THE STABILITY PROBLEM
• Since transient stability studies involve large disturbances, linearization of the system
equations is not permitted. Transient stability is sometimes studied on a first-swing rather
than a multiswing basis. First-swing transient stability studies use a reasonably simple
generator model consisting of the transient internal voltage E; behind transient reactance
𝑋𝑑; in such studies the excitation systems and turbine-governing control systems of the
generating units are not represented.
• Usually, the time period under study is the first second following a system fault or other
large disturbance. If the machines of the system are found to remain essentially in
synchronism within the first second, the system is regarded as being transiently stable.
• In all stability studies the objective is to determine whether or not the rotors of the
machines being perturbed return to constant speed operation.
EQUAL AREA CRITERION FOR STABILITY ANALYSIS
• We have seen the swing equation which is non-linear in nature. Formal solutions of such
equations cannot be found explicitly.
• To solve such equations, numerical computer methods are required.
• Equal area criterion method can be used to analyze the stability of two-machine system
without solving swing equation.
EQUAL AREA CRITERION FOR ONE MACHINE SWINGING
WITH RESPECT TO AN INFINITE BUS
Equal area criterion is useful means of determining whether two-machine system is stable
Assumptions:
• Input to generator is constant
Input to generator is controlled by governor action which is slow process due to
mechanical actions of valve closing/opening.
• Constant voltage behind transient reactance
With excitation system, the regulator and exciter actions are fast enough but too slow
to have appreciable effect during first swing.
• No damping (damping winding of synchronous generator is ignored)
u
i
a
2
2
P
P
P
dt
d
M 



 The swing equation of finite machine is given in equation (1)
M : Inertia constant of the machine
: Angular displacement of machine with respect to infinite bus
 Multiply each member of the equation (1) by
(2)

(1)
dt
d
M
2 
dt
d
M
P
2
dt
d
dt
d
2 a
2
2




dt
d
M
P
2
dt
d
dt
d a
2
















 (3)
(4)
(5)
(6)
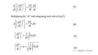
Multiplying by “dt” and integrating each side of eq.(3)


d
M
P
dt
d
d a
2
2
















 

d
P
M
2
dt
d
0
a
2










 

d
P
M
2
dt
d
0
a








 '
ω’– Angular velocity
 “When the machine comes to rest with respect to infinite bus” – a condition which
may be taken to indicate stability
0

