑦 = cos( 𝑥)
Mainly there are two types of differential equation exist:
• Ordinary differential eqn. (ODE)
• Partial differential eqn. (PDE)
❖ Ordinary differential eqn. (ODE) :
• ODE involve one or more ordinary derivatives of unknown functions with respect to only one
independent variable.
)
cos(
2
5
:
2
2
x
y
dx
dy
dx
y
d
e
y
dx
dy
Examples
x
=
+
−
=
− y(x): unknown function
x: independent variable
Partial Differential equation
• An equation containing one or more partial derivatives of an unknown function of two or more
independent variables is known as a Partial Differential Equation.
• Examples:
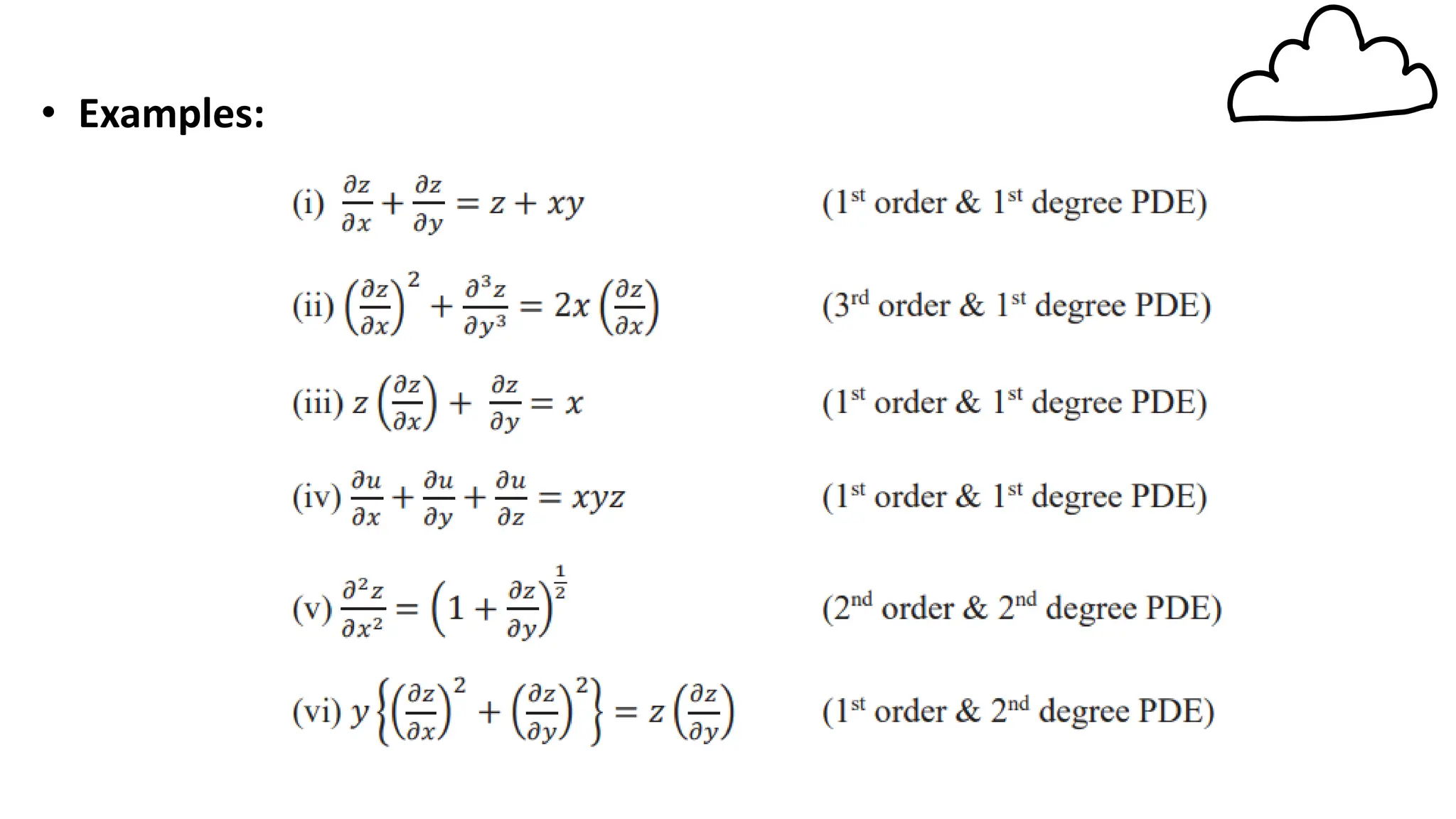
Order & Degree of PDE
❖ Order of PDE:
• The order of the PDE is defined as the order of the highest partial derivative occurring in it.
