„Projekt współfinansowany ze środków Europejskiego Funduszu Społecznego”
MINISTERSTWO EDUKACJI
NARODOWEJ
Katarzyna Wojtalik
Zastosowanie normalizacji w przetwórstwie spożywczym
741[01].O1.04
Poradnik dla ucznia
Wydawca
Instytut Technologii Eksploatacji – Państwowy Instytut Badawczy
Radom 2007
„Projekt współfinansowany ze środków Europejskiego Funduszu Społecznego”
1
Recenzenci:
mgr inż. Grażyna Jakubczyk
dr Małgorzata Elżbieta Kuśmierczyk
Opracowanie redakcyjne:
mgr inż. Joanna Kośka
Konsultacja:
mgr inż. Barbara Kapruziak
Poradnik stanowi obudowę dydaktyczną programu jednostki modułowej Zastosowanie
normalizacji w przetwórstwie spożywczym 741[01].O1.04, zawartego w programie nauczania
dla zawodu cukiernik.
Wydawca
Instytut Technologii Eksploatacji – Państwowy Instytut Badawczy, Radom 2007
„Projekt współfinansowany ze środków Europejskiego Funduszu Społecznego”
2
SPIS TREŚCI
1. Wprowadzenie 3
2. Wymagania wstępne 5
3. Cele kształcenia 6
4. Materiał nauczania 7
4.1. Normalizacja w przetwórstwie spożywczym 7
4.1.1. Materiał nauczania 7
4.1.2. Pytania sprawdzające 12
4.1.3. Ćwiczenia 12
4.1.4. Sprawdzian postępów 16
4.2. Systemy zapewnienia bezpieczeństwa zdrowotnego żywności 17
4.2.1. Materiał nauczania 17
4.2.2. Pytania sprawdzające 26
4.2.3. Ćwiczenia 26
4.2.4. Sprawdzian postępów 30
5. Sprawdzian osiągnięć 31
6. Literatura 36
„Projekt współfinansowany ze środków Europejskiego Funduszu Społecznego”
3
1. WPROWADZENIE
Poradnik ten będzie Ci pomocny w przyswajaniu wiedzy na temat przepisów
bezpieczeństwa i higieny pracy, ochrony przeciwpożarowej oraz ochrony środowiska.
W poradniku znajdziesz:
− wymagania wstępne – wykaz umiejętności, jakie powinieneś mieć już ukształtowane,
abyś bez problemów mógł korzystać z poradnika,
− cele kształcenia – wykaz umiejętności, które powinieneś ukształtować podczas realizacji
tej jednostki modułowej,
− materiał nauczania, umożliwiający osiągnięcie założonych celów kształcenia, pytania
sprawdzające wiedzę, ćwiczenia wraz ze sposobem wykonania i wykazem materiałów
potrzebnych do jego realizacji oraz sprawdzian postępów,
– przykładowy sprawdzian osiągnięć,
– wykaz literatury uzupełniającej.
Materiał nauczania podzielono na dwie części. Pierwsza zawiera omówienie cel
i znaczenie normalizacji, ze szczególnym uwzględnieniem przetwórstwa żywności.
W tej części zawarto także podział norm i ich charakterystykę.
W drugiej części dokonano przeglądu najczęściej stosowanych systemów zapewnienia
jakości.
„Projekt współfinansowany ze środków Europejskiego Funduszu Społecznego”
4
Schemat układu jednostek modułowych
741[01].O1.03
Charakteryzowanie maszyn
i urządzeń
741[01].O1
Podstawy przetwórstwa
spożywczego
741[01].O1.02
Charakteryzowanie surowców
i materiałów pomocniczych
741[01].O1.04
Zastosowanie normalizacji
w przetwórstwie spożywczym
741[01].O1.01
Przestrzeganie przepisów
bezpieczeństwa i higieny pracy,
ochrony przeciwpożarowej
oraz ochrony środowiska
„Projekt współfinansowany ze środków Europejskiego Funduszu Społecznego”
5
2. WYMAGANIA WSTĘPNE
Przystępując do realizacji programu nauczania jednostki modułowej powinieneś umieć:
− określać znaczenie żywności i przemysłu spożywczego,
− rozróżniać pojęcia proces produkcji, etap produkcji, wyroby gotowe,
− odczytywać proste schematy technologiczne,
− przestrzegać przepisów bezpieczeństwa i higieny pracy,
− rozwiązywać w sposób twórczy problemy,
− korzystać z różnych źródeł informacji,
− użytkować komputer,
− współpracować w grupie.
„Projekt współfinansowany ze środków Europejskiego Funduszu Społecznego”
6
3. CELE KSZTAŁCENIA
W wyniku realizacji programu jednostki modułowej powinieneś umieć:
– zdefiniować pojęcia: norma, normalizacja,
– rozróżnić i scharakteryzować normy ze względu na przedmiot regulacji,
– zinterpretować informacje zawarte w normach dotyczących przetwórstwa spożywczego,
– skorzystać z norm,
– określić znaczenie regulacji prawnych związanych z zapewnieniem jakości zdrowotnej
żywności,
– scharakteryzować systemy zapewnienia jakości zdrowotnej produkowanej żywności,
– określić rodzaje zagrożeń dla bezpieczeństwa zdrowotnego gotowych wyrobów,
– określić krytyczne punkty kontroli procesu produkcji żywności,
– skorzystać z różnych źródeł informacji.
„Projekt współfinansowany ze środków Europejskiego Funduszu Społecznego”
7
4. MATERIAŁ NAUCZANIA
4.1. Normalizacja w przetwórstwie spożywczym
4.1.1. Materiał nauczania
Cel i znaczenie normalizacji
Normalizacja jest to działalność, polegająca na dążeniu do optymalnego uporządkowania
w danej dziedzinie, zmierzająca do ujednolicenia wymagań, dotyczących cech produktów,
czynności produkcyjnych i usługowych oraz pojęć. Normalizacja jest istotnym elementem
organizacji produkcji w nowoczesnym przemyśle i wskaźnikiem decydującym o rozwoju
danego kierunku produkcji.
Podstawowe cele normalizacji stanowi:
− ustalenie jednoznaczności pojęć, terminów, symboli w nauce i technice oraz określenie
jednostek miar i ujednolicenie metod badań,
− wprowadzenie ładu organizacyjnego w procesach produkcji,
− ochrona zdrowia i życia oraz zapewnienie bezpieczeństwa pracowników w trakcie
wykonywania swoich zadań zawodowych,
− ochrona zdrowia i życia konsumentów, lepsze zaspokojenie ich potrzeb poprzez ustalenie
wymagań na produkty żywnościowe,
− oszczędność pracy ludzkiej, surowców i energii przez zwiększenie mechanizacji pracy,
zmniejszenie marnotrawstwa materiałów i czasu oraz przyspieszenie postępu
technicznego,
− ochrona środowiska naturalnego,
− ochrona gotowego wyrobu w czasie przechowywania, transportu i eksploatacji.
Normy
Norma jest dokumentem prawnym naukowo-technicznym porządkującym prawidłowy
stan w poszczególnych zagadnieniach życia gospodarczego przez upraszczanie, ujednolicanie
i precyzowanie charakterystyki surowców, produktów, czynności i pojęć.
Zadaniem normy jest zapewnienie jednolitego poziomu jakości wyrobów, a w przypadku
artykułów spożywczych również zapewnienie ich zdrowotności.
Normę powinny charakteryzować następujące cechy:
− celowość opracowania,
− słuszność techniczna, ekonomiczna i naukowa,
− właściwe wyczerpanie tematu,
− unikanie zbędnych postanowień,
− niepowtarzanie postanowień,
− zgodność postanowień,
− jednoznaczność postanowień,
− jednolitość opracowań,
− wysoki poziom i zrozumiałość ze strony korzystających, niezależnie od jej rodzaju,
− właściwa forma graficzna.
Normy powinny być powszechnie dostępne, dostosowane do aktualnych przepisów
prawnych, opracowywane w uzgodnieniu z grupą zainteresowanych, bez ingerencji władzy
w treść normy.
„Projekt współfinansowany ze środków Europejskiego Funduszu Społecznego”
8
Opracowanie normy powinno być oparte na aktualnych źródłach, którymi mogą być:
− dane statystyczne, np. wyniki laboratoryjne, analizy gospodarki materiałowej,
− dokumentacja techniczna, np. receptury, instrukcje technologiczne, rysunki
konstrukcyjne,
− Polskie Normy, normy i zalecenia międzynarodowe,
− przepisy prawne: ustawy, rozporządzenia, przepisy bezpieczeństwa i higieny pracy oraz
przepisy sanitarno-higieniczne,
− prace naukowo-badawcze związane tematycznie z przedmiotem normalizacji,
− monografie, artykuły, podręczniki, katalogi, cenniki, umowy na warunki dostawy
i odbioru, wzory wyrobów krajowych i zagranicznych.
Podział norm
Zgodnie z wykazem Polskiego Komitetu Normalizacyjnego istnieją następujące typy
norm powszechnych:
− normy podstawowe,
− normy terminologiczne,
− normy procesu,
− normy badań,
− normy wyrobu.
Normy podstawowe dotyczą ogólnych postanowień (zagadnień) w jednej określonej
dziedzinie, ustalają poprawne słownictwo techniczne oraz tworzą jednolity system
wzajemnego porozumiewania się.
Normy terminologiczne zawierają klasyfikację materiałów, przedmiotów, pojęć lub
czynności, terminy i ich definicje, objaśnienia i przykłady.
Normy procesu określają wymagania, które powinny być spełnione w procesie, w celu
zapewnienia jego funkcjonalności. Normy te ustalają warunki wykonywania określonych
czynności, jak: projektowanie, przebieg procesu produkcji, pakowanie i inne.
Normy badań ustalają jednolite metody wykonywania badań laboratoryjnych oraz
pobierania próbek.
Normy wyrobu dotyczą wymagań, które powinien spełniać wyrób, w celu zapewnienia
jego funkcjonalności. Precyzują one wymagania jakościowe dla danego produktu
z uwzględnieniem rodzaju opakowania, warunków magazynowania, transportu, itp.
Normy stosowane można również podzielić ze względu na zasięg ich stosowania:
− norma międzynarodowa (ISO, IEC) – obowiązująca w skali świata,
− norma regionalna (EN, CEN) – obowiązująca na poziomie regionów, np. Europy,
− norma krajowa (PN) – obowiązującą na terenie Polski,
− norma zakładowa (ZN) – obowiązująca w danym przedsiębiorstwie.
Z mocy Ustawy o normalizacji wynika między innymi, że jedynymi normami krajowymi
są Polskie Normy (PN). Przy wprowadzeniu normy międzynarodowej lub regionalnej do
elementu krajowego normatywnego używa się oznaczeń PN-ISO, PN-EN.
Ustawa o normalizacji nie precyzuje pojęcia normy zakładowej, choć dokumenty te na
poziomie przedsiębiorstwa mogą i powinny być opracowywane. Opracowaną normę
zakładową przyjmuje przedsiębiorstwo, a z chwilą ustanowienia staje się ona dokumentem
obligatoryjnym w tym przedsiębiorstwie.
„Projekt współfinansowany ze środków Europejskiego Funduszu Społecznego”
9
Budowa norm
W Polskich Normach obowiązuje typowy układ edytorski, w którym przewiduje się
następujący podział treści normy na:
− stronę tytułową,
− część tytułową,
− treść normy,
− informacje dodatkowe.
Część tytułowa zawiera (rys. 1):
− nazwę organu ustanawiającego normę,
− rodzaj normy,
− tytuł normy,
− numer normy (ewentualnie numer normy poprzedniej),
− grupę katalogową.
Rys. 1. Część tytułowa normy [4, s.61]
Odmienny układ mają normy PN-ISO, PN-EN. Do podstawowych elementów tych norm
zalicza się:
− strony okładkowe,
− stronę tytułową z przedmową krajową,
− stronę tytułową normy międzynarodowej z przedmową,
− strony tekstowe z treścią normy,
− załączniki normy ISO/EN,
− odsyłacze krajowe,
− załączniki krajowe.
Treść normy jest najczęściej podzielona na rozdziały.
W informacjach dodatkowych podaje się:
− instytucję opracowującą normę,
− normy i dokumenty związane,
− autorów projektów normy,
− inne informacje.
W związku z dużą liczbą obowiązujących norm wprowadzono ich ujednoliconą
klasyfikację i numerację. Numeracja oparta jest na systemie alfanumerycznym. Taki system
numeracji Polskich Norm składa się z części literowej oraz części cyfrowej. Numer jest
umieszczany w części tytułowej normy.
Litery stanowią symbole odpowiednich działów gospodarki narodowej, np.:
− A – Produkcja artykułów żywnościowych i napojów,
− B – Budownictwo,
„Projekt współfinansowany ze środków Europejskiego Funduszu Społecznego”
10
− R – Rolnictwo,
− Z – Zdrowotność.
Przykładowe oznaczenie numeru normy pokazano na rysunku 2.
Rys. 2. Elementy składowe numeru normy i ich znaczenie
W związku z dostosowywaniem prawodawstwa polskiego do europejskiego i światowego
w ostatnich latach powstało wiele norm opartych na prawodawstwie zagranicznym. Obecnie
stosowane są następujące oznakowania norm:
− PN-EN – oznacza Polska Normę opartą na wdrożeniu europejskim,
− PN-ISO – oznacza Polska Normę opartą na wdrożeniu międzynarodowym,
− PN-EN ISO – oznacza Polska Normę opartą na wdrożeniu europejskim, która była
opracowana zgodnie z międzynarodową normą ISO.
Normy takie mają numer i rok wydania w Polsce, ale nie mają symbolu działu gospodarki
narodowej.
Polski Komitet Normalizacyjny publikuje na potrzeby uczestników gospodarki Katalog
Norm PN, który jest aktualizowany na bieżąco.
W miarę rozwoju gospodarki oraz postępu techniczno-gospodarczego normy są
aktualizowane i dostosowywane do tempa rozwoju techniki. Najczęściej normę unieważnia
się jednocześnie z ustanowieniem nowej, zastępującej poprzednią. Taką działalność nazywa
się nowelizacją normy i jest ona prowadzona z inicjatywy Polskiego Komitetu Normalizacji.
Cele i znaczenie normalizacji w przetwórstwie żywności
Normy w przedsiębiorstwie przetwórstwa spożywczego charakteryzują wytwarzane
produkty, proces wytwarzania czy inne obszary działalności. Pełnią też ważne funkcje
ekonomiczne, określające warunki techniczne produkcji, racjonalny poziom nakładów
surowcowych i ubytków oraz warunki kształtowania produktów żywnościowych.
Normy techniczne stosowane m.in. w przetwórstwie żywności stanowią dwie grupy
norm:
− określające właściwości: znaczeniowe, przedmiotowe i czynnościowe,
− określające nakład (materiałowe).
Normy znaczeniowe ustalają lub ujednolicają nazwy, terminy i symbole, mające ważne
znaczenie w życiu praktycznym.
Normy przedmiotowe precyzują wymagania odnośnie cech i właściwości surowców,
półproduktów lub wyrobów gotowych. Odstępstwa od ustalonych w normach wskaźników
PN – A – 86 524 : 1994
Polska Norma
dział gospodarki narodowej
grupa ogólna
cyfry zawierające
informacje tematyczne
rok ustanowienia normy
„Projekt współfinansowany ze środków Europejskiego Funduszu Społecznego”
11
pociągają za sobą określone konsekwencje prawne, np. decydują o niedopuszczeniu danego
towaru do obrotu handlowego lub o jego wycofaniu. Normy te pełnią zatem istotną rolę
w dążeniu do polepszania jakości surowców, półproduktów oraz wyrobów gotowych.
Normy czynnościowe ustalają zasady, które powinny być przestrzegane podczas
wykonywania czynności w zakresie określonym normą. Są to niejako instrukcje
technologiczne opisujące proces produkcji, sposób pakowania i przechowywania oraz sposób
prowadzenia dokumentacji. Określają one także ujednolicone metody badań, których
stosowanie umożliwia porównywanie wyników oznaczeń analitycznych.
Normy określające nakład ustalają ilość surowców i materiałów niezbędnych do
wykonania jednostki wyrobu lub usług, ilości materiałów niezbędnych do zapewnienia
ciągłości produkcji oraz ilości ubytków naturalnych. W skład norm określających nakład
wchodzą normy materiałowe, obejmujące między innymi normy ubytków naturalnych
i normy zużycia materiałów.
Normy ubytku naturalnego wyrażone są w procentach i określają maksymalną wielkość
niezawinionego ubytku danego produktu w określonych warunkach i określonym czasie.
Normy zużycia materiału ustalają dopuszczalną ilość tego materiału na wykonanie
jednostki masy lub objętość danego produktu.
Specyficzną formę normowania zużycia surowców w przetwórstwie żywności stanowi
receptura. Receptura jest to norma zużycia, służąca do ustalenia niezbędnej ilości surowców
o odpowiedniej strukturze, potrzebnych do wyprodukowania jednostki wyrobu.
