P a g e | 1
Homework Help
https://www.homeworkping.com/
Research Paper help
https://www.homeworkping.com/
Online Tutoring
https://www.homeworkping.com/
click here for freelancing tutoring sites
I. INTRODUCTION
Scarlet fever is disease caused by exotoxin produced by group a beta-hemolytic
Streptococcus. It occurs most commonly in age group 6-12 years. It may also occur in
preschoolers. It is most common in temperate climates and occurs usually in late winter or early
spring. It is characterized by sore throat, fever, bright red tongue with strawberry appearance
(strawberry tongue). The characteristic of rash is fine, red and rough-textured. It appears 12-48
hours after the fever. The rash begins to fade three to four days after onset
and desquamation (peeling) begins. Peeling from the palms and around the fingers occurs about
a week later. Peeling also occurs in axilla, groin, and tips of the fingers and toes. The rash is the
most striking sign of scarlet fever. It usually begins looking like bad sunburn with tiny bumps,
and it may itch. The rash usually appears first on the neck and face, often leaving a clear
unaffected area around the mouth. It spreads to the chest and back, then to the rest of the body.
When scarlet fever occurs because of a throat infection, the fever typically stops within 3
to 5 days, and the sore throat passes soon afterward. The scarlet fever rash usually fades on the
sixth day after sore throat symptoms started, and begins to peel (as above).The infection itself is
usually cured with a 10-day course of antibiotics, but it may take a few weeks for tonsils and
P a g e | 2
swollen glands to return to normal. In rare cases, scarlet fever may develop from a streptococcal
skin infection like impetigo. In these cases, the person may not get a sore throat. If not treated
properly, you can have serious problems with the heart and kidneys. Scarlet fever can also be
fatal if not treated.
On April 19, 2011, at 10:25 pm, patient Clendon, an 11-year old male from Amparo,
Caloocan City was referred to the National Children’s Hospital due to complaints of fever and
rashes. He was admitted by Dr. Toma and with an admitting diagnosis of Atypical Kawasaki
disease.
OBJECTIVES OF THE STUDY
This study aims to identify and determine the general health problems and needs of the
patient diagnosed to have chronic Osteomyelitis. This study also intends to help the patient
promote health and medical understanding of such condition through the application of nursing
skills.
Objectives to the patient:
o To establish a trusting and therapeutic relationship with the patient.
o To give patient a free expressions of feelings and needs.
o To share knowledge and to increase the level of awareness about the patient’s condition.
o To teach ways that promotes patient’s independence.
o To provide holistic nursing care to patient.
o To assist patient in his activities of daily living.
o To promote self esteem of the patient.
Objectives to the student/researcher:
P a g e | 3
o To establish rapport with the patient
o To acquire knowledge and to expand understanding regarding the case of the patient.
o To familiarize the researcher/student with tests done in diagnosing Scarlet Fever.
o To implement and evaluate SMART nursing care plan appropriate to the patient’s case.
o To identify factors that could worsen the condition.
o To know the different surgical and medical management and nursing management as
well.
o To keep confidentiality of information to the patient’s case.
o To work professionally and treat patient as a whole.
o To identify verbal and non-verbal cues by the patient.
o To apply and familiarize the concepts learned in Maternal and Child Nursing.
o To give respect whatever decision made by the patient regarding the plan of care.
o To work collaboratively with other members of the health care team.
o To discover new ways to care for the patient.
II. PERSONAL DATA
PATIENT’S PROFILE
Name: Clendon Llurag Ramos
Age: 11 years old
Birth date: March 17, 2000
Address: Block-10 Amparo Subdivision, Amparo, Caloocan City
Sex: Male
Religion: Roman Catholic
Nationality: Filipino
Admission Date: April 19, 2011
Admission Time: 10:25 PM
Admitting Physician: Dr. Toma
P a g e | 4
Admitting Diagnosis: Atypical Kawasaki
Chief Complaint: fever and rashes
III. NURSING HISTORY OF PAST AND PRESENT ILLNESS
Past history:
Patient Clendon was born in Agusan Del Sur on March 17, 2000; he is the 2nd among the
3 siblings of Mr. and Mrs. Ramos. The researcher/student conducted an interview with the
patient about his medical history but the patient is not able to give information so, the mother
was interviewed by the researcher/student. According to his mother, her son has not yet
completed his immunization, which is the MMR vaccine, because he suffers fever frequently.
Her child has no allergies to food (sea food) and drugs. His diet composed of fish, meat and
some vegetables such as Malunggay and Saluyot. He drinks 500ml of water daily. As a school
aged child, playing is part of his routine. He plays chips or “pogs” and game cards or “teks”, he
play together with his sister or sometimes to his neighbor playmates and he does playing after the
class in the afternoon. Sometimes he is being scolded by his mother because he use much time in
playing. Aside from playing, he also watches TV all through out the day especially during
weekends. He can also do house hold chores like cooking rice which he does in the morning
especially when his parents are out for work, they left them food which was cooked at night.
Aside from cooking, he also washes his clothes.
P a g e | 5
He has history of falls and it happened sometime when his mother sent him to school in a
bicycle, while on the road to Amparo Elementary School, her mother lose control of the bike and
they fell on the ground, he got scratches and bruises while his mother suffered wounds. He
suffered common illnesses such as cough, cold and fever and his mother was able to give OTC
and herbal (such as oregano leaves) medications. There are times that he feels dizzy and he used
to rest for awhile.
Family health history
Father side has a history of hypertension and kidney stones. The patient’s grandfather
(father side) was diagnosed to have those conditions in 1994. Until now, his grandpa has
hypertension but is taking maintenance medications while the kidney stone has gone. There are
no other serious diseases such as asthma and diabetes mellitus as claimed by the father of the
patient.
Present History:
7 days prior to admission his condition started when he had measles-like rashes in the
abdomen and fever. His mother thought that he has measles. 5 days prior to admission he has
still with fever, rashes starts to spread on the hands and feet and he complains of abdominal
enlargement, chest tightness and complaints of swollen lymph nodes in the neck. Together with
his mother, they went for check up at Tala Hospital in Caloocan. He was diagnosed to have
atypical Kawasaki’s disease and was referred and admitted to the National Children’s Hospital
on April 19, 2011. Because of desquamation in the palms and soles, Atypical Kawasaki was
ruled out and the doctor came up with the diagnosis of Scarlet Fever. He underwent series of
laboratory exams and was treated with drugs such as Paracetamol, Penicillin G sodium and
P a g e | 6
Ranitidine, IV fluid of D5IMB and also went BT. 8 days after admission, the symptoms of
scarlet starts to subside but the patient frequently experiences dizziness and he has
antihypertensive drugs. When he feels dizzy, his BP rises and they administer antihypertensive to
control his BP.
P a g e | 7
IV. PEARSON ASSESSMENT
COMPONENTS/AREAS April 26, 2011 April 27, 2011
P
psychosocial
 Patient C is 11 years old male, presently living at Block-
10 Amparo Subdivision, Caloocan City.
 He is silent person and he talks a little.
 He is the 2nd out of 3 siblings of Mr. and Mrs. Ramos.
 According to Erik Erickson’s theory of Psychosocial
Development, patient C is under “industry versus
inferiority” stage. He is under “industry” because; he is
able to do simple house works and knows what to do
when his mother left them together with his sister
specially when going to school.
 Upon arrival to the ward, the patient is well
groomed.
 Conscious and coherent
 He is in a good mood.
 He’s fully awake and conversant.
 He is tidy but weak looking.
 No feeling of boredom
 He is able give information.
 He talks when the student/researcher asks questions
but with limited information.
P a g e | 8
E
elimination
 According to patient, he has tea-colored urine and voids
at least 2 times daily.
 This day he urinated twice.
 His urine is being measured.
 He does not experience nocturia.
 According to patient, he has no pain and difficulty in
urinating.
 According to patient he evacuates bowel at least once a
day.
 According to patient, he sweats during his sleep at night
and in the afternoon because the room is warm.
 According to patient, no nasal and eye discharges are
present.
 The oral mucosa of the patient is not dry.
 This day, he passed a stool twice.
 He voided twice draining to tea colored output.
 He doesn’t experience nocturia.
 Still without pain on urination.
 This day, he passed a stool once
 With moist oral mucosa as examined by the
researcher/student.
 Still with no nasal and eye discharges
 He has not yet passed a stool.
 He has no complain of sweating though the room is hot.

P a g e | 9
A/R
activity/rest
 Patient is sitting on bed with his mother beside him.
 According to him, he takes morning and afternoon naps
when he is alone or has nothing to do.
 He had a fair sleep last night.
 He slept 8 hours and woke up at 5:30 am this day.
 He has no other disturbances during his sleeps except
when nurse take his vital signs at night.
 The patient is able to do ADL’s with assistance of
his father.
 Patient is sitting on bed side
 He is playing cell phone games.
 He had a sound sleep last night and had sleep for 8
hours
 He woke up at 5:30 a.m. this morning.
S
safety
 He is aided by his mother in his activities of daily living.
 Patient is in his crib sitting.
 He has no allergy to sea foods and drugs.
 With body temperature of 36.9 °c, afebrile but skin is
warm to touch.
 With desquamation or peeling of skin at abdomen,
palms of both hands and soles of both feet.
 With dry and crackly lips.
 He is aided by his father in his activities of daily living.
 He has no complaints of dizziness.
 He has no fever but skin is warm to touch
 Still with skin peeling on the palms of his fingers and
soles of his foot.
 The lips are not dry and crackly.
 The environment is clean, fluorescent lights are on but
ceiling fans are off.
P a g e | 10
 The ward of the patient is clean, with fluorescent lights
and ventilated with ceiling fans.
 He felt dizzy and administered Enalapril 25 mg tab.
 Swelling is noted on the IV site (left arm)
 Still there is swelling on the previous IV site ( left arm)
O
oxygenation
 BP is 130/90 mmHg
 RR is 22 cpm
 PR is72 bpm
 No rales, ronchi, and other adventitious breath sounds
noted.
 No difficulty in breathing was observed.
 No use of accessory muscles notified.
 Capillary refill time is 2 secs.
 No cyanosis in the nail beds and lips was observed.
 RR is 23 cpm
 PR is 85 bpm
 No abnormality in pulse noted.
 No DOB or SOB.
 No adventitious sounds noted.
 No use of accessory muscles notified.
 Capillary refill time is 2 sec.
 No cyanosis in any part of the body
 With swelling on his right arm.
 With no IVF inserted.
P a g e | 11
N
nutrition
 He has a good appetite.
 He drinks 500mL of water daily
 He eats every meal and takes meryenda between meals
which composed of bread or biscuits and water.
 He prefer eating fish and meat and sometimes with little
vegetables.
 He has an IVF of D5IMB ½ liter regulated to 15 gtts.
/min. at 450 cc level.
 He has good appetite.
 He ate his breakfast composing of sandwich and hot
chocolate.
 He has not yet had his meryenda.
 The patient has no IVF
P a g e | 12
V. DIAGNOSTIC PROCEDURES
A. IDEAL
Complete Blood Count (CBC)
Purpose:
 Provide information concerning the six components which are RBC count, hemoglobin
(HGB), hematocrit (HCT), RBC indices: mean corpuscular volume (MCV), mean
corpuscular hemoglobin (MCH), and mean corpuscular hemoglobin concentration (MCHC),
RBC distribution width; WBC; and differential WBC count.
 This is done to diagnose anemias such as macrocytic (aplastic, hemolytic and pernicious) and
microcytic (Iron Deficiency) bleeding disorders and blood cell changes.
Nursing responsibilities:
1. Check the doctor’s order.
2. Explain that the purpose for the laboratory tests is to identify the cause for the hematologic
disorder.
3. Give a detailed explanation concerning the test procedures and the need for the client’s
compliance.
4. Inform the client of any food, fluid or drug restrictions.
5. Monitor the client’s vital signs before, during and after the laboratory test procedures.
6. Listen to the client’s expressed anxiety or fear concerning the tests and potential clinical
problems.
7. Check laboratory results and report abnormal test reports.
8. Be supportive of the client and family members during test and treatment of disorders.
Antistreptolysin O (ASO) Titer
Purpose:
 To identify clients who are susceptible to specific autoimmune disorders (e.g., collagen
disease).
