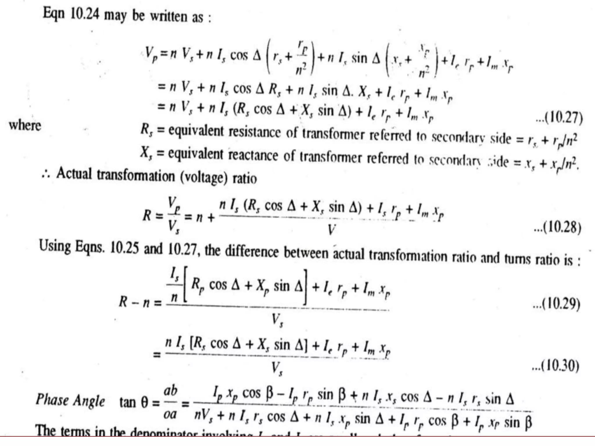
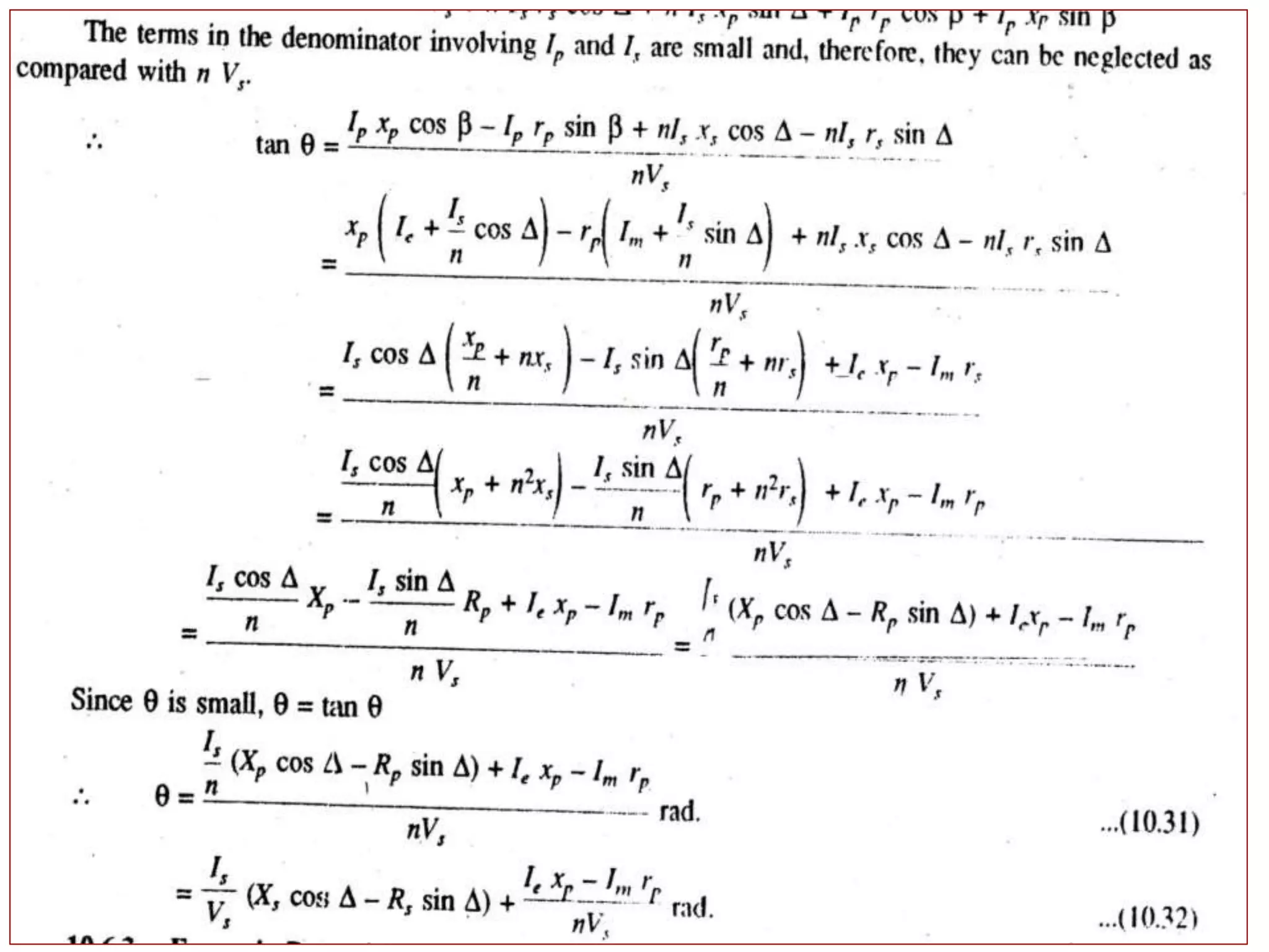
INSTRUMENT
TRANSFORMERS
Uses and Definitions
• Used in ac system for measurement of current,
voltage, power and energy
• Used in measuring pf, frequency and indication of
synchronism
• Transformer used for measurement purpose is called
“Instrument Transformers”
• Used for measurement of current “Current
Transformer” “C.T.”
• Used for measurement of voltage “Potential
Transformer” “P.T.”
Use of Instrument Transformer
• Measurement of High voltages and Currents
• C.T. Primary winding is connected with the
current being measured and secondary winding to
the ammeter. CT steps down the current.
• P.T. Primary winding is connected with the
voltage being measured and secondary winding to
the voltmeter. PT steps down the Voltage.
• Extension of range can be done by the use of shunt
for ammeter and multipliers for voltage
measurement in d.c measurement. This method is
suitable only for small values of current and voltage
Disadvantages of Shunt
• It is difficult to achieve accuracy using shunt in ac
• The method of using shunts is limited to capacities of
few hundred amperes since power consumption by
shunts would be large
• The problem of insulation of instrument and shunt is
quite difficult if measurements are done at high
voltages
• The measuring circuit is not isolated electrically from
the power circuit
Disadvantages of Multipliers
• The power consumption is large as the
voltage increases
• Construction of multiplier is very costly and
complicated for high voltage to protect
leakage current
• The measuring circuit is not electrically
isolated from the power circuit
Adv of Instrument Transformers
• When instruments are used in conjunction with Instrument
Transformers (IT) their reading do not depend upon constants
(R, L,C) as in the case of shunt and multipliers. IT produce
same reading regardless of constants
• Very cheap moderate rating may be used to measure large
currents at high voltages (1000A/5A OR 66kv/100 to 120v)
• With the standardization of CT and PT secondary winding
ratings it is possible to standardize instruments around these
ratings. Therefore great reduction of the cost of IT and
Instruments
• The measurement circuit is isolated from the main circuit
• Replacement of IT is easy on account of the standardization of
the ratings
ADVANTAGES OF IT
• Instruments of moderate size are used for metering
• Instruments and meters can be standardized so that
there is saving in overall costs. Replacement of damaged
instrument is easy
• Single range instruments can be used to cover large
current or voltage ranges when used with suitable multi-
range IT or with several single range IT
• The metering circuit is isolated from the high voltage
power circuit. Isolation and safety is assured
• There is low power consumption in metering circuit
• Several instrument can be operated from the single IT
RATIOS OF IT
phasor
Ratio R
sec phasor
winding current
; a C.T.
secondary winding current
winding voltage
; a P.T.
secondary winding voltage
min Ratio Kn
primary
Transformation
ondary
primary
For
primary
For
rated pri
No al



