Analog Circuits
Syllabus
UNIT I: POWER AMPLIFIERS [T1] [CO1]
• Classification of Power Amplifiers - Class A, B, AB & C power
amplifiers –push pull configuration,complementarysymmetry
circuits, Distortion in Amplifiers. Harmonicdistortion and Crossover
Distortion in Power Amplifiers–Conversion efficiencyand relative
performance.
UNIT II: TUNED AMPLIFIERS [T1] [CO2]
• Introduction to Tuned Amplifiers,Q-Factor. single tuned capacitive
coupled amplifier, tapped single tuned capacitance coupled
amplifier, single tuned inductively coupled amplifier, stagger tuning,
synchronous tuned Amplifier.
Syllabus
UNIT III: WAVE SHAPING– Linear and Non-linear: [T2,T3][CO3]
• RC high pass, low pass circuit responsefor sinusoidal, step, pulse, square, ramp &
exponential inputs- Differentiator –Integrator. Diodeclippers- Transistor clipper-
clipping at two independent levels – Emitter coupled clipper- comparator-–
Applications of voltage comparators.
• Clamping operation – clamping with source, diode resistances- clamping circuits
theorem- practicalclamping circuits.
•
UNIT IV: MULTIVIBRATORS:[T2] [CO4]
• Stable states of Bistable Multivibrator- A fixed bias transistor Bistable
Multivibrator -A self biased transistor Bistable Multivibrator - commutating
capacitor – Unsymmetric triggering of Bistable Multivibrator - triggering through
a unilateral device- symmetricaltriggering – Schmitt trigger circuit.
• General operation of monostable-multivibrator, collector coupled mono-stable-
multivibrator - waveforms of collector coupled monostable-multivibrator -
Emitter coupled mono-stablemultivibrator - triggering of mono-
stablemultivibrator. Astable-multivibrator, collector coupled Astablemultivibrator
-Emitter coupled Astable-multivibrator. Designing of Bistable, Mono-stableand
Astable-Multivibrators.
Syllabus
UNIT V: TIME BASE GENERATORS: [T2] [CO2]
• Generalfeatures of time base signals-sweep circuit using a transistor
switch-UJT,UJTcharacteristics, UJT as a sweep circuit, - General
considerations & principles of Miller & Boot strap time base
generators-the transistormillertime base- the transistor,Boot strap
time base generator-A simple current sweep transistorcurrenttime
base generator.
UNIT VI: SAMPLING and LOGIC GATES: [T2] [CO3]
• Basic operating principle unidirectional,Bidirectional samplinggates
using diodes, transistors-reduction of pedestaleffect and sampling
oscilloscope.
• LOGIC GATES: Digital operation of a system-OR, AND, NOT, NAND
&NOR gates- DTL Logic– RTL Logic, TTL logic – comparison.
Text Books:
• [T1] Integrated electronics-J.Milliman and C.C.Halkias,MC Graw –
Hill-1972
• [T2] Pulse digital and switching wave forms-J. Millman and H. Taub,
Tata McGraw-Hill,New Delhi,2001.
• [T3] Solid State Pulse circuits - David A. Bell, PHI, 4th Edn., 2002 .
•
References:
• [R1] Pulse and Digital Circuits – A. Anand Kumar, PHI, 2005.
• [R2] Wave Generation and Shaping - L. Strauss
• [R3] Electronic Circuit Analysis-K.LalKishore, 2004, BSP
UNIT-I
Power Amplifiers
Analog Circuits
Contents
•Classification of Power Amplifiers
1. Class A Power Amplifier
2. Class B Power Amplifier
3. Class AB Power Amplifier
4. Class C Power Amplifier
•Push Pull Configuration.
•Complementary Symmetry Circuits
•Distortion In Power Amplifiers
•Harmonic Distortion & Cross Over Distortion In
Power Amplifiers
•Conversion Efficiency and Relative Performance.
PowerAmplifier
• Power Amplifier basic function is to providehigh power to the
load. Hence large voltageand current handlingis required.
• Due to large power handlingrequirement, the transistor used
is a power transistor, which is large in size and having large
power rating.
• Heat sink is required.
• Power Amplifier is the last stage Of any amplifying System.
• It develops and feeds sufficient power to the load
• (Ex of load :Loud speaker, Servomotor etc.)
• It has the capabilityof handlingLarge signals. Hence it is also
called “ Large signal amplifieror Power Amplifier”.
Applicationsof PowerAmplifiers
• Power amplifiers are used in Public Address systems.
• Radio Receivers
• Driving Servomotors in industrial Control systems
• TV Receivers
• Cathode Ray Tubes etc.
PublicAddresssystem
• Public address system consists of manyvoltage
amplifiers connected in cascade .
• Last stage of a Public Address system is a Power
amplifier.
• Input signal is a sound signal of a human Speaker.
• Sufficient voltage gain is obtained by the voltage
amplifiers .
• Last stage is capable of handling large voltage or current
Swings.
PublicAddresssystem
Features of PowerAmplifiers
• Input signal or amplitude of the power amplifier is Large Of
the order of few volts.
• Out put of power amplifier has large current and Voltage
swings.
• Graphical Analysis is used in power amplifiers.
• Power amplifiers must have low output impedance.
• Common collector circuit is used in Power amplifiers. CE
circuit with Step down transformer is used for impedance
matching.
• Power Transistors are used in Power amplifiers.
• They are large in Size. They have large power dissipation
rating.
Features of PowerAmplifiers
• Analysis of signal distortion is very important in Power
amplifiers.
• Power amplifiers supply large power to the loud
speakers. Hence power amplifiers are also known as
Audio Power Amplifiers.
Parameter Voltage Amplifier Power Amplifier
Gain Voltage gain Power Gain
Analysis Small signal analysis or h
parameter analysis
Largesignal analysis
Transistorsused High β transistors Low β transistors
Sizeof transistors Small in size Largein size
Heat sink Not Required Required
Coupling Elements Resistors and Capacitors Transformers
Amplification Both AF and RF signals AF signals only
Distortion analysis Not Required Required
LoadlineAnalysis
• Figure shows a common emitter circuit with base as input and
collector as the output.
• These two points can be located to drawa straightline on the
output characteristics.
• A line having the reciprocalof the slope of the Load resistance
which is drawn on the output characteristicis called as” load line” .
• The characteristics are plotted for various values of IB
• The intersection of the output characteristiccurve and a load line is the
operatingpoint.
• This point is known as Quiescent Point.
• Q point is respectively.
Note :
1. If an ac signal is super imposed, by the application of ac sinusoidal
voltage at the input , Base current varies sinusoidally.
2. Since the transistor is operated in the active region output is
linearly proportional to input signal.
3. Out put current is β times larger than input base current in CE
configuration.
4. Output collector current and output voltage is also varies
sinusoidally about its quiescent value.
Graphical representations of collector voltageandCollector
currentSwings.
Classification of Power Amplifiers
• Position of Q point on the loadline Decides the Classificationof
Power Amplifiers.
➢Power amplifiersare dividedas
1. Class A Power amplifier
2. Class B Power amplifier
3. Class AB Power amplifier and
4. Class C Power amplifier
ClassA Poweramplifier
• The power amplifier is said to be Class A amplifier if the Q
point and input signal are selected such that the output signal
is obtainedfor a full input cycle.
• Position of the Q-point is at the center of loadline.
• In Class A Power amplifier output exists for the whole Input
signal.
• ConductionAngle is .
• Efficiency is Poor.
â–Ş Conversionefficiency(Éł) is 25% for Direct coupledand 50%
for inductivelycoupled amplifier.
• Distortionis low for small signals.