P a g e | 13
 To aid in determining the effect of beta-hemolytic streptococcus in secreting the enzyme
streptolysin O.
Nursing responsibilities:
1. Check the doctor’s order.
2. Explain the procedure to the patient.
3. Note that antibiotic therapy decreases the antibody response.
4. Instruct the client and family that when the client has a sore throat he or she should have a
throat culture taken to check for beta-hemolytic streptococcus.
Erythrocyte Sedimentation Rate (ESR)
Purpose:
 To compare with other laboratory values for diagnosing inflammatory conditions.
Nursing responsibilities:
1. Check the doctor’s order.
2. Explain the procedure to the patient.
3. Hold medications that can cause false-positive results for 24 hours before the test, with the
health care provider’s permission.
C - reactive protein (CRP)
Purpose:
 To associate an increased CRP titer with an acute inflammatory process.
 To detect the risk of coronary heart disease.
 To compare test results with other laboratory tests.
 Nursing responsibilities:
1. Check the doctor’s order.
2. Explain the procedure to the patient.
3. Restrict food and fluids, except water, for 8-12 hours before the test.
4. Avoid heat, CRP is thermo labile.
P a g e | 14
Culture and Sensitivity (Throat Swab):
Purpose:
 To isolate microorganism in the body tissue or body fluid.
Nursing responsibilities:
1. Check the doctor’s order.
2. Explain the procedure to the patient and significant others.
3. Wash hands before and after collection of the specimen.
4. Use sterile cotton swab. Swab the inflamed areas of the throat.
5. Place the applicator in a culture medium. Observe proper aseptic technique.
6. Immediately send the throat culture to the laboratory.
7. Obtain culture before antibiotic therapy.
8. Refer results to the physician.
B. ACTUAL
NAME RESULTS NORMAL VALUES NURSING
IMPLICATION
CBC (complete
blood count)
April 23,2011
Hemoglobin
86 g/L
Hematocrit
.26
WBC
8.8 x 10 g/L
WBC Differential:
Lymphocyte
0.30
Neutrophils
0.66
Eosinophils
0.04
PLT count
455 x 10⁹/L
M: 140-180 g/L
M: 0.40-0.54
5-10 x 10 g/L
0.20-0.45
0.40-.0.75
0.01-0.04
150-450
Low. It may suggest
anemia and kidney disease.
Low. Indicates recent
bleeding or vitamin and
mineral deficiency
Normal
Normal
Normal
Normal
Increased may indicate
malignancy,
myeloproliferative disease
P a g e | 15
Nursing Responsibilities:
 The CBC does not require fasting or any special preparation but the procedure should be
explained to the patient and patient’s watcher as well as the purpose.
AFTER CARE
 Discomfort or bruising may occur at the puncture site.
 Applying pressure to the puncture site until the bleeding stops.
 Warm packs relieve discomfort.
 If patient fell dizzy or faint after blood has been drawn, allow him/her to take a rest.
 Refer the result to the physician.
NAME RESULTS NORMAL NURSING
IMPLICATION
URINALYSIS
April 20, 2011
MACROSCOPIC:
Color: reddish
yellow
Transparency: hazy
Reaction: acidic
Specific gravity:
1.010
CHEMICAL
Protein: +3
Glucose/Sugar: (-)
Varying degree of
yellow
Clear
Usually acidic
1.000-1.038
(-)
(-)
Normal
It may show presence of
pus, blood cells or bacteria
Normal
Normal
Proteinuria, sensitive
indicator of kidney
dysfunction.
Normal
MICROSCOPIC:
Cast
Hyaline
Others: coarse
granular
Bacteria
Cells
RBC
Pus Cells
Epithelial Cells
Amorphous urates
Others
Result
0-2/LPF
0-1/LPF
Few
Result
Over 100/HPF
30-35/HPF
Occasional
Few
Renal tubular
epithelial=0-3/HPF
Indicate presence of
infection
It suggests presence of
disease condition
Indicates infection
P a g e | 16
Nursing Responsibilities:
 Check the doctor’s order.
 Explain the purpose of the procedure to client and significant others.
 Provide a sterile container for urine to the patient.
 Assist the patient in collecting urine or ask watcher to assist the patient if he can’t do on his
own.
 Teach the patient’s watcher to clean the head of the penis and the urethral meatus.
 Tell the patient or the one assisting him to collect the mid-stream urine.
 Label and transport the specimen immediately to the laboratory for examination.
 Refer the results to the physician.
NAME RESULTS NORMAL NURSING
IMPLICATION
ASO TITER
(antistreptolysin
O titer)
April 20, 2011
400IU/ML <200IU/ML Increase level suggests
diseases such as AGN,
collagen disease or
Streptococcal upper
respiratory tract
infections.
Nursing Responsibilities:
 Check the doctor’s order.
 Explain the purpose of the procedure to client and significant others.
 Instruct the client and family that when the client has a sore throat he or she should have a
throat culture taken to check for beta-hemolytic streptococcus.
 Check the urine output when serum ASO is elevated.
 Refer the results to the physician.
P a g e | 17
VI. ANATOMY AND
PHYSIOLOGY
The cardiovascular
system includes the heart
and the blood vessels. The
heart pumps blood and the
blood vessels channel and
deliver it throughout the
body. Arteries carry blood
filled with nutrients away
from the heart to all parts
of the body. The blood is
sometimes compared to a
river, but the arteries are more like a river in reverse. Arteries are thick-walled tubes with a
circular covering of yellow, elastic fibers, which contain a filling of muscle that absorbs the
tremendous pressure wave of a heartbeat and slows the blood down. This pressure can be felt in
the arm and wrist - it is the pulse. Eventually arteries divide into smaller arterioles and then into
even smaller capillaries, the smallest of all blood vessels. One arteriole can serve a hundred
capillaries. Here, in every tissue of every organ, blood's work is done when it gives up what the
cells need and takes away the waste products that they don't need. Now the river comparison
really does apply. Capillaries join together to form small veins, which flow into larger main
veins, and these deliver deoxygenated blood back to the heart. Veins, unlike arteries, have thin,
slack walls, because the blood has lost the pressure which forced it out of the heart, so the dark,
reddish-blue blood which flows through the veins on its way to the lungs oozes along very
slowly on its way to be reoxygenated. Back at the heart, the veins enter a special vessel, called
the pulmonary arteries, into the wall at right side of the heart. It flows along the pulmonary
arteries to the lungs to collect oxygen, and then back to the heart's left side to begin its journey
around the body again.
P a g e | 18
THE INTEGUMENTS (SKIN)
The integumentary system (From Latin integumentum, from integere 'to cover'; from in-
+ tegere 'to cover') is the organ system that protects the body from damage, comprising
the skin and its appendages (including hair, scales, feathers, and nails). The integumentary
system has a variety of functions; it may serve to waterproof, cushion, and protect the deeper
tissues, excrete wastes, and regulate temperature, and is the attachment site for sensory receptors
to detect pain, sensation, pressure, and temperature. In humans the integumentary system also
provides vitamin D synthesis.
The integumentary system is the largest organ system. In humans, this system accounts
for about 16 percent of total body weight and covers 1.5-2m2 of surface area. It distinguishes,
separates, protects and informs the animal with regard to its surroundings. Small-bodied
invertebrates of aquatic or continually moist habitats respire using the outer layer (integument).
This gas exchange system, where gases simply diffuse into and out of the interstitial fluid, is
called integumentary exchange.
Layers of the skin:
EPIDERMIS
This is the top layer of skin made up of epithelial cells. It does not contain blood vessels. Its
main function is protection, absorption of nutrients, and homeostasis. In structure, it consists of a
keratinized stratified squamous epithelium comprising four types of
P a g e | 19
cells: keratinocytes, melanocytes, Merkel cells, and Langerhans' cells. The major cell of the
epidermis is the keratinocyte, which produces keratin. Keratin is a fibrous protein that aids in
protection. Millions of dead keratinocytes rub off daily. The majority of the skin on the body is
keratinized, meaning waterproofed. The only skin on the body that is non-keratinized is the
lining of skin on the inside of the mouth. Non-keratinized cells allow water to "stay" atop the
structure.
The epidermis contains different types of cells: The most common are squamous cells,
which are flat, scaly cells on the surface of the skin; basal cells, which are round cells; and
melanocytes, which give the skin its color. The epidermis also contains Langerhan's cells, which
are formed in the bone marrow and then migrate to the epidermis. They work in conjunction with
other cells to fight foreign bodies as part of the body's immune defense system. Granstein cells
play a similar role. Melanocytes create melanin, the substance that gives skin its color. These
cells are found deep in the epidermis layer. Accumulations of melanin are packaged
in melanosomes (membrane-bound granules). These granules form a pigment shield against UV
radiation for the keratinocyte nuclei.
The epidermis itself is made up of four to five layers. From the lower to upper epidermis,
the layers are named: stratum basale, stratum spinosum, stratum granulosum, stratum lucidum(the
extra layer that occurs in places such as palms and soles of the feet), and the stratum corneum.
The stratum basale is the only layer capable of cell division, pushing up cells to replenish
the outer layer in a process called terminal differentiation. The stratum corneum is the most
superficial layer and is made up of dead cells, proteins, and glycolipids.
The protein keratin stiffens epidermal tissue to form fingernails. Nails grow from thin
area called the nail matrix; growth of nails is 1 mm per week on average. The lunula is the
crescent-shape area at the base of the nail; this is a lighter colour as it mixes with the matrix
cells.
DERMIS
The dermis is the middle layer of skin, composed of dense irregular connective tissues such as
collagen with elastin arranged in a diffusely bundled and woven pattern. These layers serve to
P a g e | 20
give elasticity to the integument, allowing stretching and conferring flexibility, while also
resisting distortions, wrinkling, and sagging. The dermal layer provides a site for the endings of
blood vessels and nerves. Many chromatophores are also stored in this layer, as are the bases of
integumental structures such as hair, feathers, and glands.
SUBCUTANEOUS LAYER
Although technically not part of the integumentary system, the subdermis is the layer of tissue
directly underneath the dermis. It is composed mainly of connective and adipose tissue or fatty
tissue. Its physiological functions include insulation, the storage of energy, and aiding in the
anchoring of the skin.
FUNCTIONS OF THE SKIN:
The integumentary system has multiple roles in homeostasis. All body systems work in an
interconnected manner to maintain the internal conditions essential to the function of the body.
The skin has an important job of protecting the body and acts as the body’s first line of defense
against infection, temperature change, and other challenges to homeostasis. Functions include:
 Protect the body’s internal living tissues and organs
 Protect against invasion by infectious organisms
 Protect the body from dehydration
 Protect the body against abrupt changes in temperature, maintain homeostasis
 Help excrete waste materials through perspiration
 Act as a receptor for touch, pressure, pain, heat, and cold (see Somatosensory system)
 Protect the body against sunburns
 Generate vitamin D through exposure to ultraviolet light
 Store water, fat, glucose, and vitamin D
P a g e | 21
Appearance of
scarlet rashes
which starts
from abdomen
and spread all
through out
the body
Hemolytic reaction or
destruction of RBC
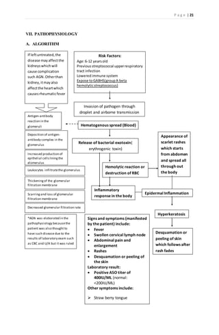
VII. PATHOPHYSIOLOGY
A. ALGORITHM
Risk Factors:
Age:6-12 yearsold
Previousstreptococcal upperrespiratory
tract infection
Loweredimmune system
Expose toGABHS(groupA beta
hemolyticstreptococcus)
Hematogenous spread (Blood)
Release of bacterial exotoxin(
erythrogenic toxin)
Deposition of antigen-
antibody complex in the
glomerulus
Increased production of
epithelial cellsliningthe
glomerulus
Inflammatory
response in the body
Epidermal Inflammation
Signs and symptoms (manifested
by the patient) include:
 Fever
 Swollen cervical lymph node
 Abdominal pain and
enlargement
 Rashes
 Desquamation or peeling of
the skin
Laboratory result:
 Positive ASO titer of
400IU/ML (normal:
<200IU/ML)
Other symptoms include:
 Straw berry tongue
 Sore throat
Antigen-antibody
reaction in the
glomeruli
Scarringand loss of glomerular
filtration membrane
Leukocytes infiltratethe glomerulus
Thickeningof the glomerular
filtration membrane
Decreased glomerular filtration rate
If leftuntreated,the
disease mayaffectthe
kidneyswhichwill
cause complication
such AGN.Otherthan
kidney, itmayalso
affectthe heartwhich
causesrheumaticfever
Hyperkeratosis
Desquamation or
peeling of skin
which follows after
rash fades
*AGN was elaborated in the
pathophysiology becausethe
patient was also thought to
have such diseasedue to the
results of laboratory exam such
as CBC and U/A but it was ruled
out.