winding current
; C.T.
rated secondary winding current
winding voltage
; P.T.
rated secondary winding voltage
mary
For
rated primary
For
No of turns of secondary winding
Ratio=n ; C.T.
No of turns of primary winding
No of turns of primary winding
; P.T.
No of turns of secondary winding
Ration Correcton Fac
Turns For
For


tor (RCF). RCF of a transfromer is the
transformation ratio divided by nominal ratio
Transformation ratio=Ratio correction factor x Nominal ratio
R=RCF x K ; the ratio marked on tfr is the Nominal Ratn io
RATIOS OF IT
Burden of IT
• It is convenient to express load across the secondary wending
terminals as the output in volt-amp at the rated secondary
winding voltage. The rated burden is the volt-amp loading
which is permissible without errors exceeding the limits for the
particular class of accuracy.
• The total secondary winding burden
2
2
(secondary winding induced voltage)
( of secondary winding ckt and secondary winding)
(secondary winding current) ( of secondary-
winding ckt and secondary winding)
win
impedance
x impedance
Secondary

2
2
ding burden due to load
(secondary winding terminal voltage)
=
( of load on secondary winding)
(secondary winding current) ( of load-
on secondary winding)
impedance
x impedance
CURRENT TRANSFORMER
• Primary winding consists of few turns and is
connected in series with the line carrying
current
• Secondary winding has larger no of turns
and connected with the instruments
• CT operates its secondary winding nearly
under short circuit conditions
Relationship in a CT
of secondary winding turns
Ratio=
of Primary winding turns
Re tan of the secondary winding
Re tan of the secondary winding
Re tan of the external burden (resitance of meter
s
s
e
No
n Turn
No
r sis ce
x ac ce
r sis ce



 , Curent coil, leads etc)
Re tan of the external burden (reactiance of meter, Curent coil, leads etc)
E Pr winding induced voltage;E winding induced voltage
of Primary windin
e
p s
P
x ac ce
imary Secondary
N No

 
 g turns; of secondary winding turns
of secondary winding terminals,
s
s
N No
V Voltage


I secondary winding current; I Primary winding current
=phase angel of transformer; Working frux of transformer
between secondary winding induced voltage and secondary winding current
s p
Angle
pha


 


1
1
0
angle of total burden incl inpedance of secondary winding=tan
=phase angle of scondary winding load ckt/External burden=tan
current; I magnetizing component of exiting
s e
s e
e
e
m
x x
se
r r
x
r
I exiting





 current
I loss component of exiting current; =angle between exing current and working fluxe 
Relationship in a CT
Transformation Ratio
0
0
0
0 0
0
0 0
2 2 2
2 2 2
0 0
2 2 2 2
0 0 0
90 ; ; ; and oc=
bc= sin(90 ) cos( );
cos(90 ) sin( )
, (oc) (oa+ab) (bc)
( ) [ sin( )] [ cos( )]
( ) sin ( ) 2 sin( ) c
s p
p s
s s
bac ac I oa nI I
I I
ab I I
Now
I nI I I
nI I nI I I
 
   
   
   
   
     
    
    
 
     
      2
2 2
0 0
2 2 1/2
0 0
os ( )
( ) 2 sin( )
[( ) 2 sin( ) ]
s s
p s s
nI nI I I
I nI nI I I
 
 
 

   
    
2 2 1/2
0 0
0 0
2 2 2 1/2
0 0
0
[( ) 2 sin( ) ]
Ratio=R=
a well designed CT ; Usually is less than 1 % of
[( ) 2 sin( ) sin ( )]
R
sin( )
p s s
s s
s p
p s
p s s
s s
s
s
I nI nI I I
Transformation
I I
In I nI I I
I nI
I nI nI I I
I I
nI I
n
I
 
   
 
  
 
 
   
  
 
  
=
0
0
0 0
sin( )
sin cos
(sin cos cos sin )
, cos and sin
s
m e
s s
m e
I
I
I I I
R n n
I I
Where I I I I
 
 
   
 


     
 
Transformation Ratio
Phase Angle
• The angle by which the secondary current phasor
when reversed, differs in phase from the primary
current, is known as the phase angle of the
transformer
• This angle is to be taken +ve if the secondary current
reversed leads the primary current. The angle is taken
–ve if secondary current lags behind the primary
current
Phase Angle
0
0
0
0
0
angle between I reversed and I is . therfore the phse angle
I cos( )
tan
I I sin( )
I cos( )
is very small we can write,
I I sin( )
I is very small compa
s p
s
s
The
bc bc
ob oa ab n
As rad
n
 
 

 
 
 
 

   
  


 
0
0 0 0
red to I , we can neglect the term I sin( )
I cos( ) I cos cos I sin sin )
I I
I cos I sin ) I cos I sin )180
deg
I I
s
s s
m e m e
s s
n
rad
n n
rad x ree
n n
 
     

   


 
  
 
 