Waveformsof ClassA operation
ClassB Poweramplifier
• In Class B power Amplifier output signal is obtained only for
one half cycle for full input cycle.
• Due to the selection of Q point on the X-axis, the transistor
remains in the active region, only for positive half cycle of the
input signal.
• Hence this half cycle reproduced at the output. But in a
negative half cycle of the input signal, the transistor enters into
a cut-off region and no signal is produced at the output.
• The collector current flows only for 1800 (half cycle) of the
input signal
• Efficiency is 78.5%
• There exists distortion.(out put is only half for half of the input
signal)
Waveformsof ClassB Amplifier
ClassC Amplifiers
• In this Q point and input signal are selected such that output
signal is obtained for less than half cycle for a full input cycle.
• Q point is shifted below x axis.
• Due to selection of Q point below X-axis, the transistor
remains in active region for less than a half cycle.
• Hence only less than half cycle reproduced at the output. For
remaining cycle of the input, the remains in cut-off region
and no signal is produced at the output.
• Conduction Angle is less than 1800
• Efficiency is high and it is closed to 100%.
• Distortion is more.
Waveformsof Class“C”operation
Applications
• Not suitable for audio applications.
• Used in tuned Circuits, communication areas and RF
circuits.
• They are also called as tuned amplifiers. These are used
in Mixer circuits and wireless communication systems.
ClassABPowerAmplifier
• The Q point and the input signal are selected such that the
output signal is obtained for more than half of the input
signal i.e. more than 180o but less than 3600 , for a full
input cycle.
• Q point position is above X-axis but below the mid point of
load line.
• Conduction angle is >180o but less than 3600.
• Class AB amplifier eliminates “Cross Over Distortion”.
• Q point moves away from the centre of the load line below
towards x axis, the efficiency increases.
ClassABAmplifierWaveforms
Comparisonof PowerAmplifier
Class A Class B Class C Class AB
Operating cycle 3600 1800 Less than
1800
1800 to 3600
Position of Q point Centre of load
line
On X axis Below X axis Above X axis but
below the centre
of load line
Efficiency 25%-50% 78.5% closed to 100%. Higher than A but
lesser than B
Nature of output
current waveform
Collector
current flows
from
O to 360
degrees
Collector current
flows from
O to 180 degrees
Less than 180
Degrees
Greater than 180
Degrees
Comparisonof PowerAmplifier
Class A Class B Class C Class AB
Distortion Absent.
No Distortion
Present. Highest Present
Power dissipation in
transistors
Very High Low Very Low Moderate
ClassA PowerAmplifier
The class A amplifierfurther classified in to two types
1. directly coupled and
2. transformer coupled amplifiers
• In directly coupled amplifier, load is directly connected to collector
terminal.
• In transformer coupled amplifier , load is connected to the collector
terminal through transformer.
SeriesFed, DirectlycoupledClassA Amplifier
DC operation
• The collector supply voltage VCC and resistance RB decides the
d.c. base-bias current IBQ.
• The expression is obtainedapplyingKVL to the input loop and
with VBE=0.7V
VCC=IBQRB+VBE
IBQ=(VCC-0.7)/RB
• The corresponding collector current is then
ICQ=β IBQ
• Apply KVL to the output circuit
VCC=IC QRL+VCE
VCEQ=VCC-ICQRL
• Hence the Q point can be defined as Q (VCEQ,ICQ)
D.C. PowerInput
• The d.c. power input is providedby supply.
• With no a.c. input signal, the d.c. current drawn is the collector
bias current ICQ.
• Hence D.C. power input is,
PDC=VCC ICQ
• Even if ac input signal is applied,The average current drawn
from the d.c. supply remains same. Hence the equation
represents DC power input to Class A series fed amplifier
ACoperation
• When an input a.c. signal is applied,the base current varies
sinusoidally.
• Output collector current varies around its Quiescent value
while the out put voltagecollector to emitter voltage varies
around the quiescent value.
• The varying output voltage and output current delivers ac
power to the load.
• AC analysis includes AC power out put, Conversionefficiency,
maximum efficiency and Power dissipation.
A.C.Poweroutput
• Vmax = Maximum instantaneousvalue of the collector (output)
Voltage
• Vmin = Minimum instantaneousvalueof the collector (output)
Voltage
• VPP = Peak to peak valueof output voltage across load
• Vm = Amplitudeof AC output Voltage
A.C.PowerOutput
• Imax = Maximum instantaneousvalue of the collector(output)
Current
• Imin = Minimum instantaneousvalueof the collector(output)
Current
• IPP = Peak to peak value of output Current across load
• Im = Amplitudeof AC output Current
IPP=Imax-Imin
A.C.PowerOutput
• VRMS = RMS value of output collector voltage
• IRMS = RMS value of output collector current
A.C.PowerOutput
• Alternative expressionsof poweroutput using RMS value .
• Alternative expressionsof power output using peak value.
• Alternative expressionsof poweroutput using peak to peak
value
Efficiency or Conversion Efficiency
• This efficiency is also known as Conversionefficiency an amplifier
MaximumEfficiency
• Assumption: Maximum Voltage swing and current swing on
output Voltage and current respectively.
• By substituting the above valuesin equation12
MaximumEfficiency
• Ideal conversionEfficiency of Class A Direct coupledPower
amplifier is 25%.
• Practical valueis around15%
PowerDissipation
• Power Dissipationdefined as the difference between DC power
and AC power delivered to the load (Ex: Loud Speaker,
Servomotor)
• Maximum dissipationoccurs when ac signal is Zero.
AdvantagesandDisadvantages
of ClassA DirectcoupledPowerAmplifier
Advantages
• Simple, Easy to construct, design and implement.
• Number of componentsare less.
• It is cheap and occupies less space. It is not bulky since there is
no transformer.
Disadvantages
• Efficiency is poor and it is 25%.
• Wastage of Power
• Output impedance is high. Cannot be used for low impedance
loads
• Power dissipationis more. Heat sinks are required.
Applications
• Class A Direct coupled Power amplifier is more suited for audio
applications.
TransformercoupledClassA powerAmplifier
• Impedance matching is necessary for the maximum transfer of
power.
• Output impedance of series fed Direct coupledamplifier is
High.
• Direct coupledamplifier is not suitable to match the loads like
loud speakers which are having low impedance.
• Proper Impedance matching is providedby using Transformer
coupled amplifier.
• Transformer is called out put transformer and the amplifier is
called Transformer coupledClass A amplifier.
TransformercoupledClassA powerAmplifier
• N1 = Number of turns on primary
• N2 = Number of turns on secondary
• V1 = Voltage applied to primary
• V2 = Voltage on secondary
• Turns Ratio:
• The ratio of number of turns on secodary to the number of turns on
primaryis called turns ratio of the transformer denoted by n
• n= Turns ratio=N1/N2
Voltage Transformation:
• The transformertransformsthe voltage applied on the primary side
to secondaryside is proportionalto turns ratio
• (V2/V1 )= (N2/N1)) =n
Current transformation:
• The current in the secondary winding is inverselyproportional
to the number of turns of the windings.
• (I2/I1) = (N1/N2) = (1/n)
Transformer–ImpedanceTransformation
• Like currents and voltages impedanceseen from either side also
changes.
• Impedanceof the load on secondary is
• Primary and secondarywinding impedances are assumed to be Zero.
• Load impedance is , Gets reflected on the primaryside and
behaves as if connected in the primaryside.
• Such impedancetransformedfrom secondaryto primaryis denoted
as
ReflectedLoad
ReflectedLoad
• is the reflected impedanceand is related to the squareof
turns ratio of transformer.