Invasion of pathogen through
droplet and airborne transmission
P a g e | 22
B. EXPLANATION
How it happens:
Normally, Group a beta-hemolytic streptococci are part of the normal flora in the URT.
Group A streptococci can cause pharyngitis, skin infections (including erysipelas pyoderma and
cellulitis), pneumonia, bacteremia, and lymphadenitis. Scarlet fever is usually associated with
pharyngitis; however, in rare cases, it follows streptococcal infections at other sites. Scarlet fever
happens when a GABHS travels in the blood. It produces exotoxin (erythrogenic Toxin) which
capable of destroying the RBC’s (hemolysis). These hemolytic reactions in the circulation causes
red rash seen on skin. The rash is the most striking sign of scarlet fever, it is rough (sand paper-
like) and usually appears first on the neck and face, often leaving a clear unaffected area around
the mouth. In the patient’s case, it started in the abdomen and spread eventually to the armpit,
neck, hands, groin, feet and other parts of the body. Areas with rashes turn white and usually
begin to fade followed by desquamation or peeling. Epidermal inflammation causes
hyperkeratosis which causes the white appearance of rashes and desquamation. Other signs and
symptoms include fever, swollen lymph nodes in the neck, sore throat and strawberry tongue.
If scarlet fever is left untreated, it might be fatal. It may also cause problems in the heart
and kidney. AGN is one of the complications associated with scarlet fever. It affects the kidney
especially in the glomerular system where antigen-antibody reaction happens. Clumping and
inflammatory process occurs as leukocyte infiltrates the area. It causes thickening and scarring of
the glomerular membrane which leads to destruction and decrease glomerular filtration.
P a g e | 23
VIII. MANAGEMENT
A. Medical and Surgical Management
Surgery is not indicated to patients with scarlet fever. Management is therapeutic and the goal is
to control and treat the infection process.
For Scarlet fever
Non-pharmacologic management:
 TSB for management of fever.
 Provide adequate ventilation.
 Follow droplet precaution prior to hospitalization.
 Comfort measures such as applying calamine lotion to the skin. Rashes of scarlet fever tend
to be pruritic.
 Soft or liquid diet for few days until throat soreness has diminished.
Pharmacologic:
 Antipyretic such as paracetamol for management of fever.
 Antibiotic such as penicillin as full course treatment for 10 days to control the infection.
For Increase in blood pressure:
Non pharmacologic:
 Provide enough rest and sleep.
 Rise slowly when getting up in bed.
 Assist patient in ADLs.
 Deep breathing exercises.
 Monitor V/S specially BP.
Pharmacologic:
Antihypertensive drugs such Enalapril and nifedipine to control blood pressure.
B. NCP with Evaluation
P a g e | 24
Nursing Care Plan
CUES/DATA NURSING
DIAGNOSIS
ANALYSIS OBJECTIVES NURSING INTERVENTION RATIONALE EVALUATION
Subjective:
“ang init tsaka
nahihilo ako”
As verbalized
by pt. Clendon
Objective:
Skin is warm to
touch but
affebrile.
Vital Signs:
BP-
130/90mmHg
PR-72bpm
RR-22cpm
TEMP-36.9 °C
P: ineffective tissue
perfusion
E: related to
Increased blood
pressure
S: as evidence by :
blood pressure of
130/90mmHg
verbalization of
warm feeling and
dizziness
experienced by the
patient
warm/hot
environment
vasodilation/increase
diameter of the
lumen of the arteries
of the arteries
increase vascular
resistance
increase pumping
ability of the heart
increase in blood
pressure
increase pressure in
the brain
ineffective tissue
perfusion
April 26, 2011
7:00 a.m.
After 1 hour of
nursing care and
management, the
patient’s blood
pressure will
decrease from
130/90-110/80
mmHg and will
not have
complaints of
dizziness.
INDEPENDENT:
 Establish rapport with the
patient
 Monitor patient’s vital sign
specially BP.
 Place patient in a comfortable
position; may assume sitting or
lying position.
 Instruct patient to take a deep
breath.
 Provide adequate ventilation
 Promote rest and non-
stimulating environment
DEPENDENT/COLLABORATIVE
Administer Enalapril 2.5 mg tab
 To gain trust and
cooperation of the
patient.
 To provide baseline
data and to assess
effectiveness of
intervention.
 To promote circulation
and to alleviate
dizziness.
 Deep breathing
promotes oxygenation
and lung expansion.
 To provide
oxygenation to the
body.
 Resting replenishes
loss energy and
decreases demands for
oxygen.
 An antihypertensive
drug that inhibits the
action of angiotensin
activity and decrease
aldosterone secretion.
April 26, 2011
8:00 a.m.
LEVEL OF
ATTAINMENT:
GOAL MET
After 1 hour of
nursing care and
management, the
patient’s blood
pressure decreased
from 130/90-
110/80mmHg
Patient has no more
complaints of
dizziness.
P a g e | 25
CUES/DATA NURSING
DIAGNOSIS
ANALYSIS OBJECTIVES NURSING INTERVENTION RATIONALE EVALUATION
Subjective:
“ang init tsaka
nahihilo ako”
As verbalized
by pt. Clendon
Objective:
Skin is warm to
touch but
affebrile.
Vital Signs:
BP-
130/90mmHg
PR-72bpm
RR-22cpm
TEMP-36.9 °C
P: risk for injury
E: related to
Increased blood
pressure
S: as evidence by :
blood pressure of
130/90mmHg
verbalization of
warm feeling and
dizziness
experienced by the
patient
Increase in blood
pressure
Increase blood flow
in the brain
Increase pressure
brain
Decrease Oxygen
supply in the brain
Dizziness
Risk for injury
April 26, 2011
8:00 a.m.
After 1hour of
nursing care and
management, the
patient and
watcher will
understand
recognize need
for assistance to
prevent
accidents/injuries
INDEPENDENT:
 Establish rapport with the
patient
 Include the primary care giver
in the care of the patient
 Assist the patient when doing
ADLs.
 Provide enough rest and sleep.
 Institute safety measures:
o Raise side rails.
o Keep bed in low position.
 Teach the patient alternative
ways to do ADLs.
 To gain trust and
cooperation of the
patient.
 To help assist the
nurse and the patient
in the promotion of
care.
 To monitor patient
activity and to prevent
potential accident or
injury that may
happen.
 Resting replenishes
loss energy and
decreases demands for
oxygen.
 To prevent patient
from injury/accidents
such as falls.
 To promote patient’s
independence.
April 26, 2011
9:00 a.m.
LEVEL OF
ATTAINMENT:
GOAL MET
After 1 hour of
nursing care and
management, the
patient and watcher
was able to
understand and
recognize need for
assistance to prevent
accidents/injuries.
P a g e | 26
CUES/DATA NURSING
DIAGNOSIS
ANALYSIS OBJECTIVES NURSING INTERVENTION RATIONALE EVALUATION
Subjective:
“nung una
akala ko tigdas
lang kasi
nagkatigdas
silang tatlo eh
sya lang ang
hindi pa
gumaling ”
As verbalized
by the patient’s
mother.
Objective:
Skin is warm to
touch but
affebrile.
Peeling of skin
noted at palms
and soles.
Dry and crackly
lips.
Vital signs:
TEMP-36.9 °C
P: impaired skin
integrity
E: related to disease
condition( scarlet
fever)
S: as evidence by :
Peeling of skin noted
at palms and soles.
Scarlet fever
scarlet rashes
epidermal
inflammation
hyperkeratosis
peeling/desquamation
of the skin
Impaired skin
integrity
April 27, 2011
9:00 a.m.
After 30 min. of
nursing care and
management, the
patient and SO
will understand
demonstrate
proper skin care.
INDEPENDENT:
 Establish rapport with the
patient
 Include the primary care giver
in the care of the patient
 Assess patient’s and SO’s level
of knowledge.
 Proper hygiene
 Use non irritating soap in
bathing or hand washing.
 Increase fluid intake
DEPENDENT/COLLABORATIVE
 Administer Calamine lotion
 To gain trust and
cooperation of the
patient.
 To help assist the
nurse and the patient
in the promotion of
care.
 To provide
information
appropriate to the level
of understanding of
the patient and
watcher.
 Proper hygiene
protects the body from
infection and prevents
infection.
 To prevent skin
dryness.
 Rehydrates the body
as well as the skin.
 To keep the skin
moisturized and to
prevent dryness and
itching.
April 27, 2011
9:30 a.m.
LEVEL OF
ATTAINMENT:
GOAL MET
After 30 min. of
nursing care and
management, the
patient and SO was
able understand and
demonstrate proper
skin care.
The patient and SO
was able to
enumerate proper
skin care.
P a g e | 27
C. Promotive and Preventive Management
PROMOTIVE MANAGEMENT
The following are management indicated/applicable to the patient who suffered from scarlet
fever and frequently feels dizziness.
Nutritional Management:
 Increase the amount of carbohydrates such as bread, rice and pastries and protein such as
fish, meat and beans in the diet to aid in the caloric demand and healing.
 Increase amounts of Vitamin C in the diet to help boost the immune system.
 Add extra servings of fruits and vegetables rich in Vitamin C such as oranges and
mangoes.
 Assess patient’s tolerance of food.
 Maintain fluid balance.
Safety:
 Raise side rails.
 Keep bed at lowest position.
 Tell the SO/watcher to assist the patient with ADLs
 Instruct patient to take a rest when he feels dizzy.
 Administer medications such as Enalapril 25 mg to relieve dizziness if the cause of
dizziness is increased blood pressure.
 Check vitals signs of the patient. Specially the blood pressure.
PREVENTIVE MANAGEMENT
Management is directed toward prevention of possible reoccurrence and development of new
infection and prevention of complications.
Infection prevention:
 Maintain the integrity of the skin.
 Proper skin care.
 Proper hygiene daily.
 Eat food rich in Vitamin C to improve immune system’s function against foreign bodies
P a g e | 28
 Instruct patient to report signs of infection such as febrile episodes, sore throat, swollen
lymph nodes.
 Monitor temperature to check for febrile episodes.
 Antibiotics such as Penicillin Na as a course of therapy to prevent development of
bacterial resistance.
 Avoid contact with people who have untreated strep infections.
 Do not share cups, utensils, towels, bed linen, or personal items with infected people.
 Wash your hands often, especially after touching someone who may have an infection.
Complication Prevention:
 Adherence to treatment regimen.
 Provide client and family education with respect to prophylactic antibiotic therapy to
reduce the risk of developing complications such as AGN and rheumatic fever.
IX. DRUG STUDY
P a g e | 29
DRUG STUDY
NAME AND
DOSAGE
INDICATION MECHANISM OF
ACTION
CONTRAINDICATION ADVERSE EFFECTS NURSING RESPONSIBILITIES
Nifedipine
5 mg PRN for BP>
130/100 S.L
 Hypertension  Inhibits the influx of
calcium ions into
cardiac and smooth-
muscle cells; reduces
strength of heart-
muscle contraction,
reduces conduction of
impulses in the heart
and causes
vasodilation.
 Reduces blood
pressure and prevents
angina.
 Contraindicated in
patients hypersensitive
to drug or any of its
components.
 Use cautiously in
patients in those with
heart failure or
hypotension.
 Use extended-release
tablets cautiously in
patients with severe GI
narrowing because
obstructive symptoms
may occur.
CNS: headache, dizziness
CV: flushing, heart failure,
hypotension
GI: abdominal discomfort,
diarrhea, nausea
 Observe the 10 rights in
administering the drug.
