BIOSYNTHESIS OF GLYCEROL, GLYCERIDES
AND PHOSPHOLIPIDS
BHUPENDRA SAHU
ROLL. NO. Y24264005
BIOSYNTHESIS OF GLYCEROL
 GLYCEROL- Glycerol is sugar alcohol and known as glycerin, is a colorless,
odorless, sweet-tasting, viscous liquid that has low toxicity and is
water-soluble.
Structural backbone of lipid molecules, Glycerol is a component of
triglycerides medical, pharmaceutical and personal care preparations,
often as a means of improving smoothness, providing lubrication
 Uses -
Structure of glycerol
•Saponification: Fats and oils can be saponified to produce glycerol and soap.
•Lipolysis: In adipose tissues, glycerol is derived from lipolysis
•Fermentation: Microorganisms can ferment sugars or starches to produce glycerol ( yeast Saccharomyces cerevisiae)
•Glycolytic pathway: Glucose is reduced to dihydroxyacetone-P, which is then reduced by glycerol dehydrogenase to produce sn-
glycerol- 3P then Glycerol is synthesized from sn-glycerol-3-phosphate in the presence of Glycerol-3-phosphate phosphatase.
 Glycerol is synthesized in living organisms through a number of processes,
including -
LIPOLYSIS
Glycerol
Fatty Acids
Circulation
Adipose triglyceride lipase
Hormone sensitive lipase
Monoacyl glycerol
lipase
PERILIPIN- 1A
H2O
(HYDROLYSIS)
H2O
H2O
Saponification
Triglycerides
Diacylglyceride
Monoacylglyceride
BIOSYNTHESIS OF TRYGLYCERIDES
TRIGLYCERIDES-
Also known as Triacylglycerols, and are simple lipids.
Consist of three fatty acid chain esterified to a glycerols backbone.
Occurs in Liver cells (smooth endoplasmic reticulam) and adipose tissues ( fat cells )
Why we need to synthesis the Tryglycerides ?
store of energy.
TAG
3 FATTY ACIS
GLYCEROLS
F. A. + Alcohol
TAG
Simple TAG Mixed TAG
(Tripalmitin)
(Stearodipalmitin)
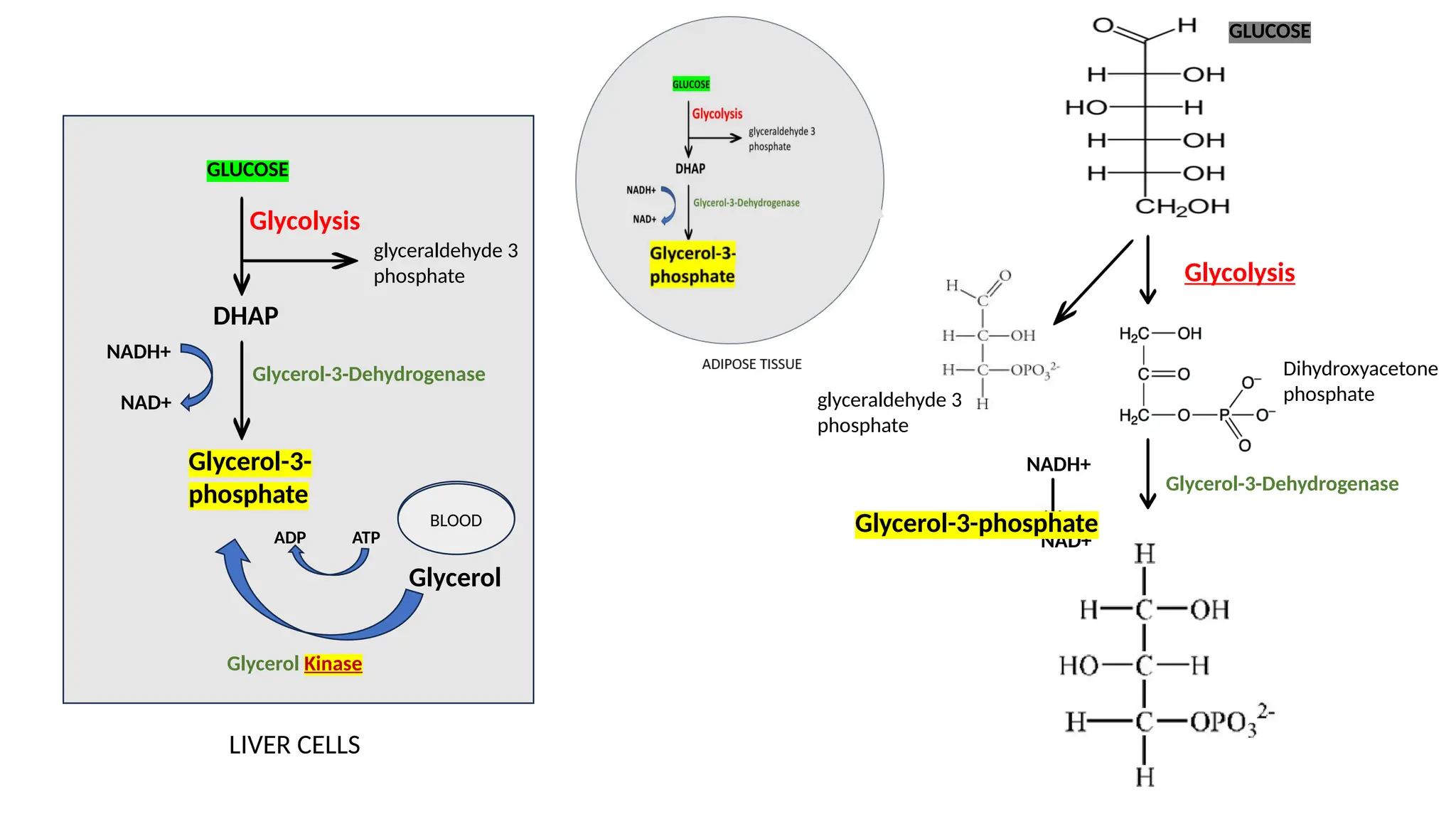
DHAP
GLUCOSE
Glycolysis
Glycerol-3-Dehydrogenase
Glycerol-3-
phosphate
NADH+
NAD+
BLOOD
Glycerol
ADP ATP
Glycerol Kinase
BLOOD
LIVER CELLS
Glycolysis
glyceraldehyde 3
phosphate
Dihydroxyacetone
phosphate
GLUCOSE
Glycerol-3-Dehydrogenase
NADH+
NAD+
NADH+
NAD+
Glycerol-3-phosphate
glyceraldehyde 3
phosphate
FATTY ACID Fatty acyl CoA
Fatty acyl CoA Synthetase
CoA
(Inactivate)
(Activate)
CoA
P
Fatty acyl
Fatty acyl
P
Fatty acyl
Fatty acyl
OH
Phosphatidic
acid
phosphatase
Diacylglycerol
Fatty acyl
Fatty acyl
Fatty acyl
Acyl transferase
Triacylglycerol
SCoA
H-SCoA
