„Projekt współfinansowany ze środków Europejskiego Funduszu Społecznego”
MINISTERSTWO EDUKACJI
NARODOWEJ
Ewa Jatczak
Przygotowanie produkcji cukierniczej
741[01].Z1.01
Poradnik dla ucznia
Wydawca
Instytut Technologii Eksploatacji – Państwowy Instytut Badawczy
Radom 2007
„Projekt współfinansowany ze środków Europejskiego Funduszu Społecznego”
1
Recenzenci:
mgr inż. Maria Groen
dr inż. Janina Potiopa
Opracowanie redakcyjne:
mgr inż. Joanna Kośka
Konsultacja:
mgr inż. Barbara Kapruziak
Poradnik stanowi obudowę dydaktyczną programu jednostki modułowej Przygotowanie
produkcji cukierniczej 741[01].Z1.01 zawartego w modułowym programie nauczania dla
zawodu cukiernik
Wydawca
Instytut Technologii Eksploatacji – Państwowy Instytut Badawczy, Radom 2007
„Projekt współfinansowany ze środków Europejskiego Funduszu Społecznego”
2
SPIS TREŚCI
1. Wprowadzenie 3
2. Wymagania wstępne 5
3. Cele kształcenia 6
4. Materiał nauczania 7
4.1 Charakterystyka zakładów cukierniczych i ciastkarskich 7
4.1.1. Materiał nauczania 7
4.1.2. Pytania sprawdzające 14
4.1.3. Ćwiczenia 15
4.1.4. Sprawdzian postępów 18
4.2. Higiena i bezpieczeństwo w zakładzie cukierniczym 19
4.2.1. Materiał nauczania 19
4.2.2. Pytania sprawdzające 28
4.2.3. Ćwiczenia 29
4.2.4. Sprawdzian postępów 31
4.3. Rozliczenie produkcji w zakładzie cukierniczym 32
4.3.1. Materiał nauczania 32
4.3.2. Pytania sprawdzające 43
4.3.3. Ćwiczenia 43
4.3.4. Sprawdzian postępów 47
5. Sprawdzian osiągnięć 48
6. Literatura 53
„Projekt współfinansowany ze środków Europejskiego Funduszu Społecznego”
3
1. WPROWADZENIE
Poradnik będzie Ci pomocny w przyswajaniu wiedzy o przygotowaniu produkcji
cukierniczej, z uwzględnieniem kierunków rozwoju cukiernictwa, struktury organizacyjnej
zakładu, norm, receptur, dokumentacji produkcyjnej i rozliczeniowej, przepisów
bezpieczeństwa i higieny pracy oraz systemów jakości.
Poradnik ten zawiera:
1. Wymagania wstępne, czyli wykaz niezbędnych umiejętności i wiadomości, które
powinieneś mieć opanowane, aby przystąpić do realizacji tej jednostki modułowej.
2. Cele kształcenia jednostki modułowej.
3. Materiał nauczania, który umożliwia samodzielne przygotowanie się do wykonania
ćwiczeń i udzielenia prawidłowych odpowiedzi na pytania testowe. Materiał jest
podzielony na trzy bloki, a w obrębie każdego z nich znajdują się również pytania
sprawdzające, przygotowujące do wykonania ćwiczenia oraz opis sposobu wykonania
ćwiczenia wraz z wykazem materiałów, narzędzi i sprzętu potrzebnego do jego realizacji.
Na podsumowanie każdego bloku materiału znajduje się także sprawdzian postępów,
który ma Ci uświadomić, czy opanowałeś materiał. Powinieneś poszerzać swoją wiedzę
i w tym celu korzystaj z różnych źródeł informacji, również ze wskazanej w ostatnim
rozdziale literatury.
Jeżeli masz trudności ze zrozumieniem tematu lub ćwiczenia, to poproś nauczyciela lub
instruktora o wyjaśnienie i ewentualne sprawdzenie, czy dobrze wykonujesz daną czynność.
Po przerobieniu materiału spróbuj zaliczyć sprawdzian z zakresu jednostki modułowej.
Jednostka modułowa: Przygotowanie produkcji cukierniczej, której treści teraz poznasz
jest jednym z dwóch jednostek modułowych koniecznych do zapoznania się z organizacją
produkcji.
W czasie pobytu w pracowni (klasa, pracownia informatyczna), musisz przestrzegać
regulaminów, przepisów bhp oraz instrukcji przeciwpożarowych, wynikających z rodzaju
wykonywanych prac. Przepisy te poznasz w trakcie trwania nauki.
„Projekt współfinansowany ze środków Europejskiego Funduszu Społecznego”
4
Schemat układu jednostek modułowych
741[01].Z1
Organizacja produkcji
741[01].Z1.01
Przygotowanie produkcji cukierniczej
741[01].Z1.02
Przygotowanie surowców i półproduktów do
produkcji wyrobów cukierniczych
„Projekt współfinansowany ze środków Europejskiego Funduszu Społecznego”
5
2. WYMAGANIA WSTĘPNE
Przystępując do realizacji programu jednostki modułowej powinieneś umieć:
− korzystać z różnych źródeł informacji,
− rozróżniać surowce i materiały pomocnicze w przetwórstwie spożywczym,
− charakteryzować zagrożenia związane z wykonywaniem pracy oraz ochroną środowiska,
− definiować pojęcie norma i normalizacja,
− interpretować informacje zawarte w normach dotyczące przetwórstwie spożywczym,
korzystać z norm,
− wymieniać systemy jakości stosowane w przetwórstwie spożywczym,
− określać rodzaje zagrożeń dla bezpieczeństwa zdrowotnego gotowych produktów
w przetwórstwie spożywczym
− stosować systemy jakości obowiązujące w przetwórstwie spożywczym,
− określać znaczenie składników pokarmowych dla organizmu człowieka,
− obliczać wartość energetyczną produktów spożywczych,
− obsługiwać komputer (włączyć, wyłączyć, uruchomić program, zapisać pliki),
− korzystać z arkusza kalkulacyjnego (poruszać się po komórkach arkusza, wykorzystywać
podstawowe funkcje).
„Projekt współfinansowany ze środków Europejskiego Funduszu Społecznego”
6
3. CELE KSZTAŁCENIA
W wyniku realizacji programu jednostki modułowej powinieneś umieć:
− określić znaczenie oraz kierunki rozwoju produkcji cukierniczej,
− obliczyć wartość energetyczną wyrobów cukierniczych i ciastkarskich,
− określić metody kontroli jakości produkcji wyrobów cukierniczych,
− określić sposoby utrzymania czystości w zakładzie cukierniczym,
− dobrać środki ochrony indywidualnej w zależności od rodzaju wykonywanej pracy
w zakładzie cukierniczym,
− zorganizować stanowisko pracy zgodnie z wymaganiami ergonomii w zakładzie
cukierniczym,
− skorzystać z receptur, norm zużycia opakowań oraz informacji zamieszczonych
w instrukcjach technologicznych dotyczących produkcji ilość zakładów cukierniczych,
− obliczyć ilość surowców potrzebnych do produkcji określonej ilości półproduktów,
wyrobów cukierniczych i ciastkarskich,
− obliczyć ilość opakowań do określonej produkcji cukierniczej,
− określić strukturę zakładów cukierniczych i ciastkarskich,
− określić rolę działu produkcyjnego i działów pomocniczych w zakładzie cukierniczym,
− rozróżnić wzory druków niezbędnych do sporządzania dokumentacji produkcyjnej,
− wypełnić formularze związane z prowadzeniem dokumentacji produkcyjnej
i rozliczeniowej,
− obliczyć zużycie surowców i opakowań w zakładzie cukierniczym,
− określić znaczenie kontroli zużycia surowców opakowań w zakładzie cukierniczym.
„Projekt współfinansowany ze środków Europejskiego Funduszu Społecznego”
7
4. MATERIAŁ NAUCZANIA
4.1. Charakterystyka zakładów cukierniczych i ciastkarskich
4.1.1. Materiał nauczania
Kierunki rozwoju produkcji cukierniczej
Początek cukiernictwa sięga dalekiej przeszłości. Ponieważ najpierw rozwijała się
produkcja pieczywa, dlatego przypuszcza się, że wyroby ciastkarskie pochodzą od nich. Wraz
z upływem czasu ciasto przeznaczone do wypieku pieczywa wzbogacano dodatkiem miodu
pszczelego otrzymując wyrób zbliżony do miodowników. W ten sposób poprzez zastosowanie
nowego surowca uległ rozszerzeniu asortyment pieczywa cukierniczego.
W Europie w XI wieku w miejscowości Salerno Arabowie założyli pierwszą szkołę
cukierniczą. Rozwój ciastkarstwa na ziemiach polskich datuje się od XVII i XVIII wieku
dzięki imigracji włoskiej, głównie z Wenecji i Salerno. Uczniowie uzyskiwali umiejętność
otrzymywania cukru z trzciny cukrowej, sporządzania soków, konfitur, lekarstw, ponieważ
miód i cukier traktowane były w tym czasie jako środki lecznicze.
Na początku XIX wieku w polskich dworach istniały dwie apteczki – w jednej
przechowywano nalewki i medykamenty, a w drugiej – zwanej „apteczka przyjemną” –
korzenie (przyprawy), migdały, rodzynki, owoce cytrusowe (obtaczane roztopionym woskiem,
aby długo pozostały świeże), zamorski cukier trzcinowy, zwany kanarem (od Wysp
Kanaryjskich), a także wielkie głowy cukru buraczanego. Cukier był jednak drogi i dlatego
tradycyjnie słodzono potrawy miodem lub melasą domowego wyrobu.
Dzięki odkryciom geograficznym w Europie pojawiły się tzw. przyprawy korzenne (np.
goździki, cynamon, imbir, pieprz). Zastosowanie ich w ciastkarstwie spowodowało
wyprodukowanie nowego wyrobu – pierników w takich miastach jak Gdańsk, Tuła, Norymbergia,
Toruń. Do dnia obecnego Toruń jest głównym ośrodkiem produkcji pierników w Polsce.
W XIX wieku przemysł cukierniczy zaczął się bardzo szybko rozwijać dzięki rozpoczęciu
otrzymywania cukru na skalę przemysłową z buraka cukrowego. Pierwsza cukrownia
wykorzystująca jako źródło sacharozy buraka cukrowego powstała w Kowarach na Dolnym
Śląsku. Cukier jako podstawowy surowiec ciastkarski przestał być towarem luksusowym,
wyroby cukiernicze, dzięki niższej cenie, zaczęły być dostępne szerszej grupie odbiorców, co
sprzyjało rozwojowi starych i powstawaniu nowych zakładów rzemieślniczych.
Kolejnym etapem w rozwoju produkcji wyrobów cukierniczych był rozwój techniki
związanej z uzyskiwaniem jasnych gatunków mąki.
W Polsce w okresie międzywojennym powstały fabryki wyrobów cukierniczych
produkujących z cukru, przetworów owocowych, wyrobów czekoladowych różnorodny
asortyment cukierków, galaretek, wyrobów wschodnich np. chałwy itp.
Obecnie produkcję można podzielić na dwa rodzaje zakładów: przemysłowe
i rzemieślnicze. Pierwsze z nich produkują wyroby trwałe, wymagające linii technologicznych
i dużej mechanizacji (np. produkujące wyroby wschodnie, cukierki, wyroby czekoladowe
i czekoladę, pierniki, wafle), drugie to małe zakłady produkujące wyroby nietrwałe, o dużym
nakładzie pracy ludzkiej (np. wyroby sztukowe z ciast drożdżowych, kruchych, francuskich).
Ciastkarstwo i cukiernictwo w dalszym ciągu rozwija się poprzez stosowanie nowych
dodatków, dekoracji, opakowań, które mają za zadanie przyciągać oko potencjalnych klientów
i spełnią oczekiwania jak największej rzeszy odbiorców.
Cukiernictwo jest jedną z kilkunastu branż przemysłu spożywczego, które są ze sobą
ściśle związane i wzajemnie zależne. Końcowe produkty jednej branży przemysłu są
„Projekt współfinansowany ze środków Europejskiego Funduszu Społecznego”
8
niejednokrotnie podstawowymi surowcami lub materiałami pomocniczymi dla innej branży.
Cukiernictwo jest przemysłem wyjątkowo przetwórczym, ponieważ przerabia ponad sto
różnych surowców na setki wyrobów.
Poszczególne grupy surowców są dostarczane przez następujące branże przemysłu
spożywczego:
− cukier biały, cukier biały przemysłowy, cukier rafinowany – przemysł cukrowniczy,
− syropy skrobiowe, glukoza krystaliczna, mączka ziemniaczana – przemysł ziemniaczany
(skrobiowy),
− mleko spożywcze, mleko w proszku, śmietana, masło – przemysł mleczarski,
− mąka pszenna, mąka żytnia – przemysł zbożowo-młynarski,
− tłuszcz cukierniczy, margaryna, ceres, oleje roślinne, lecytyna, smalec – przemysł
tłuszczowy,
− pulpy owocowe, przeciery owocowe, konfitury, dżemy, marmolada, owoce kandyzowane,
soki owocowe zagęszczone, koncentraty owocowe – przemysł owocowo-warzywny,
− jaja kurze, masa jajowa pasteryzowana mrożona, jaja w proszku, białka w proszku, żółtka
w proszku – przemysł jajczarski,
− korzeń mydlnicy, liść podbiału, korzeń żywokostu, korzeń prawoślazu, olejek miętowy,
mentol, esencje spożywcze, owoc kminku, owoc kopru włoskiego, owoc anyżu – przemysł
zielarski,
− spirytus rektyfikowany, likiery, rum, drożdże piekarskie prasowane, suszone lub mrożone
– przemysł spirytusowy,
− wina (wermuty) – przemysł winiarski,
− żelatyna spożywcza – przemysł paszowy,
− preparaty witaminowe, etylowanilina, ryż preparowany, ekstrakt kawy naturalnej –
przemysł koncentratów spożywczych,
− ekstrakt słodowy – przemysł piwowarsko-słodowy.
Klasyfikacja zakładów cukierniczych
Ze względu na wyposażenie techniczne i zakres mechanizacji produkcji wyróżnia się:
− zakłady typu rzemieślniczego – są to zakłady zaopatrzone jedynie w podstawowe maszyny
i urządzenia; w zakładach tego typu wiele czynności wykonywanych jest ręcznie przez
człowieka,
− zakłady typu przemysłowego – wyposażone w liczne maszyny i urządzenia,
zmechanizowane linie produkcyjne; w zakładach tych praca człowieka sprowadza się do
sterowania maszynami i urządzeniami.
Ze względu na asortyment produkcji wyróżnia się:
− zakłady specjalistyczne – produkujące wyroby należące do jednej grupy (np. cukiernia
produkująca pierniki),
− zakłady wąskoasortymentowe – produkujące niewiele (2 – 3 grupy wyrobów),
− zakłady szerokoasortymentowe – produkujące wiele różnorodnych wyrobów (cukiernie
rzemieślnicze).
Ze względu na zdolność produkcyjną wyróżnia się zakłady:
− małe – np. cukiernie produkujące do 6 t wyrobów,
− średnie – np. cukiernie produkujące do 12 t wyrobów,
− duże – np. cukiernie produkujące powyżej 12 t wyrobów.
„Projekt współfinansowany ze środków Europejskiego Funduszu Społecznego”
9
Zdolność produkcyjna – to maksymalna ilość wyrobów umownych odpowiadających
normom jakości, jaką można wyprodukować w określonym czasie, przy optymalnym
wykorzystaniu podstawowych urządzeń produkcyjnych oraz stosowaniu odpowiednich
technologii i organizacji pracy.
W ciastkarstwie – za wyrób umowny przyjmuje się wyroby drożdżowe lub francuskie
o masie 50 g.
Zadaniem technologii jest ustalenie takiego procesu produkcyjnego w zakładzie, który
pozwoli otrzymywać wyrób gotowy wysokiej jakości, w miarę tanio i szybko.
Technolog jest organizatorem procesu produkcyjnego w zakładzie. Zakres jego
obowiązków zależy od zajmowanego stanowiska (np. technolog główny, technolog
zmianowy).
surowce półprodukty wyroby gotowe
Rys. 1. Schemat blokowy zakładu cukierniczego typu rzemieślniczego
Pojęcia technologiczne:
− technologia (z gr. Rzemiosło) – to nauka, która zajmuje się metodami produkcji (sztuką
wytwarzania wyrobów),
Dostawy
Myjnia sprzętu
Magazyn
surowców
Przygotowalnia
półproduktów
Odrabiarnia
Piecownia
Wykończalnia
(deserownia)
Magazyn wyrobów
gotowych
Dezynfekcja
jaj
Komora
fermentacyjna
Pakowanie
Magazyn
opakowań
Myjnia
pojemników
Magazyn
opakowańOdbiorcy
„Projekt współfinansowany ze środków Europejskiego Funduszu Społecznego”
10
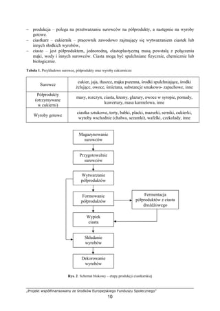
− produkcja – polega na przetwarzaniu surowców na półprodukty, a następnie na wyroby
gotowe.
− ciastkarz – cukiernik – pracownik zawodowo zajmujący się wytwarzaniem ciastek lub
innych słodkich wyrobów,
− ciasto – jest półproduktem, jednorodną, elastoplastyczną masą powstałą z połączenia
mąki, wody i innych surowców. Ciasta mogą być spulchniane fizycznie, chemicznie lub
biologicznie.
Tabela 1. Przykładowe surowce, półprodukty oraz wyroby cukiernicze:
Surowce
cukier, jaja, tłuszcz, mąka pszenna, środki spulchniające, środki
żelujące, owoce, śmietana, substancje smakowo- zapachowe, inne
Półprodukty
(otrzymywane
w cukierni)
masy, rozczyn, ciasta, kremy, glazury, owoce w syropie, pomady,
kuwertury, masa karmelowa, inne
Wyroby gotowe
ciastka sztukowe, torty, babki, placki, mazurki, serniki, cukierki,
wyroby wschodnie (chałwa, sezamki), wafelki, czekolady, inne
Rys. 2. Schemat blokowy – etapy produkcji ciastkarskiej
Fermentacja
półproduktów z ciasta
drożdżowego
Wypiek
ciasta
Dekorowanie
wyrobów
Magazynowanie
surowców
Przygotowalnie
surowców
Wytwarzanie
półproduktów
Formowanie
półproduktów
Składanie
wyrobów
„Projekt współfinansowany ze środków Europejskiego Funduszu Społecznego”
11
Działy zakładów cukierniczych i ciastkarskich
Każda ciastkarnia niezależnie od wielkości produkcji oraz rozmiarów bazy lokalowej
składa się z pomieszczeń przystosowanych do wykonywania zabiegów (czynności
technologicznych, pomieszczeń magazynowych oraz tzw. zaplecza socjalno-
administracyjnego .
Poniżej przedstawione są działy jakie powinny występować w zakładzie cukierniczym.
Dział produkcyjny
− przygotowalnia półproduktów – w której z surowców przygotowywane są masy, kremy,
ciasta, pomady i inne półprodukty,
− odrabiania – w której półprodukty poddaje się obróbce, np. kształtowaniu, przygotowaniu
do wypieku,
− komora fermentacyjna (rozrostownia, garownia) – w której następuje rozrost
ukształtowanych wyrobów z ciasta drożdżowego,
− piecownia – w której odbywa się wypiek,
− deserownia (wykończalnia) – w której z półproduktów składa się wyroby gotowe
i dekoruje je.
Dział magazynowy
− magazyn surowców,
− magazyn wyrobów gotowych,
− magazyn opakowań,
− magazyn techniczny.
Dział administracyjny
− pomieszczenia biurowe,
− zaplecze socjalne dla pracowników nieprodukcyjnych.
Dział socjalny
− szatnia czysta i brudna,
− węzły sanitarne (toalety, prysznice),
− pomieszczenie śniadań.
Cechy charakterystyczne poszczególnych działów
Magazyny
Magazyn surowców
Można w nim wyróżnić: magazyn główny, podręczny i dobowy.
Różnorodność surowców zużywanych do produkcji ciastkarskiej i cukierniczej wymaga
takiego doboru miejsca ich składowania, aby w czasie przechowywania nie utraciły swoich
cech i właściwości, nie uległy zepsuciu i aby mogły być gotowe do użycia w każdym czasie.
Ogólnie pomieszczenia magazynowe powinny być chłodne, suche i przewiewne,
zabezpieczone przed działaniem promieni słonecznych. W magazynie powinny być
wydzielone stałe miejsca składowania poszczególnych rodzajów surowców.
Miejsce przeznaczone na składowanie surowców dostarczanych w workach (mąka
pszenna, mąka żytnia, cukier, mąka ziemniaczana, mak, ziarno kakaowe i inne) – powinno
być wyposażone w drewniane podesty i drewniane kratki uniemożliwiające stykanie się
worków ze ścianami. Swobodny dopływ powietrza do tych surowców pozwala na
zapobieganie niekorzystnym zmianom w czasie przechowywania (np. „zagrzewaniu się
mąki”.
Do przechowywania surowców dostarczanych w kartonach, butelkach, puszkach
i podobnych opakowaniach (np. marmolada, syrop ziemniaczany, substancje smakowo-
-zapachowe) przeznacza się regały, w które również powinien być wyposażony magazyn.
„Projekt współfinansowany ze środków Europejskiego Funduszu Społecznego”
12
W ciastkarniach znaczny udział w surowcach zużywanych do produkcji stanowią:
tłuszcze, jaja, drożdże, które powinny być magazynowane w niskich temperaturach (np.
tłuszcze, ser, jaja od 0 do 4o
C) i dlatego magazyn koniecznie musi być wyposażony w komory
chłodnicze zabezpieczające przed zepsuciem tych surowców. Jaja nie powinny być
przechowywane wraz z innymi surowcami, dlatego muszą przynajmniej występować dwie
komory chłodnicze, jedna dla jaj, druga dla tłuszczu i drożdży. Jeśli w zakładzie
wykorzystywane są surowce mrożone (np. masa jajowa mrożona, drożdże mrożone, owoce
mrożone) konieczne jest wyposażenie magazynu w zamrażarkę, gdzie temperatura
składowania byłaby poniżej 0o
C.
W magazynie podręcznym powinny znajdować się surowce wykorzystywane
w niewielkich ilościach, drogie (np. orzechy, migdały, spirytus).
Magazyn dobowy jest zwłaszcza konieczny w zakładzie, gdzie praca jest kilkuzmianowa
Usytuowany jest w bezpośredniej bliskości działu produkcyjnego. Gromadzi się w nim
surowce zapewniające ciągłość produkcji na czas jednej doby. Wyposażenie podobne jest jak
w magazynie głównym, jego wielkość jest jednak znacznie mniejsza.
Nie należy wykorzystywać całej powierzchni magazynowej do składowania surowców.
Około 30% powierzchni magazynu należy przeznaczyć na układ wewnętrznej komunikacji
zabezpieczającej swobodny dostęp do wszystkich magazynowanych surowców.
Magazyn opakowań
Ten magazyn można podzielić na magazyn surowców wtórnych, opakowań, pojemników.
W magazynie surowców wtórnych gromadzone są wszelkie opakowania podlegające
zwrotowi lub odsprzedaży, np. skrzynki po jajach, beczki po miodzie, syropie skrobiowym,
opakowania po przetworach owocowych, skrzynki po drożdżach, worki po surowcach
sypkich.
W magazynie opakowań przechowywane są np. opakowania jednostkowe, zbiorcze,
papier do wykładania pojemników, czyli te surowce, które służą do zapakowania wyrobu dla
odbiorcy. Ten magazyn powinien znajdować się w pobliżu deserowi i magazynu wyrobów
gotowych. Powinien być wyposażony w regały.
Magazyn pojemników powinien znajdować się obok deserowi i magazynu wyrobów
gotowych oraz myjni pojemników. Powinny znajdować się w nim wózki do układania
pojemników ciastkarskich.
Magazyn wyrobów gotowych
Magazyn wyrobów gotowych przeznaczony jest do gromadzenia wyrobów wykonanych
w cukierni. Magazyn ten jest przystosowany do pakowania wyrobów w opakowania zbiorcze,
w których towar ekspediowany jest do odbiorców. Ze względu na wymagania higieniczno
sanitarne z magazynem wyrobów gotowych współpracuje myjnia pojemników zapewniająca
układanie wyrobów wyłącznie do czystych opakowań. Wyposażenie stanowią regały oraz
komory chłodnicze przeznaczone do przechowywania wyrobów kremowych. Ze względu na
spełnianą funkcję powinien mieć oddzielne wejście (ekspedycja wyrobów gotowych) oraz
połączenie z działem wykończającym wyroby gotowe.
Magazyn techniczny
W takim magazynie, przeważnie na regałach znajdować się powinny części zamienne do
maszyn i urządzeń, zapasowy drobny sprzęt, środki i materiały do utrzymania czystości.
„Projekt współfinansowany ze środków Europejskiego Funduszu Społecznego”
13
Działy produkcyjne (pracownia)
W dużym zakładzie cukierniczym, w którym zużycie cukru pudru jest duże (np.
produkcja cukierków pudrowych, produkcja biszkoptów w zakładach San w Jarosławiu)
cukier puder mielony jest na miejscu. Takie działanie jest korzystne zarówno z powodów
ekonomicznych (cukier kryształ jest tańszy od cukru pudru) jak i technologicznych (cukier
puder jest higroskopijny i dlatego łatwo chłonie wilgoć z otoczenia zbrylając się, dlatego nie
można go długo magazynować). Mielenie cukru musi odbywać się w oddzielnym
pomieszczeniu, które zaopatrzone jest w wentylatory przeciwwybuchowe. Drobny pył
cukrowy jest mieszanką wybuchową.
Przygotowalnia półproduktów
W przygotowalni półproduktów sporządza się między innymi ciasta, masy makowe,
serowe, kremy. Zalecane jest oddzielenie miejsca w których sporządza się kremy od miejsca
sporządzania ciast. Powinno być również wydzielone miejsce do dezynfekcji jaj.
Ta część pracowni powinna być wyposażona w ubijarkę (sporządzanie kremów, ciast),
trójwalcówkę (miażdżenie maku, orzechów, migdałów), wilk (rozdrabnianie sera),
przesiewacz do mąki.
W przygotowalni mają swój początek procesy technologiczne wszystkich wyrobów
wykonywanych w ciastkarni.
Odrabiarnia
Jest to część działu produkcyjnego wyposażonego w stoły produkcyjne, wałkowarkię oraz
urządzenia formujące (zaokrąglarkę, wydłużarkę, rogalikarkę). Na stołach odbywa się
formowanie półproduktów takich jak: np. blaty kruche, francuskie, biszkoptowe,
biszkoptowo–tłuszczowe, ciastka drożdżowe, strucle).
Odrabiarnia powinna być wyposażona w wózki etażowe, regały, stojaki, drobny sprzęt
przeznaczony do formowania wyrobów (wycinacze, wałki, zdobniki, szablony).
W dużym zakładzie cukierniczym typu przemysłowego, gdzie jest duży stopień
mechanizacji urządzenia kształtujące, formujące i wykończające ustawione są w linii
technologicznej i znajdują się oczywiście w jednym pomieszczeniu. W takim zakładzie
podział działów produkcyjnych będzie inny niż w zakładzie rzemieślniczym, zazwyczaj
związany jest z produkowanym wyrobem, np. dział produkcji czekolady, dział chałwowy,
dział karmelarski.
Piecownia
Jest to część wydzielona do obróbki termicznej. Głównym jej wyposażeniem jest piec,
oraz w przypadku produkcji wyrobów drożdżowych – komora fermentacyjna. Piec
cukierniczy powinien umożliwiać wypiek w różnych temperaturach.
Deserownia (wykończalnia wyrobów)
Ten dział jest przeznaczony przede wszystkim do składania wypieczonych półproduktów
na określone rodzaje ciastek, tortów itp.
Podstawowe wyposażenie deserowni stanowią stoły produkcyjne, stojaki do ustawiania
kotłów i pojemników z kremami, przetworami owocowymi, masami, wózki etażowe i regały
przyścienne do układania wyrobów na deskach produkcyjnych. Deserownia powinna być
również wyposażona w zdobniki metalowe i woreczki do wyciskania kremów, noże,
kopyście, wałki.
Ze względu na konieczność schładzania wyrobów, nawet w czasie cyklu wytwarzania
(np. wyroby wykończone galaretką) powinna w deserowni znajdować się komora chłodnicza.
„Projekt współfinansowany ze środków Europejskiego Funduszu Społecznego”
14
Z pracownią powinna łączyć się myjnia sprzętu produkcyjnego. Jest to pomieszczenie
wyposażone w basen (do mycia kotłów), zlewy, wodę bieżącą gorącą i zimną oraz regały do
suszenia wymytego sprzętu. Coraz częściej zakłady rzemieślnicze wyposażane są w zmywarki
elektryczne. W myjni odbywa się mycie i wyparzanie drobnego sprzętu ciastkarskiego
(woreczki, zdobniki, noże, wycinacze).
Dział socjalny
Dział socjalny obejmuje pomieszczenia szatni, węzły sanitarne (toalety, umywalki,
prysznice), pomieszczenie śniadań (spożywanie posiłków w czasie przerwy w pracy). Każda
szatnia powinna składać się z dwóch części: w pierwszej (tzw. szatnia brudna) pracownicy
pozostawiają odzież domową, przechodzą do pomieszczeń natrysków i po kąpieli, w drugiej
części (tzw. szatnia czysta) zakładają odzież roboczą.
Dział administracyjny
Dział administracyjny jest to część zakładu, w którym wykonywane są czynności
związane z kierowaniem, administrowaniem i rozliczaniem ciastkarni. Pracownicy
administracyjni powinni mieć oddzielne wejście i część sanitarną.
Przedstawiony na schemacie 1 wewnętrzny układ poszczególnych pomieszczeń ciastkarni
wyczerpuje całokształt zagadnień związanych z organizacją pracy. Jest on identyczny nawet
w przypadku wyposażenia ciastkarni w znaczną ilość specjalistycznych maszyn i urządzeń
ustawionych w sposób odpowiedni do produkcji potokowej – czyli ustawione są linie
produkcyjne.
Przy znacznym stopniu umaszynowienia w cukierni może występować tzw. zaplecze
techniczne tj. warsztat przeznaczony do wykonywania niezbędnych napraw maszyn
i urządzeń oraz okresowej ich konserwacji.
4.1.2. Pytania sprawdzające
Odpowiadając na pytania, sprawdzisz, czy jesteś przygotowany do wykonania ćwiczeń.
1. Zastosowanie jakich surowców spowodowało rozwój cukiernictwa?
2. Z jakimi gałęziami przemysłu współpracuje przemysł cukierniczy wykorzystując ich
produkcję?
3. Jakie działy wyodrębniamy w cukierni?
4. Jakie pomieszczenia magazynowe występować mogą w zakładzie ciastkarskim?
5. Jak podzielony może być magazyn surowców?
6. W jaki sposób przechowywane powinny być wyroby sypkie?
7. W jaki sposób przechowywane powinny być wyroby nietrwałe?
8. Gdzie gromadzimy surowce podlegające zwrotowi, np. beczki po syropie ziemniaczanym?
9. Jakie surowce przechowujemy w chłodniach?
„Projekt współfinansowany ze środków Europejskiego Funduszu Społecznego”
15
4.1.3. Ćwiczenia
Ćwiczenie 1
Pewne zdarzenia w przeszłości były motorem postępu i rozwoju cukiernictwa,
przeanalizuj je i przyporządkuj podanym w tabeli zdarzeniom, jaki surowiec (surowce) został
zastosowany w cukiernictwie, dzięki czemu nastąpił rozwój i urozmaicenie wyrobów
cukierniczych.