• For a step down Transformersecondaryvoltageis less than
primary.
• High voltage side is always high impedance side i.e primary side.
• for a step down Transformer.
• In the amplifieranalysis ,the load is on secondarywhile the
active device the transistoron primary.
• Hence in all calculations the reflected load impedance must
be considered ratherthan
TransformercoupledAmplifier.
Transformer coupledAmplifier.(cont….)
• Figure shows transformer coupled Amplifier.
• Loud speaker connected in the secondaryacts as load havingimpedance
ohms.
• Transformer used is a step down transformer with turns ratio .
DC operation
• It is assumed that the windingresistances are zero ohms.
• There is no Dc voltage drop across the primary windingof the transformer.
• Slope of the Dc load line is reciprocal of dc resistance ofcollector circuit.
• It is zero in this case.
• Slope of the Dc load line is infinite.
Transformer coupledAmplifier.(cont….)
• By Applying KVL to the collector circuit
• (Since the drop across transformerwinding is Zero).
• DC Power Input
• AC operation
• For analyzingAC operation we may need to drawAC load line.
• Load on the secondary is load impedance and
Transformer coupled Amplifier.(cont….)
• The reflected impedance is
• Load line is drawn with a slope of and
passingthrough the operatingpoint i.e Quiscent point Q is called ac
load line.
• Output current i.e collector current varies around its Quiescent value
when ac input signal is applied.
• Output voltage varies sinusoid ally around its Quiescent value which
is in this case.
GraphicalAnalysis(Includediagram)
GraphicalAnalysis(ACoutputPower)
• AC output power
• While calculating ac power developed across the primary winding of
a transformer primaryvalues of voltage, current and reflected power
must be considered.
• (1).For the calculation of AC power- must be considered.
• For the calculation of Load Voltage, Load Current, Load power,
Secondary Voltage, Load resistance must be considered.
GraphicalAnalysis(ACOutput Power)
• Magnitude of Peak value of Primary Voltage.
• Magnitude of Peak value of Primary Current.
• Rms Value of Primary Voltage
• Rms Value of Primary Current
• AC power developed on the primaryis given by
GraphicalAnalysis(ACOutput Power)
• Similarlyac power delivered to the load on secondarycan be calculated
usingsecondaryQuantities.
GraphicalAnalysis(ACOutput Power)
• .
• Magnitude of Peak value of secondaryor load voltage.
• Magnitude of Peak value of secondaryor load Current.
• rms value of secondaryor load voltage.
• rms value of secondaryor load Current.
GraphicalAnalysis(ACOutput Power)
• In Generaltransformeris not ideal. Hence power delivered to load
on secondaryis slightly less than the power developed by primary.
GraphicalAnalysis(ACOutput Power)
• Slope of ac load line is
• Maximum Efficiency
MaximumEfficiency
MaximumEfficiency
• Assumption:Maximum output voltage swing and current swing are
assumed.
• Q point is exactly at the centre of the load line. For maximum swing
we can write
MaximumEfficiency
MaximumEfficiency
• Note:
• Maximum possibleefficiency =50% (ideal case)
• Practical efficiency = 30 to 35%
• .
• Power Dissipation
• It is defined as the difference between ac poweroutput and dc
power input.
Significanceof PowerDissipation
• It decides the maximum power dissipation rating of a power
transistor to be selected for an amplifier.
• Advantages
• Efficiency of transformer coupled amplifier is higher than the direct
coupled amplifier.
• Impedancetransfer for maximum power is possible.
• DC bias current does not flow through the transformer.
Disadvantages
• System is Bulky, Occupies space, costly.
• Difficult to design.
• Frequency responseis poor.
SNO Parameter Series Fed Direct coupled Class
A
Transformer Coupled Class A
1 Load Connectivity Load is connected directly to
the collector circuit
Load is coupled through the
transformer
2 Design Simple to design Complex to Design
3 Number of
components
Less number of components More number of components
4 Impedance
matching
o/p impedance is high .cannot
be used for low impedance
Low impedance matching is
possible due to transformer
5 Power Wastage of power No wastage of Power
6 Cost Circuit is not bulky. less cost Circuit is Bulky-More Cost.
7 Efficiency 25% 50%
8 Frequency
Response
Good POOR
Distortionin PowerAmplifiers
• Distortion plays a very importantrole in Power amplifiers
• For faithfulamplification amplitude, frequencyand phasemust be
faithfullyreproduced at the output.
• Phase distortion and frequency distortion does not play significant
role in power amplifiers.
• HarmonicDistortion plays vital role in power amplifiers.
• Due to nonlinearityin the dynamic characteristics the waveform of
output voltage differs from that of the input signal which is known as
“Harmonic Distortion”
HarmonicDistortion
• Presence of harmoniccomponents in the wave form which are not
presentin the input signal.
• The component with frequency same as the input signal is called
fundamentalfrequencycomponent.
• Additionalfrequency components presentin the output signal are
having frequencies which are integral multiples of the fundamental
frequency.
• These components are called HarmonicComponents or Harmonics.
• If the fundamentalfrequencyis f hertz,then output signal contains
frequencies such as 2f,3f ...etc.
HarmonicDistortion
• 2f component-Second Harmonic
• 3f component-Third Harmonic
Note : Fundamentalcomponentdoes not consider as the first
harmonic.
• Second Harmonicamplitude is largest.
• Second Harmonicdistortion is more importantin the analysis of
amplifiers.
• As the order of Harmonics increases its amplitude decreases.
DistortionDuetoHarmonicComponents
DistortionDuetoHarmonicComponents
• From the abovefigure it is observed that Distorted wave form can be
obtained by adding the fundamentaland the harmonicComponents.
• Percentage HarmonicDistortion can be calculated by comparing the
amplitude of each order of the harmonic with the amplitude of
fundamental frequency component.
• If the fundamentalfrequencycomponenthas an amplitudeof
and the n th harmonic componenthas an amplitudeof then the
percentage harmonicdistortion due to nth harmonic componentis
expressed as
DistortionDuetoHarmonicComponents
• .
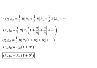
TotalHarmonicDistortion
• Total harmonicDistortion is defined as the effective distortion due to
all individual components.
• Mathematicallyit can be expressed as
• D= Total Harmonic Distortion
D = Total Harmonic Distortion
SecondHarmonicDistortion(Threepoint
Method)
SecondHarmonicDistortion(Threepoint
Method)
• Dynamic transfer characteristics of the transistoris assumed to be
parabolic(non linear in nature) for the analysis of Second Harmonic
Distortion.
• Input signal causes the basecurrent swing cosine in nature.
•
• Due to this collector current swings around quiescent value.
• Relation between and is nonlinear.
• In equation no(4) last term represents second harmoniccomponent and
hence it is concluded that second harmonicis present.
Total output collector current waveform
• Total output collector current waveformis shown in the below figure
in which collector current varies around its Quiescent value.
Total outputcollector current
• Total collector currentcan be expressed in terms of dc bias value , dc
signal Component, fundamentalfrequencyand second harmonic
componentas
Total output collector current
• Due to the presence of Harmonics DC current increases.
• Harmonics can be calculated by connecting milli ammeter at the
output i.e in the collector circuit.
• Milli ammeterreadings must be observed with the presence of ac
inputsignal& without ac input signal.
• If the milli ammetre reading is same in the presenceof ac signal and
in the absenceof ac signal then it indicates that there are no
harmonics presentat the output.
• If there exists increase in the milli ammetre reading in the
presence of ac signal when compared with the absenceof ac signal
then it indicates that harmonics are presentat the output.
