Influence of molecular architecture on the isothermal time-dependent
response of amorphous shape memory polyurethanes
Charly Azra, Yaobo Ding, Christopher J.G. Plummer ⇑
, Jan-Anders E. Månson
Laboratoire de Technologie des Composites et Polymères (LTC), Ecole Polytechnique Fédérale de Lausanne (EPFL), Station 12, CH-1015 Lausanne, Switzerland
a r t i c l e i n f o
Article history:
Received 6 June 2012
Received in revised form 16 July 2012
Accepted 15 October 2012
Available online 24 October 2012
Keywords:
Shape memory polymers
Glass transition
Dynamic mechanical analysis
Loss tangent
Polyurethanes
Time dependence
a b s t r a c t
The thermomechanical response of a series of thermally activated shape memory polyure-
thanes (SMPUs), determined by dynamic mechanical analysis (DMA), has been adjusted by
systematic modification of the molecular architecture. It is argued that the free recovery
behavior of these SMPUs at temperatures in the vicinity of the calorimetric glass transition
temperature is dependent not only on the recovery temperature, but also on the form of
the corresponding peak in tan d in DMA temperature scans at constant frequency. On
the basis of simple correlations between recovery rates and the width and shape of the
tan d peak, it is suggested that DMA may provide a relatively simple and rapid means of
assessing the potential of the SMPUs with respect both to recovery and shape fixity at a
given storage temperature. This in turn allows establishment of a direct link between
the shape memory performance and molecular architecture.
Ó 2012 Elsevier Ltd. All rights reserved.
1. Introduction
Shape memory polymers (SMPs) are able to transform
from a deformation-induced temporary shape to a ‘‘pri-
mary’’ shape characteristic of the equilibrium conforma-
tion of a molecular network defined by entanglement
and physical and/or chemical cross-linking [1]. While such
a transformation may occur in response to various types of
stimulus, it is usually triggered by raising the temperature,
T, above a softening temperature, e.g. a glass transition
temperature, Tg, or a melting point, below which the tem-
porary shape is effectively frozen-in, owing to the limited
mobility of the polymer molecules.
SMPs are typically designed to show well-defined
recovery temperatures [2], and a high level of reproducibil-
ity of the recovered shape [3] within a relatively short time
[4]. However, many potential applications, particularly in
the biomedical field, also require adequate control of the
shape recovery kinetics, e.g. to avoid damaging body tissue
[5] or to ensure well-defined flow rates in microfluidic de-
vices [6]. Moreover, if a passive source of thermal energy
such as the human body is used to actuate the SMP, it
may be important to limit the sensitivity of the recovery
rate to fluctuations with respect to the targeted actuation
temperature.
At T well above Tg, i.e. in the rubbery state, the segmen-
tal mobility of a glassy polymer is high, so that the molec-
ular network is able to rearrange quasi-instantaneously to
reach a new equilibrium configuration in response to an
applied stress, resulting in a quasi-instantaneous (macro-
scopic) elastic strain [7]. Well below Tg, on the other hand,
the polymer is in a non-equilibrium state, conformational
rearrangements are extremely slow, and brittle failure
may intervene prior to any significant stress relaxation. If
intermediate recovery rates are required, the recovery
temperature should therefore be in the vicinity of Tg [8].
However, the relaxation and retardation times associated
with conformational rearrangements in this regime gener-
ally show a strong temperature dependence [7], which im-
plies the recovery rate also to be strongly dependent on T.
One strategy to reduce the temperature sensitivity of
the free recovery rate might be to compensate the temper-
ature dependence of individual retardation times by
0014-3057/$ - see front matter Ó 2012 Elsevier Ltd. All rights reserved.
http://dx.doi.org/10.1016/j.eurpolymj.2012.10.012
⇑ Corresponding author. Tel.: +41 021 693 2856; fax: +41 021 693 5880.
E-mail address: christopher.plummer@epfl.ch (C.J.G. Plummer).
European Polymer Journal 49 (2013) 184–193
Contents lists available at SciVerse ScienceDirect
European Polymer Journal
journal homepage: www.elsevier.com/locate/europolj
broadening the retardation time spectrum, bearing in mind
that too broad a transition may compromise shape fixity at
low T (indeed, for this reason the actuation temperature in
most commercial SMPs, which are designed for rapid
deployment, tends to be associated with a sharp transition
in the mechanical response). In the present work, we
therefore examine the effect of molecular architecture on
the free recovery behavior of a series of amorphous shape
memory polyurethanes (PUR) based on a formulation de-
scribed previously by Buckley et al. [9], for which the retar-
dation time spectrum is relatively broad. The results are
compared with data from a commercial thermoset SMPU
and discussed in the light of results from low strain dy-
namic mechanical analysis (DMA) temperature sweeps at
constant frequency, which allow relatively rapid character-
ization of the linear viscoelastic response in the transition
zone.
2. Materials and methods
2.1. Specimen preparation
A range of thermoset SMPUs was synthesized following
Buckley et al. [9], based on a polytetrahydrofuran (PTHF)
macrodiol with two weight average molar masses,
Mw = 650 and 1000 g/mol, 4,40
-diphenylmethane diisocya-
nate (MDI), and trimethylolpropane (TMP) as a cross-
linker. The chain extender 1,4-butanediol (BDO) was also
included in certain formulations. All chemicals were pur-
chased from Sigma–Aldrich, Switzerland and were used
without further purification.
1 mm thick sheets of the SMPUs were prepared as
follows. First, the PTHF was vacuum-dried at 110 °C and
a pressure of less than 50 mbar for one and a half hours
and then cooled under vacuum to 70 °C. At the same time,
the TMP was vacuum-dried at 70 °C and a pressure of less
than 50 mbar. Where BDO was included in the formula-
tion, it was mixed with the TMP and the mixture vac-
uum-dried as for the TMP. The MDI was introduced to
the PTHF at 70 °C, followed by vigorous hand mixing for
30 s. The TMP or TMP/BDO was then added to the resulting
pre-polymer and hand mixing continued for 30 s. A reac-
tion temperature of 70 °C was preferred to that of 90 °C
used elsewhere [9], so as to increase the pot life of the reac-
tion mixture and hence facilitate subsequent liquid injec-
tion molding. The injection molding apparatus comprised
a sealed steel chamber connected to a closed aluminum
mold, which was preheated to 90 °C for 1 h, a vacuum
pump and a compressed air supply. This allowed rapid
switching from the very low pressure required for efficient
degassing (50 mbar for 45 s) to the pressure of 2 bar neces-
sary to inject the reactive mixture into the mold within its
3 min pot-life. Once the mold was filled, the oven temper-
ature was increased to 110 °C and the specimen cured at
this temperature for 24 h at 2 bar, after which the mold
was left to cool to room temperature. All specimens were
stored in a desiccator at ambient temperature prior to
testing.
To study the effect of the cross-link density on the ther-
momechanical properties of the SMPUs, two formulations
were considered: PTHF (650 g/mol):MDI:TMP = 2:5:2 and
1:4:2, corresponding to TMP concentrations nc = 0.71
mol/kg and 1.04 mol/kg, respectively, nc providing a mea-
sure of the cross-link density [9]. These will be referred
to as P650-lowCD and P650-highCD in what follows. A
blend of PTHF with weight average molar masses of
Mw = 650 and 1000 g/mol was also used to produce an
SMPU with an increased degree of polydispersity of the
molar mass between cross-links, which will be referred
to as P650 + 1000. Finally, the chain extender BDO was
used to modify the mobility at the junction between the
PTHF and the TMP, and between 2 TMPs, in a formulation
that will be referred to as P650 + CE. These formulations
and the corresponding nc are summarized in Table 1. A
schematic representation of the morphology of the SMPUs
is given in Fig. 2.
A two-part thermoset SMPU resin purchased from SMP
Technologies (Japan) with the trade name MP5510 and a
relatively narrow glass transition in the cured state was
also investigated for comparison. The two components of
the resin were degassed at room temperature under vac-
uum (50 mbar) for 1 h. They were then thoroughly hand-
mixed for 30 s in the ratio 40:60 by mass, giving a reactive
mixture with a pot life of about 5 min. The mixture was in-
jected as described above, with a mold temperature of 70 °C
and a curing time of 4 h, following the manufacturer’s rec-
ommendations. The final Tg, measured by differential scan-
ning calorimetry (DSC) at a heating rate of 10 °C/min was
65 °C. All the specimens were post-cured at 110 °C (70 °C
for MP5510) and slowly cooled to room temperature imme-
diately before testing in order to erase any effects of phys-
ical aging during storage. This precaution was important for
the reproducibility of the experimental results owing to the
proximity of the Tg to room temperature in certain of the
SMPUs investigated here.
2.2. Dynamic mechanical analysis (DMA)
DMA measurements were made using a TA Instrument
Q800 DMA calibrated with steel standards. 1 Â 5 Â
10 mm3
rectangular specimens cut from the molded sheets
were tested in tensile mode in dry air at a heating rate of
2 °C/min, a frequency of 1 Hz and a dynamic strain of
0.01%, after equilibration at À50 °C. 1 Hz was chosen to
be the measurement frequency in order to provide data
consistent with the timescale of the shape memory tests
described in the next section, i.e. so that processes occur-
ring at fixed T in the time domain between 1 and
100 min corresponded to processes occurring immediately
above this temperature in the DMA sweeps.