Sposób wykonania ćwiczenia
Aby wykonać ćwiczenie, powinieneś:
1) zapoznać się materiałem zawartym w punkcie 4.1.1,
2) narysować tabelę według wzoru,
3) wypełnić puste pola dobierając surowiec związany z danym zdarzeniem, który wpłynął na
rozwój przemysłu cukierniczego,
4) zaprezentować wykonane ćwiczenie.
Wyposażenie stanowiska pracy:
− materiały i przybory do pisania,
− literatura poz. 3, 2, 6 z rozdziału 6 poradnika.
Ćwiczenie 2
Cukiernictwo jest przemysłem wykorzystującym jako surowiec produkty wielu gałęzi
przemysłu spożywczego. Dobierz surowce cukiernicze do przemysłu spożywczego, który je
produkuje (lub odwrotnie).
Zdarzenie Surowiec
Dodanie środka słodzącego do pieczywa
(miodowniki)
Odkrycia geograficzne
Rozwój młynarstwa
Powstanie pierwszej cukrowni w Kowarach na
Dolnym Śląsku
Przemysł produkujący surowce Surowiec wykorzystywany w cukiernictwie
jajczarski
likiery, rum, spirytus
cukrowniczy
zielarski
syrop skrobiowy, mąka ziemniaczana
młynarsko-zbożowy
marmolada, koncentraty owocowe
„Projekt współfinansowany ze środków Europejskiego Funduszu Społecznego”
16
Sposób wykonania ćwiczenia
Aby wykonać ćwiczenie, powinieneś:
1) zapoznać się materiałem zawartym w punkcie 4.1.1,
2) narysować tabelę według. wzoru,
3) wypełnić puste pola dobierając surowiec związany z danym przemysłem, który jest
wykorzystywany w cukiernictwie, lub dobrać przemysł do surowca,
4) zaprezentować wykonane ćwiczenie.
Wyposażenie stanowiska pracy:
− tablice z gałęziami przemysłu spożywczego,
− rzutnik (projektor) z tabelami przemysłu spożywczego w powiązani z produkowanymi
przez nich asortymentami,
− karteczki z zapisanymi surowcami i gałęziami przemysłu spożywczego (przy zastosowa-
niu gier dydaktycznych,
− materiały i przybory do pisania,
− literatura poz. 6 z rozdziału 6 poradnika.
Ćwiczenie 3
Przeanalizuj działy występujące w ciastkarni i przedstaw je w formie diagramu.
Sposób wykonania ćwiczenia
Aby wykonać ćwiczenie, powinieneś:
1) zapoznać się materiałem zawartym w punkcie 4.1.1,
2) narysować diagram według wzoru,
3) uzupełnić diagram wpisując działy występujące w zakładzie cukierniczym w miejsce „?”,
4) zaprezentować wykonane ćwiczenie.
Wyposażenie stanowiska pracy:
− literatura poz. 3 z rozdziału 6 poradnika
− przybory rysunkowe,
− stanowiska komputerowe,
− rzutnik multimedialny z komputerem.
Ćwiczenie 4
Opracuj schemat rozmieszczenia pomieszczeń w zakładzie cukierniczym.
Sposób wykonania ćwiczenia
Aby wykonać ćwiczenie, powinieneś:
1) przygotować kartkę papieru technicznego formatu A4 – gładką,
Zakład produkcyjny
Dział
?
Dział
?
Dział
?
Dział
?
„Projekt współfinansowany ze środków Europejskiego Funduszu Społecznego”
17
2) narysować prostokąt o wymiarach 16 cm x 25 cm– będą to ściany zewnętrzne zakładu,
3) zapoznać się materiałem zawartym w punkcie 4.1.1,
4) zaznaczyć wejście do zakładu (powinno być inne dla osób bezpośrednio produkcyjnych
i administracji),
5) zaznaczyć poszczególne działy, wykorzystać w tym celu informacje zawarte w punkcie
4.1.1 i schemacie nr 1 i 2,
6) poszczególne pomieszczenia (działy) zaznaczyć prostokątami ponumerowanymi 1, 2, 3 …
i wykonać legendę,
7) podpisać swoim imieniem i nazwiskiem, klasą oraz numerem z dziennika,
8) zaprezentować wykonane ćwiczenie.
Wyposażenie stanowiska pracy:
− literatura,
− plansze przedstawiające przykładowe schematy zakładów cukierniczych,
− przybory rysunkowe i piśmienne,
− stanowiska komputerowe,
− drukarka.
Ćwiczenie 5
Dobierz pomieszczenie do sprzętu, maszyn lub urządzeń, w którym powinny one zostać
umieszczone:
ubijaczka –
palety drewniane –
części zapasowe maszyn –
ubranie zwierzchnie –
jaja –
marmolada –
wykończone torty –
komora rozrostowa –
Sposób wykonania ćwiczenia
Aby wykonać ćwiczenie, powinieneś:
1) zapoznać się materiałem zawartym w punkcie 4.1.1,
2) po myślniku napisać, w jakim pomieszczeniu zakładu cukierniczego dane urządzenie,
surowiec, rzecz itp. powinno się znajdować,
3) zaprezentować wykonane ćwiczenie.
Wyposażenie stanowiska pracy:
− materiały piśmienne,
− tablice ze schematami pomieszczeń cukierni,
− tablice z wyposażeniem poszczególnych pomieszczeń cukierni.
„Projekt współfinansowany ze środków Europejskiego Funduszu Społecznego”
18
4.1.4. Sprawdzian postępów
Czy potrafisz: Tak Nie
1) powiązać rozwój przemysłu cukrowniczego z historią, odkryciami
naukowców, podróżników? ! !
2) określić powiązania między różnymi gałęziami przemysłu
spożywczego z cukierniczym? ! !
3) zdefiniować pojęcie technologia? ! !
4) zdefiniować pojęcie ciasto? ! !
5) wymienić pomieszczenia magazynowe? ! !
6) wymienić działy występujące w zakładzie cukierniczym? ! !
7) określić rolę działu produkcyjnego i działów pomocniczych? ! !
8) wymienić podstawowe wyposażenie poszczególnych działów
(pomieszczeń) zakładu cukierniczego? ! !
9) powiązać poszczególne działy produkcyjne z czynnościami
technologicznymi? ! !
„Projekt współfinansowany ze środków Europejskiego Funduszu Społecznego”
19
4.2. Higiena i bezpieczeństwo w zakładzie cukierniczym
4.2.1. Materiał nauczania
Polska, podpisując w 1991 r. Układ Stowarzyszeniowy z państwami Wspólnoty
Europejskiej, zobowiązała się do dostosowania prawa krajowego do regulacji legislacyjnych
Unii Europejskiej. W wyniku tych prac powstała ustawa z dnia 11 maja 2001 r. „O warunkach
zdrowotnych żywności i żywienia”, która jest podstawowym aktem prawnym w zakresie
prawa żywnościowego. System HACCP, powstały w USA, powszechnie obowiązuje
producentów żywności w Unii Europejskiej od 1996 r.
Na mocy ustawy z dnia 3 kwietnia 1993 roku powołano do życia z dniem 1 stycznia 1994
roku Polskie Centrum Badań i Certyfikacji, które swoim zakresem działania jest dostosowane
do gospodarki rynkowej (PCBC).
QA – Gwarantowana Jakość Żywności
Systemy jakości – narzędzia zapewnienia jakości
HACCP – Analiza ryzyka i Kontrola Punktów Krytycznych
HACCP jest systemowym postępowaniem mającym na celu identyfikację i oszacowanie
skali zagrożeń bezpieczeństwa żywności, z punktu widzenia jej jakości zdrowotnej oraz
ryzyka wystąpienia tych zagrożeń podczas przebiegu wszystkich etapów produkcji
i dystrybucji. Jest to również system mający na celu określenie metod ograniczania tych
zagrożeń. System HACCP pozwala na uzyskanie pewności, że zakład wykonał wszystko dla
bezpieczeństwa wyrobu według konsumenta, w odniesieniu do przepisów, zasad dobrej
praktyki produkcyjnej i potrzeb klientów.
Postępowanie według systemu HACCP umożliwia identyfikację jednego lub wielu
specyficznych zagrożeń, uniknięcie ich oraz ustalenie zapobiegawczych działań w celu
zapobiegania im.
Analiza zagrożeń i kontrola punktów krytycznych umożliwia:
− identyfikację i analizę niebezpieczeństw związanych z różnymi stadiami procesu
produkcji,
− zagwarantowanie potrzebnych środków w celu ich uniknięcia,
− zapewnienie, że środki te są wdrożone w sposób efektywny i skuteczny.
Rys. 3. Istota zapewnienia bezpieczeństwa żywności zagrożeń systemie HACCP
Zapobieganie zagrożeniom zdrowotnym,
eliminowanie ich lub minimalizowanie
surowce
dodatki
materiały
personel proces
technologiczny
maszyny
i urządzenia
okresowe badania
wyrobu gotowego
wyrób
gotowy
gwarancja
bezpieczeństwa
żywności
„Projekt współfinansowany ze środków Europejskiego Funduszu Społecznego”
20
Jest to podejście zorganizowane i systematyczne, umożliwiające zapewnienie polepszenia
jakości bakteriologicznej, fizycznej i chemicznej produkowanych, sprzedawanych
i dostarczanych artykułów spożywczych.
Wymagania systemu analizy zagrożeń i krytycznego punktu kontrolnego zestawiono
w 7 zasadach, które są wytycznymi do opracowania, wdrożenia i utrzymania systemu. Zostały
tak przygotowane, aby miały zastosowanie we wszystkich sektorach przemysłu spożywczego.
GHP – Dobra Praktyka Higieniczna – dotyczy wszelkich działań związanych z warunkami
i środkami podejmowanymi w celu zapewnienia produkcji bezpiecznej żywności na
wszystkich etapach produkcji.
System ten obejmuje:
− założenia konstrukcyjno-budowlane obiektów produkcyjnych,
− dobór odpowiedniego wyposażenia technologicznego i technicznego,
− procedurę mycia, dezynfekcji, konserwacji maszyn i odpowiednich urządzeń,
− zapewnienia bezpieczeństwa mikrobiologicznego odpowiedniego odpowiedniej jakości
wszystkich surowców,
− stosowanie odpowiednich procedur i odpowiednich operacji technologicznych,
− szkolenie odpowiedzialnych za higienę pracowników.
GMP – Dobra Praktyka Produkcyjna – działania, które muszą być podjęte i warunki, które
muszą być spełniane, aby produkcja żywności oraz materiałów i wyrobów przeznaczonych do
kontaktu z żywnością odbywały się w sposób zapewniający bezpieczeństwo żywności,
zgodnie z jej przeznaczeniem (Ustawa o bezpieczeństwie żywności i żywienia z dnia 25
sierpnia 2006 r. Dz. U. z 2006 r. Nr 171, poz. 1225).
MCP – Przemysłowy Punkt Kontrolny – właściwości sensoryczne.
CP – Punkt Kontrolny – zgodność z normami i przepisami, ryzyko ekonomiczne lub prawne.
Tabela 2. Punkty kontrolne w produkcji żywności
Przykłady
Typ ryzyka
CCP CP MPC
BIOLOGICZNE
salmonella
aflatoksyny
formy coli
insekty
ogólna ilość pleśni
CHEMICZNE
antybiotyki
siarczyny
barwniki
środki konserwujące
aromat
receptura
FIZYCZNE
niska temperatura
pasteryzacji
zanieczyszczenia
waga
etykiety
gęstość
proporcje składników
CCP –krytyczny punkt kontroli – jest to punkt, krok lub procedura, która pozwala na
przeprowadzenie kontroli oraz zapobiegnie, wyeliminuje lub zredukuje ryzyko związane
z bezpieczeństwem żywności do akceptowalnych poziomów (limitów) krytycznych.
Rysunek 4 przedstawia, w jaki sposób można wykryć w procesie produkcji krytyczne
punkty, które należy poddać kontroli w celu wyeliminowania ewentualnych zagrożeń.
„Projekt współfinansowany ze środków Europejskiego Funduszu Społecznego”
21
Rys. 4. Ustalanie krytycznych punktów kontroli CCP w procesie produkcji [7]
CZY MOŻE BYĆ
KONTROLOWANE
MODYFIKACJA
PROCESU/ETAPU
CZY ZAGROŻENIE
MOŻE WZROSNĄĆ
NIE
NIE
CZY NASTĘPNY ETAP MOŻE
ELIMINOWAĆ ZAGROŻENIE
NIE
NIE
TAK
TAK
TAK
TAK
ZAGROŻENIE
CZY ZNAMY ŚRODKI
ZAPOBIEGAWCZE
CZY ZAGROŻENIE
JEST POWAŻNE
CZY ŚRODEK ZAPOBIEGAWCZY ELIMINUJE I
OGRANICZA ZAGROŻENIE
NIE
TAK
NIE
TO JEST CCP
TAK
„Projekt współfinansowany ze środków Europejskiego Funduszu Społecznego”
22
Zasady higieny produkcji
Stan sanitarny zakładu produkującego żywność to takie warunki w całym cyklu
wytwarzania od surowców do wyrobów gotowych, które zapobiegają zanieczyszczeniu przez
drobnoustroje, owady, gryzonie i inne szkodniki oraz zanieczyszczeniu substancjami
chemicznymi, w tym również dozwolonymi, stosowanymi niezgodnie z obowiązującymi
normami. Stan ten warunkują miedzy innymi: odpowiednia lokalizacja zakładu, zaopatrzenie
w wodę pitną, odprowadzenie ścieków, stan techniczny i funkcjonalność pomieszczeń
produkcyjnych, właściwe użytkowanie urządzeń i sprzętu, właściwy przebieg procesu
technologicznego, przestrzeganie czystości i porządku w toku produkcji, skuteczne zabiegi
mycia i dezynfekcji oraz higiena personelu. Te elementy stanu sanitarnego zakładu są
przedmiotem oceny przeprowadzonej przez organa nadzoru sanitarnego, a także wewnętrznej
kontroli w zakładzie.
Wyroby cukiernicze powinny być wytwarzane w warunkach higienicznych,
przeciwdziałających wtórnemu zakażeniu wytwarzanych produktów i nie narażających
pracowników.
Wymagania te dotyczą powietrza, światła i wody. Każdy z wymienionych czynników
może mieć wpływ na jakość wytwarzanych wyrobów, jak również na zdrowie pracowników.
Powietrze, oprócz zawartych w nim gazów, takich jak tlen, azot i inne, zawiera pewną
ilość ciał stałych w nim rozpylonych, które przy większym stężeniu mogą wywierać
negatywny wpływ na zdrowie pracowników, na produkcję. Rozpylone w powietrzu pyły, ciała
stałe mogą atakować skórę, spojówkę oka, drogi oddechowe. Drobnoustroje natomiast
gromadząc się na powierzchni wyrobów, znajdują w nich dobre warunki rozwoju
i w konsekwencji mogą być przyczyną zatruć pokarmowych konsumentów.
Z tych powodów w zakładzie musi znajdować się zarówno wentylacja grawitacyjna, jak
i mechaniczna
Higiena personelu
Pracownik może być źródłem zakażenia żywności wskutek własnej choroby,
nosicielstwa, bakterii chorobotwórczych bądź ich przenoszenia na skórze lub odzieży.
Do obowiązków pracownika należy:
− posiadanie (przed podjęciem pracy) książeczki zdrowia wydanej na podstawie
określonych badań według obowiązujących przepisów MZiOS, a w toku pracy
przestrzeganie okresowych badań lekarskich,
− ukończenia szkolenia w zakresie tzw. minimum sanitarnego,
− przestrzeganie w toku pracy zasad higieny, zwłaszcza czystości rąk. Przed przystąpieniem
do pracy pracownik powinien pozostawić odzież i rzeczy osobiste w szatni, umyć się pod
natryskiem, nałożyć czystą odzież ochronną (białe ubranie, buty, nakrycie głowy). Przed
przystąpieniem do pracy i w jej czasie myć ręce – mydłem pod bieżącą ciepłą wodą,
zdezynfekować np. roztworem Sterinolu, wysuszyć suszarką lub jednorazowym
ręcznikiem (nie wolno wycierać rąk o ubranie robocze lub w ścierkę),
− codzienna zmiana odzieży roboczej i zdejmowanie jej przed wyjściem poza teren zakładu,
− zasłanianie ust i nosa chusteczką jednorazowego użycia przy kichaniu i kaszlu,
− przestrzeganie zakazu noszenia ozdób w rodzaju: broszek, pierścionków, bransoletek,
agrafek, szpilek, a w kieszeniach noszenia lusterek, żyletek innych ostrych lub tłukących
się przedmiotów,
− mieć ręce zawsze czyste, paznokcie krótkie, wyczyszczone, nielakierowane,
− skaleczenia i otarcia skóry nakrywać wodoszczelnym opatrunkiem lub nosić rękawiczki,
„Projekt współfinansowany ze środków Europejskiego Funduszu Społecznego”
23
− niezwłoczne zasięgnięcie porady lekarza w przypadku ran otwartych na rękach,
owrzodzeń, ropnych schorzeń gardła, biegunki itp. Ponowne przystąpienie do pracy może
nastąpić jedynie za zgoda lekarza.
Higiena pomieszczeń
Mycie – ma na celu przywrócenie czystości powierzchni, usuniecie z niej różnych plam,
bez niszczenia właściwości i wyglądu mytego przedmiotu.
Dezynfekcja – ma na celu zniszczenie mikroorganizmów chorobotwórczych na materii
nieożywionej.
Produkty czyszczące – dzielimy na dwie kategorie:
− niespożywcze – do mycia posadzek i innych powierzchni, które nie maja kontaktu
z żywnością
− spożywcze – zatwierdzone do wszystkich powierzchni mających kontakt z żywnością.
Na rynku znajdują się wyroby dostosowane do wszystkich programów mycia
i dezynfekcji. Należy obowiązkowo przestrzegać przepisów producentów i stosować je
zgodnie z instrukcją znajdującą się na opakowaniu.
Wyroby te są przygotowane specjalnie do:
− mycia ręcznego
− konserwacji i renowacji urządzeń
− konserwacji podłóg i powierzchni
− konserwacji ogólnej, higieny i dezynfekcji
− prania odzieży
− mycia rąk.
Istnieją również produkty detergentowe mieszane ze środkami bakteriobójczymi
i grzybobójczymi. Eliminują one wszelkie zabrudzenia, dezynfekując, zabezpieczając
i nadając przyjemny zapach.
Czystość i porządek w zakładzie należy traktować jako jeden z elementów technologii
produkcji, przy zapewnieniu na ten cel odpowiednich środków, czasu i pracowników. W celu
utrzymania czystości wymagane jest zarówno codzienne sprzątanie, jak i okresowe gruntowne
prace porządkowe.
Maszyny, urządzenia oraz drobny sprzęt z punktu widzenia higieny produkcji powinien
być utrzymywany w nienagannym stanie technicznym. Eliminuje to przedostawanie się do
ciast, kremów lub innych półproduktów smarów lub olejów stosowanych do konserwacji
urządzeń. Wszelkie przekładnie typu olejowego wymagające smarowania powinny być
hermetyczne i tak usytuowane w urządzeniu, aby każdy przypadek ewentualnej nieszczelności
nie powodował dostawania się oleju do wyrobów.
Powierzchnie dzież i kotłów powinny być pobielone powłoką cynową lub pokryte
powłoką teflonową uniemożliwiająca bezpośredni kontakt przerabianego surowca
z materiałem, z którego dzieże lub kotły zostały wykonane. Niedopuszczalne jest używanie
naczyń nawet z niewielkimi .śladami rdzy.
Ważnym czynnikiem higieny produkcji jest utrzymanie sprzętu i urządzeń we właściwej
czystości. Urządzenia, naczynia i drobny sprzęt ciastkarski powinny być wykonane
z materiałów nie zawierających substancji szkodliwych dla zdrowia, nie powodujących
zmiany smaku, barwy, wyglądu oraz łatwych do zmywania. Do materiałów takich należą stal
nierdzewna, aluminium i cynowa blacha żelazna. Sprzęt drewniany powinien być wykonany
z twardego, liściastego drewna, a jego powierzchnia powinna być gładka, bez szczelin.
Nie wolno stosować naczyń i sprzętu z blachy cynkowej lub ocynkowanej z uszkodzoną
powłoką lub pordzewiałych, ponieważ odsłonięty cynk i żelazo reagują z tłuszczem.
„Projekt współfinansowany ze środków Europejskiego Funduszu Społecznego”
24
Wszystkie naczynia i drobny sprzęt ciastkarski, taki jak: rózgi, noże, kopyście, zdobniki,
woreczki muszą być umyte bezpośrednio po zakończeniu produkcji.
Resztki kremów, mas – pozostałe na powierzchni naczyń i urządzeń są bardzo dobrą
pożywką dla różnych drobnoustrojów. Niezbyt staranne mycie zaschniętych powierzchni
może spowodować zakażenie wyrobu.
Proces mycia może być zróżnicowany, zależnie od rodzaju urządzeń, sprzętu i wielkości
zakładu. Niemniej jednak zawsze obowiązuje następująca kolejność:
− wypłukanie czystą, ciepłą wodą resztek produktu,
− mycie w ciepłym, o temperaturze ok. 40o
C , roztworze środka myjącego dopuszczonego
do mycia urządzeń w przemyśle spożywczym,
− spłukanie czystą wodą,
− odkażenie gorącą wodą lub parą.
Drobny sprzęt ciastkarski (noże, zdobniki) powinny być obowiązkowo wyparzone gorąca
woda, a woreczki wygotowane i kilkakrotnie wypłukane.
Tabela 3. Zastosowanie środków do mycia, konserwacji i dezynfekcji [2, s.47]
Produkty Opis Działanie
Woda
− niezbędna do wszelkiego rodzaju
mycia i spłukiwania
− zimna lub ciepła rozpuszcza
zabrudzenia
− stosować z detergentem w
przypadku wody twardej
− rozpuszcza i zmniejsza koncentrację zabrudzeń
oraz usuwa je
Detergenty
w proszku lub
w płynie
− produkty do mycia, do których
dodaje się pewną ilość środka
podnoszącego skuteczność mycia
− powoduje powstanie emulsji, rozpuszcza tłuszcz
i zwiększa skuteczność zmywania
− unika się powstawania osadów na czyszczonych
powierzchniach
Detergenty
dezynfekujące
− detergenty, do których dodaje się
środki bakteriobójcze
i grzybobójcze
− takie samo jak detergentów proszku lub w płynie.
Wymagają odpowiedniego czasu stosowania
w celu zapewnienia dezynfekcji.
Szare mydło − mydło sodowo-potasowe
− dokładne mycie zabrudzonych tłuszczem
posadzek (z płytek, kamieni). Konieczność
spłukiwania
Drobny proszek
do czyszczenia
− na bazie pumeksu
− służy do szorowania, odtłuszczania
i dezynfekcji
− skuteczny przy grubszych warstwach zabrudzeń
osadach kamienia
Alkohol skażony − denaturat
− nadaje powierzchniom połysk, czystość bez
zacieków (np. szyby, stal nierdzewna)
− rozpuszcza tłuste i zabarwione zabrudzenia
Bielinka
(chlorek)
− czynnik dezynfekujący,
usuwający nieprzyjemny zapach i
wybielający na bazie chloru
− do stosowania z zimną wodą, nigdy
z detergentem
− obowiązkowe spłukiwanie w każdym przypadku
Produkty dodatkowe:
Środki owadobójcze – ich zadaniem jest wyeliminowanie wszystkich owadów
fruwających lub pełzających. Środki te można nabyć w postaci substancji parujących, emulsji,
wacików, aerozoli, rozpraszaczy elektrycznych przynęt. Należy wybrać odpowiedni
i stosować według wskazówek podanych na opakowaniu.
Środki przeciw gryzoniom – wyróżniamy dwie metody walki z gryzoniami: metoda
chemiczna polegająca na stosowaniu antykoagulentów wymieszanych z ziarnem lub proszku
„Projekt współfinansowany ze środków Europejskiego Funduszu Społecznego”
25
oraz metoda z zastosowaniem ultradźwięków – nadajnik wytwarza ultradźwięki, których
częstotliwość nie jest tolerowana przez gryzonie.
Uwaga:
Owady i gryzonie zanieczyszczają pracownie i magazyny oraz powodują straty
w magazynowanych surowcach. Są nosicielami chorób. W każdym przypadku walki
z nimi trzeba dokładnie przestrzegać wskazówek podanych na opakowaniach lub na kartach
technicznych produktu.
Tabela 4. Utrzymanie czystości w pomieszczeniach [2, s.49]
Pomieszczenia Wymogi wyposażenia Dbałość o higienę
Sufity
− powinny być gładkie i pomalowane
− wykonane w sposób umożliwiający stałą
konserwację i czystość
− regularne mycie
− uniemożliwienie rozwoju pleśni
Ściany
− gładkie, bez szczelin, odporne na uderzenia,
łatwo zmywalne w kolorze jasnym
− myć, gdy potrzeba, przynajmniej raz
w tygodniu dezynfekcja
Regały i półki − stała czystość
− myć, gdy potrzeba
− przynajmniej raz w tygodniu
dezynfekować
Podłogi
− gładkie i szczelne
− łatwo zmywalne
− syfony w posadzce zapewniające
odprowadzanie wody po myciu
− myć przynajmniej raz dziennie wodą
z detergentem, spłukać,
zdezynfekować, spłukać
− zabronione rzucanie odpadków na
podłogę
− zamiatanie na sucho zabronione
Ścieki, syfony
− ścieki wyposażone w zdejmowane kratki
− syfony wyposażone w kubełki
− skuteczny odpływ ścieków przemysłowych
− czyszczenie i dezynfekcja jak w
przypadku posadzek
− nie ma wody stojącej
− pilnować, by nie było przykrych
zapachów
Wentylacja,
wietrzenie
− wentylacja grawitacyjna i mechaniczna
− unikać otworów wentylacyjnych
stanowiskach klimatyzacyjnych przy
stanowiskach pracy i maszynach
− regularne czyszczenie kratek,
przewodów i filtrów
− unikać przeciągów i kurzu niosącego
drobiny zanieczyszczeń
− kontrolować usytuowanie ujęć
powietrza, które powinny pobierać
tylko czyste powietrze
Stoły i blaty
− z materiałów wytrzymałych, łatwych do
zmywania
− najodpowiedniejsza stal nierdzewna, która
jest materiałem najgładszym
− oddzielić czynności obierania (np.
truskawki), formowania ciast i wykańczania
− czyszczenie, mycie za każdym
razem, gdy potrzeba
− dezynfekcja po każdej pracy
mogącej powodować
zanieczyszczenia, przynajmniej raz
dziennie
Szczegółowe zalecenia powinny być podjęte jeśli chodzi o:
Zmywaki
− gąbki są zabronione
− zmywaki powinny być zawsze czyste
i dobrze wypłukane po każdym użyciu
− zmywaki są wymieniane w miarę
potrzeb, przynajmniej raz dziennie
Usuwanie odpadków
Kosze na śmieci
− w pomieszczeniach powinny być zamknięte
− zalecane jest stosowanie jednorazowych,
foliowych worków zamocowanych na
obręczy i z przykrywką otwieraną pedałem
− szybki usuwanie na zewnątrz
zamkniętych worków, jeśli używamy
pojemniki jako koszy, to należy je
myć i dezynfekować codziennie
„Projekt współfinansowany ze środków Europejskiego Funduszu Społecznego”
26
Walka z owadami i gryzoniami
Owady, gryzonie
w
pomieszczeniach
− okna, otwory wentylacyjne, ścieki itp.
wyposażone w kratki lub siatki
− niszczyć gryzonie, owady fruwające
i pełzające
− podać dokładną informację o rodzaju
zastosowanych środków do tępienia
oraz o zachowaniu środków
ostrożności
Szatnie, szafy na
ubrania
− w wystarczającej ilości. Każdy pracownik
powinien mieć dwie szafki – na odzież
zewnętrzną oraz na odzież roboczą
− pomieszczenia powinny być
utrzymane w czystości
WC
− obowiązkowo muszą być oddzielone od
pomieszczeń produkcyjnych i magazynów
surowców
− koniecznie przy wyjściu powinna
być umywalka (mydło, papierowe
ręczniki lub suszarka do rąk, kosz)
Umywalka
− zasilana bieżącą wodą ciepłą i zimną,
wyposażona w urządzenia do mycia
(dozowniki) i suszenia rąk
− powinna być wyposażona w:
pojemnik z mydłem w płynie,
szczotkę do rąk, pojemnik
z papierowymi ręcznikami, kosz na
śmieci do wrzucania zużytego
papieru
− kosz powinien być opróżniany
codziennie
Tabela 5. Utrzymanie czystości urządzeń [2, s. 51]
Urządzenia Opis Dbałość o higienę
Mycie naczyń
− basen do mycia np. kotłów lub
zlewozmywak dwukomorowy do mycia
drobnego sprzętu
− strumień ciepłej wody zapewniający
spłukiwanie
− zmywarki – coraz częściej stosowane
maja wiele zalet: eliminują wszystkie
materie organiczne, płukanie gorącą wodą
zabija mikroorganizmy i toksyny, suszenie
w temp. pow. 80o
C
Mycie ręczne przebiega w następujący
sposób:
− mycie wstępne w ciepłej wodzie, aby
usunąć duże zabrudzenia szczotka
lub drapakiem
− mycie z dodatkiem odpowiednie
środka (płyn do mycia naczyń)
− płukanie w ciepłej wodzie
− dezynfekcja odpowiednim środkiem
− suszenie za pomocą obciekania lub
wycieranie papierowymi ręcznikami
− piece – nowoczesne piece mają poszycie
ze stali nierdzewnej, łatwe do czyszczenia
− myć ciepłą wodą z dodatkiem
detergentu klamki, drzwi i ścianę
przednią codziennie
− szyby są czyszczone specjalnym
środkiem nietoksycznym
− trzony kuchenne – najlepsze do
podgrzewania, wyposażone w szuflady na
odpadki
− zdjąć siatki i palniki, zanurzyć je
w roztworze detergentowym lub
z dodatkiem sody, umyć szczotką,
wysuszyć i założyć na miejsce
Urządzenia do
pieczenia
− płyty elektryczne
− odczekać aż płyta ostygnie
i wyczyścić detergentem
Maszyny
− większość maszyn posiada obudowę
niepodatną na zabrudzenia i łatwą do
czyszczenia
− siatki zabezpieczające ubijaczki podlegają
szczególnemu nadzorowi
− części rozbierane są myte
i dezynfekowane na stanowiskach do
mycia naczyń (np. rózgi, mieszadła)
− elementy stałe są myte w miarę
potrzeb
„Projekt współfinansowany ze środków Europejskiego Funduszu Społecznego”
27
lodówki, szafy chłodnicze, komory chłodnicze:
− najlepsze urządzenia mają termometry
wskazujące temperaturę wewnątrz, na
ścianie przedniej, z automatycznym
rozmrażaniem, temperatura jest
regulowana w zależności od surowca czy
wyrobu
− żaden produkt nie powinien być
przechowywany bez opakowania
− zabrudzone, wewnętrzne siatki
myjemy na stanowisku do mycia
naczyń
− myć i dezynfekować, gdy tego
wymagają wewnętrzne i zewnętrzne
ściany, drzwi, uszczelki, klamki
− okresowo odkurzać odkurzaczem
żeberka kondensatora (silnik
wyłączony)
− komory szybkiego schładzania
umożliwiają szybkie schładzanie nawet
ciepłych wyrobów, skutecznie je
pasteryzując
− zimno intensywnie wentylowane
i rozprowadzane wymaga
szczególnej dbałości o higienę
Urządzenia do
chłodzenia
zamrażanie szybkie, wytwornice lodu,
konserwatory do produktów mrożonych
(frezery do produkcji lodów):
− zalecane urządzenia wskazujące
temperaturę wewnętrzną na zewnątrz,
kontrolować codziennie
− zamrażać tylko produkty w dobrym stanie,
świeże, przechowywać w specjalnych
opakowaniach z etykietami (data, rodzaj)
− rozmrażać, gdy warstwa szronu
osiągnie 3 mm
− myć i dezynfekować tak, jak
lodówkę
− produkty rozmrożone nie mogą być
ponownie zamrażane
Tabela 6. Zastosowanie środków [2, s. 52]
Środki Powierzchnie do czyszczenia
Środek myjąco-
-dezynfekujący
− ogólnie urządzenia – podłogi
− instalacje urządzeń do wytwarzania lodów, bitej śmietany
Środki
bakteriobójcze
i grzybobójcze
− narzędzia tnące
− powierzchnie robocze
− sprzęt i narzędzia do przygotowania półproduktów, wyrobów
Dezynfekujące
mydło w płynie
− ręce i przedramiona
Odtłuszczacz − zabrudzenie tłuste i trwałe – posadzki
Środki specjalne
− odkamieniacze (krany), zmywarki do naczyń, kuchenki drzwi pieca, urządzenia ze stali
nierdzewnej
Każdy w zakładzie powinien dbać o bezpieczeństwo i wywiązywać się prawidłowo ze
swoich obowiązków.