Right drug
Right dose
Right patient
Right manner and route
Right time and frequency
Right documentation
Right assessment
Right education
Right evaluation
Right to refuse medication
 Assess patient’s condition before
during and after therapy
 Monitor blood pressure regularly
thereafter
 Monitor patient’s potassium level.
 Avoid taking drug with grape juice.
 Do not crush or chew extended
release tablet.
 Do not give the drug if the blood
pressure is below 100 or 60
Penicillin Sodium
940,000 units IV
 Bacteria(Strep
tococcal)
infection such
 Inhibits cell wall
synthesis during
microorganism
 Contraindicated in
patients hypersensitive
to the drug or other
CV: thrombophlebitis,
Hematologic: hemolytic
anemia,
 Observe the 10 rights in
administering the drug.
 Assess patient’s condition before
during and after therapy.
P a g e | 30
Q6° as scarlet
fever
multiplication.
 Kills susceptible
bacteria.
penicillins.
 Use cautiously in
patients with other drug
allergies, especially to
cephalosporins and
cephamycins.
leucopenia,thrombocytopenia
Other: hypersensitivity
reactions.
 Obtain history of allergy to penicillin
and cephalosporin before giving first
dose.
 Obtain culture and sensitivity before
giving the first dose.
 When given intravenously, inject
slowly.
 Monitor renal and hematopoietic
function.
 Increase fluid intake.
 Continue the medication even after
the disease is gone for 1 week.
Enalapril
2.5 mg tab BID P.O
 Hypertension  Inhibits the action of
angiotensin, which
results in decreased
vasopressor activity
and decreased
aldosterone secretion.
 Lowers blood
pressure.
 Contraindicated in
patients hypersensitive
to drug or any of its
components.
 In patients with history
of angioedema from
ACE inhibitor.
 In patients with renal
impairment, especially
those with bilateral
renal artery stenosis in
a single or unilateral
renal artery stenosis in
a single functioning
kidney.
CNS: dizziness, headache,
fatigue
CV: hypotension
GI: abdominal pain, diarrhea
 Observe the 10 rights in
administering the drug.
 Obtain patient’s blood pressure
before giving first dose.
 If angioedema occur, notify the
physician and stop the drug
immediately.
 Monitor patient’s vital signs specially
BP.
 Instruct patient to avoid sodium
substitutes.
 Monitor potassium level.
 Monitor CBC before, during and after
therapy.
 Rise slowly to avoid orthostatic
hypotension.
 Report signs of angioedema such as
difficulty of breathing and swelling
of face, eyes, lips or tongue.
P a g e | 31
 Light-headedness can occur
especially during first few days of
therapy.
Paracetamol
250 mg tab Q4°
PRN
 For mild pain
or fever
 Relieves pain and
reduces fever
 Hypersensitivity to
drug.
 In patients with history
of liver diseases and
chronic alcoholism.
Hematologic: hemolytic
anemia, leukopenia,
neutropenia, pancytopenia,
thrombocytopenia
Hepatic: liver damage,
jaundice
Metabolic: hypoglycaemia
 Observe the 10 rights in
administering the drug
 Assess pt’s pain or temp. before and
during therapy
 Be alert for adverse reactions and
drug interactions.
 Monitor liver function.
 Do not take with alcohol.
 Maybe taken without food.
Ranitidine
25 mg IV Q8°
 Self
medication for
occasional
heartburn,
acid
indigestion
and sour
stomach
 Inhibits the action of
H2-receptor sites of
parietal cells,
decreasing gastric acid
secretion.
 Relieves GI
discomforts.
 Hypersensitivity to
drug or any of its
components.
 Use cautiously in
patients with hepatic
dysfunction.
CNS: vertigo.
GI: abdominal discomfort,
constipation,diarrhea, nausea
and vomiting
Hematologic: reversible
leukopenia, pancytopenia,
thrombocytopenia
Skin: rash
Other: anaphylaxis,
angioedema, burning
sensation at injection site.
 Observe the 10 rights in
administering the drug.
 Assess GI condition before starting
the therapy.
 Take drug with or without food.
 Take drug once daily at bed time.
 Should not be taken with antacid, it
may interfere the absorption.
P a g e | 32
X. DISCHARGE PLANNING
MEDICATIONS
Penicillin G sodium
 Drug of choice in treating scarlet fever.
 Inhibits cell wall synthesis during microorganism multiplication.
 Contraindicated in patients hypersensitive to this drug. Use cautiously in patients with history
of allergy to cephalosporin.
 Adverse effects include thrombophlebitis, hemolytic anemia, leucopenia, thrombocytopenia
and hypersensitivity reactions.
 Monitor V/S, hematopoietic and renal function studies.
 Infuse IV drug continuously or intermittently over 30 min. to prevent thrombophlebitis.
Enalapril 2.5 mg Tab
 For increased blood pressure accompanied by dizziness.
 Inhibits the action of angiotensin, which results in decreased vasopressor activity and
decreased aldosterone secretion.
 Lowers blood pressure.
 Contraindicated in patients hypersensitive to drug t and patients with history of angioedema.
 Monitor V/S.
 Rise slowly to prevent orthostatic hypotension.
Nifedipine 5 mg PRN for BP> 130/100 mmHg
 For increased blood pressure greater than 130/100mmHg.
 Reduces blood pressure and prevents angina.
 Contraindicated in patients hypersensitive to drug or any of its components.
 Use cautiously in patients in those with heart failure or hypotension.
 Adverse effect includes headache, dizziness, flushing, heart failure, hypotension, abdominal
discomfort, diarrhea, nausea.
 Check first BP before giving.
 Avoid taking with grape juice.
EXERCISE
 Avoid doing strenuous activities.
 Active range of motion exercises.
 Primary Care giver should assist patient with ADL
 Provide time to play and with moderation.
 Deep breathing exercise to promote lung expansion and provide oxygenation.
TREATMENT MODALITIES
 TSB for fever management.
 Calamine lotion for itching and dryness of the skin.
 Enalapril 2.5 mg for increased blood pressure.
HEALTH TEACHINGS
PROMOTE PROPER HYGIENE/PREVENTION OF INFECTION
 Since the immune system is compromised, every effort should be maintained to prevent
infection. Frequent hand washing is the best way to control infection. Wash hands
thoroughly with hot, soapy water, especially before eating or preparing food and after
using the toilet. Carry an alcohol-based hand sanitizer during times when water is not
available.
P a g e | 33
ADHERE TO TREATMENT REGIMEN
 Adherence to the treatment regimen is essential in order to prevent reoccurrence of the
disease and to prevent complications. Most common cause of relapse is loss to
compliance. Medications should be administered at proper time and proper dosage.
PROMOTE SAFETY
 Institute safety measures since the patient suffers dizziness and prone to fall and accident.
Therefore, patients should not be left alone. Instead they should be with companions all
the time.
PROPER SKIN CARE
 Because of impaired skin integrity due to desquamation, care should be observed not to
cause any form of injury to the skin. Any injury will be a good source of infection.
Practice proper skin care such as the use of moisturizing soap when bathing or
moisturizing lotion to prevent dryness of the skin and avoid too much exposure to
sunlight.
MEETING NUTRITIONAL AND FLUID NEEDS
 Bear in mind the food preferences of the child when planning for menus. Presenting the
food in an attractive manner increases the interest of the child. Socialization during
meals may also the child’s appetite.
OUT PATIENT BASIS TREATMENTS
 The patient can have a check-up when signs and symptoms of the disease manifest again.
Among the signs and symptoms:
Sore throat, fever, swelling of lymph nodes in the nape and rashes.
DIET
 HIGH PROTEIN and CARBOHYDRATE
Since there is marked hypoproteinemia brought about by protein excretion in the urine,
diet rich in proteins is highly encouraged. These foods include: egg whites, meat, beans
and legumes, etc. School age children are active; their diet must be composing of high
carbohydrates to increase their bodies’ caloric demand. Among the source of
carbohydrates is bread, rice, pastries.
 LOW SALT AND LOW FAT
The patient suffers from high blood pressure so care must be considered especially in his
diet and safety. Salt must be regulated in the diet because it increases blood volume by
attracting more water in the blood circulation and it may cause edema. Low fat in the diet
to prevent build up or increase level of triglyceride in the body which is responsible in
the formation of atherosclerotic plague in the arteries.
 HIGH FLUID
Fluid intake must be increased to keep the body hydrated and provide skin moisture and
prevents it from drying. It helps the kidney from flushing toxins and existing remnants of
previous infection.
P a g e | 34
XI. UPDATES
Health Tip: Treating Strep Throat
Suggestions to help you feel better
By Diana Kohnle
Wednesday,February 2, 2011Related age
 Streptococcal Infections
(HealthDay News) -- Strep throat can cause a nasty sore throat while you're getting over the associated bacterial
infection.
The American Academy of Family Physicians says antibiotics are prescribed to treat the infection and help prevent
serious complications. The group offers these suggestions,meanwhile, to tame the burn in yourthroat:
 Take an over-the-counterpain reliever, such as acetaminophen or ibuprofen (never aspirin for children).
 Gargle with a solution of 1/4 teaspoon ofsalt mixed in 1 cup of warm water.
 Suck on a ice pop, throat lozenge, or hard candy (but note that these remedies pose a choking hazard to very young
children).
 Stick to foods that are soft and easy on the throat (applesauce and yogurt are good choices) or warm and soothing
(such as broth or tea).
 Stay away from anything spicy or acidic.
 Get lots of sleep and drink a lot of water.
StrepInfection –ExpertsWarned OfDeadly Streptococcal Infection
Tuesday, April 12th, 2011 | Postedby MatthewBennett
 Strep infections can turn deadly when the immune system mistakes a structure formed by a bacterial
protein for a blood clot and overreacts
 Infection with some strains of strep turn deadly when a protein found on their surface triggers a widespread
inflammatory reaction.
 In a report published April 7 in the journal Nature, researchers describe the precise architecture of a
superstructure formed when the bacterial protein called M1 links with a host protein, fibrinogen, that is
normally involved in clotting blood.
 The proteins form scaffolds with M1 joints and fibrinogen struts that assemble into dense superstructures.
Frontline immune cells called neutrophils mistake these thick networks for blood clots and overreact,
releasing a chemical signal that can dilate vessels to the point where they leak, the team reports.
 “We knew that M1 plus fibrinogen was inflammatory, but how was unknown. By determining the structure
of this complex, we were able to identify the characteristics that lead to a sepsis response,” said Partho
Ghosh, Ph.D., professorof chemistry and biochemistry at the University of California, San Diego who
studies the structure of virulence factors and led this project.
 Ghosh and colleagues found that the density of the M1-fibrinogen structure was a critical characteristic.
Looser structures or separate fibers formed by altered versions of M1 failed to trigger a pathological
response.
 “This research provides the first snapshot ofthe interaction between this key bacterial virulence factor and
its human target at the atomic level,” said Victor Nizet, M.D., professorof pediatrics and pharmacy and a
co-authorof the report.
 Difficult to treat once they set in, the leaking blood vessels and organ failure of strep-induced toxic shock
prove fatal for 30 percent of patients.Ghosh and Nizet have a long-standing collaboration aimed at
designing treatments to counteract the toxic effects of strep protein.
 Contact: Partho Ghosh
pghosh@ucsd.edu
University of California – San Diego
P a g e | 35
XII. BIBLIOGRAPHY
Smeltzer, S. C.; Bare, B.; Wilkinson, J. M. Brunner and Suddarth’s textbook of medical–
surgical nursing, 10th Edition, Prentice Hall: Nursing Diagnosis Handbook, 8th Ed.
Doenges, M. E.; Moorehouse, M. F.; Murr, A. C. (2006) Nursing care plans: Guidelines for
individualizing client care across the lifespan. Pennsylvania, F. A. Davis Co.