Error in CT
• The value of transformation ration is not equal to the turns
ratio. The value is not constant; depends upon the magnetizing
and the loss component of the exciting current, the secondary
winding load current and its pf.
• The secondary winding current is not a constant fraction of the
primary winding current but depends upon the above factors
• It is necessary that the phase of the secondary winding current
shall be displaced by exactly 1800 from the primary winding
current. The phase difference is different than that of 1800 by
theta
• Hence two types of error; one due to actual transformation ratio
being different from the turns ratio and the other due to
secondary winding current not being 180 out of phase with the
primary winding current
Ratio Error & Phase Angle Error
min ratio-Actual ratio
Percentage ratio errror= 100
Actual ratio
100
I cos I sin )180
angle error. Phase Angle = deg
I
Formula for Error
n
m e
s
No al
x
K R
x
R
Phase x ree
n
Approximate
 





: The usual instrument burden is largely
resistive with some inductive and is positive and small
Hence sin 0 and cos 1
I180
= deg
I
I180
I I =n(1 ) And = deg
I
e m
s s
e e m
p s
p p p
I
R n x ree
I n
nI I
As n R n x
I I

 




 
  
     ree
Characteristic of CT
Effect of PF of Secondary Winding Burden on Error
Ratio Error: For inductive burdens the secondary
winding current Is lags the secondary induced voltage Es
so, δ is positive. Under this condition the actual
transformation ratio is always greater than the turns ratio
For sufficiently capacitive Is leads Es and δ is negative; the
actual Transformation ratio decreases becoming less than
the turn ratio for values of δ approaches -900
• Phase Angle: For inductive burden, the
phase angle θ is positive for small values of δ
(high pf) but becomes negative as the secondary
burden becomes more inductive and δ approaches
900
• For negative values of δ, sufficiently capacitive
burden θ is always positive
• It is assumed that the magnitude of secondary
impedance is constant
Characteristic of CT
Effect of Change of Primary
Winding Current
• If the primary winding current changes the
secondary winding current changes
proportionately. At low values of current Ip Is;
the current Im and loss current Ie are a greater
proportion of and the errors are greater.
• As the current Ip increases , there is an increase
in IS and there is a decrease in ratio error and
phase angel
• An increase in secondary winding circuits
burden impedance means an increase in volt
amp rating. This necessitates and increase in
the secondary winding induced voltage which
can be generated by an increased flux and flux
density. Therefore both the magnetization
current increased
Effect of Change of Secondary
Winding Circuit Burden
• The effect of increase in frequency will result
in proportionate decrees in flux density. Thus
the effect of increase in frequency is similar to
that produced by decrease in impedance of
secondary winding burden
• A current transformer is seldom used at a
frequency which is very different from the one
or which is designed and consideration of this
effect is not very important
Effect of Change of Frequency
Causes of Error in CT
• There is some exiting mmf required by the primary
winding to produce flux and the transformer draws a
magnetizing current
• The transformer input must have a component which
supplies the core losses (eddy current and hysterisis) and
I2R losses
• The flux density in the core is not a linear function of the
magnetizing force
• There is always a magnetic leakage and consequently the
primary flux linkages are not equal to the secondary flux
linkages
Effect of Change of Primary
Winding Current
Means to Reduce Error in CT
• There are some design feature which helps to
minimize the errors
– Core
– Primary winding current ratings
– Leakage reactance
– Turns compensation
– Use of shunts
– Wilson compensation method
– Two stage design
Construction of CT
• Wound Type A CT having a primary
winding of more than one full turn wounded
on core
• Bar Type A CT in which the primary
winding consists of a bar of suitable size and
material forming an integral part of
transformer
CLAMP ON AMMETERS
• A CT with a single conductor is used in
combination with a bridge rectifier and a dc
milli-ammeter to produce a very useful service
meter
• By changing the shunt resistance of the milli-
ammeter circuit ranges from 0-5A to 0-600A
• The same milli-ammeter and rectifier are used
with two external binding posts and a range
selecting switch for a multi-range ac voltmeter
Effect of Secondary Open Ckt
• CT always use the secondary winding closed
through ammeters wattmeter current coils or
relay.
PRECAUTION
• NEVER OPEN THE SECONDARY
WINDING CKT OF A CT WHILE ITS
PRIMARY WINDING IS ENERGISED
• if the secondary is open, the primary mmf
remains the same but the opposing secondary
mmf reduces to zero. The large mmf produce
HIGH VOLTAGE at the secondary; destroy
insulation
POTENTIAL TRANSFORMER
Connection of CT and PT
Potential Transformer
• PT is used to operate voltmeters, the potential
coils of wattcmeters etc
• The primary winding is connected across the
line voltage to be measured and the voltage
circuit is connected across the secondary
winding
• The design of PT is similar to the power
transformer but the loading of a PT is always
small
Difference Between CT & PT
• PT may be considered as ‘parallel’ transformer with its
secondary operating nearly under open circuit; whereas CT
may be a ‘series’ under virtual short circuit. The secondary of
PT can be open circuit without any damage
• The primary winding current in a CT is independent of the
secondary winding circuit conditions while the primary winding
current in a PT certainly depends upon the secondary circuit
burden
• In a PT, full line voltage is impressed upon its terminal
whereas a CT is connected in series with one line and a small
voltage exists across its terminals. The CT caries the full line
currents
• under normal operation the line voltage is nearly constant and
the flux density and the exiting current of a PT varies only over
a restricted range whereas the primary winding current and
excitation of a CT vary over wide limits in normal operation
RELATIONSHIPS IN A PT
• The power loading of PT is very small and
consequently the exiting current is of the same
order as the secondary winding current while
in a PT the exiting current is very small
fraction of secondary winding load current
• The equivalent circuit and the vector diagram
Let,
0
flux; I = magnetizing component of no load current
I = iron loss component of no load (exiting) current
I = no load (exiting) current
E = Secondary winding induced voltage; V = Secondary windin
m
e
s s
working 
g terminal voltage
= Primary winding turns; = Secondary winding turns
= Secondary winding currents
= Resistance of secondary winding; x = Reactance of secondary winding
= Resistance of seconda
P s
s
s s
e
N N
I
r
r ry load ckt; x = Reactance of secondary load ckt
angle of secondary load ckt
E =Primary winding induced voltage; I = primary winding current;
= Resistance of primary winding; x = Reactance of
e
p p
p p
phase
r
 
