אסם השקעות בע"מ 
דוח תקופתי 
לשנת 2013
דוח תקופתי לשנת 2013 
תוכן העניינים 
חלק א' תאור עסקי התאגיד 
חלק ב' דין וחשבון הדירקטוריון על מצב ענייני החברה 
חלק ג' דוחות כספיים ליום 31 בדצמבר 2013 
חלק ד' פרטים נוספים על התאגיד ושאלון ממשל תאגידי 
חלק ה' דוח שנתי בדבר אפקטיביות הבקרה הפנימית על הדיווח הכספי 
ועל הגילוי לפי תקנה 9ב(א) לשנת 2013
אסם השקעות בע"מ 
חלק א': תאור עסקי התאגיד
תיאור עסקי התאגיד - תוכן עניינים 
חלק ראשון - תיאור ההתפתחות הכללית של עסקי התאגיד 1 
1. פעילות התאגיד ותיאור התפתחות עסקיו 1 
2. תחומי פעילות 5 
3. השקעות בהון התאגיד ועסקאות במניותיו 6 
4. חלוקת דיבידנדים 6 
חלק שני - מידע אחר 8 
5. מידע כספי לגבי תחומי הפעילות של התאגיד 8 
6. סביבה כללית והשפעת גורמים חיצוניים על פעילות התאגיד 11 
חלק שלישי - תיאור עסקי התאגיד לפי תחומי פעילות 15 
7. תחום המזון הקולינארי 15 
8. תחום החטיפים ודגני הבוקר 24 
9. תחום המאפה והמשקאות 31 
10 . תחום המזון המוכן 38 
11 . תחום המזון לתינוקות 47 
12 . פעילויות אחרות 56 
חלק רביעי - עניינים הנוגעים לפעילות הקבוצה בכללותה 59 
13 . לקוחות 59 
14 . הפצה ושיווק 60 
15 . צבר הזמנות 62 
16 . רכוש קבוע ומתקנים 63 
17 . מחקר ופיתוח 64
18 . נכסים לא מוחשיים 64 
19 . הון אנושי 67 
20 . הון חוזר 72 
21 . השקעות 73 
22 . מימון 73 
23 . מיסוי 74 
24 . איכות הסביבה 76 
25 . מגבלות ופיקוח על פעילות התאגיד 85 
26 . הסכמים מהותיים 88 
27 . הסכמי שיתוף פעולה 89 
28 . הליכים משפטיים 89 
29 . יעדים ואסטרטגיה עסקית 90 
30 . צפי להתפתחות בשנה הקרובה 91 
31 . מידע כספי לגבי מגזרים גיאוגרפיים 91 
32 . דיון בגורמי סיכון 93 
פרק זה בדוח התקופתי, העוסק בתיאור עסקי התאגיד כולל בתוכו גם מידע צופה פני עתיד כהגדרתו בחוק ניירות 
ערך, תשכ"ח 1968- . מידע צופה פני עתיד הינו מידע בלתי וודאי לגבי העתיד, המבוסס על אינפורמציה הקיימת 
בחברה במועד הדוח וכולל הערכות של החברה או כוונות שלה נכון למועד הדוח. מידע זה משקף את נקודת המבט 
הנוכחית של החברה בנוגע לאירועים עתידיים המבוססים על הערכות ולכן נתונים לסיכונים ולחוסר ודאות. 
התוצאות בפועל עשויות להיות שונות באופן מהותי מן התוצאות המוערכות או המשתמעות ממידע זה, כתוצאה 
ממספר רב של גורמים, לרבות כתוצאה משינוים בתכניותיה העסקיות של החברה וכתוצאה משינויים מאקרו- 
כלכליים וענפיים. ניתן לזהות קטעים המכילים מידע צופה פני עתיד על-ידי הופעת מילים כגון: "החברה מעריכה", 
"החברה סבורה", "החברה מתכוונת", "החברה צופה", וכדומה, או ביטויים שהם בלשון עתיד, אך יתכן כי מידע זה 
יופיע גם בניסוחים אחרים.
תיאור עסקי התאגיד 
חלק ראשון - תיאור ההתפתחות הכללית של עסקי התאגיד 
1. פעילות התאגיד ותאור התפתחות עסקיו 
1.1 שנת הקמה ורקע כללי - קבוצת אסם נוסדה בשנת 1942 ואסם השקעות 
בע"מ הינה חברת האם המאגדת בתוכה את קבוצת חברות אסם ("אסם", 
"החברה", "הקבוצה" ו-"קבוצת אסם", לפי העניין). 
הקבוצה מייצרת ומשווקת למעלה מ- 2,000 פריטי מזון שונים המיוצרים 
כיום באחד- עשר אתרי יצור והמשווקים באמצעות מרכז הפצה מרכזי ומספר 
אתרי שטעון עיקריים. כמו כן מייצאת הקבוצה פריטי מזון שונים לארצות 
שונות, בעיקר למדינות אירופה ולארה"ב. מוצרי חברות הבת טבעול (תחליפי 
בשר) וצבר (סלטים) מיוצרים הן בארץ והן בחו"ל (באמצעות מפעליה בצ'כיה 
ובארה"ב). 
מניות החברה הוצעו לראשונה והונפקו בבורסה לניירות ערך בתל- אביב 
1 
. בשנת 1992 
1.2 מעמדה של החברה בענף המזון - אסם נמנית עם החברות המובילות 
בישראל בענף המזון ומפתחת את עסקיה מתוך מטרה להציע לצרכן בארץ 
ובחו"ל מגוון רחב של מוצרים ממותגים וברמת איכות גבוהה בכל תחומי 
המזון שבהן היא פועלת ובכך מבססת את מעמדה המוביל בתחום המזון. 
בשנת 2010 הרחיבה הקבוצה את פעילותה בתחום המזון בישראל באמצעות 
כניסה לתחום המזון לתינוקות על-ידי רכישת 51% מפעילות "חברת 
מטרנה", כמפורט להלן. 
בשנים האחרונות הרחיבה הקבוצה את פעילותה בחו"ל באמצעות הקמת 
מפעל חדש של טבעול בצ'כיה, רכישת פעילות חברת ההפצה "ירדן" באנגליה, 
בארה"ב, אשר עוסקות Food-Tech- ו Tribe ורכישת פעילות החברות 
בסלטים ותחליפי בשר. 
ישראל כמו TNS בסקר תדמית שנערך בדצמבר 2013 על- ידי מכון המחקר 
גם בסקרים נוספים שנערכו בשש השנים הקודמות, נבחרה אסם כחברת 
המזון המובילה, הטובה , המועדפת והמוכרת ביותר בישראל. 
1.3 מותגים וטכנולוגיה - לקבוצה מותגים וטכנולוגיות יצור רחבות ומגוונות פרי 
פיתוח עצמאי ובנוסף לכך היא עושה שימוש במותגים, בידע ובטכנולוגיה של
נסטלה - חברת המזון המובילה בעולם, בעלת המניות הגדולה באסם אשר 
שיעור החזקותיה מגיע למועד הדוח לכ- 63.7% מזכויות הבעלות בחברה 
("נסטלה" או "קבוצת נסטלה"). 
1.4 שיתוף פעולה אסטרטגי עם נסטלה - לחברה הסכמים בלעדיים לשיתוף 
פעולה עם קבוצת נסטלה, על הפצת מוצרי נסטלה בישראל על ידי מערכות 
השיווק והמכירה של אסם וכן הוסכם על אפשרות לייצור מוצרי נסטלה 
בישראל. בנוסף לחברה הסכמים בלעדיים עם קבוצת נסטלה לשימוש בקניין 
רוחני בידע, סימני מסחר שנסטלה מחזיקה בזכויות בהם. כמו כן מקבלת 
אסם סיוע טכני בנושא מחקר ופיתוח וזכויות שימוש נרחבות בידע של 
נסטלה לשימושה של הקבוצה. המדובר, בין השאר, בידע טכני, מדעי, 
שיווקי, לוגיסטי, מכירתי, ייצורי, מחשובי ופיננסי. לפרטים נוספים ראו 
תקנה 22 בחלק ד' ("פרטים נוספים אודות התאגיד"). 
1.5 כניסה לתחום המזון לתינוקות - בספטמבר 2008 נחתם הסכם וביום 31 
בדצמבר 2009 הושלמה עסקה לפיה רכשה אסם 51% מהרכוש הקבוע, 
המוניטין וההון החוזר של פעילות המזון לתינוקות של מעברות, המרוכזת 
תחת המותג "מטרנה", בתמורה לסך של 163.6 מליון ₪. במסגרת העסקה 
הקימו אסם ומעברות שותפות שבה מחזיקה אסם 51% (להלן בס"ק זה: 
"השותפות"), באופן שאסם ומעברות העמידו לרשות השותפות את הרכוש 
הקבוע, המוניטין וההון החוזר כאמור. במקביל, רכשה נסטלה ממעברות 
51% מהידע והמותגים של מטרנה, תמורת סך של 105 מליון ₪, ואלו ביחד 
עם הידע והמותגים של נסטלה הועמדו לרשות השותפות תמורת תמלוגים. 
כמפורט בפרק 26.2 PUT- ו CALL כמו כן במסגרת העסקה ניתנו אופציות 
להלן. מכירות השותפות החדשה ורווחיה מתאחדים בתוצאות הכספיות של 
. קבוצת אסם החל מיום 1 בינואר 2010 
1.6 מיזוג מפעלי טבעול - פעילות טבעול בתחום תחליפי הבשר כללה בשנים 
האחרונות שלושה מפעלים ברחבי העולם, מפעל טבעול בישראל, מפעל טבעול 
בצ'כיה ומפעל פודטק בארה"ב. במהלך הרבעון השלישי של שנת 2010 מיזגה 
הקבוצה את המפעל בארה"ב והעבירה את פעילות היצור שלו לישראל 
ולצ'כיה, באופן שנכון למועד הדוח, פעילות טבעול מרוכזת בשני מפעלים 
והמכירות לארה"ב מבוצעות באמצעות יצוא מישראל ומצ'כיה. 
2
1.7 רכישת מלוא הבעלות בטבעול – ב- 23 לנובמבר 2010 רכשה קבוצת אסם 
מקיבוץ לוחמי הגטאות את יתרת 42% ממניות טבעול ( 1993 ) בע"מ, 
המחזיקה 100% מהבעלות בטבעול אירופה, סלטי צבר בישראל וטרייב 
בארה"ב, ובכך הגיעה להחזקה של 100% בחברת טבעול. ההסכם כולל 
בתוכו גם התחייבות של הקיבוץ לאי תחרות לתקופה מוגבלת. התמורה 
הכוללת בגין העסקה הסתכמה לסך של 468,456 אלפי ₪ אשר שולמה 
בשלושה תשלומים שנתיים צמודים למדד ונושאי ריבית, אשר האחרון 
שבהם, בסך 218,279 אלפי ₪, שולם בנובמבר 2012 . הגדלת ההחזקה ל – 
100% מאפשרת לקבוצה להמשיך ולממש את תוכניות התרחבות של תחום 
תחליפי הבשר ותחום הסלטים בישראל, באירופה ובארה"ב. 
לאסם –במרץ 2014 האריכה חברת מידרוג בע"מ את AAA 1.8 דירוג אשראי של 
עם אופק דירוג יציב שהוענק לאסם. אסם הינה AAA דירוג האשראי של 
החברה התעשייתית הראשונה והיחידה בישראל, שאינה חברה ממשלתית, 
3 
.AAA שמקבלת דירוג
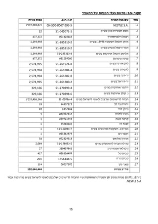
1.9 להלן תרשים מבנה ההחזקות של החברות הפעילות בקבוצה בהתאם 
1% 99% 
4 
לפעילותן: 
מגדנות הבית 
Tribe 
Mediterranean 
Foods Inc (3) 
100% 
1) אסם השקעות בע"מ בנוסף להיותה חברת ההחזקות של הקבוצה הינה חברה יצרנית בתחום המוצרים ) 
הקולינאריים, המאפה והחטיפים וכן בתחום המאפה הקפוא (לאחר שחברת בונז'ור ( 1986 ) בע"מ מוזגה 
לתוך אסם השקעות בע"מ). 
2) התרשים לא כולל החזקה בחברות לא פעילות או בחברות שפעילותן אינה מהותית או שפעילותן מתמצה ) 
בהחזקה, החזקת נכסים או השכרת נכסים, ושיעורי ההחזקות בטבלה לעיל עודכנו לצורך כך בהתאם. 
פועלת בתחום המזון המוכן בארה"ב הן במוצרי הסלטים המצוננים והן בתחום המזון מן Tribe 3) חברת ) 
הצומח. 
4) טבעול תעשיות מזון בע"מ כוללת בתוכה את פעילות טבעול וגם את פעילות סלטי צבר לאחר שהחברות ) 
עברו תהליך מזוג. 
5) על אף העובדה שההחזקה במטרנה הינה 51% הרי שחשבונאית בגלל מרכיב האופציה מוצגת החזקה של ) 
100% בהתאם לכללים החשבונאים המקובלים. 
בע"מ 
אסמים 
חבילות שי 
בע"מ 
אסם 
תעשיות מזון 
בע"מ 
( אסם השקעות בע"מ ( 1 
100% 
74% 
בית השיטה – 
עסיס תעשיות 
מזון שותפות 
מוגבלת 
100% 
טבעול צ'כיה 
נגה גלידות בע"מ 
שותפות 
מוגבלת 
100% 
קבוצת אסם 
סחר 
שותפות 
מוגבלת 
Osem UK 
Ltd. 
Osem USA 
Inc. 
100% 
מטרנה 
תעשיות 
שותפות 
( מוגבלת ( 5 
50.5% 
טבעול 
תעשיות מזון 
( בע"מ ( 4 
( טבעול ( 1993 
100% בע"מ 
60% 40% 
49.5% Tivall 
Holland B.V. 
Tivall 
Sweden A.B. 
Tivall 
Europe 
B.V. 
100% 
0.1% 
99.9% 
100% 
100% 
100% 
51%
5 
2. תחומי פעילות 
הקבוצה מתמקדת ביצור ושיווק של מוצרי מזון ונמנית עם יצרני ומשווקי המזון 
הגדולים בישראל. כמפורט בבאור 26 לדוחות הכספיים המצורפים לדוח תקופתי 
זה, הקבוצה מדווחת על מספר תחומי פעילות המדווחים כמגזרים עסקיים של 
החברה. 
2.1 תחום הקולינארי - בתחום זה הקבוצה מפתחת, מייצרת ו/או מוכרת, 
משווקת ומפיצה מגוון רחב של מוצרים ממותגים. העיקריים שבהם כוללים 
בין השאר פסטה, מרקים, תבשילים, עזרי אפיה, רטבים, שקדי מרק 
ושימורים (חמוצים). 
2.2 תחום החטיפים ודגני הבוקר - בתחום זה הקבוצה מפתחת, מייצרת ו/או 
מוכרת, משווקת ומפיצה מגוון רחב של מוצרים ממותגים. המוצרים בתחום 
פעילות זה כוללים מוצרי חטיפים (חטיפי חיטה, חטיפי בוטנים, חטיפי 
תפוחי-אדמה, חטיפי תירס וכו'), דגני בוקר וחטיפי בריאות. 
2.3 תחום המאפה והמשקאות - בתחום זה הקבוצה מפתחת, מייצרת ו/או 
מוכרת, משווקת ומפיצה מגוון רחב של מוצרים ממותגים. המוצרים בתחום 
פעילות זה כוללים את מוצרי המאפים המלוחים (כגון קרקרים ולחמית), 
המאפים המתוקים (עוגות ועוגיות), תרכיזים לשתייה, שוקו וקפה נמס. 
2.4 תחום המזון המוכן - בתחום זה הקבוצה מפתחת, מייצרת ו/או מוכרת, 
משווקת ומפיצה מגוון רחב של מוצרים קפואים ומצוננים ממותגים, 
שהעיקריים שבהם כוללים מוצרי מאפה קפואים הנאפים בנקודות המכירה, 
שניצלים, המבורגרים, נקניקיות וארוחות מוכנות על בסיס של תחליפי בשר 
וכן מוצרים המכילים ירקות, סלטים מוכנים וארוזים (סלטי חומוס, חצילים, 
טחינה וכיוצ"ב). 
2.5 תחום המזון לתינוקות – בתחום זה, פעילות הקבוצה מתבצעת באמצעות 
שותפות מטרנה, שמפתחת, מייצרת ו/או מוכרת, ומשווקת מגוון רחב של 
מוצרי מזון לתינוקות הכוללים בעיקר תחליפי חלב אם, דייסות, מחיות, 
ביסקוויטים ופסטות לפעוטות. 
2.6 פעילויות אחרות – בתחום זה, נכללות פעילויות שונות שאינן נכללות בתחומי 
הפעילויות שתוארו לעיל. העיקריות שבהן כוללות, בין השאר, משקאות
גלידות, מזון לבעלי חיים, מוצרים קנויים אחרים וכן פעילות ,(Nestea) קלים 
המדובר .USA ואסם UK חברות הבנות אסמים חבילות שי, אסם 
בפעילויות שנכון למועד דוח זה אינן עונות על הסף הכמותי להצגה בדוחות 
הכספיים כמגזרים ברי דיווח. 
3. השקעות בהון התאגיד ועסקאות במניותיו 
בשנתיים האחרונות לא בוצעו השקעות בהון התאגיד וכן לא נעשו על ידי בעלי עניין 
בחברה עסקאות במניות החברה מחוץ לבורסה, למעט העסקאות הבאות: 
א. עסקה שבוצעה ביום 1.2.2012 במסגרתה רכשה נסטלה את החזקותיהן של 
ארבע חברות פרטיות שמר גד פרופר (דירקטור בחברה) מחזיק בהן מניות. סה"כ 
67.1992 ש"ח ) ₪ נמכרו במסגרת העסקה 5,532,140 מניות בתמורה ל 371,755,890 
למניה). בהתאם לכך, לאחר הרכישה עלה שיעור החזקותיה של נסטלה בחברה 
; משיעור של 53.8% ל- 58.8% 
ב. עסקה שבוצעה ביום 26.11.2013 במסגרתה רכשה נסטלה את החזקותיהן של 
ארבע חברות פרטיות שמר דן פרופר (יו"ר דירקטוריון החברה) מחזיק בהן מניות. 
סה"כ נמכרו במסגרת העסקה 5,439,017 מניות בתמורה ל- 503,094,912 ש"ח 
92.497 ש"ח למניה). בהתאם לכך, לאחר הרכישה עלה שיעור החזקותיה של ) 
. נסטלה בחברה משיעור של 58.8% ל- 63.7% 
6 
4. חלוקת דיבידנדים 
4.1 ביום 18 בדצמבר 2012 חילקה החברה דיבידנד בסך 150 מיליון ₪. 
4.2 ביום 2 ביולי 2013 חילקה החברה דיבידנד בסך 150 מיליון ₪. 
4.3 יתרת הרווחים הניתנים לחלוקה נכון ליום 31.12.13 הינה יתרת העודפים 
כמפורט בדוחות על השינויים בהון שבדוחות הכספיים הכלולים בדוח 
תקופתי זה. 
4.4 לחברה הסכם שיעבוד שלילי עם הבנקים לפיו במידה ותקבל אשראי בנקאי 
לא ירשמו כל שעבודים לטובת הבנקים כל עוד תעמוד החברה בהתחייבויות
מסוימות ובאמות מידה פיננסיות לרבות אלו המתייחסות לחלוקת דיבידנד. 
לפירוט נוסף ראה באור 21 ב. לדוחות הכספיים המצורפים לדוח תקופתי זה. 
בתקופת הדיווח הרלוונטית, החברה עומדת בהתחייבויות הללו ובאמות 
המידה הפיננסיות. 
4.5 בשנים האחרונות לא קבעה החברה מדיניות חלוקת דיבידנד. עם זאת, לפי 
תקנון ההתאגדות של החברה וע"פ תשקיף החברה משנת 1992 , החברה 
תשאף לחלק דיבידנד שנתי במזומן שלא יפחת מ- 15% מהרווח השנתי הנקי 
ע"פ הדוחות השנתיים המבוקרים של החברה, בהתחשב בתוכנית ההשקעה 
של החברה ובצרכיה. יחד עם זאת, בפועל חילקה החברה בשנים האחרונות 
דיבידנדים בשיעורים גבוהים יותר וזאת לפי הפירוט כדלקמן: 
דיבידנד בשנת 
2011 
7 
דיבידנד בשנת 
2012 
דיבידנד בשנת 
2013 
סכום דיבידנד 
ששולם (באלפי ₪) 
150,000 150,000 300,000 
40% 42% % מהרווח הנקי 88%
8 
חלק שני - מידע אחר 
5. מידע כספי לגבי תחומי הפעילות של התאגיד 
א. כמפורט בבאור 26 לדוחות הכספיים המצורפים לדוח תקופתי זה, הקבוצה 
מדווחת על מספר תחומי פעילות המדווחים כמגזרים עסקיים של החברה. 
ב. הדוחות הכספיים השנתיים הינם בהתאם לתקני דיווח כספי בינלאומיים 
מידע כספי המתייחס לתחומי פעילות של התאגיד, מופיע בבאור 26 .(IFRS) 
לדוחות הכספיים הכלולים בדוח תקופתי זה. ההתאמות לסכומים בדוחות 
הכספיים המאוחדים נובעות ממכירת מוצרים גמורים ומוצרי ביניים בין 
תחומי הפעילות. ההסברים להתפתחויות שחלו מופיעים בדוח הדירקטוריון 
הכלול בדוח תקופתי זה. 
ג. להלן נתונים כספיים של החברה בחלוקה לתחומי הפעילות (באלפי ש"ח):
שנת 2013 
תחום 
קולינארי 
תחום 
חטיפים 
ודגני בוקר 
תחום 
מאפה 
ומשקאות 
תחום מזון 
מוכן 
תחום מזון 
לתינוקות 
אחרים 
התאמות 
למאוחד 
מאוחד 
4,190,047 (64,522) הכנסות תחום הפעילות 995,592 358,644 931,566 545,905 667,284 755,578 
עלויות מיוחסות קבועות 1,376,775 208,970 136,810 350,243 185,026 237,628 258,098 
2,284,714 (64,522) עלויות מיוחסות משתנות 751,688 159,683 503,762 271,740 265,801 396,562 
תוצאות תחום הפעילות 528,558 34,934 62,151 77,561 89,139 163,855 100,918 
החלק המיוחס לבעלים של החברה האם 527,888 34,264 62,151 77,561 89,139 163,855 100,918 
החלק המיוחס לזכויות שאינן מקנות שליטה 670 670 
הנכסים המיוחסים לתחום הפעילות 3,641,926 328,059 228,242 614,449 1,288,507 322,739 367,266 492,664 
ההתחייבויות המיוחסות לתחום הפעילות 1,389,053 736,734 57,174 413,843 181,302 
שנת 2012 
תחום 
קולינארי 
תחום 
חטיפים 
ודגני בוקר 
תחום 
מאפה 
ומשקאות 
תחום מזון 
מוכן 
תחום מזון 
לתינוקות 
אחרים 
התאמות 
למאוחד 
מאוחד 
4,091,593 (56,859) הכנסות תחום הפעילות 947,236 355,058 915,229 529,336 662,706 738,887 
עלויות מיוחסות קבועות 1,330,849 176,321 133,124 368,530 175,408 228,997 248,469 
2,249,202 (56,859) עלויות מיוחסות משתנות 727,887 162,707 474,789 282,577 264,530 393,571 
תוצאות תחום הפעילות 511,543 43,028 59,228 71,910 71,351 169,179 96,847 
החלק המיוחס לבעלים של החברה האם 510,862 42,347 59,228 71,910 71,351 169,179 96,847 
החלק המיוחס לזכויות שאינן מקנות שליטה 681 681 
הנכסים המיוחסים לתחום הפעילות 3,424,170 60,265 263,964 577,194 1,305,927 319,182 407,208 490,430 
ההתחייבויות המיוחסות לתחום הפעילות 1,380,726 710,872 60,964 424,937 183,953 - - -
10 
שנת 2011 
תחום 
קולינארי 
תחום 
חטיפים 
ודגני בוקר 
תחום 
מאפה 
ומשקאות 
תחום מזון 
מוכן 
תחום מזון 
לתינוקות 
אחרים 
התאמות 
למאוחד 
מאוחד 
3,960,877 (51,455) הכנסות תחום הפעילות 887,843 369,249 890,115 489,401 656,011 719,713 
עלויות מיוחסות קבועות 1,293,062 163,830 136,638 366,309 161,755 223,094 241,436 
2,164,519 (51,455) עלויות מיוחסות משתנות 676,322 167,001 471,927 260,582 257,713 382,429 
תוצאות תחום הפעילות 503,296 47,691 65,610 51,879 67,064 175,204 95,848 
החלק המיוחס לבעלים של החברה האם 503,318 47,713 65,610 51,879 67,064 175,204 95,848 
(22) ( החלק המיוחס לזכויות שאינן מקנות שליטה - - - - - ( 22
ד. עלויות ישירות מזוהות באופן ספציפי לתחום הפעילות ואילו עלויות 
תוך בחירת המחולל המתאים ABC משותפות הוקצו בהתבסס על תמחיר 
לאותה סוג של הוצאה ובהתאם למתודולוגיות התמחיר של נסטלה. 
ה. לפרטים נוספים אודות תחומי הפעילות של החברה והסבר להתפתחויות 
שחלו, ראה באור 26 לדוחות הכספיים ודוח הדירקטוריון על מצב עסקי 
התאגיד לשנה שנסתיימה ב- 31.12.2013 , הכלולים בדוח תקופתי זה. 
6. סביבה כללית והשפעת גורמים חיצוניים על פעילות התאגיד 
קיימים גורמים בסביבה המאקרו-כלכלית שהייתה להם השפעה על פעילות 
הקבוצה. הקבוצה התמודדה עם גורמים אלו ומצאה להם פתרונות כך שבפועל 
בשנות הדיווח הרלוונטיות, הקבוצה אף הצליחה להגדיל את מחזור המכירות וכן 
להגדיל את הרווח הגולמי והרווח התפעולי. 
לעניין זה יצוין כי הקבוצה הצליחה להגדיל את הרווח התפעולי (לפני 
הכנסות/הוצאות אחרות) מידי שנה בשנה כבר שש עשרה שנים ברציפות. 
6.1 המצב הביטחוני 
לקבוצה פיזור רחב של מפעלים ומרכזי הפצה ברחבי הארץ אם כי חלק מהם 
ממוקם בצפון או בדרום ואשר בעיתות מלחמה היו בטווח ירי טילי אויב. 
6.2 מחירי חומרי גלם 
תנודות של מחירי חומרי הגלם בעולם משפיעות גם על המשק 
הישראלי. מחירי חומרי גלם מושפעים בעיקר מתנודות קיצוניות במזג 
האוויר אשר משפיע על היבולים החקלאיים, ממחירי הנפט הגולמי, 
מהצמיחה המואצת ומגידול ביקושים בסין והודו המשפיעים על הצריכה 
בעולם, מעליית רמת החיים בעיקר בארצות המתפתחות, וכן ממעורבות של 
גורמים ספקולטיביים בשווקי הקומודיטיס. 
שנת 2013 התאפיינה בתנודתיות ומגמה מעורבת במחירי חומרי הגלם 
המשמשים את הקבוצה לצד המשך מגמת התייקרות במחירי תשומות ייצור 
נוספות (אנרגיה, מים וארנונה) וזאת לאחר תקופה ארוכה של עליות 
משמעותיות במחירי חומרי הגלם.
הקבוצה מתמודדת מול תנודות מחירים אלו באמצעות דיונים חודשיים 
במסגרת ועדת הרכש, סגירת עסקאות במחיר קבוע מראש עבור חלק 
מהסחורות, סיוע בשירותי הרכש האסטרטגי של נסטלה לצורך השגת מחיר 
מיטבי ובעסקאות הגנה שמבצעת נסטלה על מחירי חלק מחומרי הגלם 
הגלומים במוצרים המיובאים מנסטלה. 
6.3 תנודות בשערי החליפין של מטבע חוץ 
במסגרת פעילותה הקבוצה גם פועלת בחו"ל וכן מייצאת לחו"ל כ- 15% 
ממחזור המכירות שלה אולם במקביל היא מייבאת חלק מחומרי הגלם וכן 
מוצרים מוגמרים מנסטלה ומספקים אחרים ובכך נוצרת הגנה טבעית של 
מרבית יתרות הלקוחות במט"ח מול יתרות הספקים במט"ח. 
בחלק מהמקרים שבהם עדיין נוצרת חשיפה כלשהי, הרי שהקבוצה נוהגת 
בדרך כלל לנטרל חלק מהחשיפות והסיכונים במטבע חוץ באמצעות עסקאות 
הגנה. 
12 
6.4 התפתחויות רגולטוריות 
הגנת הסביבה - בתאריך 26.7.2012 פורסם החוק לטיפול סביבתי בציוד 
חשמלי ואלקטרוני ובסוללות, התשע"ב 2012- המטיל, בין השאר, על מי 
שמחזיק בפסולת ציוד חשמלי ואלקטרוני וסוללות שאינה מהמגזר הביתי 
את החובה להתקשר עם גוף יישום מוכר לשם פינוי פסולת הציוד והסוללות 
שברשותו. לצורך עמידה בהוראות החוק, תתקשר אסם עם גוף יישום מוכר 
שתינתן לו הכרה לגבי אותה פסולת כאמור. 
סימון ערכים תזונתיים - ביום 31 בינואר 2014 נכנס לתוקף התיקון לתקנות 
בריאות הציבור (מזון) סימון תזונתי, התשנ"ג- 1993 . בהתאם לתיקון זה, 
מזון המכיל בהרכבו שומנים בשיעור העולה על 2% ממשקל המוצר (חלף 
4.5% עובר לתיקון התקנות), יהיה חייב בסימון התכולה של חומצות שומן 
רוויות, חומצות שומן טראנס וכולסטרול. עוד מגדיר התיקון את הערכים 
המינימליים על פיהם יש לסמן חומצות שומן רוויות, חומצות שומן טראנס 
וכולסטרול. לאור התיקון האמור, ביצעה קבוצת אסם את השינויים 
הנדרשים על גבי אריזות מוצריה הרלוונטיים. 
בנוסף, על רקע הגברת המודעות להשפעתם של רכיבי מזון שונים על בריאות 
הצרכנים, מצויות, בשלבים שונים, הצעות חוק בעניין חובת סימון רכיבים 
וערכים תזונתיים מסוימים על גבי אריזות מוצרים. נכון למועד דוח זה,
מרבית ההצעות האמורות טרם אושרו ולא ניתן להעריך את השפעתן על 
אסם, אם וככל שתאושרנה. במקרה שהתקנות (כולן או חלקן) תכנסנה 
לתוקף, קבוצת אסם תבצע את השינויים הנדרשים באריזות מוצריה 
הרלוונטיים. מידע זה הינו בבחינת מידע צופה פני עתיד. 
חוק המזון – ועדת קדמי, בראשותו של מנכ"ל משרד התמ"ת מר שרון קדמי, 
הוקמה לצורך בחינת רמת התחרותיות והמחירים בתחום המזון והצריכה. 