Przepisy prawne dotyczące produkcji żywności
Najważniejszym dokumentem ustawodawstwa żywnościowego w Polsce jest Ustawa
o warunkach zdrowotnych żywności i żywienia z dnia 11 maja 2001 r., która:
− tworzy ograniczenie zapobiegające produkowaniu i wprowadzaniu do obrotu handlowego
produktów spożywczych niespełniających wymagań jakości zdrowotnej,
− normuje warunki produkcji środków spożywczych, używek i substancji dodatkowych,
− reguluje wymagania dotyczące urządzeń, sprzętu, opakowań i innych materiałów
stykających się z żywnością.
Przepisy prawa żywnościowego stanowią m.in. o tym, że:
− opakowania produktów spożywczych muszą posiadać atest Państwowego Zakładu
Higieny, dopuszczającego je do kontaktu z żywnością,
− producent ma obowiązek umieszczania na opakowaniach produktów żywnościowych
danych istotnych dla określenia ich jakości zdrowotnej, a zwłaszcza o składzie substancji
dodatkowych dozwolonych,
− artykuły, które odpowiadają wszystkim określonym w odpowiedniej normie
wymaganiom winny być oznakowane znakiem zgodności z normą i oznaczone jej
numerem.
Międzynarodowym dokumentem prawnym określającym wymagania dla produktów
żywnościowych jest Kodeks Żywnościowy tzw. Codex Alimentarius.
Celem Kodeksu Żywnościowego jest:
− dążenie do ujednolicenia w skali światowej (lub regionalnej, np., europejskiej) przepisów
dotyczących jakości produktów żywnościowych,
− sprecyzowanie ogólnych wymagań odnośnie higieny i bezpieczeństwa w produkcji
żywności,
− opracowanie i usystematyzowanie norm jakościowych dla produktów żywnościowych.
Kodeks Żywnościowy opracowany został przez Komisję Kodeksu Żywnościowego.
Główne jej zadanie polega na opracowywaniu norm międzynarodowych dla produktów
„Projekt współfinansowany ze środków Europejskiego Funduszu Społecznego”
12
żywnościowych w celu zapewnienia ochrony zdrowia konsumentów oraz ułatwienia
międzynarodowego handlu żywnością i przestrzegania etyki w handlu żywnościowym.
Obecnie, od chwili wstąpienia Polski do Unii Europejskiej przepisy prawa
żywnościowego w Polsce są dostosowywane do przepisów zalecanych w Unii Europejskiej
i Kodeksu Żywnościowego.
4.1.2. Pytania sprawdzające
Odpowiadając na pytania, sprawdzisz, czy jesteś przygotowany do wykonania ćwiczeń.
1. Jaki jest cel stosowania normalizacji?
2. Jak definiuje się normę?
3. Jak podzielone są normy powszechne?
4. Jak podzielone są normy ze względu na zasięg?
5. Jak zbudowana jest norma?
6. Jakie znaczenie mają poszczególne elementy tytułu normy?
7. Jakie znaczenie ma normalizacja w przetwórstwie żywności?
8. Jakie rozróżnia się rodzaje norm technicznych?
9. Jakie są najważniejsze dokumenty ustawodawstwa żywnościowego w Polsce
i na świecie?
4.1.3. Ćwiczenia
Ćwiczenie 1
Dokonaj rozróżnienia podanych przez nauczyciela norm. Wyniki swojej pracy zapisz
w tabeli:
Tytuł normy Numer normy Rodzaj normy
Sposób wykonania ćwiczenia
Aby wykonać ćwiczenie, powinieneś:
1) zapoznać się z podziałem norm,
2) zdefiniować poszczególne rodzaje norm,
3) przeanalizować normy przygotowane przez nauczyciela,
4) podzielić analizowane normy według przedmiotu regulacji,
5) uzupełnić tabelę w zeszycie,
6) oddać zeszyt nauczycielowi.
Wyposażenie stanowiska pracy:
− materiały biurowe,
− normy,
− Poradnik dla ucznia.
„Projekt współfinansowany ze środków Europejskiego Funduszu Społecznego”
13
Ćwiczenie 2
Rozpoznaj na podstawie numeru normy zasięg jej obowiązywania i dział gospodarki,
którego dotyczy. Dane są normy o następujących numerach:
a) PN-A-86050:2002
b) PN-A-88104:1998
c) PN-EN ISO 1737:2002
d) PN-EN 12630:2002
e) PN-ISO 4134:2002
f) ISO 9001:2000
Sposób wykonania ćwiczenia
Aby wykonać ćwiczenie, powinieneś:
1) zapoznać się ze sposobem oznakowania norm,
2) przeanalizować numer każdej normy,
3) wypisać informacje, które można odczytać na podstawie numeru normy,
4) zapisać wyniki swojej pracy w zeszycie,
5) oddać nauczycielowi zeszyt.
Wyposażenie stanowiska pracy:
− materiały biurowe,
− normy,
− Poradnik dla ucznia.
Ćwiczenie 3
Przeanalizuj informacje zawarte w normie. Wyniki swojej pracy zapisz
w tabeli:
Część normy Informacje
Tytuł
Wstęp
................
................
................
...............
...............
Sposób wykonania ćwiczenia
Aby wykonać ćwiczenie, powinieneś:
1) zapoznać się z treścią normy,
2) przeanalizować informacje zawarte w normie,
3) uzupełnić tabelę w zeszycie,
4) oddać zeszyt nauczycielowi.
Wyposażenie stanowiska pracy:
− materiały biurowe,
− normy produktów spożywczych,
− Poradnik dla ucznia.
„Projekt współfinansowany ze środków Europejskiego Funduszu Społecznego”
14
Ćwiczenie 4
Scharakteryzuj cel stosowania i znaczenie przedstawionych norm. Wyniki swojej pracy
zapisz w tabeli:
Przedmiot normy Cel i znaczenie normy
dla producenta
Znaczenie normy
dla konsumentów
Pieczywo.
Metody badań i ocena punktowa
Wyroby i półprodukty ciastkarskie.
Pobieranie próbek i kontrola jakości
Wyroby spirytusowe, produkty
i półprodukty. Terminologia
Pieczywo.
Pakowanie, przechowywanie
i transport
Wyroby i półprodukty ciastkarskie.
Badania mikrobiologiczne.
Zakres i metody badań
Sposób wykonania ćwiczenia
Aby wykonać ćwiczenie, powinieneś:
1) zapoznać się z podziałem norm,
2) zdefiniować poszczególne rodzaje norm,
3) określić znaczenie stosowania poszczególnych rodzajów norm dla producentów,
4) określić znaczenie stosowania poszczególnych rodzajów norm dla konsumentów,
5) uzupełnić tabelę w zeszycie,
6) oddać zeszyt nauczycielowi.
Wyposażenie stanowiska pracy:
− materiały biurowe,
− Poradnik dla ucznia.
Ćwiczenie 5
Przeanalizuj informacje zawarte w normie przedmiotowej herbatników i określ ich jakość
na podstawie wyników analiz laboratoryjnych.
Wyniki analiz laboratoryjnych:
− zawartość suchej masy – 96%
− zawartość cukrów ogółem jako cukier inwertowany – 22%,
− ilość wyrobów wykazujących wady – pęknięcia – 6%.
Sposób wykonania ćwiczenia
Aby wykonać ćwiczenie, powinieneś:
1) zapoznać się z treścią normy dotyczącej herbatników,
2) przeanalizować informacje zawarte w normie,
3) określić, czy podane wartości wskaźników odpowiadają wymaganiom normy,
4) wyciągnąć wnioski i zapisać je w zeszycie,
5) oddać zeszyt nauczycielowi.
„Projekt współfinansowany ze środków Europejskiego Funduszu Społecznego”
15
Wyposażenie stanowiska pracy:
− materiały biurowe,
− normy produktów spożywczych,
− Poradnik dla ucznia,
− karty pracy z tekstem przewodnim.
Ćwiczenie 6
Dokonaj oceny jakości dowolnego produktu spożywczego w oparciu o normę.
Sposób wykonania ćwiczenia
Aby wykonać ćwiczenie, powinieneś:
1) zorganizować stanowisko pracy – przygotować sprzęt do wykonania analiz,
2) zapoznać się z treścią normy jakościowej dotyczącej danego produktu spożywczego,
3) przeanalizować informacje zawarte w normie,
4) określić barwę, wygląd, konsystencję, smak, zapach i inne wskaźniki określone
w normie,
5) zapisać obserwacje w zeszycie,
6) porównać oceniane wskaźniki z wymaganiami normy,
7) uporządkować stanowisko pracy,
8) wyciągnąć wnioski i zapisać je w zeszycie,
9) oddać zeszyt nauczycielowi.
Wyposażenie stanowiska pracy:
− materiały biurowe,
− normy produktów spożywczych,
− sprzęt do wykonania analiz: probówka, szkiełko zegarkowe, łyżeczka, nóż,
− Poradnik dla ucznia,
− karty pracy z tekstem przewodnim.
Ćwiczenie 7
Zbierz informacje na temat Kodeksu Żywnościowego i przedstaw jego główne założenia.
Sposób wykonania ćwiczenia
Aby wykonać ćwiczenie, powinieneś:
1) zapoznać się z informacjami na temat Kodeksu Żywnościowego zawartych w pkt 4.1.1
oraz innych źródłach informacji,
2) uporządkować zebrane informacje,
3) sformułować najważniejsze założenia Kodeksu Żywnościowego,
4) umieścić założenia na arkuszu kartonu formatu A3,
5) wyciągnąć wnioski z wykonanego ćwiczenia,
6) zaprezentować wyniki swojej pracy na forum grupy.
Wyposażenie stanowiska pracy:
− materiały biurowe,
− materiały źródłowe z publikacji dotyczących przemysłu spożywczego oraz z sieci
Internet,
− arkusz kartonu formatu A3,
− Poradnik dla ucznia.
„Projekt współfinansowany ze środków Europejskiego Funduszu Społecznego”
16
4.1.4. Sprawdzian postępów
Czy potrafisz: Tak Nie
1) określić cel i znaczenie normalizacji? ! !
2) rozróżnić normy? ! !
3) scharakteryzować poszczególne rodzaje norm? ! !
4) omówić budowę normy? ! !
5) zinterpretować informacje zawarte w normach? ! !
6) skorzystać z norm? ! !
7) scharakteryzować przepisy dotyczące ustawodawstwa
żywnościowego? ! !
„Projekt współfinansowany ze środków Europejskiego Funduszu Społecznego”
17
4.2. Systemy zapewnienia bezpieczeństwa zdrowotnego żywności
4.2.1. Materiał nauczania
Jakość produktów żywnościowych
Jakość definiuje się jako zespół cech fizycznych, chemicznych, biologicznych
i estetycznych, itp. decydujących o przydatności użytkowej wyrobu.
Rys. 3. Czynniki kształtujące jakość produktów żywnościowych [2, s. 29]
Na jakość produktów żywnościowych mają wpływ:
− ogólne wrażenie sensoryczne, czyli wygląd zewnętrzny, tekstura, smak, zapach,
− skład surowcowy decydujący o wartości żywieniowej, fizjologicznej ewentualnie
dietetycznej,
− parametry fizyczne i chemiczne,
− czynniki higieniczne warunkujące bezpieczeństwo zdrowotne.
Pod pojęciem czynniki higieniczne, czyli zdrowotne, rozumiane są przede wszystkim:
− stan mikrobiologiczny (rodzaj i ilość drobnoustrojów, obecność toksyn produkowanych
przez drobnoustroje,
− zmiany pochodzenia mikrobiologicznego,
− obecność substancji niedozwolonych (np. metale szkodliwe dla zdrowia, pozostałości
środków myjących i dezynfekcyjnych).
Przyczyny i źródła zagrożeń żywności
Proces produkcji żywności narażony jest na oddziaływanie szeregu czynników, które
mogą doprowadzić do obniżenia jakości zdrowotnej żywności. Czynniki te określane
są mianem zagrożeń zdrowotnych. Mogą one spowodować, że żywność staje się
niebezpieczna dla zdrowia konsumenta.
Zagrożenia zdrowotne żywności można podzielić na cztery grupy:
− zagrożenia fizyczne – to ciała obce, które dostają się do żywności w wyniku zaniedbań
pracowników oraz braku właściwej higieny,
„Projekt współfinansowany ze środków Europejskiego Funduszu Społecznego”
18
− zagrożenia chemiczne – pierwiastki lub związki chemiczne,
− zagrożenia biologiczne – to szkodniki i ich pozostałości, insekty, gryzonie i ich odchody,
− zagrożenia mikrobiologiczne wywołane przez bakterie, drożdże, wirusy i pleśnie w tym
toksynotwórcze.
Podstawowe powody, dla których należy eliminować zagrożenia zdrowotne to:
− podniesienie jakości wyrobów,
− duża konkurencja na rynku,
− spełnienie wymagań prawnych UE.
Zagrożenia fizyczne występujące w żywności można podzielić według źródeł ich
pochodzenia na:
− kurz i brud,
− ciała obce dostające się z surowcami: piasek, kamyki, patyki, źdźbła słomy, sznurek i itp.,
− ciała obce pochodzące z surowców: pestki owoców, łupiny, kości z wędlin, ości, itp.,
− dostające się do żywności w trakcie procesu przetwórczego: odłamki szkła, plastyku,
odłamki metalu, drewna, skrawki i zeschnięte resztki produktów,
− powstające w wyniku zaniedbań personelu: noszenie biżuterii i innych ozdób,
niewłaściwa odzież robocza-możliwość oderwania guzików, wypadanie przedmiotów
noszonych w kieszeni, włosy, niedopałki, itp.,
− wynikające z nieprzestrzegania zasad bezpieczeństwa i higieny pracy: brak osłon lamp
oświetleniowych, szkła okienne, farba z sufitu i ścian, odchody ptaków i gryzoni, itp.,
− inne, np. wprowadzane świadomie,
− zawilgocenie, przegrzanie wskutek działania czynników atmosferycznych.
Zagrożenia chemiczne to różne pierwiastki i związki chemiczne, nie będące istotnymi
składnikami żywności, a znajdujące się w niej w sposób przypadkowy. Mogą one
w znacznym stopniu wpływać na jakość zdrowotną żywności, powodując albo
natychmiastowe objawy chorobowe, albo też zmiany w prawidłowym funkcjonowaniu
organizmu, dające się stwierdzić dopiero po pewnym czasie. Obecność niektórych związków
może dawać skutki nawet w następnych pokoleniach. Wpływ ich na organizm może się także
objawiać w postaci chorób nowotworowych.
Skażenia żywności substancjami chemicznymi w dużej mierze są wynikiem działalności
człowieka. Ogólnie zagrożenia chemiczne występujące w żywności można podzielić na:
− naturalnie występujące w surowcach,
− obecne w wyniku zabiegów agrotechnicznych i zootechnicznych: pozostałości
pestycydów, azotany, pozostałości leków weterynaryjnych,
− celowo dodawane w przemyśle w procesie technologicznym: dodatki funkcjonalne –
substancje dodatkowe dozwolone,
− przypadkowo dostające się w procesie technologicznym: np. pochodzące z maszyn smary
i farby,
− pozostałości środków myjących i dezynfekcyjnych,
− powstające w wyniku rolniczego wykorzystania terenów ekologicznie zagrożonych
(np. metale toksyczne),
− mikotoksyny i toksyny bakteryjne,
− skażenia radioaktywne,
− dodane świadomie w celu zatuszowania.
W niektórych surowcach żywnościowych występują naturalne substancje toksyczne,
a ich zawartość wiąże się ze stanem dojrzałości surowców lub okresem ich przechowywania.
Przykładem tego typu substancji mogą być solanina występująca w ziemniakach, amygdalina
w gorzkich migdałach, toksyny w grzybach kapeluszowych.
„Projekt współfinansowany ze środków Europejskiego Funduszu Społecznego”
19
Zagrożenia związane z pozostałością środków ochrony roślin lub substancji dozwolonych
celowo dodawanych wynikają często z zastosowania zbyt dużej ich ilości. Niewłaściwe
płukanie instalacji powoduje pozostałości środków dezynfekujących lub myjących.
Zagrożenia biologiczne mogą być skutkiem obecności i działalności szkodników
magazynowych, jak owady, gryzonie, ptaki, które są widoczne oraz niewidocznych gołym
okiem roztoczy.
Szkodliwość owadów polega na nosicielstwie i rozsiewaniu w otoczeniu drobnoustrojów
chorobotwórczych lub zarodników pleśni.
Gryzonie występujące w magazynach (głównie myszy i szczury) powodują
rozprzestrzenianie się drobnoustrojów chorobotwórczych. Podobne zagrożenia stwarzają
ptaki żyjące wokół zakładów produkcyjnych.
Groźnym zagrożeniem dla człowieka są roztocza, np. rozkruszki. Mogą one wywołać
stany zapalne przewodu pokarmowego oraz odczyny alergiczne.
Zagrożenia mikrobiologiczne stanowią najgroźniejszą grupę zagrożeń zdrowotnych
żywności. Mogą wywołać one zatrucia pokarmowe lub choroby zakaźne u człowieka.