'
 (7)
(8)
(9)
0
d
P
m
0
a 
 


Eq. (8) is interpreted graphically in Fig.1
u
i
a P
P
P 

a
P
i
P
u
P
: Accelerating power of the synchronous machine.
: Mechanical power of the synchronous machine.
: Electrical power of the synchronous machine.
Fig.1 The equal area criterion for stability
 The curve of Vs is horizontal line as is
assumed to be constant.
 The curve Vs is a sinusoidal.
 For system to be stable, should be equal to
=
For : >
: <
 The areas and may be interpreted in terms of
kinetic energy.
i
P  i
P
u
P 
1
A 2
A
1
A 2
A
1
A i
P u
P
2
A i
P u
P
1
A 2
A
 When Pa is +ve, rotor will accelerate represented by Area-A1.
 When the accelerating power becomes negative and the machine is retarded, the
kinetic energy is given up, the machine has returned to its original speed. This
occurs when
A1 = A2
A1 and A2 are the areas under
the curve
Transient Stability Limit
• Say there is sustained line fault (it is a condition, assume that CB did not open the
lines and fault persisted) on one of the double ckt line.
An Infinite bus is a source of constant voltage & frequency and not affected by amount of
current drawn from it. A large power system network often may be regarded as infinite bus.
• The initial displacement angle is δ0 and initial relative angular velocity is zero.
• When the fault is applied, the operating point drops to ‘b’, directly below ‘a’ on
the fault output curve.
• The displacement angle remain δ0 at the instant of fault application.
Pmax1
Pmax2
P
Pi
Pu (before fault) =
(Eg – E∞ ) sin (δ) / (X/2)
Pu (after fault) =
(Eg – E∞ ) sin (δ) / (X)
Pu before fault
Pu after fault
• There is an accelerating power, Pa = Pi-Pu, represented by length ab.
• As a consequences the generator is accelerated, the displacement angle increases and the
operating point moves along the curve from ‘b’ toward ‘c’.
• As it does so, the accelerating power and the acceleration decrease, becoming zero at ‘c’.
• At this point, however the speed of the generator is greater than that of the infinite bus and
the angle δ0 continues to increase.
• As it does, Pa becomes negative, representing retarding power.
Pmax1
Pmax2
P
Pi
• The speed diminishes (as compared to infinite
bus) until at point ‘d’, determined by the
equality of area A1= abc and area A2 = cde, it
becomes zero.
• Here the maximum angular displacement δm is reached. There is still a retarding torque;
therefore speed of generator continues to decrease, becoming less than that of infinite bus.
• The displacement angle δ decrease, and the operating point moves from ‘d’ through ‘c’
toward ‘b’. This system is stable .
• Operating point would continue to oscillate between ‘b’ and ‘d’, if there were no damping.
• Actually the oscillations diminish, and the operating point finally becomes established at
‘c’ due to inherent damping.
Pmax1
Pmax2
P
Pi
• This is the critical condition in which both the speed and acceleration become zero
simultaneously at angle δm.
• The value of Pi which makes this condition occur is the transient stability limit.
• If initial load on generator were
increased, A1, A2 and δm would
increase.
• Maximum value of Pi could have
without machine going ‘out of step’
during fault would be the value
which makes δm occur at intersection
of Pi and fault output curve.
Pmax2
Pi
 m
Note that the system will remain stable even though the rotor may oscillate beyond δ=900,
so long as the equal area criterion is met. The condition of δ=900 is meant for the use in
steady state stability only and does not apply to the transient stability case.
• Any further increase in Pm1 means that
area available for A2 is less than A1, so
that the excess kinetic energy causes δ to
increase beyond point ‘c’ and
accelerating power becoming more
makes the system unstable.
Let’s look at another diagram
Note: Earlier slides, I used symbol of Pi for mechanical input, now I will use Pm
Earlier slides, I used symbol of Pu for electrical output, now I will use Pe
Effect of clearing time on stability
If a three-phase fault occurs at the point ‘F’ of the outgoing radial line, the electrical
output of the generator instantly reduces to zero i.e., Pe = 0.
F
CB1
CB2
• The acceleration area A1 begins to increase and so does the displacement angle where the
operating point moves along bc .
• At time tc (clearing time) corresponding to an angle δc (clearing angle), the faulted line is cleared
by the opening of CB1.
• System once again becomes healthy and transmits power Pe, i.e., operating pt shifts to ‘d’.
• The rotor now decelerates and decelerating area A2 begins while operating pt moves along ‘de’.
• Both the areas are equal and system is stable.
System finally settles down to steady state pt ‘a’.
Now say clearing of faulty line is delayed,
A1 increases and so does δ1 to find A1=A2 till
as shown in Fig.
For a clearing time (or angle) larger than this
value, A2<A1, and system would be unstable.

 max
1
The maximum allowable value of the clearing time and angle for the system to remain
stable are known as critical clearing time and critical clearing angle respectively.


 0
max 

0
maxsin
P
Pm 
   





0
1
0
0 


  cr
m
m P
P
A d
cr
     







 cr
m
cr
m P
P
P
P
A d
cr





  max
max
max
max
2 cos
cos
max
sin
  


 max
0
max
max
cos
cos 


P
Pm
cr
For the system to be stable, A1=A2, which gives
(1)
(2)
(3)
where, is critical clearing angle.
 cr
 
 




 0
0
0
1
cos
sin
2
cos 

 
cr
p
t
d
m
H
f
d



2
2


 0
2
2

 t
p
H
f
m


 0
2
2

 t
p
H
f
cr
m
cr
 







 

p
f
H
t
m
cr
cr


 0
2 2
1
0

pe
Substituting Eq.(1) and (2) in (3), we get:
During the period of fault is persisting, the swing eq. is
Integrating twice
where, tcr is critical clearing time.
(4)
(5)
(6)
From eq. (5),