Mathematical analysis fromthe collector wave form
• At point1,ωt =0 by substitutingin Equation 5
• by substitutingin Equation 5
Mathematical analysis fromthe collectorwave
form
• Hence the equations can be written as
Mathematical analysis fromthe collectorwave
form(cont…)
• From Eqn 13
• Substituting 15 in 14
Mathematical analysis fromthe collectorwave
form(cont…)
• Eqn12-Eqn14results
• From the aboveEquation
• By adding Eqn 12 And eqn 14
• But
Mathematical analysis fromthe collectorwave
form(cont…)
PoweroutputDuetodistortion
.
• .
Analysisof ClassB amplifiers
• Q point is located on X axis.
• Collector current flows only half cycle of the input signal.
• To get full cycle across the load pair of transistors is used in class B
operation.
• Two transistors conductin alternatehalf cycles of input signal and a
full cycle across the load is obtained.
• The two transistorswhich are identical in characteristics are termed
as matched transistors.
Analysisof ClassB amplifiers
• Dependingon the type of transistors pnp or npn the two circuit
configurations ofclass B are possible.
ClassB operation
Pushpull Class B
• In Class B push Pull two
transistors areof the same type
either pnp or npn.
Complementary symmetry class B
• In Complementarysymmetry
class B
two transistors are
complementaryto each other
one is pnp and the other is npn
Class-B Pushpull powerAmplifier
Few modifications
Class-B Push pull power Amplifier
• Circuit Discription
• Both the transistorsare of the same type hence this is pushpull Class B
power amplifier.
• The two transformers in the push pull circuit are Input transformerTR1 or
Driver transformer and the output transformerTR2 or load transformer.
• Transformers : Input and out put transformers are Centre Tapped.
• Input Transformer is connected to the base of the transistor T1 .
• Input signal is applied to the base of the input Transformer.
• Input transformer drives the circuit hence it is known as driver Transformer.
• Centre tap on the Primary of the Input transformer is connected to the
supplyvoltage-Vcc.
Class-B Push pull power Amplifier (cont...)
• Out put Transformer
• Turns ratio of the output transformeris specified as 2N1 : N2
• Centre tap on the Primary of the out put transformer is connected
to the supplyvoltage +Vcc.
• Secondary of the out put transformer is connected to load i.e Loud
speaker.
• Transistors
• Transistors T1 and T2 are npn type. pnp transistors can also be used.
In that case supply voltage polarity is – Vcc instead of + Vcc .
• Both the transistorsarein CE configuration.
Class-B Push pull power Amplifier (cont...)
• Operation:
• During positive half cycles of input signal end A of the centre tapped
driver transformer will be positive ahile point B will be negative.
• The voltages in the two halves of the secondary of the driver
transformer will be equalwith opposite polarity.
• Input signals applied to the base of the transistors T1 and T2 will be
180 0 out of phase.
• When point A is positive transistorT1 is driven into active region and
T2 is driven into saturation region. & Vice versa.
Class-BPushpull power Amplifier (cont...)
Class-B Push pull power Amplifier (cont...)
• T1 & T2 conducts for the positive and negative half cycles
respectively producing alternate positive & negative half cycles at
the load.
• Thus whole of the applied input signal appears across the load as
shown in the below wave forms.
Input andoutput waveforms of Class B pushpull Power amplifier
DC Operation
• Biasing point is adjusted on X axis such that VCEQ = VCC and ICEQ = 0.
• Coordinates of Q point are (VCC,0).
DC Power input
• Im is the peak value of output current of each transistor (ic1, ic2).
• DC or average value is .
• Two currents drawn by two transistors are in the same direction.
• Total dc or average current drawn from the supply is
the algebraic sum of the individual average current drawn by each transistor.
AC Operation
• With the application of ac input signal transistorT1 Conducts during
Positive half cycles and T2 Conducts during Negative halfcycles
Ac operation-T1 Conduction
• When T1 Conducts, lower half
of the primary transformer
does not carry any current.
• Only N1 (Out of 2N1) number of
turns carry the current.
Ac operation-T2Conduction
• When T2 Conducts, upper half
of the primary transformer
does not carry any current.
• Only N1 (Out of 2N1) number of
turns carry the current.
Load lines of Class b push pull Power amplifier
• Reflected load on the primary can be written as
•
• Step down turns ratio is
• During the calculation of reflected load the ratio
• becomes
• Each transistor shares equalload which is nothing but reflected load.
• is the peak value of current.
Load lines of Class b push pull Power amplifier
Ac poweroutput
• .
Efficiency
• .
Efficiency
• .
maximumEfficiency
• .
MaximumEfficiency
MaximumEfficiency
• .
• As Vm increases ŋ increases
• Maximum value of
•
PowerDissipation
• .
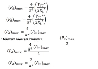
MaximumPowerDissipation
• .
• Maxima or minima condition is
• Differentiating the above equation w.r.t Vm
MaximumPowerDissipation
• .
• for maximum power dissipation
• .
• Maximum power per transistor=
Advantagesof ClassB pushpullPower
amplifier
• Efficiency is high compared with Class A transformer Coupled.
• Power dissipation is zero in the absence of AC input signal.
• Even harmonics get cancelled. This reduces harmonic Distortion.
• Dc saturation ofthe core is avoided. Since current flows in opposite
direction.
• Ripples in the supplyvoltage is eliminated.
• Due to output transformerimpedancematching is possible.
Disadvantagesof ClassB pushpullPower
amplifier
• Two centre tap transformers arenecessary.
• System is bulky and costlier.
• Frequency responseis poor.
ComplementarysymmetryclassB pushpull
powerAmplifier.
• In this one transistoris pnp and the other transistoris npn.
• The circuit is transformer less.
• To achieve proper impedancematching complementarytransistors
are used in common collector configuration.
• Common collector has lowest output impedanceand hence
impedancematching is possible.
• Voltage feed back can be used to reduce the output impedance.
ClassB PushpullPowerAmplifier
PositiveHalfCycles-Operation
• Circuit is Driven from dual power supply
• Transistor
• During positive half cycles is driven in to active region and starts
conducting.
• If the same signal is applied to the base of it remains off sins it is
complementaryof . It remains in the off condition during positive
half cycles of applied input voltage
PositiveHalfcyclesoperation
NegativeHalfcyclesoperation
• Transistor
• During negative half cycles is driven in to active region and
starts conducting.
• If the same signal is applied to the base of it remains off since it
is complementaryof . It remains in the off condition during
negative half cycles of applied input voltage
• Note : Mathematical analysis is same as Class B push pull power
amplifier.
• Here load resistance value must be used since there is no
output transformer.
NegativeHalfCycles
Advantages
• Circuit does not contain transformer.Hence its weight and cost are
less.
• Impedancematching is possibledue to common collector
configuration.
• Better frequencyresponsecompared with class B push pull.
Disadvantages
1. Circuit needs two power supplies.
2. Cross over distortion results distorted output.
SNO Parameter Pushpull Class B Complementary
symmetry class B
1 Transistors
Both are similar
Transistors.
pnp or npn
One Transistor is pnp and
the other one is npn
2 Transformer
Two transformersare
required .one at the
input and the other at
load
No transformer is required
3 Impedancematching No Impedance
matching.