❖ Degree of PDE:
• The degree of a PDE is defined as the degree of the highest order partial derivative which occurring in
it after the eqn. has been rationalized i.e. made free from radicals or fractions.
• Examples:
Notations used in PDE
(i) When we consider two independent variables 𝑥 and 𝑦 and one dependent variable 𝑧. Then, we use
the following notations in the PDEs.
(ii) When we consider 𝑛 independent variables 𝑥1, 𝑥2, 𝑥3, … … , 𝑥𝑛 and one dependent variable 𝑧.
Then, we use the following notations in the PDEs.
(iii) Partial differentiations are also denoted as :
Classification of First order PDE
(i)Linear PDE :
A first order equation 𝑓(𝑥, 𝑦, 𝑧, 𝑝, 𝑞) = 0 is said to be Linear PDE if it is linear in 𝑝, 𝑞 𝑎𝑛𝑑 𝑧,
that is, if the given equation is of the form 𝑃(𝑥, 𝑦)𝑝 + 𝑄(𝑥, 𝑦)𝑞 = 𝑅(𝑥, 𝑦)𝑧 + 𝑆(𝑥, 𝑦).
Examples:
Classification of First order PDE
(ii) Semi-linear PDE :
A first order equation 𝑓(𝑥, 𝑦, 𝑧, 𝑝, 𝑞) = 0 is said to be Semi-linear PDE if it is linear in 𝑝 𝑎𝑛𝑑 𝑞,
the coefficients 𝑝 𝑎𝑛𝑑 𝑞 are functions of 𝑥 𝑎𝑛𝑑 𝑦 only, that is, if the given equation is of the
form 𝑃(𝑥, 𝑦)𝑝 + 𝑄(𝑥, 𝑦)𝑞 = 𝑅(𝑥, 𝑦, 𝑧).
Examples:
Classification of First order PDE
(iii) Quasi-linear PDE :
A first order equation 𝑓(𝑥, 𝑦, 𝑧, 𝑝, 𝑞) = 0 is said to be Quasi-linear PDE if it is linear in 𝑝 𝑎𝑛𝑑 𝑞,
that is, if the given equation is of the form 𝑃(𝑥, 𝑦, 𝑧)𝑝 + 𝑄(𝑥, 𝑦, 𝑧)𝑞 = 𝑅(𝑥, 𝑦, 𝑧).
Examples:
Classification of First order PDE
(iv) Non-linear PDE :
A first order equation 𝑓(𝑥, 𝑦, 𝑧, 𝑝, 𝑞) = 0 is said to be Nonlinear PDE if it is not linear in
𝑝 𝑎𝑛𝑑 𝑞.
Examples:
Thank You

calculus and optimization & technique pdf

  • 1.
    MADHAV INSTITUTE OFTECHNOLOGY & SCIENCE Calculus & Optimization Techniques (2240421) Submitted to: Dr. Dilip Kumar Mishra (4th Semester) Submitted by : Shivam Mittal 0901MC221066 AIR- II year
  • 2.
  • 3.