2.3. Tensile shape memory tests
Rectangular SMPU strips of 1 Â 10 Â 100 mm3
(ASTM
standard D 882) were tested using a Universal Testing Sys-
tem (UTS, Walter + Bai AG, Switzerland) equipped with a
1 kN load cell and an environmental chamber (Noske-Kae-
ser, Germany), capable of raising and lowering T under
controlled conditions. A K-type thermocouple placed on a
dummy specimen close to the test specimen was used to
provide a precise indication of the specimen temperature.
C. Azra et al. / European Polymer Journal 49 (2013) 184–193 185
The strain was determined from the cross-head displace-
ment. The test temperature was adjusted using heating
and cooling ramps of 10 °C/min. Under these conditions,
fine tuning of the heating and cooling system allowed
the temperature set-point to be reached with a smooth,
over-damped response, i.e. without overshoot. The time
the system took to reach a stable temperature within
0.5 K of the set-point was between 6 and 10 min for the
range of set-points investigated. There was generally a
small offset between the specimen temperature at
equilibrium as measured by the thermocouple and the
chamber temperature. The measured specimen tempera-
ture rather than the set-point is therefore referred to in
Section 3. The complete programming sequence was as
follows:
 Isotherm at the deformation temperature, Td, for
15 min.
 Deformation at Td to a strain em at a strain rate of
25%/min (step 1).
 Cooling to the storage temperature, Ts, (25 °C in all
cases) immediately after deformation while maintain-
ing em (step 2).
 Unloading at a rate of 1 N/s to zero stress at Ts (step 3).
 Storage at Ts for 10 min at zero stress, resulting in a final
fixed strain ef (step 4).
These steps are shown in Fig. 1 along with a qualitative
indication of the evolution of the force and the cross-head
position during periods of deformation and force control
respectively. The duration of step 2 was fixed at 15 min
regardless of Td, because this was the time required for sta-
bilization of the temperature at Ts. For all the experiments,
em was set to 25% because higher values resulted in the
failure of certain specimens. After unloading (step 3), it
was found that significant stress build-up took place if
the cross-head position (as opposed to the stress) was
maintained fixed during storage at Ts over relatively long
times. While the subsequent free recovery behavior of
MP5510, for example, has been shown to be insensitive
to increases in the duration of step 4 to up to 2 h [8], in
view of the potential influence of accompanying structural
changes [10], as a precaution the storage time at Ts in the
unloaded state was strictly limited to 10 min throughout.
Moreover, the time interval between each programming
and recovery sequence during which it was necessary to
interrupt stress control was exactly 1 min in each case,
which was sufficiently short for stress build-up in the
clamped specimens to be negligible in all cases. The defor-
mation temperature Td was chosen to be the temperature
corresponding to the peak of tan d in the DMA scans, so
that at all the materials were deformed in the same visco-
elastic regime.
Table 1
Molar composition corresponding to the different formulations, along with the molar concentration of TMP in the SMPUs, nc, and the glass transition
temperature measured by differential scanning calorimetry (DSC) at a heating rate of 10 °C/min.
Designation PTHF 650 PTHF 1000 MDI TMP BDO nc (mol/kg) Tg (°C)
P650-lowCD 2 5 2 0.71 45
P650-highCD 1 4 2 1.04 91
P650 + 1000 0.5 0.5 4 2 0.95 71
P650 + CE 1 4 1.2 1.2 0.63 –
Fig. 1. Schematic of the programming and free recovery sequences, along with a qualitative indication of the evolution of the force and the cross-head
position during periods of deformation and force control respectively. The specimens remained in the clamps throughout but the force control was
interrupted during the 1 min interval between the programming sequence and the recovery sequence.
186 C. Azra et al. / European Polymer Journal 49 (2013) 184–193
After programming, the subsequent behavior was stud-
ied under free recovery conditions, i.e. at zero stress. Free
recovery was initiated by maintaining the stress at zero
while heating to the recovery temperature, Tr, as shown
in Fig. 1. The total recovery time, including temperature
equilibration at Tr, was 60 min for all the specimens. Three
values of Tr were investigated in each case, corresponding
to values of tan d of 0.05, 0.1 and 0.15 from the low tem-
perature side of the tan d peak, i.e. the onset of the glass
transition, where slow shape recovery is expected [8].
In what follows, the time-dependent shape memory ef-
fect will be described in terms of two normalized quanti-
ties, the shape fixity ratio Rf(t) and the shape recovery
ratio Rr(t) defined by
Rf ðtÞ ¼
eðtÞ
em
 100 and RrðtÞ ¼
ef À eðtÞ
ef
 100
where e(t) is the measured strain at time t, em is the pro-
gramming strain (25%) and ef is the as-programmed strain,
i.e. the strain fixed at Ts after completion of the program-
ming procedure. Given that the effective strain evolved lit-
tle during the subsequent 1 min interval, the strain
corresponding to the beginning of the recovery step was
taken to be ef. This definition of Rr differs slightly from
the usual definition [1], and is preferred here because it
takes into account the slight decrease in strain that was
consistently observed on unloading the specimens after
the cooling step.
3. Results and discussion
3.1. Dynamic mechanical analysis
The storage modulus E0
, loss modulus E00
and loss factor
tan d are shown as a function of T in Fig. 3. Each of the
SMPUs showed a well-defined a transition in the temper-
ature range investigated, characterized by a steep decrease
Fig. 2. (a) Schematic of the morphology of the SMPUs in Table 1;
structure of the cross-links (b) without and (c) with BDO.
Fig. 3. (a) Storage modulus, E0
, (b) loss modulus, E00
, and (c) loss factor, tan d, as a function of temperature for the different SMPUs from DMA temperature
scans at 1 Hz.
C. Azra et al. / European Polymer Journal 49 (2013) 184–193 187
in E0
with increasing T, and peaks in E00
and tan d. MP5510
also showed a further decrease in E0
at temperatures above
100 °C corresponding to the melting of a dispersed phase
associated with physical cross-linking (in addition to the
chemical cross-links also present in this formulation, as
discussed elsewhere [8]).
Results derived from the DMA scans are summarized in
Table 2. The crosslink densities, mx, were derived from E0
in
the rubbery plateau regime using E0
= 3kTmx. The mx in Table
2 correlated well with nc (Table 1). One may therefore infer
the effective crosslink density of MP5510 to be similar to
that of P650 + CE. A systematic measure of the transition
width is given by the half height width (HHW) of the tan
d peak, i.e. the interval between the two temperatures at
which tan d = tan dmax/2, where tan dmax is the maximum
value of tan d. According to this criterion, the transition
was much broader in the SMPUs based on P650 than in
MP5510, consistent with previous reports, based on creep
experiments, of relatively broad retardation spectra in sim-
ilar formulations to those in Table 1 [9]. As also shown in
Table 2, the product of HHW and tan dmax was in the range
18–20 K for all the SMPUs, indicating inverse proportional-
ity between the height and width of the peak, as observed
in the frequency domain for a variety of polymers, includ-
ing polyurethanes [11]. It follows that one can gain a rapid
appreciation of the relative widths of a series of peaks
simply by comparing their heights.
In interpreting the widths of the tan d peaks in terms of
the widths of the corresponding retardation time spectra,
it is necessary to assume a thermorheologically simple re-
sponse and that the time–temperature shift factors for the
different SMPUs show the same temperature dependence
in the regime of interest. In the present case, this is to some
extent justified in the temperature range down to about
30 °C below the temperature of the tan d peak measured
at 1 Hz, in which shift factors derived from DMA frequency
sweeps for certain of the SMPUs discussed here show a
similar WLF-type dependence [12]. However, significant
discrepancies are seen at lower T, where there is overlap
with the calorimetric glass transition (cf. Tables 1 and 2)
and possibly also lower temperature secondary transitions,
depending on the chemical structure, so that the low tem-
perature tail of the DMA temperature scans should be trea-
ted with particular caution. This may be demonstrated by
varying the measurement frequency or the temperature
ramp rate in the DMA scans, reduction of the ramp rate
(and hence the effective Tg) at fixed measurement fre-
quency leading to significant changes in the form of the
tan d peak at T well below the temperature of the peak
maximum, for example. As discussed further in Section
3.2.1, the behavior in this temperature regime is also ex-
pected to be sensitive to physical aging.
In the absence of the chain extender, the tan d peak gen-
erally shifted to higher T as the crosslink density increased
in the PTHF-based polymers. The sensitivity of tan d to
crosslink density is thought to indicate a certain degree
of miscibility between the hard (MDI/TMP) and soft (PTHF)
segments in these formulations, providing a convenient
means of fine-tuning the effective actuation temperature.