Pracodawca odpowiada za:
− przestrzeganie przepisów,
− organizację pracy (rozłożenie i planowanie produkcji),
− stan pomieszczeń (np. hałas, temperatura, wentylacja, oświetlenie, podłogi, stoły),
stworzenie klimatu bezpieczeństwa (np. plakaty, uwagi, ostrzeżenia, instrukcje obsługi
maszyn, instrukcje mycia rąk),
− sygnalizowanie zabronionych czynności (np. znak zakazujący palenia papierosów na
terenie zakładu).
Pracownik:
− przestrzega instrukcji bezpieczeństwa,
− stosuje środki ochrony (np. piecowy – rękawice ochronne),
„Projekt współfinansowany ze środków Europejskiego Funduszu Społecznego”
28
− prawidłowo się zachowuje (na terenie zakładu produkcyjnego zakazane są przyjęcia, picie
alkoholu, palenie papierosów, zalecane jest noszenie odzieży ochronnej, obuwia
antypoślizgowego),
− szczególnie uważa podczas transportu ciężkich ładunków (np. nie ładuje nadmiernych
ilości surowca na wózek transportowy),
− zwraca uwagę na stan urządzeń elektrycznych, w przypadku zauważenia jakiś uszkodzeń
natychmiast zgłasza odpowiedniej osobie (np. przebicia prądu na obudowie urządzeń
elektrycznych, uszkodzone kable, nie działające wyłączniki końcowe).
Ergonomia
Ergonomia – nauka zajmująca się badaniem warunków pracy, przystosowaniem
środowiska pracy, maszyn i urządzeń technicznych do właściwości fizycznych i psychicznych
człowieka z punktu widzenia zapewnienia optymalnych warunków wykonywania pracy.
[poz. 4]
Celem ergonomii jest:
− polepszyć i zharmonizować warunki pracownika,
− zmniejszyć zmęczenie ludzi i wypadkowość w pracy,
− ograniczyć błędy i źródła stresu,
− podnieść jakość i produktywność,
− zapewnić lepsze środowisko pracy.
Rozplanowanie przestrzenne stanowiska pracy
Stanowisko pracy jest miejscem, w którym odbywa się produkcja ręczna oraz wszystkie
operacje niezbędne do jej realizacji, to jest: ważenie, przesiewanie, zagniatanie ciasta,
formowanie, wałkowanie, cięcie, wkładanie do form. Czynności te odbywają się na stole
roboczym. Cukiernik spędza czas w tym miejscu, dlatego rozplanowanie pracowni
i stanowiska powinno być opracowane racjonalnie.
Planując zakład trzeba wziąć pod uwagę następujące wskazówki:
− ograniczyć pomieszczenia – w pobliżu stanowiska pracy powinny znajdować się narzędzia
i drobne materiały do ciągłego użycia, wagi, urządzenia do rozwałkowywania, zapas
bieżących surowców, urządzenia (ubijaczka, taborety podgrzewacze), stanowisko do
mycia naczyń, urządzenia chłodnicze,
− ograniczyć przenoszenie wzroku – należy stworzyć takie warunki, aby jednym rzutem oka
ogarnąć całość pracowni, łatwo nadzorować wypiek w piecu, pracę urządzeń, szybko
sprawdzić pulpity sterownicze,
− ograniczyć zmęczenie – konieczne są: odpowiednia wysokość stołów roboczych,
pomieszczenia widne, miłe i dostatecznie przewietrzone, oświetlenie funkcjonalne,
najlepiej dzienne, posadzki przeciwpoślizgowe (w miarę możliwości trzeba unikać
schodów), jak najkrótsze drogi komunikacyjne, które nie powinny się przecinać (np.
magazyn wyrobów gotowych obok wykończalni).
4.2.2. Pytania sprawdzające
Odpowiadając na pytania, sprawdzisz, czy jesteś przygotowany do wykonania ćwiczeń.
1. Jakie systemy (narzędzia) zapewnienia jakości stosowane są w cukiernictwie?
2. W jaki sposób znajomość krytycznych punktów kontroli pozwala na bezpieczniejszą
produkcję?
3. Jakie obowiązki spoczywają na pracowniku bezpośrednio produkcyjnym w zakładzie
cukierniczym związane z higieną pracy?
„Projekt współfinansowany ze środków Europejskiego Funduszu Społecznego”
29
4. W jakie środki ochrony indywidualnej powinien być zaopatrzony piecowy?
5. W jakie środki ochrony indywidualnej powinien być zaopatrzony pracownik myjni?
6. Jakie czynności porządkowe powinny być wykonywane codziennie w celu utrzymania
porządku i higieny w zakładzie cukierniczym?
7. W jaki sposób powinno się wyczyścić worki cukiernicze i zdobniki?
8. Z jakimi szkodnikami walczymy w ciastkarni stosując środki owadobójcze?
9. Jak zgodnie z ergonomią pracy powinno być zorganizowane stanowisko ciastowego?
4.2.3. Ćwiczenia
Ćwiczenie 1
Masz wyprodukować krem gotowany. Przeanalizuj technologię produkcji i spróbuj
znaleźć krytyczne punkty kontroli. Skorzystaj z rys.4 znajdującego się w Poradniku dla
ucznia.
Sposób wykonania ćwiczenia
Aby wykonać ćwiczenie, powinieneś:
1) zapoznać się materiałem zawartym w punkcie 4.2.1,
2) wypisać etapy produkcji kremu,
3) przeanalizować każdy z wypisanych etapów według rys.4 i wypisać krytyczne punkty
kontroli,
4) zaprezentować wykonane ćwiczenie.
Wyposażenie stanowiska pracy:
− materiały i przybory do pisania,
− wzór diagramu do ustalania punktów kontroli w procesie produkcji,
− schemat technologii produkcji kremu gotowanego,
− literatura poz. 2 z rozdziału 6 poradnika,
− tekst przewodni.
Ćwiczenie 2
Dobierz czynności i częstotliwość ich wykonywania podczas dbania o higienę
wymienionego w tabeli sprzętu, pomieszczeń, maszyn, ponieważ bieżące utrzymanie
czystości podczas produkcji i po jej ukończeniu jest koniecznością, aby zapewnić bezpieczną
produkcję i zapobiec wtórnym zakażeniom produkowanych wyrobów.
Element podlegający
czynnościom higienicznym
Czynności związane z utrzymaniem
czystości
Jak często należy je
wykonywać
Kotły ubijaczek
Rózgi
Woreczki
Podłoga w pracowni
produkcyjnej
Podłoga w deserowni
Stoły ciastkarskie
Wagi
„Projekt współfinansowany ze środków Europejskiego Funduszu Społecznego”
30
Sposób wykonania ćwiczenia
Aby wykonać ćwiczenie, powinieneś:
1) zapoznać się materiałem zawartym w punkcie 4.2.1,
2) narysować tabelę według. wzoru,
3) wypełnić puste pola dobierając czynności związane z utrzymaniem czystości
i częstotliwość wykonywania ich,
4) korzystać z tabel dotyczących utrzymania czystości podczas wykonywania ćwiczenia,
5) zaprezentować wykonane ćwiczenie.
Wyposażenie stanowiska pracy:
− materiały i przybory do pisania,
− tabele utrzymania czystości w zakładzie cukierniczym dotyczące pomieszczeń, sprzętu,
maszyn i urządzeń,
− literatura poz. 2 z rozdziału 6 poradnika.
Ćwiczenie 3
Dobierz środki ochrony osobistej dla piecowego, ciastowego, pracownika myjni
Środki ochrony osobistej
Stanowisko
Wspólne Charakterystyczne dla danego stanowiska
ciastowy
piecowy
pracownik myjni
Sposób wykonania ćwiczenia
Aby wykonać ćwiczenie, powinieneś:
1) zapoznać się materiałem zawartym w punkcie 4.2.1,
2) narysować tabelę według wzoru,
3) uzupełnić tabelę, środki ochrony wspólne dla wszystkich trzech stanowisk wpisać
w drugiej rubryce, charakterystyczne tylko dla danego stanowiska pracy w ciastkarni
w trzeciej,
4) zaprezentować wykonane ćwiczenie,
5) po dyskusji uzupełnić ewentualne braki.
Wyposażenie stanowiska pracy:
− materiały i przybory do pisania,
− film dydaktyczny dotyczący pracy w zakładzie cukierniczym,
− tabele wymagań bhp na poszczególnych stanowiskach w zakładzie cukierniczym.
Ćwiczenie 4
Dobierz środki myjące do wykonywanej czynności:
Wykonywana czynność Środek
Mycie noży
Mycie podłogi
Mycie sanitariatów
Mycie podłogi
„Projekt współfinansowany ze środków Europejskiego Funduszu Społecznego”
31
Sposób wykonania ćwiczenia
Aby wykonać ćwiczenie, powinieneś:
1) przygotować materiały piśmienne,
2) narysować tabelkę,
3) zapoznać się materiałem zawartym w punkcie 4.2.1,
4) korzystając z tabel zawartych w poradniku dla ucznia wypełnić tabelkę,
5) zaprezentować wykonane ćwiczenie.
Wyposażenie stanowiska pracy:
− materiały piśmienne,
− tabele środków czystości, ich działania i zastosowania,
− stanowisko z dostępem do Internetu.
Ćwiczenie 5
Dobierz metody i środki do walki z gryzoniami, owadami latającymi i pełzającymi:
Sposób wykonania ćwiczenia
Aby wykonać ćwiczenie, powinieneś:
1) zapoznać się materiałem zawartym w punkcie 4.2.1,
2) dobrać metody i środki do walki ze szkodnikami mogącymi występować w zakładzie
cukierniczym,
3) swoją pracę przedstawić w formie tabelarycznej opracowanej samodzielnie,
4) zaprezentować wykonane ćwiczenie.
Wyposażenie stanowiska pracy:
− materiały piśmienne,
− tabele środków i metod do walki z owadami pełzającymi i latającymi oraz gryzoniami,
− stanowisko z dostępem do Internetu.
4.2.4. Sprawdzian postępów
Czy potrafisz: Tak Nie
1) wymienić systemy (narzędzia) kontroli jakości? ! !
2) określić sposoby utrzymania czystości? ! !
3) dobrać środki utrzymania czystości ! !
4) dobrać środki ochrony indywidualnej w zależności od rodzaju
wykonywanej pracy?
! !
5) zorganizować stanowisko pracy zgodnie z wymaganiami ergonomii? ! !
„Projekt współfinansowany ze środków Europejskiego Funduszu Społecznego”
32
4.3. Rozliczenia produkcji w zakładzie cukierniczym
4.3.1. Materiał nauczania
Podział wyrobów ciastkarskich
Wyrób ciastkarski – produkt, w skład którego wchodzi nie mniej niż 40% surowców
innych niż mąka (np. cukier, jaja, ser i inne).
Ze względu na okres przydatności do spożycia wyroby cukiernicze podzielić można na:
− wyroby trwałe – są to takie wyroby, których okres przydatności do spożycia jest dłuższy
niż 30 dni
− wyroby nietrwałe – są to takie wyroby, których okres przydatności do spożycia nie
przekracza 30 dni
SWW – Systematyczny Wykaz Wyrobów
Klasyfikacja wyrobów ciastkarskich
Przemysł ciastkarski produkuje wyroby nietrwałe.
Zgodnie z normą branżową wyroby ciastkarskie podzielone zostały na grupy, typy
i rodzaje. Zaliczenie wyrobu do tej czy innej grupy uzależnione jest od największego udziału
określonego rodzaju ciasta w danym wyrobie, np., grupy wyrobów z ciasta drożdżowego,
kruchego, francuskiego.
Ciasta według SWW dzieli się na dziewięć grup:
− wyroby ciastkarskie z ciasta drożdżowego,
− wyroby ciastkarskie z ciasta francuskiego,
− wyroby ciastkarskie z ciasta parzonego,
− wyroby ciastkarskie bezowe,
− wyroby ciastkarskie z ciasta kruchego,
− wyroby ciastkarskie z ciasta biszkoptowego,
− wyroby ciastkarskie z ciasta biszkoptowo – tłuszczowego,
− wyroby ciastkarskie z masy orzechowej i migdałowej lub z surowców zastępczych,
− wyroby i półprodukty ciastkarskie różne.
Każda z tych grup charakteryzuje się zbliżonymi właściwościami smakowymi,
zapachowymi i strukturą.
W ramach poszczególnych grup rozróżnia się:
− podgrupy – podział według wspólnych cech organoleptycznych, np.. przemysł cukierniczy
produkuje wyroby cukiernicze trwałe, w grupie ciast biszkoptowych wyróżnić można
podgrupy: ciastka, torty, rolady
− typy – podział według podobnego sposobu wytwarzania, obróbki technologicznej, np.
w podgrupie ciastek biszkoptowych występują ciastka przekładane, nieprzekładalne,
łączone z innymi ciastami przekładanymi
− rodzaje – podział według stosowanych surowców i półproduktów, głównie do
wykończania np. ciastka biszkoptowe mogą być przekładane: kremami, masami, oblewane
kuwerturą, posypywane.
Klasyfikacja wyrobów cukierniczych
Przemysł cukierniczy produkuje wyroby cukiernicze trwałe, czyli takie, które nie ulegają
istotnym zmianom fizykochemicznym w ciągu co najmniej jednego miesiąca od daty
wyprodukowania, przy przechowywaniu w warunkach odpowiednich dla danego wyrobu.
„Projekt współfinansowany ze środków Europejskiego Funduszu Społecznego”
33
Wszystkie wyroby przemysłowe w Polsce objęte są przez Główny Urząd Statystyczny
(GUS) Systematycznym Wykazem Wyrobów (SWW) i są opatrzone symbolem cyfrowym.
Wyroby przemysłu spożywczego mają symbol 25, a należące do nich wyroby cukiernicze
trwałe – symbol 251.
Ponadto klasyfikacja wyrobów cukierniczych jest określona w Polskiej Normie (PN) –
Wyroby cukiernicze Trwałe. Zarówno SWW jak i PN uwzględnia podział jednej grupy
półproduktów i ośmiu grup wyrobów cukierniczych.
Dalszy podział uwzględnia:
− podgrupy – według wspólnych cech organoleptycznych (SWW i PN),
− typy – według wyglądu zewnętrznego i konsystencji (SWW i PN),
− rodzaje – według dominującej cechy surowców i struktury lub użytych dodatków (tylko
PN),
− odmiany – według uzupełniającej cechy smakowej, nadzienia lub korpusu (tylko PN),
− asortymenty – według wyrobów o określonej nazwie handlowej (nie są one jednak
wymienione w PN i SWW).
Tabela 7. Klasyfikacja trwałych wyrobów cukierniczych (wg PN-75/A-88001) [6, s.14]
Symbol wg
SWW
Grupy
Symbol
wg
SWW
Podgrupy
2511-1 Kuwertura
2511-2 Tłuszcz kakaowy
2511-3 Kuch kakaowy
2511-4 Miazga z jąder oleistych
2511-5 Nadzienie z jąder nasion oleistych
2511-6 Nadzienie marcepanowe i pokrewne
2511-7 Pomada
2511 Półprodukty cukiernicze
2511-8 Polewa kakaowa
2512-1 Karmelki
2512-2 Drażetki
2512-3 Pomadki
2512 Cukierki
2512-4 Cukierki pudrowe prasowane
2513-1 Czekolada pełna
2513-2 Czekolada nadziewana2513 Czekolada
2513-3 Czekolada do picia
„Projekt współfinansowany ze środków Europejskiego Funduszu Społecznego”
34
2514-1
Cukierki czekoladowane o rdzeniu
miękkim
2514-2
Cukierki czekoladowane o rdzeniu
z karmelków nadziewanych
2514-3
Drażetki czekoladowane o rdzeniu
miękkim
2514-4 Drażetki czekoladowane pozostałe
2514-5 Wyroby wschodnie czekoladowane
2514-6 Herbatniki czekoladowane
2514-7 Pierniki czekoladowane
2514 Wyroby czekoladowane
2514-8 Wafle czekoladowane
2515-1 Kakao bez dodatków
2515 Kakao
2515-2 Kakao z dodatkami
2516-1 Herbatniki
2516-2 Suchary
2516-3 Płatki (maca)
2516-4 Pierniki
2516-5 Pieczywo parzone
2516-6 Pieczywo piankowe
2516—7 Wafle
2516 Pieczywo cukiernicze trwałe
2516-8 Pieczywo drożdżowe (suchary)
2517-1 Chałwa
2517-2 Wyroby grylażowe
2517-3 Wyroby oblewane masą karmelową
2517-4 Nugaty
2517 Wyroby wschodnie
2517-5 Orzechy prażone
2518-1 Wyroby czekoladopodobne
2518-2 Herbatniki w polewie kakaowej
2518-3 Pierniki w polewie kakaowej
2518-4 Wafle w polewie kakaowej
2518
Wyroby czekoladopodobne
i wyroby w polewie kakaowej
2518-5
Pieczywo piankowe w polewie
kakaowej
2519-1 Wyroby żelowe
2519-2 Wyroby cukrowe
2519-3 Wyroby z mas tłustych
2519-4 Marcepan i pokrewne
2519-5 Wyroby z tłuszczu kakaowego
2519
Wyroby cukiernicze trwałe
pozostałe
2519-6 Guma do żucia
Norma – jest to zbiór prawideł (przepisów, reguł zasad, wzorów), ustalających
charakterystykę przedmiotów fizycznych, czynności lub pojęć.
„Projekt współfinansowany ze środków Europejskiego Funduszu Społecznego”
35
W zależności od przedmiotu i sposobu ujęcia – normy dzieli się na następujące typy:
− przedmiotowe – dotyczą przedmiotów materialnych np. czekolady pełnej, herbatników,
karmelków twardych,
− czynnościowe – obejmuje wyłącznie przepisy, którymi należy się posługiwać przy
wykonywaniu czynności (np. PN-73/A-74858 – Wyroby cukiernicze trwałe – pobieranie
próbek),
− klasyfikacyjne – dotyczą wyłącznie klasyfikacji materiałów, przedmiotów, pojęć lub
czynności( np. PN/75/A-88001 – Wyroby cukiernicze trwałe – klasyfikacja),
− pojęciowe – ustalają poprawne słownictwo techniczne oraz tworzą jednolity system
wzajemnego porozumiewania się.
Normy określają jednoznacznie wyrób, przytaczają szczegółowy podział klasyfikacyjny,
podają jakie i jakiej jakości surowce i półprodukty powinny być użyte do produkcji oraz jakim
cechom organoleptycznym i fizykochemicznym powinien wyrób odpowiadać.
PN - Państwowa Norma
BN - Branżowa Norma
W normach zostały określone również rodzaje opakowań i oznaczenia wyrobów, warunki
przechowywania i transportu, okresy przydatności do spożycia i dopuszczalne odchylenia od
obowiązującej normy.
Opakowania wyrobów cukierniczych
Opakowania mają na celu głównie ochronę i zabezpieczenie wyrobów cukierniczych
przed zniszczeniem i zepsuciem. Powinny więc być czyste, suche, nieuszkodzone, bez obcych
zapachów, estetyczne i dopuszczone przez władze sanitarne do pakowania artykułów
spożywczych. Druk na etykietach i pudełkach powinien być czytelny i nieścieralny.
W ciastkarstwie do zabezpieczenia wyrobów przed uszkodzeniami mechanicznymi
stosowane są pojemniki wykonane z tworzywa sztucznego. Maja one różną głębokość przy
jednakowej długości i szerokości. Ponadto pojemniki są tak skonstruowane, że można je
układać jeden na drugi, bez obawy uszkodzenia zawartych w nich wyrobów. Taka konstrukcja
pojemników pozwala na racjonalne wykorzystanie powierzchni magazynowej.
W pojemnikach wyłożonych papierem układa się zestawy ciastek np. ciastek tortowych,
korpusowych, kruchych.
Przed układaniem wyrobów pojemniki powinny być umyte, wysuszone i wyłożone
papierem zabezpieczającym przed bezpośrednim kontaktem wyrobów ze ściankami i dnem
pojemników.
Konieczne jest zorganizowanie takiego wewnętrznego obiegu pojemników, aby każdy
pojemnik po opróżnieniu był przekazywany do ponownego załadunku dopiero po umyciu
i wysuszeniu. Nie należy w jednym pomieszczeniu przechowywać pojemników czystych
z wyrobami razem z pojemnikami użytymi już do transportu wyrobów, a jeszcze nie umytymi.
Opakowania dzieli się na trzy grupy:
− opakowania jednostkowe – opakowanie określonej ilości produktu przeznaczonego do
detalicznej sprzedaży (torebki, pudełka, bombonierki, puszki itp.)
− opakowania zbiorcze – opakowania zawierające określoną liczbę opakowań
jednostkowych lub towaru sprzedawanego na wagę (luzem) w handlu detalicznym
− opakowania transportowe – opakowania umożliwiające ochronę zawartości przed
uszkodzeniem w czasie przechowywania i transportu (pudła z tektury falistej, worki
papierowe itp.).
Wyrobom cukierniczym trwałym można nadać określone nazwy, jeśli zawierają
wymienione składniki w podanej ilości (tabela 8).
„Projekt współfinansowany ze środków Europejskiego Funduszu Społecznego”
36
Tabela 8. Nazwy wyrobów trwałych [6, s. 16]
Nazwa lub część nazwy wyrobu Niezbędne składniki
owocowe
naturalne składniki pochodzące z owoców w takiej ilości, aby nadawały
wyrobowi charakterystyczny smak
malina, wiśnia, truskawka itp.
owoce lub przetwory owocowe wyprodukowane tylko
z owoców zadeklarowanych w nazwie (soki, proszki itp.), bez dodatku
substancji smakowo – zapachowych, dopuszcza się stosowanie naturalnych
olejków lub esencji deklarowanego owocu
nazwa przymiotnikowa
utworzona od nazwy owocu, np.
malinowy, wiśniowy
owoce (lub ich przetwory), od których pochodzi nazwa wyrobu, nadające
wyrobowi charakterystyczny smak, bez dodatku syntetycznych substancji
smakowo-zapachowych, przy czym uzupełnienie stanowią przetwory
z innych owoców lub warzy nie mających charakterystycznego smaku (np.
jabłka)
o smaku np. malinowym
syntetyczne substancje smakowo-zapachowe o smaku deklarowanym
w nazwie
miodowy, słodowy itp. naturalny składnik podany w nazwie, w ilości nie mniejszej niż 5%
ziołowe, np. miętowe, anyżkowe,
ślazowe
naturalne olejki: miętowy, eukaliptusowy, anyżowy itp. lub z dodatkiem
ekstraktu albo wywaru z ziół w takich ilościach, aby nadawały wyrobowi
smak charakterystyczny dla tych ziół lub olejków
orzechowe orzechy w ilości nie mniejszej niż 5%
mleczne nie mniej niż 8% s.m. (suchej masy) pochodzącej z mleka
śmietankowe nie mniej niż 4% tłuszczu pochodzącego z dodanej śmietanki lub śmietany
maślane nie mniej niż 5% masła
kawowe lub mocca
nie mniej niż 1,5% palonej kawy naturalnej lub odpowiednia smakowo ilość
ekstraktu kawy naturalnej
kakaowe nie niej niż 4% beztłuszczowej części jąder ziarna kakaowego
rumowy, cacao choix napoje alkoholowe w ilości nadającej wyrobowi charakterystyczny smak
witaminowe
są to wyroby, które w 50g zawierają witaminy wprowadzone z produktami
naturalnymi w ilości odpowiadającej co najmniej ¼ dobowego
zapotrzebowania dorosłego człowieka na deklarowane witaminy
witaminizowane
są to wyroby, które w 50g zawierają dodatek witamin syntetycznych w ilości
odpowiadającej co najmniej ½ dobowego zapotrzebowania dorosłego
człowieka na deklarowane witaminy
wyroby o nazwie łączonej np.
kawowo-mleczny
są to wyroby, które odpowiadają określeniom dla wszystkich członów nazwy,
przy czym drugi człon odnosi się do smaku najbardziej charakterystycznego
dla danego wyrobu
Opakowania muszą uwzględniać nazwę i adres producenta, znak firmowy, nazwę wyrobu
oraz nazwy podstawowych surowców, masę netto, datę produkcji.
Ze względów higienicznych nadruk na etykietach stosowanych do zawijania wyrobów
powinien być wykonany na stronie zewnętrznej, nie przylegającej bezpośrednio do wyrobu.
Torebki firmowe z papieru i tworzyw sztucznych zawierające wyroby cukiernicze
powinny być zamknięte w sposób gwarantujący, że opakowane zostały przez producenta.
„Projekt współfinansowany ze środków Europejskiego Funduszu Społecznego”
37
Opakowania mają duży wpływ na trwałość wyrobów cukierniczych. W zależności od
zastosowanego rodzaju opakowania wyroby cukiernicze wytrzymują dłuższy lub krótszy
okres przydatności do spożycia, bez wystąpienia wyraźnych zmian jakościowych.
Przykłady różnej przydatności do spożycia w zależności od sposobu zapakowania:
− karmelki twarde nie zawijane, zapakowane do hermetycznych puszek metalowych, mają
okres przechowywania 6 miesięcy, zapakowane do pudełek z tworzyw sztucznych – od 3
do 5 miesięcy, a w pudełkach tekturowych – zaledwie 2 miesiące,
− czekolada pełna naturalna (twarda), nie zawijana może być przechowywana bez
wyraźnych zmian jakościowych 4 miesiące, jeśli jest zawinięta w papier parafinowany, jej
okres przechowywania przedłuża się do 6 miesięcy, jeżeli jest opakowana w folię
aluminiową – okres przechowywania wynosi nawet 10 miesięcy.
Dokumentacja produkcyjna i rozliczeniowa
Dokumentacja rozliczeniowa surowców i wyrobów gotowych jest sprawą bardzo ważną,
gdy chcemy uniknąć strat i zepsucia produktów i wyrobów gotowych.
Prowadząc dokumentacje magazynową należy:
− mieć kartotekę pisaną ręcznie lub komputerowo, najważniejsze, aby była ona dostosowana
do potrzeb i praktycznego zastosowania,
− uaktualniać ją, gdy tylko następuje przemieszczenie towarów w magazynie,
− upewnić się w rotacji surowców (wyrobów gotowych), pobierając najpierw najstarsze,
− śledzić daty przydatności do spożycia zaznaczone na opakowaniu,
− zaksięgować zastosowanie każdego produktu, aby ułatwić ocenę zapotrzebowania,
inwentaryzację i uniknąć marnotrawstwa.
Przykładowa kartoteka magazynowa
Nazwa produktu
Przyjęto Wydano Pozostaje na składzie
Data Ilość Cena jednostkowa Data Ilość Ilość
Dokumentacje produkcyjną prowadzi się na specjalnych wzorach, które w każdym
zakładzie mogą wyglądać inaczej. Obecnie prowadzona jest w większości zakładów
dokumentacja zarówno papierowa, jak i w formie elektronicznej.
Najważniejszymi dokumentami (pierwotnymi, źródłowymi) są oprócz powszechnie
stosowanych dowodów pobrania, dowodów wydawania i spisów z natury (remanentów) –
raporty produkcji, prowadzone na wzorach, które są podstawą do sporządzania dokumentów
wtórnych.
Produkcja zakładu cukierniczego znajduje odbicie w sporządzanym codziennie raporcie
produkcji, w którym zawarte są dane dotyczące stanu surowców z dnia poprzedniego, ich
przychodu i rozchodu, pozostałości na dzień następny, jak również ilości wyprodukowanych
wyrobów gotowych i półproduktów, zużycia opakowań, paliwa, wykazu pracowników
zatrudnionych przy wykonywaniu tej produkcji.
Na podstawie raportu produkcji sporządza się dwa zestawienia:
− wykaz ilości pobranych i zużytych surowców
− wykaz wykonanej produkcji.
„Projekt współfinansowany ze środków Europejskiego Funduszu Społecznego”
38
Zestawienia te sporządza się za okresy miesięczne i są one potrzebne do rozliczenia
zakładu pod względem prawidłowości zużycia surowców. To rozliczenie to podstawa do
sprawdzania rentowności produkcji. Przy planowaniu zamawiania surowców dużą pomocą
jest prowadzenie dokumentacji elektronicznej, gdyż w każdym momencie można sprawdzić
stan bieżący surowców i uzupełnić ewentualne braki, kontrolować ruch surowców, sprawdzać
ich przydatność do spożycia itd.
Do najważniejszej dokumentacji technologicznej należą receptury. Zgodnie
z obowiązującymi przepisami wyroby cukiernicze przeznaczone do obrotu mogą być
produkowane wyłącznie według ustalonej uprzednio receptury, którą powinien opracować
producent wyrobów ciastkarskich i określenie najbardziej prawidłowego procesu
technologicznego.
Przynajmniej trzyosobowa komisja przeprowadza tzw. próbne wypieki, czyli
kontrolowaną produkcję. Aby receptura mogła być opracowana należy wykonać co najmniej
trzy próbne wypieki (porównywalne zużycie surowców i wydajność). Kontrolowana
produkcja ma na celu ustalenie wydajności i strat technologicznych oraz prawidłowe ustalenie
tych wartości. Przeprowadzenie kontrolowanej produkcji ma na celu ustalenie namiaru
surowcowego potrzebnego do wykonania określonej ilości półproduktu lub wyrobu gotowego.