primary winding
Turns ratio n=N /N ; n=E /Ep s p s
Ratio (voltage) Error
ERRORS IN PT
Ratio (voltage) Error
• The actual ratio of transformation varies
with operating conditions and the error in
secondary voltage may be defined;
• percentage ration error=[(Kn-R)/R]x100
• In an ideal PT there should not be any phase
difference between primary winding voltage and
the secondary winding voltage reversed. In actual
transformer there exists phase angle error between
VP and Vs reversed.
ERRORS IN PT
Phase Angle Error
Reduction of Error in PT
• Considerable improvement in the
performance can be made by reducing the
values of magnetising currents and requires
short magnetic path, good quality core
material, low flux density in core and suitable
precautions in assembling and interleaving
the core
Reduction of Magnetizing and Loss Components
Reduction of Resistance and
Leakage Reactance's
• Winding resistance can be minimized by using thick
conductors an by adopting the smallest length of
mean turn
• The leakage reactance depends upon the magnitude of
primary and secondary winding leakage fluxes and
should keep the two windings as close as possible.
• The flux density in the core should be kept as high as
possible
• High flux density means a high flux in the core and so
the windings have lesser number of turns. A smaller
no of turns naturally results in smaller leakage
reactance of the windings
Turns Compensations
• At no load theactual ratio exceeds the turns ratio by an
amount (Ierp+Imxp)/Vs. With and inductive or resistive
load there is further increase in ratio because of voltage
drops in resistance and leakage reactance of the
windings
• If the turns ration is equal to the nominal ratio, the
actual ratio differs from the nominal ratio and thus
there are errors
• The solution lies in the turns ratio must be less than
nominal ratio. This can be done by either reducing the
number of primary winding turns of increasing the
mumber of secondary winding turns
Construction of PT
The design and construction of PT is basically the
same as those of power transformer with a few
major differences:
PT has larger core and conductor sizes. Economic
design may lead to large ratio and phase angle
errors which are undesirable
The output of PT is always small and the size is
quite large, no thermal problem.
Loading of PT is limited by accuracy
considerations while in a power transformer the
load limitation is on heating basis.
• Core. The core may be core or shell type. Shell type
is for low voltage. Laminations should be such that
the effect of large air gaps at the joint may be
minimized
• Windings. The primary and the secondary
windings are co-axial to reduce leakage reactance to
minimum. The primary winding may be a single coil
in low voltage transformers but must be sib-divided
into a number of short coils in high voltage
transformer in order to reduce the insulation needed
between coil layers
Construction of PT
• Insulations cotton tape and varnished cambric
are used as insulation for coil construction. At low
voltages the transformers are filled without
compound but PT voltage above 7 KV are oil
immersed
• Bushings oil filled bushings are used for oil
filed PT as this minimize the overall size of the
transformer. Two bushings are used when neither
side of the line is at ground potential
Construction of PT
High Voltage PT
• Conventional type PT used in high voltages of
100kv and above, are very large in size and
costly to build because of insulation requirement
• Recent development in design and construction
has reduced the size considerably. The
eliminations of bushing reduces the size and cost
of transformer. Designs are intended to measure
line to ground voltages in 3 phase system:
• The design employ:
• Insulated Casing The transformer is built entirely
in an oiled filed high voltage insulator
• Moulded Rubber PT Moulded rubber insulated
transformer has replace the insulating oil and
porcelain bushings and is less expensive
• Cascaded Transformer The voltages is among a
number of transformers. In this way insulation reduces
to the lower voltages and saves costs and spaces
Construction of PT
Characteristics of PT
Increase in secondary burden, the secondary current
increases i.e. primary current increase; for a given
value of VP the value of Vs decreases and the actual
ration increases as the burden increases
The ratio error increases becoming more negative
with increase in burden. This variation of ratio error
is almost linear with change in burden
Vp is more advanced in phase because of increased
voltage drops with increase in secondary burden. The
phasor Vs is retarded in phase owing t increase in
secondary voltage drop; thus the phase angle between
VP and Vsreversed increases, becoming more negative
Effect of Secondary Current or VA
• If the pf of secondary circuit burden is
reduced, Δ increased and IP shifted towards I0
• The voltages VP and VS nearly comes in phase
with EP and ES ; since the voltage drop is
almost constant.
• The transformation ratio increases as the pf
of secondary burden reduces
Characteristics of PT
Effect PF of Secondary Burden
Effect of Frequency
• The flux is inversely proportional to frequency with
constant voltage. Increase in frequency reduces the
flux and magnetization current decreases and the
voltage ratio decrease
• As regards to phase angle error, both effects due to
increase in frequency advance VP and the increase in
secondary reactance retards Vs and phase angle is
increased as the frequency increases
Effect of Primary Voltage
• There is no wide variation of supply
voltage to which the primary winding of
the PT is connected. Therefore the study
of variation of ratio and phase angle
errors with supply voltage are of no
importance
Polarity of CT & PT
• An understanding of polarity is essential to correctly construct three-
phase transformer banks and to properly parallel single or three-phase
transformers with existing electrical systems. A knowledge of polarity
is also required to connect potential and current transformers to power
metering devices and protective relays.
• The basic theory of additive and subtractive polarity is the underlying
principle used in step voltage regulators where the series winding of
an autotransformer is connected to either buck or boost the applied
line voltage.
• Transformer Polarity refers to the relative direction of the induced
voltages between the high voltage terminals and the low voltage
terminals. During the AC half-cycle when the applied voltage (or
current in the case of a current transformer) is from H1 to H2 the
secondary induced voltage direction will be from X1 to X2. In
practice, Polarity refers to the way the leads are brought out of the
transformer.
The Importance of Polarity
• Bushing Arrangement The position of the High Voltage
Bushings is standardized on all power and instrument
transformers. The rule is this: when facing the low voltage
bushings, the Primary Bushing H1 is always on the left-hand side
and the Primary Bushing H2 is on the right-hand side (if the
transformer is a three-phase unit, H3 will be to the right of H2).
• Distribution Transformers are Additive Polarity and the H1 and
X1 bushings are physically placed diagonally opposite each
other. Since H1 is always on the left, X1 will be on the right-hand
side of a distribution transformer. This standard was developed
very early in the development of electrical distribution systems
and has been adhered to in order to prevent confusion in the
field when transformers need to be replaced or paralleled with
existing equipment.
• Instrument Transformers (PT’s and CT’s) and large substation
transformers are Subtractive Polarity, so the H1 and X1
Bushings will be on the same side of the transformer. This
standard was later adopted to make it easier to read electrical
schematics and construct phasor diagrams.
Polarity of CT & PT
Polarity of CT & PT
POLARITY TEST
• In situations where the secondary bushing identification is not available or
when a transformer has been rewound, it may be necessary to determine the
transformer polarity by test. The following procedure can be used.
• The H1 (left-hand) primary bushing and the left-hand secondary bushing
are temporarily jumpered together and a test voltage is applied to the
transformer primary. The resultant voltage is measured between the right-
hand bushings.
• If the measured voltage is greater than the applied voltage, the transformer
is Additive Polarity because the polarity is such that the secondary voltage is
being added to the applied primary voltage.
• If, however, the measured voltage across the right-hand bushings is less than
the applied primary voltage, the transformer is Subtractive Polarity.
• Note: For safety and to avoid the possibility of damaging the secondary
insulation, the test voltage applied to the primary should be at a reduced
voltage and should not exceed the rated secondary voltage.
POLARITY TEST
• Polarity Marks To insure correct wiring, polarity marks are
shown on Instrument Connection Diagrams, Control Schematics,
and Three-Line Power Diagrams. The polarity mark is usually
shown as a round dot, on or adjacent to, the H1 and X1 terminals
of PT’s and CT’s. Sometimes alternate marking, in the form of a
square dot, slash mark ( / ), or plus/minus sign ( + ) will be used
to identify the polarity terminals on electrical drawings.
• Instrument transformers may also have the terminals identified
with polarity marks as shown in the illustration of the 300:5 CT
on Sheet 3. If instrument transformers do not have polarity
marks on them, it is understood that the H1 (primary) and the
X1 (secondary) terminals are polarity.
• Meters, relays, and other equipment which require proper
polarity connections may also have polarity marks, but usually
this information must be obtained from the Instrument
Connection Diagram.
POLARITY MARKING
POLARITY MARKING
• The PT, CT, and instrument polarity marks are
shown by the red dots on the above drawing. (Red
dots were used in this example only for clarity.)
• Current elements of the instruments are connected in
series, voltage inputs are connected in parallel.
• Polarity is not a consideration on single-element
devices such as an ammeter or voltmeter, but is
essential for proper operation of power measuring
devices, and for directional or differential protective
relays.
POLARITY MARKING
Current Flow Analysis
• In analyzing the current flow in a system utilizing CT’s the
following observation can be made:
• When current flows in the CT primary from the H1 lead
(polarity ± ) to the non- polarity H2 lead, current will be forced
out the secondary X1 (polarity ± ) lead, through the burden
(load), and return to the secondary X2 non-polarity lead. The
next half-cycle the current will reverse, but for the purpose of
analysis and for constructing phasor diagrams, only the above
indicated one-half cycle is analyzed.
Electrical Drawing Conventions
• The polarity marking on electrical drawings may be made in
several different ways. The three most common schematic
conventions are shown below. The drawing symbol for meters
and relays installed in a draw-out case that automatically short
the CT secondary is shown in the drawing at the lower right.
Current Transformer and Potential Transformer