Comparison of the results for P650-lowCD and P650-
highCD also suggests the tan d peak to broaden with
increasing crosslink density and to become increasingly
asymmetric, with an apparent cut-off in the longest retar-
dation times (corresponding to the highest T). Thus, while
the increased concentration of hard segments is assumed
to reduce the mobility of the soft segments, and the
cross-links apparently limit long-range cooperative mo-
tion, the mobility associated with soft segments remote
from the cross-links remains high. The presence of these
relatively mobile segments may also explain the high
values of tan d and reduced glassy moduli observed at T
well below Tg compared with the corresponding values
for MP5510. This is reflected by the values of tan d at Ts
(25 °C throughout) given in Table 2, which provide an indi-
cation of the capacity of an SMP to fix a secondary shape, as
will be discussed further in Section 3.2.1. The broadest tan
d peak was obtained for P650 + 1000, as expected given the
relatively broad distribution of molar masses between
cross-links in this case, which implies a broad distribution
of retardation times.
The effect of adding the chain extender (BDO) to the
polymer network is seen from comparison of P650 + CE
with P650-lowCD and P650-highCD. The crosslink density
for P650-CE was close to that for P650-lowCD, resulting
in a similar plateau modulus. However, the PTHF to MDI
ratio was the same as for P650-highCD. The peak temper-
ature of tan d was consequently intermediate between
those of P650-lowCD and P650-highCD. However, the tan
d peak was significantly narrower than for these latter,
suggesting a correspondingly narrower retardation time
spectrum. To explain this effect, it is necessary to consider
the synthetic procedure used for P650 + CE in more detail.
The BDO may be incorporated into the network in a variety
of ways; it may link two or more pre-polymer molecules,
thus increasing the effective molar mass between adjacent
cross-links, or form the junction between the pre-polymer
and the hard MDI/TMP segments, or act as a spacer within
the hard segments. These latter two possibilities (Fig. 2(c))
were clearly favored by the present mixing procedure, in
which the BDO was added to the reaction mixture at the
Table 2
Selected results from the DMA scans.
Crosslink density, mx (mÀ3
) E00
peak temperature (°C) tan d peak temperature (°C) HHW (°C) HHW.tan dmax (°C) tan d(Ts)
MP5510 6.3 Â 1026
68 81 21 19.5 0.021
P650-lowCD 7.2 Â 1026
38 67 32 19.2 0.088
P650-highCD 1 Â 1027
84 107 34 17.9 0.035
P650 + 1000 9.5 Â 1026
61 92 38 19.3 0.053
P650 + CE 6.4 Â 1026
65 84 28 19.6 0.042
188 C. Azra et al. / European Polymer Journal 49 (2013) 184–193
same time as the crosslinker. Incorporation of the chain ex-
tender is therefore expected to increase the mobility of the
hard segments. Moreover, given that BDO is chemically
similar to the PTHF repeat unit, its presence is also ex-
pected to result in improved miscibility between the hard
and soft segments. The resulting homogenization of the
molecular mobility implies a reduction in the width of
the retardation time spectrum and is hence consistent with
the relatively narrow tan d peak and intermediate tan d
peak temperature observed for P650-CE, in spite of its
low crosslink density.
3.2. Tensile shape memory tests
3.2.1. Shape fixity
3.2.1.1. Instantaneous elastic recoil. The overall shape fixity
ratios, Rf, during the unloading and storage steps (steps 3
and 4) of the programming sequence are shown in Fig. 4.
For all the materials, Rf showed an initial linear decrease
corresponding to the unloading step, during which the load
was reduced at a constant rate of 1 N/s. This instantaneous
elastic recoil, as expressed by the value of the fixity ratio
immediately after unloading, Rfu, is attributed to reversible
thermal stresses developed below the glass transition tem-
perature, and is hence assumed to be roughly proportional
to Td À Ts for a given coefficient of thermal expansion. The
associated losses in shape fixity are shown in Fig. 5. The
largest instantaneous elastic recoil of about 3.2%, corre-
sponding to a change in absolute strain of 0.8%, was indeed
observed for P650-highCD, which had the highest tan d
peak temperature, and hence the highest Td (see Table 2).
One might therefore expect P650-lowCD to show the low-
est elastic recoil, but the extensive time-dependent shape
loss subsequent to unloading in this case (see the following
paragraph) suggests shape loss may also have been signif-
icant during the unloading period, so that this material did
not follow the overall trend suggested by Fig. 5.
3.2.1.2. Time-dependent shape loss. Subsequent to the linear
elastic recoil during unloading, Rf showed a further non-
linear decrease during storage at Ts, as shown in Fig. 4.
The shape loss, Rfu À Rf, and average rate of shape loss over
the 10 min storage period are given in Fig. 6. The rate of
shape loss was between about 0.04% and 0.06%/min for
all the SMPUs with the exception of P650-lowCD, for which
it reached about 0.16%/min. Even so, the overall shape loss
after unloading and 10 min storage at Ts did not exceed 5%
in any of the SMPUs, as seen from Fig. 4, so that the shape
fixity ratios were more than 95% in each case (98% for
MP5510 and P650 + CE).
The time-dependent loss in shape fixity that followed
unloading may be attributed to either viscoelastic recovery
of the polymer in the glassy state in response to the stored
(internal) stresses or structural relaxation (physical aging)
[7,10]. Volume contraction owing to physical aging occurs
over extended times and the total reduction in volume is
typically less than 0.5% in amorphous polymers [13], corre-
sponding to a linear strain of 0.17%, so that it is not thought
to be a dominant contribution to the loss in shape fixity.
Certainly the 2.5% time-dependent loss in shape fixity ob-
served in P650-lowCD, which corresponds to an absolute
strain of about 0.6%, developed over around 10 min, cannot
be ascribed to physical aging alone, and hence necessarily
involves significant viscoelastic recovery. The chain mobil-
ity at Ts (25 °C) is therefore too high in this case to ensure
long-term stability of the secondary shape. From the DMA
curves in Fig. 3, it is seen that Ts also overlapped strongly
with the tan d peak in in P650-lowCD, resulting in a rela-
tively elevated value of tan d(Ts) compared with the other
SMPUs (Table 2). While long-term shape fixity studies are
still required, it is inferred from Fig. 6 that values of tan
d  0.02 at Ts, for which Rf exceeds 98%, should result in
satisfactory stability on the timescale of the present
experiments.
It would also be of interest in future work to investigate
the effect of coupling between physical aging and visco-
elastic recovery rates on shape fixity, because it is known
that small amounts of volume contraction can dramatically
reduce creep, for example [14]. Physical aging has also
been shown to reduce tan d in the temperature range cor-
responding to the onset of the glass transition [15]. This
implies that subjecting glassy SMPs to physical aging prior
to unloading, for example by reducing the cooling rate or
introducing a suitable isothermal heat treatment step prior
to unloading, could be used to improve shape fixity. Phys-
ical aging prior to unloading would presumably also
Fig. 4. Overall shape fixity ratio, Rf, as a function of time, t, during
unloading and storage at Ts.
Fig. 5. Shape loss on unloading, 100 À Rfu, as a function of the difference
between Td and Ts.
C. Azra et al. / European Polymer Journal 49 (2013) 184–193 189
Fig. 6. (a) Overall shape loss, Rfu À Rf, during the 10 min period of storage at Ts and (b) average rate of shape loss during this period.
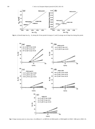
Fig. 7. Shape recovery ratio, Rr, versus time, t, for different Tr: (a) MP5510, (b) P650-lowCD, (c) P650-highCD, (d) P650 + 1000 and (e) P650 + CE.
190 C. Azra et al. / European Polymer Journal 49 (2013) 184–193
reduce subsequent aging effects, and hence reduce uncer-
tainty in the recovery rates after long-term storage.
3.2.2. Shape recovery
Rr is given as a function of recovery time in Fig. 7 for Tr
corresponding to tan d of 0.05, 0.1 and 0.15. As described in
the experimental section, T was ramped from Ts to Tr at a
rate of about 10 °C/min (the duration of this step depended
on Tr, but was generally between 6 and 10 min) and iso-
thermal recovery then took place at Tr for the remainder
of the cycle, which lasted a total of 60 min. Data corre-
sponding to isothermal recovery were therefore obtained
after at most 10 min in all the SMPUs.
The shape recovery rates for MP5510 were signifi-
cantly higher than for the other SMPUs at any given
tan d. The relatively narrow tan d peak observed for
MP5510 in the DMA scans and the associated sensitivity
of E0
to T were clearly important factors in this case, sug-
gesting that there might be a simple correlation between
HHW of the tan d peak and the shape recovery rate at
fixed tan d. As shown in Fig. 8(a), Rr after the 60 min
recovery cycle generally increased with decreasing
HHW at fixed tan d, although there were departures
from the overall trend and the correlation was weak at
large HHW. For example, P650 + CE showed a similar Rr
to P650-highCD for tan d = 0.15 in spite of its signifi-
cantly narrower tan d peak. However, it is seen from
Fig. 8(b) that the average shape recovery rate over the
last 10 mins of the test, Vr, was higher for P650 + CE,
implying it would show substantially greater recovery
than P650-highCD after longer times. This apparent
cross-over may be explained by the somewhat better
shape fixity of P650 + CE. More generally, Vr showed
improved correlation with HHW for the SMPUs in Table
1. However, the limitations of this approach are also evi-
dent from the results for MP5510, which showed an
apparent maximum in Vr at intermediate tan d. In this
case, relatively large values of Rr were measured towards
the end of the recovery step, particularly for tan d = 0.15,
from which it may be inferred that the number of relax-
ation processes activated per unit time was falling off
rapidly. This follows from the assumption that time–
temperature shift factors may be used to transform vis-
coelastic functions from the T domain to the frequency
domain, and that the approximate form of the retarda-
tion time spectrum, L(s), at fixed T may be inferred di-
rectly from the form of tan dx [12]. Thus, recovery as
a function of time is effectively equivalent to the effect
of increasing T at fixed x, in which case, large values
of Rr presumably correspond to the high T side of the
tan d peak and hence regimes where L(s) is decreasing
rapidly with increasing s.