Impedancematching is
possibledue to CC
configuration
4 Frequency Response Poor Improved
SNO Parameter PushpullClass B Complementary symmetry
class B
5 Power Supply Single power supply Dual Power Supply
6 Weight & Cost Bulky and Costly Light & Less Cost
7 Efficiency High compared with
ClassA
High compared With
Pushpull
ACKTS UNIT 1.pdf analog circuits unit 1b
ACKTS UNIT 1.pdf analog circuits unit 1b
ACKTS UNIT 1.pdf analog circuits unit 1b
ACKTS UNIT 1.pdf analog circuits unit 1b
ACKTS UNIT 1.pdf analog circuits unit 1b
ACKTS UNIT 1.pdf analog circuits unit 1b
ACKTS UNIT 1.pdf analog circuits unit 1b

ACKTS UNIT 1.pdf analog circuits unit 1b

  • 1.
  • 2.
    Syllabus UNIT I: POWERAMPLIFIERS [T1] [CO1] • Classification of Power Amplifiers - Class A, B, AB & C power amplifiers –push pull configuration,complementarysymmetry circuits, Distortion in Amplifiers. Harmonicdistortion and Crossover Distortion in Power Amplifiers–Conversion efficiencyand relative performance. UNIT II: TUNED AMPLIFIERS [T1] [CO2] • Introduction to Tuned Amplifiers,Q-Factor. single tuned capacitive coupled amplifier, tapped single tuned capacitance coupled amplifier, single tuned inductively coupled amplifier, stagger tuning, synchronous tuned Amplifier.
  • 3.
    Syllabus UNIT III: WAVESHAPING– Linear and Non-linear: [T2,T3][CO3] • RC high pass, low pass circuit responsefor sinusoidal, step, pulse, square, ramp & exponential inputs- Differentiator –Integrator. Diodeclippers- Transistor clipper- clipping at two independent levels – Emitter coupled clipper- comparator-– Applications of voltage comparators. • Clamping operation – clamping with source, diode resistances- clamping circuits theorem- practicalclamping circuits. • UNIT IV: MULTIVIBRATORS:[T2] [CO4] • Stable states of Bistable Multivibrator- A fixed bias transistor Bistable Multivibrator -A self biased transistor Bistable Multivibrator - commutating capacitor – Unsymmetric triggering of Bistable Multivibrator - triggering through a unilateral device- symmetricaltriggering – Schmitt trigger circuit. • General operation of monostable-multivibrator, collector coupled mono-stable- multivibrator - waveforms of collector coupled monostable-multivibrator - Emitter coupled mono-stablemultivibrator - triggering of mono- stablemultivibrator. Astable-multivibrator, collector coupled Astablemultivibrator -Emitter coupled Astable-multivibrator. Designing of Bistable, Mono-stableand Astable-Multivibrators.
  • 4.
    Syllabus UNIT V: TIMEBASE GENERATORS: [T2] [CO2] • Generalfeatures of time base signals-sweep circuit using a transistor switch-UJT,UJTcharacteristics, UJT as a sweep circuit, - General considerations & principles of Miller & Boot strap time base generators-the transistormillertime base- the transistor,Boot strap time base generator-A simple current sweep transistorcurrenttime base generator. UNIT VI: SAMPLING and LOGIC GATES: [T2] [CO3] • Basic operating principle unidirectional,Bidirectional samplinggates using diodes, transistors-reduction of pedestaleffect and sampling oscilloscope. • LOGIC GATES: Digital operation of a system-OR, AND, NOT, NAND &NOR gates- DTL Logic– RTL Logic, TTL logic – comparison.
  • 5.
    Text Books: • [T1]Integrated electronics-J.Milliman and C.C.Halkias,MC Graw – Hill-1972 • [T2] Pulse digital and switching wave forms-J. Millman and H. Taub, Tata McGraw-Hill,New Delhi,2001. • [T3] Solid State Pulse circuits - David A. Bell, PHI, 4th Edn., 2002 . • References: • [R1] Pulse and Digital Circuits – A. Anand Kumar, PHI, 2005. • [R2] Wave Generation and Shaping - L. Strauss • [R3] Electronic Circuit Analysis-K.LalKishore, 2004, BSP
  • 6.
  • 7.
    Contents •Classification of PowerAmplifiers 1. Class A Power Amplifier 2. Class B Power Amplifier 3. Class AB Power Amplifier 4. Class C Power Amplifier •Push Pull Configuration. •Complementary Symmetry Circuits •Distortion In Power Amplifiers •Harmonic Distortion & Cross Over Distortion In Power Amplifiers •Conversion Efficiency and Relative Performance.
  • 8.
    PowerAmplifier • Power Amplifierbasic function is to providehigh power to the load. Hence large voltageand current handlingis required. • Due to large power handlingrequirement, the transistor used is a power transistor, which is large in size and having large power rating. • Heat sink is required. • Power Amplifier is the last stage Of any amplifying System. • It develops and feeds sufficient power to the load • (Ex of load :Loud speaker, Servomotor etc.) • It has the capabilityof handlingLarge signals. Hence it is also called “ Large signal amplifieror Power Amplifier”.
  • 9.
    Applicationsof PowerAmplifiers • Poweramplifiers are used in Public Address systems. • Radio Receivers • Driving Servomotors in industrial Control systems • TV Receivers • Cathode Ray Tubes etc.
  • 10.
    PublicAddresssystem • Public addresssystem consists of manyvoltage amplifiers connected in cascade . • Last stage of a Public Address system is a Power amplifier. • Input signal is a sound signal of a human Speaker. • Sufficient voltage gain is obtained by the voltage amplifiers . • Last stage is capable of handling large voltage or current Swings.
  • 11.
  • 12.
    Features of PowerAmplifiers •Input signal or amplitude of the power amplifier is Large Of the order of few volts. • Out put of power amplifier has large current and Voltage swings. • Graphical Analysis is used in power amplifiers. • Power amplifiers must have low output impedance. • Common collector circuit is used in Power amplifiers. CE circuit with Step down transformer is used for impedance matching. • Power Transistors are used in Power amplifiers. • They are large in Size. They have large power dissipation rating.
  • 13.
    Features of PowerAmplifiers •Analysis of signal distortion is very important in Power amplifiers. • Power amplifiers supply large power to the loud speakers. Hence power amplifiers are also known as Audio Power Amplifiers.
  • 14.
    Parameter Voltage AmplifierPower Amplifier Gain Voltage gain Power Gain Analysis Small signal analysis or h parameter analysis Largesignal analysis Transistorsused High β transistors Low β transistors Sizeof transistors Small in size Largein size Heat sink Not Required Required Coupling Elements Resistors and Capacitors Transformers Amplification Both AF and RF signals AF signals only Distortion analysis Not Required Required
  • 15.
  • 16.
    • Figure showsa common emitter circuit with base as input and collector as the output.
  • 17.
    • These twopoints can be located to drawa straightline on the output characteristics. • A line having the reciprocalof the slope of the Load resistance which is drawn on the output characteristicis called as” load line” .
  • 18.
    • The characteristicsare plotted for various values of IB • The intersection of the output characteristiccurve and a load line is the operatingpoint. • This point is known as Quiescent Point. • Q point is respectively. Note : 1. If an ac signal is super imposed, by the application of ac sinusoidal voltage at the input , Base current varies sinusoidally. 2. Since the transistor is operated in the active region output is linearly proportional to input signal. 3. Out put current is β times larger than input base current in CE configuration. 4. Output collector current and output voltage is also varies sinusoidally about its quiescent value.
  • 19.
    Graphical representations ofcollector voltageandCollector currentSwings.
  • 20.
    Classification of PowerAmplifiers • Position of Q point on the loadline Decides the Classificationof Power Amplifiers. ➢Power amplifiersare dividedas 1. Class A Power amplifier 2. Class B Power amplifier 3. Class AB Power amplifier and 4. Class C Power amplifier
  • 21.