ההמלצות הסופיות של הוועדה כוללות התייחסות למספר נושאים וביניהם: 
הסרת חסמי יבוא, הפחתת מכסים, הגברת שקיפות המחירים לצרכן, הגברת 
הרגולציה על קשרי ספק-קמעונאי לרבות סדרנות והקצאת שטחי מדף. זאת 
בנוסף לקידום התחרות בין הקמעונאים (לרבות הגבלת ריכוזיות קמעונאית 
ברמה האזורית), ועוד. 
בעקבות המלצות הועדה הורדו המכסים על יבוא חלק מחומרי הגלם 
ומוצרים מוגמרים. לגבי שאר המלצות הוועדה, אלו נדונו על ידי הממשלה 
שהחליטה על קביעת הסדרים שונים אשר יעוגנו בחקיקה. יש לציין כי ביום 
29 בנובמבר 2012 פורסם תזכיר חוק קידום התחרות בענף המזון, התשע״ב- 
2012 (״התזכיר״) שתכליתו המוצהרת היא: "קידום והגברת התחרותיות 
בענף המזון ומוצרי הצריכה לשם הפחתת מחירי המוצרים לצרכן, בהתאם 
להחלטת הממשלה 5176 שעניינה יישום המלצות הצוות לבחינת רמת 
התחרותיות והמחירים בתחום מוצרי המזון והצריכה". 
בתזכיר מוצע לקבוע מספר איסורים והגבלות על ספקים וקמעונאים בדבר 
עשיית פעולות והסדרים ביניהם. 
הצעת החקיקה אושרה בקריאה ראשונה ונמצאת בשלב הדיונים במסגרת 
ועדת הכלכלה בכנסת. 
בשלב מקדמי זה עדיין לא ניתן להעריך את השפעת השינויים שיחולו על 
הקבוצה בעקבות המלצות ועדת קדמי והתזכיר. 
חוק הריכוזיות - ביום 11 בדצמבר 2013 פורסם ברשומות החוק לקידום 
התחרות ולצמצום הריכוזיות, תשע"ד- 2013 ("חוק הריכוזיות"). ככלל, נועד 
חוק הריכוזיות לסייע להגברת התחרותיות במשק הישראלי, להבטיח שוק 
תחרותי ויעיל ולהגן על ציבור המשקיעים. חוק זה כולל מספר תיקונים 
עקיפים וביניהם תיקון לחוק החברות, התשנ"ט 1999- , ולפיו תידרש ועדת 
ביקורת של חברה ציבורית לקבוע לגבי עסקה עם בעל השליטה בחברה, או 
עסקה עם אחר שלבעל השליטה יש בה עניין אישי, חובה לקיים הליך תחרותי 
13
תחת פיקוחה ולפי אמות מידה שייקבעו (או הליך אחר אותו תקבע הועדה). 
בנוסף, וועדת הביקורת תידרש לקבוע את אופן האישור של עסקאות בעל 
שליטה שאינן חריגות ושאינן זניחות וכן לקבוע את סוגי העסקאות כאמור 
שיהיו טעונות את אישור ועדת הביקורת (שכיום אינו נדרש לגבי עסקאות 
כאמור). תיקון זה לחוק החברות נכנס לתוקף ביום 10 בינואר 2014 והתאגיד 
נערך לפעול על פיו. 
14 
6.5 המשבר הכלכלי 
המשבר הכלכלי הגלובלי וכן התפתחויות גיאופוליטיות במספר מדינות 
בעולם גורמים לחוסר יציבות ולתנודות משמעותיות בשווקים וכן מגבירים 
את אי הודאות וההשפעה גם על המשק הישראלי. יש לציין שענף המזון 
פחות מושפע מהשלכות האטה ובמיוחד קבוצת אסם שהיא בעלת מגוון 
קטגוריות מוצרים רחב, נזילות גבוהה ורמה גבוהה של איתנות פיננסית. יחד 
עם זאת הקבוצה נערכת לקראת המשבר באמצעות תכניות התייעלות 
לצמצום בהוצאות ובאמצעות בניית תכניות שיווקיות המותאמות למאפייני 
הצרכן בתקופת האטה. מידע זה הינו בבחינת מידע צופה פני עתיד. מידע זה 
משקף את נקודת המבט הנוכחית של החברה לגבי אירועים עתידיים 
המבוססים על הערכות ולכן נתונים לסיכונים ולחוסר ודאות.
חלק שלישי - תיאור עסקי התאגיד לפי תחומי פעילות 
להלן מובא תיאור עסקי הקבוצה לגבי כל אחד מתחומי פעילותה בנפרד, למעט בעניינים 
הנוגעים לכלל תחומי הפעילות של הקבוצה, המתוארים יחדיו במסגרת החלק הרביעי 
לפרק זה. 
15 
7. תחום המזון הקולינארי 
7.1 מידע כללי על תחום הפעילות 
א. מבנה תחום הפעילות ושינויים החלים בו 
תחום המזון הקולינארי מתמקד בפיתוח, ייצור ו/או מכירה, שיווק 
והפצה של מוצרים המשמשים כמרכיב בסיסי להכנת הארוחה 
ומהווים חלק אינטגרלי מהבישול הביתי ומהכנת ארוחה עיקרית. 
תחום פעילות זה כולל בעיקר את מוצרי הפסטה, המרקים, 
התבשילים, עזרי האפיה, הרטבים, שקדי המרק והחמוצים. מוצרי 
מזון אלו מתאפיינים בחיי מדף ארוכים הנעים בין מספר חודשים 
ועד כשנתיים. עיקר האחסון וההובלה של מוצרים אלו נעשה 
בטמפרטורת החדר. התחום מתאפיין בתחרותיות גבוהה המלווה 
בעלויות פרסום גבוהות. מותגי הקבוצה בתחום זה הם מהמובילים 
בתחומם. כמו כן רמת החדשנות ופיתוח המוצרים החדשים גבוהה. 
ב. שינויים בהיקף הפעילות בתחום וברווחיות 
בשנים האחרונות התגברה התחרות בתחום פעילות זה הן מצד 
היצרנים המתחרים והן מצד המותג הפרטי. למרות האמור לעיל 
המשיכה צמיחת הקבוצה בתחום זה. בשנת 2013 גדלו המכירות 
והרווח התפעולי של תחום פעילות זה כמפורט בתוצאות הפעילות 
בדוח הדירקטוריון הכלול בדוח תקופתי זה. 
ג. התפתחויות בשווקים של תחום הפעילות, או שינויים במאפייני 
הלקוחות שלו 
תחום פעילות זה מבוסס על המרכיבים הבסיסיים שבהכנת ארוחה, 
אמור לתת מענה לצורך של הצרכן להכנת ארוחה ביתית באמצעות 
חידוש וחדשנות של מוצרים וזאת במקביל למגמה ולצורך במוצרים 
עם ערכים תזונתיים משופרים. בכוונת הקבוצה לתת מענה
להתפתחות זו בשוק באמצעות פיתוח מתמיד של מוצרים חדשים 
וחדשנות והמשך השקעה שיווקית במותגים. 
ד. גורמי ההצלחה הקריטיים בתחום הפעילות והשינויים החלים 
בהם 
גורמי ההצלחה הקריטיים של הקבוצה בתחום פעילות זה 
מבוססים על חיזוק מותגי הקבוצה ושמירת מעמדם המוביל 
בתחומם באמצעות בניית המותג ושמירה על איכות גבוהה של 
המוצרים. גורם הצלחה קריטי נוסף הינו רמת הפיתוח והחדשנות 
של המוצרים. גורם הצלחה קריטי נוסף מתבטא בשמירה על כושר 
התחרות באמצעות התייעלות מתמדת. 
ה. מחסומי הכניסה העיקריים של תחום הפעילות ושינויים החלים 
בהם 
מחסומי הכניסה העיקריים של תחום הפעילות כוללים את הצורך 
המתמיד בחדשנות ובפיתוח מוצרים חדשים ובבניית מותגים 
חזקים וכן בצורך בידע ובטכנולוגיה הדרושים ליצור כמו גם 
ההשקעות הנדרשות בציוד והמכונות. הצורך במערכות הפצה 
ולוגיסטיקה מהווה בחלק מהמקרים חסם בכניסה וגם מגבלת 
הכשרות מהווה לעיתים חסם בכניסה בעיקר כאשר מדובר ביבוא 
מחו"ל. 
ו. תחליפים למוצרי תחום הפעילות ושינויים החלים בהם 
ענף המזון בכללותו הינו ענף בוגר ותחרותי ומאפיינים אלו חלים גם 
על תחום פעילות זה. כמו בכל ענף המזון גם בתחום פעילות זה של 
הקבוצה קיימים מוצרים תחליפיים מתוצרת מתחרה, לרבות 
מוצרים מיובאים ולרבות מותגים פרטיים של הרשתות 
הקמעונאיות. 
הקבוצה פועלת למתן מענה למוצרים התחליפיים הקיימים בשוק 
באמצעות מיתוג מוצריה, שמירה על איכות גבוהה, חדשנות 
והתייעלות מתמדת, השקעה בשיווק ובמותגים, וזאת בנוסף 
לחיבור האסטרטגי שיש לאסם עם נסטלה, חברת המזון הגדולה 
בעולם, אשר נמצאת בחזית החדשנות והקידמה הטכנולוגית של 
תחום המזון. 
16
ז. מבנה התחרות בתחום הפעילות ושינויים החלים בו 
בתחום פעילות זה קיים שוק תחרותי וישנה תחרות הן מצד יצרנים 
מתחרים, הן מצד המותג הפרטי של הרשתות והן מצד היבוא 
מחו"ל. 
17 
7.2 מוצרים 
א. המוצרים העיקריים של הקבוצה בתחום פעילות זה משווקים, 
של "אסם". (Corporate Brand) בעיקרם, תחת מותג המטריה 
תחת מותג המטריה של אסם נכללים, בין השאר, מוצרי הפסטה, 
המרקים, התבשילים, הרטבים, שקדי המרק, ועזרי אפיה. 
החמוצים נמכרים בעיקר תחת המותג "בית השיטה". 
ב. רוב מוצרי הקבוצה בתחום פעילות זה מיוצרים במפעלי הקבוצה 
בישראל אם כי קיים גם יבוא מחו"ל. הקבוצה מוכרת, משווקת 
ומפיצה את מוצריה בעיקר בישראל. 
ג. בנוסף, מייצאת הקבוצה חלק ממוצרי תחום הפעילות לחו"ל, הן 
לשוק הכשר במדינות מערב אירופה וארה"ב והן לרשתות מזון 
באירופה. המכירה בחו"ל מתבצעת בין השאר באמצעות חברות 
בארה"ב. USA באנגליה ואסם U.K. הבנות של הקבוצה, אסם 
7.3 פילוח הכנסות ורווחיות מוצרים 
להלן נתונים אודות הכנסות הקבוצה בתחום פעילות זה. בתוך מסגרת 
זו אין אף קבוצת מוצרים ששיעור הכנסותיה מהווה 10% או יותר מסך 
הכנסות התאגיד: 
קבוצת 
מוצרים 
דומים 
הכנסות באלפי ש"ח שיעור מכלל הכנסות הקבוצה 
2011 2012 2013 2011 2012 2013 
מזון 
קולינארי 
18.2% 18.1% 18.0% 719,713 738,887 755,578 
7.4 מוצרים חדשים
בשנת 2013 השיקה הקבוצה לשוק מוצרים ששלב פיתוחם הסתיים 
שכללו בעיקר קמח שמרים ייעודי לאפיית פיצה ופוקצ'ה, סדרת 
תערובות תיבול לקציצות ולאורז, מרק תיבול ירקות שורש, טעמים 
מרקים נמסים עשירים ) XL נוספים בסדרת מרקי סוף לנשנושים 
בירקות ובתוספות), פתיתים עם אטריות קלויות וסדרת פתיתים עם 
פלוס תזונתי ("פתיתים פלוס"). 
18 
7.5 תחרות 
א. בתחום המזון הקולינארי מתמודדת הקבוצה בשוק שבו קיימת 
תחרות בין יצרנים מתחרים, מותגים פרטיים של רשתות המזון 
ויבוא מחו"ל. המתחרים העיקריים של הקבוצה הם "תלמה - 
יונילבר", "סוגת", "שימורי יבנה", "פרי ניר", המותגים הפרטיים, 
יבואנים ומספר רב של יצרנים בינוניים וקטנים אחרים. 
ב. להלן פירוט נתחי השוק הכספיים של הקבוצה בישראל לשנת 2013 
בהתייחס למוצרים העיקריים של הקבוצה בתחום המזון 
הקולינארי בהתאם לנתונים משוקללים המבוססים על נתוני חברת 
סטורנקסט בשוק הקמעונאי המבורקד. הנתונים מתבססים על 
קהילייה של כ 2,200- חנויות בשוק המאורגן (שופרסל, מגה 
קמעונאות, קואופ ישראל) ובשוק הפרטי (רשתות פרטיות, 
מינימרקטים, מכולות וחנויות נוחות) המשדרות נתוני מכר אמת מן 
FMCG- הקופות לסטורנקסט ומהוות כ- 80% מסך המכר בשוק ה 
המבורקד בישראל. על בסיסן ובאמצעות מודל סטטיסטי מתקדם 
מבוצעת אקסטרפולציה סטטיסטית לכלל 100% המכר בשוק 
המאורגן והפרטי בישראל. נתונים אלו אינם כוללים מכר המתבצע 
בקיוסקים, פארמים, שווקים פתוחים, שוק מקצועי (בתי מלון, 
מסעדות, חברות קייטרינג וכדומה), חנויות מתמחות וחנויות במגזר 
הערבי:
קבוצת המוצרים נתח שוק משוקלל 
פסטה 56% 
מרקים ותבשילים 40% 
רטבים ותיבול 34% 
חמוצים 36% 
ג. הגורמים המשפיעים או עשויים להשפיע להערכת הקבוצה על 
מעמדה התחרותי של הקבוצה מקורם בחיזוק יכולתה להתמודד עם 
התחרות בתחום פעילות זה ועם התחזקות המותג הפרטי. הקבוצה 
מתמודדת עם התחרות באמצעות ריכוז מאמצי שיווק, פרסום 
וקידום מכירות, בנייה וחיזוק של מותגיה, תהליכי התייעלות, 
שיפור מתמיד של איכות מוצריה, מערך לוגיסטי מקיף, שיתוף 
פעולה אסטרטגי עם נסטלה, פיתוח והשקה של מוצרים חדשים 
ופיתוח יכולת טכנולוגית באמצעות פיתוח עצמי. בנוסף לכך 
הקבוצה שמה דגשים על חדשנות, יצירת יתרון תזונתי וחיזוק 
המותג "אסם" כמו גם חיזוק שאר מותגי הקבוצה. 
באמצעי פיתוח עצמאיים ובסיועה על בסיס הידע של נסטלה, 
הקבוצה משקיעה משאבים ומאמצים באימוץ טכנולוגיות פרי 
המחקר והפיתוח של נסטלה וכן במחקר ופיתוח עצמי וזאת בכדי 
לבדל את מוצריה ממוצרי מתחריה הן בחדשנות והן ברמת 
טכנולוגיה גבוהה ובמדדי איכות גבוהים. כמו כן מקפידה הקבוצה 
לתת שירות אדיב, אמין, נאמן, מתוזמן וברמה איכותית, וכל זאת 
תוך שמירת יעילות שרשרת האספקה. הקבוצה בנתה לעצמה, לאורך 
השנים, תדמית של קידמה טכנולוגית, איכות ושירות והינה ממוצבת 
כמובילה בישראל בתחום פעילות זה. 
19 
7.6 עונתיות 
אין מגמה מובהקת של עונתיות בתחום מוצרי המזון הקולינארי. יחד 
עם זאת, בתחום פעילות זה, קיימת השפעה עונתית בעיקר בגין המרקים 
הנמכרים יותר בחורף (רבעון ראשון ורביעי) וכן תחום פעילות זה מושפע 
מעיתוי החגים (פסח וראש השנה). להלן התפלגות של ההכנסות בחלוקה 
לפי רבעונים (באלפי ₪):
שנת 2013 שנת 2012 
20 
הכנסות באלפי ₪ 
אחוז מסך הכנסות 
תחום הקולינארי 
הכנסות באלפי ₪ 
אחוז מסך הכנסות 
תחום הקולינארי 
25.6% 189,043 24.4% 183,997 I רבעון 
22.4% 165,329 24.3% 183,870 II רבעון 
25.4% 187,400 24.0% 180,965 III רבעון 
26.7% 197,115 27.4% 206,746 IV רבעון 
100.0% 738,887 100.0% סה"כ 755,578 
7.7 כושר ייצור 
פוטנציאל כושר היצור המקסימאלי של הקבוצה בתחום פעילות זה 
בשלוש משמרות עבודה בשנת 2013 היה כ- 137,500 טון. היצור בפועל 
בשנת 2013 עמד על ניצולת ממוצעת של כ- 34% כאשר קווי היצור 
פועלים במשמרת אחת ועד שלוש משמרות עבודה ביממה. מרבית קווי 
היצור במפעלי הקבוצה בתחום זה הינם קווים חצי אוטומטיים או 
אוטומטיים אך ישנם גם קווים ידניים. 
7.8 רכוש קבוע ומתקנים 
להלן תיאור של עיקר המקרקעין ושאר הרכוש הקבוע המהותי של 
הקבוצה, המשמשים בתחום הפעילות של מזון הקולינארי. 
א. מפעל שדרות - המפעל משמש בעיקר לייצור מוצרי תיבול, מרקים, 
רטבים, פתיתים, תבשילים, שקדי מרק, ועזרי אפיה, אך יחד עם 
זאת מייצר גם מוצרים עבור תחומי פעילות אחרים כגון חטיפים 
ודגני בוקר ומוצרי שוקו במותג "נסקוויק". המפעל מצוי באזור 
התעשייה של שדרות במקרקעין בשטח של כ- 53 דונם (כולל מרכז 
פיתוח) ושטחו הבנוי הוא כ- 29,000 מ"ר. הקבוצה חוכרת את 
הזכויות בקרקע ממנהל מקרקעי ישראל בחכירה מהוונת לדורות. 
ב. מפעל יקנעם - המפעל משמש לייצור אטריות ופירורי לחם, אך יחד 
עם זאת מייצר גם מוצרים עבור תחומי פעילות אחרים כגון מוצרי 
מאפה וחטיפים מלוחים. המפעל מצוי באזור התעשייה של יקנעם 
במקרקעין בשטח של כ- 30 דונם, ושטחו הבנוי הוא כ- 19,000 מ"ר.
הקבוצה חוכרת את הזכויות בקרקע ממנהל מקרקעי ישראל 
בחכירה מהוונת לדורות. 
ג. מפעל בית השיטה - מפעל המשמש לייצור חמוצים, תרכיז לימון 
וחומץ, אך יחד עם זאת מייצר גם מוצרים עבור תחומי פעילות 
אחרים כגון תרכיזים לשתייה. המפעל ממוקם בקיבוץ בית השיטה 
במקרקעין בשטח של כ- 59 דונם ושטחו הבנוי הוא כ- 21,000 מ"ר. 
הקבוצה שוכרת את המקרקעין מקיבוץ בית השיטה בהסכם 
שכירות ארוך טווח המסתיים, ביחס לחלק הארי של השטחים 
השכורים, ב- 31.5.2026 (בכפוף להתאמות שונות ביחס לתקופת 
השכירות שיכול ויעשו בין הצדדים). 
הקבוצה נוהגת להפחית בספריה את עיקר המכונות והציוד במפעליה 
השונים בתחום פעילות זה לתקופה של 5-15 שנים. 
21 
7.9 מחקר ופיתוח 
הקבוצה עושה שימוש בידע ובטכנולוגיה של נסטלה. בנוסף לכך אסם 
מפתחת בעצמה באמצעות צוותי טכנולוגיה, מוצרים שונים בתחום 
המזון הקולינארי. 
7.10 הון אנושי 
א. למבנה הארגוני של הקבוצה ולפרטים נוספים לגבי ההון האנושי של 
הקבוצה בכללותה - ראו סעיף 19 לפרק זה להלן. 
ב. להלן פירוט מספר עובדי הקבוצה בתחום המזון הקולינארי נכון 
ליום 31.12.13 הכוללים עובדי יצור, מכירה והנהלה ישירים. יש 
לציין שעובדי הייצור במפעלי הקבוצה הינם ניידים בין קווי היצור 
עפ"י דרישה ולכן מספר עובדי הייצור המצוינים בטבלה מטה 
יכולים להשתנות עפ"י הצורך (זאת מהסיבה שמוצרי תחום 
הקולינארי מיוצרים במספר אתרים נפרדים (יוקנעם, שדרות ובית 
השיטה) בהם מיוצרים גם מוצרים של תחום החטיפים ודגני הבוקר 
ושל תחום המאפה והמשקאות) בנוסף קיימים עובדי ייצור כלליים 
(כגון, עובדי אבטחת איכות, טכנולוגיים, עובדי אחזקה, הנהלת 
המפעל, וכד') שלא ניתן לשייכם באופן ישיר לתחום פעילות ספציפי 
ולכן לא נספרו בטבלה אך כלולים בטבלה בסעיף 19 להלן. מרבית
עובדי המכירות והסחר רשומים בחברת הסחר של הקבוצה, הנותנת 
שירותי הפצה, מכירה, לוגיסטיקה וסחר לרוב תחומי הפעילות של 
הקבוצה. 
מספר עובדים ליום 
22 
31.12.13 
מספר עובדים ליום 
31.12.12 
ייצור 293 255 
הנהלה 12 13 
10 מכירה ושיווק 9 
7.11 חומרי גלם וספקים 
א. חומרי הגלם העיקריים שבהם עושה הקבוצה שימוש בתחום פעילות 
זה הם קמח, שמן, ירקות (מלפפונים, זיתים, רכז עגבניות), סוכר 
ועמילנים. 
ב. חומרי האריזה העיקריים המשמשים בתחום פעילות זה הם אריזות 
גמישות, פלסטיק, קרטון וקופסאות פח. חומרי האריזה נרכשים 
מיצרנים שונים, בעיקר בישראל וחלקם מחוץ לישראל. 
ג. חלק מהמוצרים בתחום פעילות זה מיובא לישראל כמוצרים 
מוגמרים, למשל פסטה. 
ד. זמינות חומרי הגלם הנרכשים מחוץ לישראל תלויה, בין היתר, 
בזמני תובלה ימית או אווירית ובפעילות תקינה של הנמלים 
בישראל. 
ה. חלק מחומרי הגלם הינם קומודיטיס שמחירם מושפע מתנודות 
מחירים בשווקי הקומודיטיס בבורסות בעולם ומתנודות בשערי 
החליפין. חומרי גלם אלו מופקים מצמחים (כגון סוכר וקמח) ולכן 
מחיריהם מושפעים משינויים במזג האוויר, תקופת הבשלה 
וכדומה. 
ו. אסם עושה שימוש בשירותי הרכש המרכזי של נסטלה המתמחה 
באיתור ספקי חומרי גלם ואריזות בעולם, העומדים בדרישות 
האיכות של נסטלה, תוך כדי קביעת מחירים המתבססים על
היתרונות לגודל של נסטלה. בפועל, הרכישה מתבצעת על ידי 
הקבוצה בדרך של תשלום ישירות לספק חומרי הגלם. 
ז. הקבוצה נוהגת לרכוש את חומרי הגלם והאריזה ממספר רב של 
ספקים, באמצעות אגף הרכש המרכזי של קבוצת אסם והיא בוחרת 
את ספקיה על פי איכות הסחורה המוצעת על ידם, זמינותה, 
אמינותה ויציבות הספקים ועל פי המחירים המוצעים על ידם. 
ברכש של חומרי גלם ואריזה בחו"ל ובבחירת ספקיה בחו"ל 
הקבוצה מגיעה לאופטימיזציה של האיכות והמחיר בין השאר 
באמצעות שימוש במקורות הידע של נסטלה בנושא וזאת בדרך של 
23 
.Bench-Marking 
ח. ככלל, מדיניות הקבוצה היא כי ביחס לכל אחד מסוגי חומרי הגלם 
העיקריים יהיה לקבוצה יותר מאשר ספק אחד כך שתתאפשר 
חלופה במקרה שספק אחד יחדל לספק את חומרי הגלם מכל סיבה 
שהיא. למועד פרסום הדוחות, לקבוצה לפחות שני ספקים לכל אחד 
מחומרי הגלם העיקריים האמורים לעיל. בחומרי גלם שאינם 
מרכזיים (המאופיינים בעיקר כמשתייכים לקבוצת חומרי טעם 
וריח) יש מקרים בהם מסיבות של כשרות או בלעדיות על נוסחה או 
הרכב חומר יש רק ספק אחד. להערכת החברה, לחומרי גלם אלו 
אין השפעה מהותית על הפעילות העסקית של הקבוצה, הם ניתנים 
להחלפה בפרק זמן קצר לחומר זהה או דומה מספק אחר במידת 
הצורך ללא שתהיה לכך השפעה מהותית לרעה על החברה וממילא 
אין לחברה תלות במי מספקים אלה. 
ט. מרבית ההסכמים של הקבוצה עם ספקיה הינם הסכמי מסגרת, 
לתקופות הנעות בין 3 ל- 12 חודשים, הכוללים מועדי אספקה, 
מחיר, איכויות, כמויות אספקה ותנאי אשראי. לרוב, הרכישות הן 
לפי הזמנות שוטפות.
24 
8. תחום החטיפים ודגני הבוקר 
8.1 מידע כללי על תחום הפעילות 
א. מבנה תחום הפעילות ושינויים החלים בו 
תחום החטיפים ודגני הבוקר מתמקד בפיתוח, ייצור ו/או מכירה, 
שיווק והפצה של מוצרי המזון המשמשים כפתרונות קלים ומידיים 
לאכילה בין הארוחות ובהפסקות כמוצרי פינוק והנאה. תחום 
פעילות זה כולל את מוצרי החטיפים (חטיפי חיטה, חטיפי בוטנים, 
חטיפי תפוחי אדמה, חטיפי תירס וכו'), בעיקר חטיפים מטוגנים, 
משוחלים (אקסטרוזיה), אפויים וקלויים. כמו כן כולל תחום 
פעילות זה דגני הבוקר וחטיפי בריאות. מוצרי מזון אלו מתאפיינים 
בחיי מדף ארוכים הנעים בין מספר חודשים ועד כשנה. האחסון 
וההובלה של מוצרים אלו נעשה בטמפרטורת החדר. התחום 
מתאפיין בתחרותיות גבוהה המלווה בעלויות פרסום גבוהות. 
מותגי הקבוצה בתחום זה הם מהמובילים בתחומם. כמו כן רמת 
החדשנות ופיתוח המוצרים החדשים גבוהה. 
ב. שינויים בהיקף הפעילות בתחום וברווחיות 
בשנים האחרונות התגברה התחרות בתחום פעילות זה הן מצד 
היצרנים המתחרים והן מצד המותג הפרטי. למרות האמור לעיל 
המשיכה הצמיחה במכירות הקבוצה בתחום זה עקב מאמצי שיווק 
מוגברים והחדרת מוצרים חדשים. השינויים במכירות וברווח 
התפעולי של תחום פעילות זה בשנת 2013 הינם כמפורט בתוצאות 
הפעילות בדוח הדירקטוריון הכלול בדוח תקופתי זה. 
ג. התפתחויות בשווקים של תחום הפעילות, או שינויים במאפייני 
הלקוחות שלו 
תחום פעילות זה אמור לתת מענה לצורך של הצרכן בריגושים, 
תחושת כיף, פינוק והנאה באמצעות חידוש וחדשנות של מוצרים 
וזאת במקביל למגמה ולצורך במוצרי בריאות. הקבוצה פועלת 
למתן מענה להתפתחויות בשוק באמצעות פיתוח מתמיד של 
מוצרים חדשים וחדשנות והמשך השקעה שיווקית במותגים.
ד. גורמי ההצלחה הקריטיים בתחום הפעילות והשינויים החלים 
בהם 
גורמי ההצלחה הקריטיים של הקבוצה בתחום פעילות זה מבוססים 
על חיזוק מותגי הקבוצה ושמירת מעמדם המוביל בתחומם 
באמצעות בניית המותג ושמירה על איכות גבוהה של המוצרים וכן 
נפיצות וזמינות המוצרים בעיקר בשוק האימפלס. גורם הצלחה 
קריטי נוסף הינו רמת הפיתוח והחדשנות של המוצרים. בנושא זה 
מסתייעת הקבוצה בין היתר במרכז המחקר והפיתוח העולמי 
שהקימה נסטלה בשדרות בעיקר לתחום החטיפים. גורם הצלחה 
קריטי נוסף מתבטא בשמירה על כושר התחרות באמצעות 
התייעלות מתמדת. 
ה. מחסומי הכניסה העיקריים של תחום הפעילות ושינויים החלים 
בהם 
לפרטים אודות מחסומי הכניסה העיקריים של תחום הפעילות 
ושינויים החלים בהם ראה סעיף 7.1 (ה) בפרק זה לעיל, בשינויים 
המחויבים. 
ו. תחליפים למוצרי תחום הפעילות ושינויים החלים בהם 
לפרטים אודות תחליפים למוצרי תחום הפעילות ושינויים החלים 
בהם ראה סעיף 7.1 (ו) בפרק זה לעיל, בשינויים המחויבים. 
ז. מבנה התחרות בתחום הפעילות ושינויים החלים בו 
לפרטים אודות מבנה התחרות בתחום הפעילות ושינויים החלים בו 
ראה סעיף 7.1 (ז) בפרק זה לעיל, בשינויים המחויבים. 
25 
8.2 מוצרים 
א. המוצרים העיקריים של הקבוצה בתחום פעילות זה משווקים, 
של "אסם" וכן (Corporate Brand) בעיקרם, תחת מותג המטריה 
תחת מותג המטריה של נסטלה. תחת מותג המטריה של אסם 
נכללים, בין השאר, המותגים "במבה", "ביסלי", "אפרופו", 
"דובונים", "בייגלה אסם" ו"צ'יפסי" בתחום החטיפים המלוחים.
ב. תחת מותג המטריה של נסטלה נכללים דגני הבוקר של נסטלה 
במותגים "קראנץ", "פיטנס", "צ'יריוס" ואחרים וכן חטיפי 
הבריאות (ברים) במותג "פיטנס". 
ג. רוב מוצרי הקבוצה בתחום פעילות זה מיוצרים במפעלי הקבוצה 
בישראל וחלקם, בעיקר דגני בוקר, מיובאים מנסטלה (אם כי חלק 
מדגני הבוקר מיוצרים גם בישראל). הקבוצה מוכרת, משווקת 
ומפיצה את מוצריה בעיקר בישראל. 
ד. בנוסף, מייצאת הקבוצה חלק ממוצרי תחום הפעילות לחו"ל 
כמפורט בסעיף 7.2 (ג) בפרק זה לעיל. 
8.3 פילוח הכנסות ורווחיות מוצרים 
להלן נתונים אודות הכנסות הקבוצה הנובעות מקבוצות מוצרים דומים 
בתחום הפעילות אשר שיעורן מהווה 10% או יותר מסך הכנסות 
הקבוצה כאמור: 
"חטיפים" – הכוללים בעיקרם חטיפי חיטה, חטיפי בוטנים, חטיפי 
תפוחי אדמה וחטיפי תירס. 