Current Transformer and Potential Transformer

  • 1.
  • 2.
    Uses and Definitions •Used in ac system for measurement of current, voltage, power and energy • Used in measuring pf, frequency and indication of synchronism • Transformer used for measurement purpose is called “Instrument Transformers” • Used for measurement of current “Current Transformer” “C.T.” • Used for measurement of voltage “Potential Transformer” “P.T.”
  • 3.
    Use of InstrumentTransformer • Measurement of High voltages and Currents • C.T. Primary winding is connected with the current being measured and secondary winding to the ammeter. CT steps down the current. • P.T. Primary winding is connected with the voltage being measured and secondary winding to the voltmeter. PT steps down the Voltage. • Extension of range can be done by the use of shunt for ammeter and multipliers for voltage measurement in d.c measurement. This method is suitable only for small values of current and voltage
  • 4.
    Disadvantages of Shunt •It is difficult to achieve accuracy using shunt in ac • The method of using shunts is limited to capacities of few hundred amperes since power consumption by shunts would be large • The problem of insulation of instrument and shunt is quite difficult if measurements are done at high voltages • The measuring circuit is not isolated electrically from the power circuit
  • 5.
    Disadvantages of Multipliers •The power consumption is large as the voltage increases • Construction of multiplier is very costly and complicated for high voltage to protect leakage current • The measuring circuit is not electrically isolated from the power circuit
  • 6.
    Adv of InstrumentTransformers • When instruments are used in conjunction with Instrument Transformers (IT) their reading do not depend upon constants (R, L,C) as in the case of shunt and multipliers. IT produce same reading regardless of constants • Very cheap moderate rating may be used to measure large currents at high voltages (1000A/5A OR 66kv/100 to 120v) • With the standardization of CT and PT secondary winding ratings it is possible to standardize instruments around these ratings. Therefore great reduction of the cost of IT and Instruments • The measurement circuit is isolated from the main circuit • Replacement of IT is easy on account of the standardization of the ratings
  • 7.
    ADVANTAGES OF IT •Instruments of moderate size are used for metering • Instruments and meters can be standardized so that there is saving in overall costs. Replacement of damaged instrument is easy • Single range instruments can be used to cover large current or voltage ranges when used with suitable multi- range IT or with several single range IT • The metering circuit is isolated from the high voltage power circuit. Isolation and safety is assured • There is low power consumption in metering circuit • Several instrument can be operated from the single IT
  • 8.
    RATIOS OF IT phasor RatioR sec phasor winding current ; a C.T. secondary winding current winding voltage ; a P.T. secondary winding voltage min Ratio Kn primary Transformation ondary primary For primary For rated pri No al    winding current ; C.T. rated secondary winding current winding voltage ; P.T. rated secondary winding voltage mary For rated primary For
  • 9.
    No of turnsof secondary winding Ratio=n ; C.T. No of turns of primary winding No of turns of primary winding ; P.T. No of turns of secondary winding Ration Correcton Fac Turns For For   tor (RCF). RCF of a transfromer is the transformation ratio divided by nominal ratio Transformation ratio=Ratio correction factor x Nominal ratio R=RCF x K ; the ratio marked on tfr is the Nominal Ratn io RATIOS OF IT
  • 10.
    Burden of IT •It is convenient to express load across the secondary wending terminals as the output in volt-amp at the rated secondary winding voltage. The rated burden is the volt-amp loading which is permissible without errors exceeding the limits for the particular class of accuracy. • The total secondary winding burden 2 2 (secondary winding induced voltage) ( of secondary winding ckt and secondary winding) (secondary winding current) ( of secondary- winding ckt and secondary winding) win impedance x impedance Secondary  2 2 ding burden due to load (secondary winding terminal voltage) = ( of load on secondary winding) (secondary winding current) ( of load- on secondary winding) impedance x impedance
  • 11.
    CURRENT TRANSFORMER • Primarywinding consists of few turns and is connected in series with the line carrying current • Secondary winding has larger no of turns and connected with the instruments • CT operates its secondary winding nearly under short circuit conditions
  • 12.
    Relationship in aCT of secondary winding turns Ratio= of Primary winding turns Re tan of the secondary winding Re tan of the secondary winding Re tan of the external burden (resitance of meter s s e No n Turn No r sis ce x ac ce r sis ce     , Curent coil, leads etc) Re tan of the external burden (reactiance of meter, Curent coil, leads etc) E Pr winding induced voltage;E winding induced voltage of Primary windin e p s P x ac ce imary Secondary N No     g turns; of secondary winding turns of secondary winding terminals, s s N No V Voltage  
  • 13.
    I secondary windingcurrent; I Primary winding current =phase angel of transformer; Working frux of transformer between secondary winding induced voltage and secondary winding current s p Angle pha       1 1 0 angle of total burden incl inpedance of secondary winding=tan =phase angle of scondary winding load ckt/External burden=tan current; I magnetizing component of exiting s e s e e e m x x se r r x r I exiting       current I loss component of exiting current; =angle between exing current and working fluxe  Relationship in a CT
  • 14.
    Transformation Ratio 0 0 0 0 0 0 00 2 2 2 2 2 2 0 0 2 2 2 2 0 0 0 90 ; ; ; and oc= bc= sin(90 ) cos( ); cos(90 ) sin( ) , (oc) (oa+ab) (bc) ( ) [ sin( )] [ cos( )] ( ) sin ( ) 2 sin( ) c s p p s s s bac ac I oa nI I I I ab I I Now I nI I I nI I nI I I                                                 2 2 2 0 0 2 2 1/2 0 0 os ( ) ( ) 2 sin( ) [( ) 2 sin( ) ] s s p s s nI nI I I I nI nI I I                
  • 15.
    2 2 1/2 00 0 0 2 2 2 1/2 0 0 0 [( ) 2 sin( ) ] Ratio=R= a well designed CT ; Usually is less than 1 % of [( ) 2 sin( ) sin ( )] R sin( ) p s s s s s p p s p s s s s s s I nI nI I I Transformation I I In I nI I I I nI I nI nI I I I I nI I n I                            = 0 0 0 0 sin( ) sin cos (sin cos cos sin ) , cos and sin s m e s s m e I I I I I R n n I I Where I I I I                     Transformation Ratio