Acyl transferase
SCoA
H-SCoA
Acyl transferase
Lysophosphatidic
acid
Phosphatidic acid
Pi
Glycerol-3-
phosphate
Diacylglycerol
Phospatidic acid
phosphatase
Diacylglycerol
Acyl transferase
Triacylglycerol
H
phospholipids
SCoA
SCoA
BIOSYNTHESIS OF PHOSPHOLIPIDS
Phospholipids are complex lipids F. A. + Alcohol + P grp + Add. Grp. that are the primary component of cell
membranes and are involved in many cellular processes.
PHOSPHOLIPID -
Phospholipids form a barrier that regulates the transport of solutes and signal transduction. They also provide a
structural framework for membranes
FUNCTION -
Phospholipids are similar to triglycerides, which are the main storage unit for fat cells in the body. The main difference is that
triglycerides have three fatty acid chains, while phospholipids only have two.
RELATION TO TRIGLYCERIDES-
Phospholipid biosynthesis result in the production of a large number of end product.
The assembly of phospholipid from simple precursors requires-
1) Synthesis of backbone molecules (glycerols or sphingosine)
2) Attachment of fatty acids to the backbone in ester or amide linkage.
3) Addition of a hydrophilic head group, joined to the backbone through a phosphodiester linkage.
4) And, some cases, alteration or exchange of the head group to yield the final phospholipid product.
BIOSYNTHESIS OF PHOSPHOLIPIDS-
phosphatidylinositol
phosphatidylcholine
phosphatidylethanolamine
phosphatidylserine
Phosphatidylglycerol
 Phosphatidyl choline (PC) Lecithin,
 Phosphatidyl ethanolamine (PE) Cephaline,
 Phosphatidyl serine (PS)
 Phosphatidyl inositol (PI),
 and Phosphatidyl glycerol (PG),
Glycerophospholipid sphingophospholipid
 Ceramide
 sphingomylins
phospholipid
can be synthesized by two pathways, the methylation pathway or the
CDP-choline pathway.
BIOSYNTHESIS OF PHOSPHATIDYLCHOLINE
via CDP- choline pathway
Choline is a water-soluble nutrient that's a component of
phospholipids. Source- diet and metabolic turnover.
cell membrane signaling, lipid transport and metabolism, and
early brain development
CHOLINE-
cytidine
H
Refference -
Lehninger principle of biochemistry
Fundamental of biochemistry by J.L. Jain
Biochemistry by David Hames, Nigel Hooper
Thank you

Biosynthesis of glycerol and triglycerides

  • 1.
    BIOSYNTHESIS OF GLYCEROL,GLYCERIDES AND PHOSPHOLIPIDS BHUPENDRA SAHU ROLL. NO. Y24264005
  • 2.