    ClassA Poweramplifier • Thepower amplifier is said to be Class A amplifier if the Q point and input signal are selected such that the output signal is obtainedfor a full input cycle. • Position of the Q-point is at the center of loadline. • In Class A Power amplifier output exists for the whole Input signal. • ConductionAngle is . • Efficiency is Poor. ▪ Conversionefficiency(ɳ) is 25% for Direct coupledand 50% for inductivelycoupled amplifier. • Distortionis low for small signals.
  • 22.
  • 23.
    ClassB Poweramplifier • InClass B power Amplifier output signal is obtained only for one half cycle for full input cycle. • Due to the selection of Q point on the X-axis, the transistor remains in the active region, only for positive half cycle of the input signal. • Hence this half cycle reproduced at the output. But in a negative half cycle of the input signal, the transistor enters into a cut-off region and no signal is produced at the output. • The collector current flows only for 1800 (half cycle) of the input signal • Efficiency is 78.5% • There exists distortion.(out put is only half for half of the input signal)
  • 24.
  • 25.
    ClassC Amplifiers • Inthis Q point and input signal are selected such that output signal is obtained for less than half cycle for a full input cycle. • Q point is shifted below x axis. • Due to selection of Q point below X-axis, the transistor remains in active region for less than a half cycle. • Hence only less than half cycle reproduced at the output. For remaining cycle of the input, the remains in cut-off region and no signal is produced at the output. • Conduction Angle is less than 1800 • Efficiency is high and it is closed to 100%. • Distortion is more.
  • 26.
  • 27.
    Applications • Not suitablefor audio applications. • Used in tuned Circuits, communication areas and RF circuits. • They are also called as tuned amplifiers. These are used in Mixer circuits and wireless communication systems.
  • 28.
    ClassABPowerAmplifier • The Qpoint and the input signal are selected such that the output signal is obtained for more than half of the input signal i.e. more than 180o but less than 3600 , for a full input cycle. • Q point position is above X-axis but below the mid point of load line. • Conduction angle is >180o but less than 3600. • Class AB amplifier eliminates “Cross Over Distortion”. • Q point moves away from the centre of the load line below towards x axis, the efficiency increases.
  • 29.
  • 30.
    Comparisonof PowerAmplifier Class AClass B Class C Class AB Operating cycle 3600 1800 Less than 1800 1800 to 3600 Position of Q point Centre of load line On X axis Below X axis Above X axis but below the centre of load line Efficiency 25%-50% 78.5% closed to 100%. Higher than A but lesser than B Nature of output current waveform Collector current flows from O to 360 degrees Collector current flows from O to 180 degrees Less than 180 Degrees Greater than 180 Degrees
  • 31.
    Comparisonof PowerAmplifier Class AClass B Class C Class AB Distortion Absent. No Distortion Present. Highest Present Power dissipation in transistors Very High Low Very Low Moderate
  • 32.
    ClassA PowerAmplifier The classA amplifierfurther classified in to two types 1. directly coupled and 2. transformer coupled amplifiers • In directly coupled amplifier, load is directly connected to collector terminal. • In transformer coupled amplifier , load is connected to the collector terminal through transformer.
  • 33.
  • 34.
    DC operation • Thecollector supply voltage VCC and resistance RB decides the d.c. base-bias current IBQ. • The expression is obtainedapplyingKVL to the input loop and with VBE=0.7V VCC=IBQRB+VBE IBQ=(VCC-0.7)/RB • The corresponding collector current is then ICQ=β IBQ • Apply KVL to the output circuit VCC=IC QRL+VCE VCEQ=VCC-ICQRL • Hence the Q point can be defined as Q (VCEQ,ICQ)
  • 35.
    D.C. PowerInput • Thed.c. power input is providedby supply. • With no a.c. input signal, the d.c. current drawn is the collector bias current ICQ. • Hence D.C. power input is, PDC=VCC ICQ • Even if ac input signal is applied,The average current drawn from the d.c. supply remains same. Hence the equation represents DC power input to Class A series fed amplifier
  • 36.
    ACoperation • When aninput a.c. signal is applied,the base current varies sinusoidally. • Output collector current varies around its Quiescent value while the out put voltagecollector to emitter voltage varies around the quiescent value. • The varying output voltage and output current delivers ac power to the load. • AC analysis includes AC power out put, Conversionefficiency, maximum efficiency and Power dissipation.
  • 37.
    A.C.Poweroutput • Vmax =Maximum instantaneousvalue of the collector (output) Voltage • Vmin = Minimum instantaneousvalueof the collector (output) Voltage • VPP = Peak to peak valueof output voltage across load • Vm = Amplitudeof AC output Voltage
  • 38.
    A.C.PowerOutput • Imax =Maximum instantaneousvalue of the collector(output) Current • Imin = Minimum instantaneousvalueof the collector(output) Current • IPP = Peak to peak value of output Current across load • Im = Amplitudeof AC output Current IPP=Imax-Imin
  • 39.
    A.C.PowerOutput • VRMS =RMS value of output collector voltage • IRMS = RMS value of output collector current
  • 40.
  • 41.
    • Alternative expressionsofpoweroutput using RMS value . • Alternative expressionsof power output using peak value. • Alternative expressionsof poweroutput using peak to peak value
  • 42.
    Efficiency or ConversionEfficiency • This efficiency is also known as Conversionefficiency an amplifier
  • 43.
    MaximumEfficiency • Assumption: MaximumVoltage swing and current swing on output Voltage and current respectively. • By substituting the above valuesin equation12
  • 44.
    MaximumEfficiency • Ideal conversionEfficiencyof Class A Direct coupledPower amplifier is 25%. • Practical valueis around15%
  • 45.
    PowerDissipation • Power Dissipationdefinedas the difference between DC power and AC power delivered to the load (Ex: Loud Speaker, Servomotor) • Maximum dissipationoccurs when ac signal is Zero.
  • 46.
    AdvantagesandDisadvantages of ClassA DirectcoupledPowerAmplifier Advantages •Simple, Easy to construct, design and implement. • Number of componentsare less. • It is cheap and occupies less space. It is not bulky since there is no transformer. Disadvantages • Efficiency is poor and it is 25%. • Wastage of Power • Output impedance is high. Cannot be used for low impedance loads • Power dissipationis more. Heat sinks are required.
  • 47.
    Applications • Class ADirect coupled Power amplifier is more suited for audio applications.
  • 48.
    TransformercoupledClassA powerAmplifier • Impedancematching is necessary for the maximum transfer of power. • Output impedance of series fed Direct coupledamplifier is High. • Direct coupledamplifier is not suitable to match the loads like loud speakers which are having low impedance. • Proper Impedance matching is providedby using Transformer coupled amplifier. • Transformer is called out put transformer and the amplifier is called Transformer coupledClass A amplifier.
  • 49.
    TransformercoupledClassA powerAmplifier • N1= Number of turns on primary • N2 = Number of turns on secondary • V1 = Voltage applied to primary • V2 = Voltage on secondary • Turns Ratio: • The ratio of number of turns on secodary to the number of turns on primaryis called turns ratio of the transformer denoted by n • n= Turns ratio=N1/N2 Voltage Transformation: • The transformertransformsthe voltage applied on the primary side to secondaryside is proportionalto turns ratio • (V2/V1 )= (N2/N1)) =n
  • 50.
    Current transformation: • Thecurrent in the secondary winding is inverselyproportional to the number of turns of the windings. • (I2/I1) = (N1/N2) = (1/n)
  • 51.
    Transformer–ImpedanceTransformation • Like currentsand voltages impedanceseen from either side also changes. • Impedanceof the load on secondary is • Primary and secondarywinding impedances are assumed to be Zero. • Load impedance is , Gets reflected on the primaryside and behaves as if connected in the primaryside. • Such impedancetransformedfrom secondaryto primaryis denoted as
  • 52.