Znanych jest wiele grup drobnoustrojów powodujących zatrucia pokarmowe:
− Salmonella jest przyczyną najczęściej rozpoznawanych chorób pokarmowych, tzw.
salmonellozy
− Clostridium botulinum wywołuje botulizm, choroba bardzo niebezpieczna ze względu na
ciężki przebieg,
− Escherichia coli wywołują zaburzenia jelitowe oraz infekcje o różnym przebiegu u ludzi
i zwierząt,
− Staphylococcus aureus wytwarza enterotoksynę gronkowcową,
− Shigella wywołuje czerwonkę bakteryjna, epidemiologiczną chorobę zakaźną,
− rozwój grzybów w żywności może także stanowić poważne zagrożenie zdrowotne
ze względu na zdolność produkowania substancji toksycznych zwanych mikotoksynami,
− wirusy – rotawirusy wywołują dolegliwości żoładkowo-jelitowe.
Systemy zapewnienia jakości
System zapewnienia jakości jest to struktura organizacyjna, procedury, procesy i zasady
niezbędne do zarządzania jakością.
Zarządzanie jakością polega na wdrożeniu, utrzymaniu i doskonaleniu systemu jakości
oraz udowodnieniu tych działań klientom, między innymi poprzez certyfikację systemu
jakości.
Istnieje wiele systemów zapewnienia jakości, różniących się celem działania, zbiorem
wymagań, zasadami funkcjonowania. W produkcji żywności najczęściej stosowane
są następujące systemy:
− Dobra Praktyka Produkcyjna – GMP (Good Manufacturing Practice),
− Dobra Praktyka Higieniczna – GHP (Good Higienic Practice),
− Analiza Zagrożeń i Kontrola Punktów Krytycznych – HACCP (Hazard Analysis and
Critical Control Point),
− Normy ISO serii 9000,
− Kompleksowe Zarządzanie przez Jakość – TQM (Total Quality Management).
Wzajemne powiązania pomiędzy obszarami wymagań systemów i filozofii dotyczących
sfery działalności przedstawiono na rysunku 4. Taka kolejność jest zalecana w przetwórstwie
spożywczym.
„Projekt współfinansowany ze środków Europejskiego Funduszu Społecznego”
20
Rys. 4. Charakterystyka zależności systemów zapewnienia jakości [7, s.52]
Dobra Praktyka Produkcyjna, Dobra Praktyka Higieniczna
Dobra Praktyka Produkcyjna określa zespół działań, które eliminują fizyczne, chemiczne,
biologiczne i mikrobiologiczne zagrożenia zdrowotne na linii całego procesu produkcji
i dystrybucji żywności i zapewniają wyprodukowanie żywności bezpiecznej dla zdrowia
konsumenta.
Istota Dobrej Praktyki Produkcyjnej polega na przestrzeganiu następujących zasad:
− utrzymanie wszystkich urządzeń produkcyjnych w dobrym stanie technicznym,
− utrzymanie higienicznych warunków środowiska,
− zapewnienie odpowiedniego oświetlenia pomieszczeń zakładowych i właściwej
wentylacji,
− stosowanie skutecznych procedur mycia i dezynfekcji,
− kontrolowanie pracowników w celu przeciwdziałania zakażeniom żywności,
− zapewnienie odpowiednich magazynów sprzętu, substancji chemicznych i produktów
spożywczych,
− zapewnienie wystarczającej ilości miejsca na rozmieszczenie urządzeń produkcyjnych
i magazynowych,
− właściwa gospodarka wodno-ściekowa,
− zapobieganie obecności i rozprzestrzenianiu się owadów, ptaków, gryzoni i innych
szkodników.
Dobra Praktyka Higieniczna określa higieniczne aspekty GMP i jest systemem nieco
węższym niż Dobra Praktyka Produkcyjna.
Normy ISO serii 9000
Celem stosowania norm ISO serii 9000 jest zagwarantowanie jednolitej jakości wyrobów
poprzez zapewnienie jakości procesów produkcyjnych. Normy te narzucają konieczność
dostarczenia dowodów przestrzegania wymagań w nich zawartych.
Normy ISO 9000 określają niemal każdą czynność pracownika biorącego udział
w procesie produkcji, zadania kierownictwa, sposoby kontrolowania jakości wyrobów
dostarczanych przez poddostawcę itp. W systemie ISO kontrola jakości jest ciągła i odbywa
się na każdym etapie, od projektowania, poprzez produkcję, do ekologicznego niwelowania
odpadów. W tym systemie każdy pracownik, o ile wypełnia wskazówki zapisane w Księdze
Jakości, wykonuje swoje czynności niemal z komputerową powtarzalnością.
Podstawą opracowania i wdrażania systemu jakości w przedsiębiorstwie przemysłu
spożywczego jest norma ISO 9004, zgodnie z którą konieczne jest w przedsiębiorstwie:
− opracowanie i ustanowienie Polityki Jakości oraz zagwarantowania niezbędnych środków
(kadry, urządzenia, technologie), by została ona wdrożona i stosowana,
„Projekt współfinansowany ze środków Europejskiego Funduszu Społecznego”
21
− opracowanie, ustanowienie i wdrożenie systemu jakości, będącego sposobem realizacji
tej polityki, system ten powinien być zrozumiały i efektywny oraz gwarantować, że
wyroby spełniają wymagania odbiorców,
− określenie czynników jakościowych, decydujących o pozycji firmy na rynku,
− opracowanie, opublikowanie i przestrzeganie procedur operacyjnych, w celu koordynacji
różnorodnej działalności w zakresie jakości.
Układ działań, czyli hierarchię dokumentów i odpowiedzialności za nie w systemie
zarządzania jakością zgodnym z normą ISO serii 9000 najlepiej ilustruje tzw. „Piramida
jakości” (rysunek 5).
Rys. 5. Piramida jakości w systemie zarządzania jakością według norm ISO serii 9000 [5, s.318]
Księga jakości stanowi podstawowe źródło informacji o systemie zapewnienia jakości.
Jest ona zatwierdzana podpisana przez prezesa zarządu. Księga zawiera:
− politykę jakości,
− cele jakości,
− strukturę organizacyjną zakładu,
− zbiór procesów i procedur,
− podział odpowiedzialności.
Procedury opisują taktykę działań, odpowiedzialności i powiązania między ludźmi lub
zespołami w procesach produkcyjnych.
Wdrożony system jakości może uzyskać certyfikat, potwierdzający zgodność z danym
modelem normy ISO serii 9000. Certyfikat wydaje, po przeprowadzeniu odpowiedniej
kontroli tzw. auditu, właściwa jednostka certyfikująca. W Polsce narodową jednostką
certifikujacą jest Polskie Centrum Badań i Certyfikacji – PCBC.
„Projekt współfinansowany ze środków Europejskiego Funduszu Społecznego”
22
System HACCP
W systemie HACCP zakłada się, że potencjalne zagrożenia i nieprawidłowości zostaną
zidentyfikowane przed lub podczas procesu przetwórczego, zawsze na czas, tak aby
zminimalizować ryzyko zagrożenia. Zapobieganie problemom zanim one wystąpią jest
podstawowym celem metody i opartego na niej systemu HACCP. Metoda HACCP została
opracowana w celu wyeliminowania zagrożeń pochodzenia mikrobiologicznego, a następnie
rozszerzona także do innych zagrożeń biologicznych, oraz chemicznych i fizycznych.
HACCP jest jednym z kilku sposobów bardzo efektywnego kontrolowania i poprawy
bezpieczeństwa zdrowotnego żywności. Według Kodeksu Żywnościowego system HACCP
identyfikuje, ocenia i kontroluje zagrożenia istotne z punktu widzenia bezpieczeństwa
żywności.
W systemie HACCP pojawiają się dwa nowe pojęcia:
− Punkt Kontrolny (CP) jest to miejsce, etap, proces lub operacja jednostkowa, gdzie
prowadzi się kontrolę parametrów lub innych wskaźników o podstawowym znaczeniu dla
jakości produktu,
− Krytyczny Punkt Kontrolny (CCP) jest to miejsce, proces, lub operacja, w którym
kontrola musi być zastosowana i jest niezbędna dla zapobieżenia lub wyeliminowania
zagrożenia bezpieczeństwa żywności.
W monitorowaniu Krytycznych Punktów Kontrolnych wykorzystuje się parametry
pozwalające na szybkie podejmowanie działań korygujących, jeżeli zaistnieje taka
konieczność.
Dobrze przygotowany i wdrożony HACCP będzie przynosił wyłącznie korzyści, pod
warunkiem, że wszelkie działania po wdrożeniu będą prowadzone systematycznie.
System HACCP zmusza do:
− zmiany dotychczasowych przyzwyczajeń,
− ponownego przeanalizowania wszystkich procesów produkcyjnych w zakładach, na
miejscu, nawet tam, gdzie produkcja odbywa się bez żadnych problemów,
− przeniesienia odpowiedzialności na pracowników bezpośrednio związanych z produkcją,
zobowiązując ich do czuwania nad poszczególnymi krytycznymi punktami kontrolnymi.
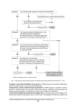
System HACCP opiera się na siedmiu podstawowych zasadach – etapach (rysunek 6).
Przeprowadzenie analizy zagrożeń jest to identyfikacja potencjalnych zagrożeń związanych
z żywnością na wszystkich etapach łańcucha, od wytworzenia przez przetwarzanie
i dystrybucję, aż do konsumpcji oraz ocena prawdopodobieństwa ich wystąpienia
i rozwinięcia, czyli ocena ryzyka.
W ramach analizy zagrożeń najpierw sporządza się listy wszystkich potencjalnych
zagrożeń, o dużym znaczeniu dla zdrowia konsumenta, związanych z każdym etapem
produkcji. Następnie identyfikuje się te z nich, których wyeliminowanie lub redukcja do
akceptowanej wartości są istotne dla bezpieczeństwa produkowanej żywności.
Dla każdego z zagrożeń należy następnie wybrać odpowiednie środki kontrolne, które
mogą być dla niego zastosowane. Nieraz jest konieczne zastosowanie więcej niż jednego
środka kontrolnego do opanowania zagrożenia, ale zdarza się też, że więcej niż jedno
zagrożenie może być kontrolowane przez jeden środek kontrolny.
„Projekt współfinansowany ze środków Europejskiego Funduszu Społecznego”
23
Rys. 6. Zasady systemu HACCP [7, s. 164]
Analiza zagrożeń jest nie tylko pierwszą zasadą metody HACCP, ale stanowi także jej
podstawowy etap, a od jej poprawności zależy powodzenie funkcjonowania systemu.
Wszystkie istotne zagrożenia, które mogą wpłynąć na bezpieczeństwo żywności muszą być
identyfikowane. Zagrożenia, które mogą oddziaływać tylko na jakość produktów, nie ich
bezpieczeństwo zdrowotne, mogą być zaznaczone w planie kontroli jakości, ale nie włączane
do planu HACCP. Metoda HACCP służy bowiem tylko zapewnieniu bezpieczeństwa
zdrowotnego produkowanej żywności.
Ustalenie krytycznych punktów kontrolnych CCP, KPK odbywa się na podstawie analizy
zagrożeń. Krytyczne Punkty Kontrolne są to miejsca, etapy, procesy lub operacje
jednostkowe, w których należy podjąć środki zapobiegawcze lub kontrolne w celu
wyeliminowania, zapobieżenia lub zminimalizowania zagrożenia do poziomu
dopuszczalnego. Identyfikację Krytycznych Punktów Kontrolnych w systemie HACCP może
ułatwić zastosowanie „drzewa decyzyjnego” (rysunek 7).
PRZEPROWADZENIE ANALIZY ZAGROŻEŃ
USTALENIE KRYTYCZNYCH PUNKTÓW KONTROLNYCH CCP
USTALENIE LIMITÓW KRYTYCZNYCH
USTALENIE SYSTEMU MONITOROWANIA CCP
USTANOWIENIE DZIAŁAŃ KOREKCYJNYCH,
KTÓRE MUSZĄ BYĆ PODJĘTE,
KIEDY MONITOROWANIE WYKAŻE,
ŻE DANY CCP NIE ZNAJDUJE SIĘ POD KONTROLĄ
USTALENIE PROCEDUR WERYFIKACJI
DLA POTWIERDZENIA, ŻE SYSTEM
HACCP PRACUJE EFEKTYWNIE
OPRACOWANIE DOKUMENTACJI
ZAWIERAJĄCEJ WSZYSTKIE PROCEDURY I ZAPISY
ODPOWIEDNIE DLA WYMIENIONYCH ZASAD
I ICH ZASTOSOWANIA
„Projekt współfinansowany ze środków Europejskiego Funduszu Społecznego”
24
Rys. 7. Zastosowanie „drzewa decyzyjnego” do ustalenia Krytycznych Punktów Kontrolnych [7, s. 185]
Ustalenie i wprowadzenie limitów krytycznych w każdym krytycznym punkcie kontrolnym
umożliwia zapewnienie, że jest on pod stałą kontrolą.
Ustanowienie systemu monitorowania parametrów w CCP polega na ustaleniu systemu
kontroli i monitorowania oraz sposobu zapisywania danych. Zadaniem monitorowania jest
bieżąca kontrola produkcji i zapobieganie wypuszczaniu wadliwych produktów.
Ustanowienie działań korekcyjnych (korygujących) przewiduje przyjęcie dla każdego CCP
właściwych działań korekcyjnych, które są stosowane w przypadku stwierdzenia odchyleń od
„Projekt współfinansowany ze środków Europejskiego Funduszu Społecznego”
25
limitów krytycznych. Działania korekcyjne muszą być określone zarówno dla procesu, jak
i dla nieprawidłowo wytworzonego produktu.
Ustanowienia procedur weryfikacyjnych odbywa się dla całego systemu. W celu określenia
czy system HACCP funkcjonuje prawidłowo, mogą być zastosowane różne metody: audity,
testy, analizy itp.
Opracowanie systemu dokumentacji jest ostatnim etapem wdrażania systemu HACCP.
Dokumenty powinny być dokładne i odpowiednie do rozmiaru operacji. Muszą być
przechowywane nie tylko w postaci elektronicznej, ale też w zapisie ręcznym.
Wprowadzenie systemu HACCP można podzielić na 12 etapów
1. powołanie zakładowego zespołu ds. HACCP,
2. zdefiniowanie (opisanie) produktu,
3. oznaczenie przeznaczenia produktu,
4. sporządzenie schematu technologicznego zawierającego wszystkie etapy procesu
produkcyjnego,
5. zweryfikowanie schematu technologicznego w praktyce,
6. sporządzenie wykazu zagrożeń na każdym etapie i wykazu środków prewencyjnych
(zapobiegawczych),
7. ustalenie krytycznych punktów kontrolnych (CCP),
8. ustalenie limitów krytycznych parametrów dla każdego CCP i określenie tolerancji,
9. ustalenie działań korekcyjnych (korygujących) w przypadku niespełnienia wartości
parametrów krytycznych,
10. określenie zasad weryfikacji systemu,
11. ustalenie zasad tworzenia dokumentacji systemu i przechowywania zapisów.
Dokumentacja systemu HACCP to zbiór dokumentów dotyczących wdrażania
i utrzymania tego systemu. Dokumenty stanowią dwie zasadnicze grupy:
− dokumenty opisujące funkcjonowania systemu, zawarte zazwyczaj w Księdze HACCP,
− dokumenty potwierdzające funkcjonowanie systemu, dowody wykonywania zadań lub
wyniki, które mają formę zapisów.
Najważniejszym dokumentem opisującym system HACCP jest Plan HACCP. Jest to
dokument przygotowany zgodnie z siedmioma zasadami HACCP. Obejmuje następujące
elementy:
− opis wyrobu,
− schemat technologiczny,
− analizę zagrożeń, środki zapobiegające oraz wyznaczenie Krytycznych Punktów
Kontrolnych CCP,
− monitoring CCP i dziłania korygujace.
Plan HACCP powinien być opracowany dla każdego wyrobu oddzielnie.
Kompleksowe Zarządzanie Jakością (TQM)
System TQM to systemowe sterowanie jakością polegające na udziale wszystkich
pracowników w celu osiągnięcia długotrwałego sukcesu dzięki zaspokojeniu potrzeb
konsumenta.
Celem TQM jest:
− zapewnienie ciągłej poprawy jakości dziś i w przyszłości oraz ciągłego ulepszania
procesów w oparciu o dane z rynku,
− uzyskanie kompletnej satysfakcji klientów, pozyskanie ich zaufania do producenta i jego
wyrobów,
− polepszenie wydajności procesów,
− zwiększenie efektywności organizacji.
„Projekt współfinansowany ze środków Europejskiego Funduszu Społecznego”
26
TQM, podobnie jak normy ISO serii 9000, dotyczy ogółu produkowanych dóbr
materialnych i wszystkich cech ich jakości. Koncepcja TQM opiera się na następujących
zasadach:
− zaspokojenie wymagań i usatysfakcjonowanie klienta,
− przywództwo i zaangażowanie naczelnego kierownictwa oraz włączenie wszystkich
zatrudnionych do realizacji celów jakościowych,
− dążenie do ciągłej poprawy systemu i produktów.
System TQM łączy w sobie GMP, GHP, HACCP oraz normy ISO. System ten jest
najbardziej rozbudowany spośród dotychczas stosowanych i wdrożenie go jest bardzo trudne.
Wymaga wszechstronnych i długotrwałych przygotowań.
4.2.2. Pytania sprawdzające
Odpowiadając na pytania, sprawdzisz, czy jesteś przygotowany do wykonania ćwiczeń.