Kee, Joyce Lefever; A Look at Laboratory and Diagnostic Tests with Nursing Implications 17th
Edition
Internet sources:
http://nursingcareplanforpinoy.blogspot.com/2010/11/pathophysiology-signs-and-symptoms_13.html
http://www.lifescript.com/Health/A-Z/Conditions_A-
Z/Conditions/S/Scarlet_fever.aspx?utm_source=kosmix&utm_medium=cpc&utm_campaign=Health
http://emedicine.medscape.com/article/803974-overview#showall
http://en.wikipedia.org
http://www.nlm.nih.gov/medlineplus/streptococcalinfections.html
http://starglobaltribune.com/2011/strep-infection-experts-warned-of-deadly-streptococcal-infection-7705
Homework Help
https://www.homeworkping.com/
P a g e | 36
Math homework help
https://www.homeworkping.com/
Research Paper help
https://www.homeworkping.com/
Algebra Help
https://www.homeworkping.com/
Calculus Help
https://www.homeworkping.com/
Accounting help
https://www.homeworkping.com/
Paper Help
https://www.homeworkping.com/
Writing Help
https://www.homeworkping.com/
Online Tutor
https://www.homeworkping.com/
Online Tutoring
https://www.homeworkping.com/
Homework Help
https://www.homeworkping.com/
Math homework help
https://www.homeworkping.com/
Research Paper help
https://www.homeworkping.com/
P a g e | 37
Algebra Help
https://www.homeworkping.com/
Calculus Help
https://www.homeworkping.com/
Accounting help
https://www.homeworkping.com/
Paper Help
https://www.homeworkping.com/
Writing Help
https://www.homeworkping.com/
Online Tutor
https://www.homeworkping.com/
Online Tutoring
https://www.homeworkping.com/

91638981 case-study-scarlet-fever-repaired

  • 1.
    P a ge | 1 Homework Help https://www.homeworkping.com/ Research Paper help https://www.homeworkping.com/ Online Tutoring https://www.homeworkping.com/ click here for freelancing tutoring sites I. INTRODUCTION Scarlet fever is disease caused by exotoxin produced by group a beta-hemolytic Streptococcus. It occurs most commonly in age group 6-12 years. It may also occur in preschoolers. It is most common in temperate climates and occurs usually in late winter or early spring. It is characterized by sore throat, fever, bright red tongue with strawberry appearance (strawberry tongue). The characteristic of rash is fine, red and rough-textured. It appears 12-48 hours after the fever. The rash begins to fade three to four days after onset and desquamation (peeling) begins. Peeling from the palms and around the fingers occurs about a week later. Peeling also occurs in axilla, groin, and tips of the fingers and toes. The rash is the most striking sign of scarlet fever. It usually begins looking like bad sunburn with tiny bumps, and it may itch. The rash usually appears first on the neck and face, often leaving a clear unaffected area around the mouth. It spreads to the chest and back, then to the rest of the body. When scarlet fever occurs because of a throat infection, the fever typically stops within 3 to 5 days, and the sore throat passes soon afterward. The scarlet fever rash usually fades on the sixth day after sore throat symptoms started, and begins to peel (as above).The infection itself is usually cured with a 10-day course of antibiotics, but it may take a few weeks for tonsils and
  • 2.
    P a ge | 2 swollen glands to return to normal. In rare cases, scarlet fever may develop from a streptococcal skin infection like impetigo. In these cases, the person may not get a sore throat. If not treated properly, you can have serious problems with the heart and kidneys. Scarlet fever can also be fatal if not treated. On April 19, 2011, at 10:25 pm, patient Clendon, an 11-year old male from Amparo, Caloocan City was referred to the National Children’s Hospital due to complaints of fever and rashes. He was admitted by Dr. Toma and with an admitting diagnosis of Atypical Kawasaki disease. OBJECTIVES OF THE STUDY This study aims to identify and determine the general health problems and needs of the patient diagnosed to have chronic Osteomyelitis. This study also intends to help the patient promote health and medical understanding of such condition through the application of nursing skills. Objectives to the patient: o To establish a trusting and therapeutic relationship with the patient. o To give patient a free expressions of feelings and needs. o To share knowledge and to increase the level of awareness about the patient’s condition. o To teach ways that promotes patient’s independence. o To provide holistic nursing care to patient. o To assist patient in his activities of daily living. o To promote self esteem of the patient. Objectives to the student/researcher:
  • 3.
    P a ge | 3 o To establish rapport with the patient o To acquire knowledge and to expand understanding regarding the case of the patient. o To familiarize the researcher/student with tests done in diagnosing Scarlet Fever. o To implement and evaluate SMART nursing care plan appropriate to the patient’s case. o To identify factors that could worsen the condition. o To know the different surgical and medical management and nursing management as well. o To keep confidentiality of information to the patient’s case. o To work professionally and treat patient as a whole. o To identify verbal and non-verbal cues by the patient. o To apply and familiarize the concepts learned in Maternal and Child Nursing. o To give respect whatever decision made by the patient regarding the plan of care. o To work collaboratively with other members of the health care team. o To discover new ways to care for the patient. II. PERSONAL DATA PATIENT’S PROFILE Name: Clendon Llurag Ramos Age: 11 years old Birth date: March 17, 2000 Address: Block-10 Amparo Subdivision, Amparo, Caloocan City Sex: Male Religion: Roman Catholic Nationality: Filipino Admission Date: April 19, 2011 Admission Time: 10:25 PM Admitting Physician: Dr. Toma
  • 4.
    P a ge | 4 Admitting Diagnosis: Atypical Kawasaki Chief Complaint: fever and rashes III. NURSING HISTORY OF PAST AND PRESENT ILLNESS Past history: Patient Clendon was born in Agusan Del Sur on March 17, 2000; he is the 2nd among the 3 siblings of Mr. and Mrs. Ramos. The researcher/student conducted an interview with the patient about his medical history but the patient is not able to give information so, the mother was interviewed by the researcher/student. According to his mother, her son has not yet completed his immunization, which is the MMR vaccine, because he suffers fever frequently. Her child has no allergies to food (sea food) and drugs. His diet composed of fish, meat and some vegetables such as Malunggay and Saluyot. He drinks 500ml of water daily. As a school aged child, playing is part of his routine. He plays chips or “pogs” and game cards or “teks”, he play together with his sister or sometimes to his neighbor playmates and he does playing after the class in the afternoon. Sometimes he is being scolded by his mother because he use much time in playing. Aside from playing, he also watches TV all through out the day especially during weekends. He can also do house hold chores like cooking rice which he does in the morning especially when his parents are out for work, they left them food which was cooked at night. Aside from cooking, he also washes his clothes.
  • 5.
    P a ge | 5 He has history of falls and it happened sometime when his mother sent him to school in a bicycle, while on the road to Amparo Elementary School, her mother lose control of the bike and they fell on the ground, he got scratches and bruises while his mother suffered wounds. He suffered common illnesses such as cough, cold and fever and his mother was able to give OTC and herbal (such as oregano leaves) medications. There are times that he feels dizzy and he used to rest for awhile. Family health history Father side has a history of hypertension and kidney stones. The patient’s grandfather (father side) was diagnosed to have those conditions in 1994. Until now, his grandpa has hypertension but is taking maintenance medications while the kidney stone has gone. There are no other serious diseases such as asthma and diabetes mellitus as claimed by the father of the patient. Present History: 7 days prior to admission his condition started when he had measles-like rashes in the abdomen and fever. His mother thought that he has measles. 5 days prior to admission he has still with fever, rashes starts to spread on the hands and feet and he complains of abdominal enlargement, chest tightness and complaints of swollen lymph nodes in the neck. Together with his mother, they went for check up at Tala Hospital in Caloocan. He was diagnosed to have atypical Kawasaki’s disease and was referred and admitted to the National Children’s Hospital on April 19, 2011. Because of desquamation in the palms and soles, Atypical Kawasaki was ruled out and the doctor came up with the diagnosis of Scarlet Fever. He underwent series of laboratory exams and was treated with drugs such as Paracetamol, Penicillin G sodium and
  • 6.
    P a ge | 6 Ranitidine, IV fluid of D5IMB and also went BT. 8 days after admission, the symptoms of scarlet starts to subside but the patient frequently experiences dizziness and he has antihypertensive drugs. When he feels dizzy, his BP rises and they administer antihypertensive to control his BP.
  • 7.
    P a ge | 7 IV. PEARSON ASSESSMENT COMPONENTS/AREAS April 26, 2011 April 27, 2011 P psychosocial  Patient C is 11 years old male, presently living at Block- 10 Amparo Subdivision, Caloocan City.  He is silent person and he talks a little.  He is the 2nd out of 3 siblings of Mr. and Mrs. Ramos.  According to Erik Erickson’s theory of Psychosocial Development, patient C is under “industry versus inferiority” stage. He is under “industry” because; he is able to do simple house works and knows what to do when his mother left them together with his sister specially when going to school.  Upon arrival to the ward, the patient is well groomed.  Conscious and coherent  He is in a good mood.  He’s fully awake and conversant.  He is tidy but weak looking.  No feeling of boredom  He is able give information.  He talks when the student/researcher asks questions but with limited information.
  • 8.
    P a ge | 8 E elimination  According to patient, he has tea-colored urine and voids at least 2 times daily.  This day he urinated twice.  His urine is being measured.  He does not experience nocturia.  According to patient, he has no pain and difficulty in urinating.  According to patient he evacuates bowel at least once a day.  According to patient, he sweats during his sleep at night and in the afternoon because the room is warm.  According to patient, no nasal and eye discharges are present.  The oral mucosa of the patient is not dry.  This day, he passed a stool twice.  He voided twice draining to tea colored output.  He doesn’t experience nocturia.  Still without pain on urination.  This day, he passed a stool once  With moist oral mucosa as examined by the researcher/student.  Still with no nasal and eye discharges  He has not yet passed a stool.  He has no complain of sweating though the room is hot. 
  • 9.
    P a ge | 9 A/R activity/rest  Patient is sitting on bed with his mother beside him.  According to him, he takes morning and afternoon naps when he is alone or has nothing to do.  He had a fair sleep last night.  He slept 8 hours and woke up at 5:30 am this day.  He has no other disturbances during his sleeps except when nurse take his vital signs at night.  The patient is able to do ADL’s with assistance of his father.  Patient is sitting on bed side  He is playing cell phone games.  He had a sound sleep last night and had sleep for 8 hours  He woke up at 5:30 a.m. this morning. S safety  He is aided by his mother in his activities of daily living.  Patient is in his crib sitting.  He has no allergy to sea foods and drugs.  With body temperature of 36.9 °c, afebrile but skin is warm to touch.  With desquamation or peeling of skin at abdomen, palms of both hands and soles of both feet.  With dry and crackly lips.  He is aided by his father in his activities of daily living.  He has no complaints of dizziness.  He has no fever but skin is warm to touch  Still with skin peeling on the palms of his fingers and soles of his foot.  The lips are not dry and crackly.  The environment is clean, fluorescent lights are on but ceiling fans are off.
  • 10.
    P a ge | 10  The ward of the patient is clean, with fluorescent lights and ventilated with ceiling fans.  He felt dizzy and administered Enalapril 25 mg tab.  Swelling is noted on the IV site (left arm)  Still there is swelling on the previous IV site ( left arm) O oxygenation  BP is 130/90 mmHg  RR is 22 cpm  PR is72 bpm  No rales, ronchi, and other adventitious breath sounds noted.  No difficulty in breathing was observed.  No use of accessory muscles notified.  Capillary refill time is 2 secs.  No cyanosis in the nail beds and lips was observed.  RR is 23 cpm  PR is 85 bpm  No abnormality in pulse noted.  No DOB or SOB.  No adventitious sounds noted.  No use of accessory muscles notified.  Capillary refill time is 2 sec.  No cyanosis in any part of the body  With swelling on his right arm.  With no IVF inserted.
  • 11.
    P a ge | 11 N nutrition  He has a good appetite.  He drinks 500mL of water daily  He eats every meal and takes meryenda between meals which composed of bread or biscuits and water.  He prefer eating fish and meat and sometimes with little vegetables.  He has an IVF of D5IMB ½ liter regulated to 15 gtts. /min. at 450 cc level.  He has good appetite.  He ate his breakfast composing of sandwich and hot chocolate.  He has not yet had his meryenda.  The patient has no IVF
  • 12.
