What one book from the library should every child your
age read? Explain.
                              Wednesday          Donovan
                           September 19, 2012

                                                    Ayanna
                                        Emily      Andrianete
                                                           Bryan
  Jackeline            Philicia                 Diana
  Cindy                             Jessica                 Leslie
                                                             Ricardo
                                      Alexis  Ixza
                                                 Christy
                                      Jordan
                                      Kareena         David
                     Lilah
                                        Kathy Remy
                                     Samira           Alejandra Michael
                                                         Yamilee
                                      Carlos Edward
                                       Leon Jeffrey
  Daeshawn Dariel Ericka               Jose                Jaileen
Morning Writing
Today in 1783, the
Montgolfier brothers
sent up the first balloon
with live creatures on
board: a sheep, a
rooster, and a duck.


Prompt: Why do you think the Montgolfier brothers sent
up animals before they tried to go up in the balloon
themselves? Do you think it was fair? Why or why not?
Reading ­ Davy Crockett Saves the World
(p. 52)
Genre
A Tall Tale is a story about a
larger­than­life character that
is so exaggerated you know it
is not believable.

Story Structure
Plot and Setting
As you read, use your Plot
and Setting Chart.
Plot                    Setting
 Halley's comet is hurling Near the Mississippi River
      toward America.       almost 200 years ago.
Davy's decision to go to
Washington means he
will try and stop Halley's
comet from hitting Earth.
Reading Homework
Practice Book, page 8
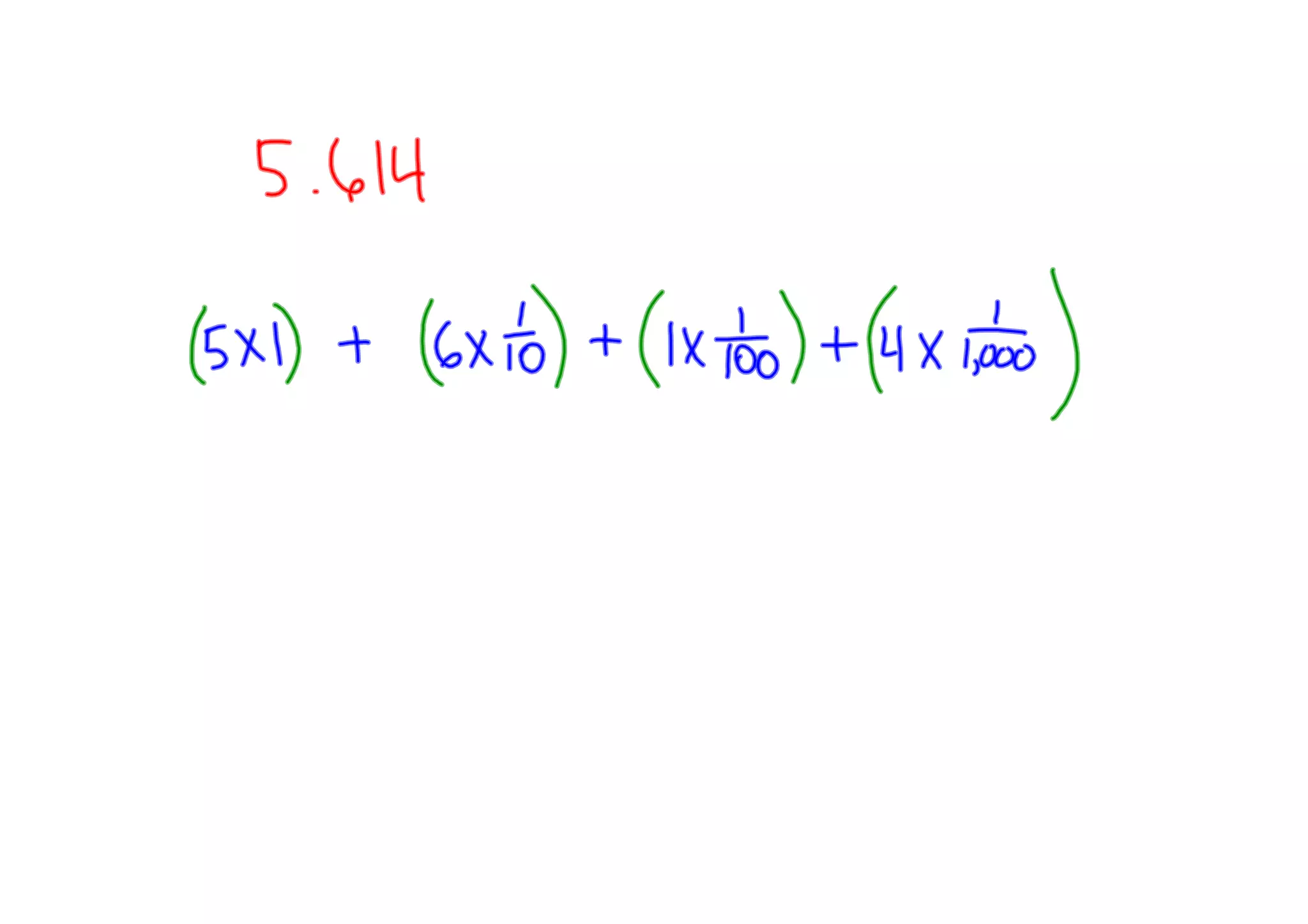
Math ­ Place Value Through Thousandths (p. 43)