Receptura ciastkarska – jest opracowana dla jednego kilograma wyrobu gotowego.
Receptura cukiernicza – jest opracowana dla 1000 kg (1 tony) wyrobu gotowego.
Budowa receptury
Receptura ciastkarska powinna zawierać następujące dane:
− numer,
− nazwę półproduktu lub wyrobu,
− nazwę grupy, do której zaliczany jest dany wyrób,
− namiar surowców, w tym zużycie poszczególnych surowców w gramach przy wydajności
1000g (ciastkarska) lub 1000kg (cukiernicza) i jednoczesnym określeniu strat
technologicznych,
− opis procesu technologicznego,
− wskaźniki fizykochemiczne.
Numer receptury – w danej jednostce gospodarczej nie jest przypadkowy. Grupy
wyrobów ciastkarskich zostały uporządkowane przez Systematyczny Wykaz Wyrobów
(SWW) i Normy Branżowe (NB). Na przykład grupa wyrobów z ciasta drożdżowego ma
numer 2422-1. Poszczególne podgrupy wyrobów z ciasta drożdżowego mają numerację: 11,
12 itd. W zależności od rodzajów wyrobów w danej podgrupie, każdy producent nadaje im
kolejne numery, np. strucle oznaczone są numerem 17. Produkując różne ich rodzaje: z serem,
z makiem, z marmoladą można numerować je następująco: 17-1, 17-2 itd.
Ten system numerowania poszczególnych receptur wyrobów ciastkarskich pozostawia
możliwość uzupełnienia zbioru receptur o receptury na wyroby nowo wprowadzane do
produkcji.
Nazwa półproduktu lub wyrobu – może być dowolna, niemniej jednak powinna
uwzględniać nazwy tradycyjne. Nieprawidłowością byłoby nadawanie nazwy tort mazurkowi.
Nazwa grupy –wynika z klasyfikacji według SWW
Namiar surowców – ustalony jest na podstawie przeprowadzonej kontrolowanej
produkcji. Zużycie poszczególnych surowców i półproduktów wyliczone jest przy wydajności
1000g wyrobu gotowego w ciastkarstwie i 1000kg w cukiernictwie. Uwzględnia również
wielkość strat technologicznych lub pozostałość okruchów⋅ użytecznych.
„Projekt współfinansowany ze środków Europejskiego Funduszu Społecznego”
39
Opis procesu technologicznego – powinien być prosty. Powinien uwzględniać
podstawowe parametry procesu technologicznego, to jest: czas i temperaturę wypieku,
fermentacji, naważkę kęsów ciasta itp.
Wskaźniki fizykochemiczne – takie, jak zawartość: cukru lub tłuszczu powinny
uwzględniać receptury na półprodukty i wyroby jednorodne.
Receptura ciastkarska (cukiernicza) zawierająca wszystkie wymienione elementy stanowi
podstawę wprowadzenia do produkcji nowego wyrobu.
Kontrola zużycia surowców i opakowań
Koszty materiałowe w zakładach przemysłu cukierniczego wynoszą często ponad 80%
własnych kosztów produkcji. Wobec tego zagadnienie racjonalnej gospodarki materiałowej,
szczególnie w przemyśle cukierniczym, ma decydujący wpływ na ekonomikę zakładu.
Aby oszczędniej gospodarować materiałami, należy ich zużycie ewidencjonować,
kontrolować, analizować, szukać źródeł strat technologicznych. W tym celu prowadzona jest
dokumentacja produkcyjna.
Jednym z surowców są opakowania. Zwłaszcza w cukiernictwie wyroby muszą być
dobrze opakowane, aby ich przydatność do spożycia była jak najdłuższa. Przy opracowywaniu
norm zużycia opakowań trzeba zawsze uwzględnić straty związane np. z brakami w druku.
Dla etykiet, podkładek, nalepek, kontrolek i taśmy podgumowanej przyjmuje się. 3% strat,
dla kartonów 1%.
Przykład opracowania teoretycznej i technicznej normy zużycia opakowań
bezpośrednich i pośrednich na krówki
Krówki pakuje się w podkładkę z papieru parafinowanego o wymiarach 60 x 50 mm
i gramaturze 40 g/m2
, następnie w etykietę do pisania klasy III o gramaturze 70 g/m2
i wymiarach 75 x 68 mm. Opakowaniem pośrednim krówek jest karton nr 2 pojemności 4 kg,
oklejony na krzyż taśmą podgumowaną, szerokości 40 mm, długości 1900 mm, wykonaną
z podłoża z papieru natron o gramaturze 70 g/m2
, łącznie z klejem – 85 g/m2
.
Ponadto na karton należy nalepić etykietę (nalepkę) deklaracyjną z wymaganym normą
znakowaniem oraz do kartonu należy włożyć mareczkę kontrolną pakowaczki. Zużycie
kartonów, nalepek deklaracyjnych oraz mareczek kontrolnych wykazuje się w sztukach lub
w sztukach i kilogramach.
Obliczanie teoretycznych norm zużycia poszczególnych rodzajów opakowań
bezpośrednich i pośrednich na krówki przedstawia się następująco:
− etykiety:
w 1kg gotowego wyrobu mieści się 100 sztuk krówek, a więc w 1000kg – 100000 sztuk:
100000 · 0,075 m · 0,068 m · 0,070 kg/m2
= 35,7 kg
− podkładki:
100000 · 0,060 m · 0,050 m · 0,040 kg/m2
= 12 kg
− taśma podgumowana:
dla 250 kartonów po 4 kg trzeba zużyć 250 odcinków taśmy długości 1900mm i szerokości
40mm
250 · 1,9 m · 0,04 m · 0,085 kg/m2
= 1,62 kg
− kartony:
− pojemność kartonu 4 kg, a więc na 1000kg trzeba ich zużyć:
1000 kg : 4 kg = 250 sztuk
„Projekt współfinansowany ze środków Europejskiego Funduszu Społecznego”
40
− nalepki i kontrolki:
po 1 sztuce na karton, a więc 250 sztuk na 1000 kg.
Opracowując normę należy dodać straty technologiczne: dla etykiet, podkładek, nalepek,
kontrolek i taśmy podgumowanej po 3%, a dla kartonów po 1% dla normy technicznej).
Po wykonaniu tego obliczenia otrzymane wyniki umieszcza się w odpowiednich
kolumnach druku na normę zużycia opakowań na 1000 kg wyrobu.
Przykład
Norma zużycia opakowań na 1000 kg wyrobu
Nazwa asortymentu: krówka
4 kg w kartonie
Norma
.p. Nazwa opakowania
%
założonych
strat
Jednostka
miary teoretyczna techniczna
1 Etykieta z papieru do pisania 3 kg 35,7 26,8
2
Podkładka z papieru
parafinowanego
3 kg 12,0 12,4
3 Taśma podgumowana 3 kg 1,62 1,66
4 Kartony nr 2 1 szt. 250 253
5 Nalepki 3 szt. 250 258
6 Kontrolki 3 szt. 250 258
Przykładowa kartoteka zużycia opakowań:
Nazwa produktu: kartony nr 2
Przyjęto Wydano Pozostaje na składzie
Data Ilość Jednostka miary Data Ilość Ilość
10.02.2007 1000 sztuki 12.02.2007 258 742
sztuki 14.02.2007 258 484
15.02.2007 2000 sztuki 2484
Sztuki 16.02.2007 484 2000
Obliczanie namiaru surowców w ciastkarstwie
W zakładzie nie produkujemy po 1 kg wyrobu, tylko ilości zgodne z zamówieniami,
może to być zarówno 10 kg, jak i sto albo pięć. Małe zakłady rzemieślnicze,
wieloasortymentowe produkują ściśle pod zamówienia. Aby łatwo było policzyć, ile
surowców potrzeba do wyprodukowanie zamówionej ilości danego wyrobu receptura
ciastkarska jest opracowana na 1 kg wyrobu gotowego (wydajność).
Przykład 1:
Należy wyprodukować 20 kg ciasta francuskiego. Poniżej jest przedstawiona receptura na
ten półprodukt:
„Projekt współfinansowany ze środków Europejskiego Funduszu Społecznego”
41
Sposób pierwszy
Aby uzyskać ilości surowców potrzebne do wykonania 20 kg ciasta francuskiego należy
przedstawione w recepturze ilości surowców pomnożyć przez 20.
Receptura na ciasto francuskie
Surowce Ilość w g Ilość w kg
Mąka pszenna typ 500 410 0,41
Mąka pszenna typ 750 na podsypkę 40 0,04
Jaja 50 0,05
Masło lub margaryna 380 0,38
Sól 5 0,005
Woda 190 0,19
Razem: 1075 1,075
Straty: 75 0,075
Wydajność: 1000 1
Mąka pszenna typ 500: 0,41 kg · 20 = 8,2 kg
Mąka pszenna typ 750: 0,04 kg · 20 = 0,8 kg
Jaja: 0,05 kg · 20 = 1,0 kg
Masło lub margaryna: 0,38 kg · 20 = 7,6 kg
Sól: 0,005 kg · 20 = 0,1 kg
Woda: 0,19 kg · 20 = 3,8 kg
Uzyskane wyniki poszczególnych surowców określają, jaką ich ilość potrzebujemy do
wykonania 20 kg ciasta francuskiego.
Sposób 2:
Przy obliczaniu namiaru surowców do produkcji wyrobów ciastkarskich należy:
− ustalić przelicznik P, który wskazuje, ile razy więcej (lub mniej) należy użyć surowców do
produkcji niż podaje to receptura poprzez podzielenie masy półproduktu lub surowca
przez wydajność,
− pomnożyć ilość surowców podaną w recepturze przez przelicznik:
P =
[kg]1
[kg]20
= 20
W przypadku półproduktów oraz wyrobów produkowanych bezpośrednio z surowców
ilość ich ustala się tak, jak podano w przykładzie.
W przypadku ciastek np. ptysi, do produkcji których wykorzystywane są korpusy z ciasta
parzonego, krem bita śmietana, cukier puder w recepturze podane są ilości potrzebnych
półproduktów.
Receptura na ptysie napełnione bitą śmietaną
Surowce i półprodukty Ilość w g Ilość w kg
Korpusy z ciasta parzonego 320 0,32
Krem bita śmietana 680 0,68
„Projekt współfinansowany ze środków Europejskiego Funduszu Społecznego”
42
Cukier puder do wykończenia 60 0,06
Razem 1060 1,06
Straty 60 0,06
Wydajność 1000 1,00
Czyli do wykonania takich ciastek najpierw korzystamy z receptur na potrzebne
półprodukty (korpusy z ciasta parzonego i kremu bita śmietana), sporządzamy je, a następnie
wykorzystujemy ustalone (obliczone) ilości. Zazwyczaj np. bitą śmietanę przygotowujemy
w większej ilości i wykorzystujemy do innych wyrobów, np. do wykonania eklerów, tortów.
Obliczenia wykonujemy analogicznie, tak jak w przykładzie 1 na ciasto francuskie
Przykład 2:
Obliczenie zapotrzebowania na półprodukty i surowce w celu wyprodukowania 30 kg
ptysi
z bitą śmietaną.
Korpusy z ciasta parzonego 0,32 kg · 30 = 9,6 kg
Krem bita śmietana 0,68 kg · 30 = 20, 4 kg
Cukier puder do wykończenia 0,06 kg · 30 = 1,8 g
Do wykonania 30 kg ptysi z bitą śmietaną potrzeba 9,6kg korpusów z ciasta parzonego,
20,4 kg kremu bitą śmietaną, 1,8 kg cukru pudru.
Wartość odżywcza wyrobów ciastkarskich
Artykułami żywnościowymi nazywamy wszystkie artykuły spożywane przez człowieka.
Zależnie od pochodzenia dzieli się je na roślinne i zwierzęce, zależnie zaś od przeznaczenia
i roli, jaka odgrywają w organizmie, na właściwe artykuły żywnościowe i używki.
Właściwy artykuł żywnościowy powinien zawierać składniki odżywcze takie jak: białka,
tłuszcze, węglowodany, substancje mineralne, witaminy. Do składników odżywczych nie
zaliczamy natomiast wody, chociaż występuje ona we wszystkich artykułach żywnościowych.
Wyroby ciastkarskie należą do tych artykułów żywnościowych, które zawierają
podstawowe składniki odżywcze, a jednocześnie są wysokoenergetyczne, dzięki stosowaniu
do ich produkcji różnorodnych i wysokiej jakości surowców takich jak np.: cukier, mleko,
masło, owoce, przetwory owocowe, jaja, orzechy, mąka.
Spożycie 100 g wyrobów ciastkarskich dostarcza średnio 0,8-2,0 kJ.
Ze względu na różnorodne walory smakowe i zapachowe, kształt oraz estetyczny wygląd
zewnętrzny pobudzają apetyt, są chętnie spożywane z innymi produktami i zwiększają ich
przyswajalność. Dzięki temu, że są dobrym źródłem energii i zawierają na ogół wszystkie
składniki pokarmowe spełniają ważną rolę w żywieniu. Szczególne znaczenie mają wyroby
z masą serową, owocami i przetworami owocowymi.
Wyrób dietetyczny – jest to taki produkt, który ze względu na skład i sposób jego
przygotowania jest przeznaczony do żywienia ludzi w przypadku określonych chorób lub
określonych stanów fizjologicznych (np. czekolada dla diabetyków). Może być produkowany
w zakładach przeznaczonych do ich produkcji lub w wydzielonym oddziale zakładu
produkującego środki spożywcze.
Wyroby niskoenergetyczne – są przeznaczone głównie dla osób otyłych. Zmniejszenie
wartości energetycznej wyrobów ciastkarskich można osiągnąć głównie przez zastąpienie
surowców wysokoenergetycznych surowcami o niższej energetyczności, podniesienie
zawartości wody w wyrobach, zmniejszenie masy wyrobów przy jednoczesnym zwiększeniu
objętości, zwiększenie zawartości białka kosztem tłuszczu. W produkcji wyrobów
„Projekt współfinansowany ze środków Europejskiego Funduszu Społecznego”
43
ciastkarskich istnieją duże możliwości zastępowania surowców wysokoenergetycznym mniej
energetycznymi np. można stosować dodatek otrąb, zastępując częściowo nimi mąkę, sorbit
(występuje w soku jarzębiny – jest dwukrotnie mniej słodki od sacharozy) zamiast cukru,
mleko odtłuszczone, mąkę sojową.
Zawartość wody w wyrobach ciastkarskich można zwiększyć między innymi przez
wprowadzenie specjalnych mas tłuszczowych do kremów, które zawierają ok. 45% tłuszczu
i ok. 30% wody. Masy te stosowane do kremów charakteryzują się tym, że mogą zawierać
niewielką ilość cukru i nie zawierają jaj. Podwyższenie wilgotności wyrobów ciastkarskich
można uzyskać przez użycie surowców wiążących wodę, np. żelatyny, agaru, pektyny.
Zmniejszenie masy wyrobów przy jednoczesnym zwiększeniu objętości w produkcji
cukierniczej uzyskuje się przez wprowadzenie do nich większej ilości powietrza.
Przykładowo wszelkiego rodzaju ciastka i wyroby z masą białkową, np. ptasie mleczko.
Podniesienie zawartości białka polega na zastępowaniu nim tłuszczu lub węglowodanów.
Zastępując tłuszcz białkami obniża się wartość energetyczną wyrobów (1 g białka = 17,2 J,
1 g tłuszczu = 40,0 J). W tym przypadku można stosować odtłuszczone mleko w proszku,
odtłuszczoną mąkę sojową, białczan lub kazeinian sodowy, serwatkę zagęszczoną lub
sproszkowaną. Z tych surowców w cukiernictwie tylko mleko w proszku stosowane jest
powszechnie.
4.3.2. Pytania sprawdzające
Odpowiadając na pytania, sprawdzisz, czy jesteś przygotowany do wykonania ćwiczeń.
1. Jak odróżnić można wyroby produkowane przez cukiernie rzemieślnicze od zakładów
przemysłowych?
2. Co oznacza pojęcie SWW?
3. Czym różnią się wyroby ciastkarskie od piekarskich?
4. W jaki sposób klasyfikowane są wyroby cukiernicze?
5. W jaki sposób klasyfikowane są wyroby ciastkarskie?
6. Czym różni się receptura ciastkarska od receptury cukierniczej?
7. Jaka jest ilość surowców potrzebnych do produkcji określonej ilości półproduktów?
8. Czym różnią się druki związane z dokumentacją magazynowania od druków rozliczenia
produkcji?
9. Jak, korzystając ze wzorów, wypełnić druki produkcyjne?
10. Jakie jest znaczenie kontroli zużycia surowców i opakowań dla wyników finansowych
zakładu cukierniczego?
11. Jaka jest różnica w wartości energetyczne kremu z dodatkiem tłuszczu i bez dodatku
tłuszczu?
4.3.3. Ćwiczenia
Ćwiczenie 1
Korzystając z SWW (tabela 7) lub normy PN-75/A-8801 sklasyfikuj następujące wyroby
cukiernicze:
„Projekt współfinansowany ze środków Europejskiego Funduszu Społecznego”
44
Sposób wykonania ćwiczenia
Aby wykonać ćwiczenie, powinieneś:
1) zapoznać się materiałem zawartym w punkcie 4.3.1,
2) narysować tabelę według wzoru,
3) wypełnić puste pola dobierając numer według SWW i nazwę grupy, podgrupy,
4) zaprezentować wykonane ćwiczenie.
Wyposażenie stanowiska pracy:
− materiały i przybory do pisania,
− tabelę klasyfikacji wyrobów cukierniczych,
− normę PN-75/A-8801,
− literaturę poz. 5 z rozdziału 6 poradnika.
Ćwiczenie 2
Korzystając z receptury ciastkarskiej policz zapotrzebowanie na surowce konieczne do
wyprodukowania 10 kg ciasta parzonego, wynik podaj w kg), 0,5 kg ciasta parzonego (wynik
podaj w g).
Receptura na ciasto parzone
Surowce i półprodukty Ilość w g Ilość w kg
Mąka pszenna typ 500 450 0,45
Margaryna 220 0,22
Woda 540 0,54
Jaja 800 0,80
Sól 5 0,05
Razem 2015 2,015
Straty 1015 1,015
Wydajność 1000 1,000
Sposób wykonania ćwiczenia
Aby wykonać ćwiczenie, powinieneś:
1) zapoznać się materiałem zawartym w punkcie 4.3.1,
2) pomnożyć ilość poszczególnych surowców przez ilość planowanej produkcji,
3) pamiętać, że mnożymy jednakowe jednostki masy (g przez ilość gramów, kg przez ilość
kg),
4) zaprezentować wykonane zadanie.
Wyrób Grupa Podgrupa
Pierniki nadziewane
Pierniki w polewie czekoladowej
Pierniki czekoladowane nadziewane
Kuwertura
„Projekt współfinansowany ze środków Europejskiego Funduszu Społecznego”
45
Wyposażenie stanowiska pracy:
− materiały piśmienne,
− kalkulator,
− stanowiska komputerowe z arkuszem kalkulacyjnym.
Ćwiczenie 3
W ciastkarni opracowano nową recepturę na bułki drożdżowe z serem. Nadaj numer
recepturze ciastkarskiej dla tego wyrobu. W zakładzie wcześniej opracowane były receptury
dla czterech rodzajów ciastek drożdżowych, np. receptura dla ciastka z jagodami w tym
zakładzie ma numer: 2422-1-11-2, dla ciastka z rabarbarem: 2422-1-11-3.
Sposób wykonania ćwiczenia
Aby wykonać ćwiczenie, powinieneś:
1) zapoznać się materiałem zawartym w punkcie 4.3.1,
2) przygotować materiały piśmienne,
3) uważnie przeczytać polecenie,
4) zapisać swoją propozycję numeru receptury zgodnie z podanymi przykładami,
5) zaprezentować wykonane ćwiczenie.
Wyposażenie stanowiska pracy:
− materiały i przybory do pisania,
− receptury z przykładowymi numerami.
Ćwiczenie 4
Wypełnij kartotekę magazynową, jeśli w dniu dzisiejszym do produkcji pobrano 30 kg
mąki, 20 kg cukru
Kartoteka magazynowa
Nazwa produktu mąka pszenna typ 750
Przyjęto Wydano Pozostaje na składzie
Data
Ilość
kg
Cena jednostkowa
zł/1 kg
Data
Ilość
kg
Ilość
kg
20.0X.200X 300 2,00 24.0X.200X
25.0X.200X
40
20
150
130
Sposób wykonania ćwiczenia
Aby wykonać ćwiczenie, powinieneś:
1) przygotować materiały piśmienne, linijkę,
2) zapoznać się materiałem zawartym w punkcie 4.3.1,
3) narysować dwie kartoteki dla zużytych surowców: jedną dla mąki, drugą dla cukru,
4) wypełnić kolumny według wzoru, zamiast X wpisać datę o dwa tygodnie wcześniejszą niż
dzień wykonania ćwiczenia,
5) uzupełnić o ubytek magazynowy wynikający z treści zadania,
6) obliczyć i wpisać, ile surowca pozostało,
7) zaprezentować wykonane ćwiczenie.
„Projekt współfinansowany ze środków Europejskiego Funduszu Społecznego”
46
Wyposażenie stanowiska pracy:
− materiały piśmienne,
− stanowiska komputerowe z arkuszem kalkulacyjnym lub programem magazynowym,
− przykładowe kartoteki magazynowe.
Ćwiczenie 5
Oblicz, ile kartonów potrzebujesz do zapakowania 300 kg karmelków, jeśli wiadomo, że
5 kg mieści się w jednym kartonie.
Sposób wykonania ćwiczenia
Aby wykonać ćwiczenie, powinieneś:
1) zapoznać się materiałem zawartym w punkcie 4.3.1,
2) wykonać obliczenie: podzielić całą ilość produkcji przewidzianej do spakowania przez
ilość cukierków mieszczących się w jednym kartonie,
3) zaprezentować wykonane ćwiczenie.
Wyposażenie stanowiska pracy:
− materiały piśmienne,
− kalkulator,
− przykładowe receptury.
Ćwiczenie 6
Oblicz wartość energetyczną 200 g czekolady nadziewanej, jeśli na opakowaniu znalazłeś
informację, że 100g ma wartość energetyczną 800 kJ.
Sposób wykonania ćwiczenia
Aby wykonać ćwiczenie, powinieneś:
1) zapoznać się materiałem zawartym w punkcie 4.3.1,
2) ułożyć proporcję: 100g – 800kJ
200g – x kJ,
3) obliczyć mnożąc 200g razy 800kJ i dzieląc przez 100g,
4) zapisać otrzymany wynik,
5) napisać odpowiedź,
6) zaprezentować wykonane ćwiczenie.
Wyposażenie stanowiska pracy:
− materiały piśmienne,
− kalkulator,
− różne opakowania po wyrobach cukierniczych.
„Projekt współfinansowany ze środków Europejskiego Funduszu Społecznego”
47
4.3.4. Sprawdzian postępów
Czy potrafisz: Tak Nie
1) skorzystać z receptur do obliczenia zapotrzebowania na surowce? ! !
2) obliczyć zapotrzebowanie na opakowania korzystając z norm zużycia
ich? ! !
3) wyjaśnić znaczenie skrótu SWW? ! !
4) prawidłowo nadawać nazwy wyrobom korzystając z norm? ! !
5) rozróżnić różne druki stosowane w rozliczaniu produkcji
cukierniczej? ! !
6) wypełnić druki dokumentacji magazynowej – pobieranie surowców,
opakowań? ! !
7) określić znaczenie kontroli zużycia surowców i opakowań dla
wyników finansowych zakładu cukierniczego? ! !
8) określić znaczenie i zastosowanie receptur technologicznych
w procesie produkcji? ! !
9) obliczyć wartość energetyczną wyrobu cukierniczego? ! !
„Projekt współfinansowany ze środków Europejskiego Funduszu Społecznego”
48
5. SPRAWDZIAN OSIĄGNIĘĆ
INSTRUKCJA DLA UCZNIA
1. Przeczytaj uważnie instrukcję.
2. Podpisz imieniem i nazwiskiem kartę odpowiedzi, wpisz klasę i datę.
3. Zapoznaj się z zestawem pytań testowych.
4. Test zawiera 20 pytań o różnym stopniu trudności. Są to pytania zamknięte, wielokrotnego
wyboru.
5. Za każdą poprawną odpowiedź uzyskujesz jeden punkt.
6. Odpowiedzi wpisz w „Karcie odpowiedzi”, przekreślając odpowiednią literę znakiem
„X”.
7. Jeżeli się pomylisz – zakreśl kółkiem (nie przeprawiaj!) błędną odpowiedź i znakiem „X”
zaznacz odpowiedź prawidłową.
8. W przypadku zakreślenia więcej niż jednej odpowiedzi uzyskujesz za daną odpowiedź
0 punktów.
9. Pracuj samodzielnie, gdyż w przypadku porozumiewania się z kolegą rozwiązywanie
przez Ciebie testu zostanie przerwane i otrzymasz ocenę niedostateczną.
10. Możesz korzystać z kalkulatora.
11. Kiedy udzielenie odpowiedzi będzie Ci sprawiało trudność, wtedy odłóż jego rozwiązanie
na później i wróć do niego, gdy zostanie Ci czas wolny.
12. Na rozwiązanie testu masz 40 min.
„Projekt współfinansowany ze środków Europejskiego Funduszu Społecznego”
49
ZESTAW ZADAŃ TESTOWYCH
1. Syrop skrobiowy wykorzystywany w ciastkarstwie produkowany jest przez przemysł
a) cukierniczy.
b) ziemniaczany.
c) cukrowniczy.
d) owocowo – warzywny.
2. Do rozwoju cukiernictwa w Europie w XI wieku głównie przyczynili się
a) Francuzi.
b) Włosi.
c) Arabowie.
d) Niemcy.
3. Który wyrób cukierniczy w ilości 100 g ma największą wartość energetyczną, jeśli wia-
domo, że 1 kJ odpowiada 4,17 kcal?
a) 100 g czekolady mlecznej – 2297 kJ
b) 200 g czekolady z bakaliami – 4480 kJ
c) 300 g herbatników maślanych – 5511 kJ
d) 400 g kamyczków orzechowych – 8440 kJ
4. Skrót GHP związany z kontrolą jakości oznacza
a) Gwarantowaną Jakość Żywności.
b) Krytyczne Punkty Kontroli.
c) Dobrą Praktykę Produkcyjną.
d) Dobrą Praktykę Higieniczną.
5. Detergenty dezynfekujące używamy do
a) eliminowania zabrudzeń tylko z maszyn, drobnego sprzętu cukierniczego.
b) mycia wszelkich powierzchni nadających się do sprzątania na mokro.
c) eliminowania owadów fruwających.
d) eliminowania gryzoni.
6. Dodatkową czynnością wykonywaną podczas mycia zdobników jest
a) gotowanie przez kilka minut.
b) usunięcie resztek kremu.
c) wyparzenie gorąca wodą.
d) spłukanie ciepłą wodą.
7. Piecowy powinien posiadać następujące środki ochrony indywidualnej:
a) obuwie robocze, biały strój roboczy, fartuch gumowy, nakrycie głowy.
b) obuwie robocze, biały strój roboczy, rękawice gumowe, nakrycie głowy.
c) obuwie gumowe, biały strój roboczy, rękawice ochronne, nakrycie głowy.
d) obuwie robocze, biały strój roboczy, rękawice ciepłochronne, nakrycie głowy.
„Projekt współfinansowany ze środków Europejskiego Funduszu Społecznego”
50
8. Oblicz, ile należy użyć mąki pszennej do wyprodukowania 20kg ciasta drożdżowego
korzystając z podanego fragmentu receptury ciastkarskiej.
a) 0,6 kg
b) 1,2 kg
c) 12 kg
d) 16 kg
9. Jeśli do produkcji 10 kg ciasta francuskiego pobrano 4000 g mąki pszennej, to jaka ilość
tego surowca była podana w recepturze ciastkarskiej?
a) 4000 g
b) 400 g
c) 40 kg
d) 4 kg
10. Oblicz, ile należy pobrać cukru, aby otrzymać 2000 kg marmoladek korzystając
z podanego fragmentu receptury cukierniczej.
a) 750 kg
b) 800 kg
c) 1500 kg
d) 1400 kg
11. Ile sztuk opakowań jednostkowych należy pobrać z magazynu do zapakowania 3000 kg
cukierków, jeśli w jednym opakowaniu mieści się 3 kg wyrobu gotowego, a z normy wia-
domo, że na 1000 sztuk opakowań straty wynoszą 0,1% (1 sztuka)?
a) 1001 sztuk
b) 3003 sztuk
c) 3000 sztuk
d) 1000 sztuk
12. Zapas surowców sypkich przechowywany jest w zakładzie ciastkarskim w magazynie
a) podręcznym.
b) surowców.
c) dobowym.
d) głównym.
Surowce Ilość w g
Mąka pszenna typ 500
Mleko w płynie
Cukier
Jaja
Tłuszcz
Drożdże
Sól
600
250
100
70
100
20
5
Surowce Ilość w kg
Przecier pomidorowy
Cukier
Syrop skrobiowy
Kwas cytrynowy
Esencje
Barwniki
Genupektyna
780,0
750,0
10,0
12,0
0,5
0,2
2,0
„Projekt współfinansowany ze środków Europejskiego Funduszu Społecznego”
51
13. Ciasta przygotowywane są w
a) odrabiarni.
b) deserowni.
c) piecowni.
d) wykończalni.
14. Komora chłodnicza w ciastkarni powinna znajdować się w
a) magazynie surowców.
b) magazynie opakowań.
c) magazynie podręcznym.
d) magazynie technicznym.
15. Według SWW wyroby ciastkarskie dzielimy na dziewięć
a) rodzajów.
b) typów.
c) grup.
d) podgrup.
16. Masz drobne ranki na dłoniach, dlatego, zanim przystąpisz do produkcji musisz
a) założyć rękawice ciepłochronne.
b) założyć rękawice gumowe.
c) założyć nakrycie głowy.
d) założyć buty gumowe.
17. Worki po mące i ziarnie kakaowym, które podlegają wymianie lub odsprzedaży znajdują
się w magazynie
a) technicznym.
b) opakowań.
c) surowców.
d) podręcznym.
18. Receptura cukiernicza jest opracowana na wydajność
a) 1 kg wyrobu gotowego.
b) 10 kg wyrobu gotowego.
c) 100 kg wyrobu gotowego.
d) 1000 kg wyrobu gotowego.
19. Dokumentacja dotycząca ruchu surowców – np. jaj i cukru prowadzona jest
a) w wykazie ilości pobranych i zużytych surowców.
b) w kartotece magazynu wyrobów gotowych.
c) w kartotece magazynowej surowców.
d) w wykazie wykonanej produkcji.
20. Polewa kakaowa należy do grupy według Systematycznego Wykazu Wyrobów i PN:
a) Kakao.
b) Wyroby czekoladowane.
c) Półprodukty cukiernicze.
d) Wyroby czekoladopodobne i wyroby w polewie kakaowej.