  • 16.
    Phase Angle • Theangle by which the secondary current phasor when reversed, differs in phase from the primary current, is known as the phase angle of the transformer • This angle is to be taken +ve if the secondary current reversed leads the primary current. The angle is taken –ve if secondary current lags behind the primary current
  • 17.
    Phase Angle 0 0 0 0 0 angle betweenI reversed and I is . therfore the phse angle I cos( ) tan I I sin( ) I cos( ) is very small we can write, I I sin( ) I is very small compa s p s s The bc bc ob oa ab n As rad n                          0 0 0 0 red to I , we can neglect the term I sin( ) I cos( ) I cos cos I sin sin ) I I I cos I sin ) I cos I sin )180 deg I I s s s m e m e s s n rad n n rad x ree n n                        
  • 18.
    Error in CT •The value of transformation ration is not equal to the turns ratio. The value is not constant; depends upon the magnetizing and the loss component of the exciting current, the secondary winding load current and its pf. • The secondary winding current is not a constant fraction of the primary winding current but depends upon the above factors • It is necessary that the phase of the secondary winding current shall be displaced by exactly 1800 from the primary winding current. The phase difference is different than that of 1800 by theta • Hence two types of error; one due to actual transformation ratio being different from the turns ratio and the other due to secondary winding current not being 180 out of phase with the primary winding current
  • 19.
    Ratio Error &Phase Angle Error min ratio-Actual ratio Percentage ratio errror= 100 Actual ratio 100 I cos I sin )180 angle error. Phase Angle = deg I Formula for Error n m e s No al x K R x R Phase x ree n Approximate        : The usual instrument burden is largely resistive with some inductive and is positive and small Hence sin 0 and cos 1 I180 = deg I I180 I I =n(1 ) And = deg I e m s s e e m p s p p p I R n x ree I n nI I As n R n x I I                  ree
  • 20.
    Characteristic of CT Effectof PF of Secondary Winding Burden on Error Ratio Error: For inductive burdens the secondary winding current Is lags the secondary induced voltage Es so, δ is positive. Under this condition the actual transformation ratio is always greater than the turns ratio For sufficiently capacitive Is leads Es and δ is negative; the actual Transformation ratio decreases becoming less than the turn ratio for values of δ approaches -900
  • 21.
    • Phase Angle:For inductive burden, the phase angle θ is positive for small values of δ (high pf) but becomes negative as the secondary burden becomes more inductive and δ approaches 900 • For negative values of δ, sufficiently capacitive burden θ is always positive • It is assumed that the magnitude of secondary impedance is constant Characteristic of CT
  • 22.
    Effect of Changeof Primary Winding Current • If the primary winding current changes the secondary winding current changes proportionately. At low values of current Ip Is; the current Im and loss current Ie are a greater proportion of and the errors are greater. • As the current Ip increases , there is an increase in IS and there is a decrease in ratio error and phase angel
  • 23.
    • An increasein secondary winding circuits burden impedance means an increase in volt amp rating. This necessitates and increase in the secondary winding induced voltage which can be generated by an increased flux and flux density. Therefore both the magnetization current increased Effect of Change of Secondary Winding Circuit Burden
  • 24.
    • The effectof increase in frequency will result in proportionate decrees in flux density. Thus the effect of increase in frequency is similar to that produced by decrease in impedance of secondary winding burden • A current transformer is seldom used at a frequency which is very different from the one or which is designed and consideration of this effect is not very important Effect of Change of Frequency
  • 25.
    Causes of Errorin CT • There is some exiting mmf required by the primary winding to produce flux and the transformer draws a magnetizing current • The transformer input must have a component which supplies the core losses (eddy current and hysterisis) and I2R losses • The flux density in the core is not a linear function of the magnetizing force • There is always a magnetic leakage and consequently the primary flux linkages are not equal to the secondary flux linkages Effect of Change of Primary Winding Current
  • 26.
    Means to ReduceError in CT • There are some design feature which helps to minimize the errors – Core – Primary winding current ratings – Leakage reactance – Turns compensation – Use of shunts – Wilson compensation method – Two stage design
  • 27.
    Construction of CT •Wound Type A CT having a primary winding of more than one full turn wounded on core • Bar Type A CT in which the primary winding consists of a bar of suitable size and material forming an integral part of transformer
  • 28.
    CLAMP ON AMMETERS •A CT with a single conductor is used in combination with a bridge rectifier and a dc milli-ammeter to produce a very useful service meter • By changing the shunt resistance of the milli- ammeter circuit ranges from 0-5A to 0-600A • The same milli-ammeter and rectifier are used with two external binding posts and a range selecting switch for a multi-range ac voltmeter
  • 29.
    Effect of SecondaryOpen Ckt • CT always use the secondary winding closed through ammeters wattmeter current coils or relay. PRECAUTION • NEVER OPEN THE SECONDARY WINDING CKT OF A CT WHILE ITS PRIMARY WINDING IS ENERGISED • if the secondary is open, the primary mmf remains the same but the opposing secondary mmf reduces to zero. The large mmf produce HIGH VOLTAGE at the secondary; destroy insulation
  • 30.
  • 31.
  • 32.
    Potential Transformer • PTis used to operate voltmeters, the potential coils of wattcmeters etc • The primary winding is connected across the line voltage to be measured and the voltage circuit is connected across the secondary winding • The design of PT is similar to the power transformer but the loading of a PT is always small
  • 33.