  • 53.
  • 54.
    • is thereflected impedanceand is related to the squareof turns ratio of transformer. • For a step down Transformersecondaryvoltageis less than primary. • High voltage side is always high impedance side i.e primary side. • for a step down Transformer. • In the amplifieranalysis ,the load is on secondarywhile the active device the transistoron primary. • Hence in all calculations the reflected load impedance must be considered ratherthan
  • 55.
  • 56.
    Transformer coupledAmplifier.(cont….) • Figureshows transformer coupled Amplifier. • Loud speaker connected in the secondaryacts as load havingimpedance ohms. • Transformer used is a step down transformer with turns ratio . DC operation • It is assumed that the windingresistances are zero ohms. • There is no Dc voltage drop across the primary windingof the transformer. • Slope of the Dc load line is reciprocal of dc resistance ofcollector circuit. • It is zero in this case. • Slope of the Dc load line is infinite.
  • 57.
    Transformer coupledAmplifier.(cont….) • ByApplying KVL to the collector circuit • (Since the drop across transformerwinding is Zero). • DC Power Input • AC operation • For analyzingAC operation we may need to drawAC load line. • Load on the secondary is load impedance and
  • 58.
    Transformer coupled Amplifier.(cont….) •The reflected impedance is • Load line is drawn with a slope of and passingthrough the operatingpoint i.e Quiscent point Q is called ac load line. • Output current i.e collector current varies around its Quiescent value when ac input signal is applied. • Output voltage varies sinusoid ally around its Quiescent value which is in this case.
  • 59.
  • 60.
    GraphicalAnalysis(ACoutputPower) • AC outputpower • While calculating ac power developed across the primary winding of a transformer primaryvalues of voltage, current and reflected power must be considered. • (1).For the calculation of AC power- must be considered. • For the calculation of Load Voltage, Load Current, Load power, Secondary Voltage, Load resistance must be considered.
  • 61.
    GraphicalAnalysis(ACOutput Power) • Magnitudeof Peak value of Primary Voltage. • Magnitude of Peak value of Primary Current. • Rms Value of Primary Voltage • Rms Value of Primary Current • AC power developed on the primaryis given by
  • 62.
    GraphicalAnalysis(ACOutput Power) • Similarlyacpower delivered to the load on secondarycan be calculated usingsecondaryQuantities.
  • 63.
    GraphicalAnalysis(ACOutput Power) • . •Magnitude of Peak value of secondaryor load voltage. • Magnitude of Peak value of secondaryor load Current. • rms value of secondaryor load voltage. • rms value of secondaryor load Current.
  • 64.
    GraphicalAnalysis(ACOutput Power) • InGeneraltransformeris not ideal. Hence power delivered to load on secondaryis slightly less than the power developed by primary.
  • 65.
    GraphicalAnalysis(ACOutput Power) • Slopeof ac load line is • Maximum Efficiency
  • 66.
  • 67.
    MaximumEfficiency • Assumption:Maximum outputvoltage swing and current swing are assumed. • Q point is exactly at the centre of the load line. For maximum swing we can write
  • 68.
  • 69.
    MaximumEfficiency • Note: • Maximumpossibleefficiency =50% (ideal case) • Practical efficiency = 30 to 35%
  • 70.
    • . • PowerDissipation • It is defined as the difference between ac poweroutput and dc power input.
  • 71.
    Significanceof PowerDissipation • Itdecides the maximum power dissipation rating of a power transistor to be selected for an amplifier. • Advantages • Efficiency of transformer coupled amplifier is higher than the direct coupled amplifier. • Impedancetransfer for maximum power is possible. • DC bias current does not flow through the transformer.
  • 72.
    Disadvantages • System isBulky, Occupies space, costly. • Difficult to design. • Frequency responseis poor.
  • 73.
    SNO Parameter SeriesFed Direct coupled Class A Transformer Coupled Class A 1 Load Connectivity Load is connected directly to the collector circuit Load is coupled through the transformer 2 Design Simple to design Complex to Design 3 Number of components Less number of components More number of components 4 Impedance matching o/p impedance is high .cannot be used for low impedance Low impedance matching is possible due to transformer 5 Power Wastage of power No wastage of Power 6 Cost Circuit is not bulky. less cost Circuit is Bulky-More Cost. 7 Efficiency 25% 50% 8 Frequency Response Good POOR
  • 74.
    Distortionin PowerAmplifiers • Distortionplays a very importantrole in Power amplifiers • For faithfulamplification amplitude, frequencyand phasemust be faithfullyreproduced at the output. • Phase distortion and frequency distortion does not play significant role in power amplifiers. • HarmonicDistortion plays vital role in power amplifiers. • Due to nonlinearityin the dynamic characteristics the waveform of output voltage differs from that of the input signal which is known as “Harmonic Distortion”
  • 75.
    HarmonicDistortion • Presence ofharmoniccomponents in the wave form which are not presentin the input signal. • The component with frequency same as the input signal is called fundamentalfrequencycomponent. • Additionalfrequency components presentin the output signal are having frequencies which are integral multiples of the fundamental frequency. • These components are called HarmonicComponents or Harmonics. • If the fundamentalfrequencyis f hertz,then output signal contains frequencies such as 2f,3f ...etc.
  • 76.
    HarmonicDistortion • 2f component-SecondHarmonic • 3f component-Third Harmonic Note : Fundamentalcomponentdoes not consider as the first harmonic. • Second Harmonicamplitude is largest. • Second Harmonicdistortion is more importantin the analysis of amplifiers. • As the order of Harmonics increases its amplitude decreases.
  • 77.
  • 78.
    DistortionDuetoHarmonicComponents • From theabovefigure it is observed that Distorted wave form can be obtained by adding the fundamentaland the harmonicComponents. • Percentage HarmonicDistortion can be calculated by comparing the amplitude of each order of the harmonic with the amplitude of fundamental frequency component. • If the fundamentalfrequencycomponenthas an amplitudeof and the n th harmonic componenthas an amplitudeof then the percentage harmonicdistortion due to nth harmonic componentis expressed as
  • 79.
  • 80.
    TotalHarmonicDistortion • Total harmonicDistortionis defined as the effective distortion due to all individual components. • Mathematicallyit can be expressed as • D= Total Harmonic Distortion D = Total Harmonic Distortion
  • 81.
  • 82.
    SecondHarmonicDistortion(Threepoint Method) • Dynamic transfercharacteristics of the transistoris assumed to be parabolic(non linear in nature) for the analysis of Second Harmonic Distortion. • Input signal causes the basecurrent swing cosine in nature. • • Due to this collector current swings around quiescent value. • Relation between and is nonlinear.
  • 83.
    • In equationno(4) last term represents second harmoniccomponent and hence it is concluded that second harmonicis present.
  • 84.
    Total output collectorcurrent waveform • Total output collector current waveformis shown in the below figure in which collector current varies around its Quiescent value.
  • 85.
    Total outputcollector current •Total collector currentcan be expressed in terms of dc bias value , dc signal Component, fundamentalfrequencyand second harmonic componentas
  • 86.
    Total output collectorcurrent • Due to the presence of Harmonics DC current increases. • Harmonics can be calculated by connecting milli ammeter at the output i.e in the collector circuit. • Milli ammeterreadings must be observed with the presence of ac inputsignal& without ac input signal. • If the milli ammetre reading is same in the presenceof ac signal and in the absenceof ac signal then it indicates that there are no harmonics presentat the output. • If there exists increase in the milli ammetre reading in the presence of ac signal when compared with the absenceof ac signal then it indicates that harmonics are presentat the output.