„Projekt współfinansowany ze środków Europejskiego Funduszu Społecznego”
52
KARTA ODPOWIEDZI
Imię i nazwisko ……………………………………………………………………
Przygotowanie produkcji cukierniczej
Zakreśl poprawną odpowiedź
Nr
zadania
Odpowiedź Punkty
1 a b c d
2 a b c d
3 a b c d
4 a b c d
5 a b c d
6 a b c d
7 a b c d
8 a b c d
9 a b c d
10 a b c d
11 a b c d
12 a b c d
13 a b c d
14 a b c d
15 a b c d
16 a b c d
17 a b c d
18 a b c d
19 a b c d
20 a b c d
Razem:
„Projekt współfinansowany ze środków Europejskiego Funduszu Społecznego”
53
6. LITERATURA
1. Ambroziak Z.: Produkcja piekarsko-ciastkarska cz. 1. WSiP, Warszawa 2006
2. Deschamps B.,Deschaintre J.: Ciastkarstwo – podręcznik do nauki zawodu cukiernik.
REA, OZGraf, Olsztyn
3. Dojutrek C., Pietrzyk A.: Ciastkarstwo – podręcznik technologii dla ZSZ. WSiP,
Warszawa 2000
4. Schüeman C., Treu G. Technologia produkcji wyrobów piekarsko-cukierniczych.
Wydawnictwo Fachowe Gilde Sp. Z o.o. Warszawa, Warszawa 1996
5. Szymczak Wyczański (red.): Słownik języka polskiego. PWN, Warszawa
6. Wyczański S. Cukiernictwo. WSiP, Warszawa 2004
7. Turlejska H., Pelzner U., Konecka-Matyjek E., Wiśniewska K.: Przewodnik do wdrażania
zasad GMP/GHP i systemu HACCP w zakładach żywienia zbiorowego. Fundacja
Programów Pomocy dla Rolnictwa, Warszawa, 2003

5

  • 2.
    „Projekt współfinansowany ześrodków Europejskiego Funduszu Społecznego” MINISTERSTWO EDUKACJI NARODOWEJ Ewa Jatczak Przygotowanie produkcji cukierniczej 741[01].Z1.01 Poradnik dla ucznia Wydawca Instytut Technologii Eksploatacji – Państwowy Instytut Badawczy Radom 2007
  • 3.
    „Projekt współfinansowany ześrodków Europejskiego Funduszu Społecznego” 1 Recenzenci: mgr inż. Maria Groen dr inż. Janina Potiopa Opracowanie redakcyjne: mgr inż. Joanna Kośka Konsultacja: mgr inż. Barbara Kapruziak Poradnik stanowi obudowę dydaktyczną programu jednostki modułowej Przygotowanie produkcji cukierniczej 741[01].Z1.01 zawartego w modułowym programie nauczania dla zawodu cukiernik Wydawca Instytut Technologii Eksploatacji – Państwowy Instytut Badawczy, Radom 2007
  • 4.
    „Projekt współfinansowany ześrodków Europejskiego Funduszu Społecznego” 2 SPIS TREŚCI 1. Wprowadzenie 3 2. Wymagania wstępne 5 3. Cele kształcenia 6 4. Materiał nauczania 7 4.1 Charakterystyka zakładów cukierniczych i ciastkarskich 7 4.1.1. Materiał nauczania 7 4.1.2. Pytania sprawdzające 14 4.1.3. Ćwiczenia 15 4.1.4. Sprawdzian postępów 18 4.2. Higiena i bezpieczeństwo w zakładzie cukierniczym 19 4.2.1. Materiał nauczania 19 4.2.2. Pytania sprawdzające 28 4.2.3. Ćwiczenia 29 4.2.4. Sprawdzian postępów 31 4.3. Rozliczenie produkcji w zakładzie cukierniczym 32 4.3.1. Materiał nauczania 32 4.3.2. Pytania sprawdzające 43 4.3.3. Ćwiczenia 43 4.3.4. Sprawdzian postępów 47 5. Sprawdzian osiągnięć 48 6. Literatura 53
  • 5.
    „Projekt współfinansowany ześrodków Europejskiego Funduszu Społecznego” 3 1. WPROWADZENIE Poradnik będzie Ci pomocny w przyswajaniu wiedzy o przygotowaniu produkcji cukierniczej, z uwzględnieniem kierunków rozwoju cukiernictwa, struktury organizacyjnej zakładu, norm, receptur, dokumentacji produkcyjnej i rozliczeniowej, przepisów bezpieczeństwa i higieny pracy oraz systemów jakości. Poradnik ten zawiera: 1. Wymagania wstępne, czyli wykaz niezbędnych umiejętności i wiadomości, które powinieneś mieć opanowane, aby przystąpić do realizacji tej jednostki modułowej. 2. Cele kształcenia jednostki modułowej. 3. Materiał nauczania, który umożliwia samodzielne przygotowanie się do wykonania ćwiczeń i udzielenia prawidłowych odpowiedzi na pytania testowe. Materiał jest podzielony na trzy bloki, a w obrębie każdego z nich znajdują się również pytania sprawdzające, przygotowujące do wykonania ćwiczenia oraz opis sposobu wykonania ćwiczenia wraz z wykazem materiałów, narzędzi i sprzętu potrzebnego do jego realizacji. Na podsumowanie każdego bloku materiału znajduje się także sprawdzian postępów, który ma Ci uświadomić, czy opanowałeś materiał. Powinieneś poszerzać swoją wiedzę i w tym celu korzystaj z różnych źródeł informacji, również ze wskazanej w ostatnim rozdziale literatury. Jeżeli masz trudności ze zrozumieniem tematu lub ćwiczenia, to poproś nauczyciela lub instruktora o wyjaśnienie i ewentualne sprawdzenie, czy dobrze wykonujesz daną czynność. Po przerobieniu materiału spróbuj zaliczyć sprawdzian z zakresu jednostki modułowej. Jednostka modułowa: Przygotowanie produkcji cukierniczej, której treści teraz poznasz jest jednym z dwóch jednostek modułowych koniecznych do zapoznania się z organizacją produkcji. W czasie pobytu w pracowni (klasa, pracownia informatyczna), musisz przestrzegać regulaminów, przepisów bhp oraz instrukcji przeciwpożarowych, wynikających z rodzaju wykonywanych prac. Przepisy te poznasz w trakcie trwania nauki.
  • 6.
    „Projekt współfinansowany ześrodków Europejskiego Funduszu Społecznego” 4 Schemat układu jednostek modułowych 741[01].Z1 Organizacja produkcji 741[01].Z1.01 Przygotowanie produkcji cukierniczej 741[01].Z1.02 Przygotowanie surowców i półproduktów do produkcji wyrobów cukierniczych
  • 7.
    „Projekt współfinansowany ześrodków Europejskiego Funduszu Społecznego” 5 2. WYMAGANIA WSTĘPNE Przystępując do realizacji programu jednostki modułowej powinieneś umieć: − korzystać z różnych źródeł informacji, − rozróżniać surowce i materiały pomocnicze w przetwórstwie spożywczym, − charakteryzować zagrożenia związane z wykonywaniem pracy oraz ochroną środowiska, − definiować pojęcie norma i normalizacja, − interpretować informacje zawarte w normach dotyczące przetwórstwie spożywczym, korzystać z norm, − wymieniać systemy jakości stosowane w przetwórstwie spożywczym, − określać rodzaje zagrożeń dla bezpieczeństwa zdrowotnego gotowych produktów w przetwórstwie spożywczym − stosować systemy jakości obowiązujące w przetwórstwie spożywczym, − określać znaczenie składników pokarmowych dla organizmu człowieka, − obliczać wartość energetyczną produktów spożywczych, − obsługiwać komputer (włączyć, wyłączyć, uruchomić program, zapisać pliki), − korzystać z arkusza kalkulacyjnego (poruszać się po komórkach arkusza, wykorzystywać podstawowe funkcje).
  • 8.
    „Projekt współfinansowany ześrodków Europejskiego Funduszu Społecznego” 6 3. CELE KSZTAŁCENIA W wyniku realizacji programu jednostki modułowej powinieneś umieć: − określić znaczenie oraz kierunki rozwoju produkcji cukierniczej, − obliczyć wartość energetyczną wyrobów cukierniczych i ciastkarskich, − określić metody kontroli jakości produkcji wyrobów cukierniczych, − określić sposoby utrzymania czystości w zakładzie cukierniczym, − dobrać środki ochrony indywidualnej w zależności od rodzaju wykonywanej pracy w zakładzie cukierniczym, − zorganizować stanowisko pracy zgodnie z wymaganiami ergonomii w zakładzie cukierniczym, − skorzystać z receptur, norm zużycia opakowań oraz informacji zamieszczonych w instrukcjach technologicznych dotyczących produkcji ilość zakładów cukierniczych, − obliczyć ilość surowców potrzebnych do produkcji określonej ilości półproduktów, wyrobów cukierniczych i ciastkarskich, − obliczyć ilość opakowań do określonej produkcji cukierniczej, − określić strukturę zakładów cukierniczych i ciastkarskich, − określić rolę działu produkcyjnego i działów pomocniczych w zakładzie cukierniczym, − rozróżnić wzory druków niezbędnych do sporządzania dokumentacji produkcyjnej, − wypełnić formularze związane z prowadzeniem dokumentacji produkcyjnej i rozliczeniowej, − obliczyć zużycie surowców i opakowań w zakładzie cukierniczym, − określić znaczenie kontroli zużycia surowców opakowań w zakładzie cukierniczym.
  • 9.
    „Projekt współfinansowany ześrodków Europejskiego Funduszu Społecznego” 7 4. MATERIAŁ NAUCZANIA 4.1. Charakterystyka zakładów cukierniczych i ciastkarskich 4.1.1. Materiał nauczania Kierunki rozwoju produkcji cukierniczej Początek cukiernictwa sięga dalekiej przeszłości. Ponieważ najpierw rozwijała się produkcja pieczywa, dlatego przypuszcza się, że wyroby ciastkarskie pochodzą od nich. Wraz z upływem czasu ciasto przeznaczone do wypieku pieczywa wzbogacano dodatkiem miodu pszczelego otrzymując wyrób zbliżony do miodowników. W ten sposób poprzez zastosowanie nowego surowca uległ rozszerzeniu asortyment pieczywa cukierniczego. W Europie w XI wieku w miejscowości Salerno Arabowie założyli pierwszą szkołę cukierniczą. Rozwój ciastkarstwa na ziemiach polskich datuje się od XVII i XVIII wieku dzięki imigracji włoskiej, głównie z Wenecji i Salerno. Uczniowie uzyskiwali umiejętność otrzymywania cukru z trzciny cukrowej, sporządzania soków, konfitur, lekarstw, ponieważ miód i cukier traktowane były w tym czasie jako środki lecznicze. Na początku XIX wieku w polskich dworach istniały dwie apteczki – w jednej przechowywano nalewki i medykamenty, a w drugiej – zwanej „apteczka przyjemną” – korzenie (przyprawy), migdały, rodzynki, owoce cytrusowe (obtaczane roztopionym woskiem, aby długo pozostały świeże), zamorski cukier trzcinowy, zwany kanarem (od Wysp Kanaryjskich), a także wielkie głowy cukru buraczanego. Cukier był jednak drogi i dlatego tradycyjnie słodzono potrawy miodem lub melasą domowego wyrobu. Dzięki odkryciom geograficznym w Europie pojawiły się tzw. przyprawy korzenne (np. goździki, cynamon, imbir, pieprz). Zastosowanie ich w ciastkarstwie spowodowało wyprodukowanie nowego wyrobu – pierników w takich miastach jak Gdańsk, Tuła, Norymbergia, Toruń. Do dnia obecnego Toruń jest głównym ośrodkiem produkcji pierników w Polsce. W XIX wieku przemysł cukierniczy zaczął się bardzo szybko rozwijać dzięki rozpoczęciu otrzymywania cukru na skalę przemysłową z buraka cukrowego. Pierwsza cukrownia wykorzystująca jako źródło sacharozy buraka cukrowego powstała w Kowarach na Dolnym Śląsku. Cukier jako podstawowy surowiec ciastkarski przestał być towarem luksusowym, wyroby cukiernicze, dzięki niższej cenie, zaczęły być dostępne szerszej grupie odbiorców, co sprzyjało rozwojowi starych i powstawaniu nowych zakładów rzemieślniczych. Kolejnym etapem w rozwoju produkcji wyrobów cukierniczych był rozwój techniki związanej z uzyskiwaniem jasnych gatunków mąki. W Polsce w okresie międzywojennym powstały fabryki wyrobów cukierniczych produkujących z cukru, przetworów owocowych, wyrobów czekoladowych różnorodny asortyment cukierków, galaretek, wyrobów wschodnich np. chałwy itp. Obecnie produkcję można podzielić na dwa rodzaje zakładów: przemysłowe i rzemieślnicze. Pierwsze z nich produkują wyroby trwałe, wymagające linii technologicznych i dużej mechanizacji (np. produkujące wyroby wschodnie, cukierki, wyroby czekoladowe i czekoladę, pierniki, wafle), drugie to małe zakłady produkujące wyroby nietrwałe, o dużym nakładzie pracy ludzkiej (np. wyroby sztukowe z ciast drożdżowych, kruchych, francuskich). Ciastkarstwo i cukiernictwo w dalszym ciągu rozwija się poprzez stosowanie nowych dodatków, dekoracji, opakowań, które mają za zadanie przyciągać oko potencjalnych klientów i spełnią oczekiwania jak największej rzeszy odbiorców. Cukiernictwo jest jedną z kilkunastu branż przemysłu spożywczego, które są ze sobą ściśle związane i wzajemnie zależne. Końcowe produkty jednej branży przemysłu są
  • 10.
    „Projekt współfinansowany ześrodków Europejskiego Funduszu Społecznego” 8 niejednokrotnie podstawowymi surowcami lub materiałami pomocniczymi dla innej branży. Cukiernictwo jest przemysłem wyjątkowo przetwórczym, ponieważ przerabia ponad sto różnych surowców na setki wyrobów. Poszczególne grupy surowców są dostarczane przez następujące branże przemysłu spożywczego: − cukier biały, cukier biały przemysłowy, cukier rafinowany – przemysł cukrowniczy, − syropy skrobiowe, glukoza krystaliczna, mączka ziemniaczana – przemysł ziemniaczany (skrobiowy), − mleko spożywcze, mleko w proszku, śmietana, masło – przemysł mleczarski, − mąka pszenna, mąka żytnia – przemysł zbożowo-młynarski, − tłuszcz cukierniczy, margaryna, ceres, oleje roślinne, lecytyna, smalec – przemysł tłuszczowy, − pulpy owocowe, przeciery owocowe, konfitury, dżemy, marmolada, owoce kandyzowane, soki owocowe zagęszczone, koncentraty owocowe – przemysł owocowo-warzywny, − jaja kurze, masa jajowa pasteryzowana mrożona, jaja w proszku, białka w proszku, żółtka w proszku – przemysł jajczarski, − korzeń mydlnicy, liść podbiału, korzeń żywokostu, korzeń prawoślazu, olejek miętowy, mentol, esencje spożywcze, owoc kminku, owoc kopru włoskiego, owoc anyżu – przemysł zielarski, − spirytus rektyfikowany, likiery, rum, drożdże piekarskie prasowane, suszone lub mrożone – przemysł spirytusowy, − wina (wermuty) – przemysł winiarski, − żelatyna spożywcza – przemysł paszowy, − preparaty witaminowe, etylowanilina, ryż preparowany, ekstrakt kawy naturalnej – przemysł koncentratów spożywczych, − ekstrakt słodowy – przemysł piwowarsko-słodowy. Klasyfikacja zakładów cukierniczych Ze względu na wyposażenie techniczne i zakres mechanizacji produkcji wyróżnia się: − zakłady typu rzemieślniczego – są to zakłady zaopatrzone jedynie w podstawowe maszyny i urządzenia; w zakładach tego typu wiele czynności wykonywanych jest ręcznie przez człowieka, − zakłady typu przemysłowego – wyposażone w liczne maszyny i urządzenia, zmechanizowane linie produkcyjne; w zakładach tych praca człowieka sprowadza się do sterowania maszynami i urządzeniami. Ze względu na asortyment produkcji wyróżnia się: − zakłady specjalistyczne – produkujące wyroby należące do jednej grupy (np. cukiernia produkująca pierniki), − zakłady wąskoasortymentowe – produkujące niewiele (2 – 3 grupy wyrobów), − zakłady szerokoasortymentowe – produkujące wiele różnorodnych wyrobów (cukiernie rzemieślnicze). Ze względu na zdolność produkcyjną wyróżnia się zakłady: − małe – np. cukiernie produkujące do 6 t wyrobów, − średnie – np. cukiernie produkujące do 12 t wyrobów, − duże – np. cukiernie produkujące powyżej 12 t wyrobów.
  • 11.
    „Projekt współfinansowany ześrodków Europejskiego Funduszu Społecznego” 9 Zdolność produkcyjna – to maksymalna ilość wyrobów umownych odpowiadających normom jakości, jaką można wyprodukować w określonym czasie, przy optymalnym wykorzystaniu podstawowych urządzeń produkcyjnych oraz stosowaniu odpowiednich technologii i organizacji pracy. W ciastkarstwie – za wyrób umowny przyjmuje się wyroby drożdżowe lub francuskie o masie 50 g. Zadaniem technologii jest ustalenie takiego procesu produkcyjnego w zakładzie, który pozwoli otrzymywać wyrób gotowy wysokiej jakości, w miarę tanio i szybko. Technolog jest organizatorem procesu produkcyjnego w zakładzie. Zakres jego obowiązków zależy od zajmowanego stanowiska (np. technolog główny, technolog zmianowy). surowce półprodukty wyroby gotowe Rys. 1. Schemat blokowy zakładu cukierniczego typu rzemieślniczego Pojęcia technologiczne: − technologia (z gr. Rzemiosło) – to nauka, która zajmuje się metodami produkcji (sztuką wytwarzania wyrobów), Dostawy Myjnia sprzętu Magazyn surowców Przygotowalnia półproduktów Odrabiarnia Piecownia Wykończalnia (deserownia) Magazyn wyrobów gotowych Dezynfekcja jaj Komora fermentacyjna Pakowanie Magazyn opakowań Myjnia pojemników Magazyn opakowańOdbiorcy
  • 12.
    „Projekt współfinansowany ześrodków Europejskiego Funduszu Społecznego” 10 − produkcja – polega na przetwarzaniu surowców na półprodukty, a następnie na wyroby gotowe. − ciastkarz – cukiernik – pracownik zawodowo zajmujący się wytwarzaniem ciastek lub innych słodkich wyrobów, − ciasto – jest półproduktem, jednorodną, elastoplastyczną masą powstałą z połączenia mąki, wody i innych surowców. Ciasta mogą być spulchniane fizycznie, chemicznie lub biologicznie. Tabela 1. Przykładowe surowce, półprodukty oraz wyroby cukiernicze: Surowce cukier, jaja, tłuszcz, mąka pszenna, środki spulchniające, środki żelujące, owoce, śmietana, substancje smakowo- zapachowe, inne Półprodukty (otrzymywane w cukierni) masy, rozczyn, ciasta, kremy, glazury, owoce w syropie, pomady, kuwertury, masa karmelowa, inne Wyroby gotowe ciastka sztukowe, torty, babki, placki, mazurki, serniki, cukierki, wyroby wschodnie (chałwa, sezamki), wafelki, czekolady, inne Rys. 2. Schemat blokowy – etapy produkcji ciastkarskiej Fermentacja półproduktów z ciasta drożdżowego Wypiek ciasta Dekorowanie wyrobów Magazynowanie surowców Przygotowalnie surowców Wytwarzanie półproduktów Formowanie półproduktów Składanie wyrobów
  • 13.
    „Projekt współfinansowany ześrodków Europejskiego Funduszu Społecznego” 11 Działy zakładów cukierniczych i ciastkarskich Każda ciastkarnia niezależnie od wielkości produkcji oraz rozmiarów bazy lokalowej składa się z pomieszczeń przystosowanych do wykonywania zabiegów (czynności technologicznych, pomieszczeń magazynowych oraz tzw. zaplecza socjalno- administracyjnego . Poniżej przedstawione są działy jakie powinny występować w zakładzie cukierniczym. Dział produkcyjny − przygotowalnia półproduktów – w której z surowców przygotowywane są masy, kremy, ciasta, pomady i inne półprodukty, − odrabiania – w której półprodukty poddaje się obróbce, np. kształtowaniu, przygotowaniu do wypieku, − komora fermentacyjna (rozrostownia, garownia) – w której następuje rozrost ukształtowanych wyrobów z ciasta drożdżowego, − piecownia – w której odbywa się wypiek, − deserownia (wykończalnia) – w której z półproduktów składa się wyroby gotowe i dekoruje je. Dział magazynowy − magazyn surowców, − magazyn wyrobów gotowych, − magazyn opakowań, − magazyn techniczny. Dział administracyjny − pomieszczenia biurowe, − zaplecze socjalne dla pracowników nieprodukcyjnych. Dział socjalny − szatnia czysta i brudna, − węzły sanitarne (toalety, prysznice), − pomieszczenie śniadań. Cechy charakterystyczne poszczególnych działów Magazyny Magazyn surowców Można w nim wyróżnić: magazyn główny, podręczny i dobowy. Różnorodność surowców zużywanych do produkcji ciastkarskiej i cukierniczej wymaga takiego doboru miejsca ich składowania, aby w czasie przechowywania nie utraciły swoich cech i właściwości, nie uległy zepsuciu i aby mogły być gotowe do użycia w każdym czasie. Ogólnie pomieszczenia magazynowe powinny być chłodne, suche i przewiewne, zabezpieczone przed działaniem promieni słonecznych. W magazynie powinny być wydzielone stałe miejsca składowania poszczególnych rodzajów surowców. Miejsce przeznaczone na składowanie surowców dostarczanych w workach (mąka pszenna, mąka żytnia, cukier, mąka ziemniaczana, mak, ziarno kakaowe i inne) – powinno być wyposażone w drewniane podesty i drewniane kratki uniemożliwiające stykanie się worków ze ścianami. Swobodny dopływ powietrza do tych surowców pozwala na zapobieganie niekorzystnym zmianom w czasie przechowywania (np. „zagrzewaniu się mąki”. Do przechowywania surowców dostarczanych w kartonach, butelkach, puszkach i podobnych opakowaniach (np. marmolada, syrop ziemniaczany, substancje smakowo- -zapachowe) przeznacza się regały, w które również powinien być wyposażony magazyn.
  • 14.
    „Projekt współfinansowany ześrodków Europejskiego Funduszu Społecznego” 12 W ciastkarniach znaczny udział w surowcach zużywanych do produkcji stanowią: tłuszcze, jaja, drożdże, które powinny być magazynowane w niskich temperaturach (np. tłuszcze, ser, jaja od 0 do 4o C) i dlatego magazyn koniecznie musi być wyposażony w komory chłodnicze zabezpieczające przed zepsuciem tych surowców. Jaja nie powinny być przechowywane wraz z innymi surowcami, dlatego muszą przynajmniej występować dwie komory chłodnicze, jedna dla jaj, druga dla tłuszczu i drożdży. Jeśli w zakładzie wykorzystywane są surowce mrożone (np. masa jajowa mrożona, drożdże mrożone, owoce mrożone) konieczne jest wyposażenie magazynu w zamrażarkę, gdzie temperatura składowania byłaby poniżej 0o C. W magazynie podręcznym powinny znajdować się surowce wykorzystywane w niewielkich ilościach, drogie (np. orzechy, migdały, spirytus). Magazyn dobowy jest zwłaszcza konieczny w zakładzie, gdzie praca jest kilkuzmianowa Usytuowany jest w bezpośredniej bliskości działu produkcyjnego. Gromadzi się w nim surowce zapewniające ciągłość produkcji na czas jednej doby. Wyposażenie podobne jest jak w magazynie głównym, jego wielkość jest jednak znacznie mniejsza. Nie należy wykorzystywać całej powierzchni magazynowej do składowania surowców. Około 30% powierzchni magazynu należy przeznaczyć na układ wewnętrznej komunikacji zabezpieczającej swobodny dostęp do wszystkich magazynowanych surowców. Magazyn opakowań Ten magazyn można podzielić na magazyn surowców wtórnych, opakowań, pojemników. W magazynie surowców wtórnych gromadzone są wszelkie opakowania podlegające zwrotowi lub odsprzedaży, np. skrzynki po jajach, beczki po miodzie, syropie skrobiowym, opakowania po przetworach owocowych, skrzynki po drożdżach, worki po surowcach sypkich. W magazynie opakowań przechowywane są np. opakowania jednostkowe, zbiorcze, papier do wykładania pojemników, czyli te surowce, które służą do zapakowania wyrobu dla odbiorcy. Ten magazyn powinien znajdować się w pobliżu deserowi i magazynu wyrobów gotowych. Powinien być wyposażony w regały. Magazyn pojemników powinien znajdować się obok deserowi i magazynu wyrobów gotowych oraz myjni pojemników. Powinny znajdować się w nim wózki do układania pojemników ciastkarskich. Magazyn wyrobów gotowych Magazyn wyrobów gotowych przeznaczony jest do gromadzenia wyrobów wykonanych w cukierni. Magazyn ten jest przystosowany do pakowania wyrobów w opakowania zbiorcze, w których towar ekspediowany jest do odbiorców. Ze względu na wymagania higieniczno sanitarne z magazynem wyrobów gotowych współpracuje myjnia pojemników zapewniająca układanie wyrobów wyłącznie do czystych opakowań. Wyposażenie stanowią regały oraz komory chłodnicze przeznaczone do przechowywania wyrobów kremowych. Ze względu na spełnianą funkcję powinien mieć oddzielne wejście (ekspedycja wyrobów gotowych) oraz połączenie z działem wykończającym wyroby gotowe. Magazyn techniczny W takim magazynie, przeważnie na regałach znajdować się powinny części zamienne do maszyn i urządzeń, zapasowy drobny sprzęt, środki i materiały do utrzymania czystości.
  • 15.
    „Projekt współfinansowany ześrodków Europejskiego Funduszu Społecznego” 13 Działy produkcyjne (pracownia) W dużym zakładzie cukierniczym, w którym zużycie cukru pudru jest duże (np. produkcja cukierków pudrowych, produkcja biszkoptów w zakładach San w Jarosławiu) cukier puder mielony jest na miejscu. Takie działanie jest korzystne zarówno z powodów ekonomicznych (cukier kryształ jest tańszy od cukru pudru) jak i technologicznych (cukier puder jest higroskopijny i dlatego łatwo chłonie wilgoć z otoczenia zbrylając się, dlatego nie można go długo magazynować). Mielenie cukru musi odbywać się w oddzielnym pomieszczeniu, które zaopatrzone jest w wentylatory przeciwwybuchowe. Drobny pył cukrowy jest mieszanką wybuchową. Przygotowalnia półproduktów W przygotowalni półproduktów sporządza się między innymi ciasta, masy makowe, serowe, kremy. Zalecane jest oddzielenie miejsca w których sporządza się kremy od miejsca sporządzania ciast. Powinno być również wydzielone miejsce do dezynfekcji jaj. Ta część pracowni powinna być wyposażona w ubijarkę (sporządzanie kremów, ciast), trójwalcówkę (miażdżenie maku, orzechów, migdałów), wilk (rozdrabnianie sera), przesiewacz do mąki. W przygotowalni mają swój początek procesy technologiczne wszystkich wyrobów wykonywanych w ciastkarni. Odrabiarnia Jest to część działu produkcyjnego wyposażonego w stoły produkcyjne, wałkowarkię oraz urządzenia formujące (zaokrąglarkę, wydłużarkę, rogalikarkę). Na stołach odbywa się formowanie półproduktów takich jak: np. blaty kruche, francuskie, biszkoptowe, biszkoptowo–tłuszczowe, ciastka drożdżowe, strucle). Odrabiarnia powinna być wyposażona w wózki etażowe, regały, stojaki, drobny sprzęt przeznaczony do formowania wyrobów (wycinacze, wałki, zdobniki, szablony). W dużym zakładzie cukierniczym typu przemysłowego, gdzie jest duży stopień mechanizacji urządzenia kształtujące, formujące i wykończające ustawione są w linii technologicznej i znajdują się oczywiście w jednym pomieszczeniu. W takim zakładzie podział działów produkcyjnych będzie inny niż w zakładzie rzemieślniczym, zazwyczaj związany jest z produkowanym wyrobem, np. dział produkcji czekolady, dział chałwowy, dział karmelarski. Piecownia Jest to część wydzielona do obróbki termicznej. Głównym jej wyposażeniem jest piec, oraz w przypadku produkcji wyrobów drożdżowych – komora fermentacyjna. Piec cukierniczy powinien umożliwiać wypiek w różnych temperaturach. Deserownia (wykończalnia wyrobów) Ten dział jest przeznaczony przede wszystkim do składania wypieczonych półproduktów na określone rodzaje ciastek, tortów itp. Podstawowe wyposażenie deserowni stanowią stoły produkcyjne, stojaki do ustawiania kotłów i pojemników z kremami, przetworami owocowymi, masami, wózki etażowe i regały przyścienne do układania wyrobów na deskach produkcyjnych. Deserownia powinna być również wyposażona w zdobniki metalowe i woreczki do wyciskania kremów, noże, kopyście, wałki. Ze względu na konieczność schładzania wyrobów, nawet w czasie cyklu wytwarzania (np. wyroby wykończone galaretką) powinna w deserowni znajdować się komora chłodnicza.
  • 16.
    „Projekt współfinansowany ześrodków Europejskiego Funduszu Społecznego” 14 Z pracownią powinna łączyć się myjnia sprzętu produkcyjnego. Jest to pomieszczenie wyposażone w basen (do mycia kotłów), zlewy, wodę bieżącą gorącą i zimną oraz regały do suszenia wymytego sprzętu. Coraz częściej zakłady rzemieślnicze wyposażane są w zmywarki elektryczne. W myjni odbywa się mycie i wyparzanie drobnego sprzętu ciastkarskiego (woreczki, zdobniki, noże, wycinacze). Dział socjalny Dział socjalny obejmuje pomieszczenia szatni, węzły sanitarne (toalety, umywalki, prysznice), pomieszczenie śniadań (spożywanie posiłków w czasie przerwy w pracy). Każda szatnia powinna składać się z dwóch części: w pierwszej (tzw. szatnia brudna) pracownicy pozostawiają odzież domową, przechodzą do pomieszczeń natrysków i po kąpieli, w drugiej części (tzw. szatnia czysta) zakładają odzież roboczą. Dział administracyjny Dział administracyjny jest to część zakładu, w którym wykonywane są czynności związane z kierowaniem, administrowaniem i rozliczaniem ciastkarni. Pracownicy administracyjni powinni mieć oddzielne wejście i część sanitarną. Przedstawiony na schemacie 1 wewnętrzny układ poszczególnych pomieszczeń ciastkarni wyczerpuje całokształt zagadnień związanych z organizacją pracy. Jest on identyczny nawet w przypadku wyposażenia ciastkarni w znaczną ilość specjalistycznych maszyn i urządzeń ustawionych w sposób odpowiedni do produkcji potokowej – czyli ustawione są linie produkcyjne. Przy znacznym stopniu umaszynowienia w cukierni może występować tzw. zaplecze techniczne tj. warsztat przeznaczony do wykonywania niezbędnych napraw maszyn i urządzeń oraz okresowej ich konserwacji. 4.1.2. Pytania sprawdzające Odpowiadając na pytania, sprawdzisz, czy jesteś przygotowany do wykonania ćwiczeń. 1. Zastosowanie jakich surowców spowodowało rozwój cukiernictwa? 2. Z jakimi gałęziami przemysłu współpracuje przemysł cukierniczy wykorzystując ich produkcję? 3. Jakie działy wyodrębniamy w cukierni? 4. Jakie pomieszczenia magazynowe występować mogą w zakładzie ciastkarskim? 5. Jak podzielony może być magazyn surowców? 6. W jaki sposób przechowywane powinny być wyroby sypkie? 7. W jaki sposób przechowywane powinny być wyroby nietrwałe? 8. Gdzie gromadzimy surowce podlegające zwrotowi, np. beczki po syropie ziemniaczanym? 9. Jakie surowce przechowujemy w chłodniach?