Fig. 9(a) and (b) show Rr after 60 min and Vr as a func-
tion of the local slope of tan d at Tr. The local slope of tan
d(Tr) provides an alternative measure of the effective width
of the tan d peak, and has the advantage of being specific to
the shape of the tan d peak close to the measurement tem-
perature. (In the case of a highly asymmetric peak, for
example, HHW may be strongly influenced by high T re-
gions of the curve that are not directly relevant to short
term processes characteristic of much lower Tr). Moreover,
the slope of tan d(Tr) gives a rough indication of the num-
ber of relaxation processes activated during a relatively
short time interval (assuming the slope to remain roughly
constant in the equivalent temperature range) and hence
should reflect the initial isothermal recovery rate, regard-
less of the absolute value of Tr (provided one remains in
the temperature range corresponding to the low T side of
the tan d peak).
As seen from Fig. 9, there was some correlation between
the recovery data and slope of tan d(Tr), as well as some
deviations. In this case, the deviations may be attributed
at least in part to the simplifications implicit in the
assumption of a direct link between tan d(T) at fixed x
and H(s), as discussed in Section 3.1 [12]. Moreover, the
differences in the time taken by the different specimens
to reach Tr, depending on Tr À Ts, may influence the effec-
tive timescale of the isothermal recovery and the extent
of physical aging. Finally, as discussed previously in the
context of Fig. 8, the large values of Rr measured towards
the end of the recovery step for MP5510 imply that a large
proportion of the retardation time spectrum has been
swept out during the measurement, so that the final stages
of recovery correspond to temperature regimes in which
Fig. 8. (a) Shape recovery ratio after 60 min and (b) average shape recovery rate during the last 10 min of the recovery period, Vr, as a function of the half
height width (HHW) of the tan d peak.
C. Azra et al. / European Polymer Journal 49 (2013) 184–193 191
the slope in tan d may have changed significantly from its
value at Tr (its becoming negative on the high T side of the
tan d peak). It follows that there should no longer be a
direct correlation between Vr and tan d(Tr), under these
conditions, as borne out by Fig. 9(b).
In spite of the above reservations, and bearing in mind
the restricted range of experimental conditions so far
investigated, the ensemble of the SMPUs investigated here
showed generally consistent trends, suggesting that DMA
temperature scans may provide a rapid, semi-quantitative
indication of the capacity of a given formulation to meet a
given set of performance criteria. This is perhaps surprising
in view of the somewhat different chemical structure of
MP5510 from that of the other SMPUs, resulting in distinct
rigid domains and hence ‘‘hybrid’’ chemical and physical
crosslinking. However, given that programming was car-
ried out at temperatures corresponding to the peak in tan
d for the soft phase, the physical crosslinking was unlikely
to have been disrupted by the deformation step [8], so that
under the present conditions MP5510 may be considered
to behave as an ideal thermoset, whose effective crosslink
density may be estimated from the onset of the rubbery
plateau (cf. Table 2).
It follows from these overall trends and the underlying
assumptions in the above discussion, that the sensitivity of
the shape recovery rate to fluctuations in T will be reduced
in systems in which the slope of tan d measured at 1 Hz
varies slowly in the temperature regime corresponding to
the target shape recovery rate (assumed to be situated on
the low T side of the tan d peak), or, equivalently, systems
with a broad retardation time spectrum. It also follows that
the maximum achievable recovery rates should decrease
as the retardation time spectrum broadens.
The width of the retardation time spectrum is expected
to be influenced by factors such as the chemistry of the
individual components (polyol, isocyanate and cross-
linker), the crosslink density and polydispersity of the
molar mass between crosslinks and the homogeneity of
the network. The chemistry determines the strength of
the intermolecular and intramolecular interactions and
hence the range of available molecular motions [7]. For
example, Buckley et al. [9] observed broader retardation
spectra with PTHF diol than with polycaprolactone diol,
or when using MDI rather than TDI as a co-reagent.
Increasing the crosslink density may also affect the width
of the retardation time spectrum by limiting the molar
mass between crosslinks, for example, and hence truncat-
ing the long retardation time end of the spectrum, as seen
here for P650-highCD (Section 3.1) and suppressing the
fastest retardation processes corresponding to segments
remote from the crosslinks. In the present case, however,
as seen from Table 2, there was little overall correlation
between the crosslink density and the width of the tan d
peak. At the same time, the tan d peak temperature in-
creased systematically with crosslink density in the series
P650-lowCD, P650-highCD and P650 + 1000, suggesting
this chemistry to provide considerable scope for varying
the actuation temperature and the temperature sensitivity
of the rate of deployment of an SMPU component indepen-
dently, which is one of the overall goals of the present
work. It follows that chemical homogeneity is of primary
importance in the present systems, as borne out by the
results for P650 + CE, on which basis it may be argued that
improving the miscibility of hard and soft segments
results in a reduction of the width of the retardation time
spectrum. In the case of MP5510, on the other hand, it is
complete phase separation between the hard and soft seg-
ments that leads to a relatively homogeneous ‘‘soft’’ phase,
the hard segments being assimilated with the crosslinks
and therefore not participating in the main a transition.
Thus, not only is the a transition relatively sharp, but the
temperature of the tan d peak is also lower than that
of most of the other formulations investigated here (see
Table 2).
4. Conclusions
This work has shown that by modifying the molecular
architecture of a series of chemically similar amorphous
SMPUs it is possible to manipulate the width and position
of the tan d peak corresponding to the a transition in con-
stant frequency DMA temperature scans. These changes
are argued to reflect changes in the retardation time spec-
trum, which may in turn be accounted for in terms in
changes in the crosslink density and chemical homogene-
Fig. 9. (a) Shape recovery ratio, Rr, after 60 min and (b) average shape recovery rate during the last 10 min of the recovery period, Vr, as a function of the
local slope of tan d for the different Tr.
192 C. Azra et al. / European Polymer Journal 49 (2013) 184–193
ity of the SMPUs. It follows that the shape memory
response may also be correlated with the form of the tan
d peak, allowing one to establish a direct link with changes
in chemical structure. Based on the consistent trends
observed in the SMPUs investigated so far, it is suggested
that this may provide a convenient means of rapidly
screening trial formulations. Work is currently in progress
aimed at establishing a method for the quantitative predic-
tion of shape recovery rates from DMA temperature scans,
which should allow more detailed assessment of the valid-
ity and the limitations of the various assumptions implicit
in the present approach [12].
Acknowledgements
The authors gratefully acknowledge the financial sup-
port of the Swiss Innovation Promotion Association, KTI/
CTI and Debiotech SA, Lausanne.
References
[1] Lendlein A, Kelch S. Shape-memory polymers. Angew Chem Int Ed
2002;41(12):2035–57.
[2] Yakacki CM, Shandas R, Safranski D, Ortega AM, Sassaman K, Gall K.
Strong, tailored, biocompatible shape-memory polymer networks.
Adv Funct Mater 2008;18(16):2428–35.
[3] Xie T, Rousseau IA. Facile tailoring of thermal transition
temperatures of epoxy shape memory polymers. Polymer 2009;
50(8):1852–6.
[4] Sivakumar C, Nasar AS. Poly(Œl-caprolactone)-based hyper-
branched polyurethanes prepared via A2 + B3 approach and its
shape-memory behavior. Eur Polym J 2009;45(8):2329–37.
[5] Sharp AA, Panchawagh HV, Ortega A, Artale R, Richardson-Burns S,
Finch DS, et al. Toward a self-deploying shape memory polymer
neuronal electrode. J Neural Eng 2006;3(4):L23–30.
[6] Gall K, Kreiner P, Turner D, Hulse M. Shape-memory polymers for
microelectromechanical systems. J Microelectromech Syst 2004;
13(3):472–83.
[7] Ferry JD. Viscoelastic properties of polymer. New York: John Wiley
and sons, Inc; 1970.
[8] Azra C, Plummer CJG, Månson JAE. Isothermal recovery rates in
shape memory polyurethanes. Smart Mater Struct 2011;20(8).
[9] Buckley CP, Prisacariu C, Caraculacu A. Novel triol-crosslinked
polyurethanes and their thermorheological characterization as
shape-memory materials. Polymer 2007;48(5):1388–96.
[10] Nguyen TD, Jerry Qi H, Castro F, Long KN. A thermoviscoelastic
model for amorphous shape memory polymers: incorporating
structural and stress relaxation. J Mech Phys Solids 2008;56(9):
2792–814.
[11] Pritz T. Loss factor peak of viscoelastic materials: magnitude to
width relations. J Sound Vibration 2001;246(2):265–80.