    Difference Between CT& PT • PT may be considered as ‘parallel’ transformer with its secondary operating nearly under open circuit; whereas CT may be a ‘series’ under virtual short circuit. The secondary of PT can be open circuit without any damage • The primary winding current in a CT is independent of the secondary winding circuit conditions while the primary winding current in a PT certainly depends upon the secondary circuit burden • In a PT, full line voltage is impressed upon its terminal whereas a CT is connected in series with one line and a small voltage exists across its terminals. The CT caries the full line currents • under normal operation the line voltage is nearly constant and the flux density and the exiting current of a PT varies only over a restricted range whereas the primary winding current and excitation of a CT vary over wide limits in normal operation
  • 34.
    RELATIONSHIPS IN APT • The power loading of PT is very small and consequently the exiting current is of the same order as the secondary winding current while in a PT the exiting current is very small fraction of secondary winding load current • The equivalent circuit and the vector diagram
  • 35.
    Let, 0 flux; I =magnetizing component of no load current I = iron loss component of no load (exiting) current I = no load (exiting) current E = Secondary winding induced voltage; V = Secondary windin m e s s working  g terminal voltage = Primary winding turns; = Secondary winding turns = Secondary winding currents = Resistance of secondary winding; x = Reactance of secondary winding = Resistance of seconda P s s s s e N N I r r ry load ckt; x = Reactance of secondary load ckt angle of secondary load ckt E =Primary winding induced voltage; I = primary winding current; = Resistance of primary winding; x = Reactance of e p p p p phase r   primary winding Turns ratio n=N /N ; n=E /Ep s p s
  • 41.
  • 42.
    ERRORS IN PT Ratio(voltage) Error • The actual ratio of transformation varies with operating conditions and the error in secondary voltage may be defined; • percentage ration error=[(Kn-R)/R]x100
  • 43.
    • In anideal PT there should not be any phase difference between primary winding voltage and the secondary winding voltage reversed. In actual transformer there exists phase angle error between VP and Vs reversed. ERRORS IN PT Phase Angle Error
  • 44.
    Reduction of Errorin PT • Considerable improvement in the performance can be made by reducing the values of magnetising currents and requires short magnetic path, good quality core material, low flux density in core and suitable precautions in assembling and interleaving the core Reduction of Magnetizing and Loss Components
  • 45.
    Reduction of Resistanceand Leakage Reactance's • Winding resistance can be minimized by using thick conductors an by adopting the smallest length of mean turn • The leakage reactance depends upon the magnitude of primary and secondary winding leakage fluxes and should keep the two windings as close as possible. • The flux density in the core should be kept as high as possible • High flux density means a high flux in the core and so the windings have lesser number of turns. A smaller no of turns naturally results in smaller leakage reactance of the windings
  • 46.
    Turns Compensations • Atno load theactual ratio exceeds the turns ratio by an amount (Ierp+Imxp)/Vs. With and inductive or resistive load there is further increase in ratio because of voltage drops in resistance and leakage reactance of the windings • If the turns ration is equal to the nominal ratio, the actual ratio differs from the nominal ratio and thus there are errors • The solution lies in the turns ratio must be less than nominal ratio. This can be done by either reducing the number of primary winding turns of increasing the mumber of secondary winding turns
  • 47.
    Construction of PT Thedesign and construction of PT is basically the same as those of power transformer with a few major differences: PT has larger core and conductor sizes. Economic design may lead to large ratio and phase angle errors which are undesirable The output of PT is always small and the size is quite large, no thermal problem. Loading of PT is limited by accuracy considerations while in a power transformer the load limitation is on heating basis.
  • 48.
    • Core. Thecore may be core or shell type. Shell type is for low voltage. Laminations should be such that the effect of large air gaps at the joint may be minimized • Windings. The primary and the secondary windings are co-axial to reduce leakage reactance to minimum. The primary winding may be a single coil in low voltage transformers but must be sib-divided into a number of short coils in high voltage transformer in order to reduce the insulation needed between coil layers Construction of PT
  • 49.
    • Insulations cottontape and varnished cambric are used as insulation for coil construction. At low voltages the transformers are filled without compound but PT voltage above 7 KV are oil immersed • Bushings oil filled bushings are used for oil filed PT as this minimize the overall size of the transformer. Two bushings are used when neither side of the line is at ground potential Construction of PT
  • 50.
    High Voltage PT •Conventional type PT used in high voltages of 100kv and above, are very large in size and costly to build because of insulation requirement • Recent development in design and construction has reduced the size considerably. The eliminations of bushing reduces the size and cost of transformer. Designs are intended to measure line to ground voltages in 3 phase system: • The design employ:
  • 51.
    • Insulated CasingThe transformer is built entirely in an oiled filed high voltage insulator • Moulded Rubber PT Moulded rubber insulated transformer has replace the insulating oil and porcelain bushings and is less expensive • Cascaded Transformer The voltages is among a number of transformers. In this way insulation reduces to the lower voltages and saves costs and spaces Construction of PT
  • 52.
    Characteristics of PT Increasein secondary burden, the secondary current increases i.e. primary current increase; for a given value of VP the value of Vs decreases and the actual ration increases as the burden increases The ratio error increases becoming more negative with increase in burden. This variation of ratio error is almost linear with change in burden Vp is more advanced in phase because of increased voltage drops with increase in secondary burden. The phasor Vs is retarded in phase owing t increase in secondary voltage drop; thus the phase angle between VP and Vsreversed increases, becoming more negative Effect of Secondary Current or VA