    Differential equation • Theequation which express the relationship between independent variables & dependent variables and the derivatives of dependent variables w.r.t independent variables is called Differential eqn. • Examples: ⅆ𝑦 ⅆ𝑥 + 𝑦 = 𝑥 ; here x is independent variable and y is dependent variable. • 𝑬𝒙𝒂𝒎𝒑𝒍𝒆𝒔: 𝑑𝑦 𝑑𝑥 − 𝑦 = 𝑒𝑥 𝑑2 𝑦 𝑑𝑥2 − 5 𝑑𝑦 𝑑𝑥 + 2𝑦 = cos( 𝑥)
  • 4.
    Mainly there aretwo types of differential equation exist: • Ordinary differential eqn. (ODE) • Partial differential eqn. (PDE) ❖ Ordinary differential eqn. (ODE) : • ODE involve one or more ordinary derivatives of unknown functions with respect to only one independent variable. ) cos( 2 5 : 2 2 x y dx dy dx y d e y dx dy Examples x = + − = − y(x): unknown function x: independent variable
  • 5.
    Partial Differential equation •An equation containing one or more partial derivatives of an unknown function of two or more independent variables is known as a Partial Differential Equation. • Examples:
  • 6.
    Order & Degreeof PDE ❖ Order of PDE: • The order of the PDE is defined as the order of the highest partial derivative occurring in it. ❖ Degree of PDE: • The degree of a PDE is defined as the degree of the highest order partial derivative which occurring in it after the eqn. has been rationalized i.e. made free from radicals or fractions.
  • 7.
  • 8.
    Notations used inPDE (i) When we consider two independent variables 𝑥 and 𝑦 and one dependent variable 𝑧. Then, we use the following notations in the PDEs. (ii) When we consider 𝑛 independent variables 𝑥1, 𝑥2, 𝑥3, … … , 𝑥𝑛 and one dependent variable 𝑧. Then, we use the following notations in the PDEs. (iii) Partial differentiations are also denoted as :
  • 9.
    Classification of Firstorder PDE (i)Linear PDE : A first order equation 𝑓(𝑥, 𝑦, 𝑧, 𝑝, 𝑞) = 0 is said to be Linear PDE if it is linear in 𝑝, 𝑞 𝑎𝑛𝑑 𝑧, that is, if the given equation is of the form 𝑃(𝑥, 𝑦)𝑝 + 𝑄(𝑥, 𝑦)𝑞 = 𝑅(𝑥, 𝑦)𝑧 + 𝑆(𝑥, 𝑦). Examples:
  • 10.
    Classification of Firstorder PDE (ii) Semi-linear PDE : A first order equation 𝑓(𝑥, 𝑦, 𝑧, 𝑝, 𝑞) = 0 is said to be Semi-linear PDE if it is linear in 𝑝 𝑎𝑛𝑑 𝑞, the coefficients 𝑝 𝑎𝑛𝑑 𝑞 are functions of 𝑥 𝑎𝑛𝑑 𝑦 only, that is, if the given equation is of the form 𝑃(𝑥, 𝑦)𝑝 + 𝑄(𝑥, 𝑦)𝑞 = 𝑅(𝑥, 𝑦, 𝑧). Examples:
  • 11.
    Classification of Firstorder PDE (iii) Quasi-linear PDE : A first order equation 𝑓(𝑥, 𝑦, 𝑧, 𝑝, 𝑞) = 0 is said to be Quasi-linear PDE if it is linear in 𝑝 𝑎𝑛𝑑 𝑞, that is, if the given equation is of the form 𝑃(𝑥, 𝑦, 𝑧)𝑝 + 𝑄(𝑥, 𝑦, 𝑧)𝑞 = 𝑅(𝑥, 𝑦, 𝑧). Examples:
  • 12.
    Classification of Firstorder PDE (iv) Non-linear PDE : A first order equation 𝑓(𝑥, 𝑦, 𝑧, 𝑝, 𝑞) = 0 is said to be Nonlinear PDE if it is not linear in 𝑝 𝑎𝑛𝑑 𝑞. Examples:
  • 13.