1. Jakie czynniki kształtują jakość produktów żywnościowych?
2. Jakie grupy zagrożeń mogą wystąpić w żywności?
3. Jakie mogą pojawić się fizyczne zagrożenia żywności?
4. Jakie mogą pojawić się chemiczne zagrożenia żywności?
5. Jakie mogą pojawić się biologiczne zagrożenia żywności?
6. Jakie mogą pojawić się mikrobiologiczne zagrożenia żywności?
7. Jakie systemy zapewnienia jakości stosowane są w produkcji żywności?
8. Na jakich zasadach opiera się Dobra Praktyka Produkcyjna?
9. Czego dotyczą normy ISO serii 9000?
10. Na czym polega system HACCP?
11. Jakie są etapy wdrażania systemu HACCP?
12. Na czym polega ustalanie Krytycznych Punktów Kontrolnych?
13. Jaka dokumentacja opisuje system HACCP?
14. Na czym polega system TQM?
4.2.3. Ćwiczenia
Ćwiczenie 1
Określ czynniki wpływające na jakość zdrowotną żywności. Do wykonania ćwiczenia
wykorzystaj jedno z narzędzi doskonalenia jakości - schemat Ishikawy (rybi szkielet).
przyczyny
czynniki
wpływające JAKOŚĆ
ZDROWOTNA
ŻYWNOŚCI
Rysunek do ćwiczenia 1
„Projekt współfinansowany ze środków Europejskiego Funduszu Społecznego”
27
Sposób wykonania ćwiczenia
Aby wykonać ćwiczenie, powinieneś:
1) sporządzić rybi szkielet według rysunku 4 na kartonie formatu A3,
2) określić przyczyny złej jakości produktów spożywczych,
3) określić czynniki wpływające na wskazane przez Ciebie przyczyny,
4) uzupełnić rybi szkielet,
5) zaprezentować swoją pracę na forum grupy.
Wyposażenie stanowiska pracy:
− materiały biurowe,
− karton formatu A3,
− Poradnik dla ucznia.
Ćwiczenie 2
Określ zanieczyszczenia i ich źródła mogące pojawić się w produkcji ciastkarskiej.
Wyniki swojej pracy zapisz w tabeli:
Grupa zagrożeń Zagrożenie Prawdopodobne źródła zagrożeń
Sposób wykonania ćwiczenia
Aby wykonać ćwiczenie, powinieneś:
1) zapoznać się z rodzajami zagrożeń żywności,
2) określić zagrożenia pojawiające się w produktach ciastkarskich,
3) określić prawdopodobne źródła zagrożeń,
4) sklasyfikować wypisane zagrożenia,
5) uzupełnić tabelę w zeszycie,
6) oddać zeszyt nauczycielowi.
Wyposażenie stanowiska pracy:
− materiały biurowe,
− Poradnik dla ucznia,
− karty pracy z tekstem przewodnim.
Ćwiczenie 3
Dokonaj przeglądu systemów zapewnienia jakości stosowanych w przetwórstwie
żywności. Wykonując ćwiczenie wykorzystaj tabelę:
System zapewnienia
jakości
Główne założenia i zasady
Dobra Praktyka
Produkcyjna GMP
HACCP
„Projekt współfinansowany ze środków Europejskiego Funduszu Społecznego”
28
Normy ISO serii 9000
TQM
Sposób wykonania ćwiczenia
Aby wykonać ćwiczenie, powinieneś:
1) zapoznać się z informacjami zawartymi w pkt 4.2.1,
2) zdefiniować założenia i zasady poszczególnych systemów zapewnienia jakości,
3) uzupełnić tabelę na papierze formatu A4,
4) oddać wykonaną prace nauczycielowi.
Wyposażenie stanowiska pracy:
− materiały biurowe,
− arkusz papieru formatu A4,
− Poradnik dla ucznia.
Ćwiczenie 4
Na podstawie schematu produkcji mleka dokonaj analizy zagrożeń zdrowotnych
i wyznacz Punkty Kontrolne i Krytyczne Punkty Kontrolne. Wyniki swojej pracy zapisz
w tabeli:
Punkt Kontrolny
Czy jest to Krytyczny Punkt
Kontrolny?Etap produkcji
mleka
Rodzaj
zagrożenia parametr,
proces badany
metoda badań tak nie
Sposób wykonania ćwiczenia
Aby wykonać ćwiczenie, powinieneś:
1) zdefiniować Punkty Kontrolne,
2) zdefiniować Krytyczne Punkty Kontrolne,
3) zapoznać się ze sposobem ustalania Krytycznych Punktów Kontrolnych,
4) przeanalizować schemat produkcji mleka spożywczego,
5) określić miejsca występowania zagrożeń zdrowotnych,
„Projekt współfinansowany ze środków Europejskiego Funduszu Społecznego”
29
6) określić, miejsca, w których należy stosować systematyczną kontrolę jakości (CP),
7) określić miejsca, w których występują zagrożenia najbardziej istotne dla bezpieczeństwa
zdrowotnego żywności (CCP),
8) zapisać wyniki swojej pracy w zeszycie,
9) wyciągnąć wniosek i zapisać go w zeszycie,
10) oddać nauczycielowi zeszyt.
Wyposażenie stanowiska pracy:
− materiały biurowe,
− schemat produkcji mleka spożywczego,
− Poradnik dla ucznia,
− karta pracy z tekstem przewodnim.
Ćwiczenie 5
Zaprojektuj Plan HACCP dla dowolnego wyrobu cukierniczego.
Do wykonania projektu wykorzystaj podane tabele:
1. Opis wyrobu i przeznaczenie
Nazwa wyrobu
Opis wyrobu (masa, kształt)
Składniki
Proces technologiczny
Sposób pakowania
Cechy organoleptyczne
Cechy fizykochemiczne
Cechy mikrobiologiczne
Okres minimalnej trwałości
Warunki przechowywania
Przeznaczenie
Dystrybucja
wzór etykiety
2.Schemat technologiczny
3. Analiza zagrożeń, środki zapobiegające oraz wyznaczenie CCP
Zagrożenie
Środki umożliwiające kontrolę
zagrożeniaEtap procesu
produkcji
Rodzaj Źródło/przyczyna
Procedury i
instrukcje
Działania
zapobiegające
CCP
„Projekt współfinansowany ze środków Europejskiego Funduszu Społecznego”
30
4. Monitoring CCP i działania korygujące
Specyfikacja Monitoring
Etap
procesu
Zagrożenie
Parametr,
wartość
docelowa
Tolerancja Metoda Częstotliwość
Działania
korygujące
Osoba
odpowiedzialna
Sposób wykonania ćwiczenia
Aby wykonać ćwiczenie powinieneś:
1) zapoznać się z etapami wprowadzania systemu HACCP,
2) wybrać produkt cukierniczy,
3) sporządzić podane tabele na arkuszu papieru formatu A4,
4) wpisać wszystkie informacje dotyczące wyrobu i jego przeznaczenia,
5) sporządzić schemat technologiczny i wpisać go do planu HACCP,
6) przeanalizować schemat technologiczny i dokonać analizy zagrożeń,
7) wyznaczyć Krytyczne Punkty Kontrolne (CCP),
8) uzupełnić Plan HACCP o stwierdzone zagrożenia i CCP,
9) wyznaczyć limity dla każdego z Punktów Krytycznych, na podstawie opisu procesu
technologicznego,
10) określić sposoby monitorowania wszystkich Punktów Krytycznych,
11) zaproponować działania korygujące, które należy podjąć w momencie, gdy
monitorowanie wskazuje na nieskuteczność działań,
12) zaprezentować swoją pracę na forum grupy.
Wyposażenie stanowiska pracy:
− materiały biurowe,
− arkusz papieru formatu A4,
− schemat technologiczny wyrobu cukierniczego,
− Poradnik dla ucznia.
4.1.4. Sprawdzian postępów
Czy potrafisz:
Tak Nie
1) określić czynniki wpływające na jakość żywności? ! !
2) określić zagrożenia dal bezpieczeństwa zdrowotnego żywności? ! !
3) zdefiniować systemy zapewnienia jakości? ! !
4) rozróżnić systemy zapewnienia jakości? ! !
5) scharakteryzować etapy wprowadzenia systemu HACCP? ! !
6) zdefiniować Krytyczne Punkty Kontrolne? ! !
7) wyznaczyć Krytyczne Punkty Kontrolne? ! !
8) wypełnić dokumenty systemu HACCP? ! !
„Projekt współfinansowany ze środków Europejskiego Funduszu Społecznego”
31
5. SPRAWDZIAN OSIĄGNIĘĆ
INSTRUKCJA DLA UCZNIA
1. Przeczytaj uważnie instrukcję.
2. Podpisz imieniem i nazwiskiem kartę odpowiedzi.
3. Zapoznaj się z zestawem zadań testowych.
4. Test zawiera 20 zadań. Do każdego zadania dołączone są 4 możliwości odpowiedzi.
Tylko jedna jest prawidłowa.
5. Odpowiedzi udzielaj na załączonej karcie odpowiedzi, stawiając w odpowiedniej rubryce
znak X. Jeśli się pomylisz zaznacz błędną odpowiedź kółkiem, a następnie ponownie
zakreślić odpowiedź prawidłową. Na zestawie zadań testowych nie zaznaczaj niczego.
6. Pracuj samodzielnie, bo tylko wtedy będziesz miał satysfakcję z wykonanego zadania.
7. Jeśli udzielenie odpowiedzi będzie Ci sprawiało trudność, wtedy odłóż jego rozwiązanie
na później i wróć do niego, gdy zostanie Ci wolny czas.
8. Na rozwiązanie testu masz 45 minut.
Powodzenia!
ZESTAW ZADAŃ TESTOWYCH
1. Oznaczenie PN-EN świadczy o tym, że
a) jest to Polska Norma oparta na wdrożeniu europejskim.
b) jest to Polska Norma oparta na wdrożeniu norm serii ISO 9000.
c) jest to norma opracowana w przedsiębiorstwie, stosowana na terenie Polski.
d) jest to norma opracowana w przedsiębiorstwie, stosowana na terenie Unii
Europejskiej.
2. Normy zakładowe oznacza się symbolem
a) PN.
b) ZN.
c) EN.
d) ISO.
3. Normy terminologiczne to normy
a) dotyczące ogólnych postanowień w jednej określonej dziedzinie, ustalające
poprawne słownictwo techniczne.
b) dotyczące wymagań, które powinien spełniać wyrób, w celu zapewnienia jego
funkcjonalności.
c) zawierające klasyfikację materiałów, przedmiotów, pojęć lub czynności, terminy
i ich definicje.
d) określające wymagania, które powinny być spełnione w procesie, w celu
zapewnienia jego funkcjonalności.
4. Normy ubytków określają
a) ilość surowców niezbędnych do wykonania pewnej ilości wyrobu.
b) ilość materiałów niezbędnych do wykonania pewnej ilości wyrobu.
c) dopuszczalną ilość materiału do wykonania pewnej ilości wyrobu.
d) maksymalną wielkość niezawinionego ubytku danego produktu.
„Projekt współfinansowany ze środków Europejskiego Funduszu Społecznego”
32
5. Normalizacja to działalność
a) zmierzająca do ujednolicenia wyglądu i cech organoleptycznych wszystkich
produktów spożywczych.
b) zmierzająca do ujednolicenia wymagań, dotyczących cech produktów, czynności
oraz pojęć.
c) zajmująca się kontrolowaniem jakości surowców, półproduktów i gotowych
wyrobów.
d) zajmująca się kontrolowaniem ilości poniesionych kosztów w procesie produkcji.
6. W normie dotyczącej cukierków podano, że zawartość cukrów redukujących powinna
być nie większa niż 16,5%. Która wartość jest zgodna z wymaganiami normy?
a) 16,0%.
b) 16,6%.
c) 17,0%.
d) 22%.
7. Norma, w której określono wskaźniki jakości produktu, takie jak smak, zapach, barwa
i wygląd to:
a) norma czynnościowa.
b) norma przedmiotowa.
c) norma znaczeniowa.
d) receptura.
8. W numerze każdej normy musi być zawarty
a) kod przeznaczenia produktu.
b) kod odbiorców produktu.
c) rok ustanowienia.
d) kod producenta.
9. Międzynarodowy dokument prawny określający wymagania dla produktów
żywnościowych, to:
a) Norma ISO serii 9000:2000.
b) Kodeks Żywnościowy tzw. Codex Alimentarius.
c) Ustawa o warunkach zdrowotnych żywności i żywienia.
d) Rozporządzenie w sprawie wymagań higieniczno-sanitarnych w zakładach
produkujących żywność.
10. Publikowaniem i aktualizowaniem Polskich Norm zajmuje się
a) Polskie Centrum Badań i Certyfikacji.
b) Unia Europejska.
c) Naczelna Organizacja Techniczna.
d) Polski Komitet Normalizacyjny.
11. Którą z norm należy wybrać, aby określić sposób i metodę oznaczania wskaźników
chemicznych w mleku?
a) PN-71/A-86100 Mleko i przetwory mleczarskie Klasyfikacja.
b) PN-65/A-86101 Mleko i przetwory mleczarskie Nazwy i określenia.
c) PN-68/A-86122 Mleko Metody badań.
d) PN-86/A-86041/Az1:2000Mleko i przetwory mleczarskie. Pobieranie próbek.
„Projekt współfinansowany ze środków Europejskiego Funduszu Społecznego”
33
12. Ciała obce, które dostają się do żywności zaliczane są do grupy zagrożeń
a) fizycznych.
b) chemicznych.
c) biologicznych.
d) mikrobiologicznych.
13. Zagrożenia chemiczne żywności mogą stanowić
a) cukier.
b) sól kuchenna.
c) proszek do pieczenia.
d) środki dezynfekujące.
14. Aby wdrożyć system HAACP konieczne jest wcześniejsze wdrożenie
a) Normy ISO 9000:2000.
b) Normy PN-EN ISO 9001:2001.
c) Dobrej Praktyki Produkcyjnej.
d) Kompleksowego Zarządzania przez Jakość.
15. Skrót TQM oznacza
a) Dobra Praktyka Produkcyjna.
b) Dobra Praktyka Higieniczna.
c) Dobra Praktyka Laboratoryjna.
d) Kompleksowe Zarządzanie przez Jakość.
16. Miejsce w procesie produkcji, w którym kontrola musi być zastosowana i jest niezbędna
w celu wyeliminowania zagrożeń zdrowotnych to
a) limit krytyczny.
b) miejsce korygujące.
c) Punkt Kontrolny.
d) Krytyczny Punkt Kontrolny.
17. Dokumentacja systemu HACCP zawiera
a) procedury i zapisy.
b) normę przedmiotową.
c) normę czynnościową.
d) normę ISO.
18. Systemy GMP i GHP w zakładzie produkującym żywność polegają na eliminowaniu
zagrożeń zdrowotnych:
a) podczas przyjmowania surowców do produkcji.
b) do momentu wytworzenia półproduktów.
c) w całym procesie produkcji i dystrybucji.
d) gotowego wyrobu spożywczego.
19. Główna idea systemu HACCP opiera się na
a) dokładnym opracowaniu dokumentacji zawierającej procedury i zapisy.
b) dużym zaangażowaniu w podnoszenie jakości wszystkich członków załogi
przedsiębiorstwa spożywczego.
c) dokładnym przeprowadzeniu badań laboratoryjnych gotowych wyrobów
spożywczych.
d) przeprowadzeniu analizy zagrożeń zdrowotnych i na tej podstawie określeniu
Krytycznych Punktów Kontrolnych.
„Projekt współfinansowany ze środków Europejskiego Funduszu Społecznego”
34
20. Na jakość zdrowotną gotowych wyrobów żywnościowych największy wpływ mają:
a) wygląd zewnętrzny gotowych wyrobów.
b) warunki mikrobiologiczne produkcji.
c) zaangażowanie kierownictwa zakładu.
d) wyposażenie techniczne zakładu.
„Projekt współfinansowany ze środków Europejskiego Funduszu Społecznego”
35
KARTA ODPOWIEDZI
Imię i nazwisko ...............................................................................
Zastosowanie normalizacji w przetwórstwie spożywczym
Zakreśl poprawną odpowiedź.
Nr zadania Odpowiedzi Punkty
1 a b c d
2 a b c d
3 a b c d
4 a b c d
5 a b c d
6 a b c d
7 a b c d
8 a b c d
9 a b c d
10 a b c d
11 a b c d
12 a b c d
13 a b c d
14 a b c d
15 a b c d
16 a b c d
17 a b c d
18 a b c d
19 a b c d
20 a b c d
Razem:
„Projekt współfinansowany ze środków Europejskiego Funduszu Społecznego”
36
6. LITERATURA
1. Ambroziak Z.: HACCP. Przewodnik wdrażania systemu HACCP w produkcji piekarskiej
i ciastkarskiej. EPRD, Warszawa 2000.