"דגני בוקר" – הכוללים בעיקרם דגנים מלאים, חטיפי בריאות (ברים), 
דגנים במילוי קרם נוגט. 
26 
קבוצת 
מוצרים 
דומים 
הכנסות באלפי ₪ שיעור מכלל הכנסות הקבוצה 
2011 2012 2013 2011 2012 2013 
חטיפים 12.9% 12.5% 12.3% 512,610 511,317 514,788 
דגני בוקר 3.6% 3.7% 3.6% 143,401 151,389 152,496 
8.4 מוצרים חדשים 
בשנת 2013 השיקה הקבוצה לשוק מוצרים ששלב פיתוחם הסתיים וכן 
מוצרים חדשים של נסטלה. המוצרים החדשים כוללים בעיקר חטיפים 
במגוון טעמים, צורות וגדלים חדשים (במותגים במבה, ביסלי, אפרופו, 
דובונים ובייגלה); דגני בוקר במגוון טעמים חדשים (במותגים "פיטנס", 
"קראנץ" ו"צ'יריוס"); וכן הרחבת המגוון של חטיפי הבריאות ("פיטנס" 
בר).
27 
8.5 תחרות 
א. בתחום החטיפים ודגני הבוקר מתמודדת הקבוצה בשוק שבו 
קיימת תחרות בין יצרנים מתחרים, מותגים פרטיים של רשתות 
המזון ויבוא מחו"ל. המתחרים העיקריים של הקבוצה הם 
"שטראוס - עלית", "תלמה - יונילבר", "קלוגס", המותגים 
הפרטיים, יבואנים ומספר רב של יצרנים בינוניים וקטנים אחרים. 
ב. להלן פירוט נתחי השוק הכספיים של הקבוצה לשנת 2013 
בהתייחס לתחום החטיפים (חטיפים מטוגנים, משוחלים, אפויים 
וקלויים) ודגני הבוקר, בהתאם לנתונים משוקללים המבוססים על 
נתוני חברת סטורנקסט בשוק הקמעונאי המבורקד, המחושבים 
כמתואר בסעיף 7.5 (ב) בפרק זה לעיל: 
קבוצת המוצרים נתח שוק משוקלל 
חטיפים 38% 
דגני בוקר 25% 
ג. הגורמים המשפיעים או עשויים להשפיע להערכת הקבוצה על 
מעמדה התחרותי של הקבוצה הינם כמפורט בסעיף 7.5 (ג) בפרק זה 
לעיל. 
8.6 עונתיות 
אין מגמה מובהקת של עונתיות בתחום החטיפים ודגני הבוקר. יחד עם 
זאת, היקפי ההכנסות בתחום פעילות זה משופעים, בין היתר, מעיתוי 
החגים. להלן התפלגות של ההכנסות בחלוקה לפי רבעונים (באלפי ₪): 
שנת 2013 שנת 2012 
הכנסות 
באלפי ₪ 
אחוז מסך הכנסות 
תחום החטיפים 
ודגני הבוקר 
הכנסות 
באלפי ₪ 
אחוז מסך הכנסות 
תחום החטיפים ודגני 
הבוקר 
27.1% 179,393 24.8% 165,776 I רבעון 
23.1% 153,401 24.9% 166,261 II רבעון 
25.1% 166,472 25.5% 170,232 III רבעון 
24.7% 163,440 24.7% 165,015 IV רבעון 
100.0% 662,706 100.0% סה"כ 667,284
28 
8.7 כושר ייצור 
פוטנציאל כושר היצור המקסימאלי של הקבוצה בתחום פעילות זה 
בשלוש משמרות עבודה בשנת 2013 היה כ- 27,000 טון. היצור בפועל 
בשנת 2013 עמד על ניצולת ממוצעת של כ- 61% כאשר קווי היצור 
פועלים במשמרת אחת ועד שלוש משמרות עבודה ביממה. מרבית קווי 
היצור במפעלי הקבוצה בתחום זה הינם קווים חצי אוטומטיים או 
אוטומטיים אך ישנם גם קווים ידניים. 
8.8 רכוש קבוע ומתקנים 
להלן תיאור של עיקר המקרקעין ושאר הרכוש הקבוע המהותי של 
הקבוצה, המשמשים בתחום הפעילות של מזון בתחום החטיפים ודגני 
הבוקר. 
א. מפעל שדרות - המפעל משמש לייצור חטיפים ודגני בוקר אך יחד 
עם זאת מייצר גם מוצרים עבור תחומי פעילות אחרים (כגון מוצרי 
תיבול, מרקים, רטבים, פתיתים, תבשילים, שקדי מרק ועזרי אפיה 
וכן שוקו במותג "נסקוויק"). לפרטים אודות המפעל ראה סעיף 
7.8 (א) בפרק זה לעיל. 
ב. מפעל יקנעם - המפעל משמש לייצור חטיפים אך יחד עם זאת 
מייצר מוצרים עבור תחומי פעילות אחרים (כגון מוצרי מאפה, 
אטריות ופירורי לחם). לפרטים אודות המפעל ראה סעיף 7.8 (ב) 
בפרק זה לעיל. 
ג. מפעל חולון - מפעל המשמש לייצור חטיפים. המפעל מצוי באזור 
התעשייה של חולון במקרקעין בשטח של כ- 3 דונם ושטחו הבנוי 
הוא כ- 1,650 מ"ר. המפעל הינו בבעלותה המלאה של הקבוצה. כמו 
כן הקבוצה שוכרת שטח נוסף של כ- 1500 מ"ר (שטח בנוי של כ 650- 
מ"ר) בשכירות בלתי מוגנת לטווח קצר עם אופציה להארכה. 
הקבוצה נוהגת להפחית בספריה את עיקר המכונות והציוד במפעליה 
השונים בתחום פעילות זה לתקופה של 5-15 שנים. 
8.9 מחקר ופיתוח 
בשנת 2002 הקימה נסטלה בישראל את המרכז העולמי שלה למחקר 
ופיתוח בעיקר בתחום החטיפים במבנה אותו היא שוכרת מהקבוצה
וזאת בצמוד למפעל של הקבוצה בשדרות. הקבוצה עושה שימוש בידע 
ובטכנולוגיה שפותחו ושיפותחו בעתיד. בנוסף לכך אסם מפתחת בעצמה 
באמצעות צוותי טכנולוגיה, מוצרים שונים בתחום החטיפים. 
29 
8.10 הון אנושי 
א. למבנה הארגוני של הקבוצה ולפרטים נוספים לגבי ההון האנושי של 
הקבוצה בכללותה - ראו סעיף 19 לפרק זה להלן. 
ב. להלן פירוט מספר עובדי הקבוצה בתחום החטיפים ודגני הבוקר 
נכון ליום 31.12.13 הכוללים עובדי יצור, מכירה והנהלה ישירים של 
תחום החטיפים והדגנים. יש לציין שעובדי הייצור במפעלי 
הקבוצה הינם ניידים בין קווי היצור עפ"י דרישה ולכן מספר עובדי 
הייצור המצוין בטבלה מטה יכול להשתנות עפ"י הצורך (זאת 
מהסיבה שמוצרי תחום החטיפים ודגני הבוקר מיוצרים במספר 
אתרים נפרדים, מתוכם בשניים (יוקנעם ושדרות) מיוצרים גם 
מוצרים של תחום הקולינארי ושל תחום המאפה והמשקאות) 
בנוסף קיימים עובדי ייצור כלליים במפעלי הקבוצה (כגון עובדי 
אבטחת איכות, טכנולוגיים, עובדי אחזקה, הנהלת המפעל, וכד') 
שלא ניתן לשייכם באופן ישיר לתחום פעילות ספציפי ולכן לא 
נספרו בטבלה אך כלולים בטבלה בסעיף 19 להלן. מרבית עובדי 
המכירות והסחר רשומים בחברת הסחר של הקבוצה, הנותנת 
שירותי הפצה, מכירה, לוגיסטיקה וסחר לרוב תחומי הפעילות של 
הקבוצה. 
מספר עובדים ליום 
31.12.13 
מספר עובדים ליום 
31.12.12 
ייצור 347 329 
הנהלה 5 1 
6 מכירה ושיווק 8
30 
8.11 חומרי גלם וספקים 
א. חומרי הגלם העיקריים שבהם עושה הקבוצה שימוש בתחום 
פעילות זה, הם קמח, תירס, שמן, חמאת בוטנים, תפוחי אדמה 
ועמילנים. 
ב. חומרי האריזה העיקריים המשמשים בתחום פעילות זה הם אריזות 
גמישות, פלסטיק, וקרטון. חומרי האריזה נרכשים מיצרנים שונים, 
בעיקר בישראל וחלקם מחוץ לישראל. 
ג. חלק מהמוצרים בתחום פעילות זה מיובא לישראל כמוצרים 
מוגמרים. עיקר היבוא הוא מנסטלה והוא כולל בעיקרו יבוא של 
דגני בוקר. 
לפרטים נוספים אודות חומרי הגלם והספקים המשמשים את החברה 
לייצור מוצריה ראה גם פירוט כמתואר בסעיפים 7.11 (ד) – 7.11 (ט) בפרק 
זה לעיל.
31 
9. תחום המאפה והמשקאות 
9.1 מידע כללי על תחום הפעילות 
א. מבנה תחום הפעילות ושינויים החלים בו 
תחום המאפה והמשקאות מתמקד בפיתוח, ייצור ו/או מכירה, 
שיווק והפצה של מוצרי מאפה ומשקאות, והוא כולל מוצרים 
המשמשים כפתרונות קלים ומידיים לאכילה או שתייה בין 
הארוחות ובהפסקות. תחום פעילות זה כולל בעיקר את מוצרי 
המאפים המלוחים (כגון קרקרים, ולחמית), המאפים המתוקים 
(עוגות, עוגיות וביסקוויטים), תרכיזים לשתייה וקפה נמס. מוצרי 
מזון אלו מתאפיינים בחיי מדף ארוכים הנעים בין מספר חודשים 
ועד כשנתיים. האחסון וההובלה של מוצרים אלו נעשה בטמפרטורת 
החדר. התחום מתאפיין בתחרותיות גבוהה המלווה בעלויות פרסום 
גבוהות. מותגי הקבוצה בתחום זה הם מהמובילים בתחומם. כמו כן 
רמת החדשנות ופיתוח המוצרים החדשים גבוהה. 
ב. שינויים בהיקף הפעילות בתחום וברווחיות 
בשנים האחרונות התגברה התחרות בתחום פעילות זה הן מצד 
היצרנים המתחרים הן מצד היבוא והן מצד המותג הפרטי. למרות 
האמור לעיל המשיכה צמיחת הקבוצה בתחום זה עקב מאמצי 
שיווק והחדרת מוצרים חדשים, כל אלו הביאו בשנת 2013 להמשך 
גידול במכירות וברווח התפעולי של תחום פעילות זה כמפורט 
בתוצאות הפעילות בדוח הדירקטוריון הכלול בדוח תקופתי זה. 
ג. התפתחויות בשווקים של תחום הפעילות, או שינויים במאפייני 
הלקוחות שלו 
לפרטים אודות התפתחויות בשווקים של תחום הפעילות, או 
שינויים במאפייני הלקוחות שלו ראה סעיף 8.1 (ג) לפרק זה לעיל, 
בשינויים המחויבים. 
ד. גורמי ההצלחה הקריטיים בתחום הפעילות והשינויים החלים 
בהם
לפרטים אודות גורמי ההצלחה הקריטיים בתחום הפעילות 
והשינויים החלים בהם ראה סעיף 7.1 (ד) בפרק זה לעיל, בשינויים 
המחויבים. 
ה. מחסומי הכניסה העיקריים של תחום הפעילות ושינויים החלים 
בהם 
לפרטים אודות מחסומי הכניסה העיקריים של תחום הפעילות 
ושינויים החלים בהם ראה סעיף 7.1 (ה) בפרק זה לעיל, בשינויים 
המחויבים. 
ו. תחליפים למוצרי תחום הפעילות ושינויים החלים בהם 
ענף המזון בכללותו הינו ענף בוגר ותחרותי ומאפיינים אלו חלים גם 
על תחום פעילות זה. כמו בכל ענף המזון גם בתחום פעילות זה של 
הקבוצה קיימים מוצרים תחליפיים מתוצרת מתחרה, לרבות 
מוצרים מיובאים ולרבות מותגים פרטיים של הרשתות 
הקמעונאיות, קונדיטוריות ובתי מאפה בתחום המאפה וכן בתי 
קפה ויצרניות המשקאות הקלים (המהווים תחליפים לתרכיזים) 
בתחום המשקאות. 
הקבוצה נותנת מענה למוצרים התחליפים הקיימים בשוק 
באמצעות מיתוג מוצריה, שמירה על איכות גבוהה, חדשנות 
והתייעלות מתמדת והשקעה בשיווק ובמותגים. 
במוצרי הקפה המיובאים מנסטלה, הקבוצה נותנת מענה למוצרים 
התחליפיים הקיימים בשוק באמצעות מיתוג המוצרים, שמירה על 
איכות גבוהה וחדשנות שהם פועל יוצא של היותה של נסטלה חברת 
המזון הגדולה בעולם והחברה המובילה בעולם בתחום הקפה 
הנמס, אשר נמצאת בחזית החדשנות והקידמה הטכנולוגית של 
תחום זה. 
ז. מבנה התחרות בתחום הפעילות ושינויים החלים בו 
לפרטים אודות מבנה התחרות בתחום הפעילות ושינויים החלים בו 
ראה סעיף 7.1 (ז) בפרק זה לעיל, בשינויים המחויבים. 
32
33 
9.2 מוצרים 
א. המוצרים העיקריים של הקבוצה בתחום פעילות זה משווקים, 
של "אסם" וכן (Corporate Brand) בעיקרם, תחת מותג המטריה 
תחת מותג המטריה של נסטלה. תחת מותג המטריה של אסם 
נכללים, בין השאר, המותגים "לחמית", "קריספי", "קרקר אסם", 
"עוגות הבית", "ערגליות", "פריכונים", טוסטעים" ו"פתי-בר" 
בתחום המאפה. תחת מותג המטריה של נסטלה נכללים בעיקר 
הקפה של נסטלה במותגים "נסקפה רד-מאג", "נסקפה גולד", 
"נסקפה טסטרס צ'ויס" ו- "נסקפה קפוצ'ינו", ואבקת שוקו במותג 
"נסקוויק". התרכיזים לשתייה נמכרים בעיקר תחת המותגים 
"עסיס" ו"ויטמינצ'יק". 
ב. רוב מוצרי הקבוצה בתחום פעילות זה מיוצרים במפעלי הקבוצה 
בישראל וחלקם (בעיקר קפה) מיובאים מנסטלה. כמו כן, קיימים 
מוצרים בתחום פעילות זה המיוצרים ע"י יצרני משנה בארץ 
ובחו"ל. הקבוצה מוכרת, משווקת ומפיצה את מוצריה בעיקר 
בישראל. 
ג. בנוסף, מייצאת הקבוצה חלק ממוצרי תחום הפעילות לחו"ל, 
כמפורט בהרחבה בסעיף 7.2 (ג) לפרק זה לעיל. 
9.3 פילוח הכנסות ורווחיות מוצרים 
להלן נתונים אודות הכנסות הקבוצה בתחום פעילות זה. בתוך מסגרת 
זו אין אף קבוצת מוצרים ששיעור הכנסותיה מהווה 10% או יותר מסך 
הכנסות התאגיד: 
קבוצת מוצרים 
דומים 
הכנסות באלפי ₪ שיעור מכלל הכנסות הקבוצה 
2011 2012 2013 2011 2012 2013 
מאפה ומשקאות 12.4% 12.9% 13.0% 489,401 529,336 545,905 
9.4 מוצרים חדשים 
בשנת 2013 השיקה הקבוצה לשוק מוצרים ששלב פיתוחם הסתיים 
שכללו בעיקר את הרחבת מגוון המוצרים תחת המותגים "קריספי" 
ו"לחמית", עוגות חדשות (בראוניס, בחושות ושמרים), עוגיות חדשות
והרחבת מגוון הפריכונים. כמו כן הורחבה סדרת "נסקפה קפוצ'ינו" 
והושק תרכיז לשתייה עם טעם חדש תחת המותג "ויטמינצ'יק". 
34 
9.5 תחרות 
א. בתחום המאפה והמשקאות מתמודדת הקבוצה בשוק שבו קיימת 
תחרות בין יצרנים מתחרים, מותגים פרטיים של רשתות המזון 
ויבוא מחו"ל. המתחרים העיקריים של הקבוצה הם "שטראוס - 
עלית", "תלמה - יונילבר", "דיפלומט – קראפט", "פריגת", "יכין", 
המותגים הפרטיים, יבואנים ומספר רב של יצרנים בינוניים וקטנים 
אחרים. 
ב. להלן פירוט נתחי השוק הכספיים של הקבוצה לשנת 2013 בישראל 
בהתייחס למוצרים העיקריים של הקבוצה בתחום המאפה 
והמשקאות בהתאם לנתונים משוקללים המבוססים על נתוני חברת 
סטורנקסט בשוק הקמעונאי המבורקד, המחושבים כמתואר בסעיף 
7.5 (ב) לפרק זה: 
קבוצת המוצרים נתח שוק משוקלל 
עוגות 40% 
קרקרים 42% 
תרכיזים לשתייה 56% 
קפה נמס 42% 
ג. הגורמים המשפיעים או עשויים להשפיע להערכת הקבוצה על 
מעמדה התחרותי של הקבוצה הינם כמפורט בסעיף 7.5 (ג) בפרק זה 
לעיל. 
9.6 עונתיות 
בתחום פעילות זה, לקבוצה מגוון רחב ומאוזן של מוצרים המקזז באופן 
חלקי את השפעת העונתיות. התרכיזים נמכרים יותר בחודשי הקיץ 
מאשר בחורף. מכירת מוצרי המאפה והמשקאות מושפעת גם מעיתוי חג 
הפסח, חג השבועות וכן מעיתוי חגי תשרי. להלן התפלגות של ההכנסות 
בחלוקה לפי רבעונים (באלפי ₪):
שנת 2013 שנת 2012 
הכנסות באלפי ₪ אחוז מסך הכנסות 
תחום המאפה והמשקאות 
35 
הכנסות באלפי 
₪ 
אחוז מסך הכנסות 
תחום המאפה והמשקאות 
28.2% 149,282 26.1% 142,275 I רבעון 
21.6% 114,239 24.2% 132,284 II רבעון 
24.6% 130,033 24.5% 133,722 III רבעון 
25.7% 135,782 25.2% 137,624 IV רבעון 
100.0% 529,336 100.0% סה"כ 545,905 
9.7 כושר ייצור 
פוטנציאל כושר היצור המקסימאלי של הקבוצה בתחום פעילות זה, 
בשלוש משמרות עבודה בשנת 2013 היה כ- 53,000 טון. היצור בפועל 
בשנת 2013 עמד על ניצולת ממוצעת של כ- 45% כאשר קווי היצור 
פועלים במשמרת אחת ועד שלוש משמרות עבודה ביממה. מרבית קווי 
היצור במפעלי הקבוצה בתחום זה הינם קווים חצי אוטומטיים או 
אוטומטיים אך ישנם גם קווים ידניים. 
9.8 רכוש קבוע ומתקנים 
להלן תיאור של עיקר המקרקעין ושאר הרכוש הקבוע המהותי של 
הקבוצה, המשמשים בתחום הפעילות של תחום המאפה והמשקאות. 
א. מפעל שדרות - המפעל משמש לייצור שוקו במותג "נסקוויק", אם 
כי עיקר הפעילות במפעל כוללת יצור מוצרים מתחומי פעילות 
אחרים (כגון חטיפים, דגני בוקר, מרקים, רטבים, פתיתים, 
תבשילים, שקדי מרק ועזרי אפיה). לפרטים אודות המפעל ראה 
סעיף 7.8 (א) לפרק זה לעיל. 
ב. מפעל יקנעם - המפעל משמש לייצור מוצרי מאפה, אך יחד עם זאת 
מייצר גם מוצרים עבור תחומי פעילות אחרים (כגון חטיפים, 
אטריות ופירורי לחם). לפרטים אודות המפעל ראה סעיף 7.8 (ב) 
לפרק זה לעיל. 
ג. מפעל בית השיטה - מפעל המשמש לייצור תרכיזים לשתייה, אך 
יחד עם זאת מייצר גם מוצרים עבור תחומי פעילות אחרים כגון
חמוצים, תרכיז לימון וחומץ. המפעל ממוקם בקיבוץ בית השיטה 
במקרקעין בשטח של כ- 59 דונם ושטחו הבנוי הוא כ- 21,000 מ"ר. 
הקבוצה שוכרת את המקרקעין מקיבוץ בית השיטה בהסכם 
שכירות ארוך טווח המסתיים, ביחס לחלק הארי של השטחים 
השכורים, ב- 31.5.2026 (בכפוף להתאמות שונות ביחס לתקופת 
השכירות שיכול ויעשו בין הצדדים). 
הקבוצה נוהגת להפחית בספריה את עיקר המכונות והציוד במפעליה 
השונים בתחום פעילות זה לתקופה של 5-15 שנים. 
36 
9.9 מחקר ופיתוח 
הקבוצה עושה שימוש בין היתר בידע ובטכנולוגיה של נסטלה. בנוסף 
לכך אסם מפתחת בעצמה, באמצעות צוותי טכנולוגיה, מוצרים שונים 
בתחום המאפה והמשקאות. 
9.10 הון אנושי 
א. למבנה הארגוני של הקבוצה ולפרטים נוספים לגבי ההון האנושי של 
הקבוצה בכללותה - ראו סעיף 19 לפרק זה להלן. 
ב. להלן פירוט מספר עובדי הקבוצה בתחום המאפה והמשקאות נכון 
ליום 31.12.13 הכוללים עובדי יצור, מכירה והנהלה ישירים של 
תחום המאפה והמשקאות. יש לציין שעובדי הייצור במפעלי 
הקבוצה הינם ניידים בין קווי היצור עפ"י דרישה ולכן מספר עובדי 
הייצור המצוין בטבלה מטה יכול להשתנות עפ"י הצורך (זאת 
מהסיבה שמוצרי תחום המאפה והמשקאות מיוצרים במספר 
אתרים נפרדים מתוכם בשלושה (יוקנעם, שדרות ובית השיטה) 
מיוצרים גם מוצרים של תחום הקולינארי ושל תחום החטיפים 
ודגני הבוקר) בנוסף קיימים עובדי ייצור כלליים במפעלי הקבוצה 
(כגון, עובדי אבטחת איכות, טכנולוגיים, עובדי אחזקה, הנהלת 
המפעל, וכד') שלא ניתן לשייכם באופן ישיר לתחום פעילות ספציפי 
ולכן לא נספרו בטבלה אך כלולים בטבלה בסעיף 19 להלן. מרבית 
עובדי המכירות והסחר רשומים בחברת הסחר של הקבוצה, הנותנת 
שירותי הפצה, מכירה, לוגיסטיקה וסחר לרוב תחומי הפעילות של 
הקבוצה.
37 
מספר עובדים ליום 
31.12.13 
מספר עובדים ליום 
31.12.12 
ייצור 232 224 
הנהלה 5 1 
6 מכירה ושיווק 5 
9.11 חומרי גלם וספקים 
א. חומרי הגלם העיקריים שבהם עושה הקבוצה שימוש בתחום פעילות 
זה, הם קמח, שמן, סוכר, ביצים, עמילנים , רכיבי שוקולד ומליות. 
ב. חומרי האריזה העיקריים המשמשים בתחום פעילות זה הם אריזות 
גמישות, פלסטיק וקרטון. חומרי האריזה נרכשים מיצרנים שונים, 
בעיקר בישראל וחלקם מחוץ לישראל. 
ג. חלק מהמוצרים בתחום פעילות זה מיובא לישראל כמוצרים 
מוגמרים. עיקר היבוא הוא מנסטלה והוא כולל בעיקרו יבוא של 
קפה נמס. 
לפרטים נוספים אודות חומרי הגלם והספקים המשמשים את החברה 
לייצור מוצריה ראה גם פירוט כמתואר בסעיפים 7.11 (ד) – 7.11 (ט) בפרק 
זה לעיל.
38 
10 . תחום המזון המוכן 
10.1 מידע כללי על תחום המזון המוכן 
א. מבנה תחום הפעילות והשינויים החלים בו 
הקבוצה פועלת בתחום פעילות זה במספר קטגוריות. קטגורית 
מוצרי תחליפי הבשר הקפואים והמצוננים המשווקת בישראל 
"Halsans ," גרדן גורמה " ,"Veggie Patch" ," ובחו"ל ("טבעול 
המהווים את המרכיב העיקרי בארוחה וכוללים בתוכם ,(Kok" 
העונים על המגמה הגוברת (Convenience Products) מוצרי נוחות 
בעולם והצורך במציאת פתרונות תזונה איכותיים ומהירים תוך 
חיסכון בזמן הכנה. מוצרים אלו מוגדרים גם כמוצרי בריאות 
ונותנים מענה לדרישה לשיפור (Health and Wellness Products) 
באיכות החיים הנובעת מהגברת המודעות לכולסטרול, לתזונה 
מאוזנת ולאורח חיים בריא יותר. קבוצת מוצרים זו כוללת בתוכה 
שניצלים, המבורגרים, נקניקיות והארוחות המוכנות. מוצרים אלו 
מיוצרים על בסיס טכנולוגיה מיוחדת המבוססת על שלושה חלבונים 
– חיטה, סויה וביצה. בנוסף, כוללת קבוצת המוצרים הזו גם מוצרי 
מזון על בסיס ירקות. קטגוריה נוספת בתחום פעילות זה כוללת 
בתוכה את המוצרים המצוננים של הקבוצה ובעיקר את הסלטים 
של סלטי צבר בישראל ובאירופה (חומוס, טחינה, חצילים וכדומה), 
בארה"ב. Tribe וכן את פעילות הסלטים המצוננים של חברת הבת 
קטגוריה נוספת בתחום פעילות זה כוללת בתוכה את מוצרי המאפה 
הקפוא של בונז'ור, הנאפים בנקודת המכירה ומעניקים לצרכן 
מוצרי מאפה טריים ישירות מהתנור. 
עיקר הפעילות של תחום פעילות זה מאוגד תחת חברת הבת טבעול 
המחזיקה בפעילות של הסלטים המצוננים והמזון מן הצומח של 
הקבוצה הן בישראל והן בחו"ל. 
ב. שינויים בהיקף הפעילות בתחום וברווחיותו 
במאפייני הצריכה בשוק המזון בעולם קיימת ככלל מגמה נמשכת 
ולמוצרי בריאות (Convenience Products) למעבר למוצרי נוחות
תחום פעילות זה נותן מענה .(Health and Wellness Products) 
לשתי מגמות אלו. 
בשנים האחרונות הרחיבה הקבוצה את פעילותה בתחום זה 
באמצעות רכישת חברות בעלי מאפייני מוצרים דומים בחו"ל 
(בעיקר בארה"ב). כמו כן בשנת 2010 הגדילה הקבוצה את 
החזקותיה בחברת טבעול מ 58%- להחזקה מלאה של כל הזכויות 
.( בה ( 100% 
בשנת 2013 גדלו המכירות והרווח התפעולי של תחום פעילות זה 
כמפורט בתוצאות הפעילות בדוח הדירקטוריון הכלול בדוח תקופתי 
זה. 
ג. התפתחויות בשווקים של תחום הפעילות או שינויים במאפייני 
הלקוחות שלו 
כאמור, במאפייני הצריכה בשוק המזון בישראל ובעולם קיימות 
מגמות למעבר למוצרי נוחות ולמוצרי בריאות כמו גם למוצרי פינוק 
ומותרות וכן מעבר למוצרים טריים. מגמות אלו הינן, בין היתר, 
פונקציה של רמת החיים והתוצר לנפש. בנוסף לכך קיימת בעולם 
בשנים האחרונות מגמה של מעבר למזון אתני ים תיכוני. מגמה זו, 
בשילוב עם העובדה שלהערכת הקבוצה הצרכן מזהה את המוצרים 
המצוננים כטריים יותר, הביאו את הקבוצה להחלטה על התרחבות 
לחו"ל בתחומים בהם יש לקבוצה יתרונות יחסיים וזאת באמצעות 
העוסקת בתחום הסלטים הים תיכוניים ,Tribe רכישת חברת 
העוסקת בתחום Food-Tech בארה"ב, ובאמצעות רכישת חברת 
אשר מוזגה )"Veggie Patch" תחליפי הבשר המצוננים תחת המותג 
39 
.(Tribe– ל 
ד. גורמי ההצלחה הקריטיים בתחום הפעילות והשינויים החלים 
בהם 
גורמי ההצלחה הקריטיים בתחום פעילות זה כוללים בתוכם את 
עוצמת המותגים של הקבוצה ואיכות מוצריה וכן הידע הייחודי 
שפותח בקבוצה בקשר עם מוצרי תחום הפעילות, וזאת בנוסף לידע, 
לטכנולוגיה ולמותגים שהקבוצה מקבלת מנסטלה. כל זאת בנוסף
למערכות ההפצה והלוגיסטיקה של הקבוצה בתחום הקפוא 
והמצונן המגיעות לנקודות המכירה בכל רחבי הארץ. 
להערכת החברה, מיתוג מוצרי הקבוצה, איכות הטעמים של 
מוצריה וכן חדשנות בשוק הינם גורמי הצלחה קריטיים נוספים של 
תחום פעילות זה וזאת בנוסף לחשיבות שנותן הצרכן לרכישת 
מוצרי מזון קפואים, מצוננים וטריים מיצרן מזון גדול, אמין ובעל 
מוניטין. בשל רגישות המוצרים ישנה חשיבות לאמינות הגבוהה של 
היצרן בעיני הצרכנים בדגש על איכותם, טריותם ובריאותם של 
המוצרים. כמו כן בתחום פעילות זה נדרשים יכולת תפעולית 
ולוגיסטית גבוהה הנדרשת בייצור, הפצה ואחסון של מוצרים 
קפואים ומצוננים בתנאי הקפאה וקירור, תוך כדי שמירה על 
לרבות החלפה ורענון של ,FIFO - שרשרת הקירור ועל עקרון ה 
המוצרים על מדפי החנויות בתדירות גבוהה יחסית וכן מערך הפצה 
רחב היקף המאפשר הפצה מהירה ויעילה של המוצרים לנקודות 
המכירה בתדירות גבוהה. 
ה. מחסומי הכניסה העיקריים של תחום הפעילות ושינויים החלים 
בהם 
מחסומי הכניסה העיקריים כוללים בתוכם השקעות גדולות 
בתשתיות יצור, בחדרי הקפאה וקירור ובהפצה קפואה ומצוננת 
שעלותם גבוהה כמו גם הצורך בטכנולוגיה ובידע הנדרש כדי להגיע 
לרמת האיכות הגבוהה של המוצרים, וזאת בנוסף להשקעה 
הנדרשת בבניית המותגים. חסם נוסף הינו הצורך בפיתוח יכולת 
טכנולוגית ויכולת התמודדות עם סוגית הטריות בשרשרת האספקה 
תוך שמירה קפדנית על שרשרת הקירור. אורך חיי המדף הקצרים 
יחסית של המוצרים המצוננים ועלויות הובלה גבוהות של המוצרים 
הקפואים מהווים חסם כניסה ליבוא מתחרה מחו"ל. 