2Stability-2.pptx

  • 1.
    THE STABILITY PROBLEM •Since transient stability studies involve large disturbances, linearization of the system equations is not permitted. Transient stability is sometimes studied on a first-swing rather than a multiswing basis. First-swing transient stability studies use a reasonably simple generator model consisting of the transient internal voltage E; behind transient reactance 𝑋𝑑; in such studies the excitation systems and turbine-governing control systems of the generating units are not represented. • Usually, the time period under study is the first second following a system fault or other large disturbance. If the machines of the system are found to remain essentially in synchronism within the first second, the system is regarded as being transiently stable. • In all stability studies the objective is to determine whether or not the rotors of the machines being perturbed return to constant speed operation.
  • 2.
    EQUAL AREA CRITERIONFOR STABILITY ANALYSIS • We have seen the swing equation which is non-linear in nature. Formal solutions of such equations cannot be found explicitly. • To solve such equations, numerical computer methods are required. • Equal area criterion method can be used to analyze the stability of two-machine system without solving swing equation.
  • 3.
    EQUAL AREA CRITERIONFOR ONE MACHINE SWINGING WITH RESPECT TO AN INFINITE BUS Equal area criterion is useful means of determining whether two-machine system is stable Assumptions: • Input to generator is constant Input to generator is controlled by governor action which is slow process due to mechanical actions of valve closing/opening. • Constant voltage behind transient reactance With excitation system, the regulator and exciter actions are fast enough but too slow to have appreciable effect during first swing. • No damping (damping winding of synchronous generator is ignored)
  • 4.
    u i a 2 2 P P P dt d M      Theswing equation of finite machine is given in equation (1) M : Inertia constant of the machine : Angular displacement of machine with respect to infinite bus  Multiply each member of the equation (1) by (2)  (1) dt d M 2  dt d M P 2 dt d dt d 2 a 2 2    
  • 5.
    dt d M P 2 dt d dt d a 2                  (3) (4) (5) (6) Multiplyingby “dt” and integrating each side of eq.(3)   d M P dt d d a 2 2                    d P M 2 dt d 0 a 2              d P M 2 dt d 0 a          ' ω’– Angular velocity
  • 6.
     “When themachine comes to rest with respect to infinite bus” – a condition which may be taken to indicate stability 0  '  (7) (8) (9) 0 d P m 0 a      Eq. (8) is interpreted graphically in Fig.1 u i a P P P   a P i P u P : Accelerating power of the synchronous machine. : Mechanical power of the synchronous machine. : Electrical power of the synchronous machine.
  • 7.
    Fig.1 The equalarea criterion for stability  The curve of Vs is horizontal line as is assumed to be constant.  The curve Vs is a sinusoidal.  For system to be stable, should be equal to = For : > : <  The areas and may be interpreted in terms of kinetic energy. i P  i P u P  1 A 2 A 1 A 2 A 1 A i P u P 2 A i P u P 1 A 2 A  When Pa is +ve, rotor will accelerate represented by Area-A1.  When the accelerating power becomes negative and the machine is retarded, the kinetic energy is given up, the machine has returned to its original speed. This occurs when A1 = A2 A1 and A2 are the areas under the curve
  • 8.
    Transient Stability Limit •Say there is sustained line fault (it is a condition, assume that CB did not open the lines and fault persisted) on one of the double ckt line. An Infinite bus is a source of constant voltage & frequency and not affected by amount of current drawn from it. A large power system network often may be regarded as infinite bus.
  • 9.
    • The initialdisplacement angle is δ0 and initial relative angular velocity is zero. • When the fault is applied, the operating point drops to ‘b’, directly below ‘a’ on the fault output curve. • The displacement angle remain δ0 at the instant of fault application. Pmax1 Pmax2 P Pi Pu (before fault) = (Eg – E∞ ) sin (δ) / (X/2) Pu (after fault) = (Eg – E∞ ) sin (δ) / (X) Pu before fault Pu after fault