    P a ge | 12 V. DIAGNOSTIC PROCEDURES A. IDEAL Complete Blood Count (CBC) Purpose:  Provide information concerning the six components which are RBC count, hemoglobin (HGB), hematocrit (HCT), RBC indices: mean corpuscular volume (MCV), mean corpuscular hemoglobin (MCH), and mean corpuscular hemoglobin concentration (MCHC), RBC distribution width; WBC; and differential WBC count.  This is done to diagnose anemias such as macrocytic (aplastic, hemolytic and pernicious) and microcytic (Iron Deficiency) bleeding disorders and blood cell changes. Nursing responsibilities: 1. Check the doctor’s order. 2. Explain that the purpose for the laboratory tests is to identify the cause for the hematologic disorder. 3. Give a detailed explanation concerning the test procedures and the need for the client’s compliance. 4. Inform the client of any food, fluid or drug restrictions. 5. Monitor the client’s vital signs before, during and after the laboratory test procedures. 6. Listen to the client’s expressed anxiety or fear concerning the tests and potential clinical problems. 7. Check laboratory results and report abnormal test reports. 8. Be supportive of the client and family members during test and treatment of disorders. Antistreptolysin O (ASO) Titer Purpose:  To identify clients who are susceptible to specific autoimmune disorders (e.g., collagen disease).
  • 13.
    P a ge | 13  To aid in determining the effect of beta-hemolytic streptococcus in secreting the enzyme streptolysin O. Nursing responsibilities: 1. Check the doctor’s order. 2. Explain the procedure to the patient. 3. Note that antibiotic therapy decreases the antibody response. 4. Instruct the client and family that when the client has a sore throat he or she should have a throat culture taken to check for beta-hemolytic streptococcus. Erythrocyte Sedimentation Rate (ESR) Purpose:  To compare with other laboratory values for diagnosing inflammatory conditions. Nursing responsibilities: 1. Check the doctor’s order. 2. Explain the procedure to the patient. 3. Hold medications that can cause false-positive results for 24 hours before the test, with the health care provider’s permission. C - reactive protein (CRP) Purpose:  To associate an increased CRP titer with an acute inflammatory process.  To detect the risk of coronary heart disease.  To compare test results with other laboratory tests.  Nursing responsibilities: 1. Check the doctor’s order. 2. Explain the procedure to the patient. 3. Restrict food and fluids, except water, for 8-12 hours before the test. 4. Avoid heat, CRP is thermo labile.
  • 14.
    P a ge | 14 Culture and Sensitivity (Throat Swab): Purpose:  To isolate microorganism in the body tissue or body fluid. Nursing responsibilities: 1. Check the doctor’s order. 2. Explain the procedure to the patient and significant others. 3. Wash hands before and after collection of the specimen. 4. Use sterile cotton swab. Swab the inflamed areas of the throat. 5. Place the applicator in a culture medium. Observe proper aseptic technique. 6. Immediately send the throat culture to the laboratory. 7. Obtain culture before antibiotic therapy. 8. Refer results to the physician. B. ACTUAL NAME RESULTS NORMAL VALUES NURSING IMPLICATION CBC (complete blood count) April 23,2011 Hemoglobin 86 g/L Hematocrit .26 WBC 8.8 x 10 g/L WBC Differential: Lymphocyte 0.30 Neutrophils 0.66 Eosinophils 0.04 PLT count 455 x 10⁹/L M: 140-180 g/L M: 0.40-0.54 5-10 x 10 g/L 0.20-0.45 0.40-.0.75 0.01-0.04 150-450 Low. It may suggest anemia and kidney disease. Low. Indicates recent bleeding or vitamin and mineral deficiency Normal Normal Normal Normal Increased may indicate malignancy, myeloproliferative disease
  • 15.
    P a ge | 15 Nursing Responsibilities:  The CBC does not require fasting or any special preparation but the procedure should be explained to the patient and patient’s watcher as well as the purpose. AFTER CARE  Discomfort or bruising may occur at the puncture site.  Applying pressure to the puncture site until the bleeding stops.  Warm packs relieve discomfort.  If patient fell dizzy or faint after blood has been drawn, allow him/her to take a rest.  Refer the result to the physician. NAME RESULTS NORMAL NURSING IMPLICATION URINALYSIS April 20, 2011 MACROSCOPIC: Color: reddish yellow Transparency: hazy Reaction: acidic Specific gravity: 1.010 CHEMICAL Protein: +3 Glucose/Sugar: (-) Varying degree of yellow Clear Usually acidic 1.000-1.038 (-) (-) Normal It may show presence of pus, blood cells or bacteria Normal Normal Proteinuria, sensitive indicator of kidney dysfunction. Normal MICROSCOPIC: Cast Hyaline Others: coarse granular Bacteria Cells RBC Pus Cells Epithelial Cells Amorphous urates Others Result 0-2/LPF 0-1/LPF Few Result Over 100/HPF 30-35/HPF Occasional Few Renal tubular epithelial=0-3/HPF Indicate presence of infection It suggests presence of disease condition Indicates infection
  • 16.
    P a ge | 16 Nursing Responsibilities:  Check the doctor’s order.  Explain the purpose of the procedure to client and significant others.  Provide a sterile container for urine to the patient.  Assist the patient in collecting urine or ask watcher to assist the patient if he can’t do on his own.  Teach the patient’s watcher to clean the head of the penis and the urethral meatus.  Tell the patient or the one assisting him to collect the mid-stream urine.  Label and transport the specimen immediately to the laboratory for examination.  Refer the results to the physician. NAME RESULTS NORMAL NURSING IMPLICATION ASO TITER (antistreptolysin O titer) April 20, 2011 400IU/ML <200IU/ML Increase level suggests diseases such as AGN, collagen disease or Streptococcal upper respiratory tract infections. Nursing Responsibilities:  Check the doctor’s order.  Explain the purpose of the procedure to client and significant others.  Instruct the client and family that when the client has a sore throat he or she should have a throat culture taken to check for beta-hemolytic streptococcus.  Check the urine output when serum ASO is elevated.  Refer the results to the physician.
  • 17.
    P a ge | 17 VI. ANATOMY AND PHYSIOLOGY The cardiovascular system includes the heart and the blood vessels. The heart pumps blood and the blood vessels channel and deliver it throughout the body. Arteries carry blood filled with nutrients away from the heart to all parts of the body. The blood is sometimes compared to a river, but the arteries are more like a river in reverse. Arteries are thick-walled tubes with a circular covering of yellow, elastic fibers, which contain a filling of muscle that absorbs the tremendous pressure wave of a heartbeat and slows the blood down. This pressure can be felt in the arm and wrist - it is the pulse. Eventually arteries divide into smaller arterioles and then into even smaller capillaries, the smallest of all blood vessels. One arteriole can serve a hundred capillaries. Here, in every tissue of every organ, blood's work is done when it gives up what the cells need and takes away the waste products that they don't need. Now the river comparison really does apply. Capillaries join together to form small veins, which flow into larger main veins, and these deliver deoxygenated blood back to the heart. Veins, unlike arteries, have thin, slack walls, because the blood has lost the pressure which forced it out of the heart, so the dark, reddish-blue blood which flows through the veins on its way to the lungs oozes along very slowly on its way to be reoxygenated. Back at the heart, the veins enter a special vessel, called the pulmonary arteries, into the wall at right side of the heart. It flows along the pulmonary arteries to the lungs to collect oxygen, and then back to the heart's left side to begin its journey around the body again.
  • 18.
    P a ge | 18 THE INTEGUMENTS (SKIN) The integumentary system (From Latin integumentum, from integere 'to cover'; from in- + tegere 'to cover') is the organ system that protects the body from damage, comprising the skin and its appendages (including hair, scales, feathers, and nails). The integumentary system has a variety of functions; it may serve to waterproof, cushion, and protect the deeper tissues, excrete wastes, and regulate temperature, and is the attachment site for sensory receptors to detect pain, sensation, pressure, and temperature. In humans the integumentary system also provides vitamin D synthesis. The integumentary system is the largest organ system. In humans, this system accounts for about 16 percent of total body weight and covers 1.5-2m2 of surface area. It distinguishes, separates, protects and informs the animal with regard to its surroundings. Small-bodied invertebrates of aquatic or continually moist habitats respire using the outer layer (integument). This gas exchange system, where gases simply diffuse into and out of the interstitial fluid, is called integumentary exchange. Layers of the skin: EPIDERMIS This is the top layer of skin made up of epithelial cells. It does not contain blood vessels. Its main function is protection, absorption of nutrients, and homeostasis. In structure, it consists of a keratinized stratified squamous epithelium comprising four types of
  • 19.
    P a ge | 19 cells: keratinocytes, melanocytes, Merkel cells, and Langerhans' cells. The major cell of the epidermis is the keratinocyte, which produces keratin. Keratin is a fibrous protein that aids in protection. Millions of dead keratinocytes rub off daily. The majority of the skin on the body is keratinized, meaning waterproofed. The only skin on the body that is non-keratinized is the lining of skin on the inside of the mouth. Non-keratinized cells allow water to "stay" atop the structure. The epidermis contains different types of cells: The most common are squamous cells, which are flat, scaly cells on the surface of the skin; basal cells, which are round cells; and melanocytes, which give the skin its color. The epidermis also contains Langerhan's cells, which are formed in the bone marrow and then migrate to the epidermis. They work in conjunction with other cells to fight foreign bodies as part of the body's immune defense system. Granstein cells play a similar role. Melanocytes create melanin, the substance that gives skin its color. These cells are found deep in the epidermis layer. Accumulations of melanin are packaged in melanosomes (membrane-bound granules). These granules form a pigment shield against UV radiation for the keratinocyte nuclei. The epidermis itself is made up of four to five layers. From the lower to upper epidermis, the layers are named: stratum basale, stratum spinosum, stratum granulosum, stratum lucidum(the extra layer that occurs in places such as palms and soles of the feet), and the stratum corneum. The stratum basale is the only layer capable of cell division, pushing up cells to replenish the outer layer in a process called terminal differentiation. The stratum corneum is the most superficial layer and is made up of dead cells, proteins, and glycolipids. The protein keratin stiffens epidermal tissue to form fingernails. Nails grow from thin area called the nail matrix; growth of nails is 1 mm per week on average. The lunula is the crescent-shape area at the base of the nail; this is a lighter colour as it mixes with the matrix cells. DERMIS The dermis is the middle layer of skin, composed of dense irregular connective tissues such as collagen with elastin arranged in a diffusely bundled and woven pattern. These layers serve to
  • 20.
    P a ge | 20 give elasticity to the integument, allowing stretching and conferring flexibility, while also resisting distortions, wrinkling, and sagging. The dermal layer provides a site for the endings of blood vessels and nerves. Many chromatophores are also stored in this layer, as are the bases of integumental structures such as hair, feathers, and glands. SUBCUTANEOUS LAYER Although technically not part of the integumentary system, the subdermis is the layer of tissue directly underneath the dermis. It is composed mainly of connective and adipose tissue or fatty tissue. Its physiological functions include insulation, the storage of energy, and aiding in the anchoring of the skin. FUNCTIONS OF THE SKIN: The integumentary system has multiple roles in homeostasis. All body systems work in an interconnected manner to maintain the internal conditions essential to the function of the body. The skin has an important job of protecting the body and acts as the body’s first line of defense against infection, temperature change, and other challenges to homeostasis. Functions include:  Protect the body’s internal living tissues and organs  Protect against invasion by infectious organisms  Protect the body from dehydration  Protect the body against abrupt changes in temperature, maintain homeostasis  Help excrete waste materials through perspiration  Act as a receptor for touch, pressure, pain, heat, and cold (see Somatosensory system)  Protect the body against sunburns  Generate vitamin D through exposure to ultraviolet light  Store water, fat, glucose, and vitamin D
  • 21.