ו. תחליפים למוצרי תחום הפעילות והשינויים החלים בהם 
מאחר וחלק ממוצרי תחום הפעילות מהווים מוצרי נוחות 
(שניצלים, המבורגרים, נקניקיות וארוחות מוכנות, סלטים מוכנים) 
הרי שבאופן תחליפי יכול הצרכן להכין בביתו ארוחות דומות בעצמו 
תוך שימוש במוצרים הבסיסיים והבלתי מעובדים. בנוסף לכך 
40
קיימים מוצרים תחליפיים של יצרנים מתחרים. הקבוצה נותנת 
מענה למוצרים התחליפיים הקיימים בשוק באמצעות מיתוג 
מוצריה ואיכותם ושמירה על חדשנות מתמדת. 
ז. מבנה התחרות בתחום הפעילות ושינויים החלים בו 
בתחום פעילות זה של הקבוצה קיימת תחרות בעיקר עם יצרני 
המזון הגדולים המקומיים וכן יצרני מזון בינוניים וקטנים. לנוכח 
עלות ההובלה היקרה של המוצרים הקפואים ולנוכח מגבלות 
הטריות ואורך חיי המדף הקצרים יחסית של המוצרים המצוננים, 
ולנוכח מגבלת הכשרות, התחום אינו חשוף במיוחד ליבוא מתחרה 
מחו"ל. 
41 
10.2 מוצרים 
המוצרים העיקריים של הקבוצה בתחום פעילות זה כוללים בתוכם 
שניצלים, המבורגרים, נקניקיות וארוחות מוכנות על בסיס של תחליפי 
בשר וכן מוצרים מכילי ירקות המשווקים בין השאר תחת המותג 
"Halsans "טבעול" (בעיקר בישראל), תחת המותג "גרדן גורמה" ו 
ארה"ב); מוצרי מאפה ) "Veggie Patch" אירופה) ותחת המותג ) Kok" 
קפואים הנאפים בנקודות המכירה תחת המותג "בונז'ור"; וכן מוצרי 
הסלטים של סלטי צבר (חומוס, טחינה, חצילים וכדומה), מוצרי 
בארה"ב (חומוס מרכיבים טבעיים). Tribe הסלטים של 
10.3 פילוח הכנסות ורווחיות מוצרים 
להלן נתונים אודות הכנסות הקבוצה בתחום פעילות זה. בתוך מסגרת 
זו אין אף קבוצת מוצרים ששיעור הכנסותיה מהווה 10% או יותר מסך 
הכנסות התאגיד: 
קבוצת 
מוצרים 
דומים 
הכנסות באלפי ש"ח שיעור מכלל הכנסות הקבוצה 
2011 2012 2013 2011 2012 2013 
מזון מוכן 22.5% 22.4% 22.2% 890,115 915,229 931,566
42 
10.4 מוצרים חדשים 
בשנת 2013 החדירה הקבוצה לשוק מוצרים חדשים ששלב פיתוחם 
הסתיים וכללו בין השאר סדרת מאפים חלביים, לחמניות ילדים מקמח 
חיטה מלאה ומוצרים שפותחו, עבור השוק המקצועי של "בונז'ור"; 
בתחום הסלטים המצוננים, סלטים חדשים בטעמים נוספים בסדרת 
"מלך החומוס" ומסדרת השף רפי כהן; וכן מאפינס על בסיס ירקות, 
נקניקים ושווארמה בשוק ההולנדי בתחום המזון מן הצומח. 
10.5 תחרות 
א. בתחום המזון המוכן קיימת תחרות גבוהה בין יצרני המזון 
הגדולים המקומיים וכן תחרות מצד המותג הפרטי. לכל קבוצות 
המוצרים העיקריות של הקבוצה קיימים מוצרים מתחרים. 
המתחרים העיקריים של הקבוצה בקטגורית המזון מן הצומח 
בישראל כוללים את "זוגלובק", "תפוגן" והמותגים הפרטיים. 
בתחום המאפה הקפוא המתחרים העיקריים הם "פילסבורי" 
ו"גידרון". המתחרים העיקריים של הקבוצה במוצרי הסלטים 
בישראל הם "שטראוס גרופ", "סלטי שמיר" ו"מעדני מיקי". 
הפועלת בארה"ב בתחום הסלטים המצוננים Tribe לחברת הבת 
בבעלות ) “Sabra” הים- תיכוניים קיימת תחרות בארה"ב עם חברת 
.“Kraft”- ו “Cedars” "שטראוס גרופ" "ופפסיקו") ועם חברת 
ו- "Kellogs" בתחום תחליפי הבשר השחקנים הגדולים הם 
באירופה. "Quorn" - בארה"ב ו "Kraft" 
ב. להלן פירוט נתחי השוק הכספיים של הקבוצה בישראל ומחוצה לה 
לשנת 2013 בהתייחס למוצרים העיקריים של הקבוצה בתחום 
המזון המוכן בהתאם לנתונים משוקללים המבוססים על נתוני 
חברת סטורנקסט בשוק הקמעונאי המבורקד, המחושבים כמתואר 
בסעיף 7.5 (ב) לפרק זה לעיל. נתחי השוק של הסלטים בארה"ב 
מבוססים על נתוני נילסן:
קבוצת המוצרים נתח שוק משוקלל באחוזים 
מזון מן הצומח בישראל (*) 55% 
מאפה קפוא שנאפה בנקודות המכירה 22% 
סלטים בישראל 38% 
סלטים בארה"ב 8% 
(*) לפרטים לגבי נתחי שוק באירופה ראה סעיף 31 לפרק זה להלן. 
ג. בין הגורמים המשפיעים, להערכת הקבוצה, על מעמדה התחרותי 
של הקבוצה ניתן לכלול את המצב הכלכלי ואת הגברת התחרות. 
הקבוצה מתמודדת על מעמדה המוביל בשוק באמצעות שיווק 
ופרסום, בניה ותחזוקה של מותגים, מערך הפצה מקיף, חדשנות, 
פיתוח והשקה של מוצרים חדשים וכן שיתוף פעולה אסטרטגי עם 
חברת המזון המובילה בעולם - נסטלה. 
במסגרת שיתוף הפעולה כאמור, משקיעה הקבוצה משאבים 
ומאמצים באימוץ טכנולוגיות, בין היתר כאלו אשר הינם פרי 
המחקר והפיתוח של נסטלה וזאת בכדי לבדל את מוצריה ממוצרי 
מתחריה ברמת הטכנולוגיה הגבוהה ובמדדי האיכות הגבוהים. כמו 
כן מקפידה הקבוצה לתת שירות אדיב, אמין, נאמן, מתוזמן וברמה 
איכותית. במסגרת זו בנתה הקבוצה לעצמה, לאורך השנים, תדמית 
של קידמה טכנולוגית, איכות ושירות ועל כך ממוצבת הקבוצה 
כמובילה בישראל בתחום מוצרי המזון המוכן. 
43 
10.6 עונתיות 
בהתאם לנתונים כדלהלן, לא ניתן להצביע על עונתיות מובהקת בתחום 
המזון המוכן. יחד עם זאת, היקפי ההכנסות בתחום פעילות זה 
מושפעים, בין היתר, מעיתוי החגים ומועדים מיוחדים בארץ ובחו"ל. 
להלן התפלגות של ההכנסות בחלוקה לפי רבעונים (באלפי ₪):
שנת 2013 שנת 2012 
44 
הכנסות באלפי 
₪ 
אחוז מסך הכנסות 
תחום המזון המוכן 
הכנסות באלפי 
₪ 
אחוז מסך הכנסות 
תחום המזון המוכן 
24.0% 219,830 23.7% 220,393 I רבעון 
24.7% 225,990 25.7% 239,616 II רבעון 
26.1% 238,853 26.1% 243,533 III רבעון 
25.2% 230,556 24.5% 228,024 IV רבעון 
100.0% 915,229 100.0% סה"כ 931,566 
10.7 כושר יצור 
פוטנציאל כושר היצור המקסימלי של הקבוצה בתחום פעילות זה, 
בשלוש משמרות עבודה בשנת 2013 היה כ 94,000- טון. היצור בפועל 
בשנת 2013 עמד על נצולת של כ- 62% כאשר קווי היצור פועלים 
במשמרת אחת ועד שלוש משמרות עבודה ביממה . מרבית קווי היצור 
במפעלי הקבוצה בתחום זה הינם קווים חצי אוטומטיים או אוטומטיים 
אך ישנם גם קווים ידניים. 
10.8 רכוש קבוע ומתקנים 
להלן תאור של עיקר המקרקעין ושאר הרכוש הקבוע המהותי 
המשמשים את הקבוצה בתחום פעילות זה: 
א. מפעל טבעול בקיבוץ לוחמי הגטאות - מפעל המשמש ליצור 
שניצלים, המבורגרים, נקניקיות וארוחות מוכנות על בסיס של 
תחליפי בשר ומוצרים על בסיס ירקות. המפעל ממוקם בקיבוץ 
לוחמי הגטאות. בהתאם להסכם שכירות ארוך טווח המסתיים 
בפברואר 2024 , הקבוצה שוכרת את המקרקעין בשטח של כ- 15 
דונם ובשטח בנוי של כ- 11,700 מ"ר מקיבוץ לוחמי הגטאות. עיקר 
קווי היצור במפעל הם חדשניים מסוגם, ורובם אוטומטיים. 
ב. מפעל טבעול בצ'כיה – מפעל המשמש ליצור מוצרים על בסיס של 
תחליפי בשר ומוצרים על בסיס ירקות ושהקמתו הושלמה באפריל 
2007 . המפעל ממוקם בשטח של 42 דונם הנמצא בבעלות טבעול 
ושטחו הבנוי הינו כ- 9,100 מ"ר.
ג. מפעל בונז'ור בקרית-גת - מפעל המשמש ליצור מוצרי מאפה קפוא 
. הנאפים בנקודת המכירה, ושהפעילות בו החלה במחצית שנת 2006 
המפעל, בבעלות החברה, ממוקם בשטח של כ- 22 דונם ושטחו הבנוי 
הוא כ- 8,800 מ"ר. 
ד. מפעל סלטי צבר בקרית גת - מפעל המשמש לייצור סלטים ואשר 
הקמתו הושלמה בתחילת שנת 2006 . המפעל ממוקם באזור 
התעשייה של קרית- גת במקרקעין בשטח של כ- 36 דונם ושיטחו 
הבנוי הוא כ- 9,600 מ"ר. 
בטונטון, מסצ'וסטס (ארה"ב) - מפעל Tribe ה. מפעל הסלטים של 
המשמש לייצור סלטים שהוקם בשנת 2005 בטונטון בסמוך 
לבוסטון בארה"ב. המפעל נרכש בספטמבר 2008 על-ידי הקבוצה 
הפועלת בתחום הסלטים Tribe במסגרת רכישת הפעילות של חברת 
בארה"ב. המפעל ממוקם בשטח של כ 38,000- מ"ר ושטחו הבנוי 
הוא כ 5,800- מ"ר. 
הקבוצה נוהגת להפחית בספריה את עיקר המכונות והציוד במפעליה 
השונים בתחום פעילות זה לתקופה של כ- 5-15 שנים. 
45 
10.9 מחקר ופיתוח 
הקבוצה עוסקת באופן שוטף במחקר ופיתוח של טכנולוגיות חדשות 
ומוצרים חדשים מתוך מטרה להקנות לה יתרון יחסי על פני מתחרותיה 
בארץ ובעולם בתחום האיכות, המרקם והטעם של מוצריה בעיקר 
בקבוצת מוצרי השניצלים, ההמבורגרים, הנקניקיות והארוחות 
המוכנות על בסיס תחליפי בשר, מוצרים על בסיס ירקות ובתחום 
הסלטים. 
הקבוצה עוסקת בפעילות מחקר ופיתוח כאמור בעיקר תוך שימוש 
במשאביה, אך גם בסיוע החוק לעידוד מחקר ופיתוח בתעשייה, 
התשמ"ד - 1984 , שלפיו אישרה מדינת ישראל, באמצעות המדען הראשי, 
מספר תכניות למחקר ופיתוח תעשייתי. במקביל התחייבה הקבוצה 
בחלק מהתוכניות לשלם תמלוגים למדינת ישראל. נכון ליום 31 
בדצמבר 2013 , ההתחייבות למדען הראשי בגין תמלוגים עומדת על 
סכומים שאינם מהותיים.
46 
10.10 הון אנושי 
א. למבנה הארגוני של הקבוצה ולמידע נוסף לגבי ההון האנושי של 
הקבוצה בכללותה - ראו סעיף 19 לפרק זה להלן. 
ב. להלן פירוט מספר עובדי הקבוצה בתחום פעילות זה נכון ליום 
31.12.13 מרבית עובדי המכירה והסחר של הפעילות בישראל 
רשומים בחברת הסחר של הקבוצה, הנותנת שירותי הפצה, מכירה, 
לוגיסטיקה וסחר לרוב תחומי הפעילות של הקבוצה. 
מספר עובדים ליום 
31.12.13 
מספר עובדים ליום 
31.12.12 
ייצור 908 898 
הנהלה 56 41 
90 מכירה ושיווק 96 
10.11 חומרי גלם וספקים 
א. חומרי הגלם העיקריים שבהם עושה הקבוצה שימוש בתחום זה הם 
אלבומין, שמן, קמח, תוצרי חלב שונים, טחינה, חומוס, ירקות 
וסויה. האלבומין נרכש ממקורות אירופיים ואמריקאים שונים. 
ב. חומרי האריזה העיקריים בתחום זה הם אריזות גמישות, קרטון 
ואריזות פלסטיק הנרכשים מיצרנים שונים בעיקר מהשוק המקומי 
שבו ממוקם המפעל. 
ג. זמינות חומרי הגלם הנרכשים מחוץ לשוק המקומי שבו ממוקם 
המפעל תלויה, בין היתר, בסדירות תובלה ימית או אווירית 
ובפעילות תקינה של הנמלים המקומיים. 
לפרטים נוספים אודות חומרי הגלם והספקים המשמשים את החברה 
לייצור מוצריה ראה גם פירוט כמתואר בסעיפים 7.11 (ה) – 7.11 (ט) 
בפרק זה לעיל.
47 
11 . תחום המזון לתינוקות 
11.1 מידע כללי על תחום הפעילות 
א. מבנה תחום הפעילות ושינויים החלים בו 
פעילות החברה בתחום זה מתבצעת על ידי מטרנה תעשיות שותפות 
מוגבלת (להלן: "מטרנה" או שותפות מטרנה") בה מחזיקה החברה 
נכון למועד דוח זה ב- 51% מהזכויות בה (וחברת מעבדות מטרנה ב- 
49% מהזכויות הנותרות). 
פעילות הקבוצה בתחום המזון לתינוקות המתבצעת כאמור 
באמצעות שותפות מטרנה, מתמקדת בפיתוח, ייצור, שיווק ומכירה 
של מוצרי מזון לתינוקות (תחליפי חלב אם, דייסות, מחיות, 
ביסקוויטים ופסטות לפעוטות) תחת המותג "מטרנה". 
המחיות שווקו עד לשנת 2012 תחת המותג "גרבר" ובמהלכה בוצע 
מהלך של מיזוג/איחוד מותגים והחל שיווקן של המחיות תחת 
המותג "מטרנה". 
בנוסף למוצרים הנמכרים תחת המותג "מטרנה", במסגרת תחום זה 
מייצרת ומוכרת שותפות מטרנה מוצרים המשמשים כחומרי גלם 
לתעשיית המזון. על חומרי גלם אלה נמנים בעיקר מלביני מרק, 
מקציפים ומלביני קפה. 
תחום מזון התינוקות מתאפיין, בין השאר, בהשתתפות במכרזים 
להזנה במחלקות יולדות של בתי חולים. בעקבות מכרז שפרסם 
משרד הבריאות נחתם בחודש יוני 2013 הסכם בין מטרנה ושני 
ספקי תחליפי חלב אם נוספים לבין משרד הבריאות, ולפיו שני 
ספקים יספקו תחליפי חלב אם לכל בית חולים של משרד הבריאות 
בהתאם לחלוקה שנקבעה בהסכם. 
במהלך השנה פנה הממונה על ההגבלים העסקיים (להלן: 
"הממונה") למטרנה ולספקיות תחליפי חלב האם הנוספות בשוק 
והודיע להן שהוא שוקל לקבוע שהן מהוות ביחד קבוצת ריכוז 
בשיווק ומכירת תרכובות מזון לתינוקות ולהורות להן על צעדים 
שעליהן לנקוט. במהלך שמיעת עמדות ספקיות תחליפי חלב האם 
(להלן: "תמ"ל) החל הממונה בהידברות עם נציגיהן בכדי לבחון 
אפשרות לגיבוש מתווה מוסכם שיחול על התקשרויות ספקיות
התמ"ל עם בתי החולים. הידברות זו הבשילה לכלל הסכמה בין 
הממונה ובין מטרנה וספקיות התמ"ל הנוספות לנוסח צו מוסכם 
(להלן: "הצו המוסכם") אשר ביום 26 בינואר 2014 הוגש לאישור 
בית הדין להגבלים עסקיים. הצו המוסכם קובע מספר תנאים 
לתשלום לבית החולים עבור הזכות לספק תמ"ל לבית החולים 
שעיקרם כדלהלן - בית החולים יאפשר לכל ספק תמ"ל לספק תמ"ל 
בתנאים שוויוניים ויציע להורה היילוד בחירה בין המוצרים 
המסופקים על ידי ספקי התמ"ל שיחפצו בכך ללא מתן עדיפות; 
התשלום ייקבע על ידי בית החולים כפונקציה של מידת השימוש 
ועל פי מחיר עבור כל יילוד אשר מוגבל בסכום מקסימום ועל פי 
מספר היילודים שצרכו את התמ"ל המסופק על ידי אותו הספק 
וזאת באופן יחסי מתוך סך כל היילודים בבית החולים שצרכו תמ"ל 
מכלל ספקי התמ"ל בתקופה הרלבנטית. בנוסף קובע הצו המוסכם 
תנאים לאספקת תמ"ל לבית החולים ללא תשלום עבור הזכות 
לספק תמ"ל לבית החולים שעיקרם מתן אפשרות בחירה בין לפחות 
שני ספקי תמ"ל ובהעדר אפשרות בחירה כאמור, חייב הספק לגבות 
מבית החולים תמורה מינימלית עבור אספקת התמ"ל. ביום 20 
בפברואר 2014 התקבל אישור בית הדין להגבלים עסקיים לצו 
המוסכם. בשלב זה הקבוצה לא יכולה להעריך כיצד ישפיעו 
הוראות הצו על התחרותיות בשוק ועל תוצאות פעילות החברה. 
ב. שינויים בהיקף הפעילות בתחום וברווחיות 
בשנת 2013 המשיך תחום פעילות זה להיות מושפע מהתגברות 
התחרות כתוצאה מכניסת מתחרה נוסף החל מסוף שנת 2011 
(חברת טבע המייבאת תחליפי חלב אם מתוצרת חברת 
אשר נמכרים תחת המותג "DANONE" מקבוצת NUTRICIA 
"נוטרילון") וכתוצאה מהשקת סדרת תחליפים בכשרות גבוהה של 
"סימילאק" במהלך 2011 . למרות זאת שמרה מטרנה על מעמדה 
בשוק והגדילה מכירות. בנוסף, תחום פעילות זה מושפע, בין 
השאר, מקצב הילודה ומשיעור ההנקה. הגידולים במכירות וברווח 
התפעולי של תחום פעילות זה בשנת 2013 הינם כמפורט בתוצאות 
הפעילות בדוח הדירקטוריון הכלול בדוח תקופתי זה. 
48
ג. התפתחויות בשווקים של תחום הפעילות, או שינויים במאפייני 
הלקוחות שלו 
תחום פעילות זה מבוסס על הצורך לבנות אמינות ואיכות לאורך 
זמן ורכישת אמון הצרכן. הקבוצה נותנת מענה לסוגיה זו באמצעות 
רמה איכותית של המוצרים תוך סיוע בידע ובמותגים של נסטלה, 
שהיא בין היתר החברה המובילה בעולם בתחום המזון לתינוקות. 
ד. גורמי ההצלחה הקריטיים בתחום הפעילות והשינויים החלים 
בהם 
גורמי ההצלחה הקריטיים של הקבוצה בתחום פעילות זה מבוססים 
על חיזוק המותג "מטרנה" ושמירת מעמדו כמותג המוביל בארץ 
בתחום המזון לתינוקות, המושגים, בין השאר, באמצעות פעילות 
שיווקית לחיזוק המותג ושמירה על רמה גבוהה של איכות 
המוצרים. גורם הצלחה קריטי נוסף הינו רמת הפיתוח והחדשנות 
של המוצרים. בנושא זה מסתייעת החברה בידע של נסטלה שהיא 
החברה המובילה בעולם בתחום המזון לתינוקות. גורם הצלחה 
קריטי נוסף מתבטא בשמירה על כושר התחרות באמצעות 
התייעלות מתמדת. 
ה. מחסומי הכניסה העיקריים של תחום הפעילות ושינויים החלים 
בהם 
מחסומי הכניסה העיקריים של תחום הפעילות כוללים את הצורך 
המתמיד בחדשנות ובפיתוח מוצרים חדשים ובבניית מותגים חזקים 
וכן בצורך בידע ובטכנולוגיה הדרושים ליצור כמו גם ההשקעות 
הנדרשות בציוד ומכונות. הצורך לבנות אמינות ואיכות של 
המוצרים לאורך זמן ורכישת אמון הצרכן מהווים אף הם חסם. 
בנוסף לכך, מגבלת הכשרות מהווה לעיתים חסם בכניסה בעיקר 
כאשר מדובר ביבוא מחו"ל. 
ו. תחליפים למוצרי תחום הפעילות ושינויים החלים בהם 
לכל אם עומדת כמובן אפשרות ההנקה והקבוצה רואה בהנקה את 
החלופה המועדפת. כמו כן, ענף המזון בכללותו הינו ענף בוגר 
ותחרותי ומאפיינים אלו חלים גם על תחום פעילות זה. כמו בכל 
49
ענף המזון גם בתחום פעילות זה של הקבוצה קיימים מוצרים 
תחליפיים מתוצרת מתחרה, לרבות מוצרים מיובאים. 
בתחום זה, הקבוצה נותנת מענה למוצרים התחליפים מתוצרת 
מתחרה באמצעות שמירה על איכות גבוהה וחדשנות שהן בין השאר 
פועל יוצא של היותה של נסטלה חברת המזון לתינוקות הגדולה 
בעולם, אשר נמצאת בחזית החדשנות והקידמה הטכנולוגית בתחום 
וכן באמצעות מיתוג המוצרים. 
ז. מבנה התחרות בתחום הפעילות ושינויים החלים בו 
בתחום פעילות זה קיים שוק תחרותי וישנה תחרות בעיקר מצד 
היבוא מחו"ל. בחודש נובמבר 2011 החלה חברת טבע לייבא 
NUTRICIA ולמכור בישראל תחליפי חלב אם מתוצרת חברת 
אשר נמכרים תחת המותג "נוטרילון". ("DANONE" (מקבוצת 
כמו כן, פורסם לאחרונה כי בכוונת חברת מדיצ'י מדיקל לחדול 
משיווק המוצר "אופטימיל". לפרטים אודות מעמדה התחרותי של 
מטרנה ראה סעיף 11.5 לפרק זה להלן. 
50 
11.2 מוצרים 
המוצרים העיקריים של הקבוצה בתחום פעילות זה משווקים בעיקרם 
של "מטרנה" וכוללים מוצרי (Corporate Brand) תחת מותג המטריה 
מזון לתינוקות – תחליפי חלב אם, דייסות, מחיות, ביסקוויטים 
לפעוטות ופסטות לפעוטות. המחיות לתינוקות שווקו עד לשנת 2012 
תחת המותג "גרבר", ובמהלך שנה זו החלה הקבוצה לשווקן תחת 
המותג "מטרנה". 
רוב מוצרי הקבוצה בתחום פעילות זה מיוצרים במפעל הקבוצה בישראל 
וחלקם (בעיקר המחיות והביסקויטים) מיובאים מנסטלה. הקבוצה 
מוכרת, משווקת ומפיצה את מוצריה בעיקר בישראל. 
כמו כן, במסגרת תחום זה מייצרת ומוכרת שותפות מטרנה מוצרים 
המשמשים כחומרי גלם לתעשיית המזון. על חומרי גלם אלה נמנים 
בעיקר מלביני מרק, מקציפים ומלביני קפה. 
11.3 פילוח הכנסות ורווחיות מוצרים
להלן נתונים אודות הכנסות הקבוצה בתחום פעילות זה. בתוך מסגרת 
זו אין אף קבוצת מוצרים ששיעור הכנסותיה מהווה 10% או יותר מסך 
הכנסות התאגיד: 
51 
קבוצת מוצרים 
דומים 
הכנסות באלפי ש"ח שיעור מכלל הכנסות הקבוצה 
2011 2012 2013 2011 2012 2013 
מזון לתינוקות 9.3% 8.7% 8.6% 369,249 355,058 358,644 
11.4 מוצרים חדשים 
בשנת 2013 הושק מטרנה אקסטרה קר קומפורט, תחליף חלב אם 
המכיל פרוביוטיקה ייחודית להקלה על העיכול החל מגיל לידה. 
כמו כן, במהלך התקופה הושקו שני מוצרים חדשים מסדרת מחיות 
מטרנה באריזה מוגדלת. 
בתחילת שנת 2013 השיקה מטרנה סדרת ביסקויטים לפעוטות 
המתאימים לתינוקות מעל גיל שנה. 
11.5 תחרות 
א. המתחרה העיקרית של שותפות מטרנה בשוק תחליפי חלב אם 
בישראל הינה "פרומדיקו בע"מ" (יבואנית "סימילאק"). 
ב. יתרונה היחסי של מטרנה על מתחריה נובע, בין היתר, מהאמון 
שרוחש הציבור למותג "מטרנה" ומן העובדה ששותפות מטרנה 
הינה היצרנית היחידה בישראל של תחליפי חלב אם, לעומת 
מתחרותיה המייבאות את מוצריהן מחו"ל. היצור המקומי מקנה 
למטרנה יתרון יחסי בהיבט הכשרות (בד"ץ העדה החרדית 
ירושלים) מול המתחרות המייבאות את המוצרים מחו"ל. שותפות 
מטרנה מתמודדת עם התחרות באמצעות שמירה על רמה איכותית 
גבוהה של מוצריה ובאמצעות הפעלת מערך שיווק הכולל, בין היתר, 
מערך תועמלנות המקשר בין החברה לגורמים רפואיים מקצועיים, 
מוקד שירות לקוחות ליצירת קשר ומתן מענה לצרכי הלקוחות 
ופעילות מול המדיה לסוגיה. כמו כן, השותפות מפעילה את "מכון 
מטרנה" לקידום מחקר תזונת התינוקות בישראל.
ג. לאחרונה פורסם, שחברת "מדיצ'י מדיקל", שהחלה לשווק תחליפי 
חלב אם בישראל תחת המותג "אופטימיל" בשנת 2008 מפסיקה 
את פעילותה בתחום זה. 
ד. בחודש נובמבר 2011 נכנס מתחרה נוסף לשוק: חברת טבע, שהחלה 
מקבוצת ) NUTRICIA לייבא תחליפי חלב אם מתוצרת חברת 
אשר נמכרים תחת המותג "נוטרילון". ("DANONE" 
ה. להלן פירוט נתחי השוק הכמותיים בישראל של הקבוצה לשנת 2013 
בהתייחס למוצרים העיקריים של הקבוצה בתחום המזון לתינוקות 
בהתאם לנתונים משוקללים המבוססים על נתוני חברת סטורנקסט 
בשוק הקמעונאי המבורקד, (המחושבים כמתואר בסעיף 7.5 (ב) 
לפרק זה לעיל), וכן הערכה לגבי הפעילות בפארמים, שחשיבותם 
בתחום המזון לתינוקות גבוהה: 
קבוצת המוצרים נתח שוק משוקלל 
תחליפי חלב אם 57% 
דייסות לתינוקות 73% 
מחיות 50% 
52 
11.6 עונתיות 
בהתאם לנתונים כדלהלן, לא ניתן להצביע על עונתיות בתחום המזון 
לתינוקות. להלן התפלגות של ההכנסות בחלוקה לפי רבעונים (באלפי 
:(₪ 
שנת 2013 שנת 2012 
הכנסות 
באלפי ₪ 
אחוז מסך הכנסות 
תחום המזון 
לתינוקות 
הכנסות באלפי 
₪ 
אחוז מסך הכנסות 
תחום המזון 
לתינוקות 
25.7% 91,262 23.2% 83,173 I רבעון 
22.7% 80,472 22.5% 80,794 II רבעון 
24.4% 86,501 25.7% 92,114 III רבעון 
27.3% 96,823 28.6% 102,563 IV רבעון 
100.0% 355,058 100.0% סה"כ 358,644
53 
11.7 כושר ייצור 
פוטנציאל כושר היצור המקסימאלי של מזון לתינוקות בשלוש משמרות 
עבודה בשנת 2013 היה כ- 10,900 טון. היצור בפועל בשנת 2013 עמד על 
ניצולת ממוצעת של כ- 50% כאשר קווי היצור פועלים במשמרת אחת 
ועד שלוש משמרות עבודה ביממה. 
הגורם המהותי בקביעת כושר הייצור של מוצרי מזון המיוצרים בשיטת 
הייבוש בהתזה הינו כושר אידוי המים של מתקן הייבוש בהתזה ביחס 
לריכוז התמיסה המיובשת. 
11.8 רכוש קבוע ומתקנים 
להלן תיאור של עיקר המקרקעין ושאר הרכוש הקבוע המהותי של 
הקבוצה, המשמשים בתחום הפעילות של המזון לתינוקות. 
מפעל מטרנה - מפעל בקיבוץ מעברות אותו שוכרת השותפות בהסכם 
שכירות לתקופה של 15 שנים. המפעל ממוקם בעמק חפר והמבנים 
הייעודיים המשמשים את מפעל מטרנה לייצור מזון לתינוקות הינם 
בשטח של כ 9,900- מ"ר. בנוסף לכך משלמת שותפות מטרנה דמי שימוש 
בגין חלקה היחסי במבנים משותפים (משרדים, מעבדות, וכו'). 
הקבוצה נוהגת להפחית בספריה את עיקר המכונות והציוד במפעליה 
השונים בתחום פעילות זה לתקופה של 5-15 שנים. 
11.9 מחקר ופיתוח 
שותפות מטרנה מקדישה מאמצים לשיפור מוצריה, מקיימת מחקרים 
אד- הוק על פי תוכניות שנתיות של מחלקות הפיתוח והשיווק שלה וכן 
מקיימת דרך קבע מגעים עם הקהילה הרפואית בישראל בעניינים 
הקשורים במזון לתינוקות, לרבות עם רופאי ילדים ותחנות טיפת חלב 
על מנת לקבל משוב על איכות המזון לתינוקות ועל אפשרויות ודרכים 
לשיפורו ופיתוחו. בנוסף, לשותפות מטרנה גישה למחקרים ופיתוחים 
של נסטלה (שהינה חברת המזון לתינוקות הגדולה בעולם) בתחום 
הפעילות. 