    BIOSYNTHESIS OF GLYCEROL GLYCEROL- Glycerol is sugar alcohol and known as glycerin, is a colorless, odorless, sweet-tasting, viscous liquid that has low toxicity and is water-soluble. Structural backbone of lipid molecules, Glycerol is a component of triglycerides medical, pharmaceutical and personal care preparations, often as a means of improving smoothness, providing lubrication  Uses - Structure of glycerol •Saponification: Fats and oils can be saponified to produce glycerol and soap. •Lipolysis: In adipose tissues, glycerol is derived from lipolysis •Fermentation: Microorganisms can ferment sugars or starches to produce glycerol ( yeast Saccharomyces cerevisiae) •Glycolytic pathway: Glucose is reduced to dihydroxyacetone-P, which is then reduced by glycerol dehydrogenase to produce sn- glycerol- 3P then Glycerol is synthesized from sn-glycerol-3-phosphate in the presence of Glycerol-3-phosphate phosphatase.  Glycerol is synthesized in living organisms through a number of processes, including -
  • 3.
    LIPOLYSIS Glycerol Fatty Acids Circulation Adipose triglyceridelipase Hormone sensitive lipase Monoacyl glycerol lipase PERILIPIN- 1A H2O (HYDROLYSIS) H2O H2O Saponification Triglycerides Diacylglyceride Monoacylglyceride
  • 4.
    BIOSYNTHESIS OF TRYGLYCERIDES TRIGLYCERIDES- Alsoknown as Triacylglycerols, and are simple lipids. Consist of three fatty acid chain esterified to a glycerols backbone. Occurs in Liver cells (smooth endoplasmic reticulam) and adipose tissues ( fat cells ) Why we need to synthesis the Tryglycerides ? store of energy. TAG 3 FATTY ACIS GLYCEROLS F. A. + Alcohol TAG Simple TAG Mixed TAG (Tripalmitin) (Stearodipalmitin)
  • 5.
    DHAP GLUCOSE Glycolysis Glycerol-3-Dehydrogenase Glycerol-3- phosphate NADH+ NAD+ BLOOD Glycerol ADP ATP Glycerol Kinase BLOOD LIVERCELLS Glycolysis glyceraldehyde 3 phosphate Dihydroxyacetone phosphate GLUCOSE Glycerol-3-Dehydrogenase NADH+ NAD+ NADH+ NAD+ Glycerol-3-phosphate glyceraldehyde 3 phosphate
  • 6.
    FATTY ACID Fattyacyl CoA Fatty acyl CoA Synthetase CoA (Inactivate) (Activate) CoA P Fatty acyl Fatty acyl P Fatty acyl Fatty acyl OH Phosphatidic acid phosphatase Diacylglycerol Fatty acyl Fatty acyl Fatty acyl Acyl transferase Triacylglycerol
  • 7.
    SCoA H-SCoA Acyl transferase SCoA H-SCoA Acyl transferase Lysophosphatidic acid Phosphatidicacid Pi Glycerol-3- phosphate Diacylglycerol Phospatidic acid phosphatase Diacylglycerol Acyl transferase Triacylglycerol H phospholipids SCoA SCoA
  • 8.
    BIOSYNTHESIS OF PHOSPHOLIPIDS Phospholipidsare complex lipids F. A. + Alcohol + P grp + Add. Grp. that are the primary component of cell membranes and are involved in many cellular processes. PHOSPHOLIPID - Phospholipids form a barrier that regulates the transport of solutes and signal transduction. They also provide a structural framework for membranes FUNCTION - Phospholipids are similar to triglycerides, which are the main storage unit for fat cells in the body. The main difference is that triglycerides have three fatty acid chains, while phospholipids only have two. RELATION TO TRIGLYCERIDES- Phospholipid biosynthesis result in the production of a large number of end product. The assembly of phospholipid from simple precursors requires- 1) Synthesis of backbone molecules (glycerols or sphingosine) 2) Attachment of fatty acids to the backbone in ester or amide linkage. 3) Addition of a hydrophilic head group, joined to the backbone through a phosphodiester linkage. 4) And, some cases, alteration or exchange of the head group to yield the final phospholipid product. BIOSYNTHESIS OF PHOSPHOLIPIDS-
  • 9.
    phosphatidylinositol phosphatidylcholine phosphatidylethanolamine phosphatidylserine Phosphatidylglycerol  Phosphatidyl choline(PC) Lecithin,  Phosphatidyl ethanolamine (PE) Cephaline,  Phosphatidyl serine (PS)  Phosphatidyl inositol (PI),  and Phosphatidyl glycerol (PG), Glycerophospholipid sphingophospholipid  Ceramide  sphingomylins phospholipid
  • 10.
    can be synthesizedby two pathways, the methylation pathway or the CDP-choline pathway. BIOSYNTHESIS OF PHOSPHATIDYLCHOLINE via CDP- choline pathway Choline is a water-soluble nutrient that's a component of phospholipids. Source- diet and metabolic turnover. cell membrane signaling, lipid transport and metabolism, and early brain development CHOLINE- cytidine H
  • 11.
    Refference - Lehninger principleof biochemistry Fundamental of biochemistry by J.L. Jain Biochemistry by David Hames, Nigel Hooper Thank you