    P a ge | 21 Appearance of scarlet rashes which starts from abdomen and spread all through out the body Hemolytic reaction or destruction of RBC VII. PATHOPHYSIOLOGY A. ALGORITHM Risk Factors: Age:6-12 yearsold Previousstreptococcal upperrespiratory tract infection Loweredimmune system Expose toGABHS(groupA beta hemolyticstreptococcus) Hematogenous spread (Blood) Release of bacterial exotoxin( erythrogenic toxin) Deposition of antigen- antibody complex in the glomerulus Increased production of epithelial cellsliningthe glomerulus Inflammatory response in the body Epidermal Inflammation Signs and symptoms (manifested by the patient) include:  Fever  Swollen cervical lymph node  Abdominal pain and enlargement  Rashes  Desquamation or peeling of the skin Laboratory result:  Positive ASO titer of 400IU/ML (normal: <200IU/ML) Other symptoms include:  Straw berry tongue  Sore throat Antigen-antibody reaction in the glomeruli Scarringand loss of glomerular filtration membrane Leukocytes infiltratethe glomerulus Thickeningof the glomerular filtration membrane Decreased glomerular filtration rate If leftuntreated,the disease mayaffectthe kidneyswhichwill cause complication such AGN.Otherthan kidney, itmayalso affectthe heartwhich causesrheumaticfever Hyperkeratosis Desquamation or peeling of skin which follows after rash fades *AGN was elaborated in the pathophysiology becausethe patient was also thought to have such diseasedue to the results of laboratory exam such as CBC and U/A but it was ruled out. Invasion of pathogen through droplet and airborne transmission
  • 22.
    P a ge | 22 B. EXPLANATION How it happens: Normally, Group a beta-hemolytic streptococci are part of the normal flora in the URT. Group A streptococci can cause pharyngitis, skin infections (including erysipelas pyoderma and cellulitis), pneumonia, bacteremia, and lymphadenitis. Scarlet fever is usually associated with pharyngitis; however, in rare cases, it follows streptococcal infections at other sites. Scarlet fever happens when a GABHS travels in the blood. It produces exotoxin (erythrogenic Toxin) which capable of destroying the RBC’s (hemolysis). These hemolytic reactions in the circulation causes red rash seen on skin. The rash is the most striking sign of scarlet fever, it is rough (sand paper- like) and usually appears first on the neck and face, often leaving a clear unaffected area around the mouth. In the patient’s case, it started in the abdomen and spread eventually to the armpit, neck, hands, groin, feet and other parts of the body. Areas with rashes turn white and usually begin to fade followed by desquamation or peeling. Epidermal inflammation causes hyperkeratosis which causes the white appearance of rashes and desquamation. Other signs and symptoms include fever, swollen lymph nodes in the neck, sore throat and strawberry tongue. If scarlet fever is left untreated, it might be fatal. It may also cause problems in the heart and kidney. AGN is one of the complications associated with scarlet fever. It affects the kidney especially in the glomerular system where antigen-antibody reaction happens. Clumping and inflammatory process occurs as leukocyte infiltrates the area. It causes thickening and scarring of the glomerular membrane which leads to destruction and decrease glomerular filtration.
  • 23.
    P a ge | 23 VIII. MANAGEMENT A. Medical and Surgical Management Surgery is not indicated to patients with scarlet fever. Management is therapeutic and the goal is to control and treat the infection process. For Scarlet fever Non-pharmacologic management:  TSB for management of fever.  Provide adequate ventilation.  Follow droplet precaution prior to hospitalization.  Comfort measures such as applying calamine lotion to the skin. Rashes of scarlet fever tend to be pruritic.  Soft or liquid diet for few days until throat soreness has diminished. Pharmacologic:  Antipyretic such as paracetamol for management of fever.  Antibiotic such as penicillin as full course treatment for 10 days to control the infection. For Increase in blood pressure: Non pharmacologic:  Provide enough rest and sleep.  Rise slowly when getting up in bed.  Assist patient in ADLs.  Deep breathing exercises.  Monitor V/S specially BP. Pharmacologic: Antihypertensive drugs such Enalapril and nifedipine to control blood pressure. B. NCP with Evaluation
  • 24.
    P a ge | 24 Nursing Care Plan CUES/DATA NURSING DIAGNOSIS ANALYSIS OBJECTIVES NURSING INTERVENTION RATIONALE EVALUATION Subjective: “ang init tsaka nahihilo ako” As verbalized by pt. Clendon Objective: Skin is warm to touch but affebrile. Vital Signs: BP- 130/90mmHg PR-72bpm RR-22cpm TEMP-36.9 °C P: ineffective tissue perfusion E: related to Increased blood pressure S: as evidence by : blood pressure of 130/90mmHg verbalization of warm feeling and dizziness experienced by the patient warm/hot environment vasodilation/increase diameter of the lumen of the arteries of the arteries increase vascular resistance increase pumping ability of the heart increase in blood pressure increase pressure in the brain ineffective tissue perfusion April 26, 2011 7:00 a.m. After 1 hour of nursing care and management, the patient’s blood pressure will decrease from 130/90-110/80 mmHg and will not have complaints of dizziness. INDEPENDENT:  Establish rapport with the patient  Monitor patient’s vital sign specially BP.  Place patient in a comfortable position; may assume sitting or lying position.  Instruct patient to take a deep breath.  Provide adequate ventilation  Promote rest and non- stimulating environment DEPENDENT/COLLABORATIVE Administer Enalapril 2.5 mg tab  To gain trust and cooperation of the patient.  To provide baseline data and to assess effectiveness of intervention.  To promote circulation and to alleviate dizziness.  Deep breathing promotes oxygenation and lung expansion.  To provide oxygenation to the body.  Resting replenishes loss energy and decreases demands for oxygen.  An antihypertensive drug that inhibits the action of angiotensin activity and decrease aldosterone secretion. April 26, 2011 8:00 a.m. LEVEL OF ATTAINMENT: GOAL MET After 1 hour of nursing care and management, the patient’s blood pressure decreased from 130/90- 110/80mmHg Patient has no more complaints of dizziness.
  • 25.
    P a ge | 25 CUES/DATA NURSING DIAGNOSIS ANALYSIS OBJECTIVES NURSING INTERVENTION RATIONALE EVALUATION Subjective: “ang init tsaka nahihilo ako” As verbalized by pt. Clendon Objective: Skin is warm to touch but affebrile. Vital Signs: BP- 130/90mmHg PR-72bpm RR-22cpm TEMP-36.9 °C P: risk for injury E: related to Increased blood pressure S: as evidence by : blood pressure of 130/90mmHg verbalization of warm feeling and dizziness experienced by the patient Increase in blood pressure Increase blood flow in the brain Increase pressure brain Decrease Oxygen supply in the brain Dizziness Risk for injury April 26, 2011 8:00 a.m. After 1hour of nursing care and management, the patient and watcher will understand recognize need for assistance to prevent accidents/injuries INDEPENDENT:  Establish rapport with the patient  Include the primary care giver in the care of the patient  Assist the patient when doing ADLs.  Provide enough rest and sleep.  Institute safety measures: o Raise side rails. o Keep bed in low position.  Teach the patient alternative ways to do ADLs.  To gain trust and cooperation of the patient.  To help assist the nurse and the patient in the promotion of care.  To monitor patient activity and to prevent potential accident or injury that may happen.  Resting replenishes loss energy and decreases demands for oxygen.  To prevent patient from injury/accidents such as falls.  To promote patient’s independence. April 26, 2011 9:00 a.m. LEVEL OF ATTAINMENT: GOAL MET After 1 hour of nursing care and management, the patient and watcher was able to understand and recognize need for assistance to prevent accidents/injuries.
  • 26.
    P a ge | 26 CUES/DATA NURSING DIAGNOSIS ANALYSIS OBJECTIVES NURSING INTERVENTION RATIONALE EVALUATION Subjective: “nung una akala ko tigdas lang kasi nagkatigdas silang tatlo eh sya lang ang hindi pa gumaling ” As verbalized by the patient’s mother. Objective: Skin is warm to touch but affebrile. Peeling of skin noted at palms and soles. Dry and crackly lips. Vital signs: TEMP-36.9 °C P: impaired skin integrity E: related to disease condition( scarlet fever) S: as evidence by : Peeling of skin noted at palms and soles. Scarlet fever scarlet rashes epidermal inflammation hyperkeratosis peeling/desquamation of the skin Impaired skin integrity April 27, 2011 9:00 a.m. After 30 min. of nursing care and management, the patient and SO will understand demonstrate proper skin care. INDEPENDENT:  Establish rapport with the patient  Include the primary care giver in the care of the patient  Assess patient’s and SO’s level of knowledge.  Proper hygiene  Use non irritating soap in bathing or hand washing.  Increase fluid intake DEPENDENT/COLLABORATIVE  Administer Calamine lotion  To gain trust and cooperation of the patient.  To help assist the nurse and the patient in the promotion of care.  To provide information appropriate to the level of understanding of the patient and watcher.  Proper hygiene protects the body from infection and prevents infection.  To prevent skin dryness.  Rehydrates the body as well as the skin.  To keep the skin moisturized and to prevent dryness and itching. April 27, 2011 9:30 a.m. LEVEL OF ATTAINMENT: GOAL MET After 30 min. of nursing care and management, the patient and SO was able understand and demonstrate proper skin care. The patient and SO was able to enumerate proper skin care.
  • 27.
    P a ge | 27 C. Promotive and Preventive Management PROMOTIVE MANAGEMENT The following are management indicated/applicable to the patient who suffered from scarlet fever and frequently feels dizziness. Nutritional Management:  Increase the amount of carbohydrates such as bread, rice and pastries and protein such as fish, meat and beans in the diet to aid in the caloric demand and healing.  Increase amounts of Vitamin C in the diet to help boost the immune system.  Add extra servings of fruits and vegetables rich in Vitamin C such as oranges and mangoes.  Assess patient’s tolerance of food.  Maintain fluid balance. Safety:  Raise side rails.  Keep bed at lowest position.  Tell the SO/watcher to assist the patient with ADLs  Instruct patient to take a rest when he feels dizzy.  Administer medications such as Enalapril 25 mg to relieve dizziness if the cause of dizziness is increased blood pressure.  Check vitals signs of the patient. Specially the blood pressure. PREVENTIVE MANAGEMENT Management is directed toward prevention of possible reoccurrence and development of new infection and prevention of complications. Infection prevention:  Maintain the integrity of the skin.  Proper skin care.  Proper hygiene daily.  Eat food rich in Vitamin C to improve immune system’s function against foreign bodies
  • 28.
    P a ge | 28  Instruct patient to report signs of infection such as febrile episodes, sore throat, swollen lymph nodes.  Monitor temperature to check for febrile episodes.  Antibiotics such as Penicillin Na as a course of therapy to prevent development of bacterial resistance.  Avoid contact with people who have untreated strep infections.  Do not share cups, utensils, towels, bed linen, or personal items with infected people.  Wash your hands often, especially after touching someone who may have an infection. Complication Prevention:  Adherence to treatment regimen.  Provide client and family education with respect to prophylactic antibiotic therapy to reduce the risk of developing complications such as AGN and rheumatic fever. IX. DRUG STUDY
  • 29.
    P a ge | 29 DRUG STUDY NAME AND DOSAGE INDICATION MECHANISM OF ACTION CONTRAINDICATION ADVERSE EFFECTS NURSING RESPONSIBILITIES Nifedipine 5 mg PRN for BP> 130/100 S.L  Hypertension  Inhibits the influx of calcium ions into cardiac and smooth- muscle cells; reduces strength of heart- muscle contraction, reduces conduction of impulses in the heart and causes vasodilation.  Reduces blood pressure and prevents angina.  Contraindicated in patients hypersensitive to drug or any of its components.  Use cautiously in patients in those with heart failure or hypotension.  Use extended-release tablets cautiously in patients with severe GI narrowing because obstructive symptoms may occur. CNS: headache, dizziness CV: flushing, heart failure, hypotension GI: abdominal discomfort, diarrhea, nausea  Observe the 10 rights in administering the drug. Right drug Right dose Right patient Right manner and route Right time and frequency Right documentation Right assessment Right education Right evaluation Right to refuse medication  Assess patient’s condition before during and after therapy  Monitor blood pressure regularly thereafter  Monitor patient’s potassium level.  Avoid taking drug with grape juice.  Do not crush or chew extended release tablet.  Do not give the drug if the blood pressure is below 100 or 60 Penicillin Sodium 940,000 units IV  Bacteria(Strep tococcal) infection such  Inhibits cell wall synthesis during microorganism  Contraindicated in patients hypersensitive to the drug or other CV: thrombophlebitis, Hematologic: hemolytic anemia,  Observe the 10 rights in administering the drug.  Assess patient’s condition before during and after therapy.