שותפות מטרנה משתתפת בניסויים קליניים בנושאים שונים בתחום 
המזון לתינוקות, אשר מתבצעים בבתי חולים בישראל בניהול של
רופאים ישראלים. הניסויים מהווים שלב בפיתוח מוצרים חדשים או 
שיפורים במוצרים קיימים. 
54 
11.10 הון אנושי 
א. למבנה הארגוני של הקבוצה ולפרטים נוספים לגבי ההון האנושי של 
הקבוצה בכללותה - ראו סעיף 19 לפרק זה להלן. 
ב. להלן פירוט מספר עובדי הקבוצה בתחום המזון לתינוקות ליום 
31.12.13 הכוללים עובדי יצור, מכירה, שיווק והנהלה, כאשר 
הפירוט שלהלן אינו כולל את עובדי המכירות והסחר הרשומים 
בחברת הסחר של הקבוצה, הנותנת שירותי הפצה, מכירה, 
לוגיסטיקה וסחר לרוב תחומי הפעילות של הקבוצה: 
מספר עובדים ליום 
31.12.13 
מספר עובדים ליום 
31.12.12 
ייצור 79 77 
הנהלה 6 10 
39 מכירה ושיווק 40 
11.11 חומרי גלם וספקים 
א. חומרי הגלם לייצור מזון לתינוקות הינם בעיקר אבקת חלב רזה, 
סוכר החלב (לקטוזה), תערובת שמנים צמחיים המכילה את הרכב 
חומצות השומן המותאם לחלב אם, תרכיז חלבון מי גבינה, 
וויטמינים ומינרלים. מרבית חומרי הגלם הנ"ל מיובאים מחו"ל, 
בין היתר מהולנד, דנמרק, ארה"ב וגרמניה, כאשר הכמויות 
המיובאות מכל מדינה מהמדינות הנ"ל משתנות מעת לעת. חלק 
מחומרי הגלם הנ"ל הם מוצרי מדף וחלקם מיוצרים במיוחד עבור 
שותפות מטרנה על פי הזמנות אד-הוק שלה. 
Martek Biosciences Corp. ב. על פי הסכם שנחתם באפריל 1995 עם 
(להלן ("מרטק") הוקנה למוצרי מעברות רישיון לא בלעדי ובלתי 
ניתן להעברה למכור בישראל מוצרי מטרנה כשהם מכילים את 
.LC Pufa הרכיב הנרכש ממרטק, ומכונה
את חברת מרטק. בנובמבר 2012 DSM בשנת 2011 רכשה חברת 
DSM Nutritional הצטרפה מטרנה לחוזה שנחתם בין נסטלה לבין 
ולפיו נסטלה וחברות ,(DSM מקבוצת ;"DNP" : להלן ) Products 
בתנאים שנקבעו DNP - מ LC Pufa קשורות של נסטלה תרכושנה 
בהסכם. 
לא קיימים הסכמי מסגרת של DNP ג. למעט ההתקשרות הנ"ל עם 
מטרנה המסדירים התקשרויות ארוכות טווח עם ספקי חומרי גלם. 
להערכת החברה, לא קיימת תלות בין מטרנה לבין ספקים במובן זה 
שיציאת ספק כלשהו מרשימת הספקים לא תגרום למטרנה תוספת 
עלות מהותית כתוצאה מן הצורך לעבור לספק חלופי, בין השאר, 
בשל העובדה שבמרבית המקרים מטרנה נוקטת במדיניות רכישת 
חומרי גלם ממספר מקורות על מנת למנוע תלות בספק אחד. 
ד. לשותפות מטרנה סדרת תחליפי חלב אם בהכשר בד"צ עבור העדה 
החרדית. שלושה מרכיבים של תחליפים כאמור מיוצרים על ידי שני 
ספקים מסוימים. אי אספקתם תסב את הכשר הבד"צ להכשר 
רגיל. 
ה. תחליפי חלב אם המיוצרים על ידי מטרנה נארזים באריזה ייחודית. 
החלפת ספק האריזה כרוכה בפרק זמן של מספר חודשים. 
55
56 
12 . פעילויות אחרות 
לקבוצה פעילויות שונות שאינן נכללות בתחומי הפעילות שתוארו לעיל , והן אינן 
עונות על הסף הכמותי להצגה בדוחות הכספיים כמגזרים ברי דיווח ולכן הן נכללות 
בדוחות הכספיים של החברה ליום 31.12.2013 במגזר "אחרים".פעילויות אלו 
כוללות: 
12.1 גלידות 
המוצרים העיקריים של הקבוצה במסגרת זו כוללים גלידות המשווקות 
תחת המותג "גלידות נסטלה" הכוללים, בין השאר, גלידות ושלגונים 
במותגים "נוק-אאוט", "אקסטרים", "קראנץ" ועוד וכן אריזות 
משפחתיות במותג "לה- קרמריה", אריזות פרמיום במותג "ג'ויה", 
מאגדות שלגונים למינהן וסנדביצ'ים מופחתי שומן במותג "סקיני קאו". 
בתחום זה קיימת תחרות גבוהה בין יצרני המזון הגדולים המקומיים וכן 
יצרנים בינוניים וקטנים, לרבות גלידריות. המתחרה העיקרי של 
הקבוצה בקטגורית הגלידות הינו "גלידת שטראוס" של חברת 
"יוניליבר". 
נתח השוק הכספי של הקבוצה בשנת 2013 בתחום הגלידות עמד על 37% 
והוא נקבע בהתאם לנתונים משוקללים המבוססים על נתוני חברת 
סטורנקסט בשוק הקמעונאי המבורקד. 
המפעל המשמש ליצור גלידות ממוקם באזור התעשייה של באר- טוביה. 
המפעל (לרבות המחסנים שמשמשים אותו) מצוי בשטח של כ- 38 דונם 
ובשטח בנוי של כ- 12,000 מ"ר. הקבוצה שוכרת את המקרקעין בהסכם 
. שכירות ארוך טווח המסתיים בפברואר 2024 
הקבוצה עוסקת באופן שוטף במחקר ופיתוח של טכנולוגיות חדשות 
ומוצרים חדשים מתוך מטרה להקנות לה יתרון יחסי על פני מתחרותיה 
בארץ ובעולם בתחום האיכות, המרקם והטעם של מוצריה בתחום 
הגלידות. 
הפיתוח, הטכנולוגיה וחדשנות המוצרים בקטגורית מוצרי הגלידה 
מבוצעים תוך שימוש מקיף בידע ובטכנולוגיה של נסטלה.
57 
12.2 אסמים חבילות שי 
אסמים חבילות שי הוקמה בשנת 1999 ועוסקת באריזה ושיווק חבילות 
שי המורכבות בעיקר ממוצרי אסם ונסטלה בתחום החטיפים, המאפה, 
הקפה, השוקולד וכן מוצרים משלימים מיצרנים אחרים. בנוסף לכך 
עוסקת אסמים חבילות שי ביבוא, שיווק והפצה של מוצרי השוקולד של 
נסטלה. אסמים חבילות שי מעסיקה כ 30- עובדים קבועים כשפעילות 
הכנת החבילות והמחסנים ממוקמים באתר שהחברה שכרה באזור 
התעשייה באור- עקיבא בשטח כולל של כ- 4,650 מ"ר. 
12.3 תוצרת קנויה 
לקבוצה הסכמי הפצה לפיהם מפיצה הקבוצה גם מוצרים של יצרנים 
אחרים ובתנאי שמוצרים אלו אינם מתחרים במוצרי הקבוצה. בפעילות 
זו הקבוצה עושה שימוש בתשתיות הקיימות של המחסנים והמרכז 
הלוגיסטי וכן במערך ההפצה והסחר של הקבוצה. הסכמי ההפצה 
העיקריים הם עם "תפוגן", "מילוטל", "עוף טוב", "דורות" ו"לנדוור". 
12.4 חברות שיווק בחו"ל 
לקבוצה שתי חברות בנות נוספות העוסקות בשיווק, הפצה ומכירה 
פועלת באנגליה ומפיצה את מוצרי UK בחו"ל. חברת הבת אסם 
מפיצה באנגליה גם מוצרים של יצרנים ישראלים UK הקבוצה. אסם 
אחרים שהעיקריים שבהם כוללים את "טיב טירת צבי", "עוף הגליל" 
ו"תנובה גליל". 
מפיצה מוצרים שונים של נסטלה לרשתות השיווק UK בנוסף לכך אסם 
,"Milo" הגדולות ולשוק האתני באנגליה, בעיקר תחת המותגים 
ו- "Thomy", "Rowntrees Cocoa" ,"Maggi" , "Nido" ,"Caro" 
את הפעילות של חברת UK בשנת 2009 רכשה אסם ."Polish Winiary" 
"ירדן" באנגליה אשר עיקר פעילותה התמקדה בהפצה ושיווק של 
מוצרים כשרים לשוק היהודי באנגליה (כולל מוצרים קפואים ומצוננים). 
המפיצה USA בארה"ב מתבצעת הפעילות באמצעות חברת הבת אסם 
את מוצרי הקבוצה ( למעט מוצרים מתחום המזון המוכן) בעיקר לשוק 
מפיצה בארה"ב בעיקר לשוק הכשר USA היהודי הכשר. כמו כן, אסם 
גם מוצרים של יצרנים ישראלים אחרים (בעיקר תחת המותג "אסם")
שהעיקריים שבהם כוללים את "אם החיטה", "מנעמים", "קוסקוס 
מפיצה מוצרים של יצרנים לא USA מזון" ו"קיבוץ עינת". בנוסף, אסם 
ישראלים לרבות קפה ואבקת שוקו כשרים לפסח של נסטלה בעיקר תחת 
המותגים "נסקפה", "טסטרס צ'ויס" ו-"נסקוויק". 
58 
12.5 מזון לחיות מחמד 
הקבוצה עוסקת ביבוא, שיווק והפצה בישראל של מוצרי מזון לחיות 
מחמד המיוצרים על ידי נסטלה. המוצרים מיובאים בעיקר תחת 
המותגים "פורינה", "פרו-פלאן", "פריסקיז", "דוגלי" וכן "פנסי פיסט". 
המכירה וההפצה נעשית באמצעות מערכות ההפצה והסחר של קבוצת 
אסם, למעט המכירה וההפצה לחנויות המתמחות במכירת מזון לחיות 
מחמד, אליהן ההפצה והמכירה נעשית באמצעות מפיץ צד ג'. 
(Nestea 12.6 תה קר (במותג 
.Nestea הקבוצה עוסקת ביבוא, שיווק והפצה של תה קר תחת המותג 
חברת ) Nestle הינו מותג רשום הנמצא בבעלותה של Nestea המותג 
האם של אסם). 
מיוצרים על ידי חברת סאן פלגרינו Nestea מוצרי התה הקר של 
באיטליה (שאף היא חברת בת של נסטלה) והמוצרים הינם היחידים 
מסוגם בישראל המכילים מי מעיינות טבעיים (ממעיינות סאן פלגרינו). 
נתח השוק הממוצע בשנת 2013 (שהינה שנת הפעילות המלאה הראשונה) 
. הגיע לכדי 19%
חלק רביעי - עניינים הנוגעים לפעילות הקבוצה בכללותה 
59 
13 . לקוחות 
א. כללי - לחברה פיזור רחב של לקוחות, המונים אלפי לקוחות ולמעלה מ- 10,000 
נקודות מכירה, אשר נחלקים ללקוחות השוק המאורגן (רשתות המזון 
הגדולות), לקוחות שוק הרשתות הפרטיות, לקוחות השוק הפרטי (כגון חנויות 
מכולת ומינימרקטים) וכן לקוחות השוק המקצועי (כגון חברות קייטרינג, 
מסעדות, בתי מלון, מוסדות ציבור וגופים מוסדיים בינוניים וגדולים). 
קשרי הסחר של הקבוצה עם לקוחותיה הינם ככלל ארוכי טווח, לקוחות אלו 
מגלים נאמנות למוצרי הקבוצה בשל מיתוג המוצרים, איכות המוצרים ורמת 
השירות. 
ב. מאפייני לקוחות - לקבוצה מעגל רחב של לקוחות הכולל בתוכו את השוק 
המאורגן המכיל את רשתות המזון הגדולות ("שופרסל", "מגה קמעונאות") וכן 
את רשת "סופרפארם", שוק הרשתות הפרטיות הכולל בתוכו את הרשתות 
הפרטיות הגדולות ("רמי לוי" , "יינות ביתן", "כמעט חינם", "חצי חינם" , 
"אושר עד", "טיב טעם" ורשתות פרטיות גדולות אחרות), לקוחות השוק 
הפרטי הכוללים את הסופרמרקטים והמינימרקטים השכונתיים, חנויות 
מכולת וקיוסקים וכן לקוחות השוק המקצועי הכוללים בתי מלון, מסעדות 
וגופים מוסדיים אחרים. 
החברה הגיעה להסכמות עם הרשתות שופרסל ומגה קמעונאות בשנים 2010 ו- 
2012 בהתאמה, במסגרתם הועברה פעילות הסדרנות של מוצרי הקבוצה 
לאחריות ולטיפול הרשתות. להעברת פעילות הסדרנות לאחריות וטיפול 
הרשתות לא היו השלכות כספיות משמעותיות על הקבוצה, היות והתשלום 
לרשתות בגין שירותי הסדרנות דומה בעיקרו להוצאות השכר שהקבוצה נהגה 
לשלם לסדרניות עובר להחלטה על העברת הפעילות. עלויות המעבר החד 
פעמיות לרבות אלו הכרוכות בסדרניות שפרשו מעבודתן בחברה (וחלקן נקלטו 
ברשתות) אינן מהותיות. 
בנוסף לכך לקבוצה ישנם מגוון לקוחות בחו"ל הכוללים את רשתות השיווק 
מוריסון", WM" , " הגדולות כמו "טסקו", "סיינסבוריס", "וויטרוז", "אסדה 
דלהיז", " ,"C&S" ," "אלברט היין", "איקה", "אדיקה", "סטופ אנד שופ 
"וולמארט", "קוסטקו", "קרוגר", "סייפווי" ואחרים. לחלק מלקוחות הקבוצה 
בחו"ל המכירות הן תחת מותג פרטי.
להלן התפלגות המכירות ללקוחות הקבוצה בשנת 2013 על פי השיוך 
הסקטוריאלי של הלקוחות: 
לקוחות השוק המאורגן 24% 
לקוחות שוק הרשתות הפרטיות 21% 
לקוחות השוק הפרטי 32% 
לקוחות השוק המקצועי 8% 
לקוחות בחו"ל 15% 
לקבוצה לקוח קמעונאי אחד הנמנה על "השוק המאורגן" אשר היקף המכירות 
אליו בשנת 2013 עלה על 10% מכלל ההכנסות בדוח רווח והפסד המאוחד וזאת 
כמפורט בבאור 23 א. 3. לדוחות הכספיים הכלולים בדוח תקופתי זה. לקבוצה 
הסכמות מסחריות עם רשתות השיווק הגדולות ובכלל כך עם שופרסל ומגה 
קמעונאות, הנקבעות לרוב לגבי שנה קלנדארית, והכוללות התייחסות לתנאי 
המכר והנחות וכן לפעילויות המכירה השוטפת בסניפי הרשת (בעיקר שטחי 
מדף, הכנסת מוצרים חדשים וכדומה) הנקבעות במו"מ בין הצדדים. הנחות 
משתנות ותשלומים בגין קד"מ ופרסום משותף נקבעים מעת לעת לפי שיקול 
דעת החברה. במסגרת ההתקשרויות הקיימות בין הקבוצה לרשתות כאמור 
נקבעו תנאי אשראי שונים. על אף שכל אחד משני הלקוחות הנ"ל הינו לקוח 
חשוב שאבדנו עלול להקטין את המכירות והרווחיות, להערכת החברה אין לה 
תלות בהם. 
60 
14 . הפצה ושיווק 
א. ככלל, הקבוצה משווקת ומפיצה את מוצריה בארץ באופן עצמאי אם כי לחלק 
מהלקוחות בתחום המזון הקפוא, המצונן והאימפלס ולחלק מהלקוחות במוצרי 
המזון לחיות מחמד, נעשית ההפצה באמצעות מפיצים עצמאיים. לקבוצה 
שליטה מלאה על מערכות ההפצה והשיווק בישראל וביכולתה להפיץ את 
מוצריה לכל סופרמרקט, חנות מכולת או קיוסק בכל רחבי הארץ לרבות 
בפריפריה. 
בשטחי הגדה המערבית וברצועת עזה, הקבוצה עושה שימוש במפיצים 
מקומיים.
מערכות ההפצה והסחר של פעילות המזון המופץ בטמפרטורת החדר, ושל 
פעילות המזון הקפוא והמצונן (להוציא מוצרי הגלידות, כמתואר להלן) 
משולבות למערכת מכירות אחת - קבוצת אסם סחר, באופן המאפשר לחברה 
להפעיל אסטרטגיות מכירה מתקדמות ומתמחות, שמשמעותן שיפור השירות 
ללקוחות החברה, התייעלות בתחומי המכירה והלוגיסטיקה, גמישות יתר 
לצרכי השוק ומתן פתרונות מקצועיים מגוונים. מוצרי הגלידות מופצים באופן 
נפרד באמצעות מערכת עצמאית נפרדת. 
לצורך פעילות ההפצה הקימה הקבוצה מרכז הפצה ולוגיסטיקה ארצי לכל 
מוצרי הקבוצה (מזון בטמפרטורת החדר, מזון מצונן וקפוא) התורם לשיפור 
היעילות התפעולית כמפורט בסעיף 16 (ב) לפרק זה. 
ב. השיווק וההפצה בחו"ל נעשים בין השאר באמצעות שתי חברות בנות בשליטה 
U.S.A. האחראית על השיווק וההפצה באנגליה ואסם U.K. מלאה - אסם 
האחראית על השיווק וההפצה בארה"ב; בנוסף, הפצת מוצרי טבעול באירופה 
נעשית, בין השאר, באמצעות חברת טבעול אירופה שמרכזה בהולנד. בשנת 
את הפעילות של חברת "ירדן" באנגליה אשר עיקר U.K. 2009 רכשה אסם 
פעילותה התמקדה בהפצה ושיווק של מוצרים כשרים לשוק היהודי באנגליה 
(כולל מוצרים קפואים ומצוננים). 
העוסקת בתחום הסלטים הים-תיכוניים ובתחום תחליפי Tribe כמו כן, לחברת 
הבשר, אשר פועלת בארה"ב, יש מערכת מכירתית ניהולית שפועלת באמצעות 
מפיצים. 
ג. הקבוצה תומכת במותגיה המובילים באמצעות צינורות שיווק ותקשורת 
שיווקית בהתאם למטרות האסטרטגיות אשר מציבה הנהלת החברה לגבי כל 
אחד מתחומי הפעילות והמותגים. החברה, בשיתוף עם משרדי פרסום, פועלת 
במספר צינורות שיווק וקידום מכירות, העיקריים שבהם הינם כדלקמן: 
פרסום במדיה - החברה מפרסמת את מוצריה באמצעי המדיה הפונים לקהל 
הרחב, לרבות פרסום בטלוויזיה בערוצים המסחריים, רדיו, אינטרנט, שילוט 
חוצות, קולנוע, עיתונים וירחונים מקצועיים. עיקר הפרסום של הקבוצה מופנה 
לטלוויזיה. הקבוצה עושה שימוש בידע השיווקי של נסטלה בקטגוריות השונות 
שבהם נסטלה פועלת, לרבות אפשרות לשימוש בהפקות ובפרסומות שנעשו ע"י 
נסטלה בעולם. 
61
קידום מכירות - החברה מקיימת פעילויות קידום מכירות בשטח כגון טעימות 
מוצרים בנקודות מכירה, חלוקת דוגמיות, אירועים, מבצעי קידום מכירות 
המטפלת בחיבור שבין (CCSD) ועוד. בקבוצה קיימת מחלקה ייעודית 
הקבוצה לקונה המגיע לנקודת המכירה ולקמעונאים. מחלקה זו היא 
המוציאה לפועל של פעילות המבצעים וקידום המכירות בהתאם לתוכניות 
השיווקיות של הקבוצה, ואחראית על שיווק הפעילויות לקהל הקמעונאים, זאת 
באמצעות עיתון חודשי המציג את מגוון ההשקות והפעילויות השיווקיות ואת 
אמצעי הקידום והנראות להצבה בנקודות המכירה. 
שירות צרכנים - הקבוצה מפעילה שירות לקוחות וצרכנים באמצעות מוקד 
שירות טלפוני בקריית מלאכי, המאפשר קשר ישיר עם לקוחות וצרכנים ומענה 
על שאלות ופתרון בעיות נקודתיות אצל הצרכן הסופי; 
מחקרי שוק - הקבוצה מבצעת מחקרי שוק וסקרים בכדי לבחון מגמות בשוק 
ומאפייני צריכה בקטגוריות השונות בהן היא פועלת. מחקרי השוק והסקרים 
מקנים לקבוצה תובנות שיווקיות ומסייעים לקביעת התוכניות השיווקיות 
שמטרתן הגדלת המכירות תוך כדי בניה וחיזוק של מותגי הקבוצה. מחקרי 
השוק והסקרים כוללים בין השאר את סטורנקסט, נילסן, סקרים מן המדף, 
סקרים ומחקרים ספציפיים. בנוסף לכך, הקבוצה מסתייעת בנסטלה ועושה 
שימוש בידע, ובמחקרי השוק הגלובליים של נסטלה הבוחנים מגמות ומאפייני 
צריכה של קטגוריות שונות בעולם מתוך כוונה לקבל תובנות לגבי המגמות 
הצפויות בישראל. 
שיווק מול קהל מקצועי - קבוצת אסם מפרסמת מגזינים ומאמרים לקהל 
המקצועי העוסקים בנושאי בריאות ותזונה וכן מפרסמת מאמרים ויוזמת 
מפגשים לקהל הרחב בנושא תזונה ע"י צוות התזונאים של קבוצת אסם. בנוסף, 
בתחום המזון לתינוקות אל מול קהל מקצועי כגון רופאים ואחיות בבתי חולים. 
סדנאות ללקוחות השוק המקצועי - האקדמיה של אסם נסטלה פרופשיונל, 
מציעה מגוון סדנאות לשוק המקצועי (בתי מלון, מסעדות וגופים מוסדיים) 
בהדרכת שפים מקצועיים ומומחים בעלי ניסיון רב ושם עולמי. 
הוצאות הפרסום וקידום המכירות של הקבוצה הינם כמפורט בביאור 23 ג. 
לדוחות הכספיים המצורפים לדוח תקופתי זה. 
62 
15 . צבר הזמנות
כמקובל בתחום שבו פועלת הקבוצה, נהוגה מכירה מהמלאי על פי הזמנות בדידות. 
בהתאם לכך אין לקבוצה צבר הזמנות משמעותי. 
63 
16 . רכוש קבוע ומתקנים 
מרכזי הפצה, לוגיסטיקה ושטעון ומטה ההנהלה 
א. בניין ההנהלה ומטה הקבוצה 
ההנהלה ומטה הקבוצה נמצאים במשרדים אשר נרכשו בחכירה לדורות 
והממוקמים בחבל מודיעין בסמוך לשוהם ובצמוד למרכז הלוגיסטי של 
הקבוצה. שטח בניין המשרדים הוא כ 13,000- מ"ר. 
ב. מרכז הפצה ולוגיסטיקה ארצי 
מרכז הפצה ולוגיסטיקה ארצי לכל מוצרי הקבוצה (מוצרי מזון בטמפרטורת 
החדר, מזון מצונן ומזון קפוא) אשר נרכש בחכירה לדורות וממוקם על שטח של 
למעלה מ- 100 דונם קרקע באזור התעשייה חבל מודיעין בסמוך לשוהם והוקם 
בהשקעה של כ- 100 מיליון דולר (שכללה גם את הקמת המשרדים). הקמת מרכז 
ההפצה ששטחו הבנוי הוא כ 40,000- מ"ר, תורמת לשיפור היעילות התפעולית 
הן על ידי מיזוג מרכזי ההפצה השונים שהיו קיימים בעבר לאתר מרכזי אחד, 
והן באמצעות מיקומו האסטרטגי במרכז הארץ, סמוך לתוואי של כביש מספר 6 
ובסמוך למרכזי האוכלוסין. המרכז הלוגיסטי מבוסס על טכנולוגיה חדישה ועל 
מערך ממוחשב ואוטומטי תוך שילוב של אחסון אוטומטי ופיקוד רדיו אלחוטי. 
מחסני המרכז הלוגיסטי נמצאים בתפוסה של כ 90%- ברוב ימות השנה, אך 
בתכנונו נלקחה בחשבון הרחבה נוספת בעתיד. 
בנוסף למרכז הלוגיסטי הארצי קיימים אתרי שטעון עיקריים שכוללים בתוכם 
את האתרים ברמת- השופט (האחראי על מוצרים בטמפרטורת החדר באזור 
הצפון), אזור התעשייה של מילואות (האחראי על מוצרים קפואים ומצוננים 
באזור הצפון), באר-שבע (האחראי על אזור הדרום) ואילת. אתרים אלו הינם 
בשכירות למעט האתר בבאר- שבע שהוא בחכירה לדורות ועליו בנוי מבנה 
הקבוצה. 
מפעלי הקבוצה 
לפרטים אודות מפעלי הקבוצה המשמשים את הקבוצה, בישראל ובחו"ל לייצור 
מוצרי הקבוצה, ראו סעיפים 7.8 (א)-(ג), 8.8 (א)-(ג), 9.8 (א)- (ג), 10.8 (א)-(ה), 11.8 ו- 
12.1 לפרק זה לעיל.
64 
17 . מחקר ופיתוח 
הקבוצה רואה חשיבות רבה בפיתוח אינטנסיבי של מוצרים חדשים והחדרתם לשוק 
מתוך מטרה לשמור על נתחי השוק ואף להגדילם וכן לשמור על היתרון היחסי של 
איכות מוצריה. עבודות הפיתוח של המוצרים החדשים נעשית במעבדות הפועלות 
במסגרת העבודה השוטפת במחלקה הטכנולוגית המפעילה טכנולוגים, מהנדסים 
וכימאים. הקבוצה אינה נוהגת לבצע הפרדה של עלויות הפיתוח והן אינן עלויות 
מהותיות. כמו כן הקבוצה אינה מבצעת פיתוחים ספציפיים עבור לקוחות מסוימים 
במימון הלקוחות. מאחר והקבוצה הינה צד להסכמים עם חברת האם נסטלה - 
חברת המזון הגדולה בעולם, בקשר עם שימוש בידע ובקניין רוחני של נסטלה, היא 
נהנית מפירות המחקר והפיתוח שמשקיעה נסטלה במוצרים אלו. למיטב ידיעת 
החברה, קבוצת נסטלה משקיעה למעלה ממיליארד דולר בשנה בפיתוח מוצרים 
חדשים באמצעות למעלה מ 30- מרכזי מחקר ופיתוח הפזורים ברחבי העולם. 
בשנת 2002 הקימה נסטלה בישראל (בעיר שדרות, בצמוד למפעל הקבוצה) מרכז 
מחקר ופיתוח עולמי בתחום החטיפים. הקבוצה עושה שימוש בידע ובטכנולוגיה 
שפותחו ושיפותחו במרכז פיתוח זה וכן עושה שימוש במוצרים החדשים שפותחו 
ויפותחו. כמו כן קבוצת אסם קיבלה מענקי פיתוח מהמדען הראשי בסכומים 
שאינם מהותיים. 
18 . נכסים לא מוחשיים 
א. ידע - נכסי הקניין הרוחני של הקבוצה כוללים בתוכם את מלוא הידע העסקי, 
המסחרי והמקצועי אשר שימש ומשמש את הקבוצה בפעילותה העסקית, 
לרבות הידע היצורי והשיווקי, ובכלל זאת נוסחאות, אופן השימוש בחומרי 
גלם, מקורות רכישתם ושמות וכתובות הספקים, כמויותיהם ואיכותם, תהליכי 
היצור, הפעלת הציוד ויצור המוצרים, שיווקם, הפצתם, מכירתם ודרכי 
אחסונם, רשימת הלקוחות, מחקרי שוק, תכנונים שיווקיים, יצוריים 
והנדסיים. 
ב. סימנים מסחריים ומותגים - הסימנים המסחריים והמותגים העיקריים של 
אסם" המשמש " (Corporate Brand) הקבוצה כוללים בתוכם את מותג - העל 
כמותג מטריה לתחום המוצרים המופצים בטמפרטורת החדר, זאת בנוסף 
למותגים הספציפיים בתחום הקטגוריה הספציפית כמו "במבה" ו"ביסלי" 
בתחום החטיפים, "הבית" ו"לחמית" בתחום המאפה ו"פרפקטו" ו"מנה חמה"
בתחום הקולינרי. המותג "טבעול" משמש כמותג מטריה למוצרי בריאות 
ותחליפי בשר בתחום המזון הקפוא. המותג "בונז'ור" משמש את הקבוצה 
בתחום המאפה. המותג "צבר" משמש את הקבוצה למוצרי הסלטים. המותג 
"בית-השיטה" משמש את הקבוצה בתחום המזון הקולינארי בקשר עם מוצרי 
חמוצים והמותגים "עסיס" ו"ויטמינצ'יק" משמשים את הקבוצה בתחום 
המאפה והמשקאות ביחס למוצרי התרכיזים. כל המותגים המוזכרים לעיל 
הינם מובילים בתחומם ובנוסף להם לקבוצה מותגים שונים נוספים. למותגי 
הקבוצה חשיבות רבה והשפעה רבה כסמל לאיכות המוצרים והקבוצה רואה 
במותגיה חלק מנכסיה העיקריים. החברה השקיעה משאבים רבים לאורך 
עשרות שנים בבניית מותגיה. העלויות שהושקעו לאורך השנים כמו גם אורך 
החיים של המותגים אינם ניתנים לכימות. ככלל, המותגים וסימני המסחר 
בהם עושה הקבוצה שימוש, רשומים אצל רשם סימני המסחר. 
ג. רישיונות וזיכיונות - פעילות הקבוצה כוללת בתוכה גם את מוצרי נסטלה, 
שהידע לייצורם והמותגים שלהם אינם בבעלות הקבוצה. לקבוצה יש זכות 
בלעדית לעשות שימוש בקניין הרוחני של נסטלה בישראל ו/או להפיץ מוצרי 
Corporate ) נסטלה בישראל. בהקשר זה עושה הקבוצה שימוש במותג העל 
וזאת בנוסף למותגים הספציפיים בתחום הקטגוריה (Nestle) נסטלה (Brand 
"Nestea" , במוצרי הקפה "Nescafe Red Mug" - ו "Taster's Choice" (כמו 
,"Cheerios" , במוצרי השוקולד "KitKat" ו "Baci" , במוצרי המשקאות 
במוצרי המזון "Purina" במוצרי דגני הבוקר ו "Crunch" - ו ,"Trix" ,"Fitness" 
לחיות מחמד). בנוסף, הקבוצה מייצרת את מוצרי הגלידה של נסטלה בישראל 
תוך שימוש בידע, בטכנולוגיה ובמותגים של נסטלה. 