[12] Azra C, Plummer CJG, Månson JAE. Tailoring the time-dependent
recovery of shape memory polymers. Proc SPIE 2012;8342:
8342121–9.
[13] Greiner R, Schwarzl FR. Thermal contraction and volume relaxation
of amorphous polymers. Rheol Acta 1984;23(4):378–95.
[14] Lee HHD, McGarry FJ. A creep apparatus to explore the quenching
and ageing phenomena of PVC films. J Mater Sci 1991;26(1):1–5.
[15] Odegard GM, Bandyopadhyay A. Physical aging of epoxy polymers
and their composites. J Polym Sci, Part B: Polym Phys 2011;49(24):
1695–716.
C. Azra et al. / European Polymer Journal 49 (2013) 184–193 193

Azra, Ding et al. 2013

  • 1.
    Influence of moleculararchitecture on the isothermal time-dependent response of amorphous shape memory polyurethanes Charly Azra, Yaobo Ding, Christopher J.G. Plummer ⇑ , Jan-Anders E. Månson Laboratoire de Technologie des Composites et Polymères (LTC), Ecole Polytechnique Fédérale de Lausanne (EPFL), Station 12, CH-1015 Lausanne, Switzerland a r t i c l e i n f o Article history: Received 6 June 2012 Received in revised form 16 July 2012 Accepted 15 October 2012 Available online 24 October 2012 Keywords: Shape memory polymers Glass transition Dynamic mechanical analysis Loss tangent Polyurethanes Time dependence a b s t r a c t The thermomechanical response of a series of thermally activated shape memory polyure- thanes (SMPUs), determined by dynamic mechanical analysis (DMA), has been adjusted by systematic modification of the molecular architecture. It is argued that the free recovery behavior of these SMPUs at temperatures in the vicinity of the calorimetric glass transition temperature is dependent not only on the recovery temperature, but also on the form of the corresponding peak in tan d in DMA temperature scans at constant frequency. On the basis of simple correlations between recovery rates and the width and shape of the tan d peak, it is suggested that DMA may provide a relatively simple and rapid means of assessing the potential of the SMPUs with respect both to recovery and shape fixity at a given storage temperature. This in turn allows establishment of a direct link between the shape memory performance and molecular architecture. Ó 2012 Elsevier Ltd. All rights reserved. 1. Introduction Shape memory polymers (SMPs) are able to transform from a deformation-induced temporary shape to a ‘‘pri- mary’’ shape characteristic of the equilibrium conforma- tion of a molecular network defined by entanglement and physical and/or chemical cross-linking [1]. While such a transformation may occur in response to various types of stimulus, it is usually triggered by raising the temperature, T, above a softening temperature, e.g. a glass transition temperature, Tg, or a melting point, below which the tem- porary shape is effectively frozen-in, owing to the limited mobility of the polymer molecules. SMPs are typically designed to show well-defined recovery temperatures [2], and a high level of reproducibil- ity of the recovered shape [3] within a relatively short time [4]. However, many potential applications, particularly in the biomedical field, also require adequate control of the shape recovery kinetics, e.g. to avoid damaging body tissue [5] or to ensure well-defined flow rates in microfluidic de- vices [6]. Moreover, if a passive source of thermal energy such as the human body is used to actuate the SMP, it may be important to limit the sensitivity of the recovery rate to fluctuations with respect to the targeted actuation temperature. At T well above Tg, i.e. in the rubbery state, the segmen- tal mobility of a glassy polymer is high, so that the molec- ular network is able to rearrange quasi-instantaneously to reach a new equilibrium configuration in response to an applied stress, resulting in a quasi-instantaneous (macro- scopic) elastic strain [7]. Well below Tg, on the other hand, the polymer is in a non-equilibrium state, conformational rearrangements are extremely slow, and brittle failure may intervene prior to any significant stress relaxation. If intermediate recovery rates are required, the recovery temperature should therefore be in the vicinity of Tg [8]. However, the relaxation and retardation times associated with conformational rearrangements in this regime gener- ally show a strong temperature dependence [7], which im- plies the recovery rate also to be strongly dependent on T. One strategy to reduce the temperature sensitivity of the free recovery rate might be to compensate the temper- ature dependence of individual retardation times by 0014-3057/$ - see front matter Ó 2012 Elsevier Ltd. All rights reserved. http://dx.doi.org/10.1016/j.eurpolymj.2012.10.012 ⇑ Corresponding author. Tel.: +41 021 693 2856; fax: +41 021 693 5880. E-mail address: christopher.plummer@epfl.ch (C.J.G. Plummer). European Polymer Journal 49 (2013) 184–193 Contents lists available at SciVerse ScienceDirect European Polymer Journal journal homepage: www.elsevier.com/locate/europolj
  • 2.
    broadening the retardationtime spectrum, bearing in mind that too broad a transition may compromise shape fixity at low T (indeed, for this reason the actuation temperature in most commercial SMPs, which are designed for rapid deployment, tends to be associated with a sharp transition in the mechanical response). In the present work, we therefore examine the effect of molecular architecture on the free recovery behavior of a series of amorphous shape memory polyurethanes (PUR) based on a formulation de- scribed previously by Buckley et al. [9], for which the retar- dation time spectrum is relatively broad. The results are compared with data from a commercial thermoset SMPU and discussed in the light of results from low strain dy- namic mechanical analysis (DMA) temperature sweeps at constant frequency, which allow relatively rapid character- ization of the linear viscoelastic response in the transition zone. 2. Materials and methods 2.1. Specimen preparation A range of thermoset SMPUs was synthesized following Buckley et al. [9], based on a polytetrahydrofuran (PTHF) macrodiol with two weight average molar masses, Mw = 650 and 1000 g/mol, 4,40 -diphenylmethane diisocya- nate (MDI), and trimethylolpropane (TMP) as a cross- linker. The chain extender 1,4-butanediol (BDO) was also included in certain formulations. All chemicals were pur- chased from Sigma–Aldrich, Switzerland and were used without further purification. 1 mm thick sheets of the SMPUs were prepared as follows. First, the PTHF was vacuum-dried at 110 °C and a pressure of less than 50 mbar for one and a half hours and then cooled under vacuum to 70 °C. At the same time, the TMP was vacuum-dried at 70 °C and a pressure of less than 50 mbar. Where BDO was included in the formula- tion, it was mixed with the TMP and the mixture vac- uum-dried as for the TMP. The MDI was introduced to the PTHF at 70 °C, followed by vigorous hand mixing for 30 s. The TMP or TMP/BDO was then added to the resulting pre-polymer and hand mixing continued for 30 s. A reac- tion temperature of 70 °C was preferred to that of 90 °C used elsewhere [9], so as to increase the pot life of the reac- tion mixture and hence facilitate subsequent liquid injec- tion molding. The injection molding apparatus comprised a sealed steel chamber connected to a closed aluminum mold, which was preheated to 90 °C for 1 h, a vacuum pump and a compressed air supply. This allowed rapid switching from the very low pressure required for efficient degassing (50 mbar for 45 s) to the pressure of 2 bar neces- sary to inject the reactive mixture into the mold within its 3 min pot-life. Once the mold was filled, the oven temper- ature was increased to 110 °C and the specimen cured at this temperature for 24 h at 2 bar, after which the mold was left to cool to room temperature. All specimens were stored in a desiccator at ambient temperature prior to testing. To study the effect of the cross-link density on the ther- momechanical properties of the SMPUs, two formulations were considered: PTHF (650 g/mol):MDI:TMP = 2:5:2 and 1:4:2, corresponding to TMP concentrations nc = 0.71 mol/kg and 1.04 mol/kg, respectively, nc providing a mea- sure of the cross-link density [9]. These will be referred to as P650-lowCD and P650-highCD in what follows. A blend of PTHF with weight average molar masses of Mw = 650 and 1000 g/mol was also used to produce an SMPU with an increased degree of polydispersity of the molar mass between cross-links, which will be referred to as P650 + 1000. Finally, the chain extender BDO was used to modify the mobility at the junction between the PTHF and the TMP, and between 2 TMPs, in a formulation that will be referred to as P650 + CE. These formulations and the corresponding nc are summarized in Table 1. A schematic representation of the morphology of the SMPUs is given in Fig. 2. A two-part thermoset SMPU resin purchased from SMP Technologies (Japan) with the trade name MP5510 and a relatively narrow glass transition in the cured state was also investigated for comparison. The two components of the resin were degassed at room temperature under vac- uum (50 mbar) for 1 h. They were then thoroughly hand- mixed for 30 s in the ratio 40:60 by mass, giving a reactive mixture with a pot life of about 5 min. The mixture was in- jected as described above, with a mold temperature of 70 °C and a curing time of 4 h, following the manufacturer’s rec- ommendations. The final Tg, measured by differential scan- ning calorimetry (DSC) at a heating rate of 10 °C/min was 65 °C. All the specimens were post-cured at 110 °C (70 °C for MP5510) and slowly cooled to room temperature imme- diately before testing in order to erase any effects of phys- ical aging during storage. This precaution was important for the reproducibility of the experimental results owing to the proximity of the Tg to room temperature in certain of the SMPUs investigated here. 2.2. Dynamic mechanical analysis (DMA) DMA measurements were made using a TA Instrument Q800 DMA calibrated with steel standards. 1 Â 5 Â 10 mm3 rectangular specimens cut from the molded sheets were tested in tensile mode in dry air at a heating rate of 2 °C/min, a frequency of 1 Hz and a dynamic strain of 0.01%, after equilibration at À50 °C. 1 Hz was chosen to be the measurement frequency in order to provide data consistent with the timescale of the shape memory tests described in the next section, i.e. so that processes occur- ring at fixed T in the time domain between 1 and 100 min corresponded to processes occurring immediately above this temperature in the DMA sweeps. 2.3. Tensile shape memory tests Rectangular SMPU strips of 1 Â 10 Â 100 mm3 (ASTM standard D 882) were tested using a Universal Testing Sys- tem (UTS, Walter + Bai AG, Switzerland) equipped with a 1 kN load cell and an environmental chamber (Noske-Kae- ser, Germany), capable of raising and lowering T under controlled conditions. A K-type thermocouple placed on a dummy specimen close to the test specimen was used to provide a precise indication of the specimen temperature. C. Azra et al. / European Polymer Journal 49 (2013) 184–193 185
  • 3.