  • 30.
    P a ge | 30 Q6° as scarlet fever multiplication.  Kills susceptible bacteria. penicillins.  Use cautiously in patients with other drug allergies, especially to cephalosporins and cephamycins. leucopenia,thrombocytopenia Other: hypersensitivity reactions.  Obtain history of allergy to penicillin and cephalosporin before giving first dose.  Obtain culture and sensitivity before giving the first dose.  When given intravenously, inject slowly.  Monitor renal and hematopoietic function.  Increase fluid intake.  Continue the medication even after the disease is gone for 1 week. Enalapril 2.5 mg tab BID P.O  Hypertension  Inhibits the action of angiotensin, which results in decreased vasopressor activity and decreased aldosterone secretion.  Lowers blood pressure.  Contraindicated in patients hypersensitive to drug or any of its components.  In patients with history of angioedema from ACE inhibitor.  In patients with renal impairment, especially those with bilateral renal artery stenosis in a single or unilateral renal artery stenosis in a single functioning kidney. CNS: dizziness, headache, fatigue CV: hypotension GI: abdominal pain, diarrhea  Observe the 10 rights in administering the drug.  Obtain patient’s blood pressure before giving first dose.  If angioedema occur, notify the physician and stop the drug immediately.  Monitor patient’s vital signs specially BP.  Instruct patient to avoid sodium substitutes.  Monitor potassium level.  Monitor CBC before, during and after therapy.  Rise slowly to avoid orthostatic hypotension.  Report signs of angioedema such as difficulty of breathing and swelling of face, eyes, lips or tongue.
  • 31.
    P a ge | 31  Light-headedness can occur especially during first few days of therapy. Paracetamol 250 mg tab Q4° PRN  For mild pain or fever  Relieves pain and reduces fever  Hypersensitivity to drug.  In patients with history of liver diseases and chronic alcoholism. Hematologic: hemolytic anemia, leukopenia, neutropenia, pancytopenia, thrombocytopenia Hepatic: liver damage, jaundice Metabolic: hypoglycaemia  Observe the 10 rights in administering the drug  Assess pt’s pain or temp. before and during therapy  Be alert for adverse reactions and drug interactions.  Monitor liver function.  Do not take with alcohol.  Maybe taken without food. Ranitidine 25 mg IV Q8°  Self medication for occasional heartburn, acid indigestion and sour stomach  Inhibits the action of H2-receptor sites of parietal cells, decreasing gastric acid secretion.  Relieves GI discomforts.  Hypersensitivity to drug or any of its components.  Use cautiously in patients with hepatic dysfunction. CNS: vertigo. GI: abdominal discomfort, constipation,diarrhea, nausea and vomiting Hematologic: reversible leukopenia, pancytopenia, thrombocytopenia Skin: rash Other: anaphylaxis, angioedema, burning sensation at injection site.  Observe the 10 rights in administering the drug.  Assess GI condition before starting the therapy.  Take drug with or without food.  Take drug once daily at bed time.  Should not be taken with antacid, it may interfere the absorption.
  • 32.
    P a ge | 32 X. DISCHARGE PLANNING MEDICATIONS Penicillin G sodium  Drug of choice in treating scarlet fever.  Inhibits cell wall synthesis during microorganism multiplication.  Contraindicated in patients hypersensitive to this drug. Use cautiously in patients with history of allergy to cephalosporin.  Adverse effects include thrombophlebitis, hemolytic anemia, leucopenia, thrombocytopenia and hypersensitivity reactions.  Monitor V/S, hematopoietic and renal function studies.  Infuse IV drug continuously or intermittently over 30 min. to prevent thrombophlebitis. Enalapril 2.5 mg Tab  For increased blood pressure accompanied by dizziness.  Inhibits the action of angiotensin, which results in decreased vasopressor activity and decreased aldosterone secretion.  Lowers blood pressure.  Contraindicated in patients hypersensitive to drug t and patients with history of angioedema.  Monitor V/S.  Rise slowly to prevent orthostatic hypotension. Nifedipine 5 mg PRN for BP> 130/100 mmHg  For increased blood pressure greater than 130/100mmHg.  Reduces blood pressure and prevents angina.  Contraindicated in patients hypersensitive to drug or any of its components.  Use cautiously in patients in those with heart failure or hypotension.  Adverse effect includes headache, dizziness, flushing, heart failure, hypotension, abdominal discomfort, diarrhea, nausea.  Check first BP before giving.  Avoid taking with grape juice. EXERCISE  Avoid doing strenuous activities.  Active range of motion exercises.  Primary Care giver should assist patient with ADL  Provide time to play and with moderation.  Deep breathing exercise to promote lung expansion and provide oxygenation. TREATMENT MODALITIES  TSB for fever management.  Calamine lotion for itching and dryness of the skin.  Enalapril 2.5 mg for increased blood pressure. HEALTH TEACHINGS PROMOTE PROPER HYGIENE/PREVENTION OF INFECTION  Since the immune system is compromised, every effort should be maintained to prevent infection. Frequent hand washing is the best way to control infection. Wash hands thoroughly with hot, soapy water, especially before eating or preparing food and after using the toilet. Carry an alcohol-based hand sanitizer during times when water is not available.
  • 33.
    P a ge | 33 ADHERE TO TREATMENT REGIMEN  Adherence to the treatment regimen is essential in order to prevent reoccurrence of the disease and to prevent complications. Most common cause of relapse is loss to compliance. Medications should be administered at proper time and proper dosage. PROMOTE SAFETY  Institute safety measures since the patient suffers dizziness and prone to fall and accident. Therefore, patients should not be left alone. Instead they should be with companions all the time. PROPER SKIN CARE  Because of impaired skin integrity due to desquamation, care should be observed not to cause any form of injury to the skin. Any injury will be a good source of infection. Practice proper skin care such as the use of moisturizing soap when bathing or moisturizing lotion to prevent dryness of the skin and avoid too much exposure to sunlight. MEETING NUTRITIONAL AND FLUID NEEDS  Bear in mind the food preferences of the child when planning for menus. Presenting the food in an attractive manner increases the interest of the child. Socialization during meals may also the child’s appetite. OUT PATIENT BASIS TREATMENTS  The patient can have a check-up when signs and symptoms of the disease manifest again. Among the signs and symptoms: Sore throat, fever, swelling of lymph nodes in the nape and rashes. DIET  HIGH PROTEIN and CARBOHYDRATE Since there is marked hypoproteinemia brought about by protein excretion in the urine, diet rich in proteins is highly encouraged. These foods include: egg whites, meat, beans and legumes, etc. School age children are active; their diet must be composing of high carbohydrates to increase their bodies’ caloric demand. Among the source of carbohydrates is bread, rice, pastries.  LOW SALT AND LOW FAT The patient suffers from high blood pressure so care must be considered especially in his diet and safety. Salt must be regulated in the diet because it increases blood volume by attracting more water in the blood circulation and it may cause edema. Low fat in the diet to prevent build up or increase level of triglyceride in the body which is responsible in the formation of atherosclerotic plague in the arteries.  HIGH FLUID Fluid intake must be increased to keep the body hydrated and provide skin moisture and prevents it from drying. It helps the kidney from flushing toxins and existing remnants of previous infection.
  • 34.
    P a ge | 34 XI. UPDATES Health Tip: Treating Strep Throat Suggestions to help you feel better By Diana Kohnle Wednesday,February 2, 2011Related age  Streptococcal Infections (HealthDay News) -- Strep throat can cause a nasty sore throat while you're getting over the associated bacterial infection. The American Academy of Family Physicians says antibiotics are prescribed to treat the infection and help prevent serious complications. The group offers these suggestions,meanwhile, to tame the burn in yourthroat:  Take an over-the-counterpain reliever, such as acetaminophen or ibuprofen (never aspirin for children).  Gargle with a solution of 1/4 teaspoon ofsalt mixed in 1 cup of warm water.  Suck on a ice pop, throat lozenge, or hard candy (but note that these remedies pose a choking hazard to very young children).  Stick to foods that are soft and easy on the throat (applesauce and yogurt are good choices) or warm and soothing (such as broth or tea).  Stay away from anything spicy or acidic.  Get lots of sleep and drink a lot of water. StrepInfection –ExpertsWarned OfDeadly Streptococcal Infection Tuesday, April 12th, 2011 | Postedby MatthewBennett  Strep infections can turn deadly when the immune system mistakes a structure formed by a bacterial protein for a blood clot and overreacts  Infection with some strains of strep turn deadly when a protein found on their surface triggers a widespread inflammatory reaction.  In a report published April 7 in the journal Nature, researchers describe the precise architecture of a superstructure formed when the bacterial protein called M1 links with a host protein, fibrinogen, that is normally involved in clotting blood.  The proteins form scaffolds with M1 joints and fibrinogen struts that assemble into dense superstructures. Frontline immune cells called neutrophils mistake these thick networks for blood clots and overreact, releasing a chemical signal that can dilate vessels to the point where they leak, the team reports.  “We knew that M1 plus fibrinogen was inflammatory, but how was unknown. By determining the structure of this complex, we were able to identify the characteristics that lead to a sepsis response,” said Partho Ghosh, Ph.D., professorof chemistry and biochemistry at the University of California, San Diego who studies the structure of virulence factors and led this project.  Ghosh and colleagues found that the density of the M1-fibrinogen structure was a critical characteristic. Looser structures or separate fibers formed by altered versions of M1 failed to trigger a pathological response.  “This research provides the first snapshot ofthe interaction between this key bacterial virulence factor and its human target at the atomic level,” said Victor Nizet, M.D., professorof pediatrics and pharmacy and a co-authorof the report.  Difficult to treat once they set in, the leaking blood vessels and organ failure of strep-induced toxic shock prove fatal for 30 percent of patients.Ghosh and Nizet have a long-standing collaboration aimed at designing treatments to counteract the toxic effects of strep protein.  Contact: Partho Ghosh pghosh@ucsd.edu University of California – San Diego
  • 35.
    P a ge | 35 XII. BIBLIOGRAPHY Smeltzer, S. C.; Bare, B.; Wilkinson, J. M. Brunner and Suddarth’s textbook of medical– surgical nursing, 10th Edition, Prentice Hall: Nursing Diagnosis Handbook, 8th Ed. Doenges, M. E.; Moorehouse, M. F.; Murr, A. C. (2006) Nursing care plans: Guidelines for individualizing client care across the lifespan. Pennsylvania, F. A. Davis Co. Kee, Joyce Lefever; A Look at Laboratory and Diagnostic Tests with Nursing Implications 17th Edition Internet sources: http://nursingcareplanforpinoy.blogspot.com/2010/11/pathophysiology-signs-and-symptoms_13.html http://www.lifescript.com/Health/A-Z/Conditions_A- Z/Conditions/S/Scarlet_fever.aspx?utm_source=kosmix&utm_medium=cpc&utm_campaign=Health http://emedicine.medscape.com/article/803974-overview#showall http://en.wikipedia.org http://www.nlm.nih.gov/medlineplus/streptococcalinfections.html http://starglobaltribune.com/2011/strep-infection-experts-warned-of-deadly-streptococcal-infection-7705 Homework Help https://www.homeworkping.com/
  • 36.
    P a ge | 36 Math homework help https://www.homeworkping.com/ Research Paper help https://www.homeworkping.com/ Algebra Help https://www.homeworkping.com/ Calculus Help https://www.homeworkping.com/ Accounting help https://www.homeworkping.com/ Paper Help https://www.homeworkping.com/ Writing Help https://www.homeworkping.com/ Online Tutor https://www.homeworkping.com/ Online Tutoring https://www.homeworkping.com/ Homework Help https://www.homeworkping.com/ Math homework help https://www.homeworkping.com/ Research Paper help https://www.homeworkping.com/
  • 37.
    P a ge | 37 Algebra Help https://www.homeworkping.com/ Calculus Help https://www.homeworkping.com/ Accounting help https://www.homeworkping.com/ Paper Help https://www.homeworkping.com/ Writing Help https://www.homeworkping.com/ Online Tutor https://www.homeworkping.com/ Online Tutoring https://www.homeworkping.com/