הפועלות Food Tech - ו Tribe בשנת 2008 רכשה הקבוצה את פעילות חברת 
בארה"ב בתחום הסלטים ובתחום תחליפי הבשר, בפעילויות אלו יש לקבוצה 
שהועמדו לה ע"י נסטלה Veggie Patch - ו Tribe זכויות שימוש במותגים של 
מכוח הסכמי רישיון וכן בידע נוסף של נסטלה. בתחום המזון לתינוקות יש 
לקבוצה, מכוח מערכת הסכמית של שותפות מטרנה עם נסטלה, זכויות שימוש 
בידע ובמותג של גרבר וכן בידע ובמותג של מטרנה ( 51% מהידע והמותג של 
מטרנה נרכשו על- ידי נסטלה ו- 49% מהם מוחזקים על- ידי מוצרי מעברות), 
וזאת בנוסף לידע ומותגים אחרים שיש לנסטלה בתחום המזון לתינוקות. בנוסף 
לכך מקבלת הקבוצה זכויות שימוש נרחבות בידע של נסטלה, ובכלל זאת, ידע 
65
טכני, מדעי, שיווקי, לוגיסטי, מכירתי, ייצורי, מחשובי ופיננסי. לפרטים נוספים 
ראה תקנה 22 לפרק "הפרטים הנוספים על התאגיד" הנכלל בדוח תקופתי זה. 
ד. מוניטין – לקבוצה מוניטין רב עצמה שנצבר לאורך השנים מאז הקמתה בשנת 
1942 . למוניטין הקבוצה חשיבות רבה והשפעה רבה כסמל לאיכות החברה 
ומוצריה והקבוצה רואה במוניטין שנצבר את אחד מנכסיה העיקריים. בנוסף 
לכך לקבוצה מוניטין שנרכש כחלק מעלות רכישת חברות הבנות לאורך השנים. 
מוניטין זה כולל בעיקרו את המוניטין של חברות הבנות טבעול (לרבות צבר 
לרבות פודטק ) ,Tribe ,( שמוזגה עם טבעול), בונז'ור (שמוזגה לאסם השקעות 
66 
מטרנה ועוד. ,(Tribe- שמוזגה ל 
ה. מידע כספי – העלויות שהושקעו בנכסים הלא מוחשיים והסכומים שהוכרו 
בגינם כנכס בדוחות הכספיים בהתאם לכללי חשבונאות מקובלים, מפורטים 
בבאור 13 בדוחות הכספיים הנכללים בדוח תקופתי זה.
ר בסעיף 19 ג' 
הבכירה 
, מנהלי 
הארגוני 
שקאות 
חטיבה 
קבוצה: 
ארגוני של הק 
ה הארגוני כמתואר 
המבנה הא 
20 חל שינוי במבנה 
י ההנהלה ה 
סמנכ"לים, 
הלן תרשים 
20 . החל משנת 014 
ל 
וכן על ידי 
ם למנכ"ל, ס 
שפטי. 
נוי במבנה ה 
מאפה והמש 
על הקמת 
י שהיה בשנת 013 
ידי המנכ"ה, המשנים 
היועץ המש 
ברה על שינ 
חטיבת המ 
ביל הוחלט 
נוהלת על י 
כ"ל הקבוצ 
גפי המטה ו 
קטוריון החב 
החטיפים, 
חת. במקב 
ות. 
חליט דירק 
דו חטיבת 
ה עסקית אח 
ים ובחדשנו 
67 
י 
ם המבנה הא 
ארגוני - לה 
למבנה הארגוני כפ 
התרשים מתייחס ל 
לפרק זה. 
הארגוני - 
בוצה הכולל 
ת העסקיות 
ם מבניים - 
ך 17 בדצמב 
ברה, שבמס 
ת דגני הבוק 
שתטפל בעס 
הקבוצה מ 
לת את מנכ 
ת, מנהלי אג 
בר 2012 , ה 
סגרתו אוח 
קר לחטיבה 
סקים חדשי 
הון אנושי 
א. תרשים 
ה  
ל 
ב. המבנה 
של הקב 
היחידות 
ג. שינויים 
בתאריך 
של החב 
וחטיבת 
חדשה ש 
19 . ה 
א 
ב 
ג
ההחלטה בדבר השינוי הארגוני האמור התקבלה, בין היתר, במטרה לתת מענה 
להתפתחויות בשוק המזון בישראל, הצורך בשיפור מוטת השליטה של המנכ"ל 
והצורך בהגברת המיקוד הניהולי ביחס לקטגוריות מזון מסוימות. 
בהתאם להחלטת הדירקטוריון, השינוי במבנה הארגוני נכנס לתוקף ביום 
.1.1.2013 
כמו כן, החל מחודש ינואר 2013 חל שינוי ארגוני נוסף על פיו הוכפפו מפעלי 
הקבוצה לניהולו הישיר של המשנה למנכ"ל לתפעול (קודם לכן היו כפופים 
למנהלי היחידות העסקיות/חטיבות). בד בבד, מנהלי היחידות העסקיות, 
ממשיכים להיות מעורבים בסוגיות ובהחלטות תפעוליות רלוונטיות עם 
השלכות עסקיות. 
מתוך מטרה להדגיש ולחזק את המיקוד הניהולי והסינרגיה של הפעילות 
הבינלאומית של הקבוצה, החליט הדירקטוריון ביום 21 בנובמבר 2013 על 
שינוי מבנה בחטיבת המזון המוכן ולהקים חטיבה נפרדת שתתמקד בפעילות 
אסם ,UK הבינלאומית של הקבוצה שתכלול את טבעול אירופה, טרייב, אסם 
פעילות היצוא של הקבוצה וכן הזדמנויות בינלאומיות עתידיות. ,USA 
כחלק מהשינוי המוצע, פעילות טבעול ישראל תעבור לאחריות החטיבה 
הקולינארית ופעילות סלטי צבר תשאר יחידה עצמאית שתדווח ישירות 
. למנכ"ל. השינוי נכנס לתוקף בתחילת שנת 2014 
ד. מצבת העובדים - מספר המועסקים בקבוצה עומד נכון ליום 31.12.2013 על כ- 
4,700 עובדים. עובדי מכירה והפצה (נהגים, סוכנים, סדרניות, נציגות, 
מחסנאים וכו') וכן עובדי הנהלה ומטה (תפעול, שיווק, כספים וכו') נותנים 
שירותים משותפים לכל תחומי הפעילות. במהלך שנת 2013 לא חלו שינויים 
מהותיים במצבת העובדים. להערכת הקבוצה אין לה תלות מהותית בעובד 
מסוים. 
68
מספר העובדים ליום 31.12.13 
69 
עובדי 
ייצור 
עובדי מכירה, שיווק 
הפצה ולוגיסטיקה 
עובדי הנהלה סה"כ 
עובדי 
הקבוצה 
קולינארי 277 13 9 255 
338 1 8 חטיפים ודגני בוקר 329 
מאפה ומשקאות 230 1 5 224 
מזון מוכן 1,035 41 96 898 
מזון לתינוקות 127 10 40 77 
אחרים 386 30 153 203 
300 6 294 
עובדי מפעל כללים 1,624 שירותים 1,624 
משותפים הפצה 
וסחר 
שירותים משותפים 
הנהלה ומטה 
381 300 81 
סה"כ עובדי הקבוצה 4,698 396 2,022 2,280 
מספר העובדים ליום 31.12.12 
עובדי 
ייצור 
עובדי מכירה, שיווק 
הפצה ולוגיסטיקה 
עובדי הנהלה סה"כ 
עובדי 
הקבוצה 
קולינארי 315 12 10 293 
358 5 6 חטיפים ודגני בוקר 347 
מאפה ומשקאות 243 5 6 232 
מזון מוכן 1,054 56 90 908 
מזון לתינוקות 124 6 39 79 
אחרים 410 36 143 231 
308 7 301 
עובדי מפעל כללים 1,607 שירותים 1,607 
משותפים הפצה 
וסחר 
שירותים משותפים 
הנהלה ומטה 
378 313 65 
סה"כ עובדי הקבוצה 4,797 433 1,973 2,391 
ה. אימונים והדרכה - הקבוצה משקיעה משאבים בהדרכות מקצועיות בהתאם 
לדרישות החוק, נהלי הקבוצה וכחלק משאיפת הקבוצה לשפר ולקדם באופן 
שוטף את הכשירות המקצועית של העובדים. תוכנית ההדרכה נבנית כך 
שתתייחס לצרכים השונים של כלל הקבוצות המקצועיות השונות בקבוצה. 
תוכנית זו משלבת בין קורסים פנים ארגוניים, המאורגנים ע"י מנהלי משאבי
אנוש ביחידות ומחלקת הדרכה במטה הקבוצה, לבין ימי עיון והשתלמויות 
מקצועיות מחוץ לארגון. 
כחלק מהשותפות עם חברת נסטלה, הקבוצה שולחת מעת לעת, על פי הצורך, 
עובדים ומנהלים לכנסים מקצועיים בנסטלה להעמקת הידע והכלים בתחומים 
השונים. כמו כן הקבוצה שולחת עובדים ומנהלים לקורסי פיתוח ניהוליים 
.(Rive-Reine) במסגרת מרכז ההדרכה העולמי של נסטלה בשוויץ 
ו. תכניות תגמול לעובדים - הקבוצה מתגמלת את עובדיה באמצעות תוספות שכר 
מפעליות ובאמצעות בונוסים שנתיים הניתנים כפונקציה של הישגי העובד 
והקבוצה, זאת בהתאם לתכנית תגמול שנתית המאושרת מדי שנה בדירקטוריון 
החברה; בנוסף, חלק מהבונוסים לעובדים הבכירים צמודים לעליית ערך המניה 
(אופציות פאנטום). בנוסף לכך הקבוצה מתגמלת את עובדיה המצטיינים 
באמצעות פרס העובד המצטיין ובאמצעות פרס המייסדים הניתן לעובד 
המצטיין בכל אתר ומתבטא בפרס כספי. בנוסף קיימים בקבוצה מגוון תהליכים 
מובנים, במסגרתם עובדים זוכים בפרסי עידוד שונים, הודות ליוזמות שהם 
מפגינים ומציעים, המקדמות את יכולת החברה להשיג יעדים חשובים כגון 
התייעלות במשאבים. 
בהתאם לתיקון מס' 20 לחוק החברות, התשנ"ט 1999- בנושא תנאי כהונה 
והעסקה של נושאי משרה בחברות ציבוריות ובחברות פרטיות שהן חברות 
אגרות חוב , בתאריך 3 בספטמבר 2013 אישרה האסיפה הכללית את מדיניות 
התגמול של הקבוצה כפי שהומלצה על ידי ועדת התגמול וכפי שאושרה על ידי 
דירקטוריון החברה, לפרטים נוספים בנוגע לתגמול ראו תקנה 21 בחלק ד' 
("פרטים נוספים אודות התאגיד"). 
ז. הסכמי העסקה - רוב העובדים מועסקים על-פי הסכמי עבודה קיבוציים, 
הדומים להסכמים הסטנדרטיים הקיימים בענף. 
כל העובדים זכאים להפרשות פנסיוניות - מרביתם באמצעות קרנות פנסיה 
והיתר באמצעות ביטוחי מנהלים או שילוב ביניהם. 
מבנה התגמול של חלק מהעובדים במפעלי הקבוצה ומרכזי ההפצה כולל מרכיב 
של שכר עידוד (פרמיות). שכר העידוד יכול שיהיה מבוסס על מדידת תפוקות, 
יעילות, ביצועים, איכות הביצוע ועוד. 
70
מבנה התגמול לנהגים במערך ההפצה כולל מרכיב משתנה על-פי ביצועים. 
המרכיב המשתנה מבוסס על תפוקת הנהג הנמדדת על- פי משקל המטען, מספר 
הלקוחות היומי, מרחק הנסיעה ועוד. 
מבנה התגמול של בעלי תפקיד במערך המכירות כולל גם מרכיב משתנה לפי 
ביצועים, המורכב מתמריץ בהתאם להיקף המכירות בהשוואה ליעד ומבונוס 
תקופתי המבוסס על יעדי מכירות, החזרות ועוד. 
ח. פיתוח המשאב האנושי - בנוסף להדרכות כמצוין לעיל כולל פיתוח המשאב 
האנושי שני נושאים עיקריים שהם ניהול הביצועים ופיתוח הקריירה 
וההתפתחות האישית. תהליך ניהול ביצועים שנתי מתקיים בכל הקבוצה באופן 
עקבי ומקיף את מרבית העובדים. במסגרת התהליך קיימת התייחסות מחד 
לרמת הביצוע של העובד ותרומתו להשגת יעדים עסקיים, ומאידך לרמת 
המיומנויות, היכולות והגישה שהוא מפגין ככלים להשגת יעדים אלה. בתהליך 
זה הקבוצה משלבת בין מיקוד ביעדים עסקיים ומעקב על השגתם, לבין פיתוח 
מתמיד של ההון האנושי של הקבוצה. 
במסגרת פיתוח הקריירה וההתפתחות האישית, הקבוצה מבצעת תהליכים 
לזיהוי יכולות העובד והפוטנציאל העתידי שלו. בדרך זו מנהלי הקבוצה מזהים 
את מנהלי העתיד בעלי הפוטנציאל הגבוה. כלים חשובים אלה משמשים 
לקבוצה לנהל את ההון האנושי בצורה מיטבית, אשר תבטיח את הרציפות 
הניהולית ואת שימור הטובים ביותר. 
ט. רווחת העובדים - במסגרת תפיסת העולם המאמינה שהקבוצה הינה "משפחה" 
גדולה, חזקה ותומכת בשעת הצורך, פועלת הקבוצה לתגבור וחיזוק תחושת 
השותפות, השייכות, הנאמנות וההזדהות לקבוצה כקבוצה אחת מאוחדת. 
העובדים יוצאים לסופי שבוע, מסיבות חג וציון אירועים מיוחדים על מנת 
להביא לגיבוש וליכוד כל העובדים במערכת. במסגרת זו מסייעת הקבוצה 
לעובדים במשבר הן בתחום הכלכלי והן בתחום הפסיכולוגי- חברתי. 
י. נושאי המשרה ועובדי ההנהלה הבכירה - עובדי ההנהלה הבכירים מועסקים 
על פי הסכמי התקשרות אישית אשר במסגרתם הם מבוטחים בביטוחי מנהלים 
ו/או ביטוחים פנסיוניים אחרים. בנוסף לכך עובדי ההנהלה הבכירה מתוגמלים, 
בכפוף להחלטות הדירקטוריון מעת לעת, גם באמצעות אופציות פאנטום 
(כמתואר לעיל) הכפופות למועדי הכשרה בהתאם לתכניות אופציות שאומצו על 
ידי הדירקטוריון. בקביעת תנאי העסקה שנקבעו לכל אחד מנושאי המשרה 
הבכירה, נלקחו, בין שאר השיקולים, רקע המנהל, ניסיונו התעסוקתי, השכלתו 
71
והכשרתו, לצורך קביעת תגמולו - גם תוצאות פעולות התאגיד ורווחיותו. 
נתונים לגבי תגמוליהם, תפקידם, השכלתם וניסיונם העסקי של מקבלי 
התגמולים הגבוהים מבין נושאי המשרה הבכירה בקבוצה, נכללים במסגרת 
תקנה 26 (א) ותקנה 21 בחלק ד' ("פרטים נוספים אודות התאגיד") לדוח תקופתי 
זה. 
72 
20 . הון חוזר 
א. המחזור התפעולי של הקבוצה אינו עולה על שניים עשר חודשים. עקב כך 
כוללים הרכוש השוטף וההתחייבויות השוטפות פריטים המיועדים והצפויים 
להתממש בתוך תקופת המחזור התפעולי הרגיל של הקבוצה. 
ב. להלן תיאור תמציתי של הרכב ההון החוזר של הקבוצה: 
31.12.13 
אלפי ש"ח 
מזומנים ושווי מזומנים 328,059 
לקוחות 688,481 
חייבים ויתרות חובה 27,662 
מס הכנסה 5,464 
מלאי 390,107 
השקעות אחרות 7,067 
סה"כ נכסים שוטפים 1,446,840 
הלוואות ואשראי לזמן קצר מבנקים 29,212 
ספקים 710,463 
זכאים אחרים 223,976 
מס הכנסה 9,473 
סה"כ התחייבויות שוטפות 973,124 
עודף הנכסים השוטפים על ההתחייבויות השוטפות 473,716
73 
21 . השקעות 
במהלך תקופת הדוח לא היו לקבוצה פעילויות השקעה מהותיות בחברות 
מוחזקות, שותפויות ומיזמים שאינם חברות בנות. השקעות בשותפויות ובחברות 
בנות כמו גם השקעות אחרות פורטו בפרק על פעילות התאגיד ותאור התפתחות 
עסקיו. 
22 . מימון 
א. כללי - יחסי הנזילות הגבוהים ועודפי המזומנים של הקבוצה היוו את המימון 
העיקרי להמשך ההתרחבות של עסקי הקבוצה. הקבוצה פרעה את כל ההלוואות 
לזמן ארוך מהבנקים ונכון לתאריך המאזן לקבוצה אין הלוואות לזמן ארוך 
מבנקים וההלוואות לזמן קצר מבנקים מהוות 0.8% בלבד. 
להערכת החברה, ככלל, רמת הנזילות ורמת האיתנות הפיננסית של הקבוצה הינם 
מעל הממוצע הקיים בענף המזון. 
ב. שיעור ריבית ממוצעת ושיעור ריבית אפקטיבית - שיעור הריבית הממוצעת על 
הלוואות שהיו בתוקף במהלך תקופת הדוח, שאינן מיועדות לשימוש ייחודי בידי 
התאגיד, תוך הפרדה בין הלוואות לזמן קצר והלוואות לזמן ארוך ואבחנה בין 
מקורות אשראי בנקאיים ומקורות אשראי לא בנקאיים, מפורטים בבאור 15 
ובבאור 18 לדוחות הכספיים הכלולים בדוח תקופתי זה. שיעור הריבית 
האפקטיבית הינו בקירוב לשיעור הריבית הממוצעת. 
ג. אשראי בנקאי ומגבלות פיננסיות - מסגרת האשראי נכון ליום 31.12.13 מסתכמת 
לסך של 237 מיליון ₪, מסגרת האשראי לא נוצלה במלואה. יתרת האשראי הבנקאי 
המנוצלת מפורטת בבאור 15 ובבאור 18 לדוחות הכספיים הכלולים בדוח תקופתי 
זה. יתרת מסגרת האשראי הבלתי מנוצלת עומדת על סך של 208 מיליון ₪. 
לקבוצה יכולת לגייס מסגרות אשראי נוספות במידה ויהיה לה צורך בכך. 
בגין האשראי כאמור לא נרשמו לטובת הבנקים שעבודים, ועל פי הסכמות עימם 
במידה והקבוצה תידרש לאשראי בנקאי נוסף, לא ירשמו לטובתם שעבודים 
כלשהם כל עוד תעמוד הקבוצה בהתחייבויות ובאמות מידה פיננסיות מסוימות 
כמפורט בבאור 21 ב. לדוחות הכספיים הכלולים בדוח תקופתי זה. 
לאסם – במרץ 2014 האריכה חברת מידרוג לאסם את AAA ד. דירוג אשראי של 
עם אופק דירוג יציב. אסם הינה החברה התעשייתית AAA דירוג האשראי של
.AAA הראשונה והיחידה בישראל, שאינה חברה ממשלתית שמקבלת דירוג 
לקבוצה אין הלוואות מהותיות. 
74 
23 . מיסוי 
א. דיני המס החלים על חברות הקבוצה 
חוק עידוד התעשייה (מיסים), התשכ"ט 1969- - ראה באור 20 ב. לדוחות 
הכספיים הכלולים בדוח תקופתי זה. 
החוק לעידוד השקעות הון, תשי"ט 1959- - על פי החוק הנ"ל זכאיות חלק 
מחברות הקבוצה להטבות מס שונות, בתוקף המעמד של "מפעל מאושר" שניתן 
לחלק ממפעליה, כמשמעותו בחוק זה. ליתר פירוט ראה באור 20 א. לדוחות 
הכספיים הכלולים בדוח תקופתי זה, באשר לעיקר ההטבות מהן נהנית החברה 
על פי החוק הנ"ל - ראה סעיף ה להלן. 
ב. שיעורי המס החלים על ההכנסות של חברות הקבוצה 
ראה באור 20 ג. 1. ובאור 20 ג. 2. לדוחות הכספיים הכלולים בדוח תקופתי זה. 
בקביעת ההכנסה החייבת במס (IFRS) ג. אי ישום כללי חשבונאות 
ראה באור 20 ג. 3. לדוחות הכספיים הכלולים בדוח תקופתי זה. 
ד. שומות מס 
ראה באור 20 ו. לדוחות הכספיים הכלולים בדוח תקופתי זה. 
ה. הטבות עיקריות מתוקף החוק לעידוד השקעות הון 
במפעל בשדרות הממוקם באיזור פיתוח א קיימים מספר כתבי אישור להרחבות 
מפעל מאושר, חלקם במסלול מענקים וחלקם במסלול חלופי. 
במפעלים בקרית-גת (סלטי צבר ובונז'ור) הממוקמים באיזור פיתוח א קיימים 
כתבי אישור במסלול מענקים בלבד. 
במפעל ביוקנעם הממוקם באיזור פיתוח א קיים כתב אישור במסלול מענקים 
וכן מפעל מוטב בפטור ממס. 
במפעל בלוחמי הגיטאות ובמפעל בבית- השיטה הממוקמים באיזור פיתוח ב 
קיימים כתבי אישור במסלול מענקים בלבד.
חלק מהמפעלים טרם החלו לנצל הטבות מס כלשהן, ליתר פירוט ראה באור 20 
א. לדוחות הכספיים הכלולים בדוח תקופתי זה. 
ו. שיעור המס העיקרי מול שיעור המס האפקטיבי של הקבוצה 
ז. שיעור המס העיקרי החל על הכנסות הקבוצה הינו 25% לעומת שיעור המס 
האפקטיבי בשנת 2013 המגיע לכדי 25.2% . הפער בין שיעור המס העיקרי של 
הקבוצה לשיעור המס האפקטיבי נובע בעיקרו כתוצאה מגידול ההתחייבות בגין 
מיסים נדחים בעקבות שינוי שיעור המס ל- 26.5% ב- 2014 וכן מחברות בנות 
בחו"ל ששיעור המס שלהן בחו"ל שונה משיעור המס בישראל ומהוצאות מימון 
רעיוניות בגין אופציית מכר למיעוט אשר אינם מוכרות לצרכי מס. לפרטים 
נוספים ראה באור 20 ז. לדוחות הכספיים המצורפים לדוח תקופתי זה. 
הפסדים לצורך מס שטרם נוצלו 
לקבוצה הפסדים לצורך מס שטרם נוצלו בסך של כ- 134 מיליון ש"ח אשר הוכרו 
בגינם מיסים נדחים בסך של כ- 49 מיליון ש"ח וזאת בשל רמת הוודאות 
שהפסדים אלו ינוצלו בעתיד. 
75 
ח. מיסוי חברות בנות בחו"ל 
לקבוצה חברות בנות הפועלות בחו"ל. המס החל על חברות אלו הינו בהתאם 
לשיעור המס הסטאטוטורי החל בכל מדינה ומדינה. לקבוצה מפעל הפועל 
בצ'כיה הנהנה ממעמד של מפעל מאושר בהתאם לחוקי העידוד בצ'כיה לרבות 
הטבות מס. עם המדינות העיקריות שבהם פועלות חברות הבנות של הקבוצה 
(ארה"ב, אנגליה, הולנד, צ'כיה ושוודיה) ועם המדינה שבה נמצאת חברת האם 
של הקבוצה (שוויץ) קיימות אמנות למניעת כפל מס. 
ט. מיזוג חברת בונז'ור ( 1986 ) בע"מ עם ולתוך חברת אסם השקעות בע"מ 
לפרטים אודות תנאי המיזוג ראה ביאור 20 ט. לדוחות הכספיים המאוחדים של 
. החברה ליום 31.12.2013
76 
24 . איכות הסביבה 
24.1 כללי 
24.1.1 פעילות הקבוצה מושפעת ממגוון היבטים סביבתיים הקשורים בעיקר 
בפעילות הייצור של מפעליה השונים, ובכלל כך בין היתר זיהום אויר 
ופליטות, שפכים וחומרים מסוכנים. 
24.1.2 פעילות היצור של הקבוצה מתמקדת בתשעה אתרי יצור בישראל ובשני 
אתרים בחו"ל. מפעלי הקבוצה בישראל פועלים בהתאם להיתרים שונים 
שמוציא המשרד להגנת הסביבה ומפעלי הקבוצה הפועלים בחו"ל 
כפופים להוראות חוק סביבתיות מקומיות בהתאם לכללים ולחוקים של 
כל מדינה. 
למועד הדוח, מותעדים כל מפעלי הקבוצה בישראל, מפעל הקבוצה 
בצ'כיה והמרכז הלוגיסטי של הקבוצה בשוהם, לתקן הבינלאומי לניהול 
.ISO- 14001 סביבה 
עם מעבר הקבוצה לקריית אסם בשוהם הורחב הטיפול בנושאי איכות 
הסביבה גם למרלו"ג (מרכז לוגיסטי), מערך ההפצה ולמבנה ההנהלה. 
הרחבה זו כוללת בין היתר, בקרה על צריכת הדלקים לרכבי החברה 
וניתוח צריכת הדלק לטון משווק. 
24.1.3 גם בשנת 2013 (בדומה לשנים קודמות) מדורגת הקבוצה בדירוג 
"פלטינה" של "מעלה" (דירוג החברות המובילות בניהול אחריות 
תאגידית), בתוך החברות המובילות את הדירוג. 
בנוסף, בפרסום של המשרד להגנת הסביבה את דירוג רמת הציות 
הסביבתית של חברות התעשייה הנסחרות בבורסה נמנית הקבוצה בין 
החברות המובילות בדירוג. 
24.1.4 הגם שהקבוצה אינה עוסקת בייצור מוצרים המכילים חומרים רעילים 
או מסוכנים לסביבה, היא עושה שימוש בחומרים מסוכנים לצורך תפעול 
מערכות שירותי ייצור (ובכלל כך פעילות קירור, טיפול בשפכים, ניקיון 
וכדומה), על פי ובהתאם להיתרים שנתקבלו מהמשרד להגנת הסביבה 
על פי חוק.
העלויות השנתיות שמשקיעה הקבוצה על מנת לעמוד בהוראות איכות הסביבה 
החלות עליה אינן מהותיות דיין על מנת להשפיע על רווחיותה ו/או מעמדה 
התחרותי של הקבוצה. 
24.2 מדיניות הקבוצה בקשר עם איכות הסביבה וניהול הסיכונים הסביבתיים 
לקבוצה מדיניות משולבת בנושאי בטיחות, איכות מוצר ואיכות הסביבה, 
המבוססת בין היתר על מדיניות חברת האם נסטלה תוך התאמתה לשוק 
ולהוראות הדין הישראלי. עקרונות המדיניות, בהתייחס לאיכות הסביבה, הינן 
כדלקמן: 
1. עמידה בחוקי ותקנות איכות הסביבה והרגולציה שהותקנה מכוחו. 
2. הכללת עקרונות של שמירה על הסביבה בפעילות הקבוצה בכל אתריה. 
3. שאיפה לשיפור מתמיד במדדים פנימיים הנקבעים בקשר עם אלמנטים 
77 
הקשורים לאיכות הסביבה. 
4. מתן הדרכה ומידע נאות לגורמים רלוונטיים (הנהלה, עובדים, רשויות). 
לקבוצה מערכת איכות סביבה לניתור, טיפול ומעקב אחר היבטים סביבתיים 
שונים הקשורים בפעילותה השוטפת. מערכת זו מנוהלת על ידי מנהל איכות 
סביבה קבוצתי וכן מנהלי איכות סביבה הפרוסים בכל אחד ממפעלי הקבוצה. 
מדיניות הקבוצה כאמור מתפרסמת באתר האינטרנט של החברה, מוטמעת 
בהדרכות לכל העובדים והקבלנים של הקבוצה ותלויה על גבי שילוט בכל אתרי 
החברה. 
24.3 עמידה בדרישות על פי דין ואחרות 
מפעלי הקבוצה כפופים להוראות הדין השונות, הנוגעות לתחומים בהם יש או 
עשויה להיות לפעילותם השפעה על הסביבה, וכן בתקינה וסטנדרטיזציה 
וולונטרית אותה מאמצת הקבוצה, ובכלל כך: 
24.3.1 רישוי - רישיון עסק, רישיון יצרן ממשרד הבריאות, מכתב תנאים 
לרישיון עסק ממשרד איכות הסביבה, היתר רעלים, מסמך דרישות כיבוי 
אש, ועוד. 
24.3.2 חוקים ותקנות - חקיקה מקומית המתייחסת בין היתר לטיפול ואחסון 
חומרים מסוכנים, תקנות מקורות אנרגיה, חוק למניעת מפגעים, שפכים 
תעשייתיים, שמירת הניקיון, פינוי בוצה, ועוד.
24.3.3 דרישות נסטלה לאיכות הסביבה - דרישות חברת האם נסטלה 
מהחברות בקבוצת נסטלה, בין היתר, בנושאים הקשורים באיכות 
הסביבה. 
24.3.4 תקינה וולונטרית - בשנת 2007 החלה הקבוצה בתהליך הדרגתי של 
הבינלאומית) לתקנים הבין BV התעדת כל מפעליה (על ידי חברת 
OSHAS - ו ISO 14001 , לאומיים לניהול איכות הסביבה והבטיחות 
18001 , באופן שלמועד הדו"ח מרביתם המוחלט של מפעלי הקבוצה 
.ISO 18001 והן לתקן ISO 14001 מותעדים הן לתקן 
24.3.5 קביעת יעדים פנימיים בנוגע לשמירה על איכות הסביבה - מעבר 
למחויבות לעמידה בדרישות הוראות החוק השונות, קובעת הקבוצה לכל 
מפעל מגוון יעדים סביבתיים, הכוללים מחד יעדי חיסכון בניצול 
משאבים ומאידך יעדים לצמצום פליטות ופסולות. במסגרת זו 
מתייחסים היעדים הסביבתיים לאספקטים שונים של צריכת המשאבים 
ביחס לכמויות הייצור, ובכלל כך - חסכון במים, חסכון באנרגיה, חיסכון 
בחומרי גלם ואריזה, וכן ביחס להיבטים הקשורים בפליטות מהמערכות 
- הקטנת פסולת להטמנה, הגדלת המחזור, צמצום כמות השפכים, 
צמצום פליטות גזי חממה, תחמוצות ומרכיבים בעלי פוטנציאל לפגיעה 
באוזון. 
אופן עמידת מפעלי הקבוצה ביעדים אלו נבדק בתדירות חודשית. 