  • 17.
    „Projekt współfinansowany ześrodków Europejskiego Funduszu Społecznego” 15 4.1.3. Ćwiczenia Ćwiczenie 1 Pewne zdarzenia w przeszłości były motorem postępu i rozwoju cukiernictwa, przeanalizuj je i przyporządkuj podanym w tabeli zdarzeniom, jaki surowiec (surowce) został zastosowany w cukiernictwie, dzięki czemu nastąpił rozwój i urozmaicenie wyrobów cukierniczych. Sposób wykonania ćwiczenia Aby wykonać ćwiczenie, powinieneś: 1) zapoznać się materiałem zawartym w punkcie 4.1.1, 2) narysować tabelę według wzoru, 3) wypełnić puste pola dobierając surowiec związany z danym zdarzeniem, który wpłynął na rozwój przemysłu cukierniczego, 4) zaprezentować wykonane ćwiczenie. Wyposażenie stanowiska pracy: − materiały i przybory do pisania, − literatura poz. 3, 2, 6 z rozdziału 6 poradnika. Ćwiczenie 2 Cukiernictwo jest przemysłem wykorzystującym jako surowiec produkty wielu gałęzi przemysłu spożywczego. Dobierz surowce cukiernicze do przemysłu spożywczego, który je produkuje (lub odwrotnie). Zdarzenie Surowiec Dodanie środka słodzącego do pieczywa (miodowniki) Odkrycia geograficzne Rozwój młynarstwa Powstanie pierwszej cukrowni w Kowarach na Dolnym Śląsku Przemysł produkujący surowce Surowiec wykorzystywany w cukiernictwie jajczarski likiery, rum, spirytus cukrowniczy zielarski syrop skrobiowy, mąka ziemniaczana młynarsko-zbożowy marmolada, koncentraty owocowe
  • 18.
    „Projekt współfinansowany ześrodków Europejskiego Funduszu Społecznego” 16 Sposób wykonania ćwiczenia Aby wykonać ćwiczenie, powinieneś: 1) zapoznać się materiałem zawartym w punkcie 4.1.1, 2) narysować tabelę według. wzoru, 3) wypełnić puste pola dobierając surowiec związany z danym przemysłem, który jest wykorzystywany w cukiernictwie, lub dobrać przemysł do surowca, 4) zaprezentować wykonane ćwiczenie. Wyposażenie stanowiska pracy: − tablice z gałęziami przemysłu spożywczego, − rzutnik (projektor) z tabelami przemysłu spożywczego w powiązani z produkowanymi przez nich asortymentami, − karteczki z zapisanymi surowcami i gałęziami przemysłu spożywczego (przy zastosowa- niu gier dydaktycznych, − materiały i przybory do pisania, − literatura poz. 6 z rozdziału 6 poradnika. Ćwiczenie 3 Przeanalizuj działy występujące w ciastkarni i przedstaw je w formie diagramu. Sposób wykonania ćwiczenia Aby wykonać ćwiczenie, powinieneś: 1) zapoznać się materiałem zawartym w punkcie 4.1.1, 2) narysować diagram według wzoru, 3) uzupełnić diagram wpisując działy występujące w zakładzie cukierniczym w miejsce „?”, 4) zaprezentować wykonane ćwiczenie. Wyposażenie stanowiska pracy: − literatura poz. 3 z rozdziału 6 poradnika − przybory rysunkowe, − stanowiska komputerowe, − rzutnik multimedialny z komputerem. Ćwiczenie 4 Opracuj schemat rozmieszczenia pomieszczeń w zakładzie cukierniczym. Sposób wykonania ćwiczenia Aby wykonać ćwiczenie, powinieneś: 1) przygotować kartkę papieru technicznego formatu A4 – gładką, Zakład produkcyjny Dział ? Dział ? Dział ? Dział ?
  • 19.
    „Projekt współfinansowany ześrodków Europejskiego Funduszu Społecznego” 17 2) narysować prostokąt o wymiarach 16 cm x 25 cm– będą to ściany zewnętrzne zakładu, 3) zapoznać się materiałem zawartym w punkcie 4.1.1, 4) zaznaczyć wejście do zakładu (powinno być inne dla osób bezpośrednio produkcyjnych i administracji), 5) zaznaczyć poszczególne działy, wykorzystać w tym celu informacje zawarte w punkcie 4.1.1 i schemacie nr 1 i 2, 6) poszczególne pomieszczenia (działy) zaznaczyć prostokątami ponumerowanymi 1, 2, 3 … i wykonać legendę, 7) podpisać swoim imieniem i nazwiskiem, klasą oraz numerem z dziennika, 8) zaprezentować wykonane ćwiczenie. Wyposażenie stanowiska pracy: − literatura, − plansze przedstawiające przykładowe schematy zakładów cukierniczych, − przybory rysunkowe i piśmienne, − stanowiska komputerowe, − drukarka. Ćwiczenie 5 Dobierz pomieszczenie do sprzętu, maszyn lub urządzeń, w którym powinny one zostać umieszczone: ubijaczka – palety drewniane – części zapasowe maszyn – ubranie zwierzchnie – jaja – marmolada – wykończone torty – komora rozrostowa – Sposób wykonania ćwiczenia Aby wykonać ćwiczenie, powinieneś: 1) zapoznać się materiałem zawartym w punkcie 4.1.1, 2) po myślniku napisać, w jakim pomieszczeniu zakładu cukierniczego dane urządzenie, surowiec, rzecz itp. powinno się znajdować, 3) zaprezentować wykonane ćwiczenie. Wyposażenie stanowiska pracy: − materiały piśmienne, − tablice ze schematami pomieszczeń cukierni, − tablice z wyposażeniem poszczególnych pomieszczeń cukierni.
  • 20.
    „Projekt współfinansowany ześrodków Europejskiego Funduszu Społecznego” 18 4.1.4. Sprawdzian postępów Czy potrafisz: Tak Nie 1) powiązać rozwój przemysłu cukrowniczego z historią, odkryciami naukowców, podróżników? ! ! 2) określić powiązania między różnymi gałęziami przemysłu spożywczego z cukierniczym? ! ! 3) zdefiniować pojęcie technologia? ! ! 4) zdefiniować pojęcie ciasto? ! ! 5) wymienić pomieszczenia magazynowe? ! ! 6) wymienić działy występujące w zakładzie cukierniczym? ! ! 7) określić rolę działu produkcyjnego i działów pomocniczych? ! ! 8) wymienić podstawowe wyposażenie poszczególnych działów (pomieszczeń) zakładu cukierniczego? ! ! 9) powiązać poszczególne działy produkcyjne z czynnościami technologicznymi? ! !
  • 21.
    „Projekt współfinansowany ześrodków Europejskiego Funduszu Społecznego” 19 4.2. Higiena i bezpieczeństwo w zakładzie cukierniczym 4.2.1. Materiał nauczania Polska, podpisując w 1991 r. Układ Stowarzyszeniowy z państwami Wspólnoty Europejskiej, zobowiązała się do dostosowania prawa krajowego do regulacji legislacyjnych Unii Europejskiej. W wyniku tych prac powstała ustawa z dnia 11 maja 2001 r. „O warunkach zdrowotnych żywności i żywienia”, która jest podstawowym aktem prawnym w zakresie prawa żywnościowego. System HACCP, powstały w USA, powszechnie obowiązuje producentów żywności w Unii Europejskiej od 1996 r. Na mocy ustawy z dnia 3 kwietnia 1993 roku powołano do życia z dniem 1 stycznia 1994 roku Polskie Centrum Badań i Certyfikacji, które swoim zakresem działania jest dostosowane do gospodarki rynkowej (PCBC). QA – Gwarantowana Jakość Żywności Systemy jakości – narzędzia zapewnienia jakości HACCP – Analiza ryzyka i Kontrola Punktów Krytycznych HACCP jest systemowym postępowaniem mającym na celu identyfikację i oszacowanie skali zagrożeń bezpieczeństwa żywności, z punktu widzenia jej jakości zdrowotnej oraz ryzyka wystąpienia tych zagrożeń podczas przebiegu wszystkich etapów produkcji i dystrybucji. Jest to również system mający na celu określenie metod ograniczania tych zagrożeń. System HACCP pozwala na uzyskanie pewności, że zakład wykonał wszystko dla bezpieczeństwa wyrobu według konsumenta, w odniesieniu do przepisów, zasad dobrej praktyki produkcyjnej i potrzeb klientów. Postępowanie według systemu HACCP umożliwia identyfikację jednego lub wielu specyficznych zagrożeń, uniknięcie ich oraz ustalenie zapobiegawczych działań w celu zapobiegania im. Analiza zagrożeń i kontrola punktów krytycznych umożliwia: − identyfikację i analizę niebezpieczeństw związanych z różnymi stadiami procesu produkcji, − zagwarantowanie potrzebnych środków w celu ich uniknięcia, − zapewnienie, że środki te są wdrożone w sposób efektywny i skuteczny. Rys. 3. Istota zapewnienia bezpieczeństwa żywności zagrożeń systemie HACCP Zapobieganie zagrożeniom zdrowotnym, eliminowanie ich lub minimalizowanie surowce dodatki materiały personel proces technologiczny maszyny i urządzenia okresowe badania wyrobu gotowego wyrób gotowy gwarancja bezpieczeństwa żywności
  • 22.
    „Projekt współfinansowany ześrodków Europejskiego Funduszu Społecznego” 20 Jest to podejście zorganizowane i systematyczne, umożliwiające zapewnienie polepszenia jakości bakteriologicznej, fizycznej i chemicznej produkowanych, sprzedawanych i dostarczanych artykułów spożywczych. Wymagania systemu analizy zagrożeń i krytycznego punktu kontrolnego zestawiono w 7 zasadach, które są wytycznymi do opracowania, wdrożenia i utrzymania systemu. Zostały tak przygotowane, aby miały zastosowanie we wszystkich sektorach przemysłu spożywczego. GHP – Dobra Praktyka Higieniczna – dotyczy wszelkich działań związanych z warunkami i środkami podejmowanymi w celu zapewnienia produkcji bezpiecznej żywności na wszystkich etapach produkcji. System ten obejmuje: − założenia konstrukcyjno-budowlane obiektów produkcyjnych, − dobór odpowiedniego wyposażenia technologicznego i technicznego, − procedurę mycia, dezynfekcji, konserwacji maszyn i odpowiednich urządzeń, − zapewnienia bezpieczeństwa mikrobiologicznego odpowiedniego odpowiedniej jakości wszystkich surowców, − stosowanie odpowiednich procedur i odpowiednich operacji technologicznych, − szkolenie odpowiedzialnych za higienę pracowników. GMP – Dobra Praktyka Produkcyjna – działania, które muszą być podjęte i warunki, które muszą być spełniane, aby produkcja żywności oraz materiałów i wyrobów przeznaczonych do kontaktu z żywnością odbywały się w sposób zapewniający bezpieczeństwo żywności, zgodnie z jej przeznaczeniem (Ustawa o bezpieczeństwie żywności i żywienia z dnia 25 sierpnia 2006 r. Dz. U. z 2006 r. Nr 171, poz. 1225). MCP – Przemysłowy Punkt Kontrolny – właściwości sensoryczne. CP – Punkt Kontrolny – zgodność z normami i przepisami, ryzyko ekonomiczne lub prawne. Tabela 2. Punkty kontrolne w produkcji żywności Przykłady Typ ryzyka CCP CP MPC BIOLOGICZNE salmonella aflatoksyny formy coli insekty ogólna ilość pleśni CHEMICZNE antybiotyki siarczyny barwniki środki konserwujące aromat receptura FIZYCZNE niska temperatura pasteryzacji zanieczyszczenia waga etykiety gęstość proporcje składników CCP –krytyczny punkt kontroli – jest to punkt, krok lub procedura, która pozwala na przeprowadzenie kontroli oraz zapobiegnie, wyeliminuje lub zredukuje ryzyko związane z bezpieczeństwem żywności do akceptowalnych poziomów (limitów) krytycznych. Rysunek 4 przedstawia, w jaki sposób można wykryć w procesie produkcji krytyczne punkty, które należy poddać kontroli w celu wyeliminowania ewentualnych zagrożeń.
  • 23.
    „Projekt współfinansowany ześrodków Europejskiego Funduszu Społecznego” 21 Rys. 4. Ustalanie krytycznych punktów kontroli CCP w procesie produkcji [7] CZY MOŻE BYĆ KONTROLOWANE MODYFIKACJA PROCESU/ETAPU CZY ZAGROŻENIE MOŻE WZROSNĄĆ NIE NIE CZY NASTĘPNY ETAP MOŻE ELIMINOWAĆ ZAGROŻENIE NIE NIE TAK TAK TAK TAK ZAGROŻENIE CZY ZNAMY ŚRODKI ZAPOBIEGAWCZE CZY ZAGROŻENIE JEST POWAŻNE CZY ŚRODEK ZAPOBIEGAWCZY ELIMINUJE I OGRANICZA ZAGROŻENIE NIE TAK NIE TO JEST CCP TAK
  • 24.
    „Projekt współfinansowany ześrodków Europejskiego Funduszu Społecznego” 22 Zasady higieny produkcji Stan sanitarny zakładu produkującego żywność to takie warunki w całym cyklu wytwarzania od surowców do wyrobów gotowych, które zapobiegają zanieczyszczeniu przez drobnoustroje, owady, gryzonie i inne szkodniki oraz zanieczyszczeniu substancjami chemicznymi, w tym również dozwolonymi, stosowanymi niezgodnie z obowiązującymi normami. Stan ten warunkują miedzy innymi: odpowiednia lokalizacja zakładu, zaopatrzenie w wodę pitną, odprowadzenie ścieków, stan techniczny i funkcjonalność pomieszczeń produkcyjnych, właściwe użytkowanie urządzeń i sprzętu, właściwy przebieg procesu technologicznego, przestrzeganie czystości i porządku w toku produkcji, skuteczne zabiegi mycia i dezynfekcji oraz higiena personelu. Te elementy stanu sanitarnego zakładu są przedmiotem oceny przeprowadzonej przez organa nadzoru sanitarnego, a także wewnętrznej kontroli w zakładzie. Wyroby cukiernicze powinny być wytwarzane w warunkach higienicznych, przeciwdziałających wtórnemu zakażeniu wytwarzanych produktów i nie narażających pracowników. Wymagania te dotyczą powietrza, światła i wody. Każdy z wymienionych czynników może mieć wpływ na jakość wytwarzanych wyrobów, jak również na zdrowie pracowników. Powietrze, oprócz zawartych w nim gazów, takich jak tlen, azot i inne, zawiera pewną ilość ciał stałych w nim rozpylonych, które przy większym stężeniu mogą wywierać negatywny wpływ na zdrowie pracowników, na produkcję. Rozpylone w powietrzu pyły, ciała stałe mogą atakować skórę, spojówkę oka, drogi oddechowe. Drobnoustroje natomiast gromadząc się na powierzchni wyrobów, znajdują w nich dobre warunki rozwoju i w konsekwencji mogą być przyczyną zatruć pokarmowych konsumentów. Z tych powodów w zakładzie musi znajdować się zarówno wentylacja grawitacyjna, jak i mechaniczna Higiena personelu Pracownik może być źródłem zakażenia żywności wskutek własnej choroby, nosicielstwa, bakterii chorobotwórczych bądź ich przenoszenia na skórze lub odzieży. Do obowiązków pracownika należy: − posiadanie (przed podjęciem pracy) książeczki zdrowia wydanej na podstawie określonych badań według obowiązujących przepisów MZiOS, a w toku pracy przestrzeganie okresowych badań lekarskich, − ukończenia szkolenia w zakresie tzw. minimum sanitarnego, − przestrzeganie w toku pracy zasad higieny, zwłaszcza czystości rąk. Przed przystąpieniem do pracy pracownik powinien pozostawić odzież i rzeczy osobiste w szatni, umyć się pod natryskiem, nałożyć czystą odzież ochronną (białe ubranie, buty, nakrycie głowy). Przed przystąpieniem do pracy i w jej czasie myć ręce – mydłem pod bieżącą ciepłą wodą, zdezynfekować np. roztworem Sterinolu, wysuszyć suszarką lub jednorazowym ręcznikiem (nie wolno wycierać rąk o ubranie robocze lub w ścierkę), − codzienna zmiana odzieży roboczej i zdejmowanie jej przed wyjściem poza teren zakładu, − zasłanianie ust i nosa chusteczką jednorazowego użycia przy kichaniu i kaszlu, − przestrzeganie zakazu noszenia ozdób w rodzaju: broszek, pierścionków, bransoletek, agrafek, szpilek, a w kieszeniach noszenia lusterek, żyletek innych ostrych lub tłukących się przedmiotów, − mieć ręce zawsze czyste, paznokcie krótkie, wyczyszczone, nielakierowane, − skaleczenia i otarcia skóry nakrywać wodoszczelnym opatrunkiem lub nosić rękawiczki,
  • 25.
    „Projekt współfinansowany ześrodków Europejskiego Funduszu Społecznego” 23 − niezwłoczne zasięgnięcie porady lekarza w przypadku ran otwartych na rękach, owrzodzeń, ropnych schorzeń gardła, biegunki itp. Ponowne przystąpienie do pracy może nastąpić jedynie za zgoda lekarza. Higiena pomieszczeń Mycie – ma na celu przywrócenie czystości powierzchni, usuniecie z niej różnych plam, bez niszczenia właściwości i wyglądu mytego przedmiotu. Dezynfekcja – ma na celu zniszczenie mikroorganizmów chorobotwórczych na materii nieożywionej. Produkty czyszczące – dzielimy na dwie kategorie: − niespożywcze – do mycia posadzek i innych powierzchni, które nie maja kontaktu z żywnością − spożywcze – zatwierdzone do wszystkich powierzchni mających kontakt z żywnością. Na rynku znajdują się wyroby dostosowane do wszystkich programów mycia i dezynfekcji. Należy obowiązkowo przestrzegać przepisów producentów i stosować je zgodnie z instrukcją znajdującą się na opakowaniu. Wyroby te są przygotowane specjalnie do: − mycia ręcznego − konserwacji i renowacji urządzeń − konserwacji podłóg i powierzchni − konserwacji ogólnej, higieny i dezynfekcji − prania odzieży − mycia rąk. Istnieją również produkty detergentowe mieszane ze środkami bakteriobójczymi i grzybobójczymi. Eliminują one wszelkie zabrudzenia, dezynfekując, zabezpieczając i nadając przyjemny zapach. Czystość i porządek w zakładzie należy traktować jako jeden z elementów technologii produkcji, przy zapewnieniu na ten cel odpowiednich środków, czasu i pracowników. W celu utrzymania czystości wymagane jest zarówno codzienne sprzątanie, jak i okresowe gruntowne prace porządkowe. Maszyny, urządzenia oraz drobny sprzęt z punktu widzenia higieny produkcji powinien być utrzymywany w nienagannym stanie technicznym. Eliminuje to przedostawanie się do ciast, kremów lub innych półproduktów smarów lub olejów stosowanych do konserwacji urządzeń. Wszelkie przekładnie typu olejowego wymagające smarowania powinny być hermetyczne i tak usytuowane w urządzeniu, aby każdy przypadek ewentualnej nieszczelności nie powodował dostawania się oleju do wyrobów. Powierzchnie dzież i kotłów powinny być pobielone powłoką cynową lub pokryte powłoką teflonową uniemożliwiająca bezpośredni kontakt przerabianego surowca z materiałem, z którego dzieże lub kotły zostały wykonane. Niedopuszczalne jest używanie naczyń nawet z niewielkimi .śladami rdzy. Ważnym czynnikiem higieny produkcji jest utrzymanie sprzętu i urządzeń we właściwej czystości. Urządzenia, naczynia i drobny sprzęt ciastkarski powinny być wykonane z materiałów nie zawierających substancji szkodliwych dla zdrowia, nie powodujących zmiany smaku, barwy, wyglądu oraz łatwych do zmywania. Do materiałów takich należą stal nierdzewna, aluminium i cynowa blacha żelazna. Sprzęt drewniany powinien być wykonany z twardego, liściastego drewna, a jego powierzchnia powinna być gładka, bez szczelin. Nie wolno stosować naczyń i sprzętu z blachy cynkowej lub ocynkowanej z uszkodzoną powłoką lub pordzewiałych, ponieważ odsłonięty cynk i żelazo reagują z tłuszczem.
  • 26.
    „Projekt współfinansowany ześrodków Europejskiego Funduszu Społecznego” 24 Wszystkie naczynia i drobny sprzęt ciastkarski, taki jak: rózgi, noże, kopyście, zdobniki, woreczki muszą być umyte bezpośrednio po zakończeniu produkcji. Resztki kremów, mas – pozostałe na powierzchni naczyń i urządzeń są bardzo dobrą pożywką dla różnych drobnoustrojów. Niezbyt staranne mycie zaschniętych powierzchni może spowodować zakażenie wyrobu. Proces mycia może być zróżnicowany, zależnie od rodzaju urządzeń, sprzętu i wielkości zakładu. Niemniej jednak zawsze obowiązuje następująca kolejność: − wypłukanie czystą, ciepłą wodą resztek produktu, − mycie w ciepłym, o temperaturze ok. 40o C , roztworze środka myjącego dopuszczonego do mycia urządzeń w przemyśle spożywczym, − spłukanie czystą wodą, − odkażenie gorącą wodą lub parą. Drobny sprzęt ciastkarski (noże, zdobniki) powinny być obowiązkowo wyparzone gorąca woda, a woreczki wygotowane i kilkakrotnie wypłukane. Tabela 3. Zastosowanie środków do mycia, konserwacji i dezynfekcji [2, s.47] Produkty Opis Działanie Woda − niezbędna do wszelkiego rodzaju mycia i spłukiwania − zimna lub ciepła rozpuszcza zabrudzenia − stosować z detergentem w przypadku wody twardej − rozpuszcza i zmniejsza koncentrację zabrudzeń oraz usuwa je Detergenty w proszku lub w płynie − produkty do mycia, do których dodaje się pewną ilość środka podnoszącego skuteczność mycia − powoduje powstanie emulsji, rozpuszcza tłuszcz i zwiększa skuteczność zmywania − unika się powstawania osadów na czyszczonych powierzchniach Detergenty dezynfekujące − detergenty, do których dodaje się środki bakteriobójcze i grzybobójcze − takie samo jak detergentów proszku lub w płynie. Wymagają odpowiedniego czasu stosowania w celu zapewnienia dezynfekcji. Szare mydło − mydło sodowo-potasowe − dokładne mycie zabrudzonych tłuszczem posadzek (z płytek, kamieni). Konieczność spłukiwania Drobny proszek do czyszczenia − na bazie pumeksu − służy do szorowania, odtłuszczania i dezynfekcji − skuteczny przy grubszych warstwach zabrudzeń osadach kamienia Alkohol skażony − denaturat − nadaje powierzchniom połysk, czystość bez zacieków (np. szyby, stal nierdzewna) − rozpuszcza tłuste i zabarwione zabrudzenia Bielinka (chlorek) − czynnik dezynfekujący, usuwający nieprzyjemny zapach i wybielający na bazie chloru − do stosowania z zimną wodą, nigdy z detergentem − obowiązkowe spłukiwanie w każdym przypadku Produkty dodatkowe: Środki owadobójcze – ich zadaniem jest wyeliminowanie wszystkich owadów fruwających lub pełzających. Środki te można nabyć w postaci substancji parujących, emulsji, wacików, aerozoli, rozpraszaczy elektrycznych przynęt. Należy wybrać odpowiedni i stosować według wskazówek podanych na opakowaniu. Środki przeciw gryzoniom – wyróżniamy dwie metody walki z gryzoniami: metoda chemiczna polegająca na stosowaniu antykoagulentów wymieszanych z ziarnem lub proszku
  • 27.
    „Projekt współfinansowany ześrodków Europejskiego Funduszu Społecznego” 25 oraz metoda z zastosowaniem ultradźwięków – nadajnik wytwarza ultradźwięki, których częstotliwość nie jest tolerowana przez gryzonie. Uwaga: Owady i gryzonie zanieczyszczają pracownie i magazyny oraz powodują straty w magazynowanych surowcach. Są nosicielami chorób. W każdym przypadku walki z nimi trzeba dokładnie przestrzegać wskazówek podanych na opakowaniach lub na kartach technicznych produktu. Tabela 4. Utrzymanie czystości w pomieszczeniach [2, s.49] Pomieszczenia Wymogi wyposażenia Dbałość o higienę Sufity − powinny być gładkie i pomalowane − wykonane w sposób umożliwiający stałą konserwację i czystość − regularne mycie − uniemożliwienie rozwoju pleśni Ściany − gładkie, bez szczelin, odporne na uderzenia, łatwo zmywalne w kolorze jasnym − myć, gdy potrzeba, przynajmniej raz w tygodniu dezynfekcja Regały i półki − stała czystość − myć, gdy potrzeba − przynajmniej raz w tygodniu dezynfekować Podłogi − gładkie i szczelne − łatwo zmywalne − syfony w posadzce zapewniające odprowadzanie wody po myciu − myć przynajmniej raz dziennie wodą z detergentem, spłukać, zdezynfekować, spłukać − zabronione rzucanie odpadków na podłogę − zamiatanie na sucho zabronione Ścieki, syfony − ścieki wyposażone w zdejmowane kratki − syfony wyposażone w kubełki − skuteczny odpływ ścieków przemysłowych − czyszczenie i dezynfekcja jak w przypadku posadzek − nie ma wody stojącej − pilnować, by nie było przykrych zapachów Wentylacja, wietrzenie − wentylacja grawitacyjna i mechaniczna − unikać otworów wentylacyjnych stanowiskach klimatyzacyjnych przy stanowiskach pracy i maszynach − regularne czyszczenie kratek, przewodów i filtrów − unikać przeciągów i kurzu niosącego drobiny zanieczyszczeń − kontrolować usytuowanie ujęć powietrza, które powinny pobierać tylko czyste powietrze Stoły i blaty − z materiałów wytrzymałych, łatwych do zmywania − najodpowiedniejsza stal nierdzewna, która jest materiałem najgładszym − oddzielić czynności obierania (np. truskawki), formowania ciast i wykańczania − czyszczenie, mycie za każdym razem, gdy potrzeba − dezynfekcja po każdej pracy mogącej powodować zanieczyszczenia, przynajmniej raz dziennie Szczegółowe zalecenia powinny być podjęte jeśli chodzi o: Zmywaki − gąbki są zabronione − zmywaki powinny być zawsze czyste i dobrze wypłukane po każdym użyciu − zmywaki są wymieniane w miarę potrzeb, przynajmniej raz dziennie Usuwanie odpadków Kosze na śmieci − w pomieszczeniach powinny być zamknięte − zalecane jest stosowanie jednorazowych, foliowych worków zamocowanych na obręczy i z przykrywką otwieraną pedałem − szybki usuwanie na zewnątrz zamkniętych worków, jeśli używamy pojemniki jako koszy, to należy je myć i dezynfekować codziennie
  • 28.
    „Projekt współfinansowany ześrodków Europejskiego Funduszu Społecznego” 26 Walka z owadami i gryzoniami Owady, gryzonie w pomieszczeniach − okna, otwory wentylacyjne, ścieki itp. wyposażone w kratki lub siatki − niszczyć gryzonie, owady fruwające i pełzające − podać dokładną informację o rodzaju zastosowanych środków do tępienia oraz o zachowaniu środków ostrożności Szatnie, szafy na ubrania − w wystarczającej ilości. Każdy pracownik powinien mieć dwie szafki – na odzież zewnętrzną oraz na odzież roboczą − pomieszczenia powinny być utrzymane w czystości WC − obowiązkowo muszą być oddzielone od pomieszczeń produkcyjnych i magazynów surowców − koniecznie przy wyjściu powinna być umywalka (mydło, papierowe ręczniki lub suszarka do rąk, kosz) Umywalka − zasilana bieżącą wodą ciepłą i zimną, wyposażona w urządzenia do mycia (dozowniki) i suszenia rąk − powinna być wyposażona w: pojemnik z mydłem w płynie, szczotkę do rąk, pojemnik z papierowymi ręcznikami, kosz na śmieci do wrzucania zużytego papieru − kosz powinien być opróżniany codziennie Tabela 5. Utrzymanie czystości urządzeń [2, s. 51] Urządzenia Opis Dbałość o higienę Mycie naczyń − basen do mycia np. kotłów lub zlewozmywak dwukomorowy do mycia drobnego sprzętu − strumień ciepłej wody zapewniający spłukiwanie − zmywarki – coraz częściej stosowane maja wiele zalet: eliminują wszystkie materie organiczne, płukanie gorącą wodą zabija mikroorganizmy i toksyny, suszenie w temp. pow. 80o C Mycie ręczne przebiega w następujący sposób: − mycie wstępne w ciepłej wodzie, aby usunąć duże zabrudzenia szczotka lub drapakiem − mycie z dodatkiem odpowiednie środka (płyn do mycia naczyń) − płukanie w ciepłej wodzie − dezynfekcja odpowiednim środkiem − suszenie za pomocą obciekania lub wycieranie papierowymi ręcznikami − piece – nowoczesne piece mają poszycie ze stali nierdzewnej, łatwe do czyszczenia − myć ciepłą wodą z dodatkiem detergentu klamki, drzwi i ścianę przednią codziennie − szyby są czyszczone specjalnym środkiem nietoksycznym − trzony kuchenne – najlepsze do podgrzewania, wyposażone w szuflady na odpadki − zdjąć siatki i palniki, zanurzyć je w roztworze detergentowym lub z dodatkiem sody, umyć szczotką, wysuszyć i założyć na miejsce Urządzenia do pieczenia − płyty elektryczne − odczekać aż płyta ostygnie i wyczyścić detergentem Maszyny − większość maszyn posiada obudowę niepodatną na zabrudzenia i łatwą do czyszczenia − siatki zabezpieczające ubijaczki podlegają szczególnemu nadzorowi − części rozbierane są myte i dezynfekowane na stanowiskach do mycia naczyń (np. rózgi, mieszadła) − elementy stałe są myte w miarę potrzeb
  • 29.