2. Ambroziak Z., Janik M., Staszewska E.: Higiena produkcji piekarskiej i ciastkarskiej.
Opr. przez Zakład Badawczy Przemysłu Piekarskiego. Wydawnictwo Spółdzielcze,
Warszawa 1996
3. Baraniak B.: Analiza techniczna w produkcji cukierniczej. WSiP, Warszawa 1997
4. Dłużewski M., Chuchlowa J., Krajewski K. Kamiński W.: Technologia żywności.
Podręcznik dla technikum, cz.1. WSiP, Warszawa 2000
5. Dłużewski M.: Technologia żywności. Podręcznik dla technikum, cz. 4. WSiP, Warszawa
2001
6. Janik M, Staszewska E.: HACCP w produkcji pieczywa. Cukiernictwo i Piekarstwo.
12/2005
7. Kołożyn-Krajewska D., Sikora T.: HACCP. Koncepcja i system zapewnienia
bezpieczeństwa zdrowotnego żywności. SIT, Warszawa
8. Wyczański S.: Cukiernictwo. WSiP, Warszawa 1994
9. www.integram.com.pl
Czasopisma:
– Cukiernictwo i Piekarstwo
– Przegląd Piekarski i Cukierniczy
– Przemysł Spożywczy

4

  • 2.
    „Projekt współfinansowany ześrodków Europejskiego Funduszu Społecznego” MINISTERSTWO EDUKACJI NARODOWEJ Katarzyna Wojtalik Zastosowanie normalizacji w przetwórstwie spożywczym 741[01].O1.04 Poradnik dla ucznia Wydawca Instytut Technologii Eksploatacji – Państwowy Instytut Badawczy Radom 2007
  • 3.
    „Projekt współfinansowany ześrodków Europejskiego Funduszu Społecznego” 1 Recenzenci: mgr inż. Grażyna Jakubczyk dr Małgorzata Elżbieta Kuśmierczyk Opracowanie redakcyjne: mgr inż. Joanna Kośka Konsultacja: mgr inż. Barbara Kapruziak Poradnik stanowi obudowę dydaktyczną programu jednostki modułowej Zastosowanie normalizacji w przetwórstwie spożywczym 741[01].O1.04, zawartego w programie nauczania dla zawodu cukiernik. Wydawca Instytut Technologii Eksploatacji – Państwowy Instytut Badawczy, Radom 2007
  • 4.
    „Projekt współfinansowany ześrodków Europejskiego Funduszu Społecznego” 2 SPIS TREŚCI 1. Wprowadzenie 3 2. Wymagania wstępne 5 3. Cele kształcenia 6 4. Materiał nauczania 7 4.1. Normalizacja w przetwórstwie spożywczym 7 4.1.1. Materiał nauczania 7 4.1.2. Pytania sprawdzające 12 4.1.3. Ćwiczenia 12 4.1.4. Sprawdzian postępów 16 4.2. Systemy zapewnienia bezpieczeństwa zdrowotnego żywności 17 4.2.1. Materiał nauczania 17 4.2.2. Pytania sprawdzające 26 4.2.3. Ćwiczenia 26 4.2.4. Sprawdzian postępów 30 5. Sprawdzian osiągnięć 31 6. Literatura 36
  • 5.
    „Projekt współfinansowany ześrodków Europejskiego Funduszu Społecznego” 3 1. WPROWADZENIE Poradnik ten będzie Ci pomocny w przyswajaniu wiedzy na temat przepisów bezpieczeństwa i higieny pracy, ochrony przeciwpożarowej oraz ochrony środowiska. W poradniku znajdziesz: − wymagania wstępne – wykaz umiejętności, jakie powinieneś mieć już ukształtowane, abyś bez problemów mógł korzystać z poradnika, − cele kształcenia – wykaz umiejętności, które powinieneś ukształtować podczas realizacji tej jednostki modułowej, − materiał nauczania, umożliwiający osiągnięcie założonych celów kształcenia, pytania sprawdzające wiedzę, ćwiczenia wraz ze sposobem wykonania i wykazem materiałów potrzebnych do jego realizacji oraz sprawdzian postępów, – przykładowy sprawdzian osiągnięć, – wykaz literatury uzupełniającej. Materiał nauczania podzielono na dwie części. Pierwsza zawiera omówienie cel i znaczenie normalizacji, ze szczególnym uwzględnieniem przetwórstwa żywności. W tej części zawarto także podział norm i ich charakterystykę. W drugiej części dokonano przeglądu najczęściej stosowanych systemów zapewnienia jakości.
  • 6.
    „Projekt współfinansowany ześrodków Europejskiego Funduszu Społecznego” 4 Schemat układu jednostek modułowych 741[01].O1.03 Charakteryzowanie maszyn i urządzeń 741[01].O1 Podstawy przetwórstwa spożywczego 741[01].O1.02 Charakteryzowanie surowców i materiałów pomocniczych 741[01].O1.04 Zastosowanie normalizacji w przetwórstwie spożywczym 741[01].O1.01 Przestrzeganie przepisów bezpieczeństwa i higieny pracy, ochrony przeciwpożarowej oraz ochrony środowiska
  • 7.
    „Projekt współfinansowany ześrodków Europejskiego Funduszu Społecznego” 5 2. WYMAGANIA WSTĘPNE Przystępując do realizacji programu nauczania jednostki modułowej powinieneś umieć: − określać znaczenie żywności i przemysłu spożywczego, − rozróżniać pojęcia proces produkcji, etap produkcji, wyroby gotowe, − odczytywać proste schematy technologiczne, − przestrzegać przepisów bezpieczeństwa i higieny pracy, − rozwiązywać w sposób twórczy problemy, − korzystać z różnych źródeł informacji, − użytkować komputer, − współpracować w grupie.
  • 8.
    „Projekt współfinansowany ześrodków Europejskiego Funduszu Społecznego” 6 3. CELE KSZTAŁCENIA W wyniku realizacji programu jednostki modułowej powinieneś umieć: – zdefiniować pojęcia: norma, normalizacja, – rozróżnić i scharakteryzować normy ze względu na przedmiot regulacji, – zinterpretować informacje zawarte w normach dotyczących przetwórstwa spożywczego, – skorzystać z norm, – określić znaczenie regulacji prawnych związanych z zapewnieniem jakości zdrowotnej żywności, – scharakteryzować systemy zapewnienia jakości zdrowotnej produkowanej żywności, – określić rodzaje zagrożeń dla bezpieczeństwa zdrowotnego gotowych wyrobów, – określić krytyczne punkty kontroli procesu produkcji żywności, – skorzystać z różnych źródeł informacji.
  • 9.
    „Projekt współfinansowany ześrodków Europejskiego Funduszu Społecznego” 7 4. MATERIAŁ NAUCZANIA 4.1. Normalizacja w przetwórstwie spożywczym 4.1.1. Materiał nauczania Cel i znaczenie normalizacji Normalizacja jest to działalność, polegająca na dążeniu do optymalnego uporządkowania w danej dziedzinie, zmierzająca do ujednolicenia wymagań, dotyczących cech produktów, czynności produkcyjnych i usługowych oraz pojęć. Normalizacja jest istotnym elementem organizacji produkcji w nowoczesnym przemyśle i wskaźnikiem decydującym o rozwoju danego kierunku produkcji. Podstawowe cele normalizacji stanowi: − ustalenie jednoznaczności pojęć, terminów, symboli w nauce i technice oraz określenie jednostek miar i ujednolicenie metod badań, − wprowadzenie ładu organizacyjnego w procesach produkcji, − ochrona zdrowia i życia oraz zapewnienie bezpieczeństwa pracowników w trakcie wykonywania swoich zadań zawodowych, − ochrona zdrowia i życia konsumentów, lepsze zaspokojenie ich potrzeb poprzez ustalenie wymagań na produkty żywnościowe, − oszczędność pracy ludzkiej, surowców i energii przez zwiększenie mechanizacji pracy, zmniejszenie marnotrawstwa materiałów i czasu oraz przyspieszenie postępu technicznego, − ochrona środowiska naturalnego, − ochrona gotowego wyrobu w czasie przechowywania, transportu i eksploatacji. Normy Norma jest dokumentem prawnym naukowo-technicznym porządkującym prawidłowy stan w poszczególnych zagadnieniach życia gospodarczego przez upraszczanie, ujednolicanie i precyzowanie charakterystyki surowców, produktów, czynności i pojęć. Zadaniem normy jest zapewnienie jednolitego poziomu jakości wyrobów, a w przypadku artykułów spożywczych również zapewnienie ich zdrowotności. Normę powinny charakteryzować następujące cechy: − celowość opracowania, − słuszność techniczna, ekonomiczna i naukowa, − właściwe wyczerpanie tematu, − unikanie zbędnych postanowień, − niepowtarzanie postanowień, − zgodność postanowień, − jednoznaczność postanowień, − jednolitość opracowań, − wysoki poziom i zrozumiałość ze strony korzystających, niezależnie od jej rodzaju, − właściwa forma graficzna. Normy powinny być powszechnie dostępne, dostosowane do aktualnych przepisów prawnych, opracowywane w uzgodnieniu z grupą zainteresowanych, bez ingerencji władzy w treść normy.
  • 10.
    „Projekt współfinansowany ześrodków Europejskiego Funduszu Społecznego” 8 Opracowanie normy powinno być oparte na aktualnych źródłach, którymi mogą być: − dane statystyczne, np. wyniki laboratoryjne, analizy gospodarki materiałowej, − dokumentacja techniczna, np. receptury, instrukcje technologiczne, rysunki konstrukcyjne, − Polskie Normy, normy i zalecenia międzynarodowe, − przepisy prawne: ustawy, rozporządzenia, przepisy bezpieczeństwa i higieny pracy oraz przepisy sanitarno-higieniczne, − prace naukowo-badawcze związane tematycznie z przedmiotem normalizacji, − monografie, artykuły, podręczniki, katalogi, cenniki, umowy na warunki dostawy i odbioru, wzory wyrobów krajowych i zagranicznych. Podział norm Zgodnie z wykazem Polskiego Komitetu Normalizacyjnego istnieją następujące typy norm powszechnych: − normy podstawowe, − normy terminologiczne, − normy procesu, − normy badań, − normy wyrobu. Normy podstawowe dotyczą ogólnych postanowień (zagadnień) w jednej określonej dziedzinie, ustalają poprawne słownictwo techniczne oraz tworzą jednolity system wzajemnego porozumiewania się. Normy terminologiczne zawierają klasyfikację materiałów, przedmiotów, pojęć lub czynności, terminy i ich definicje, objaśnienia i przykłady. Normy procesu określają wymagania, które powinny być spełnione w procesie, w celu zapewnienia jego funkcjonalności. Normy te ustalają warunki wykonywania określonych czynności, jak: projektowanie, przebieg procesu produkcji, pakowanie i inne. Normy badań ustalają jednolite metody wykonywania badań laboratoryjnych oraz pobierania próbek. Normy wyrobu dotyczą wymagań, które powinien spełniać wyrób, w celu zapewnienia jego funkcjonalności. Precyzują one wymagania jakościowe dla danego produktu z uwzględnieniem rodzaju opakowania, warunków magazynowania, transportu, itp. Normy stosowane można również podzielić ze względu na zasięg ich stosowania: − norma międzynarodowa (ISO, IEC) – obowiązująca w skali świata, − norma regionalna (EN, CEN) – obowiązująca na poziomie regionów, np. Europy, − norma krajowa (PN) – obowiązującą na terenie Polski, − norma zakładowa (ZN) – obowiązująca w danym przedsiębiorstwie. Z mocy Ustawy o normalizacji wynika między innymi, że jedynymi normami krajowymi są Polskie Normy (PN). Przy wprowadzeniu normy międzynarodowej lub regionalnej do elementu krajowego normatywnego używa się oznaczeń PN-ISO, PN-EN. Ustawa o normalizacji nie precyzuje pojęcia normy zakładowej, choć dokumenty te na poziomie przedsiębiorstwa mogą i powinny być opracowywane. Opracowaną normę zakładową przyjmuje przedsiębiorstwo, a z chwilą ustanowienia staje się ona dokumentem obligatoryjnym w tym przedsiębiorstwie.
  • 11.
    „Projekt współfinansowany ześrodków Europejskiego Funduszu Społecznego” 9 Budowa norm W Polskich Normach obowiązuje typowy układ edytorski, w którym przewiduje się następujący podział treści normy na: − stronę tytułową, − część tytułową, − treść normy, − informacje dodatkowe. Część tytułowa zawiera (rys. 1): − nazwę organu ustanawiającego normę, − rodzaj normy, − tytuł normy, − numer normy (ewentualnie numer normy poprzedniej), − grupę katalogową. Rys. 1. Część tytułowa normy [4, s.61] Odmienny układ mają normy PN-ISO, PN-EN. Do podstawowych elementów tych norm zalicza się: − strony okładkowe, − stronę tytułową z przedmową krajową, − stronę tytułową normy międzynarodowej z przedmową, − strony tekstowe z treścią normy, − załączniki normy ISO/EN, − odsyłacze krajowe, − załączniki krajowe. Treść normy jest najczęściej podzielona na rozdziały. W informacjach dodatkowych podaje się: − instytucję opracowującą normę, − normy i dokumenty związane, − autorów projektów normy, − inne informacje. W związku z dużą liczbą obowiązujących norm wprowadzono ich ujednoliconą klasyfikację i numerację. Numeracja oparta jest na systemie alfanumerycznym. Taki system numeracji Polskich Norm składa się z części literowej oraz części cyfrowej. Numer jest umieszczany w części tytułowej normy. Litery stanowią symbole odpowiednich działów gospodarki narodowej, np.: − A – Produkcja artykułów żywnościowych i napojów, − B – Budownictwo,
  • 12.
    „Projekt współfinansowany ześrodków Europejskiego Funduszu Społecznego” 10 − R – Rolnictwo, − Z – Zdrowotność. Przykładowe oznaczenie numeru normy pokazano na rysunku 2. Rys. 2. Elementy składowe numeru normy i ich znaczenie W związku z dostosowywaniem prawodawstwa polskiego do europejskiego i światowego w ostatnich latach powstało wiele norm opartych na prawodawstwie zagranicznym. Obecnie stosowane są następujące oznakowania norm: − PN-EN – oznacza Polska Normę opartą na wdrożeniu europejskim, − PN-ISO – oznacza Polska Normę opartą na wdrożeniu międzynarodowym, − PN-EN ISO – oznacza Polska Normę opartą na wdrożeniu europejskim, która była opracowana zgodnie z międzynarodową normą ISO. Normy takie mają numer i rok wydania w Polsce, ale nie mają symbolu działu gospodarki narodowej. Polski Komitet Normalizacyjny publikuje na potrzeby uczestników gospodarki Katalog Norm PN, który jest aktualizowany na bieżąco. W miarę rozwoju gospodarki oraz postępu techniczno-gospodarczego normy są aktualizowane i dostosowywane do tempa rozwoju techniki. Najczęściej normę unieważnia się jednocześnie z ustanowieniem nowej, zastępującej poprzednią. Taką działalność nazywa się nowelizacją normy i jest ona prowadzona z inicjatywy Polskiego Komitetu Normalizacji. Cele i znaczenie normalizacji w przetwórstwie żywności Normy w przedsiębiorstwie przetwórstwa spożywczego charakteryzują wytwarzane produkty, proces wytwarzania czy inne obszary działalności. Pełnią też ważne funkcje ekonomiczne, określające warunki techniczne produkcji, racjonalny poziom nakładów surowcowych i ubytków oraz warunki kształtowania produktów żywnościowych. Normy techniczne stosowane m.in. w przetwórstwie żywności stanowią dwie grupy norm: − określające właściwości: znaczeniowe, przedmiotowe i czynnościowe, − określające nakład (materiałowe). Normy znaczeniowe ustalają lub ujednolicają nazwy, terminy i symbole, mające ważne znaczenie w życiu praktycznym. Normy przedmiotowe precyzują wymagania odnośnie cech i właściwości surowców, półproduktów lub wyrobów gotowych. Odstępstwa od ustalonych w normach wskaźników PN – A – 86 524 : 1994 Polska Norma dział gospodarki narodowej grupa ogólna cyfry zawierające informacje tematyczne rok ustanowienia normy
  • 13.