מידת העמידה ביעדים כאמור לעיל נבדקת ביחס לכל מפעל של הקבוצה בין 
השאר, בדרך של מילוי שאלוני הערכה עצמית (הכוללים התייחסות פרטנית 
לאופן עמידת המפעל בהוראות החוק, בתקני נסטלה וביעדים הפנימיים), 
הנבדק ומאושר על ידי מנהל איכות הסביבה הקבוצתי. בנוסף עוברים מרביתם 
המוחלט של מפעלי הקבוצה מבדקים חיצוניים ע"י מכון חיצוני לבקרה ואיכות, 
ISO- : במסגרת מבדקי ההתעדה לתקן הבין לאומי לניהול איכות הסביבה 
14001 . במהלך 2013 בוצע באתרי החברה מבדק אכיפה ועמידה בחוקי הגנת 
הסביבה ע"י משרד עו"ד חיצוני. 
להערכת החברה במהלך שנת 2013 ולמועד הדוח עמדו אתרי הקבוצה בהוראות 
הדין הרלוונטיות להיבטי איכות סביבה, למעט מספר חריגות לא מהותיות 
שאותרו בהיבטים הקשורים לתחום איכות השפכים, אשר הקבוצה, בתאום עם 
78
המשרד לאיכות הסביבה, פועלת למועד הדוח להסדרתם. כמו כן, כתוצאה 
מבחינה יסודית של מערך הטיפול בשפכים, בשנת 2013 בוצע מחקר ותכנון 
לצורך שדרוג במתקני השפכים במספר מפעלים, תחילת ביצוע השדרוג מתוכנן 
לשנת 2014 . במהלך שנת 2013 חלק מאתרי הקבוצה עמדו ביעדים הפנימיים 
שנקבעו (המחמירים יותר מדרישות החוק) באופן מלא וחלק מהאתרים עמדו 
ביעדים אלו באופן חלקי. הקבוצה השיגה תוצאות טובות יותר מיעדי החיסכון 
. באנרגיה, מים ומיחזור שהציבה לעצמה לשנת 2013 
79 
24.4 סיכונים סביבתיים עיקריים 
באתרי הקבוצה מבוצע, אחת לתקופה, סקר סיכונים וניתוח של ההיבטים 
וההשפעות בתחום איכות הסביבה, אשר בהתאם לתוצאותיו נקבעת התוכנית 
הסביבתית של הקבוצה. 
להלן יפורטו ההיבטים והסיכונים הסביבתיים העיקריים המשפיעים על פעילות 
הקבוצה, והטיפול אשר יושם על ידה בשנת 2013 ולמועד הדוח התקופתי: 
24.4.1 שפכים: 
במפעלי הקבוצה נעשה שימוש בכמויות של מים וחומרי ניקוי היוצרים 
שפכים, המכילים חומר אורגאני ושמנים ועלולים להגביר בין היתר את 
ריכוז המזהמים, לגרום למטרדי ריח ומטרדים תברואתיים. בכל 
המפעלים קיימים מתקני טיפול בשפכים או הסדר לטיפול בשפכים על 
ידי גורם חיצוני, על מנת להתאימם לדרישות החוק לפני חיבורם לרשת 
הציבורית. 
יצוין כי ברוב מפעלי הקבוצה שבהם נעשה בעבר שימוש בסודה 
קאוסטית לצורך טיפול בשפכים, הוסב הטיפול לפוטש, שבניגוד לסודה 
אינו מכיל כלורידים ונתרן, למרות מחירו היקר ביחס לסודה 
הקאוסטית. בהסבה זו הושגה הקטנה משמעותית של ריכוז הנתרן 
בשפכים ועל ידי כך התאמתם להשקיה. כמו כן בחלק מאתרי הקבוצה 
מותקנים מתקני אוסמוזה הפוכה שהחליפו את השימוש במרככי מים 
והקטינו את כמות התמלחות. 
כל אחד ממפעלי הקבוצה מבצע בדיקה תקופתית של נתוני השפכים 
ביציאה לרשת הציבורית לצורך בדיקת עמידתו בדרישות החוק. 
במסגרת זו, בוצעו במהלך 2013 מספר רב של "בדיקות שפכים 
מורכבות" במפעלי הקבוצה וכן בוצעו בדיקות נוספות על פי דרישות
הרשויות. בתוצאות הבדיקות כאמור עלה כי בכל מקרה לא נמצאו 
בהרכב השפכים חומרים רעילים או מתכות כבדות. מספר חריגות מול 
מכתב התנאים של המשרד להגנת הסביבה שאותרו במהלך שנת 2013 
מנוטרות ומטופלות ע"י החברה וכתוצאה הוחלט לבצע שדרוג של חלק 
ממתקני השפכים במפעלים. 
להלן פרטים תמציתיים אודות פעולות בהן נוקטת הקבוצה לצמצום 
בעיית השפכים, בחלוקה לפי מפעלי הקבוצה השונים: 
המפעל של טבעול בקיבוץ לוחמי הגטאות – המפעל עושה שימוש 
במתקן לטיפול בשפכים משותף בניהול חיצוני בשיטה אנאירובית. 
המתקן מפחית באופן משמעותי את העומס האורגני ובנוסף המוצקים 
בשפכים מפורקים לביו- גז המשמש כדלק במפעל, כתחליף לדלק פוסילי 
אחר. מי השפכים מופנים לאחר הטיפול להשקיה. לעיתים קיימות 
חריגות בריכוזי הנתרן שלמיטב ידיעת הקבוצה אינן נובעות מפעילות 
שמקורה במפעל טבעול. 
מפעל בית השיטה – במפעל קיימת מערכת מקיפה להפרדת זרמי 
השפכים לצורך טיפול נפרד בזרם התעשייתי ובזרם המלוח. כמו כן 
במהלך השנים .PH הותקנה מערכת להפרדת שומנים וניטור ונטרול 
2012 ו- 2013 בוצעו שיפורים משמעותיים בהפרדת הזרמים. ב 2013- 
וכן (COD) אותרו מספר מועט של חריגות ברמת החומר האורגני 
בריכוז הנתרן בזרם התעשייתי. למועד הדוח פועלת הקבוצה, בתיאום 
עם המשרד להגנת הסביבה, להקטנת פליטות אלו באמצעות שיפור 
איכות השפכים במקור וב- 2014 מתוכננות פעולות לביצוע שיפורים 
נוספים של מערך השפכים במתקן. 
מפעל יוקנעם – במפעל קיים מתקן פיזיקו כימי לטיפול בשפכים. 
ובריכוז הנתרן. למועד (COD) קיימת חריגה ברמת החומר האורגני 
הדוח פועלת הקבוצה, להקטנת פליטות אלו באמצעות שיפור איכות 
השפכים במקור וכן באמצעות שדרוג המתקן. 
מפעל מטרנה – השפכים התעשייתיים של המפעל מופנים לטיפול 
במתקן אנאירובי חיצוני המייצר ביו-גז המשמש לייצור אנרגיה 
חשמלית. במהלך שנת 2013 לא נמצאו במפעל חריגות בהיבט זה. 
80
מפעל חולון – במפעל קיים מתקן לטיפול בשפכים. בשנת 2012 התקבל 
אישור מתאגיד השפכים להזרמה חריגה בהתאם לתקנות תאגידי המים 
והשפכים. 
מפעל הגלידות באזור התעשייה של באר טוביה – המפעל עושה שימוש 
במתקן לטיפול בשפכים משותף בניהול חיצוני. קיימת חריגה ברמת 
ריכוז הנתרן, שלהערכת הקבוצה אינה נובעת מפעילות שמקורה במפעל 
הגלידות. יחד עם זאת, למועד הדוח הקבוצה פועלת בתיאום עם 
המשרד להגנת הסביבה וכן בתיאום עם החברה החיצונית המנהלת את 
המתקן להקטנת פליטות נתרן באמצעות החלפת חומרי ניקיון לשיפור 
איכות השפכים של מפעל הגלידות. במהלך 2012 סוכם עם המשרד 
להגנת הסביבה פתרון לשדרוג מתקן השפכים שיבוצע ע"י החברה 
שמנהלת את המיתקן, למועד הדוח השדרוג נמצא בשלבי ביצוע. 
מפעל סלטי צבר בקרית גת- במפעל קיים מערך הפרדת זרמים ומתקן 
במהלך שנת 2013 בוצעו פעולות לשיפור .DAF טיפול בשפכים מסוג 
מתקן השפכים והוחלפו כימיקלים לצורך הקטנת הפליטות. נכון לשנת 
2013 לא נמצאו חריגות ברמת החומר האורגני בשפכים. 
מפעל בונז'ור בקרית- גת – במפעל קיים מתקן לטיפול בשפכים. במהלך 
(COD- שנת 2013 אותרו חריגות קלות בערכי החומר האורגני (ה 
בשפכים. למועד הדוח פועלת הקבוצה, להקטנת פליטות אלו באמצעות 
שיפור איכות השפכים במקור. 
מפעל שדרות- במפעל קיים מתקן פיזיקו כימי לטיפול בשפכים. קיימת 
החברה פועלת, בתיאום עם .(COD - חריגה ברמת החומר האורגני (ה 
המשרד להגנת הסביבה, להקטנת פליטות אלו באמצעות החלפת 
כימיקלים במתקן, הפרדת זרם מלוח, שיפור איכות השפכים במקור וכן 
באמצעות ביצוע התאמות למתקן. בנוסף, הוזמנה חברת הנדסה לתכנון 
ושדרוג מתקן השפכים בהתאם לצורך, תחילת ביצוע השדרוג מתוכנן 
. לשנת 2014 
המפעל של טבעול בצ'כיה- במפעל קיים מתקן לטיפול בשפכים. לא 
אותרו חריגות בתחום איכות הסביבה. 
בטונטון, מסצ'וסטס (ארה"ב)- במפעל קיים Tribe מפעל הסלטים של 
. מתקן טיפול בשפכים וכן בוצעו ניטורי שפכים במהלך שנת 2013 
קיימות מספר חריגות ברמת החומר האורגני. למועד הדוח פועלת 
81
הקבוצה, בתיאום עם הרשויות הרלוונטיות, להקטנת פליטות אלו 
באמצעות שיפור איכות השפכים במקור וכן באמצעות שיפור והתאמות 
למתקן באמצעות חברת הנדסה שהוזמנה לתכנון ושדרוג המתקן לפי 
. הצורך. תחילת ביצוע השדרוג מתוכנן לשנת 2014 
82 
24.4.2 זיהום אוויר: 
הקבוצה צורכת אנרגיה ישירה כחלק מפעילות הייצור (בדרך של שריפת 
דלקים בדודי קיטור ותנורים), וצורכת אנרגיה עקיפה במסגרת פעילותה 
השוטפת (שימוש בחשמל, שימוש בדלקים לרכבי הפצה של מוצרי 
הקבוצה) וכן משתמשת בנוזלי קירור מסוג פריאונים ישנים בחלק 
מאתריה. שימושים אלו עלולים לגרום לזיהום אויר ולפגיעה בשכבת 
האוזון. 
הקבוצה נמצאת בתהליך להחלפת גזי הקירור הפריאונים לגזי קירור 
"ירוקים". כמו כן במסגרת פעולות הננקטות על ידי הקבוצה בהקשר 
זה הוחלפו חלק ממערכות כיבוי האש האוטומטיות למערכות עם גז 
"ירוק". 
במהלך השנים האחרונות הסבה הקבוצה את כל מפעליה לשימוש בגז 
בשריפה ישירה בתנורים כחלק מפעילות הייצור, פעולה אשר מקטינה 
את זיהום האוויר. 
דודי הקיטור של מרבית מפעלי הקבוצה פועלים באמצעות גז אשר 
מבטיח פליטות נמוכות של מזהמים. יתר דודי הקיטור פועלים 
באמצעות מזוט דל גופרית המבטיח עמידה בדרישות האמנה לנושא 
זיהום אוויר שבין המשרד להגנת הסביבה והתאחדות התעשיינים, 
למעט מפעל אחד שעדיין פועל במזוט קל ובו משתמשים בתוספים 
משפרי בעירה על מנת להקטין את הפליטות. עם הורדת אחוז הגופרית 
במזוט הקל, המסופק ע"י בתי הזיקוק, עומד גם מפעל זה בדרישות 
החוק לפליטות. 
על פי דרישות המשרד להגנת הסביבה נערכות במפעלים בדיקות של 
הפליטות לאוויר, הן של הדוודים והן של מתקני ייצור. בכל הבדיקות 
שבוצעו בשנת 2013 התקבלו תוצאות תקינות, למעט במפעל אחד בו 
פועלת הקבוצה, בתיאום עם המשרד להגנת הסביבה, להסדרת החריגה. 
הקבוצה החלה בפעילות להסבת מפעל צבר לשימוש בגז טבעי כמפעל 
פיילוט. צפי להסבת המפעל עד אוגוסט 2014 ובהתאם להצלחת ההסבה
יוסבו מפעלים נוספים בקבוצה. מידע זה הינו בבחינת מידע צופה פני 
עתיד. המידע עשוי שלא להתממש במידה והקבוצה תמצא כי אין 
כדאיות בביצוע המהלכים כאמור. 
בשנת 2013 הצטרפה החברה למערך הדיווח הוולונטרי של פליטות גזי 
חממה של המשרד להגנת הסביבה. 
83 
24.4.3 חומרים מסוכנים: 
דליפה של חומרים מסוכנים כתוצאה מאחסון לקוי עלולה להוביל 
לזיהום קרקע, לזיהום מי תהום ואף לפגיעה בעקיפין בחיי אדם. מפעלי 
הקבוצה עושים שימוש ומחזיקים חומרים מסוכנים בכמויות קטנות, 
הנדרשות לתהליכי הניקוי והטיפול בשפכים. בנוסף, בחלק מאתרי 
הקבוצה (העוסקים בייצור ו/או אחסון של מוצרים קפואים ו/או 
, מצוננים) קיימים מתקני קירור המופעלים באמוניה. במהלך שנת 2011 
הותאמו אתרים המבצעים שימוש באמוניה לדרישות המיגון של פיקוד 
העורף ובמהלך שנת 2012 החל מהלך להתאמת מתקני האמוניה לתקן 
רעידות אדמה. שלב ראשון של תכניות ההתאמה, (סקר מרחקי הפרדה), 
הועבר לבדיקת המשרד להגנת הסביבה. החברה תפעל לביצוע 
ההתאמות הנדרשות לכשתקבל את האישורים הנדרשים. 
לכל המפעלים היתרי רעלים עבור כל החומרים הנדרשים על פי החוק 
ובכל אתר מונה אחראי רעלים שעבר הדרכות מתאימות המאושרות על 
ידי המשרד להגנת הסביבה. כמויות קטנות של פסולת חומרים מסוכנים 
מפונות כחוק לאתרי הטמנה מורשים. 
24.4.4 משאבי טבע: 
בזבוז משאבי טבע (צריכת יתר של אנרגיה ומים) עשויה להביא לפליטת 
יתר של גזי חממה וכן לפגיעה במאזן המים והמלחה של מקורות המים 
בישראל. להלן פרטים אודות פעולות בהן נוקטת הקבוצה לצמצום 
השימוש במשאבים אלו: 
חסכון במים - אחד מיעדי הקבוצה הפנימיים המרכזיים הינו חסכון 
בצריכת מים במפעליה. בשנת 2013 חלה ירידה של כ 6.9%- בצריכת 
המים לטון יצור בהשוואה לנתוני שנת 2012 (נחסכו 48,650 מטר קוב 
מים), בעיקר כתוצאה מפרויקטי חיסכון.
חסכון באנרגיה - אחד מיעדי הקבוצה הפנימיים המרכזיים הינו חסכון 
בצריכת אנרגיה במפעליה. מקור האנרגיה העיקרי של הקבוצה הוא 
חשמל המסופק על-ידי חברת החשמל. . צריכת האנרגיה לטון ייצור 
,( GJ 33,600 - בשנת 2013 ירדה בהשוואה לנתוני שנת 2012 בכ 5.4%- , (כ 
בעיקר כתוצאה מפרויקטי חיסכון. 
צריכת חומרים - מערכת איסוף הנתונים עוקבת ברמה חודשית גם אחרי 
צריכת חומרי גלם ואריזות בהשוואה להיקף הייצור. צריכה חריגה 
מנוטרת ונחקרת לסיבתה ועל פי הצורך נערכת פעילות מתקנת. 
84 
24.4.5 טיפול בפסולת: 
כל אתרי הקבוצה מאורגנים להפרדת פסולות לסוגיהן מתוך מגמה 
להגדיל את החומרים המופנים למחזור (לרבות קרטונים, נייר משרדים, 
יריעות ומיכלי פלסטיק, חביות, משטחים, פסולת מוצרים למזון בע"ח, 
חרצני זיתים ואף ציוד אלקטרוני) או שימוש חוזר (כולל הפניה למזון 
בעלי חיים) וצמצום הפניה להטמנה. 
בשנת 2013 הקבוצה הגיעה למחזור של כ 65%- מכלל הפסולת המפונה 
מהאתרים. נחסכו עלויות הטמנה בסכום של כ- 1.7 מליון ₪ ובנוסף 
התקבלו כ 2.9- מליון ₪ מגורמים חיצוניים הממחזרים את הפסולת. 
הציוד האלקטרוני מופנה לחברת "אקולוגיה לקהילה המוגנת" וזאת 
Creating Shared : במסגרת המגמה ליצור ערך מוסף לקהילה 
.Value 
כמו כן, לצורך ביצוע הוראות "חוק האריזות" התקשרה הקבוצה עם 
תאגיד מחזור המוכר על פי חוק האריזות (תאגיד מחזור יצרנים 
בישראל), בהסכם למימוש הוראות החוק. בנוסף, לאור פעילות יבוא 
על ידי הקבוצה, חלות על פעילות זו (Nestea – ושיווק משקאות (תה קר 
הוראות חוק הפיקדון על מכלי משקה, תשנ"ט 1999 . לצורך ביצוע 
הוראות החוק התקשרה אסם עם תאגיד המספק שירותי איסוף מכלי 
משקה, מיחזורם, ודיווח למשרד להגנת הסביבה, בהסכם למימוש 
הוראות החוק. 
להערכת החברה אין בחריגות ובאירועים הסביבתיים שצוינו בסעיף זה חשיפה 
מהותית לחברה (כגון, עלויות מהותיות לחברה בגין תיקון החריגות, מעמדה
התחרותי של החברה וכד'). במקרים שבהם מאותרות חריגות, החברה פועלת 
באופן שוטף לתיקון המצב ולעמידה בדרישות החוק. 
הפעולות שתוארו בפרק זה לעיל המתוכננות לשנת 2014 הינם בבחינת מידע 
צופה פני עתיד שקיימת בו חוסר וודאות מכיוון שהוא מתבסס על תחזיות 
ותכניות העבודה של הקבוצה נכון למועד הדו"ח התקופתי. המידע עשוי שלא 
להתממש כתוצאה מעיכובים, שינויים ותיעדופים של תכניות העבודה, ו/או 
כתוצאה משינויים רגולטורים ו/או דרישות המשרד להגנת הסביבה. 
25 . מגבלות ופיקוח על פעילות התאגיד 
רישיונות, היתרים ותקנים לפעילות התאגיד 
לאתרי הקבוצה השונים בישראל רישיונות עסק, שניתנו בהתאם לחוק רישוי 
עסקים תשכ"ח - 1968 ותקנותיו הרלוונטיות. למפעלי הקבוצה רישיונות יצרן, לפי 
, צו הפיקוח על מצרכים ושירותים (הסחר במזון, יצורו ואחסנתו), תשכ"א - 1960 
היתרי רעלים בהתאם לחוק חומרים מסוכנים, התשנ"ג 1993- , היתרי בנייה לפי חוק 
התכנון והבנייה, התשכ"ה - 1965 ואישורי שירותי כבאות והצלה לפי חוק רישוי 
עסקים תשכ"ח - 1968 ותקנותיו הרלוונטיות, הניתנים על ידי הרשויות 
הרלוונטיות. במדינות בהן פועלת הקבוצה מחוץ לישראל נדרשים רישיונות 
והיתרים בהתאם לחקיקה בכל מדינה. 
ISO- ,OHSAS-18001 ,14001 -ISO : רוב מפעלי הקבוצה מוסמכים בתקנים 
22000 . בנוסף, מפעלי הקבוצה כפופים לסטנדרטים מחמירים שמעמידה בפניהם 
נסטלה, בתחומי בטיחות ובריאות בתעסוקה, איכות הסביבה ובטיחות מוצר. 
הקבוצה פועלת בהתאם לרישיונות והאישורים הנ"ל ובמקרים של סטיות פועלת 
לתיקונן בשיתוף עם הרשויות. במקרה של פקיעה פועלת הקבוצה בתיאום עם 
הרשויות הרלוונטיות, לחידוש או לקבלת הארכה לאותם רישיונות שפקעו. 
חקיקה בענף המזון וחקיקה צרכנית 
בדומה לחברות מזון אחרות, חלים בקשר עם מוצרי הקבוצה דינים והוראות שונים 
הכוללים בין השאר את פקודת בריאות הציבור (מזון) (נוסח חדש) תשמ"ג - 1983 
והתקנות והצווים הרלוונטיים שהותקנו מכוחה, המקנה סמכויות לנקוט אמצעים 
למניעת סכנה לבריאות הציבור מיבוא, הכנה, אחסנה והפצה של מזון ולרבות 
הוראות משרד הבריאות לעניין פיקוח וטרינר עירוני בקשר לשיווק מוצרי בשר; חוק 
85
הגנת הצרכן תשמ"א - 1981 הקובע שורה של חובות ואיסורים שמטרתם, בין היתר, 
למנוע הטעיית הצרכן; חוק הפיקוח על מצרכים ושירותים תשי"ח - 1957 שמכוחו 
הוצאו תקנות וצווים לעניין איכות המזון, הסחר בו, יצורו ואחסנתו; חוק התקנים 
תשי"ג - 1953 שמכוחו נקבעו תקנים בנוגע לתהליכי יצור, תפעול, סימון, אריזה 
וכדומה; וחוק האחריות למוצרים פגומים תש"ם - 1980 הקובע את אחריות היצרן 
כלפי מי שנגרם לו נזק כתוצאה מפגם במוצר. לקבוצה ביטוח צד שלישי וביטוח 
חבות המוצר. 
על פעילות הקבוצה בחו"ל חלים הדינים וההוראות השונות, התקפים בכל מדינה 
ומדינה ואשר מטרתם להסדיר נושאים דומים לאלו המוסדרים בישראל. 
ביום 19 בינואר 2011 אישרה הכנסת את החוק להסדרת הטיפול באריזות ("חוק 
האריזות"), על פיו תוטל על יצרנים ויבואנים בישראל אחריות ישירה לאסוף 
ולמחזר את פסולת האריזה של מוצריהם. לצורך ביצוע הוראות חוק האריזות 
התקשרה אסם עם תאגיד מחזור המוכר על פי חוק האריזות, בהסכם למימוש 
הוראות החוק. 
על ידי הקבוצה, חלות על (Nestea – לאור פעילות יבוא ושיווק משקאות (תה קר 
פעילות זו הוראות חוק הפיקדון על מכלי משקה, תשנ"ט 1999 . לצורך ביצוע 
הוראות החוק התקשרה אסם עם תאגיד המספק שירותי איסוף מכלי משקה, 
מיחזורם, ודיווח למשרד להגנת הסביבה, בהסכם למימוש הוראות החוק. 
בנובמבר 2012 פורסם תזכיר חוק לקידום התחרות בענף המזון העוסק, בין היתר, 
בהסדרת פעילות ספקים וקמעונאים ובתחרות גיאוגרפית בין קמעונאים. לפרטים 
נוספים ראה פרק 6.4 לעיל. 
הגבלים עסקיים ופיקוח על מחירים 
כמו כל החברות הפועלות בישראל, כך גם הקבוצה כפופה לדיני ההגבלים העסקיים 
הקובעים, בין היתר, הוראות למניעת פגיעה בתחרות. 
החברה הינה מונופולין מוכרז במוצרי פסטה יבשים. 
ביום 7 באוקטובר 2005 נתנה אסם את הסכמתה לנוסח צו מוסכם עם הממונה על 
ההגבלים העסקיים בעניין הסדרי הסחר שבין ספקים ורשתות קמעונאיות בנוגע 
לכללי ההתנהגות שביניהם. כללי ההתנהגות מתייחסים להתערבות ספקים בקביעת 
זהות, מספר והיקף נוכחות מתחריהם ברשת שיווק, רכישת שטח תצוגה, ניהול 
קטגוריה, סדרנות, בונוסים והטבות עבור השגת יעדי מכירות, הסדרים לקביעת 
נתחי שוק, מבצעים בלעדיים והכתבת מחיר בידי ספק. נוסח הצו אושר על ידי בית 
86
הדין להגבלים עסקיים ביום 2.8.06 . פרק ה' לצו המוסכם שעניינו סדרנות קיבל 
. תוקף לתקופה מוגבלת ופקע בפברואר 2012 
ביום 31 באוקטובר 2013 , הממונה על ההגבלים העסקיים פרסם טיוטת גילוי דעת 
להערות הציבור שעניינו איסור גביית מחירים מופרזים על ידי בעל מונופולין. 
בטיוטת גילוי הדעת, הממונה קובע כי הוראת סעיף 29 א(ב)( 1) האוסרת על קביעה 
של רמת מחירי קניה או מכירה בלתי הוגנים הנה גם בהקשר של תמחור יתר של 
המוצר, ולא רק בהקשר של תמחור נמוך בלתי הוגן (טורפני), כפי שמקובל היה 
לפרש את הוראת הדין. 
לשיטת הממונה, מחיר מופרז הינו מחיר העולה על המחיר שהיה נגבה בתנאי 
תחרות, בהתאם למבחנים שמאמץ הממונה בטיוטת גילוי הדעת. 
הממונה הצהיר בטיוטת גילוי הדעת כי הוא לא יפעיל סמכויות אכיפה פליליות כנגד 
גביית מחיר מופרז וכי אמצעי האכיפה בו ינקוט יהיה הטלת עיצום כספי על בעל 
המונופולין. 
ביום 26 בינואר 2014 הוגש לאישור בית הדין להגבלים עסקיים צו מוסכם בהתאם 
להוראות סעיף 50 ב' לחוק ההגבלים העסקיים, התשמ״ח- 1988 , עליו חתמו מטרנה 
וספקיות תחליפי מזון לתינוקות (להלן: "תמ"ל") אחרות. תחום תחליפי המזון 
לתינוקות מתאפיין, בין השאר, בהשתתפות במכרזים להזנה במחלקות יולדות של 
בתי חולים. הצו המוסכם קובע שורת תנאים בכל הנוגע לאספקת תמ"ל לבתי 
החולים ולתשלום עבור הזכות לספק תמ"ל לבית החולים. ביום 20 בפברואר 2014 
התקבל אישור בית הדין להגבלים עסקיים לצו המוסכם. בשלב זה הקבוצה איננה 
יכולה להעריך כיצד ישפיעו הוראות הצו על התחרותיות בשוק ועל תוצאות פעילות 
החברה. 
כשרות 
מוצרי הקבוצה המיוצרים והמשווקים בישראל, והמיוצאים לחו"ל, הינם בהשגחת 
הרבנויות המקומיות הרלבנטיות ובאישור הרבנות הראשית לישראל. 
כדי להיענות לצרכי העם בישראל ובתפוצות, לרוב מוצרי הקבוצה כשרויות 
מהודרות מגופי הכשרות המובילים בארץ ובחו"ל. 
ספק מוכר למשרד הביטחון 
החברה וחלק מחברות הבנות שלה בישראל הינן ספק מוכר למשרד הביטחון. 
87
88 
26 . הסכמים מהותיים 
26.1 רכישת מלוא הבעלות בטבעול – בשנת 2012 בוצע התשלום האחרון בגין 
רכישת מלוא הבעלות בטבעול, ליתר פירוט ראה סעיף 1.7 לעיל. 
26.2 אופציה לרכישת מלוא הבעלות במטרנה- במסגרת העסקה לרכישת 51% 
מפעילות מטרנה, רכשה אסם ממעבדות מטרנה 51% מהרכוש הקבוע, ההון 
החוזר, המוניטין והפעילות ואילו נסטלה, רכשה 51% מהמותגים והידע. 
להגיע CALL במסגרת העסקה לכל אחת מאסם ונסטלה ניתנה אופציית 
להחזקה מלאה של 100% ולרכוש ממעבדות מטרנה את יתרת ה- 49% בתום 
השנה העשירית לעסקה (לפי מכפיל 21 ) או תום השנה השניים עשר לעסקה 
.( (לפי מכפיל 18 ) או בתום השנה החמש עשרה לעסקה (לפי מכפיל 16 
למכור לאסם ולנסטלה את יתרת PUT – למעבדות מטרנה ניתנה אופציית ה 
ה – 49% מתום השנה הרביעית לעסקה ועד תום השנה השמינית לעסקה וכן 
בתום השנה הארבע עשרה לעסקה והכל לפי מכפיל 16 . מימוש האופציה 
לרכישת ה – 49% יתבצע לפי המכפיל המוגדר לכל שנה שבה ניתן לממש את 
האופציה מוכפל ברווח הנקי של השנה שקדמה למימוש האופציה ובהתאמות 
מסוימות כמוגדר בהסכם, כאשר אסם משלמת 61% תמורת ה- 49% 
מהרכוש הקבוע, ההון החוזר, המוניטין ופעילות השותפות ואילו נסטלה 
משלמת 39% עבור 49% של הידע והמותגים. 
בנוסף לכך זכאית מעבדות מטרנה לתזרימי מזומנים שוטפים הצפויים להיות 
משולמים לה עד יום המימוש בגין היותה שותפה. לפרטים נוספים ראה 
באור 19 לדוחות הכספיים הנכללים בדוח תקופתי זה. 
26.3 הסכמי הפצה – לקבוצה הסכמי הפצה לפיהם מפיצה הקבוצה גם מוצרים 
של יצרנים אחרים. הסכמי ההפצה העיקריים הם עם "תפוגן", "מילוטל", 
"דורות", "עוף טוב" ו"לנדוור". תנאי ההתקשרות העיקריים בהסכמי 
ההפצה קובעים, בין היתר, פרטים אודות מתכונת ההפצה של המוצרים 
השונים באופן שהחברה רוכשת את המוצרים ומוכרת אותם ברווח גולמי שנע 
בין 9%-20% (מדובר במוצרים בעלי נפח שונה וטמפרטורת הפצה שונה- 
קפוא, מצונן וטמפרטורת החדר), יתרת תקופת ההתקשרות (המשתנה 
מהסכם להסכם), לתקופות שונות - חלקן בלתי קצובות בזמן - באופן 
שחלקם כוללים הוראות לאפשרות הארכה, וכן הוראות בדבר אפשרות 
לביטול בהודעה מוקדמת (ברוב המקרים, בין 6-12 חודשים).
26.4 הסכם שיעבוד שלילי עם הבנקים - לקבוצה הסכם שיעבוד שלילי עם 
הבנקים לפיו במידה ויקבלו חברות הקבוצה אשראי בנקאי, לא ירשמו כל 
שעבודים לטובת הבנקים, כל עוד תעמוד הקבוצה בהתחייבויות מסוימות 
ובאמות מידה פיננסיות כמפורט בבאור 21 ב. לדוחות הכספיים הכלולים 
בדוח תקופתי זה. 