    „Projekt współfinansowany ześrodków Europejskiego Funduszu Społecznego” 27 lodówki, szafy chłodnicze, komory chłodnicze: − najlepsze urządzenia mają termometry wskazujące temperaturę wewnątrz, na ścianie przedniej, z automatycznym rozmrażaniem, temperatura jest regulowana w zależności od surowca czy wyrobu − żaden produkt nie powinien być przechowywany bez opakowania − zabrudzone, wewnętrzne siatki myjemy na stanowisku do mycia naczyń − myć i dezynfekować, gdy tego wymagają wewnętrzne i zewnętrzne ściany, drzwi, uszczelki, klamki − okresowo odkurzać odkurzaczem żeberka kondensatora (silnik wyłączony) − komory szybkiego schładzania umożliwiają szybkie schładzanie nawet ciepłych wyrobów, skutecznie je pasteryzując − zimno intensywnie wentylowane i rozprowadzane wymaga szczególnej dbałości o higienę Urządzenia do chłodzenia zamrażanie szybkie, wytwornice lodu, konserwatory do produktów mrożonych (frezery do produkcji lodów): − zalecane urządzenia wskazujące temperaturę wewnętrzną na zewnątrz, kontrolować codziennie − zamrażać tylko produkty w dobrym stanie, świeże, przechowywać w specjalnych opakowaniach z etykietami (data, rodzaj) − rozmrażać, gdy warstwa szronu osiągnie 3 mm − myć i dezynfekować tak, jak lodówkę − produkty rozmrożone nie mogą być ponownie zamrażane Tabela 6. Zastosowanie środków [2, s. 52] Środki Powierzchnie do czyszczenia Środek myjąco- -dezynfekujący − ogólnie urządzenia – podłogi − instalacje urządzeń do wytwarzania lodów, bitej śmietany Środki bakteriobójcze i grzybobójcze − narzędzia tnące − powierzchnie robocze − sprzęt i narzędzia do przygotowania półproduktów, wyrobów Dezynfekujące mydło w płynie − ręce i przedramiona Odtłuszczacz − zabrudzenie tłuste i trwałe – posadzki Środki specjalne − odkamieniacze (krany), zmywarki do naczyń, kuchenki drzwi pieca, urządzenia ze stali nierdzewnej Każdy w zakładzie powinien dbać o bezpieczeństwo i wywiązywać się prawidłowo ze swoich obowiązków. Pracodawca odpowiada za: − przestrzeganie przepisów, − organizację pracy (rozłożenie i planowanie produkcji), − stan pomieszczeń (np. hałas, temperatura, wentylacja, oświetlenie, podłogi, stoły), stworzenie klimatu bezpieczeństwa (np. plakaty, uwagi, ostrzeżenia, instrukcje obsługi maszyn, instrukcje mycia rąk), − sygnalizowanie zabronionych czynności (np. znak zakazujący palenia papierosów na terenie zakładu). Pracownik: − przestrzega instrukcji bezpieczeństwa, − stosuje środki ochrony (np. piecowy – rękawice ochronne),
  • 30.
    „Projekt współfinansowany ześrodków Europejskiego Funduszu Społecznego” 28 − prawidłowo się zachowuje (na terenie zakładu produkcyjnego zakazane są przyjęcia, picie alkoholu, palenie papierosów, zalecane jest noszenie odzieży ochronnej, obuwia antypoślizgowego), − szczególnie uważa podczas transportu ciężkich ładunków (np. nie ładuje nadmiernych ilości surowca na wózek transportowy), − zwraca uwagę na stan urządzeń elektrycznych, w przypadku zauważenia jakiś uszkodzeń natychmiast zgłasza odpowiedniej osobie (np. przebicia prądu na obudowie urządzeń elektrycznych, uszkodzone kable, nie działające wyłączniki końcowe). Ergonomia Ergonomia – nauka zajmująca się badaniem warunków pracy, przystosowaniem środowiska pracy, maszyn i urządzeń technicznych do właściwości fizycznych i psychicznych człowieka z punktu widzenia zapewnienia optymalnych warunków wykonywania pracy. [poz. 4] Celem ergonomii jest: − polepszyć i zharmonizować warunki pracownika, − zmniejszyć zmęczenie ludzi i wypadkowość w pracy, − ograniczyć błędy i źródła stresu, − podnieść jakość i produktywność, − zapewnić lepsze środowisko pracy. Rozplanowanie przestrzenne stanowiska pracy Stanowisko pracy jest miejscem, w którym odbywa się produkcja ręczna oraz wszystkie operacje niezbędne do jej realizacji, to jest: ważenie, przesiewanie, zagniatanie ciasta, formowanie, wałkowanie, cięcie, wkładanie do form. Czynności te odbywają się na stole roboczym. Cukiernik spędza czas w tym miejscu, dlatego rozplanowanie pracowni i stanowiska powinno być opracowane racjonalnie. Planując zakład trzeba wziąć pod uwagę następujące wskazówki: − ograniczyć pomieszczenia – w pobliżu stanowiska pracy powinny znajdować się narzędzia i drobne materiały do ciągłego użycia, wagi, urządzenia do rozwałkowywania, zapas bieżących surowców, urządzenia (ubijaczka, taborety podgrzewacze), stanowisko do mycia naczyń, urządzenia chłodnicze, − ograniczyć przenoszenie wzroku – należy stworzyć takie warunki, aby jednym rzutem oka ogarnąć całość pracowni, łatwo nadzorować wypiek w piecu, pracę urządzeń, szybko sprawdzić pulpity sterownicze, − ograniczyć zmęczenie – konieczne są: odpowiednia wysokość stołów roboczych, pomieszczenia widne, miłe i dostatecznie przewietrzone, oświetlenie funkcjonalne, najlepiej dzienne, posadzki przeciwpoślizgowe (w miarę możliwości trzeba unikać schodów), jak najkrótsze drogi komunikacyjne, które nie powinny się przecinać (np. magazyn wyrobów gotowych obok wykończalni). 4.2.2. Pytania sprawdzające Odpowiadając na pytania, sprawdzisz, czy jesteś przygotowany do wykonania ćwiczeń. 1. Jakie systemy (narzędzia) zapewnienia jakości stosowane są w cukiernictwie? 2. W jaki sposób znajomość krytycznych punktów kontroli pozwala na bezpieczniejszą produkcję? 3. Jakie obowiązki spoczywają na pracowniku bezpośrednio produkcyjnym w zakładzie cukierniczym związane z higieną pracy?
  • 31.
    „Projekt współfinansowany ześrodków Europejskiego Funduszu Społecznego” 29 4. W jakie środki ochrony indywidualnej powinien być zaopatrzony piecowy? 5. W jakie środki ochrony indywidualnej powinien być zaopatrzony pracownik myjni? 6. Jakie czynności porządkowe powinny być wykonywane codziennie w celu utrzymania porządku i higieny w zakładzie cukierniczym? 7. W jaki sposób powinno się wyczyścić worki cukiernicze i zdobniki? 8. Z jakimi szkodnikami walczymy w ciastkarni stosując środki owadobójcze? 9. Jak zgodnie z ergonomią pracy powinno być zorganizowane stanowisko ciastowego? 4.2.3. Ćwiczenia Ćwiczenie 1 Masz wyprodukować krem gotowany. Przeanalizuj technologię produkcji i spróbuj znaleźć krytyczne punkty kontroli. Skorzystaj z rys.4 znajdującego się w Poradniku dla ucznia. Sposób wykonania ćwiczenia Aby wykonać ćwiczenie, powinieneś: 1) zapoznać się materiałem zawartym w punkcie 4.2.1, 2) wypisać etapy produkcji kremu, 3) przeanalizować każdy z wypisanych etapów według rys.4 i wypisać krytyczne punkty kontroli, 4) zaprezentować wykonane ćwiczenie. Wyposażenie stanowiska pracy: − materiały i przybory do pisania, − wzór diagramu do ustalania punktów kontroli w procesie produkcji, − schemat technologii produkcji kremu gotowanego, − literatura poz. 2 z rozdziału 6 poradnika, − tekst przewodni. Ćwiczenie 2 Dobierz czynności i częstotliwość ich wykonywania podczas dbania o higienę wymienionego w tabeli sprzętu, pomieszczeń, maszyn, ponieważ bieżące utrzymanie czystości podczas produkcji i po jej ukończeniu jest koniecznością, aby zapewnić bezpieczną produkcję i zapobiec wtórnym zakażeniom produkowanych wyrobów. Element podlegający czynnościom higienicznym Czynności związane z utrzymaniem czystości Jak często należy je wykonywać Kotły ubijaczek Rózgi Woreczki Podłoga w pracowni produkcyjnej Podłoga w deserowni Stoły ciastkarskie Wagi
  • 32.
    „Projekt współfinansowany ześrodków Europejskiego Funduszu Społecznego” 30 Sposób wykonania ćwiczenia Aby wykonać ćwiczenie, powinieneś: 1) zapoznać się materiałem zawartym w punkcie 4.2.1, 2) narysować tabelę według. wzoru, 3) wypełnić puste pola dobierając czynności związane z utrzymaniem czystości i częstotliwość wykonywania ich, 4) korzystać z tabel dotyczących utrzymania czystości podczas wykonywania ćwiczenia, 5) zaprezentować wykonane ćwiczenie. Wyposażenie stanowiska pracy: − materiały i przybory do pisania, − tabele utrzymania czystości w zakładzie cukierniczym dotyczące pomieszczeń, sprzętu, maszyn i urządzeń, − literatura poz. 2 z rozdziału 6 poradnika. Ćwiczenie 3 Dobierz środki ochrony osobistej dla piecowego, ciastowego, pracownika myjni Środki ochrony osobistej Stanowisko Wspólne Charakterystyczne dla danego stanowiska ciastowy piecowy pracownik myjni Sposób wykonania ćwiczenia Aby wykonać ćwiczenie, powinieneś: 1) zapoznać się materiałem zawartym w punkcie 4.2.1, 2) narysować tabelę według wzoru, 3) uzupełnić tabelę, środki ochrony wspólne dla wszystkich trzech stanowisk wpisać w drugiej rubryce, charakterystyczne tylko dla danego stanowiska pracy w ciastkarni w trzeciej, 4) zaprezentować wykonane ćwiczenie, 5) po dyskusji uzupełnić ewentualne braki. Wyposażenie stanowiska pracy: − materiały i przybory do pisania, − film dydaktyczny dotyczący pracy w zakładzie cukierniczym, − tabele wymagań bhp na poszczególnych stanowiskach w zakładzie cukierniczym. Ćwiczenie 4 Dobierz środki myjące do wykonywanej czynności: Wykonywana czynność Środek Mycie noży Mycie podłogi Mycie sanitariatów Mycie podłogi
  • 33.
    „Projekt współfinansowany ześrodków Europejskiego Funduszu Społecznego” 31 Sposób wykonania ćwiczenia Aby wykonać ćwiczenie, powinieneś: 1) przygotować materiały piśmienne, 2) narysować tabelkę, 3) zapoznać się materiałem zawartym w punkcie 4.2.1, 4) korzystając z tabel zawartych w poradniku dla ucznia wypełnić tabelkę, 5) zaprezentować wykonane ćwiczenie. Wyposażenie stanowiska pracy: − materiały piśmienne, − tabele środków czystości, ich działania i zastosowania, − stanowisko z dostępem do Internetu. Ćwiczenie 5 Dobierz metody i środki do walki z gryzoniami, owadami latającymi i pełzającymi: Sposób wykonania ćwiczenia Aby wykonać ćwiczenie, powinieneś: 1) zapoznać się materiałem zawartym w punkcie 4.2.1, 2) dobrać metody i środki do walki ze szkodnikami mogącymi występować w zakładzie cukierniczym, 3) swoją pracę przedstawić w formie tabelarycznej opracowanej samodzielnie, 4) zaprezentować wykonane ćwiczenie. Wyposażenie stanowiska pracy: − materiały piśmienne, − tabele środków i metod do walki z owadami pełzającymi i latającymi oraz gryzoniami, − stanowisko z dostępem do Internetu. 4.2.4. Sprawdzian postępów Czy potrafisz: Tak Nie 1) wymienić systemy (narzędzia) kontroli jakości? ! ! 2) określić sposoby utrzymania czystości? ! ! 3) dobrać środki utrzymania czystości ! ! 4) dobrać środki ochrony indywidualnej w zależności od rodzaju wykonywanej pracy? ! ! 5) zorganizować stanowisko pracy zgodnie z wymaganiami ergonomii? ! !
  • 34.
    „Projekt współfinansowany ześrodków Europejskiego Funduszu Społecznego” 32 4.3. Rozliczenia produkcji w zakładzie cukierniczym 4.3.1. Materiał nauczania Podział wyrobów ciastkarskich Wyrób ciastkarski – produkt, w skład którego wchodzi nie mniej niż 40% surowców innych niż mąka (np. cukier, jaja, ser i inne). Ze względu na okres przydatności do spożycia wyroby cukiernicze podzielić można na: − wyroby trwałe – są to takie wyroby, których okres przydatności do spożycia jest dłuższy niż 30 dni − wyroby nietrwałe – są to takie wyroby, których okres przydatności do spożycia nie przekracza 30 dni SWW – Systematyczny Wykaz Wyrobów Klasyfikacja wyrobów ciastkarskich Przemysł ciastkarski produkuje wyroby nietrwałe. Zgodnie z normą branżową wyroby ciastkarskie podzielone zostały na grupy, typy i rodzaje. Zaliczenie wyrobu do tej czy innej grupy uzależnione jest od największego udziału określonego rodzaju ciasta w danym wyrobie, np., grupy wyrobów z ciasta drożdżowego, kruchego, francuskiego. Ciasta według SWW dzieli się na dziewięć grup: − wyroby ciastkarskie z ciasta drożdżowego, − wyroby ciastkarskie z ciasta francuskiego, − wyroby ciastkarskie z ciasta parzonego, − wyroby ciastkarskie bezowe, − wyroby ciastkarskie z ciasta kruchego, − wyroby ciastkarskie z ciasta biszkoptowego, − wyroby ciastkarskie z ciasta biszkoptowo – tłuszczowego, − wyroby ciastkarskie z masy orzechowej i migdałowej lub z surowców zastępczych, − wyroby i półprodukty ciastkarskie różne. Każda z tych grup charakteryzuje się zbliżonymi właściwościami smakowymi, zapachowymi i strukturą. W ramach poszczególnych grup rozróżnia się: − podgrupy – podział według wspólnych cech organoleptycznych, np.. przemysł cukierniczy produkuje wyroby cukiernicze trwałe, w grupie ciast biszkoptowych wyróżnić można podgrupy: ciastka, torty, rolady − typy – podział według podobnego sposobu wytwarzania, obróbki technologicznej, np. w podgrupie ciastek biszkoptowych występują ciastka przekładane, nieprzekładalne, łączone z innymi ciastami przekładanymi − rodzaje – podział według stosowanych surowców i półproduktów, głównie do wykończania np. ciastka biszkoptowe mogą być przekładane: kremami, masami, oblewane kuwerturą, posypywane. Klasyfikacja wyrobów cukierniczych Przemysł cukierniczy produkuje wyroby cukiernicze trwałe, czyli takie, które nie ulegają istotnym zmianom fizykochemicznym w ciągu co najmniej jednego miesiąca od daty wyprodukowania, przy przechowywaniu w warunkach odpowiednich dla danego wyrobu.
  • 35.
    „Projekt współfinansowany ześrodków Europejskiego Funduszu Społecznego” 33 Wszystkie wyroby przemysłowe w Polsce objęte są przez Główny Urząd Statystyczny (GUS) Systematycznym Wykazem Wyrobów (SWW) i są opatrzone symbolem cyfrowym. Wyroby przemysłu spożywczego mają symbol 25, a należące do nich wyroby cukiernicze trwałe – symbol 251. Ponadto klasyfikacja wyrobów cukierniczych jest określona w Polskiej Normie (PN) – Wyroby cukiernicze Trwałe. Zarówno SWW jak i PN uwzględnia podział jednej grupy półproduktów i ośmiu grup wyrobów cukierniczych. Dalszy podział uwzględnia: − podgrupy – według wspólnych cech organoleptycznych (SWW i PN), − typy – według wyglądu zewnętrznego i konsystencji (SWW i PN), − rodzaje – według dominującej cechy surowców i struktury lub użytych dodatków (tylko PN), − odmiany – według uzupełniającej cechy smakowej, nadzienia lub korpusu (tylko PN), − asortymenty – według wyrobów o określonej nazwie handlowej (nie są one jednak wymienione w PN i SWW). Tabela 7. Klasyfikacja trwałych wyrobów cukierniczych (wg PN-75/A-88001) [6, s.14] Symbol wg SWW Grupy Symbol wg SWW Podgrupy 2511-1 Kuwertura 2511-2 Tłuszcz kakaowy 2511-3 Kuch kakaowy 2511-4 Miazga z jąder oleistych 2511-5 Nadzienie z jąder nasion oleistych 2511-6 Nadzienie marcepanowe i pokrewne 2511-7 Pomada 2511 Półprodukty cukiernicze 2511-8 Polewa kakaowa 2512-1 Karmelki 2512-2 Drażetki 2512-3 Pomadki 2512 Cukierki 2512-4 Cukierki pudrowe prasowane 2513-1 Czekolada pełna 2513-2 Czekolada nadziewana2513 Czekolada 2513-3 Czekolada do picia
  • 36.
    „Projekt współfinansowany ześrodków Europejskiego Funduszu Społecznego” 34 2514-1 Cukierki czekoladowane o rdzeniu miękkim 2514-2 Cukierki czekoladowane o rdzeniu z karmelków nadziewanych 2514-3 Drażetki czekoladowane o rdzeniu miękkim 2514-4 Drażetki czekoladowane pozostałe 2514-5 Wyroby wschodnie czekoladowane 2514-6 Herbatniki czekoladowane 2514-7 Pierniki czekoladowane 2514 Wyroby czekoladowane 2514-8 Wafle czekoladowane 2515-1 Kakao bez dodatków 2515 Kakao 2515-2 Kakao z dodatkami 2516-1 Herbatniki 2516-2 Suchary 2516-3 Płatki (maca) 2516-4 Pierniki 2516-5 Pieczywo parzone 2516-6 Pieczywo piankowe 2516—7 Wafle 2516 Pieczywo cukiernicze trwałe 2516-8 Pieczywo drożdżowe (suchary) 2517-1 Chałwa 2517-2 Wyroby grylażowe 2517-3 Wyroby oblewane masą karmelową 2517-4 Nugaty 2517 Wyroby wschodnie 2517-5 Orzechy prażone 2518-1 Wyroby czekoladopodobne 2518-2 Herbatniki w polewie kakaowej 2518-3 Pierniki w polewie kakaowej 2518-4 Wafle w polewie kakaowej 2518 Wyroby czekoladopodobne i wyroby w polewie kakaowej 2518-5 Pieczywo piankowe w polewie kakaowej 2519-1 Wyroby żelowe 2519-2 Wyroby cukrowe 2519-3 Wyroby z mas tłustych 2519-4 Marcepan i pokrewne 2519-5 Wyroby z tłuszczu kakaowego 2519 Wyroby cukiernicze trwałe pozostałe 2519-6 Guma do żucia Norma – jest to zbiór prawideł (przepisów, reguł zasad, wzorów), ustalających charakterystykę przedmiotów fizycznych, czynności lub pojęć.
  • 37.
    „Projekt współfinansowany ześrodków Europejskiego Funduszu Społecznego” 35 W zależności od przedmiotu i sposobu ujęcia – normy dzieli się na następujące typy: − przedmiotowe – dotyczą przedmiotów materialnych np. czekolady pełnej, herbatników, karmelków twardych, − czynnościowe – obejmuje wyłącznie przepisy, którymi należy się posługiwać przy wykonywaniu czynności (np. PN-73/A-74858 – Wyroby cukiernicze trwałe – pobieranie próbek), − klasyfikacyjne – dotyczą wyłącznie klasyfikacji materiałów, przedmiotów, pojęć lub czynności( np. PN/75/A-88001 – Wyroby cukiernicze trwałe – klasyfikacja), − pojęciowe – ustalają poprawne słownictwo techniczne oraz tworzą jednolity system wzajemnego porozumiewania się. Normy określają jednoznacznie wyrób, przytaczają szczegółowy podział klasyfikacyjny, podają jakie i jakiej jakości surowce i półprodukty powinny być użyte do produkcji oraz jakim cechom organoleptycznym i fizykochemicznym powinien wyrób odpowiadać. PN - Państwowa Norma BN - Branżowa Norma W normach zostały określone również rodzaje opakowań i oznaczenia wyrobów, warunki przechowywania i transportu, okresy przydatności do spożycia i dopuszczalne odchylenia od obowiązującej normy. Opakowania wyrobów cukierniczych Opakowania mają na celu głównie ochronę i zabezpieczenie wyrobów cukierniczych przed zniszczeniem i zepsuciem. Powinny więc być czyste, suche, nieuszkodzone, bez obcych zapachów, estetyczne i dopuszczone przez władze sanitarne do pakowania artykułów spożywczych. Druk na etykietach i pudełkach powinien być czytelny i nieścieralny. W ciastkarstwie do zabezpieczenia wyrobów przed uszkodzeniami mechanicznymi stosowane są pojemniki wykonane z tworzywa sztucznego. Maja one różną głębokość przy jednakowej długości i szerokości. Ponadto pojemniki są tak skonstruowane, że można je układać jeden na drugi, bez obawy uszkodzenia zawartych w nich wyrobów. Taka konstrukcja pojemników pozwala na racjonalne wykorzystanie powierzchni magazynowej. W pojemnikach wyłożonych papierem układa się zestawy ciastek np. ciastek tortowych, korpusowych, kruchych. Przed układaniem wyrobów pojemniki powinny być umyte, wysuszone i wyłożone papierem zabezpieczającym przed bezpośrednim kontaktem wyrobów ze ściankami i dnem pojemników. Konieczne jest zorganizowanie takiego wewnętrznego obiegu pojemników, aby każdy pojemnik po opróżnieniu był przekazywany do ponownego załadunku dopiero po umyciu i wysuszeniu. Nie należy w jednym pomieszczeniu przechowywać pojemników czystych z wyrobami razem z pojemnikami użytymi już do transportu wyrobów, a jeszcze nie umytymi. Opakowania dzieli się na trzy grupy: − opakowania jednostkowe – opakowanie określonej ilości produktu przeznaczonego do detalicznej sprzedaży (torebki, pudełka, bombonierki, puszki itp.) − opakowania zbiorcze – opakowania zawierające określoną liczbę opakowań jednostkowych lub towaru sprzedawanego na wagę (luzem) w handlu detalicznym − opakowania transportowe – opakowania umożliwiające ochronę zawartości przed uszkodzeniem w czasie przechowywania i transportu (pudła z tektury falistej, worki papierowe itp.). Wyrobom cukierniczym trwałym można nadać określone nazwy, jeśli zawierają wymienione składniki w podanej ilości (tabela 8).
  • 38.
    „Projekt współfinansowany ześrodków Europejskiego Funduszu Społecznego” 36 Tabela 8. Nazwy wyrobów trwałych [6, s. 16] Nazwa lub część nazwy wyrobu Niezbędne składniki owocowe naturalne składniki pochodzące z owoców w takiej ilości, aby nadawały wyrobowi charakterystyczny smak malina, wiśnia, truskawka itp. owoce lub przetwory owocowe wyprodukowane tylko z owoców zadeklarowanych w nazwie (soki, proszki itp.), bez dodatku substancji smakowo – zapachowych, dopuszcza się stosowanie naturalnych olejków lub esencji deklarowanego owocu nazwa przymiotnikowa utworzona od nazwy owocu, np. malinowy, wiśniowy owoce (lub ich przetwory), od których pochodzi nazwa wyrobu, nadające wyrobowi charakterystyczny smak, bez dodatku syntetycznych substancji smakowo-zapachowych, przy czym uzupełnienie stanowią przetwory z innych owoców lub warzy nie mających charakterystycznego smaku (np. jabłka) o smaku np. malinowym syntetyczne substancje smakowo-zapachowe o smaku deklarowanym w nazwie miodowy, słodowy itp. naturalny składnik podany w nazwie, w ilości nie mniejszej niż 5% ziołowe, np. miętowe, anyżkowe, ślazowe naturalne olejki: miętowy, eukaliptusowy, anyżowy itp. lub z dodatkiem ekstraktu albo wywaru z ziół w takich ilościach, aby nadawały wyrobowi smak charakterystyczny dla tych ziół lub olejków orzechowe orzechy w ilości nie mniejszej niż 5% mleczne nie mniej niż 8% s.m. (suchej masy) pochodzącej z mleka śmietankowe nie mniej niż 4% tłuszczu pochodzącego z dodanej śmietanki lub śmietany maślane nie mniej niż 5% masła kawowe lub mocca nie mniej niż 1,5% palonej kawy naturalnej lub odpowiednia smakowo ilość ekstraktu kawy naturalnej kakaowe nie niej niż 4% beztłuszczowej części jąder ziarna kakaowego rumowy, cacao choix napoje alkoholowe w ilości nadającej wyrobowi charakterystyczny smak witaminowe są to wyroby, które w 50g zawierają witaminy wprowadzone z produktami naturalnymi w ilości odpowiadającej co najmniej ¼ dobowego zapotrzebowania dorosłego człowieka na deklarowane witaminy witaminizowane są to wyroby, które w 50g zawierają dodatek witamin syntetycznych w ilości odpowiadającej co najmniej ½ dobowego zapotrzebowania dorosłego człowieka na deklarowane witaminy wyroby o nazwie łączonej np. kawowo-mleczny są to wyroby, które odpowiadają określeniom dla wszystkich członów nazwy, przy czym drugi człon odnosi się do smaku najbardziej charakterystycznego dla danego wyrobu Opakowania muszą uwzględniać nazwę i adres producenta, znak firmowy, nazwę wyrobu oraz nazwy podstawowych surowców, masę netto, datę produkcji. Ze względów higienicznych nadruk na etykietach stosowanych do zawijania wyrobów powinien być wykonany na stronie zewnętrznej, nie przylegającej bezpośrednio do wyrobu. Torebki firmowe z papieru i tworzyw sztucznych zawierające wyroby cukiernicze powinny być zamknięte w sposób gwarantujący, że opakowane zostały przez producenta.
  • 39.
    „Projekt współfinansowany ześrodków Europejskiego Funduszu Społecznego” 37 Opakowania mają duży wpływ na trwałość wyrobów cukierniczych. W zależności od zastosowanego rodzaju opakowania wyroby cukiernicze wytrzymują dłuższy lub krótszy okres przydatności do spożycia, bez wystąpienia wyraźnych zmian jakościowych. Przykłady różnej przydatności do spożycia w zależności od sposobu zapakowania: − karmelki twarde nie zawijane, zapakowane do hermetycznych puszek metalowych, mają okres przechowywania 6 miesięcy, zapakowane do pudełek z tworzyw sztucznych – od 3 do 5 miesięcy, a w pudełkach tekturowych – zaledwie 2 miesiące, − czekolada pełna naturalna (twarda), nie zawijana może być przechowywana bez wyraźnych zmian jakościowych 4 miesiące, jeśli jest zawinięta w papier parafinowany, jej okres przechowywania przedłuża się do 6 miesięcy, jeżeli jest opakowana w folię aluminiową – okres przechowywania wynosi nawet 10 miesięcy. Dokumentacja produkcyjna i rozliczeniowa Dokumentacja rozliczeniowa surowców i wyrobów gotowych jest sprawą bardzo ważną, gdy chcemy uniknąć strat i zepsucia produktów i wyrobów gotowych. Prowadząc dokumentacje magazynową należy: − mieć kartotekę pisaną ręcznie lub komputerowo, najważniejsze, aby była ona dostosowana do potrzeb i praktycznego zastosowania, − uaktualniać ją, gdy tylko następuje przemieszczenie towarów w magazynie, − upewnić się w rotacji surowców (wyrobów gotowych), pobierając najpierw najstarsze, − śledzić daty przydatności do spożycia zaznaczone na opakowaniu, − zaksięgować zastosowanie każdego produktu, aby ułatwić ocenę zapotrzebowania, inwentaryzację i uniknąć marnotrawstwa. Przykładowa kartoteka magazynowa Nazwa produktu Przyjęto Wydano Pozostaje na składzie Data Ilość Cena jednostkowa Data Ilość Ilość Dokumentacje produkcyjną prowadzi się na specjalnych wzorach, które w każdym zakładzie mogą wyglądać inaczej. Obecnie prowadzona jest w większości zakładów dokumentacja zarówno papierowa, jak i w formie elektronicznej. Najważniejszymi dokumentami (pierwotnymi, źródłowymi) są oprócz powszechnie stosowanych dowodów pobrania, dowodów wydawania i spisów z natury (remanentów) – raporty produkcji, prowadzone na wzorach, które są podstawą do sporządzania dokumentów wtórnych. Produkcja zakładu cukierniczego znajduje odbicie w sporządzanym codziennie raporcie produkcji, w którym zawarte są dane dotyczące stanu surowców z dnia poprzedniego, ich przychodu i rozchodu, pozostałości na dzień następny, jak również ilości wyprodukowanych wyrobów gotowych i półproduktów, zużycia opakowań, paliwa, wykazu pracowników zatrudnionych przy wykonywaniu tej produkcji. Na podstawie raportu produkcji sporządza się dwa zestawienia: − wykaz ilości pobranych i zużytych surowców − wykaz wykonanej produkcji.
  • 40.
    „Projekt współfinansowany ześrodków Europejskiego Funduszu Społecznego” 38 Zestawienia te sporządza się za okresy miesięczne i są one potrzebne do rozliczenia zakładu pod względem prawidłowości zużycia surowców. To rozliczenie to podstawa do sprawdzania rentowności produkcji. Przy planowaniu zamawiania surowców dużą pomocą jest prowadzenie dokumentacji elektronicznej, gdyż w każdym momencie można sprawdzić stan bieżący surowców i uzupełnić ewentualne braki, kontrolować ruch surowców, sprawdzać ich przydatność do spożycia itd. Do najważniejszej dokumentacji technologicznej należą receptury. Zgodnie z obowiązującymi przepisami wyroby cukiernicze przeznaczone do obrotu mogą być produkowane wyłącznie według ustalonej uprzednio receptury, którą powinien opracować producent wyrobów ciastkarskich i określenie najbardziej prawidłowego procesu technologicznego. Przynajmniej trzyosobowa komisja przeprowadza tzw. próbne wypieki, czyli kontrolowaną produkcję. Aby receptura mogła być opracowana należy wykonać co najmniej trzy próbne wypieki (porównywalne zużycie surowców i wydajność). Kontrolowana produkcja ma na celu ustalenie wydajności i strat technologicznych oraz prawidłowe ustalenie tych wartości. Przeprowadzenie kontrolowanej produkcji ma na celu ustalenie namiaru surowcowego potrzebnego do wykonania określonej ilości półproduktu lub wyrobu gotowego. Receptura ciastkarska – jest opracowana dla jednego kilograma wyrobu gotowego. Receptura cukiernicza – jest opracowana dla 1000 kg (1 tony) wyrobu gotowego. Budowa receptury Receptura ciastkarska powinna zawierać następujące dane: − numer, − nazwę półproduktu lub wyrobu, − nazwę grupy, do której zaliczany jest dany wyrób, − namiar surowców, w tym zużycie poszczególnych surowców w gramach przy wydajności 1000g (ciastkarska) lub 1000kg (cukiernicza) i jednoczesnym określeniu strat technologicznych, − opis procesu technologicznego, − wskaźniki fizykochemiczne. Numer receptury – w danej jednostce gospodarczej nie jest przypadkowy. Grupy wyrobów ciastkarskich zostały uporządkowane przez Systematyczny Wykaz Wyrobów (SWW) i Normy Branżowe (NB). Na przykład grupa wyrobów z ciasta drożdżowego ma numer 2422-1. Poszczególne podgrupy wyrobów z ciasta drożdżowego mają numerację: 11, 12 itd. W zależności od rodzajów wyrobów w danej podgrupie, każdy producent nadaje im kolejne numery, np. strucle oznaczone są numerem 17. Produkując różne ich rodzaje: z serem, z makiem, z marmoladą można numerować je następująco: 17-1, 17-2 itd. Ten system numerowania poszczególnych receptur wyrobów ciastkarskich pozostawia możliwość uzupełnienia zbioru receptur o receptury na wyroby nowo wprowadzane do produkcji. Nazwa półproduktu lub wyrobu – może być dowolna, niemniej jednak powinna uwzględniać nazwy tradycyjne. Nieprawidłowością byłoby nadawanie nazwy tort mazurkowi. Nazwa grupy –wynika z klasyfikacji według SWW Namiar surowców – ustalony jest na podstawie przeprowadzonej kontrolowanej produkcji. Zużycie poszczególnych surowców i półproduktów wyliczone jest przy wydajności 1000g wyrobu gotowego w ciastkarstwie i 1000kg w cukiernictwie. Uwzględnia również wielkość strat technologicznych lub pozostałość okruchów⋅ użytecznych.