    The strain wasdetermined from the cross-head displace- ment. The test temperature was adjusted using heating and cooling ramps of 10 °C/min. Under these conditions, fine tuning of the heating and cooling system allowed the temperature set-point to be reached with a smooth, over-damped response, i.e. without overshoot. The time the system took to reach a stable temperature within 0.5 K of the set-point was between 6 and 10 min for the range of set-points investigated. There was generally a small offset between the specimen temperature at equilibrium as measured by the thermocouple and the chamber temperature. The measured specimen tempera- ture rather than the set-point is therefore referred to in Section 3. The complete programming sequence was as follows: Isotherm at the deformation temperature, Td, for 15 min. Deformation at Td to a strain em at a strain rate of 25%/min (step 1). Cooling to the storage temperature, Ts, (25 °C in all cases) immediately after deformation while maintain- ing em (step 2). Unloading at a rate of 1 N/s to zero stress at Ts (step 3). Storage at Ts for 10 min at zero stress, resulting in a final fixed strain ef (step 4). These steps are shown in Fig. 1 along with a qualitative indication of the evolution of the force and the cross-head position during periods of deformation and force control respectively. The duration of step 2 was fixed at 15 min regardless of Td, because this was the time required for sta- bilization of the temperature at Ts. For all the experiments, em was set to 25% because higher values resulted in the failure of certain specimens. After unloading (step 3), it was found that significant stress build-up took place if the cross-head position (as opposed to the stress) was maintained fixed during storage at Ts over relatively long times. While the subsequent free recovery behavior of MP5510, for example, has been shown to be insensitive to increases in the duration of step 4 to up to 2 h [8], in view of the potential influence of accompanying structural changes [10], as a precaution the storage time at Ts in the unloaded state was strictly limited to 10 min throughout. Moreover, the time interval between each programming and recovery sequence during which it was necessary to interrupt stress control was exactly 1 min in each case, which was sufficiently short for stress build-up in the clamped specimens to be negligible in all cases. The defor- mation temperature Td was chosen to be the temperature corresponding to the peak of tan d in the DMA scans, so that at all the materials were deformed in the same visco- elastic regime. Table 1 Molar composition corresponding to the different formulations, along with the molar concentration of TMP in the SMPUs, nc, and the glass transition temperature measured by differential scanning calorimetry (DSC) at a heating rate of 10 °C/min. Designation PTHF 650 PTHF 1000 MDI TMP BDO nc (mol/kg) Tg (°C) P650-lowCD 2 5 2 0.71 45 P650-highCD 1 4 2 1.04 91 P650 + 1000 0.5 0.5 4 2 0.95 71 P650 + CE 1 4 1.2 1.2 0.63 – Fig. 1. Schematic of the programming and free recovery sequences, along with a qualitative indication of the evolution of the force and the cross-head position during periods of deformation and force control respectively. The specimens remained in the clamps throughout but the force control was interrupted during the 1 min interval between the programming sequence and the recovery sequence. 186 C. Azra et al. / European Polymer Journal 49 (2013) 184–193
  • 4.
    After programming, thesubsequent behavior was stud- ied under free recovery conditions, i.e. at zero stress. Free recovery was initiated by maintaining the stress at zero while heating to the recovery temperature, Tr, as shown in Fig. 1. The total recovery time, including temperature equilibration at Tr, was 60 min for all the specimens. Three values of Tr were investigated in each case, corresponding to values of tan d of 0.05, 0.1 and 0.15 from the low tem- perature side of the tan d peak, i.e. the onset of the glass transition, where slow shape recovery is expected [8]. In what follows, the time-dependent shape memory ef- fect will be described in terms of two normalized quanti- ties, the shape fixity ratio Rf(t) and the shape recovery ratio Rr(t) defined by Rf ðtÞ ¼ eðtÞ em  100 and RrðtÞ ¼ ef À eðtÞ ef  100 where e(t) is the measured strain at time t, em is the pro- gramming strain (25%) and ef is the as-programmed strain, i.e. the strain fixed at Ts after completion of the program- ming procedure. Given that the effective strain evolved lit- tle during the subsequent 1 min interval, the strain corresponding to the beginning of the recovery step was taken to be ef. This definition of Rr differs slightly from the usual definition [1], and is preferred here because it takes into account the slight decrease in strain that was consistently observed on unloading the specimens after the cooling step. 3. Results and discussion 3.1. Dynamic mechanical analysis The storage modulus E0 , loss modulus E00 and loss factor tan d are shown as a function of T in Fig. 3. Each of the SMPUs showed a well-defined a transition in the temper- ature range investigated, characterized by a steep decrease Fig. 2. (a) Schematic of the morphology of the SMPUs in Table 1; structure of the cross-links (b) without and (c) with BDO. Fig. 3. (a) Storage modulus, E0 , (b) loss modulus, E00 , and (c) loss factor, tan d, as a function of temperature for the different SMPUs from DMA temperature scans at 1 Hz. C. Azra et al. / European Polymer Journal 49 (2013) 184–193 187
  • 5.
    in E0 with increasingT, and peaks in E00 and tan d. MP5510 also showed a further decrease in E0 at temperatures above 100 °C corresponding to the melting of a dispersed phase associated with physical cross-linking (in addition to the chemical cross-links also present in this formulation, as discussed elsewhere [8]). Results derived from the DMA scans are summarized in Table 2. The crosslink densities, mx, were derived from E0 in the rubbery plateau regime using E0 = 3kTmx. The mx in Table 2 correlated well with nc (Table 1). One may therefore infer the effective crosslink density of MP5510 to be similar to that of P650 + CE. A systematic measure of the transition width is given by the half height width (HHW) of the tan d peak, i.e. the interval between the two temperatures at which tan d = tan dmax/2, where tan dmax is the maximum value of tan d. According to this criterion, the transition was much broader in the SMPUs based on P650 than in MP5510, consistent with previous reports, based on creep experiments, of relatively broad retardation spectra in sim- ilar formulations to those in Table 1 [9]. As also shown in Table 2, the product of HHW and tan dmax was in the range 18–20 K for all the SMPUs, indicating inverse proportional- ity between the height and width of the peak, as observed in the frequency domain for a variety of polymers, includ- ing polyurethanes [11]. It follows that one can gain a rapid appreciation of the relative widths of a series of peaks simply by comparing their heights. In interpreting the widths of the tan d peaks in terms of the widths of the corresponding retardation time spectra, it is necessary to assume a thermorheologically simple re- sponse and that the time–temperature shift factors for the different SMPUs show the same temperature dependence in the regime of interest. In the present case, this is to some extent justified in the temperature range down to about 30 °C below the temperature of the tan d peak measured at 1 Hz, in which shift factors derived from DMA frequency sweeps for certain of the SMPUs discussed here show a similar WLF-type dependence [12]. However, significant discrepancies are seen at lower T, where there is overlap with the calorimetric glass transition (cf. Tables 1 and 2) and possibly also lower temperature secondary transitions, depending on the chemical structure, so that the low tem- perature tail of the DMA temperature scans should be trea- ted with particular caution. This may be demonstrated by varying the measurement frequency or the temperature ramp rate in the DMA scans, reduction of the ramp rate (and hence the effective Tg) at fixed measurement fre- quency leading to significant changes in the form of the tan d peak at T well below the temperature of the peak maximum, for example. As discussed further in Section 3.2.1, the behavior in this temperature regime is also ex- pected to be sensitive to physical aging. In the absence of the chain extender, the tan d peak gen- erally shifted to higher T as the crosslink density increased in the PTHF-based polymers. The sensitivity of tan d to crosslink density is thought to indicate a certain degree of miscibility between the hard (MDI/TMP) and soft (PTHF) segments in these formulations, providing a convenient means of fine-tuning the effective actuation temperature. Comparison of the results for P650-lowCD and P650- highCD also suggests the tan d peak to broaden with increasing crosslink density and to become increasingly asymmetric, with an apparent cut-off in the longest retar- dation times (corresponding to the highest T). Thus, while the increased concentration of hard segments is assumed to reduce the mobility of the soft segments, and the cross-links apparently limit long-range cooperative mo- tion, the mobility associated with soft segments remote from the cross-links remains high. The presence of these relatively mobile segments may also explain the high values of tan d and reduced glassy moduli observed at T well below Tg compared with the corresponding values for MP5510. This is reflected by the values of tan d at Ts (25 °C throughout) given in Table 2, which provide an indi- cation of the capacity of an SMP to fix a secondary shape, as will be discussed further in Section 3.2.1. The broadest tan d peak was obtained for P650 + 1000, as expected given the relatively broad distribution of molar masses between cross-links in this case, which implies a broad distribution of retardation times. The effect of adding the chain extender (BDO) to the polymer network is seen from comparison of P650 + CE with P650-lowCD and P650-highCD. The crosslink density for P650-CE was close to that for P650-lowCD, resulting in a similar plateau modulus. However, the PTHF to MDI ratio was the same as for P650-highCD. The peak temper- ature of tan d was consequently intermediate between those of P650-lowCD and P650-highCD. However, the tan d peak was significantly narrower than for these latter, suggesting a correspondingly narrower retardation time spectrum. To explain this effect, it is necessary to consider the synthetic procedure used for P650 + CE in more detail. The BDO may be incorporated into the network in a variety of ways; it may link two or more pre-polymer molecules, thus increasing the effective molar mass between adjacent cross-links, or form the junction between the pre-polymer and the hard MDI/TMP segments, or act as a spacer within the hard segments. These latter two possibilities (Fig. 2(c)) were clearly favored by the present mixing procedure, in which the BDO was added to the reaction mixture at the Table 2 Selected results from the DMA scans. Crosslink density, mx (mÀ3 ) E00 peak temperature (°C) tan d peak temperature (°C) HHW (°C) HHW.tan dmax (°C) tan d(Ts) MP5510 6.3 Â 1026 68 81 21 19.5 0.021 P650-lowCD 7.2 Â 1026 38 67 32 19.2 0.088 P650-highCD 1 Â 1027 84 107 34 17.9 0.035 P650 + 1000 9.5 Â 1026 61 92 38 19.3 0.053 P650 + CE 6.4 Â 1026 65 84 28 19.6 0.042 188 C. Azra et al. / European Polymer Journal 49 (2013) 184–193
  • 6.