                           hundredths


            three                hundredths
twenty­three and one hundred forty­five
thousandths




             and
ones                       thousandth



       tenth   hundredth
nineteen and
four tenths
Independent Practice
exercise 6­25 on page 45 and 46
Math Homework
"My Homework" on page 47­48.
Spelling ­ Word Meanings
   1. paste            11. theme
   2. bride            12. type
   3. shave            13. oak
   4. spice            14. growth
   5. greed            15. yolk
   6. plead            16. folks
   7. greet            17. aim
   8. heap             18. prey
   9. paid             19. tow
   10. coach           20. grind
Spelling ­ Word Meanings




                     oak
1. They had an _____________ tree in their
   backyard.
                      heap
2. He left a large ___________ of clothes on
   the floor.
                      paste
3. He decided to ____________ the photos
    in an album.
Class Work
Use the dictionary to define the spelling
words.
Spelling Homework
Spelling Practice Book, page 10
ELA ­ Nouns (p. 88)
RULES
A noun is a word that
names a person, place,
thing, or idea.

The gardener planted. (person)
We visited the Tivoli Gardens. (place)
I learned about some unusual plants. (thing)
Their beauty amazed us. (idea)
A noun can be one word or two or more
words used together. Nouns name things
we can see as well as things we can only
think about, such as ideas and feelings.
Language Arts
Homework
"Extra Practice" on page 156 1­25
Religion ­ We are joined to Jesus Christ and
to one another (p. 32)
    Jesus, be with us always.
Class Work
• Complete "We Gather" in
  your notebook.
• Read pages 32­33
• Write five facts about the
  chapter

 Homework
 1.   How did Jesus describe the relationship between
      himself, his Father, and his disciples?
 2.   How can we help the Kingdom of God to grow?
l am the vine, you are the branches.
Whoever remains in me, and I in him will
bear much fruit, because without me
you can do nothing

John 15:45
Scholastic Code


 JYYWZ
Homework Summary ­ Wednesday, September 19, 2012

Reading
• Practice Book, page 8
Math
• "My Homework", page 47­48
Spelling
• Practice Book, page 10
Language Arts
• "Extra Practice", exercise 1­25 on page 156
Religion
1.   How did Jesus describe the relationship between himself, his Father, and
     his disciples?
2.   How can we help the Kingdom of God to grow?
Range:

     Mode:




6
    Median:

     Mean:
    Reward
    10 Pizza Party
    8­9 Wheel of Fun
    7 Spelling
    6 BrainPOP
    4­5 Silent Snack
    2­3 Class Work
    1 No Snack
Attachments



     1314158

9.19.12 classwork wednesday

  • 1.
    What one bookfrom the library should every child your age read? Explain. Wednesday Donovan September 19, 2012 Ayanna Emily Andrianete Bryan Jackeline Philicia Diana Cindy Jessica Leslie Ricardo Alexis Ixza Christy Jordan Kareena David Lilah Kathy Remy Samira Alejandra Michael Yamilee Carlos Edward Leon Jeffrey Daeshawn Dariel Ericka Jose Jaileen
  • 2.
    Morning Writing Today in1783, the Montgolfier brothers sent up the first balloon with live creatures on board: a sheep, a rooster, and a duck. Prompt: Why do you think the Montgolfier brothers sent up animals before they tried to go up in the balloon themselves? Do you think it was fair? Why or why not?
  • 3.
    Reading ­ DavyCrockett Saves the World (p. 52) Genre A Tall Tale is a story about a larger­than­life character that is so exaggerated you know it is not believable. Story Structure Plot and Setting As you read, use your Plot and Setting Chart.
  • 4.
    Plot Setting Halley's comet is hurling Near the Mississippi River toward America. almost 200 years ago. Davy's decision to go to Washington means he will try and stop Halley's comet from hitting Earth.
  • 5.
  • 6.
    Math ­ PlaceValue Through Thousandths (p. 43) hundredths three hundredths
  • 7.
    twenty­three and onehundred forty­five thousandths and
  • 10.
    ones thousandth tenth hundredth
  • 13.
  • 14.
  • 15.
  • 16.
    Spelling ­ WordMeanings 1. paste 11. theme 2. bride 12. type 3. shave 13. oak 4. spice 14. growth 5. greed 15. yolk 6. plead 16. folks 7. greet 17. aim 8. heap 18. prey 9. paid 19. tow 10. coach 20. grind
  • 17.
    Spelling ­ WordMeanings oak 1. They had an _____________ tree in their backyard. heap 2. He left a large ___________ of clothes on the floor. paste 3. He decided to ____________ the photos in an album.
  • 18.
    Class Work Use thedictionary to define the spelling words.
  • 19.
  • 20.
    ELA ­ Nouns(p. 88) RULES A noun is a word that names a person, place, thing, or idea. The gardener planted. (person) We visited the Tivoli Gardens. (place) I learned about some unusual plants. (thing) Their beauty amazed us. (idea)
  • 21.
    A noun canbe one word or two or more words used together. Nouns name things we can see as well as things we can only think about, such as ideas and feelings.
  • 26.
  • 27.
    Religion ­ Weare joined to Jesus Christ and to one another (p. 32) Jesus, be with us always. Class Work • Complete "We Gather" in your notebook. • Read pages 32­33 • Write five facts about the chapter Homework 1. How did Jesus describe the relationship between himself, his Father, and his disciples? 2. How can we help the Kingdom of God to grow?
  • 28.
    l am thevine, you are the branches. Whoever remains in me, and I in him will bear much fruit, because without me you can do nothing John 15:45
  • 29.
  • 30.
    Homework Summary ­Wednesday, September 19, 2012 Reading • Practice Book, page 8 Math • "My Homework", page 47­48 Spelling • Practice Book, page 10 Language Arts • "Extra Practice", exercise 1­25 on page 156 Religion 1. How did Jesus describe the relationship between himself, his Father, and his disciples? 2. How can we help the Kingdom of God to grow?
  • 31.
    Range: Mode: 6 Median: Mean: Reward 10 Pizza Party 8­9 Wheel of Fun 7 Spelling 6 BrainPOP 4­5 Silent Snack 2­3 Class Work 1 No Snack
  • 32.
    Attachments 1314158