    „Projekt współfinansowany ześrodków Europejskiego Funduszu Społecznego” 11 pociągają za sobą określone konsekwencje prawne, np. decydują o niedopuszczeniu danego towaru do obrotu handlowego lub o jego wycofaniu. Normy te pełnią zatem istotną rolę w dążeniu do polepszania jakości surowców, półproduktów oraz wyrobów gotowych. Normy czynnościowe ustalają zasady, które powinny być przestrzegane podczas wykonywania czynności w zakresie określonym normą. Są to niejako instrukcje technologiczne opisujące proces produkcji, sposób pakowania i przechowywania oraz sposób prowadzenia dokumentacji. Określają one także ujednolicone metody badań, których stosowanie umożliwia porównywanie wyników oznaczeń analitycznych. Normy określające nakład ustalają ilość surowców i materiałów niezbędnych do wykonania jednostki wyrobu lub usług, ilości materiałów niezbędnych do zapewnienia ciągłości produkcji oraz ilości ubytków naturalnych. W skład norm określających nakład wchodzą normy materiałowe, obejmujące między innymi normy ubytków naturalnych i normy zużycia materiałów. Normy ubytku naturalnego wyrażone są w procentach i określają maksymalną wielkość niezawinionego ubytku danego produktu w określonych warunkach i określonym czasie. Normy zużycia materiału ustalają dopuszczalną ilość tego materiału na wykonanie jednostki masy lub objętość danego produktu. Specyficzną formę normowania zużycia surowców w przetwórstwie żywności stanowi receptura. Receptura jest to norma zużycia, służąca do ustalenia niezbędnej ilości surowców o odpowiedniej strukturze, potrzebnych do wyprodukowania jednostki wyrobu. Przepisy prawne dotyczące produkcji żywności Najważniejszym dokumentem ustawodawstwa żywnościowego w Polsce jest Ustawa o warunkach zdrowotnych żywności i żywienia z dnia 11 maja 2001 r., która: − tworzy ograniczenie zapobiegające produkowaniu i wprowadzaniu do obrotu handlowego produktów spożywczych niespełniających wymagań jakości zdrowotnej, − normuje warunki produkcji środków spożywczych, używek i substancji dodatkowych, − reguluje wymagania dotyczące urządzeń, sprzętu, opakowań i innych materiałów stykających się z żywnością. Przepisy prawa żywnościowego stanowią m.in. o tym, że: − opakowania produktów spożywczych muszą posiadać atest Państwowego Zakładu Higieny, dopuszczającego je do kontaktu z żywnością, − producent ma obowiązek umieszczania na opakowaniach produktów żywnościowych danych istotnych dla określenia ich jakości zdrowotnej, a zwłaszcza o składzie substancji dodatkowych dozwolonych, − artykuły, które odpowiadają wszystkim określonym w odpowiedniej normie wymaganiom winny być oznakowane znakiem zgodności z normą i oznaczone jej numerem. Międzynarodowym dokumentem prawnym określającym wymagania dla produktów żywnościowych jest Kodeks Żywnościowy tzw. Codex Alimentarius. Celem Kodeksu Żywnościowego jest: − dążenie do ujednolicenia w skali światowej (lub regionalnej, np., europejskiej) przepisów dotyczących jakości produktów żywnościowych, − sprecyzowanie ogólnych wymagań odnośnie higieny i bezpieczeństwa w produkcji żywności, − opracowanie i usystematyzowanie norm jakościowych dla produktów żywnościowych. Kodeks Żywnościowy opracowany został przez Komisję Kodeksu Żywnościowego. Główne jej zadanie polega na opracowywaniu norm międzynarodowych dla produktów
  • 14.
    „Projekt współfinansowany ześrodków Europejskiego Funduszu Społecznego” 12 żywnościowych w celu zapewnienia ochrony zdrowia konsumentów oraz ułatwienia międzynarodowego handlu żywnością i przestrzegania etyki w handlu żywnościowym. Obecnie, od chwili wstąpienia Polski do Unii Europejskiej przepisy prawa żywnościowego w Polsce są dostosowywane do przepisów zalecanych w Unii Europejskiej i Kodeksu Żywnościowego. 4.1.2. Pytania sprawdzające Odpowiadając na pytania, sprawdzisz, czy jesteś przygotowany do wykonania ćwiczeń. 1. Jaki jest cel stosowania normalizacji? 2. Jak definiuje się normę? 3. Jak podzielone są normy powszechne? 4. Jak podzielone są normy ze względu na zasięg? 5. Jak zbudowana jest norma? 6. Jakie znaczenie mają poszczególne elementy tytułu normy? 7. Jakie znaczenie ma normalizacja w przetwórstwie żywności? 8. Jakie rozróżnia się rodzaje norm technicznych? 9. Jakie są najważniejsze dokumenty ustawodawstwa żywnościowego w Polsce i na świecie? 4.1.3. Ćwiczenia Ćwiczenie 1 Dokonaj rozróżnienia podanych przez nauczyciela norm. Wyniki swojej pracy zapisz w tabeli: Tytuł normy Numer normy Rodzaj normy Sposób wykonania ćwiczenia Aby wykonać ćwiczenie, powinieneś: 1) zapoznać się z podziałem norm, 2) zdefiniować poszczególne rodzaje norm, 3) przeanalizować normy przygotowane przez nauczyciela, 4) podzielić analizowane normy według przedmiotu regulacji, 5) uzupełnić tabelę w zeszycie, 6) oddać zeszyt nauczycielowi. Wyposażenie stanowiska pracy: − materiały biurowe, − normy, − Poradnik dla ucznia.
  • 15.
    „Projekt współfinansowany ześrodków Europejskiego Funduszu Społecznego” 13 Ćwiczenie 2 Rozpoznaj na podstawie numeru normy zasięg jej obowiązywania i dział gospodarki, którego dotyczy. Dane są normy o następujących numerach: a) PN-A-86050:2002 b) PN-A-88104:1998 c) PN-EN ISO 1737:2002 d) PN-EN 12630:2002 e) PN-ISO 4134:2002 f) ISO 9001:2000 Sposób wykonania ćwiczenia Aby wykonać ćwiczenie, powinieneś: 1) zapoznać się ze sposobem oznakowania norm, 2) przeanalizować numer każdej normy, 3) wypisać informacje, które można odczytać na podstawie numeru normy, 4) zapisać wyniki swojej pracy w zeszycie, 5) oddać nauczycielowi zeszyt. Wyposażenie stanowiska pracy: − materiały biurowe, − normy, − Poradnik dla ucznia. Ćwiczenie 3 Przeanalizuj informacje zawarte w normie. Wyniki swojej pracy zapisz w tabeli: Część normy Informacje Tytuł Wstęp ................ ................ ................ ............... ............... Sposób wykonania ćwiczenia Aby wykonać ćwiczenie, powinieneś: 1) zapoznać się z treścią normy, 2) przeanalizować informacje zawarte w normie, 3) uzupełnić tabelę w zeszycie, 4) oddać zeszyt nauczycielowi. Wyposażenie stanowiska pracy: − materiały biurowe, − normy produktów spożywczych, − Poradnik dla ucznia.
  • 16.
    „Projekt współfinansowany ześrodków Europejskiego Funduszu Społecznego” 14 Ćwiczenie 4 Scharakteryzuj cel stosowania i znaczenie przedstawionych norm. Wyniki swojej pracy zapisz w tabeli: Przedmiot normy Cel i znaczenie normy dla producenta Znaczenie normy dla konsumentów Pieczywo. Metody badań i ocena punktowa Wyroby i półprodukty ciastkarskie. Pobieranie próbek i kontrola jakości Wyroby spirytusowe, produkty i półprodukty. Terminologia Pieczywo. Pakowanie, przechowywanie i transport Wyroby i półprodukty ciastkarskie. Badania mikrobiologiczne. Zakres i metody badań Sposób wykonania ćwiczenia Aby wykonać ćwiczenie, powinieneś: 1) zapoznać się z podziałem norm, 2) zdefiniować poszczególne rodzaje norm, 3) określić znaczenie stosowania poszczególnych rodzajów norm dla producentów, 4) określić znaczenie stosowania poszczególnych rodzajów norm dla konsumentów, 5) uzupełnić tabelę w zeszycie, 6) oddać zeszyt nauczycielowi. Wyposażenie stanowiska pracy: − materiały biurowe, − Poradnik dla ucznia. Ćwiczenie 5 Przeanalizuj informacje zawarte w normie przedmiotowej herbatników i określ ich jakość na podstawie wyników analiz laboratoryjnych. Wyniki analiz laboratoryjnych: − zawartość suchej masy – 96% − zawartość cukrów ogółem jako cukier inwertowany – 22%, − ilość wyrobów wykazujących wady – pęknięcia – 6%. Sposób wykonania ćwiczenia Aby wykonać ćwiczenie, powinieneś: 1) zapoznać się z treścią normy dotyczącej herbatników, 2) przeanalizować informacje zawarte w normie, 3) określić, czy podane wartości wskaźników odpowiadają wymaganiom normy, 4) wyciągnąć wnioski i zapisać je w zeszycie, 5) oddać zeszyt nauczycielowi.
  • 17.
    „Projekt współfinansowany ześrodków Europejskiego Funduszu Społecznego” 15 Wyposażenie stanowiska pracy: − materiały biurowe, − normy produktów spożywczych, − Poradnik dla ucznia, − karty pracy z tekstem przewodnim. Ćwiczenie 6 Dokonaj oceny jakości dowolnego produktu spożywczego w oparciu o normę. Sposób wykonania ćwiczenia Aby wykonać ćwiczenie, powinieneś: 1) zorganizować stanowisko pracy – przygotować sprzęt do wykonania analiz, 2) zapoznać się z treścią normy jakościowej dotyczącej danego produktu spożywczego, 3) przeanalizować informacje zawarte w normie, 4) określić barwę, wygląd, konsystencję, smak, zapach i inne wskaźniki określone w normie, 5) zapisać obserwacje w zeszycie, 6) porównać oceniane wskaźniki z wymaganiami normy, 7) uporządkować stanowisko pracy, 8) wyciągnąć wnioski i zapisać je w zeszycie, 9) oddać zeszyt nauczycielowi. Wyposażenie stanowiska pracy: − materiały biurowe, − normy produktów spożywczych, − sprzęt do wykonania analiz: probówka, szkiełko zegarkowe, łyżeczka, nóż, − Poradnik dla ucznia, − karty pracy z tekstem przewodnim. Ćwiczenie 7 Zbierz informacje na temat Kodeksu Żywnościowego i przedstaw jego główne założenia. Sposób wykonania ćwiczenia Aby wykonać ćwiczenie, powinieneś: 1) zapoznać się z informacjami na temat Kodeksu Żywnościowego zawartych w pkt 4.1.1 oraz innych źródłach informacji, 2) uporządkować zebrane informacje, 3) sformułować najważniejsze założenia Kodeksu Żywnościowego, 4) umieścić założenia na arkuszu kartonu formatu A3, 5) wyciągnąć wnioski z wykonanego ćwiczenia, 6) zaprezentować wyniki swojej pracy na forum grupy. Wyposażenie stanowiska pracy: − materiały biurowe, − materiały źródłowe z publikacji dotyczących przemysłu spożywczego oraz z sieci Internet, − arkusz kartonu formatu A3, − Poradnik dla ucznia.
  • 18.
    „Projekt współfinansowany ześrodków Europejskiego Funduszu Społecznego” 16 4.1.4. Sprawdzian postępów Czy potrafisz: Tak Nie 1) określić cel i znaczenie normalizacji? ! ! 2) rozróżnić normy? ! ! 3) scharakteryzować poszczególne rodzaje norm? ! ! 4) omówić budowę normy? ! ! 5) zinterpretować informacje zawarte w normach? ! ! 6) skorzystać z norm? ! ! 7) scharakteryzować przepisy dotyczące ustawodawstwa żywnościowego? ! !
  • 19.
    „Projekt współfinansowany ześrodków Europejskiego Funduszu Społecznego” 17 4.2. Systemy zapewnienia bezpieczeństwa zdrowotnego żywności 4.2.1. Materiał nauczania Jakość produktów żywnościowych Jakość definiuje się jako zespół cech fizycznych, chemicznych, biologicznych i estetycznych, itp. decydujących o przydatności użytkowej wyrobu. Rys. 3. Czynniki kształtujące jakość produktów żywnościowych [2, s. 29] Na jakość produktów żywnościowych mają wpływ: − ogólne wrażenie sensoryczne, czyli wygląd zewnętrzny, tekstura, smak, zapach, − skład surowcowy decydujący o wartości żywieniowej, fizjologicznej ewentualnie dietetycznej, − parametry fizyczne i chemiczne, − czynniki higieniczne warunkujące bezpieczeństwo zdrowotne. Pod pojęciem czynniki higieniczne, czyli zdrowotne, rozumiane są przede wszystkim: − stan mikrobiologiczny (rodzaj i ilość drobnoustrojów, obecność toksyn produkowanych przez drobnoustroje, − zmiany pochodzenia mikrobiologicznego, − obecność substancji niedozwolonych (np. metale szkodliwe dla zdrowia, pozostałości środków myjących i dezynfekcyjnych). Przyczyny i źródła zagrożeń żywności Proces produkcji żywności narażony jest na oddziaływanie szeregu czynników, które mogą doprowadzić do obniżenia jakości zdrowotnej żywności. Czynniki te określane są mianem zagrożeń zdrowotnych. Mogą one spowodować, że żywność staje się niebezpieczna dla zdrowia konsumenta. Zagrożenia zdrowotne żywności można podzielić na cztery grupy: − zagrożenia fizyczne – to ciała obce, które dostają się do żywności w wyniku zaniedbań pracowników oraz braku właściwej higieny,
  • 20.
    „Projekt współfinansowany ześrodków Europejskiego Funduszu Społecznego” 18 − zagrożenia chemiczne – pierwiastki lub związki chemiczne, − zagrożenia biologiczne – to szkodniki i ich pozostałości, insekty, gryzonie i ich odchody, − zagrożenia mikrobiologiczne wywołane przez bakterie, drożdże, wirusy i pleśnie w tym toksynotwórcze. Podstawowe powody, dla których należy eliminować zagrożenia zdrowotne to: − podniesienie jakości wyrobów, − duża konkurencja na rynku, − spełnienie wymagań prawnych UE. Zagrożenia fizyczne występujące w żywności można podzielić według źródeł ich pochodzenia na: − kurz i brud, − ciała obce dostające się z surowcami: piasek, kamyki, patyki, źdźbła słomy, sznurek i itp., − ciała obce pochodzące z surowców: pestki owoców, łupiny, kości z wędlin, ości, itp., − dostające się do żywności w trakcie procesu przetwórczego: odłamki szkła, plastyku, odłamki metalu, drewna, skrawki i zeschnięte resztki produktów, − powstające w wyniku zaniedbań personelu: noszenie biżuterii i innych ozdób, niewłaściwa odzież robocza-możliwość oderwania guzików, wypadanie przedmiotów noszonych w kieszeni, włosy, niedopałki, itp., − wynikające z nieprzestrzegania zasad bezpieczeństwa i higieny pracy: brak osłon lamp oświetleniowych, szkła okienne, farba z sufitu i ścian, odchody ptaków i gryzoni, itp., − inne, np. wprowadzane świadomie, − zawilgocenie, przegrzanie wskutek działania czynników atmosferycznych. Zagrożenia chemiczne to różne pierwiastki i związki chemiczne, nie będące istotnymi składnikami żywności, a znajdujące się w niej w sposób przypadkowy. Mogą one w znacznym stopniu wpływać na jakość zdrowotną żywności, powodując albo natychmiastowe objawy chorobowe, albo też zmiany w prawidłowym funkcjonowaniu organizmu, dające się stwierdzić dopiero po pewnym czasie. Obecność niektórych związków może dawać skutki nawet w następnych pokoleniach. Wpływ ich na organizm może się także objawiać w postaci chorób nowotworowych. Skażenia żywności substancjami chemicznymi w dużej mierze są wynikiem działalności człowieka. Ogólnie zagrożenia chemiczne występujące w żywności można podzielić na: − naturalnie występujące w surowcach, − obecne w wyniku zabiegów agrotechnicznych i zootechnicznych: pozostałości pestycydów, azotany, pozostałości leków weterynaryjnych, − celowo dodawane w przemyśle w procesie technologicznym: dodatki funkcjonalne – substancje dodatkowe dozwolone, − przypadkowo dostające się w procesie technologicznym: np. pochodzące z maszyn smary i farby, − pozostałości środków myjących i dezynfekcyjnych, − powstające w wyniku rolniczego wykorzystania terenów ekologicznie zagrożonych (np. metale toksyczne), − mikotoksyny i toksyny bakteryjne, − skażenia radioaktywne, − dodane świadomie w celu zatuszowania. W niektórych surowcach żywnościowych występują naturalne substancje toksyczne, a ich zawartość wiąże się ze stanem dojrzałości surowców lub okresem ich przechowywania. Przykładem tego typu substancji mogą być solanina występująca w ziemniakach, amygdalina w gorzkich migdałach, toksyny w grzybach kapeluszowych.
  • 21.
    „Projekt współfinansowany ześrodków Europejskiego Funduszu Społecznego” 19 Zagrożenia związane z pozostałością środków ochrony roślin lub substancji dozwolonych celowo dodawanych wynikają często z zastosowania zbyt dużej ich ilości. Niewłaściwe płukanie instalacji powoduje pozostałości środków dezynfekujących lub myjących. Zagrożenia biologiczne mogą być skutkiem obecności i działalności szkodników magazynowych, jak owady, gryzonie, ptaki, które są widoczne oraz niewidocznych gołym okiem roztoczy. Szkodliwość owadów polega na nosicielstwie i rozsiewaniu w otoczeniu drobnoustrojów chorobotwórczych lub zarodników pleśni. Gryzonie występujące w magazynach (głównie myszy i szczury) powodują rozprzestrzenianie się drobnoustrojów chorobotwórczych. Podobne zagrożenia stwarzają ptaki żyjące wokół zakładów produkcyjnych. Groźnym zagrożeniem dla człowieka są roztocza, np. rozkruszki. Mogą one wywołać stany zapalne przewodu pokarmowego oraz odczyny alergiczne. Zagrożenia mikrobiologiczne stanowią najgroźniejszą grupę zagrożeń zdrowotnych żywności. Mogą wywołać one zatrucia pokarmowe lub choroby zakaźne u człowieka. Znanych jest wiele grup drobnoustrojów powodujących zatrucia pokarmowe: − Salmonella jest przyczyną najczęściej rozpoznawanych chorób pokarmowych, tzw. salmonellozy − Clostridium botulinum wywołuje botulizm, choroba bardzo niebezpieczna ze względu na ciężki przebieg, − Escherichia coli wywołują zaburzenia jelitowe oraz infekcje o różnym przebiegu u ludzi i zwierząt, − Staphylococcus aureus wytwarza enterotoksynę gronkowcową, − Shigella wywołuje czerwonkę bakteryjna, epidemiologiczną chorobę zakaźną, − rozwój grzybów w żywności może także stanowić poważne zagrożenie zdrowotne ze względu na zdolność produkowania substancji toksycznych zwanych mikotoksynami, − wirusy – rotawirusy wywołują dolegliwości żoładkowo-jelitowe. Systemy zapewnienia jakości System zapewnienia jakości jest to struktura organizacyjna, procedury, procesy i zasady niezbędne do zarządzania jakością. Zarządzanie jakością polega na wdrożeniu, utrzymaniu i doskonaleniu systemu jakości oraz udowodnieniu tych działań klientom, między innymi poprzez certyfikację systemu jakości. Istnieje wiele systemów zapewnienia jakości, różniących się celem działania, zbiorem wymagań, zasadami funkcjonowania. W produkcji żywności najczęściej stosowane są następujące systemy: − Dobra Praktyka Produkcyjna – GMP (Good Manufacturing Practice), − Dobra Praktyka Higieniczna – GHP (Good Higienic Practice), − Analiza Zagrożeń i Kontrola Punktów Krytycznych – HACCP (Hazard Analysis and Critical Control Point), − Normy ISO serii 9000, − Kompleksowe Zarządzanie przez Jakość – TQM (Total Quality Management). Wzajemne powiązania pomiędzy obszarami wymagań systemów i filozofii dotyczących sfery działalności przedstawiono na rysunku 4. Taka kolejność jest zalecana w przetwórstwie spożywczym.