    same time asthe crosslinker. Incorporation of the chain ex- tender is therefore expected to increase the mobility of the hard segments. Moreover, given that BDO is chemically similar to the PTHF repeat unit, its presence is also ex- pected to result in improved miscibility between the hard and soft segments. The resulting homogenization of the molecular mobility implies a reduction in the width of the retardation time spectrum and is hence consistent with the relatively narrow tan d peak and intermediate tan d peak temperature observed for P650-CE, in spite of its low crosslink density. 3.2. Tensile shape memory tests 3.2.1. Shape fixity 3.2.1.1. Instantaneous elastic recoil. The overall shape fixity ratios, Rf, during the unloading and storage steps (steps 3 and 4) of the programming sequence are shown in Fig. 4. For all the materials, Rf showed an initial linear decrease corresponding to the unloading step, during which the load was reduced at a constant rate of 1 N/s. This instantaneous elastic recoil, as expressed by the value of the fixity ratio immediately after unloading, Rfu, is attributed to reversible thermal stresses developed below the glass transition tem- perature, and is hence assumed to be roughly proportional to Td À Ts for a given coefficient of thermal expansion. The associated losses in shape fixity are shown in Fig. 5. The largest instantaneous elastic recoil of about 3.2%, corre- sponding to a change in absolute strain of 0.8%, was indeed observed for P650-highCD, which had the highest tan d peak temperature, and hence the highest Td (see Table 2). One might therefore expect P650-lowCD to show the low- est elastic recoil, but the extensive time-dependent shape loss subsequent to unloading in this case (see the following paragraph) suggests shape loss may also have been signif- icant during the unloading period, so that this material did not follow the overall trend suggested by Fig. 5. 3.2.1.2. Time-dependent shape loss. Subsequent to the linear elastic recoil during unloading, Rf showed a further non- linear decrease during storage at Ts, as shown in Fig. 4. The shape loss, Rfu À Rf, and average rate of shape loss over the 10 min storage period are given in Fig. 6. The rate of shape loss was between about 0.04% and 0.06%/min for all the SMPUs with the exception of P650-lowCD, for which it reached about 0.16%/min. Even so, the overall shape loss after unloading and 10 min storage at Ts did not exceed 5% in any of the SMPUs, as seen from Fig. 4, so that the shape fixity ratios were more than 95% in each case (98% for MP5510 and P650 + CE). The time-dependent loss in shape fixity that followed unloading may be attributed to either viscoelastic recovery of the polymer in the glassy state in response to the stored (internal) stresses or structural relaxation (physical aging) [7,10]. Volume contraction owing to physical aging occurs over extended times and the total reduction in volume is typically less than 0.5% in amorphous polymers [13], corre- sponding to a linear strain of 0.17%, so that it is not thought to be a dominant contribution to the loss in shape fixity. Certainly the 2.5% time-dependent loss in shape fixity ob- served in P650-lowCD, which corresponds to an absolute strain of about 0.6%, developed over around 10 min, cannot be ascribed to physical aging alone, and hence necessarily involves significant viscoelastic recovery. The chain mobil- ity at Ts (25 °C) is therefore too high in this case to ensure long-term stability of the secondary shape. From the DMA curves in Fig. 3, it is seen that Ts also overlapped strongly with the tan d peak in in P650-lowCD, resulting in a rela- tively elevated value of tan d(Ts) compared with the other SMPUs (Table 2). While long-term shape fixity studies are still required, it is inferred from Fig. 6 that values of tan d 0.02 at Ts, for which Rf exceeds 98%, should result in satisfactory stability on the timescale of the present experiments. It would also be of interest in future work to investigate the effect of coupling between physical aging and visco- elastic recovery rates on shape fixity, because it is known that small amounts of volume contraction can dramatically reduce creep, for example [14]. Physical aging has also been shown to reduce tan d in the temperature range cor- responding to the onset of the glass transition [15]. This implies that subjecting glassy SMPs to physical aging prior to unloading, for example by reducing the cooling rate or introducing a suitable isothermal heat treatment step prior to unloading, could be used to improve shape fixity. Phys- ical aging prior to unloading would presumably also Fig. 4. Overall shape fixity ratio, Rf, as a function of time, t, during unloading and storage at Ts. Fig. 5. Shape loss on unloading, 100 À Rfu, as a function of the difference between Td and Ts. C. Azra et al. / European Polymer Journal 49 (2013) 184–193 189
  • 7.
    Fig. 6. (a)Overall shape loss, Rfu À Rf, during the 10 min period of storage at Ts and (b) average rate of shape loss during this period. Fig. 7. Shape recovery ratio, Rr, versus time, t, for different Tr: (a) MP5510, (b) P650-lowCD, (c) P650-highCD, (d) P650 + 1000 and (e) P650 + CE. 190 C. Azra et al. / European Polymer Journal 49 (2013) 184–193
  • 8.
    reduce subsequent agingeffects, and hence reduce uncer- tainty in the recovery rates after long-term storage. 3.2.2. Shape recovery Rr is given as a function of recovery time in Fig. 7 for Tr corresponding to tan d of 0.05, 0.1 and 0.15. As described in the experimental section, T was ramped from Ts to Tr at a rate of about 10 °C/min (the duration of this step depended on Tr, but was generally between 6 and 10 min) and iso- thermal recovery then took place at Tr for the remainder of the cycle, which lasted a total of 60 min. Data corre- sponding to isothermal recovery were therefore obtained after at most 10 min in all the SMPUs. The shape recovery rates for MP5510 were signifi- cantly higher than for the other SMPUs at any given tan d. The relatively narrow tan d peak observed for MP5510 in the DMA scans and the associated sensitivity of E0 to T were clearly important factors in this case, sug- gesting that there might be a simple correlation between HHW of the tan d peak and the shape recovery rate at fixed tan d. As shown in Fig. 8(a), Rr after the 60 min recovery cycle generally increased with decreasing HHW at fixed tan d, although there were departures from the overall trend and the correlation was weak at large HHW. For example, P650 + CE showed a similar Rr to P650-highCD for tan d = 0.15 in spite of its signifi- cantly narrower tan d peak. However, it is seen from Fig. 8(b) that the average shape recovery rate over the last 10 mins of the test, Vr, was higher for P650 + CE, implying it would show substantially greater recovery than P650-highCD after longer times. This apparent cross-over may be explained by the somewhat better shape fixity of P650 + CE. More generally, Vr showed improved correlation with HHW for the SMPUs in Table 1. However, the limitations of this approach are also evi- dent from the results for MP5510, which showed an apparent maximum in Vr at intermediate tan d. In this case, relatively large values of Rr were measured towards the end of the recovery step, particularly for tan d = 0.15, from which it may be inferred that the number of relax- ation processes activated per unit time was falling off rapidly. This follows from the assumption that time– temperature shift factors may be used to transform vis- coelastic functions from the T domain to the frequency domain, and that the approximate form of the retarda- tion time spectrum, L(s), at fixed T may be inferred di- rectly from the form of tan dx [12]. Thus, recovery as a function of time is effectively equivalent to the effect of increasing T at fixed x, in which case, large values of Rr presumably correspond to the high T side of the tan d peak and hence regimes where L(s) is decreasing rapidly with increasing s. Fig. 9(a) and (b) show Rr after 60 min and Vr as a func- tion of the local slope of tan d at Tr. The local slope of tan d(Tr) provides an alternative measure of the effective width of the tan d peak, and has the advantage of being specific to the shape of the tan d peak close to the measurement tem- perature. (In the case of a highly asymmetric peak, for example, HHW may be strongly influenced by high T re- gions of the curve that are not directly relevant to short term processes characteristic of much lower Tr). Moreover, the slope of tan d(Tr) gives a rough indication of the num- ber of relaxation processes activated during a relatively short time interval (assuming the slope to remain roughly constant in the equivalent temperature range) and hence should reflect the initial isothermal recovery rate, regard- less of the absolute value of Tr (provided one remains in the temperature range corresponding to the low T side of the tan d peak). As seen from Fig. 9, there was some correlation between the recovery data and slope of tan d(Tr), as well as some deviations. In this case, the deviations may be attributed at least in part to the simplifications implicit in the assumption of a direct link between tan d(T) at fixed x and H(s), as discussed in Section 3.1 [12]. Moreover, the differences in the time taken by the different specimens to reach Tr, depending on Tr À Ts, may influence the effec- tive timescale of the isothermal recovery and the extent of physical aging. Finally, as discussed previously in the context of Fig. 8, the large values of Rr measured towards the end of the recovery step for MP5510 imply that a large proportion of the retardation time spectrum has been swept out during the measurement, so that the final stages of recovery correspond to temperature regimes in which Fig. 8. (a) Shape recovery ratio after 60 min and (b) average shape recovery rate during the last 10 min of the recovery period, Vr, as a function of the half height width (HHW) of the tan d peak. C. Azra et al. / European Polymer Journal 49 (2013) 184–193 191
  • 9.