  • 10.
    • There isan accelerating power, Pa = Pi-Pu, represented by length ab. • As a consequences the generator is accelerated, the displacement angle increases and the operating point moves along the curve from ‘b’ toward ‘c’. • As it does so, the accelerating power and the acceleration decrease, becoming zero at ‘c’. • At this point, however the speed of the generator is greater than that of the infinite bus and the angle δ0 continues to increase. • As it does, Pa becomes negative, representing retarding power. Pmax1 Pmax2 P Pi • The speed diminishes (as compared to infinite bus) until at point ‘d’, determined by the equality of area A1= abc and area A2 = cde, it becomes zero.
  • 11.
    • Here themaximum angular displacement δm is reached. There is still a retarding torque; therefore speed of generator continues to decrease, becoming less than that of infinite bus. • The displacement angle δ decrease, and the operating point moves from ‘d’ through ‘c’ toward ‘b’. This system is stable . • Operating point would continue to oscillate between ‘b’ and ‘d’, if there were no damping. • Actually the oscillations diminish, and the operating point finally becomes established at ‘c’ due to inherent damping. Pmax1 Pmax2 P Pi
  • 12.
    • This isthe critical condition in which both the speed and acceleration become zero simultaneously at angle δm. • The value of Pi which makes this condition occur is the transient stability limit. • If initial load on generator were increased, A1, A2 and δm would increase. • Maximum value of Pi could have without machine going ‘out of step’ during fault would be the value which makes δm occur at intersection of Pi and fault output curve. Pmax2 Pi  m
  • 13.
    Note that thesystem will remain stable even though the rotor may oscillate beyond δ=900, so long as the equal area criterion is met. The condition of δ=900 is meant for the use in steady state stability only and does not apply to the transient stability case. • Any further increase in Pm1 means that area available for A2 is less than A1, so that the excess kinetic energy causes δ to increase beyond point ‘c’ and accelerating power becoming more makes the system unstable. Let’s look at another diagram Note: Earlier slides, I used symbol of Pi for mechanical input, now I will use Pm Earlier slides, I used symbol of Pu for electrical output, now I will use Pe
  • 14.
    Effect of clearingtime on stability If a three-phase fault occurs at the point ‘F’ of the outgoing radial line, the electrical output of the generator instantly reduces to zero i.e., Pe = 0. F CB1 CB2
  • 15.
    • The accelerationarea A1 begins to increase and so does the displacement angle where the operating point moves along bc . • At time tc (clearing time) corresponding to an angle δc (clearing angle), the faulted line is cleared by the opening of CB1. • System once again becomes healthy and transmits power Pe, i.e., operating pt shifts to ‘d’. • The rotor now decelerates and decelerating area A2 begins while operating pt moves along ‘de’. • Both the areas are equal and system is stable. System finally settles down to steady state pt ‘a’.
  • 16.
    Now say clearingof faulty line is delayed, A1 increases and so does δ1 to find A1=A2 till as shown in Fig. For a clearing time (or angle) larger than this value, A2<A1, and system would be unstable.   max 1 The maximum allowable value of the clearing time and angle for the system to remain stable are known as critical clearing time and critical clearing angle respectively.
  • 17.
       0 max   0 maxsin P Pm          0 1 0 0      cr m m P P A d cr               cr m cr m P P P P A d cr        max max max max 2 cos cos max sin       max 0 max max cos cos    P Pm cr For the system to be stable, A1=A2, which gives (1) (2) (3) where, is critical clearing angle.  cr
  • 18.
            0 0 0 1 cos sin 2 cos     cr p t d m H f d    2 2    0 2 2   t p H f m    0 2 2   t p H f cr m cr             p f H t m cr cr    0 2 2 1 0  pe Substituting Eq.(1) and (2) in (3), we get: During the period of fault is persisting, the swing eq. is Integrating twice where, tcr is critical clearing time. (4) (5) (6) From eq. (5),