  • 87.
    Mathematical analysis fromthecollector wave form • At point1,ωt =0 by substitutingin Equation 5 • by substitutingin Equation 5
  • 88.
    Mathematical analysis fromthecollectorwave form • Hence the equations can be written as
  • 89.
    Mathematical analysis fromthecollectorwave form(cont…) • From Eqn 13 • Substituting 15 in 14
  • 90.
    Mathematical analysis fromthecollectorwave form(cont…) • Eqn12-Eqn14results • From the aboveEquation • By adding Eqn 12 And eqn 14 • But
  • 91.
    Mathematical analysis fromthecollectorwave form(cont…)
  • 92.
  • 93.
  • 94.
    Analysisof ClassB amplifiers •Q point is located on X axis. • Collector current flows only half cycle of the input signal. • To get full cycle across the load pair of transistors is used in class B operation. • Two transistors conductin alternatehalf cycles of input signal and a full cycle across the load is obtained. • The two transistorswhich are identical in characteristics are termed as matched transistors.
  • 95.
    Analysisof ClassB amplifiers •Dependingon the type of transistors pnp or npn the two circuit configurations ofclass B are possible.
  • 96.
    ClassB operation Pushpull ClassB • In Class B push Pull two transistors areof the same type either pnp or npn. Complementary symmetry class B • In Complementarysymmetry class B two transistors are complementaryto each other one is pnp and the other is npn
  • 97.
  • 98.
  • 99.
    Class-B Push pullpower Amplifier • Circuit Discription • Both the transistorsare of the same type hence this is pushpull Class B power amplifier. • The two transformers in the push pull circuit are Input transformerTR1 or Driver transformer and the output transformerTR2 or load transformer. • Transformers : Input and out put transformers are Centre Tapped. • Input Transformer is connected to the base of the transistor T1 . • Input signal is applied to the base of the input Transformer. • Input transformer drives the circuit hence it is known as driver Transformer. • Centre tap on the Primary of the Input transformer is connected to the supplyvoltage-Vcc.
  • 100.
    Class-B Push pullpower Amplifier (cont...) • Out put Transformer • Turns ratio of the output transformeris specified as 2N1 : N2 • Centre tap on the Primary of the out put transformer is connected to the supplyvoltage +Vcc. • Secondary of the out put transformer is connected to load i.e Loud speaker. • Transistors • Transistors T1 and T2 are npn type. pnp transistors can also be used. In that case supply voltage polarity is – Vcc instead of + Vcc . • Both the transistorsarein CE configuration.
  • 101.
    Class-B Push pullpower Amplifier (cont...) • Operation: • During positive half cycles of input signal end A of the centre tapped driver transformer will be positive ahile point B will be negative. • The voltages in the two halves of the secondary of the driver transformer will be equalwith opposite polarity. • Input signals applied to the base of the transistors T1 and T2 will be 180 0 out of phase. • When point A is positive transistorT1 is driven into active region and T2 is driven into saturation region. & Vice versa.
  • 102.
  • 103.
    Class-B Push pullpower Amplifier (cont...) • T1 & T2 conducts for the positive and negative half cycles respectively producing alternate positive & negative half cycles at the load. • Thus whole of the applied input signal appears across the load as shown in the below wave forms.
  • 104.
    Input andoutput waveformsof Class B pushpull Power amplifier
  • 105.
    DC Operation • Biasingpoint is adjusted on X axis such that VCEQ = VCC and ICEQ = 0. • Coordinates of Q point are (VCC,0). DC Power input • Im is the peak value of output current of each transistor (ic1, ic2). • DC or average value is . • Two currents drawn by two transistors are in the same direction. • Total dc or average current drawn from the supply is the algebraic sum of the individual average current drawn by each transistor.
  • 106.
    AC Operation • Withthe application of ac input signal transistorT1 Conducts during Positive half cycles and T2 Conducts during Negative halfcycles
  • 107.
    Ac operation-T1 Conduction •When T1 Conducts, lower half of the primary transformer does not carry any current. • Only N1 (Out of 2N1) number of turns carry the current.
  • 108.
    Ac operation-T2Conduction • WhenT2 Conducts, upper half of the primary transformer does not carry any current. • Only N1 (Out of 2N1) number of turns carry the current.
  • 109.
    Load lines ofClass b push pull Power amplifier • Reflected load on the primary can be written as • • Step down turns ratio is • During the calculation of reflected load the ratio • becomes • Each transistor shares equalload which is nothing but reflected load.
  • 110.
    • is thepeak value of current.
  • 111.
    Load lines ofClass b push pull Power amplifier
  • 112.
  • 113.
  • 114.
  • 115.
  • 116.
  • 117.
    MaximumEfficiency • . • AsVm increases ŋ increases • Maximum value of •
  • 118.
  • 119.
    MaximumPowerDissipation • . • Maximaor minima condition is • Differentiating the above equation w.r.t Vm
  • 120.
  • 121.
  • 122.
    • Maximum powerper transistor=
  • 123.
    Advantagesof ClassB pushpullPower amplifier •Efficiency is high compared with Class A transformer Coupled. • Power dissipation is zero in the absence of AC input signal. • Even harmonics get cancelled. This reduces harmonic Distortion. • Dc saturation ofthe core is avoided. Since current flows in opposite direction. • Ripples in the supplyvoltage is eliminated. • Due to output transformerimpedancematching is possible.
  • 124.
    Disadvantagesof ClassB pushpullPower amplifier •Two centre tap transformers arenecessary. • System is bulky and costlier. • Frequency responseis poor.
  • 125.
    ComplementarysymmetryclassB pushpull powerAmplifier. • Inthis one transistoris pnp and the other transistoris npn. • The circuit is transformer less. • To achieve proper impedancematching complementarytransistors are used in common collector configuration. • Common collector has lowest output impedanceand hence impedancematching is possible. • Voltage feed back can be used to reduce the output impedance.
  • 126.
  • 127.
    PositiveHalfCycles-Operation • Circuit isDriven from dual power supply • Transistor • During positive half cycles is driven in to active region and starts conducting. • If the same signal is applied to the base of it remains off sins it is complementaryof . It remains in the off condition during positive half cycles of applied input voltage
  • 128.
  • 129.
    NegativeHalfcyclesoperation • Transistor • Duringnegative half cycles is driven in to active region and starts conducting. • If the same signal is applied to the base of it remains off since it is complementaryof . It remains in the off condition during negative half cycles of applied input voltage • Note : Mathematical analysis is same as Class B push pull power amplifier. • Here load resistance value must be used since there is no output transformer.
  • 130.
  • 131.
    Advantages • Circuit doesnot contain transformer.Hence its weight and cost are less. • Impedancematching is possibledue to common collector configuration. • Better frequencyresponsecompared with class B push pull. Disadvantages 1. Circuit needs two power supplies. 2. Cross over distortion results distorted output.
  • 132.
    SNO Parameter PushpullClass B Complementary symmetry class B 1 Transistors Both are similar Transistors. pnp or npn One Transistor is pnp and the other one is npn 2 Transformer Two transformersare required .one at the input and the other at load No transformer is required 3 Impedancematching No Impedance matching. Impedancematching is possibledue to CC configuration 4 Frequency Response Poor Improved
  • 133.
    SNO Parameter PushpullClassB Complementary symmetry class B 5 Power Supply Single power supply Dual Power Supply 6 Weight & Cost Bulky and Costly Light & Less Cost 7 Efficiency High compared with ClassA High compared With Pushpull