  • 22.
    „Projekt współfinansowany ześrodków Europejskiego Funduszu Społecznego” 20 Rys. 4. Charakterystyka zależności systemów zapewnienia jakości [7, s.52] Dobra Praktyka Produkcyjna, Dobra Praktyka Higieniczna Dobra Praktyka Produkcyjna określa zespół działań, które eliminują fizyczne, chemiczne, biologiczne i mikrobiologiczne zagrożenia zdrowotne na linii całego procesu produkcji i dystrybucji żywności i zapewniają wyprodukowanie żywności bezpiecznej dla zdrowia konsumenta. Istota Dobrej Praktyki Produkcyjnej polega na przestrzeganiu następujących zasad: − utrzymanie wszystkich urządzeń produkcyjnych w dobrym stanie technicznym, − utrzymanie higienicznych warunków środowiska, − zapewnienie odpowiedniego oświetlenia pomieszczeń zakładowych i właściwej wentylacji, − stosowanie skutecznych procedur mycia i dezynfekcji, − kontrolowanie pracowników w celu przeciwdziałania zakażeniom żywności, − zapewnienie odpowiednich magazynów sprzętu, substancji chemicznych i produktów spożywczych, − zapewnienie wystarczającej ilości miejsca na rozmieszczenie urządzeń produkcyjnych i magazynowych, − właściwa gospodarka wodno-ściekowa, − zapobieganie obecności i rozprzestrzenianiu się owadów, ptaków, gryzoni i innych szkodników. Dobra Praktyka Higieniczna określa higieniczne aspekty GMP i jest systemem nieco węższym niż Dobra Praktyka Produkcyjna. Normy ISO serii 9000 Celem stosowania norm ISO serii 9000 jest zagwarantowanie jednolitej jakości wyrobów poprzez zapewnienie jakości procesów produkcyjnych. Normy te narzucają konieczność dostarczenia dowodów przestrzegania wymagań w nich zawartych. Normy ISO 9000 określają niemal każdą czynność pracownika biorącego udział w procesie produkcji, zadania kierownictwa, sposoby kontrolowania jakości wyrobów dostarczanych przez poddostawcę itp. W systemie ISO kontrola jakości jest ciągła i odbywa się na każdym etapie, od projektowania, poprzez produkcję, do ekologicznego niwelowania odpadów. W tym systemie każdy pracownik, o ile wypełnia wskazówki zapisane w Księdze Jakości, wykonuje swoje czynności niemal z komputerową powtarzalnością. Podstawą opracowania i wdrażania systemu jakości w przedsiębiorstwie przemysłu spożywczego jest norma ISO 9004, zgodnie z którą konieczne jest w przedsiębiorstwie: − opracowanie i ustanowienie Polityki Jakości oraz zagwarantowania niezbędnych środków (kadry, urządzenia, technologie), by została ona wdrożona i stosowana,
  • 23.
    „Projekt współfinansowany ześrodków Europejskiego Funduszu Społecznego” 21 − opracowanie, ustanowienie i wdrożenie systemu jakości, będącego sposobem realizacji tej polityki, system ten powinien być zrozumiały i efektywny oraz gwarantować, że wyroby spełniają wymagania odbiorców, − określenie czynników jakościowych, decydujących o pozycji firmy na rynku, − opracowanie, opublikowanie i przestrzeganie procedur operacyjnych, w celu koordynacji różnorodnej działalności w zakresie jakości. Układ działań, czyli hierarchię dokumentów i odpowiedzialności za nie w systemie zarządzania jakością zgodnym z normą ISO serii 9000 najlepiej ilustruje tzw. „Piramida jakości” (rysunek 5). Rys. 5. Piramida jakości w systemie zarządzania jakością według norm ISO serii 9000 [5, s.318] Księga jakości stanowi podstawowe źródło informacji o systemie zapewnienia jakości. Jest ona zatwierdzana podpisana przez prezesa zarządu. Księga zawiera: − politykę jakości, − cele jakości, − strukturę organizacyjną zakładu, − zbiór procesów i procedur, − podział odpowiedzialności. Procedury opisują taktykę działań, odpowiedzialności i powiązania między ludźmi lub zespołami w procesach produkcyjnych. Wdrożony system jakości może uzyskać certyfikat, potwierdzający zgodność z danym modelem normy ISO serii 9000. Certyfikat wydaje, po przeprowadzeniu odpowiedniej kontroli tzw. auditu, właściwa jednostka certyfikująca. W Polsce narodową jednostką certifikujacą jest Polskie Centrum Badań i Certyfikacji – PCBC.
  • 24.
    „Projekt współfinansowany ześrodków Europejskiego Funduszu Społecznego” 22 System HACCP W systemie HACCP zakłada się, że potencjalne zagrożenia i nieprawidłowości zostaną zidentyfikowane przed lub podczas procesu przetwórczego, zawsze na czas, tak aby zminimalizować ryzyko zagrożenia. Zapobieganie problemom zanim one wystąpią jest podstawowym celem metody i opartego na niej systemu HACCP. Metoda HACCP została opracowana w celu wyeliminowania zagrożeń pochodzenia mikrobiologicznego, a następnie rozszerzona także do innych zagrożeń biologicznych, oraz chemicznych i fizycznych. HACCP jest jednym z kilku sposobów bardzo efektywnego kontrolowania i poprawy bezpieczeństwa zdrowotnego żywności. Według Kodeksu Żywnościowego system HACCP identyfikuje, ocenia i kontroluje zagrożenia istotne z punktu widzenia bezpieczeństwa żywności. W systemie HACCP pojawiają się dwa nowe pojęcia: − Punkt Kontrolny (CP) jest to miejsce, etap, proces lub operacja jednostkowa, gdzie prowadzi się kontrolę parametrów lub innych wskaźników o podstawowym znaczeniu dla jakości produktu, − Krytyczny Punkt Kontrolny (CCP) jest to miejsce, proces, lub operacja, w którym kontrola musi być zastosowana i jest niezbędna dla zapobieżenia lub wyeliminowania zagrożenia bezpieczeństwa żywności. W monitorowaniu Krytycznych Punktów Kontrolnych wykorzystuje się parametry pozwalające na szybkie podejmowanie działań korygujących, jeżeli zaistnieje taka konieczność. Dobrze przygotowany i wdrożony HACCP będzie przynosił wyłącznie korzyści, pod warunkiem, że wszelkie działania po wdrożeniu będą prowadzone systematycznie. System HACCP zmusza do: − zmiany dotychczasowych przyzwyczajeń, − ponownego przeanalizowania wszystkich procesów produkcyjnych w zakładach, na miejscu, nawet tam, gdzie produkcja odbywa się bez żadnych problemów, − przeniesienia odpowiedzialności na pracowników bezpośrednio związanych z produkcją, zobowiązując ich do czuwania nad poszczególnymi krytycznymi punktami kontrolnymi. System HACCP opiera się na siedmiu podstawowych zasadach – etapach (rysunek 6). Przeprowadzenie analizy zagrożeń jest to identyfikacja potencjalnych zagrożeń związanych z żywnością na wszystkich etapach łańcucha, od wytworzenia przez przetwarzanie i dystrybucję, aż do konsumpcji oraz ocena prawdopodobieństwa ich wystąpienia i rozwinięcia, czyli ocena ryzyka. W ramach analizy zagrożeń najpierw sporządza się listy wszystkich potencjalnych zagrożeń, o dużym znaczeniu dla zdrowia konsumenta, związanych z każdym etapem produkcji. Następnie identyfikuje się te z nich, których wyeliminowanie lub redukcja do akceptowanej wartości są istotne dla bezpieczeństwa produkowanej żywności. Dla każdego z zagrożeń należy następnie wybrać odpowiednie środki kontrolne, które mogą być dla niego zastosowane. Nieraz jest konieczne zastosowanie więcej niż jednego środka kontrolnego do opanowania zagrożenia, ale zdarza się też, że więcej niż jedno zagrożenie może być kontrolowane przez jeden środek kontrolny.
  • 25.
    „Projekt współfinansowany ześrodków Europejskiego Funduszu Społecznego” 23 Rys. 6. Zasady systemu HACCP [7, s. 164] Analiza zagrożeń jest nie tylko pierwszą zasadą metody HACCP, ale stanowi także jej podstawowy etap, a od jej poprawności zależy powodzenie funkcjonowania systemu. Wszystkie istotne zagrożenia, które mogą wpłynąć na bezpieczeństwo żywności muszą być identyfikowane. Zagrożenia, które mogą oddziaływać tylko na jakość produktów, nie ich bezpieczeństwo zdrowotne, mogą być zaznaczone w planie kontroli jakości, ale nie włączane do planu HACCP. Metoda HACCP służy bowiem tylko zapewnieniu bezpieczeństwa zdrowotnego produkowanej żywności. Ustalenie krytycznych punktów kontrolnych CCP, KPK odbywa się na podstawie analizy zagrożeń. Krytyczne Punkty Kontrolne są to miejsca, etapy, procesy lub operacje jednostkowe, w których należy podjąć środki zapobiegawcze lub kontrolne w celu wyeliminowania, zapobieżenia lub zminimalizowania zagrożenia do poziomu dopuszczalnego. Identyfikację Krytycznych Punktów Kontrolnych w systemie HACCP może ułatwić zastosowanie „drzewa decyzyjnego” (rysunek 7). PRZEPROWADZENIE ANALIZY ZAGROŻEŃ USTALENIE KRYTYCZNYCH PUNKTÓW KONTROLNYCH CCP USTALENIE LIMITÓW KRYTYCZNYCH USTALENIE SYSTEMU MONITOROWANIA CCP USTANOWIENIE DZIAŁAŃ KOREKCYJNYCH, KTÓRE MUSZĄ BYĆ PODJĘTE, KIEDY MONITOROWANIE WYKAŻE, ŻE DANY CCP NIE ZNAJDUJE SIĘ POD KONTROLĄ USTALENIE PROCEDUR WERYFIKACJI DLA POTWIERDZENIA, ŻE SYSTEM HACCP PRACUJE EFEKTYWNIE OPRACOWANIE DOKUMENTACJI ZAWIERAJĄCEJ WSZYSTKIE PROCEDURY I ZAPISY ODPOWIEDNIE DLA WYMIENIONYCH ZASAD I ICH ZASTOSOWANIA
  • 26.
    „Projekt współfinansowany ześrodków Europejskiego Funduszu Społecznego” 24 Rys. 7. Zastosowanie „drzewa decyzyjnego” do ustalenia Krytycznych Punktów Kontrolnych [7, s. 185] Ustalenie i wprowadzenie limitów krytycznych w każdym krytycznym punkcie kontrolnym umożliwia zapewnienie, że jest on pod stałą kontrolą. Ustanowienie systemu monitorowania parametrów w CCP polega na ustaleniu systemu kontroli i monitorowania oraz sposobu zapisywania danych. Zadaniem monitorowania jest bieżąca kontrola produkcji i zapobieganie wypuszczaniu wadliwych produktów. Ustanowienie działań korekcyjnych (korygujących) przewiduje przyjęcie dla każdego CCP właściwych działań korekcyjnych, które są stosowane w przypadku stwierdzenia odchyleń od
  • 27.
    „Projekt współfinansowany ześrodków Europejskiego Funduszu Społecznego” 25 limitów krytycznych. Działania korekcyjne muszą być określone zarówno dla procesu, jak i dla nieprawidłowo wytworzonego produktu. Ustanowienia procedur weryfikacyjnych odbywa się dla całego systemu. W celu określenia czy system HACCP funkcjonuje prawidłowo, mogą być zastosowane różne metody: audity, testy, analizy itp. Opracowanie systemu dokumentacji jest ostatnim etapem wdrażania systemu HACCP. Dokumenty powinny być dokładne i odpowiednie do rozmiaru operacji. Muszą być przechowywane nie tylko w postaci elektronicznej, ale też w zapisie ręcznym. Wprowadzenie systemu HACCP można podzielić na 12 etapów 1. powołanie zakładowego zespołu ds. HACCP, 2. zdefiniowanie (opisanie) produktu, 3. oznaczenie przeznaczenia produktu, 4. sporządzenie schematu technologicznego zawierającego wszystkie etapy procesu produkcyjnego, 5. zweryfikowanie schematu technologicznego w praktyce, 6. sporządzenie wykazu zagrożeń na każdym etapie i wykazu środków prewencyjnych (zapobiegawczych), 7. ustalenie krytycznych punktów kontrolnych (CCP), 8. ustalenie limitów krytycznych parametrów dla każdego CCP i określenie tolerancji, 9. ustalenie działań korekcyjnych (korygujących) w przypadku niespełnienia wartości parametrów krytycznych, 10. określenie zasad weryfikacji systemu, 11. ustalenie zasad tworzenia dokumentacji systemu i przechowywania zapisów. Dokumentacja systemu HACCP to zbiór dokumentów dotyczących wdrażania i utrzymania tego systemu. Dokumenty stanowią dwie zasadnicze grupy: − dokumenty opisujące funkcjonowania systemu, zawarte zazwyczaj w Księdze HACCP, − dokumenty potwierdzające funkcjonowanie systemu, dowody wykonywania zadań lub wyniki, które mają formę zapisów. Najważniejszym dokumentem opisującym system HACCP jest Plan HACCP. Jest to dokument przygotowany zgodnie z siedmioma zasadami HACCP. Obejmuje następujące elementy: − opis wyrobu, − schemat technologiczny, − analizę zagrożeń, środki zapobiegające oraz wyznaczenie Krytycznych Punktów Kontrolnych CCP, − monitoring CCP i dziłania korygujace. Plan HACCP powinien być opracowany dla każdego wyrobu oddzielnie. Kompleksowe Zarządzanie Jakością (TQM) System TQM to systemowe sterowanie jakością polegające na udziale wszystkich pracowników w celu osiągnięcia długotrwałego sukcesu dzięki zaspokojeniu potrzeb konsumenta. Celem TQM jest: − zapewnienie ciągłej poprawy jakości dziś i w przyszłości oraz ciągłego ulepszania procesów w oparciu o dane z rynku, − uzyskanie kompletnej satysfakcji klientów, pozyskanie ich zaufania do producenta i jego wyrobów, − polepszenie wydajności procesów, − zwiększenie efektywności organizacji.
  • 28.
    „Projekt współfinansowany ześrodków Europejskiego Funduszu Społecznego” 26 TQM, podobnie jak normy ISO serii 9000, dotyczy ogółu produkowanych dóbr materialnych i wszystkich cech ich jakości. Koncepcja TQM opiera się na następujących zasadach: − zaspokojenie wymagań i usatysfakcjonowanie klienta, − przywództwo i zaangażowanie naczelnego kierownictwa oraz włączenie wszystkich zatrudnionych do realizacji celów jakościowych, − dążenie do ciągłej poprawy systemu i produktów. System TQM łączy w sobie GMP, GHP, HACCP oraz normy ISO. System ten jest najbardziej rozbudowany spośród dotychczas stosowanych i wdrożenie go jest bardzo trudne. Wymaga wszechstronnych i długotrwałych przygotowań. 4.2.2. Pytania sprawdzające Odpowiadając na pytania, sprawdzisz, czy jesteś przygotowany do wykonania ćwiczeń. 1. Jakie czynniki kształtują jakość produktów żywnościowych? 2. Jakie grupy zagrożeń mogą wystąpić w żywności? 3. Jakie mogą pojawić się fizyczne zagrożenia żywności? 4. Jakie mogą pojawić się chemiczne zagrożenia żywności? 5. Jakie mogą pojawić się biologiczne zagrożenia żywności? 6. Jakie mogą pojawić się mikrobiologiczne zagrożenia żywności? 7. Jakie systemy zapewnienia jakości stosowane są w produkcji żywności? 8. Na jakich zasadach opiera się Dobra Praktyka Produkcyjna? 9. Czego dotyczą normy ISO serii 9000? 10. Na czym polega system HACCP? 11. Jakie są etapy wdrażania systemu HACCP? 12. Na czym polega ustalanie Krytycznych Punktów Kontrolnych? 13. Jaka dokumentacja opisuje system HACCP? 14. Na czym polega system TQM? 4.2.3. Ćwiczenia Ćwiczenie 1 Określ czynniki wpływające na jakość zdrowotną żywności. Do wykonania ćwiczenia wykorzystaj jedno z narzędzi doskonalenia jakości - schemat Ishikawy (rybi szkielet). przyczyny czynniki wpływające JAKOŚĆ ZDROWOTNA ŻYWNOŚCI Rysunek do ćwiczenia 1
  • 29.