  • 53.
    • If thepf of secondary circuit burden is reduced, Δ increased and IP shifted towards I0 • The voltages VP and VS nearly comes in phase with EP and ES ; since the voltage drop is almost constant. • The transformation ratio increases as the pf of secondary burden reduces Characteristics of PT Effect PF of Secondary Burden
  • 54.
    Effect of Frequency •The flux is inversely proportional to frequency with constant voltage. Increase in frequency reduces the flux and magnetization current decreases and the voltage ratio decrease • As regards to phase angle error, both effects due to increase in frequency advance VP and the increase in secondary reactance retards Vs and phase angle is increased as the frequency increases
  • 55.
    Effect of PrimaryVoltage • There is no wide variation of supply voltage to which the primary winding of the PT is connected. Therefore the study of variation of ratio and phase angle errors with supply voltage are of no importance
  • 56.
    Polarity of CT& PT • An understanding of polarity is essential to correctly construct three- phase transformer banks and to properly parallel single or three-phase transformers with existing electrical systems. A knowledge of polarity is also required to connect potential and current transformers to power metering devices and protective relays. • The basic theory of additive and subtractive polarity is the underlying principle used in step voltage regulators where the series winding of an autotransformer is connected to either buck or boost the applied line voltage. • Transformer Polarity refers to the relative direction of the induced voltages between the high voltage terminals and the low voltage terminals. During the AC half-cycle when the applied voltage (or current in the case of a current transformer) is from H1 to H2 the secondary induced voltage direction will be from X1 to X2. In practice, Polarity refers to the way the leads are brought out of the transformer. The Importance of Polarity
  • 57.
    • Bushing ArrangementThe position of the High Voltage Bushings is standardized on all power and instrument transformers. The rule is this: when facing the low voltage bushings, the Primary Bushing H1 is always on the left-hand side and the Primary Bushing H2 is on the right-hand side (if the transformer is a three-phase unit, H3 will be to the right of H2). • Distribution Transformers are Additive Polarity and the H1 and X1 bushings are physically placed diagonally opposite each other. Since H1 is always on the left, X1 will be on the right-hand side of a distribution transformer. This standard was developed very early in the development of electrical distribution systems and has been adhered to in order to prevent confusion in the field when transformers need to be replaced or paralleled with existing equipment. • Instrument Transformers (PT’s and CT’s) and large substation transformers are Subtractive Polarity, so the H1 and X1 Bushings will be on the same side of the transformer. This standard was later adopted to make it easier to read electrical schematics and construct phasor diagrams.
  • 58.
  • 59.
  • 60.
    POLARITY TEST • Insituations where the secondary bushing identification is not available or when a transformer has been rewound, it may be necessary to determine the transformer polarity by test. The following procedure can be used. • The H1 (left-hand) primary bushing and the left-hand secondary bushing are temporarily jumpered together and a test voltage is applied to the transformer primary. The resultant voltage is measured between the right- hand bushings. • If the measured voltage is greater than the applied voltage, the transformer is Additive Polarity because the polarity is such that the secondary voltage is being added to the applied primary voltage. • If, however, the measured voltage across the right-hand bushings is less than the applied primary voltage, the transformer is Subtractive Polarity. • Note: For safety and to avoid the possibility of damaging the secondary insulation, the test voltage applied to the primary should be at a reduced voltage and should not exceed the rated secondary voltage.
  • 61.
  • 62.
    • Polarity MarksTo insure correct wiring, polarity marks are shown on Instrument Connection Diagrams, Control Schematics, and Three-Line Power Diagrams. The polarity mark is usually shown as a round dot, on or adjacent to, the H1 and X1 terminals of PT’s and CT’s. Sometimes alternate marking, in the form of a square dot, slash mark ( / ), or plus/minus sign ( + ) will be used to identify the polarity terminals on electrical drawings. • Instrument transformers may also have the terminals identified with polarity marks as shown in the illustration of the 300:5 CT on Sheet 3. If instrument transformers do not have polarity marks on them, it is understood that the H1 (primary) and the X1 (secondary) terminals are polarity. • Meters, relays, and other equipment which require proper polarity connections may also have polarity marks, but usually this information must be obtained from the Instrument Connection Diagram. POLARITY MARKING
  • 63.
  • 64.
    • The PT,CT, and instrument polarity marks are shown by the red dots on the above drawing. (Red dots were used in this example only for clarity.) • Current elements of the instruments are connected in series, voltage inputs are connected in parallel. • Polarity is not a consideration on single-element devices such as an ammeter or voltmeter, but is essential for proper operation of power measuring devices, and for directional or differential protective relays. POLARITY MARKING
  • 65.
    Current Flow Analysis •In analyzing the current flow in a system utilizing CT’s the following observation can be made: • When current flows in the CT primary from the H1 lead (polarity ± ) to the non- polarity H2 lead, current will be forced out the secondary X1 (polarity ± ) lead, through the burden (load), and return to the secondary X2 non-polarity lead. The next half-cycle the current will reverse, but for the purpose of analysis and for constructing phasor diagrams, only the above indicated one-half cycle is analyzed. Electrical Drawing Conventions • The polarity marking on electrical drawings may be made in several different ways. The three most common schematic conventions are shown below. The drawing symbol for meters and relays installed in a draw-out case that automatically short the CT secondary is shown in the drawing at the lower right.