  • 41.
    „Projekt współfinansowany ześrodków Europejskiego Funduszu Społecznego” 39 Opis procesu technologicznego – powinien być prosty. Powinien uwzględniać podstawowe parametry procesu technologicznego, to jest: czas i temperaturę wypieku, fermentacji, naważkę kęsów ciasta itp. Wskaźniki fizykochemiczne – takie, jak zawartość: cukru lub tłuszczu powinny uwzględniać receptury na półprodukty i wyroby jednorodne. Receptura ciastkarska (cukiernicza) zawierająca wszystkie wymienione elementy stanowi podstawę wprowadzenia do produkcji nowego wyrobu. Kontrola zużycia surowców i opakowań Koszty materiałowe w zakładach przemysłu cukierniczego wynoszą często ponad 80% własnych kosztów produkcji. Wobec tego zagadnienie racjonalnej gospodarki materiałowej, szczególnie w przemyśle cukierniczym, ma decydujący wpływ na ekonomikę zakładu. Aby oszczędniej gospodarować materiałami, należy ich zużycie ewidencjonować, kontrolować, analizować, szukać źródeł strat technologicznych. W tym celu prowadzona jest dokumentacja produkcyjna. Jednym z surowców są opakowania. Zwłaszcza w cukiernictwie wyroby muszą być dobrze opakowane, aby ich przydatność do spożycia była jak najdłuższa. Przy opracowywaniu norm zużycia opakowań trzeba zawsze uwzględnić straty związane np. z brakami w druku. Dla etykiet, podkładek, nalepek, kontrolek i taśmy podgumowanej przyjmuje się. 3% strat, dla kartonów 1%. Przykład opracowania teoretycznej i technicznej normy zużycia opakowań bezpośrednich i pośrednich na krówki Krówki pakuje się w podkładkę z papieru parafinowanego o wymiarach 60 x 50 mm i gramaturze 40 g/m2 , następnie w etykietę do pisania klasy III o gramaturze 70 g/m2 i wymiarach 75 x 68 mm. Opakowaniem pośrednim krówek jest karton nr 2 pojemności 4 kg, oklejony na krzyż taśmą podgumowaną, szerokości 40 mm, długości 1900 mm, wykonaną z podłoża z papieru natron o gramaturze 70 g/m2 , łącznie z klejem – 85 g/m2 . Ponadto na karton należy nalepić etykietę (nalepkę) deklaracyjną z wymaganym normą znakowaniem oraz do kartonu należy włożyć mareczkę kontrolną pakowaczki. Zużycie kartonów, nalepek deklaracyjnych oraz mareczek kontrolnych wykazuje się w sztukach lub w sztukach i kilogramach. Obliczanie teoretycznych norm zużycia poszczególnych rodzajów opakowań bezpośrednich i pośrednich na krówki przedstawia się następująco: − etykiety: w 1kg gotowego wyrobu mieści się 100 sztuk krówek, a więc w 1000kg – 100000 sztuk: 100000 · 0,075 m · 0,068 m · 0,070 kg/m2 = 35,7 kg − podkładki: 100000 · 0,060 m · 0,050 m · 0,040 kg/m2 = 12 kg − taśma podgumowana: dla 250 kartonów po 4 kg trzeba zużyć 250 odcinków taśmy długości 1900mm i szerokości 40mm 250 · 1,9 m · 0,04 m · 0,085 kg/m2 = 1,62 kg − kartony: − pojemność kartonu 4 kg, a więc na 1000kg trzeba ich zużyć: 1000 kg : 4 kg = 250 sztuk
  • 42.
    „Projekt współfinansowany ześrodków Europejskiego Funduszu Społecznego” 40 − nalepki i kontrolki: po 1 sztuce na karton, a więc 250 sztuk na 1000 kg. Opracowując normę należy dodać straty technologiczne: dla etykiet, podkładek, nalepek, kontrolek i taśmy podgumowanej po 3%, a dla kartonów po 1% dla normy technicznej). Po wykonaniu tego obliczenia otrzymane wyniki umieszcza się w odpowiednich kolumnach druku na normę zużycia opakowań na 1000 kg wyrobu. Przykład Norma zużycia opakowań na 1000 kg wyrobu Nazwa asortymentu: krówka 4 kg w kartonie Norma .p. Nazwa opakowania % założonych strat Jednostka miary teoretyczna techniczna 1 Etykieta z papieru do pisania 3 kg 35,7 26,8 2 Podkładka z papieru parafinowanego 3 kg 12,0 12,4 3 Taśma podgumowana 3 kg 1,62 1,66 4 Kartony nr 2 1 szt. 250 253 5 Nalepki 3 szt. 250 258 6 Kontrolki 3 szt. 250 258 Przykładowa kartoteka zużycia opakowań: Nazwa produktu: kartony nr 2 Przyjęto Wydano Pozostaje na składzie Data Ilość Jednostka miary Data Ilość Ilość 10.02.2007 1000 sztuki 12.02.2007 258 742 sztuki 14.02.2007 258 484 15.02.2007 2000 sztuki 2484 Sztuki 16.02.2007 484 2000 Obliczanie namiaru surowców w ciastkarstwie W zakładzie nie produkujemy po 1 kg wyrobu, tylko ilości zgodne z zamówieniami, może to być zarówno 10 kg, jak i sto albo pięć. Małe zakłady rzemieślnicze, wieloasortymentowe produkują ściśle pod zamówienia. Aby łatwo było policzyć, ile surowców potrzeba do wyprodukowanie zamówionej ilości danego wyrobu receptura ciastkarska jest opracowana na 1 kg wyrobu gotowego (wydajność). Przykład 1: Należy wyprodukować 20 kg ciasta francuskiego. Poniżej jest przedstawiona receptura na ten półprodukt:
  • 43.
    „Projekt współfinansowany ześrodków Europejskiego Funduszu Społecznego” 41 Sposób pierwszy Aby uzyskać ilości surowców potrzebne do wykonania 20 kg ciasta francuskiego należy przedstawione w recepturze ilości surowców pomnożyć przez 20. Receptura na ciasto francuskie Surowce Ilość w g Ilość w kg Mąka pszenna typ 500 410 0,41 Mąka pszenna typ 750 na podsypkę 40 0,04 Jaja 50 0,05 Masło lub margaryna 380 0,38 Sól 5 0,005 Woda 190 0,19 Razem: 1075 1,075 Straty: 75 0,075 Wydajność: 1000 1 Mąka pszenna typ 500: 0,41 kg · 20 = 8,2 kg Mąka pszenna typ 750: 0,04 kg · 20 = 0,8 kg Jaja: 0,05 kg · 20 = 1,0 kg Masło lub margaryna: 0,38 kg · 20 = 7,6 kg Sól: 0,005 kg · 20 = 0,1 kg Woda: 0,19 kg · 20 = 3,8 kg Uzyskane wyniki poszczególnych surowców określają, jaką ich ilość potrzebujemy do wykonania 20 kg ciasta francuskiego. Sposób 2: Przy obliczaniu namiaru surowców do produkcji wyrobów ciastkarskich należy: − ustalić przelicznik P, który wskazuje, ile razy więcej (lub mniej) należy użyć surowców do produkcji niż podaje to receptura poprzez podzielenie masy półproduktu lub surowca przez wydajność, − pomnożyć ilość surowców podaną w recepturze przez przelicznik: P = [kg]1 [kg]20 = 20 W przypadku półproduktów oraz wyrobów produkowanych bezpośrednio z surowców ilość ich ustala się tak, jak podano w przykładzie. W przypadku ciastek np. ptysi, do produkcji których wykorzystywane są korpusy z ciasta parzonego, krem bita śmietana, cukier puder w recepturze podane są ilości potrzebnych półproduktów. Receptura na ptysie napełnione bitą śmietaną Surowce i półprodukty Ilość w g Ilość w kg Korpusy z ciasta parzonego 320 0,32 Krem bita śmietana 680 0,68
  • 44.
    „Projekt współfinansowany ześrodków Europejskiego Funduszu Społecznego” 42 Cukier puder do wykończenia 60 0,06 Razem 1060 1,06 Straty 60 0,06 Wydajność 1000 1,00 Czyli do wykonania takich ciastek najpierw korzystamy z receptur na potrzebne półprodukty (korpusy z ciasta parzonego i kremu bita śmietana), sporządzamy je, a następnie wykorzystujemy ustalone (obliczone) ilości. Zazwyczaj np. bitą śmietanę przygotowujemy w większej ilości i wykorzystujemy do innych wyrobów, np. do wykonania eklerów, tortów. Obliczenia wykonujemy analogicznie, tak jak w przykładzie 1 na ciasto francuskie Przykład 2: Obliczenie zapotrzebowania na półprodukty i surowce w celu wyprodukowania 30 kg ptysi z bitą śmietaną. Korpusy z ciasta parzonego 0,32 kg · 30 = 9,6 kg Krem bita śmietana 0,68 kg · 30 = 20, 4 kg Cukier puder do wykończenia 0,06 kg · 30 = 1,8 g Do wykonania 30 kg ptysi z bitą śmietaną potrzeba 9,6kg korpusów z ciasta parzonego, 20,4 kg kremu bitą śmietaną, 1,8 kg cukru pudru. Wartość odżywcza wyrobów ciastkarskich Artykułami żywnościowymi nazywamy wszystkie artykuły spożywane przez człowieka. Zależnie od pochodzenia dzieli się je na roślinne i zwierzęce, zależnie zaś od przeznaczenia i roli, jaka odgrywają w organizmie, na właściwe artykuły żywnościowe i używki. Właściwy artykuł żywnościowy powinien zawierać składniki odżywcze takie jak: białka, tłuszcze, węglowodany, substancje mineralne, witaminy. Do składników odżywczych nie zaliczamy natomiast wody, chociaż występuje ona we wszystkich artykułach żywnościowych. Wyroby ciastkarskie należą do tych artykułów żywnościowych, które zawierają podstawowe składniki odżywcze, a jednocześnie są wysokoenergetyczne, dzięki stosowaniu do ich produkcji różnorodnych i wysokiej jakości surowców takich jak np.: cukier, mleko, masło, owoce, przetwory owocowe, jaja, orzechy, mąka. Spożycie 100 g wyrobów ciastkarskich dostarcza średnio 0,8-2,0 kJ. Ze względu na różnorodne walory smakowe i zapachowe, kształt oraz estetyczny wygląd zewnętrzny pobudzają apetyt, są chętnie spożywane z innymi produktami i zwiększają ich przyswajalność. Dzięki temu, że są dobrym źródłem energii i zawierają na ogół wszystkie składniki pokarmowe spełniają ważną rolę w żywieniu. Szczególne znaczenie mają wyroby z masą serową, owocami i przetworami owocowymi. Wyrób dietetyczny – jest to taki produkt, który ze względu na skład i sposób jego przygotowania jest przeznaczony do żywienia ludzi w przypadku określonych chorób lub określonych stanów fizjologicznych (np. czekolada dla diabetyków). Może być produkowany w zakładach przeznaczonych do ich produkcji lub w wydzielonym oddziale zakładu produkującego środki spożywcze. Wyroby niskoenergetyczne – są przeznaczone głównie dla osób otyłych. Zmniejszenie wartości energetycznej wyrobów ciastkarskich można osiągnąć głównie przez zastąpienie surowców wysokoenergetycznych surowcami o niższej energetyczności, podniesienie zawartości wody w wyrobach, zmniejszenie masy wyrobów przy jednoczesnym zwiększeniu objętości, zwiększenie zawartości białka kosztem tłuszczu. W produkcji wyrobów
  • 45.
    „Projekt współfinansowany ześrodków Europejskiego Funduszu Społecznego” 43 ciastkarskich istnieją duże możliwości zastępowania surowców wysokoenergetycznym mniej energetycznymi np. można stosować dodatek otrąb, zastępując częściowo nimi mąkę, sorbit (występuje w soku jarzębiny – jest dwukrotnie mniej słodki od sacharozy) zamiast cukru, mleko odtłuszczone, mąkę sojową. Zawartość wody w wyrobach ciastkarskich można zwiększyć między innymi przez wprowadzenie specjalnych mas tłuszczowych do kremów, które zawierają ok. 45% tłuszczu i ok. 30% wody. Masy te stosowane do kremów charakteryzują się tym, że mogą zawierać niewielką ilość cukru i nie zawierają jaj. Podwyższenie wilgotności wyrobów ciastkarskich można uzyskać przez użycie surowców wiążących wodę, np. żelatyny, agaru, pektyny. Zmniejszenie masy wyrobów przy jednoczesnym zwiększeniu objętości w produkcji cukierniczej uzyskuje się przez wprowadzenie do nich większej ilości powietrza. Przykładowo wszelkiego rodzaju ciastka i wyroby z masą białkową, np. ptasie mleczko. Podniesienie zawartości białka polega na zastępowaniu nim tłuszczu lub węglowodanów. Zastępując tłuszcz białkami obniża się wartość energetyczną wyrobów (1 g białka = 17,2 J, 1 g tłuszczu = 40,0 J). W tym przypadku można stosować odtłuszczone mleko w proszku, odtłuszczoną mąkę sojową, białczan lub kazeinian sodowy, serwatkę zagęszczoną lub sproszkowaną. Z tych surowców w cukiernictwie tylko mleko w proszku stosowane jest powszechnie. 4.3.2. Pytania sprawdzające Odpowiadając na pytania, sprawdzisz, czy jesteś przygotowany do wykonania ćwiczeń. 1. Jak odróżnić można wyroby produkowane przez cukiernie rzemieślnicze od zakładów przemysłowych? 2. Co oznacza pojęcie SWW? 3. Czym różnią się wyroby ciastkarskie od piekarskich? 4. W jaki sposób klasyfikowane są wyroby cukiernicze? 5. W jaki sposób klasyfikowane są wyroby ciastkarskie? 6. Czym różni się receptura ciastkarska od receptury cukierniczej? 7. Jaka jest ilość surowców potrzebnych do produkcji określonej ilości półproduktów? 8. Czym różnią się druki związane z dokumentacją magazynowania od druków rozliczenia produkcji? 9. Jak, korzystając ze wzorów, wypełnić druki produkcyjne? 10. Jakie jest znaczenie kontroli zużycia surowców i opakowań dla wyników finansowych zakładu cukierniczego? 11. Jaka jest różnica w wartości energetyczne kremu z dodatkiem tłuszczu i bez dodatku tłuszczu? 4.3.3. Ćwiczenia Ćwiczenie 1 Korzystając z SWW (tabela 7) lub normy PN-75/A-8801 sklasyfikuj następujące wyroby cukiernicze:
  • 46.
    „Projekt współfinansowany ześrodków Europejskiego Funduszu Społecznego” 44 Sposób wykonania ćwiczenia Aby wykonać ćwiczenie, powinieneś: 1) zapoznać się materiałem zawartym w punkcie 4.3.1, 2) narysować tabelę według wzoru, 3) wypełnić puste pola dobierając numer według SWW i nazwę grupy, podgrupy, 4) zaprezentować wykonane ćwiczenie. Wyposażenie stanowiska pracy: − materiały i przybory do pisania, − tabelę klasyfikacji wyrobów cukierniczych, − normę PN-75/A-8801, − literaturę poz. 5 z rozdziału 6 poradnika. Ćwiczenie 2 Korzystając z receptury ciastkarskiej policz zapotrzebowanie na surowce konieczne do wyprodukowania 10 kg ciasta parzonego, wynik podaj w kg), 0,5 kg ciasta parzonego (wynik podaj w g). Receptura na ciasto parzone Surowce i półprodukty Ilość w g Ilość w kg Mąka pszenna typ 500 450 0,45 Margaryna 220 0,22 Woda 540 0,54 Jaja 800 0,80 Sól 5 0,05 Razem 2015 2,015 Straty 1015 1,015 Wydajność 1000 1,000 Sposób wykonania ćwiczenia Aby wykonać ćwiczenie, powinieneś: 1) zapoznać się materiałem zawartym w punkcie 4.3.1, 2) pomnożyć ilość poszczególnych surowców przez ilość planowanej produkcji, 3) pamiętać, że mnożymy jednakowe jednostki masy (g przez ilość gramów, kg przez ilość kg), 4) zaprezentować wykonane zadanie. Wyrób Grupa Podgrupa Pierniki nadziewane Pierniki w polewie czekoladowej Pierniki czekoladowane nadziewane Kuwertura
  • 47.
    „Projekt współfinansowany ześrodków Europejskiego Funduszu Społecznego” 45 Wyposażenie stanowiska pracy: − materiały piśmienne, − kalkulator, − stanowiska komputerowe z arkuszem kalkulacyjnym. Ćwiczenie 3 W ciastkarni opracowano nową recepturę na bułki drożdżowe z serem. Nadaj numer recepturze ciastkarskiej dla tego wyrobu. W zakładzie wcześniej opracowane były receptury dla czterech rodzajów ciastek drożdżowych, np. receptura dla ciastka z jagodami w tym zakładzie ma numer: 2422-1-11-2, dla ciastka z rabarbarem: 2422-1-11-3. Sposób wykonania ćwiczenia Aby wykonać ćwiczenie, powinieneś: 1) zapoznać się materiałem zawartym w punkcie 4.3.1, 2) przygotować materiały piśmienne, 3) uważnie przeczytać polecenie, 4) zapisać swoją propozycję numeru receptury zgodnie z podanymi przykładami, 5) zaprezentować wykonane ćwiczenie. Wyposażenie stanowiska pracy: − materiały i przybory do pisania, − receptury z przykładowymi numerami. Ćwiczenie 4 Wypełnij kartotekę magazynową, jeśli w dniu dzisiejszym do produkcji pobrano 30 kg mąki, 20 kg cukru Kartoteka magazynowa Nazwa produktu mąka pszenna typ 750 Przyjęto Wydano Pozostaje na składzie Data Ilość kg Cena jednostkowa zł/1 kg Data Ilość kg Ilość kg 20.0X.200X 300 2,00 24.0X.200X 25.0X.200X 40 20 150 130 Sposób wykonania ćwiczenia Aby wykonać ćwiczenie, powinieneś: 1) przygotować materiały piśmienne, linijkę, 2) zapoznać się materiałem zawartym w punkcie 4.3.1, 3) narysować dwie kartoteki dla zużytych surowców: jedną dla mąki, drugą dla cukru, 4) wypełnić kolumny według wzoru, zamiast X wpisać datę o dwa tygodnie wcześniejszą niż dzień wykonania ćwiczenia, 5) uzupełnić o ubytek magazynowy wynikający z treści zadania, 6) obliczyć i wpisać, ile surowca pozostało, 7) zaprezentować wykonane ćwiczenie.
  • 48.
    „Projekt współfinansowany ześrodków Europejskiego Funduszu Społecznego” 46 Wyposażenie stanowiska pracy: − materiały piśmienne, − stanowiska komputerowe z arkuszem kalkulacyjnym lub programem magazynowym, − przykładowe kartoteki magazynowe. Ćwiczenie 5 Oblicz, ile kartonów potrzebujesz do zapakowania 300 kg karmelków, jeśli wiadomo, że 5 kg mieści się w jednym kartonie. Sposób wykonania ćwiczenia Aby wykonać ćwiczenie, powinieneś: 1) zapoznać się materiałem zawartym w punkcie 4.3.1, 2) wykonać obliczenie: podzielić całą ilość produkcji przewidzianej do spakowania przez ilość cukierków mieszczących się w jednym kartonie, 3) zaprezentować wykonane ćwiczenie. Wyposażenie stanowiska pracy: − materiały piśmienne, − kalkulator, − przykładowe receptury. Ćwiczenie 6 Oblicz wartość energetyczną 200 g czekolady nadziewanej, jeśli na opakowaniu znalazłeś informację, że 100g ma wartość energetyczną 800 kJ. Sposób wykonania ćwiczenia Aby wykonać ćwiczenie, powinieneś: 1) zapoznać się materiałem zawartym w punkcie 4.3.1, 2) ułożyć proporcję: 100g – 800kJ 200g – x kJ, 3) obliczyć mnożąc 200g razy 800kJ i dzieląc przez 100g, 4) zapisać otrzymany wynik, 5) napisać odpowiedź, 6) zaprezentować wykonane ćwiczenie. Wyposażenie stanowiska pracy: − materiały piśmienne, − kalkulator, − różne opakowania po wyrobach cukierniczych.
  • 49.
    „Projekt współfinansowany ześrodków Europejskiego Funduszu Społecznego” 47 4.3.4. Sprawdzian postępów Czy potrafisz: Tak Nie 1) skorzystać z receptur do obliczenia zapotrzebowania na surowce? ! ! 2) obliczyć zapotrzebowanie na opakowania korzystając z norm zużycia ich? ! ! 3) wyjaśnić znaczenie skrótu SWW? ! ! 4) prawidłowo nadawać nazwy wyrobom korzystając z norm? ! ! 5) rozróżnić różne druki stosowane w rozliczaniu produkcji cukierniczej? ! ! 6) wypełnić druki dokumentacji magazynowej – pobieranie surowców, opakowań? ! ! 7) określić znaczenie kontroli zużycia surowców i opakowań dla wyników finansowych zakładu cukierniczego? ! ! 8) określić znaczenie i zastosowanie receptur technologicznych w procesie produkcji? ! ! 9) obliczyć wartość energetyczną wyrobu cukierniczego? ! !
  • 50.
    „Projekt współfinansowany ześrodków Europejskiego Funduszu Społecznego” 48 5. SPRAWDZIAN OSIĄGNIĘĆ INSTRUKCJA DLA UCZNIA 1. Przeczytaj uważnie instrukcję. 2. Podpisz imieniem i nazwiskiem kartę odpowiedzi, wpisz klasę i datę. 3. Zapoznaj się z zestawem pytań testowych. 4. Test zawiera 20 pytań o różnym stopniu trudności. Są to pytania zamknięte, wielokrotnego wyboru. 5. Za każdą poprawną odpowiedź uzyskujesz jeden punkt. 6. Odpowiedzi wpisz w „Karcie odpowiedzi”, przekreślając odpowiednią literę znakiem „X”. 7. Jeżeli się pomylisz – zakreśl kółkiem (nie przeprawiaj!) błędną odpowiedź i znakiem „X” zaznacz odpowiedź prawidłową. 8. W przypadku zakreślenia więcej niż jednej odpowiedzi uzyskujesz za daną odpowiedź 0 punktów. 9. Pracuj samodzielnie, gdyż w przypadku porozumiewania się z kolegą rozwiązywanie przez Ciebie testu zostanie przerwane i otrzymasz ocenę niedostateczną. 10. Możesz korzystać z kalkulatora. 11. Kiedy udzielenie odpowiedzi będzie Ci sprawiało trudność, wtedy odłóż jego rozwiązanie na później i wróć do niego, gdy zostanie Ci czas wolny. 12. Na rozwiązanie testu masz 40 min.
  • 51.
    „Projekt współfinansowany ześrodków Europejskiego Funduszu Społecznego” 49 ZESTAW ZADAŃ TESTOWYCH 1. Syrop skrobiowy wykorzystywany w ciastkarstwie produkowany jest przez przemysł a) cukierniczy. b) ziemniaczany. c) cukrowniczy. d) owocowo – warzywny. 2. Do rozwoju cukiernictwa w Europie w XI wieku głównie przyczynili się a) Francuzi. b) Włosi. c) Arabowie. d) Niemcy. 3. Który wyrób cukierniczy w ilości 100 g ma największą wartość energetyczną, jeśli wia- domo, że 1 kJ odpowiada 4,17 kcal? a) 100 g czekolady mlecznej – 2297 kJ b) 200 g czekolady z bakaliami – 4480 kJ c) 300 g herbatników maślanych – 5511 kJ d) 400 g kamyczków orzechowych – 8440 kJ 4. Skrót GHP związany z kontrolą jakości oznacza a) Gwarantowaną Jakość Żywności. b) Krytyczne Punkty Kontroli. c) Dobrą Praktykę Produkcyjną. d) Dobrą Praktykę Higieniczną. 5. Detergenty dezynfekujące używamy do a) eliminowania zabrudzeń tylko z maszyn, drobnego sprzętu cukierniczego. b) mycia wszelkich powierzchni nadających się do sprzątania na mokro. c) eliminowania owadów fruwających. d) eliminowania gryzoni. 6. Dodatkową czynnością wykonywaną podczas mycia zdobników jest a) gotowanie przez kilka minut. b) usunięcie resztek kremu. c) wyparzenie gorąca wodą. d) spłukanie ciepłą wodą. 7. Piecowy powinien posiadać następujące środki ochrony indywidualnej: a) obuwie robocze, biały strój roboczy, fartuch gumowy, nakrycie głowy. b) obuwie robocze, biały strój roboczy, rękawice gumowe, nakrycie głowy. c) obuwie gumowe, biały strój roboczy, rękawice ochronne, nakrycie głowy. d) obuwie robocze, biały strój roboczy, rękawice ciepłochronne, nakrycie głowy.
  • 52.
    „Projekt współfinansowany ześrodków Europejskiego Funduszu Społecznego” 50 8. Oblicz, ile należy użyć mąki pszennej do wyprodukowania 20kg ciasta drożdżowego korzystając z podanego fragmentu receptury ciastkarskiej. a) 0,6 kg b) 1,2 kg c) 12 kg d) 16 kg 9. Jeśli do produkcji 10 kg ciasta francuskiego pobrano 4000 g mąki pszennej, to jaka ilość tego surowca była podana w recepturze ciastkarskiej? a) 4000 g b) 400 g c) 40 kg d) 4 kg 10. Oblicz, ile należy pobrać cukru, aby otrzymać 2000 kg marmoladek korzystając z podanego fragmentu receptury cukierniczej. a) 750 kg b) 800 kg c) 1500 kg d) 1400 kg 11. Ile sztuk opakowań jednostkowych należy pobrać z magazynu do zapakowania 3000 kg cukierków, jeśli w jednym opakowaniu mieści się 3 kg wyrobu gotowego, a z normy wia- domo, że na 1000 sztuk opakowań straty wynoszą 0,1% (1 sztuka)? a) 1001 sztuk b) 3003 sztuk c) 3000 sztuk d) 1000 sztuk 12. Zapas surowców sypkich przechowywany jest w zakładzie ciastkarskim w magazynie a) podręcznym. b) surowców. c) dobowym. d) głównym. Surowce Ilość w g Mąka pszenna typ 500 Mleko w płynie Cukier Jaja Tłuszcz Drożdże Sól 600 250 100 70 100 20 5 Surowce Ilość w kg Przecier pomidorowy Cukier Syrop skrobiowy Kwas cytrynowy Esencje Barwniki Genupektyna 780,0 750,0 10,0 12,0 0,5 0,2 2,0
  • 53.
    „Projekt współfinansowany ześrodków Europejskiego Funduszu Społecznego” 51 13. Ciasta przygotowywane są w a) odrabiarni. b) deserowni. c) piecowni. d) wykończalni. 14. Komora chłodnicza w ciastkarni powinna znajdować się w a) magazynie surowców. b) magazynie opakowań. c) magazynie podręcznym. d) magazynie technicznym. 15. Według SWW wyroby ciastkarskie dzielimy na dziewięć a) rodzajów. b) typów. c) grup. d) podgrup. 16. Masz drobne ranki na dłoniach, dlatego, zanim przystąpisz do produkcji musisz a) założyć rękawice ciepłochronne. b) założyć rękawice gumowe. c) założyć nakrycie głowy. d) założyć buty gumowe. 17. Worki po mące i ziarnie kakaowym, które podlegają wymianie lub odsprzedaży znajdują się w magazynie a) technicznym. b) opakowań. c) surowców. d) podręcznym. 18. Receptura cukiernicza jest opracowana na wydajność a) 1 kg wyrobu gotowego. b) 10 kg wyrobu gotowego. c) 100 kg wyrobu gotowego. d) 1000 kg wyrobu gotowego. 19. Dokumentacja dotycząca ruchu surowców – np. jaj i cukru prowadzona jest a) w wykazie ilości pobranych i zużytych surowców. b) w kartotece magazynu wyrobów gotowych. c) w kartotece magazynowej surowców. d) w wykazie wykonanej produkcji. 20. Polewa kakaowa należy do grupy według Systematycznego Wykazu Wyrobów i PN: a) Kakao. b) Wyroby czekoladowane. c) Półprodukty cukiernicze. d) Wyroby czekoladopodobne i wyroby w polewie kakaowej.
  • 54.
    „Projekt współfinansowany ześrodków Europejskiego Funduszu Społecznego” 52 KARTA ODPOWIEDZI Imię i nazwisko …………………………………………………………………… Przygotowanie produkcji cukierniczej Zakreśl poprawną odpowiedź Nr zadania Odpowiedź Punkty 1 a b c d 2 a b c d 3 a b c d 4 a b c d 5 a b c d 6 a b c d 7 a b c d 8 a b c d 9 a b c d 10 a b c d 11 a b c d 12 a b c d 13 a b c d 14 a b c d 15 a b c d 16 a b c d 17 a b c d 18 a b c d 19 a b c d 20 a b c d Razem:
  • 55.
    „Projekt współfinansowany ześrodków Europejskiego Funduszu Społecznego” 53 6. LITERATURA 1. Ambroziak Z.: Produkcja piekarsko-ciastkarska cz. 1. WSiP, Warszawa 2006 2. Deschamps B.,Deschaintre J.: Ciastkarstwo – podręcznik do nauki zawodu cukiernik. REA, OZGraf, Olsztyn 3. Dojutrek C., Pietrzyk A.: Ciastkarstwo – podręcznik technologii dla ZSZ. WSiP, Warszawa 2000 4. Schüeman C., Treu G. Technologia produkcji wyrobów piekarsko-cukierniczych. Wydawnictwo Fachowe Gilde Sp. Z o.o. Warszawa, Warszawa 1996 5. Szymczak Wyczański (red.): Słownik języka polskiego. PWN, Warszawa 6. Wyczański S. Cukiernictwo. WSiP, Warszawa 2004 7. Turlejska H., Pelzner U., Konecka-Matyjek E., Wiśniewska K.: Przewodnik do wdrażania zasad GMP/GHP i systemu HACCP w zakładach żywienia zbiorowego. Fundacja Programów Pomocy dla Rolnictwa, Warszawa, 2003