1
2
Review Factoring Trinomials

Factor the following:


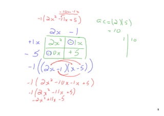
c) 3x2 ­ 5x ­12               d) ­2x2 + 11x ­5




e) 2x2 ­ 6 x +4




                                                 3
4
5
Assignment  from yesterday

Check your copies to be sure you can read the following 
questions:

31. 4x2 ­ 18x ­ 10
33. 3t4 + 9t2 +4t
35. 12r2 + 27r +15
37. 6 + 5y ­ 4y2                41. 6m2 + mn ­ 2 n2
39. 12 + 18t + 8t2              43. 10a2 ­ 3ab ­ b2
                                45. 6c2 + 13cd +2d2
                                47. 6x2 ­ 9xy + 3y2
                                49. 4y2 + 4xy ­ 8x2




                                                           6
Special Products and Special Quadratics

            Squaring binomials

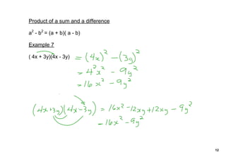
      Product of a sum and difference

            Cube of a Binomial

           Difference of squares

             Perfect Squares

           Difference of squares

            Difference of cubes

              Sum of cubes




                                          7
Squaring Binomials

(a + b)2 = a2  + 2ab + b2 
                              Perfect Square Trinomial
      2    2             2 
(a ­ b) = a  ­ 2ab + b

Example 1

Expand (3x +2y )2




Example 2 

 Expand (3x ­ y )2




                                                         8
Difference of Squares­ A polynomial of the form ( a2 ­ b2).  The factors of 
the difference of squares are ( a2 ­ b2) = (a + b)( a ­ b)

Example 3

Factor   x2 ­ 25




Example 4 

Factor  9x2 ­ 16




                                                                               9
Example 5  Removing a common factor

       8x2 ­ 18y2




                                      10
Example 6

Is 4x2 + 20x + 25 a perfect square?




                                      11
Product of a sum and a difference

a2 ­ b2 = (a + b)( a ­ b)

Example 7

( 4x + 3y)(4x ­ 3y)




                                    12
Cube of a Polynomial

Example 8

(x + 3 )3




                       13
Assignment

page 133 questions 1 ­12  
page 112 questions 1­4, 17 ­ 23 (odd), 31 ­42 (odd)
page 141 questions  94


                     Quiz on Friday.




                                                      14

5 Polynomial Feb 22