    the slope intan d may have changed significantly from its value at Tr (its becoming negative on the high T side of the tan d peak). It follows that there should no longer be a direct correlation between Vr and tan d(Tr), under these conditions, as borne out by Fig. 9(b). In spite of the above reservations, and bearing in mind the restricted range of experimental conditions so far investigated, the ensemble of the SMPUs investigated here showed generally consistent trends, suggesting that DMA temperature scans may provide a rapid, semi-quantitative indication of the capacity of a given formulation to meet a given set of performance criteria. This is perhaps surprising in view of the somewhat different chemical structure of MP5510 from that of the other SMPUs, resulting in distinct rigid domains and hence ‘‘hybrid’’ chemical and physical crosslinking. However, given that programming was car- ried out at temperatures corresponding to the peak in tan d for the soft phase, the physical crosslinking was unlikely to have been disrupted by the deformation step [8], so that under the present conditions MP5510 may be considered to behave as an ideal thermoset, whose effective crosslink density may be estimated from the onset of the rubbery plateau (cf. Table 2). It follows from these overall trends and the underlying assumptions in the above discussion, that the sensitivity of the shape recovery rate to fluctuations in T will be reduced in systems in which the slope of tan d measured at 1 Hz varies slowly in the temperature regime corresponding to the target shape recovery rate (assumed to be situated on the low T side of the tan d peak), or, equivalently, systems with a broad retardation time spectrum. It also follows that the maximum achievable recovery rates should decrease as the retardation time spectrum broadens. The width of the retardation time spectrum is expected to be influenced by factors such as the chemistry of the individual components (polyol, isocyanate and cross- linker), the crosslink density and polydispersity of the molar mass between crosslinks and the homogeneity of the network. The chemistry determines the strength of the intermolecular and intramolecular interactions and hence the range of available molecular motions [7]. For example, Buckley et al. [9] observed broader retardation spectra with PTHF diol than with polycaprolactone diol, or when using MDI rather than TDI as a co-reagent. Increasing the crosslink density may also affect the width of the retardation time spectrum by limiting the molar mass between crosslinks, for example, and hence truncat- ing the long retardation time end of the spectrum, as seen here for P650-highCD (Section 3.1) and suppressing the fastest retardation processes corresponding to segments remote from the crosslinks. In the present case, however, as seen from Table 2, there was little overall correlation between the crosslink density and the width of the tan d peak. At the same time, the tan d peak temperature in- creased systematically with crosslink density in the series P650-lowCD, P650-highCD and P650 + 1000, suggesting this chemistry to provide considerable scope for varying the actuation temperature and the temperature sensitivity of the rate of deployment of an SMPU component indepen- dently, which is one of the overall goals of the present work. It follows that chemical homogeneity is of primary importance in the present systems, as borne out by the results for P650 + CE, on which basis it may be argued that improving the miscibility of hard and soft segments results in a reduction of the width of the retardation time spectrum. In the case of MP5510, on the other hand, it is complete phase separation between the hard and soft seg- ments that leads to a relatively homogeneous ‘‘soft’’ phase, the hard segments being assimilated with the crosslinks and therefore not participating in the main a transition. Thus, not only is the a transition relatively sharp, but the temperature of the tan d peak is also lower than that of most of the other formulations investigated here (see Table 2). 4. Conclusions This work has shown that by modifying the molecular architecture of a series of chemically similar amorphous SMPUs it is possible to manipulate the width and position of the tan d peak corresponding to the a transition in con- stant frequency DMA temperature scans. These changes are argued to reflect changes in the retardation time spec- trum, which may in turn be accounted for in terms in changes in the crosslink density and chemical homogene- Fig. 9. (a) Shape recovery ratio, Rr, after 60 min and (b) average shape recovery rate during the last 10 min of the recovery period, Vr, as a function of the local slope of tan d for the different Tr. 192 C. Azra et al. / European Polymer Journal 49 (2013) 184–193
  • 10.
    ity of theSMPUs. It follows that the shape memory response may also be correlated with the form of the tan d peak, allowing one to establish a direct link with changes in chemical structure. Based on the consistent trends observed in the SMPUs investigated so far, it is suggested that this may provide a convenient means of rapidly screening trial formulations. Work is currently in progress aimed at establishing a method for the quantitative predic- tion of shape recovery rates from DMA temperature scans, which should allow more detailed assessment of the valid- ity and the limitations of the various assumptions implicit in the present approach [12]. Acknowledgements The authors gratefully acknowledge the financial sup- port of the Swiss Innovation Promotion Association, KTI/ CTI and Debiotech SA, Lausanne. References [1] Lendlein A, Kelch S. Shape-memory polymers. Angew Chem Int Ed 2002;41(12):2035–57. [2] Yakacki CM, Shandas R, Safranski D, Ortega AM, Sassaman K, Gall K. Strong, tailored, biocompatible shape-memory polymer networks. Adv Funct Mater 2008;18(16):2428–35. [3] Xie T, Rousseau IA. Facile tailoring of thermal transition temperatures of epoxy shape memory polymers. Polymer 2009; 50(8):1852–6. [4] Sivakumar C, Nasar AS. Poly(Œl-caprolactone)-based hyper- branched polyurethanes prepared via A2 + B3 approach and its shape-memory behavior. Eur Polym J 2009;45(8):2329–37. [5] Sharp AA, Panchawagh HV, Ortega A, Artale R, Richardson-Burns S, Finch DS, et al. Toward a self-deploying shape memory polymer neuronal electrode. J Neural Eng 2006;3(4):L23–30. [6] Gall K, Kreiner P, Turner D, Hulse M. Shape-memory polymers for microelectromechanical systems. J Microelectromech Syst 2004; 13(3):472–83. [7] Ferry JD. Viscoelastic properties of polymer. New York: John Wiley and sons, Inc; 1970. [8] Azra C, Plummer CJG, Månson JAE. Isothermal recovery rates in shape memory polyurethanes. Smart Mater Struct 2011;20(8). [9] Buckley CP, Prisacariu C, Caraculacu A. Novel triol-crosslinked polyurethanes and their thermorheological characterization as shape-memory materials. Polymer 2007;48(5):1388–96. [10] Nguyen TD, Jerry Qi H, Castro F, Long KN. A thermoviscoelastic model for amorphous shape memory polymers: incorporating structural and stress relaxation. J Mech Phys Solids 2008;56(9): 2792–814. [11] Pritz T. Loss factor peak of viscoelastic materials: magnitude to width relations. J Sound Vibration 2001;246(2):265–80. [12] Azra C, Plummer CJG, Månson JAE. Tailoring the time-dependent recovery of shape memory polymers. Proc SPIE 2012;8342: 8342121–9. [13] Greiner R, Schwarzl FR. Thermal contraction and volume relaxation of amorphous polymers. Rheol Acta 1984;23(4):378–95. [14] Lee HHD, McGarry FJ. A creep apparatus to explore the quenching and ageing phenomena of PVC films. J Mater Sci 1991;26(1):1–5. [15] Odegard GM, Bandyopadhyay A. Physical aging of epoxy polymers and their composites. J Polym Sci, Part B: Polym Phys 2011;49(24): 1695–716. C. Azra et al. / European Polymer Journal 49 (2013) 184–193 193