    „Projekt współfinansowany ześrodków Europejskiego Funduszu Społecznego” 27 Sposób wykonania ćwiczenia Aby wykonać ćwiczenie, powinieneś: 1) sporządzić rybi szkielet według rysunku 4 na kartonie formatu A3, 2) określić przyczyny złej jakości produktów spożywczych, 3) określić czynniki wpływające na wskazane przez Ciebie przyczyny, 4) uzupełnić rybi szkielet, 5) zaprezentować swoją pracę na forum grupy. Wyposażenie stanowiska pracy: − materiały biurowe, − karton formatu A3, − Poradnik dla ucznia. Ćwiczenie 2 Określ zanieczyszczenia i ich źródła mogące pojawić się w produkcji ciastkarskiej. Wyniki swojej pracy zapisz w tabeli: Grupa zagrożeń Zagrożenie Prawdopodobne źródła zagrożeń Sposób wykonania ćwiczenia Aby wykonać ćwiczenie, powinieneś: 1) zapoznać się z rodzajami zagrożeń żywności, 2) określić zagrożenia pojawiające się w produktach ciastkarskich, 3) określić prawdopodobne źródła zagrożeń, 4) sklasyfikować wypisane zagrożenia, 5) uzupełnić tabelę w zeszycie, 6) oddać zeszyt nauczycielowi. Wyposażenie stanowiska pracy: − materiały biurowe, − Poradnik dla ucznia, − karty pracy z tekstem przewodnim. Ćwiczenie 3 Dokonaj przeglądu systemów zapewnienia jakości stosowanych w przetwórstwie żywności. Wykonując ćwiczenie wykorzystaj tabelę: System zapewnienia jakości Główne założenia i zasady Dobra Praktyka Produkcyjna GMP HACCP
  • 30.
    „Projekt współfinansowany ześrodków Europejskiego Funduszu Społecznego” 28 Normy ISO serii 9000 TQM Sposób wykonania ćwiczenia Aby wykonać ćwiczenie, powinieneś: 1) zapoznać się z informacjami zawartymi w pkt 4.2.1, 2) zdefiniować założenia i zasady poszczególnych systemów zapewnienia jakości, 3) uzupełnić tabelę na papierze formatu A4, 4) oddać wykonaną prace nauczycielowi. Wyposażenie stanowiska pracy: − materiały biurowe, − arkusz papieru formatu A4, − Poradnik dla ucznia. Ćwiczenie 4 Na podstawie schematu produkcji mleka dokonaj analizy zagrożeń zdrowotnych i wyznacz Punkty Kontrolne i Krytyczne Punkty Kontrolne. Wyniki swojej pracy zapisz w tabeli: Punkt Kontrolny Czy jest to Krytyczny Punkt Kontrolny?Etap produkcji mleka Rodzaj zagrożenia parametr, proces badany metoda badań tak nie Sposób wykonania ćwiczenia Aby wykonać ćwiczenie, powinieneś: 1) zdefiniować Punkty Kontrolne, 2) zdefiniować Krytyczne Punkty Kontrolne, 3) zapoznać się ze sposobem ustalania Krytycznych Punktów Kontrolnych, 4) przeanalizować schemat produkcji mleka spożywczego, 5) określić miejsca występowania zagrożeń zdrowotnych,
  • 31.
    „Projekt współfinansowany ześrodków Europejskiego Funduszu Społecznego” 29 6) określić, miejsca, w których należy stosować systematyczną kontrolę jakości (CP), 7) określić miejsca, w których występują zagrożenia najbardziej istotne dla bezpieczeństwa zdrowotnego żywności (CCP), 8) zapisać wyniki swojej pracy w zeszycie, 9) wyciągnąć wniosek i zapisać go w zeszycie, 10) oddać nauczycielowi zeszyt. Wyposażenie stanowiska pracy: − materiały biurowe, − schemat produkcji mleka spożywczego, − Poradnik dla ucznia, − karta pracy z tekstem przewodnim. Ćwiczenie 5 Zaprojektuj Plan HACCP dla dowolnego wyrobu cukierniczego. Do wykonania projektu wykorzystaj podane tabele: 1. Opis wyrobu i przeznaczenie Nazwa wyrobu Opis wyrobu (masa, kształt) Składniki Proces technologiczny Sposób pakowania Cechy organoleptyczne Cechy fizykochemiczne Cechy mikrobiologiczne Okres minimalnej trwałości Warunki przechowywania Przeznaczenie Dystrybucja wzór etykiety 2.Schemat technologiczny 3. Analiza zagrożeń, środki zapobiegające oraz wyznaczenie CCP Zagrożenie Środki umożliwiające kontrolę zagrożeniaEtap procesu produkcji Rodzaj Źródło/przyczyna Procedury i instrukcje Działania zapobiegające CCP
  • 32.
    „Projekt współfinansowany ześrodków Europejskiego Funduszu Społecznego” 30 4. Monitoring CCP i działania korygujące Specyfikacja Monitoring Etap procesu Zagrożenie Parametr, wartość docelowa Tolerancja Metoda Częstotliwość Działania korygujące Osoba odpowiedzialna Sposób wykonania ćwiczenia Aby wykonać ćwiczenie powinieneś: 1) zapoznać się z etapami wprowadzania systemu HACCP, 2) wybrać produkt cukierniczy, 3) sporządzić podane tabele na arkuszu papieru formatu A4, 4) wpisać wszystkie informacje dotyczące wyrobu i jego przeznaczenia, 5) sporządzić schemat technologiczny i wpisać go do planu HACCP, 6) przeanalizować schemat technologiczny i dokonać analizy zagrożeń, 7) wyznaczyć Krytyczne Punkty Kontrolne (CCP), 8) uzupełnić Plan HACCP o stwierdzone zagrożenia i CCP, 9) wyznaczyć limity dla każdego z Punktów Krytycznych, na podstawie opisu procesu technologicznego, 10) określić sposoby monitorowania wszystkich Punktów Krytycznych, 11) zaproponować działania korygujące, które należy podjąć w momencie, gdy monitorowanie wskazuje na nieskuteczność działań, 12) zaprezentować swoją pracę na forum grupy. Wyposażenie stanowiska pracy: − materiały biurowe, − arkusz papieru formatu A4, − schemat technologiczny wyrobu cukierniczego, − Poradnik dla ucznia. 4.1.4. Sprawdzian postępów Czy potrafisz: Tak Nie 1) określić czynniki wpływające na jakość żywności? ! ! 2) określić zagrożenia dal bezpieczeństwa zdrowotnego żywności? ! ! 3) zdefiniować systemy zapewnienia jakości? ! ! 4) rozróżnić systemy zapewnienia jakości? ! ! 5) scharakteryzować etapy wprowadzenia systemu HACCP? ! ! 6) zdefiniować Krytyczne Punkty Kontrolne? ! ! 7) wyznaczyć Krytyczne Punkty Kontrolne? ! ! 8) wypełnić dokumenty systemu HACCP? ! !
  • 33.
    „Projekt współfinansowany ześrodków Europejskiego Funduszu Społecznego” 31 5. SPRAWDZIAN OSIĄGNIĘĆ INSTRUKCJA DLA UCZNIA 1. Przeczytaj uważnie instrukcję. 2. Podpisz imieniem i nazwiskiem kartę odpowiedzi. 3. Zapoznaj się z zestawem zadań testowych. 4. Test zawiera 20 zadań. Do każdego zadania dołączone są 4 możliwości odpowiedzi. Tylko jedna jest prawidłowa. 5. Odpowiedzi udzielaj na załączonej karcie odpowiedzi, stawiając w odpowiedniej rubryce znak X. Jeśli się pomylisz zaznacz błędną odpowiedź kółkiem, a następnie ponownie zakreślić odpowiedź prawidłową. Na zestawie zadań testowych nie zaznaczaj niczego. 6. Pracuj samodzielnie, bo tylko wtedy będziesz miał satysfakcję z wykonanego zadania. 7. Jeśli udzielenie odpowiedzi będzie Ci sprawiało trudność, wtedy odłóż jego rozwiązanie na później i wróć do niego, gdy zostanie Ci wolny czas. 8. Na rozwiązanie testu masz 45 minut. Powodzenia! ZESTAW ZADAŃ TESTOWYCH 1. Oznaczenie PN-EN świadczy o tym, że a) jest to Polska Norma oparta na wdrożeniu europejskim. b) jest to Polska Norma oparta na wdrożeniu norm serii ISO 9000. c) jest to norma opracowana w przedsiębiorstwie, stosowana na terenie Polski. d) jest to norma opracowana w przedsiębiorstwie, stosowana na terenie Unii Europejskiej. 2. Normy zakładowe oznacza się symbolem a) PN. b) ZN. c) EN. d) ISO. 3. Normy terminologiczne to normy a) dotyczące ogólnych postanowień w jednej określonej dziedzinie, ustalające poprawne słownictwo techniczne. b) dotyczące wymagań, które powinien spełniać wyrób, w celu zapewnienia jego funkcjonalności. c) zawierające klasyfikację materiałów, przedmiotów, pojęć lub czynności, terminy i ich definicje. d) określające wymagania, które powinny być spełnione w procesie, w celu zapewnienia jego funkcjonalności. 4. Normy ubytków określają a) ilość surowców niezbędnych do wykonania pewnej ilości wyrobu. b) ilość materiałów niezbędnych do wykonania pewnej ilości wyrobu. c) dopuszczalną ilość materiału do wykonania pewnej ilości wyrobu. d) maksymalną wielkość niezawinionego ubytku danego produktu.
  • 34.
    „Projekt współfinansowany ześrodków Europejskiego Funduszu Społecznego” 32 5. Normalizacja to działalność a) zmierzająca do ujednolicenia wyglądu i cech organoleptycznych wszystkich produktów spożywczych. b) zmierzająca do ujednolicenia wymagań, dotyczących cech produktów, czynności oraz pojęć. c) zajmująca się kontrolowaniem jakości surowców, półproduktów i gotowych wyrobów. d) zajmująca się kontrolowaniem ilości poniesionych kosztów w procesie produkcji. 6. W normie dotyczącej cukierków podano, że zawartość cukrów redukujących powinna być nie większa niż 16,5%. Która wartość jest zgodna z wymaganiami normy? a) 16,0%. b) 16,6%. c) 17,0%. d) 22%. 7. Norma, w której określono wskaźniki jakości produktu, takie jak smak, zapach, barwa i wygląd to: a) norma czynnościowa. b) norma przedmiotowa. c) norma znaczeniowa. d) receptura. 8. W numerze każdej normy musi być zawarty a) kod przeznaczenia produktu. b) kod odbiorców produktu. c) rok ustanowienia. d) kod producenta. 9. Międzynarodowy dokument prawny określający wymagania dla produktów żywnościowych, to: a) Norma ISO serii 9000:2000. b) Kodeks Żywnościowy tzw. Codex Alimentarius. c) Ustawa o warunkach zdrowotnych żywności i żywienia. d) Rozporządzenie w sprawie wymagań higieniczno-sanitarnych w zakładach produkujących żywność. 10. Publikowaniem i aktualizowaniem Polskich Norm zajmuje się a) Polskie Centrum Badań i Certyfikacji. b) Unia Europejska. c) Naczelna Organizacja Techniczna. d) Polski Komitet Normalizacyjny. 11. Którą z norm należy wybrać, aby określić sposób i metodę oznaczania wskaźników chemicznych w mleku? a) PN-71/A-86100 Mleko i przetwory mleczarskie Klasyfikacja. b) PN-65/A-86101 Mleko i przetwory mleczarskie Nazwy i określenia. c) PN-68/A-86122 Mleko Metody badań. d) PN-86/A-86041/Az1:2000Mleko i przetwory mleczarskie. Pobieranie próbek.
  • 35.
    „Projekt współfinansowany ześrodków Europejskiego Funduszu Społecznego” 33 12. Ciała obce, które dostają się do żywności zaliczane są do grupy zagrożeń a) fizycznych. b) chemicznych. c) biologicznych. d) mikrobiologicznych. 13. Zagrożenia chemiczne żywności mogą stanowić a) cukier. b) sól kuchenna. c) proszek do pieczenia. d) środki dezynfekujące. 14. Aby wdrożyć system HAACP konieczne jest wcześniejsze wdrożenie a) Normy ISO 9000:2000. b) Normy PN-EN ISO 9001:2001. c) Dobrej Praktyki Produkcyjnej. d) Kompleksowego Zarządzania przez Jakość. 15. Skrót TQM oznacza a) Dobra Praktyka Produkcyjna. b) Dobra Praktyka Higieniczna. c) Dobra Praktyka Laboratoryjna. d) Kompleksowe Zarządzanie przez Jakość. 16. Miejsce w procesie produkcji, w którym kontrola musi być zastosowana i jest niezbędna w celu wyeliminowania zagrożeń zdrowotnych to a) limit krytyczny. b) miejsce korygujące. c) Punkt Kontrolny. d) Krytyczny Punkt Kontrolny. 17. Dokumentacja systemu HACCP zawiera a) procedury i zapisy. b) normę przedmiotową. c) normę czynnościową. d) normę ISO. 18. Systemy GMP i GHP w zakładzie produkującym żywność polegają na eliminowaniu zagrożeń zdrowotnych: a) podczas przyjmowania surowców do produkcji. b) do momentu wytworzenia półproduktów. c) w całym procesie produkcji i dystrybucji. d) gotowego wyrobu spożywczego. 19. Główna idea systemu HACCP opiera się na a) dokładnym opracowaniu dokumentacji zawierającej procedury i zapisy. b) dużym zaangażowaniu w podnoszenie jakości wszystkich członków załogi przedsiębiorstwa spożywczego. c) dokładnym przeprowadzeniu badań laboratoryjnych gotowych wyrobów spożywczych. d) przeprowadzeniu analizy zagrożeń zdrowotnych i na tej podstawie określeniu Krytycznych Punktów Kontrolnych.
  • 36.
    „Projekt współfinansowany ześrodków Europejskiego Funduszu Społecznego” 34 20. Na jakość zdrowotną gotowych wyrobów żywnościowych największy wpływ mają: a) wygląd zewnętrzny gotowych wyrobów. b) warunki mikrobiologiczne produkcji. c) zaangażowanie kierownictwa zakładu. d) wyposażenie techniczne zakładu.
  • 37.
    „Projekt współfinansowany ześrodków Europejskiego Funduszu Społecznego” 35 KARTA ODPOWIEDZI Imię i nazwisko ............................................................................... Zastosowanie normalizacji w przetwórstwie spożywczym Zakreśl poprawną odpowiedź. Nr zadania Odpowiedzi Punkty 1 a b c d 2 a b c d 3 a b c d 4 a b c d 5 a b c d 6 a b c d 7 a b c d 8 a b c d 9 a b c d 10 a b c d 11 a b c d 12 a b c d 13 a b c d 14 a b c d 15 a b c d 16 a b c d 17 a b c d 18 a b c d 19 a b c d 20 a b c d Razem:
  • 38.
    „Projekt współfinansowany ześrodków Europejskiego Funduszu Społecznego” 36 6. LITERATURA 1. Ambroziak Z.: HACCP. Przewodnik wdrażania systemu HACCP w produkcji piekarskiej i ciastkarskiej. EPRD, Warszawa 2000. 2. Ambroziak Z., Janik M., Staszewska E.: Higiena produkcji piekarskiej i ciastkarskiej. Opr. przez Zakład Badawczy Przemysłu Piekarskiego. Wydawnictwo Spółdzielcze, Warszawa 1996 3. Baraniak B.: Analiza techniczna w produkcji cukierniczej. WSiP, Warszawa 1997 4. Dłużewski M., Chuchlowa J., Krajewski K. Kamiński W.: Technologia żywności. Podręcznik dla technikum, cz.1. WSiP, Warszawa 2000 5. Dłużewski M.: Technologia żywności. Podręcznik dla technikum, cz. 4. WSiP, Warszawa 2001 6. Janik M, Staszewska E.: HACCP w produkcji pieczywa. Cukiernictwo i Piekarstwo. 12/2005 7. Kołożyn-Krajewska D., Sikora T.: HACCP. Koncepcja i system zapewnienia bezpieczeństwa zdrowotnego żywności. SIT, Warszawa 8. Wyczański S.: Cukiernictwo. WSiP, Warszawa 1994 9. www.integram.com.pl Czasopisma: – Cukiernictwo i Piekarstwo – Przegląd Piekarski i Cukierniczy – Przemysł Spożywczy