26.5 הסכמים עם נסטלה, בעלת שליטה – לקבוצה מספר הסכמים עם נסטלה, 
בין היתר בקשר עם העמדת ידע וקניין רוחני, ובקשר עם מכירת מוצרי 
נסטלה בישראל. תיאור תמציתי של ההסכמים בין התאגיד לבין נסטלה 
מפורטים בתקנה 22 לפרק "הפרטים הנוספים על התאגיד" הנכלל בדוח 
תקופתי זה. 
89 
27 . הסכמי שיתוף פעולה 
לקבוצה הסכמים לשיתוף פעולה אסטרטגי עם חברת האם נסטלה, שהיא חברה רב 
לאומית הפועלת בעשרות מדינות ומפעילה מאות מפעלים ברחבי העולם ונחשבת 
לקונצרן המזון הגדול ביותר בעולם. שיתוף הפעולה האסטרטגי עם נסטלה הינו 
כמפורט בתקנה 22 לפרק "הפרטים הנוספים על התאגיד" הנכלל בדוח תקופתי זה. 
28 . הליכים משפטיים 
מרבית ההליכים המשפטיים שהתאגיד הוא צד להם הינם הליכים שגרתיים במהלך 
העסקים הרגיל של הקבוצה. מול הקבוצה עומדות מספר תביעות ייצוגיות או 
בקשות לאישור תביעות ייצוגיות שלהערכת החברה ובהסתמך על חוות דעת של 
יועציה המשפטיים, סיכוייהן קלוש או שהחברות ידרשו לשאת במשאבים כלכליים 
זניחים. ראה ביאור 21 א. 9. לדוח הכספי.
90 
29 . יעדים ואסטרטגיה עסקית 
האסטרטגיה של הקבוצה מבוססת על אסטרטגיה של צמיחה שמטרתה להציע 
לצרכן את מגוון מוצרי המזון האיכותי ביותר תוך כדי חיזוק מעמדה של הקבוצה 
כחברה מובילה בשוק המזון בישראל. השגת היעדים תתבצע באמצעות חיזוק 
המותגים של הקבוצה, הגדלת נתחי שוק והגדלת מכירות על ידי השקת מוצרים 
חדשים וכניסה לתחומים חדשים בענף המזון במטרה להגדיל את הרווחיות 
ושיפור (ROIC) הגדלת שיעור התשואה על ההון המושקע ,(EBIT) התפעולית 
של הקבוצה. כל זאת במקביל לתהליכי התייעלות בהם נוקטת (EP) הרווח הכלכלי 
Lean & High ) הקבוצה המבוססים על מתודולוגיות ההתייעלות של נסטלה 
Nestle ) NCE- וזאת במסגרת פרויקט ה (Performing Organization 
כמו כן הקבוצה מקצה את משאביה התפעוליים .(Continuous Excellence 
והשיווקיים למוצרים השונים במסגרת תהליך של אופטימיזציה המבוססת על 
.Portfolio Management- אסטרטגיית ה 
אסטרטגית הצמיחה של הקבוצה מבוססת על ארבעה מנועי צמיחה עיקריים: 
המבוססת על חדשנות והשקת מוצרים (RIG) 1. צמיחה פנימית של המכירות 
חדשים, בניה וחיזוק של המותגים הקיימים וניצול הצמיחה בענף ובמשק. 
2. שיתוף פעולה אסטרטגי עם נסטלה המאפשר לקבוצה לבחון כניסה לתחומי 
פעילות נוספים בענף המזון, בעיקר בתחומים שבהם נסטלה פועלת ויכולה 
להעניק לקבוצה ערך מוסף של ידע, טכנולוגיה ומותגים, (וזאת בנוסף לתחומים 
שהקבוצה כבר נכנסה אליהם באמצעות נסטלה כמו קפה, גלידות, דגני בוקר, 
ומזון לתינוקות). Nestea שוקולד, מזון לחיות מחמד, משקאות קלים 
3. מדיניות של מיזוגים ורכישות של חברות בתחום המזון בארץ ובחו"ל אשר 
אסטרטגית ימצאו מתאימות לקבוצה ויהיו בעלות ערך סינרגטי לפעילות 
הקבוצה. 
4. צמיחה והתרחבות באירופה ובארה"ב בפעילות הבינלאומית בתחומים בהם יש 
לקבוצה יתרון יחסי וזאת תוך כדי שיתוף פעולה עם נסטלה. 
המידע בפרק זה הינו בבחינת מידע צופה פני עתיד ומתבסס על תחזיות תכניות 
העבודה של הקבוצה. המידע עשוי שלא להתממש במידה והקבוצה תמצא כי אין 
כדאיות בביצוע המהלכים כאמור כתוצאה משינויים אקסוגניים ו/או אנדוגניים.
91 
30 . צפי להתפתחות בשנה בקרובה 
להערכת החברה, השנה הקרובה תושפע מהאטה כלכלית בעולם ובישראל. על רקע 
ההאטה כאמור, מתכוונת הקבוצה להביא לידי ביטוי במהלך השנה הקרובה את 
עוצמת הנזילות ועוצמת האיתנות הפיננסית של הקבוצה בהיותה החברה 
כמו כן .AAA התעשייתית היחידה בישראל (שאינה חברה ממשלתית) שמדורגת 
מתכוונת הקבוצה להביא לידי ביטוי את הסינרגיות ותהליכי ההתייעלויות 
הפנימיים בקבוצה ואת אלו הנובעות מהחיבור עם נסטלה – חברת המזון הגדולה 
בעולם. להערכת החברה, הסינרגיות יבואו לידי ביטוי בין היתר כתוצאה משימוש 
בידע ובטכנולוגיה של נסטלה וכן מתהליכי התייעלות אחרים. בנוסף לכך מתכוונת 
הקבוצה בשנה הקרובה להרחיב את פעילותה בחו"ל (ארה"ב ואירופה) בין השאר 
באמצעות מינוף הרכישות שנעשו בחו"ל בשנים האחרונות ושינוי מבנה שבמסגרתו 
הוקמה חטיבה שתתמחה בפעילות בחו"ל ותאפשר מיקוד ניהולי בפעילות זו. כמו 
כן בכוונת הקבוצה להתרחב בישראל בין השאר גם באמצעות חדשנות של מוצרים. 
המידע בפרק זה הינו בבחינת מידע צופה פני עתיד שקיימת בו חוסר וודאות מכיוון 
שהוא מתבסס על תחזיות ותכניות העבודה של הקבוצה נכון למועד הדו"ח 
התקופתי. המידע עשוי שלא להתממש במידה והקבוצה תמצא כי אין כדאיות 
בביצוע המהלכים כאמור ו/או כתוצאה משינויים בתנאי השוק ( לרבות שינויים 
במגמות המאקרו כלכליות בישראל ובעולם, שינויים בתנאי התחרות בשוק ושינויים 
בשווקים עצמם) ו/או כתוצאה משינויים רגולטורים ו/או כתוצאה מגורמי סיכון 
אחרים החלים על פעילות הקבוצה. 
31 . מידע כספי לגבי מגזרים גיאוגרפיים 
31.1 איזורים גיאוגרפיים – כללי - המגזרים הגיאוגרפיים של הקבוצה כוללים את 
המכירות לשוק המקומי וכן את המכירות לשווקים בחו"ל, כאשר קיימת 
מגמה של מעבר מיצוא לפעילות בינלאומית הכוללת גם יצור בחו"ל, 
בקטגוריות בהן יש לקבוצה יתרון יחסי. מפת התחרות ונתחי השוק 
הרלוונטיים לשוק המקומי מפורטים בחלק השלישי הדן בתיאור עסקי 
התאגיד לפי תחומי פעילות. המכירות לחו"ל מבוססות בעיקרן על פעילות 
באירופה ובארה"ב.
31.2 אירופה - היצוא לאירופה נעשה בין היתר לשוק היהודי הכשר וכן לרשתות 
המזון באירופה. ההפצה באירופה נעשית באמצעות מפיצים עצמאיים וכן 
המשמשת כחברת הפצה של U.K. באמצעות חברת הבת של הקבוצה, אסם 
חתמה על הסכם עם נסטלה אנגליה לפיו תפיץ U.K. הקבוצה באנגליה. אסם 
מוצרי נסטלה שונים בשוק האתני באנגליה בעיקר תחת מותגים U.K. אסם 
"Polish - ו , "Rowntrees Cocoa" ,"Maggi" , "Nido" ,"Caro" ,"Milo" כגון 
את הפעילות של חברת "ירדן" U.K. בשנת 2009 רכשה אסם .Winiary" 
באנגליה אשר עיקר פעילותה התמקדה בהפצה ושיווק של מוצרים כשרים 
לשוק היהודי באנגליה (כולל מוצרים קפואים ומצוננים). 
עיקר פעילות הקבוצה באירופה מקורה בתחום המזון הקפוא והמצונן 
ובעיקר מוצרים של חברת הבת טבעול המבוססים על תחליפי בשר ומוצרי 
מזון על בסיס ירקות. למעלה מ- 70% ממחזור המכירות של מוצרים מן 
הצומח של הקבוצה מיועד לחו"ל, ברובו לאירופה וההפצה באירופה נעשית 
בין השאר באמצעות חברת הבת טבעול אירופה. למוצרי טבעול יתרון יחסי 
על פני המתחרים הפועלים בייצור ושיווק של תחליפי בשר בחו"ל, הן 
מההיבט הטכנולוגי והן מהיבט של הטעם, המרקם והאיכות של המוצרים. 
יתרונות אלו הקנו לטבעול מעמד מוביל בחלק מהשווקים באירופה, הבא 
לידי ביטוי גם בנתחי השוק: 
מדינה נתח שוק 
אטליה 79% 
הולנד 36% 
שבדיה 47% 
31.3 ארה"ב - בשנת 2008 החליטה הקבוצה להרחיב את פעילותה בארה"ב גם 
Tribe בתחום המוצרים הקפואים והמצוננים. ורכשה את פעילות חברת 
הפועלת בארה"ב בתחום הסלטים המצוננים הים- תיכוניים. בסמיכות זמנים 
רכשה הקבוצה גם את פעילות חברת פודטק שפעלה בארה"ב בתחום תחליפי 
ובשנת 2010 מוזגה ל- ) "Veggie Patch" הבשר המצוננים תחת המותג 
היצוא לארה"ב של מוצרי מזון המופצים בטמפרטורת החדר נעשה .(Tribe 
בעיקרו לשוק היהודי הכשר ולשוק המקצועי אך גם לרשתות מזון בארה"ב. 
92
,USA ההפצה בארה"ב של מוצרים אלו נעשית באמצעות חברת הבת, אסם 
בעיקר באמצעות מפיצים חיצוניים. 
31.4 הכנסות ונכסים - מידע בדבר ההכנסות מלקוחות חיצוניים וסך הנכסים 
. הלא שוטפים בפירוט לפי חלוקה לאזורים גיאוגרפיים, נכלל בבאור 26 ב. 2 
לדוחות הכספיים הכלולים בדוח תקופתי זה. 
93 
32 . דיון בגורמי סיכון 
הקבוצה פועלת בתחומי פעילות שהם יציבים יחסית ובסיסיים במהותם. לקבוצה 
פיזור רחב של ספקים העומד על למעלה מ- 2,000 במספר וכמו כן לקבוצה מגוון 
רחב מאוד של מוצרים העומד על למעלה מ- 2,000 פריטי מזון שונים המיוצרים 
כיום באחד-עשר אתרי יצור. לקבוצה גם פיזור רחב של אלפי לקוחות ושל למעלה 
מ- 10,000 נקודות מכירה, חלק מהמכירות מתבצע ללקוחות גדולים כמו רשתות 
המזון. יחד עם זאת, קיימים מספר גורמי סיכון הנובעים מסביבתה הכללית, מן 
הענף ומן המאפיינים הייחודיים שבפעילותה, כמפורט להלן: 
גורמי סיכון מקרו כלכליים 
א. האטה ואי ודאות כלכלית - הקבוצה, כמו שאר המשק, מושפעת מהמצב 
הכלכלי שמשפיע על השינויים בצריכה לנפש, דבר שבא לידי ביטוי גם בשינויים 
בצריכת המזון לנפש. מאחר ובתקופת האטה היכולת לצמוח דרך מחזורי 
המכירות היא מוגבלת, הקבוצה מתמודדת עם סוגיה זו באמצעות תהליכי 
התייעלות ובאמצעות החדרת מוצרים חדשים מעת לעת וחדשנות וכן על ידי 
הגברת מאמצי השיווק בארץ ובחו"ל, קידום המכירות, בניית המותגים, 
מיזוגים ורכישות אשר הובילו לכך שלמרות תקופות האטה שהיו בעבר, 
הקבוצה הצליחה להגדיל את מחזור המכירות ובעת ועונה אחת אף להגדיל את 
רווחיותה. בנוסף לכך לקבוצה נזילות ורמת איתנות פיננסית מהגבוהות במשק 
והינה החברה התעשייתית היחידה, שאינה חברה ממשלתית, שמדורגת בדירוג 
עם אופק דירוג יציב. AAA 
ב. המצב הביטחוני - לקבוצה פיזור רחב של מפעלים ברחבי הארץ אם כי חלק 
מהם ממוקם בצפון או בדרום ואשר בעתות מלחמה היו בטווח ירי הקטיושות 
ו/או ירי תלול מסלול אחר.
ג. תנודות בשערי החליפין של מטבע חוץ – כמפורט בבאור 24 א. 1.ג) 1) לדוחות 
הכספיים המצורפים לדוח תקופתי זה. 
גורמי סיכון ענפיים 
א. חשיפה לשינויים של מחירי חומרי גלם – כמפורט בבאור 24 א. 1.ג) 3) לדוחות 
הכספיים המצורפים לדוח תקופתי זה. 
ב. אשראי ללקוחות - כמפורט בבאור 24 א. 1.א) לדוחות הכספיים המצורפים לדוח 
94 
תקופתי זה. 
ג. התפתחויות רגולטוריות בענף - ראה סעיף 6.4 לעיל. 
ד. מותגים פרטיים - המשך חדירת המותגים הפרטיים לרשתות השיווק 
הקמעונאיות עלול להוות איום על נתחי השוק של הקבוצה בקטגוריות המוצרים 
שלה. הקבוצה מתמודדת עם סוגיה זו באמצעות ריכוז מאמצי שיווק, פרסום 
וקידום מכירות, בניה וחיזוק של מותגיה, תהליכי התייעלות, שיפור מתמיד של 
איכות מוצריה וחדשנותם. 
ה. כניסת מתחרים חדשים - כניסת מתחרים חדשים מחו"ל או יצרנים מקומיים 
מובילים לקטגוריות מוצרים בהם פועלת הקבוצה עלולה להוות איום על נתחי 
השוק והיקפי המכירות של הקבוצה בקטגוריות מוצרים אלו. מדיניות הקבוצה 
להתמודדות עם סוגיה זו מבוססת גם היא על בניה וחיזוק של מותגיה ושמירה 
על יתרון יחסי באמצעות שיפור מתמיד של איכות המוצרים וחדשנות. 
ו. הסביבה העסקית של ענף המזון –עליה ביוקר המחיה עלול להשפיע על הסביבה 
העסקית בה פועלת הקבוצה בכל הקשור להתאמת מחירים לעליה במחירי 
חומרי הגלם ותשומות אחרות וזאת הן מההיבט הצרכני והן מההיבט הקמעונאי 
וזאת בנוסף להיבט הרגולטורי. 
גורמי סיכון ייחודיים 
א. אובדן לקוח עיקרי - לקבוצה לקוחות גדולים בשוק הקמעונאי המאורגן. אובדן 
לקוח גדול עלול להקטין את מחזור ההכנסות של הקבוצה ולפגוע ברווחיותה. 
ב. ריכוז ייצור והפצה במספר אתרים - חלק ניכר מפעילות הקבוצה מרוכז במספר 
מצומצם של אתרים (מפעלים גדולים ומרכז לוגיסטי עיקרי). פגיעת נזקי טבע או 
כל נזק אחר אשר ייגרם באתרים אלו עלולים להשפיע על פעילותה של הקבוצה. 
מדיניות הקבוצה הינה לבטח את נכסיה ואתריה לרבות ביטוח אובדן רווחים.
ג. פגיעה במותג ובאיכות המוצרים - עסקי הקבוצה חשופים לפגיעה במותג 
ובאיכות המוצרים במקרה של פגם באיכות חומרי הגלם המשמשים לייצור 
מוצריה או באיכות מוצרים המיוצרים על ידה. פגמים במוצרי הקבוצה עלולים 
לפגוע במוניטין שלה ובמותגיה ובהיקף המכירות של מוצרי הקבוצה. ברוב 
אתרי הקבוצה בוצעה השקעה במערכת בקרת איכות המותאמת גם לדרישות 
ובמערכת בטיחות מזון המותאמת לדרישות ISO - 9001 התקן הבינלאומי 
.FSSC 22000 התקן הבינלאומי 
ד. תלות בחברת האם - לקבוצה תלות בחברת האם נסטלה. הקבוצה מייבאת 
מוצרים מנסטלה ועושה שימוש בידע, בטכנולוגיה ובמחשוב של נסטלה 
בישראל. הקבוצה רוכשת מנסטלה מוצרים מוגמרים באמצעות חברות הבת 
בע"מ UK אסם תעשיות מזון בע"מ, שותפות מטרנה, אסמים חבילות שי, אסם 
בע"מ וביחס לחלק מהמוצרים, מייצרת הקבוצה את מוצריה תוך USA ואסם 
שימוש במותגים של נסטלה וזאת באמצעות החברה וכן באמצעות חברות הבנות 
טרייב, שותפות נגה גלידות ושותפות מטרנה. בשנת 2013 הסתכמו הכנסות 
הקבוצה ממכירות מוצרים אלו בסך של 1,291 מיליוני ₪. יחד עם זאת החיבור 
של אסם עם נסטלה הינו מהלך אסטרטגי ארוך טווח ונסטלה הינה בעלת עניין 
באסם עם שליטה של 63.7% ממניות החברה. 
ה. כתבי אישור ל"מפעל מאושר" - חלק ממפעלי הקבוצה קיבלו הטבות (במס או 
במענקים) על פי חוקי עידוד השקעות הון. אי עמידה בתנאי כתבי האישור 
עלולה לגרום לביטול ההטבות. החברה עומדת במרבית כתבי האישור שניתנו 
למפעליה, ורק ביחס לכתב אישור אחד נבחנת מידת עמידתה המלאה. הנושא 
מצוי בידיעת מרכז השקעות ובדיונים עימם. להערכת החברה, ההשפעה של 
תוצאות דיונים אלו אינה מהותית לחברה ואין לה חשיפה מהותית בגין כך. 
ו. תלות במערכות מחשב – פעילות החברה נתמכת על ידי מערכות המחשוב. נפילה 
של מערכות אלו עלולה לפגוע ביכולת הייצור והמכירה של הקבוצה. הקבוצה 
מתמודדת עם סוגיה זו באמצעות מערכות גיבוי ובאמצעות תוכנית פעולה 
95 
.(BCP) אלטרנטיבית 
ז. מיזוג והטמעת פעילויות של חברות שנרכשו – התרחבות הקבוצה בשנים 
האחרונות התבססה, בין השאר, גם על רכישת פעילויות של חברות בארץ 
ובחו"ל. אי הצלחה בהטמעת הפעילויות הנרכשות ו/או אי התממשות התחזיות
הקשורות בצמיחה, ברווחיות ובסינרגיות, עלולים לגרום לאי השגת הערך 
של נכסים (לרבות (impairment) המוסף הנצפה מרכישות אלו ואף לירידת ערך 
נכסים בלתי מוחשיים) שנכללו ברכישות ומיזוגים אלו. 
ח. איכות הסביבה – פעילות הקבוצה מושפעת ממגוון היבטים סביבתיים הקשורים 
בעיקר בפעילות היצור והאחסנה של אתרי הקבוצה. פעילות זו עלולה לגרום 
לחשיפת הקבוצה לתביעות בתחום איכות הסביבה. 
להלן טבלה המציגה את גורמי הסיכון על פי טיבם ומידת פוטנציאל השפעתם על עסקי 
הקבוצה בהתאם להערכת ההנהלה: 
סוג הסיכון גורמי הסיכון השפעה גדולה השפעה בינונית השפעה קטנה 
X 
X המצב הביטחוני 
חשיפה לשינויים בשערי 
החליפין 
96 
סיכוני מקרו 
מיתון והאטה במשק 
הישראלי 
X 
סיכונים 
ענפיים 
חשיפה לשינויים במחירי 
חומרי גלם 
X 
אשראי לקוחות 
X X 
התפתחות רגולטורית 
בענף 
X מותגים פרטיים 
כניסת מתחרים X חדשים 
X 
הסביבה העסקית של ענף 
המזון 
סיכונים 
מיוחדים 
לקבוצה 
אובדן לקוח עיקרי 
X ריכוז X 
ייצור והפצה 
במספר אתרים מצומצם 
פגיעה במותג ובאיכות 
המוצרים 
X 
X תלות בחברת האם 
כתבי אישור למפעל 
מאושר 
X 
תלות במערכות מחשוב 
X מיזוג X 
והטמעת פעילויות 
של חברות שנרכשו 
X איכות הסביבה
מידת פוטנציאל ההשפעה של גורמי הסיכון כוללת מידע צופה פני עתיד המבוסס 
על אינפורמציה הקיימת בקבוצה נכון לתאריך הדוח וכולל הערכות ואומדנים 
של הקבוצה. השפעת גורמי הסיכון על פעילות הקבוצה עשויה להיות שונה 
באופן מהותי מן התוצאות המשתמעות ממידע זה. 
דן פרופר איציק צאיג 
יו"ר הדירקטוריון מנהל כללי 
97
אסם השקעות בע"מ 
חלק ב': דין וחשבון הדירקטוריון 
על מצב ענייני החברה
א 
13 במרץ 2014 
דין וחשבון הדירקטוריון על מצב ענייני החברה ליום 31 בדצמבר 2013 
דירקטוריון אסם השקעות בע"מ (להלן: "החברה") מתכבד בזאת להגיש לבעלי המניות את דו"ח הדירקטוריון לשנה 
שנסתיימה ביום 31 בדצמבר 2013 , בהתאם לתקנות ניירות ערך (דוחות תקופתיים ומיידיים), התש"ל 1970- . הנתונים 
המופיעים בדו"ח הדירקטוריון הינם על בסיס הדוחות הכספיים המאוחדים המבוקרים ליום 31 בדצמבר 2013 . הנתונים 
הכספיים ותוצאות הפעילות של החברה מושפעים מנתונים כספיים ותוצאות הפעילות של החברות המוחזקות על ידה. 
החברה והחברות המוחזקות על ידה יכונו יחדיו "הקבוצה" או "קבוצת אסם". 
במקרים מסוימים מובאים פרטים הסוקרים אירועים אשר הינם לאחר תאריך הדוחות הכספיים וסמוך למועד פרסום 
הדוח או פרטים ונתונים נוספים ברמת החברה בלבד. 
א. הסברי הדירקטוריון למצב עסקי התאגיד 
נתונים עיקריים מתוך תיאור עסקי התאגיד 
שנת הקמה ורקע כללי - קבוצת אסם נוסדה בשנת 1942 ואסם השקעות בע"מ הינה חברת האם המאגדת בתוכה את 
קבוצת חברות אסם. הקבוצה מייצרת ומשווקת למעלה מ- 2,000 פריטי מזון שונים המיוצרים כיום באחד עשר אתרי 
יצור הפזורים ברחבי הארץ ובחו"ל והמשווקים באמצעות מרכז הפצה מרכזי ומספר מרכזי הפצה אזוריים, כמו כן 
מייצאת הקבוצה פריטי מזון שונים לארצות שונות, בעיקר למדינות אירופה ולארה"ב. מניות החברה הוצעו לראשונה 
והונפקו בבורסה לניירות ערך בתל-אביב בשנת 1992 . אסם נמנית עם החברות המובילות בישראל בענף המזון ומפתחת 
את עסקיה מתוך מטרה להציע לצרכן בארץ ובחו"ל מגוון רחב של מוצרים ממותגים וברמת איכות גבוהה בכל תחומי 
המזון שבהן היא פועלת ובכך מבססת את מעמדה המוביל בתחום המזון. בסקר תדמית שנערך בדצמבר 2013 על-ידי 
ישראל, כמו גם בסקרים נוספים שנערכו ב- 6 השנים הקודמות, נבחרה אסם כחברת המזון TNS מכון המחקר 
המובילה, הטובה המועדפת והמוכרת ביותר בישראל. לקבוצה מותגים וטכנולוגיות יצור רחבות ומגוונות פרי פיתוח 
עצמאי ובנוסף לכך היא עושה שימוש במותגים, בידע ובטכנולוגיה של חברת האם נסטלה - חברת המזון המובילה 
בעולם. 
שיתוף פעולה אסטרטגי עם נסטלה - נסטלה הינה בעלת המניות הגדולה באסם ומחזיקה כ- 63.7% מזכויות הבעלות 
בחברה. לחברה הסכמים בלעדיים לשיתוף פעולה עם קבוצת נסטלה, שוויץ, על הפצת מוצרי נסטלה בישראל על ידי 
מערכות השיווק והמכירה של אסם וכן הוסכם על אפשרות לייצור מוצרי נסטלה בישראל. בנוסף לחברה הסכמים 
בלעדיים עם קבוצת נסטלה לשימוש בקניין רוחני, בידע וסימני מסחר שנסטלה מחזיקה זכויות בהם. כמו כן מקבלת 
אסם סיוע טכני בנושא מחקר ופיתוח וזכויות שימוש נרחבות בידע של נסטלה לשימושה של הקבוצה. המדובר, בין 
השאר, בידע טכני, מדעי, שיווקי, לוגיסטי, מכירתי, ייצורי, מיחשובי ופיננסי. הקבוצה מקבלת שירותי מיחשוב 
ועדת הביקורת בחנה את סבירות התמורה ששולמה לנסטלה בגין שירותי .GLOBE - מנסטלה במסגרת פרויקט ה 
בשנת 2013 על פי ההסכם שנחתם ומצאה אותם סבירים. GLOBE - המיחשוב של ה 
שינוי מבני - מתוך מטרה להדגיש ולחזק את המיקוד הניהולי והסינרגיה של הפעילות הבינלאומית של הקבוצה, 
החליט הדירקטוריון ביום 21 בנובמבר 2013 על שינוי מבנה בחטיבת המזון המוכן ולהקים חטיבה נפרדת שתתמקד 
פעילות היצוא של ,USA אסם ,UK בפעילות הבינלאומית של הקבוצה שתכלול את טבעול אירופה, טרייב, אסם 
הקבוצה וכן הזדמנויות בינלאומיות עתידיות. כחלק מהשינוי המוצע, פעילות טבעול ישראל תעבור לאחריות החטיבה 
הקולינארית ופעילות סלטי צבר תשאר יחידה עצמאית שתדווח ישירות למנכ"ל. השינוי נכנס לתוקף בתחילת שנת 
.2014
עם אופק AAA לאסם - במרץ 2014 האריכה חברת מידרוג לאסם את דירוג האשראי של AAA דירוג אשראי של 
דירוג יציב שהוענק לאסם. אסם הינה החברה התעשייתית הראשונה והיחידה בישראל, שאינה חברה ממשלתית, 
דירוג זה מעיד על רמת הנזילות הגבוהה ועוצמת האיתנות הפיננסית של הקבוצה. .AAA שמקבלת דירוג 
חקיקה בענף המזון - בנובמבר 2012 פורסם תזכיר חוק לקידום התחרות בענף המזון העוסק, בין השאר, בהסדרת 
פעילות ספקים וקמעונאים ובתחרות גאוגרפית בין קמעונאים וזאת בהתבסס על המלצות ועדת המזון. נוסח החוק 
אושר בקריאה ראשונה ונמצא בשלב הדיונים במסגרת ועדת הכלכלה בכנסת. בשלב מקדמי זה, לא ניתן להעריך את 
השפעת השינויים שיחולו בעקבות הצעת החוק. 
ב 
מצב כספי 
הנכסים הפיננסיים הנזילים (מזומנים ושווי מזומנים והשקעות אחרות) של הקבוצה הסתכמו לתאריך המאזן לסך של 
335,126 אלפי ₪ לעומת סך של 73,935 אלפי ₪ בסוף שנה קודמת, גידול של 261,191 אלפי ₪. 
הגידול נובע בעיקר מתזרים המזומנים מפעילות שוטפת והוא הושג למרות שהקבוצה ניצלה חלק מהגידול מעודפי 
המזומנים שלה להשקעות בהרחבת מפעלים, פרעון הלוואות לזמן ארוך וחלוקת דיבידנדים. 
הרכוש (רכוש קבוע ונכסים בלתי מוחשיים) הסתכם לסך של 2,121,554 אלפי ₪ בהשוואה לסך של 2,153,644 אלפי ₪ 
בסוף שנה קודמת. ההשקעות ברוטו בתקופת הדוח הסתכמו לסך של 150,805 אלפי ₪. 
השקעות הקבוצה היו בעיקרם ברכישת קווי ייצור ואוטומציה, בעיקר במפעל הגלידות ובמפעל ביקנעם וכן השקעות בציוד 
ובהרחבת המפעלים. 
הלוואות לזמן ארוך מתאגידים בנקאיים - ליום המאזן נפרעו כל ההלוואות לזמן ארוך מהתאגידים הבנקאיים. 
סך ההון גדל והסתכם לסך של 2,252,873 אלפי ₪ לעומת סך של 2,043,444 אלפי ₪ בסוף שנה קודמת. הגידול בהון העצמי 
נובע בעיקר מצבירת רווחים שוטפים בסך של 376,428 אלפי ₪ בניכוי דיבידנד שחולק בסך 150,000 אלפי ₪. ההון העצמי 
מהווה 61.9% מסך המאזן. 
. סך המאזן גדל והסתכם ל- 3,642,288 אלפי ₪ בהשוואה לסך של 3,424,170 אלפי ₪ בסוף שנה קודמת, גידול של 6.4% 
מבנה המאזן ליום 31 בדצמבר 2013 מצביע על המשך הרחבת הפעילות העסקית המתבטאת בהגדלת ההשקעות ברוטו 
ברכוש הקבוע, גידול ברווחים, צבירת מזומנים מפעילות שוטפת והתרחבות שאפשרה לצמצם את האשראי לזמן קצר 
ולפרוע את כל ההלוואות לזמן ארוך מהבנקים, ומעידה על האיתנות הפיננסית הנמשכת.
ג 
תוצאות הפעולות 
סה"כ מחזור המכירות של קבוצת אסם בשנת 2013 גדל והסתכם לסך של 4,190,047 אלפי ₪ לעומת סך של 4,091,593 
. אלפי ₪ בשנה קודמת, גידול של 2.4% 
הגידול במכירות בא לידי ביטוי בכל תחומי הפעילות של הקבוצה, בתחום הקולינארי, בתחום החטיפים ודגני בוקר, בתחום 
המאפה והמשקאות, בתחום המזון המוכן, בתחום המזון לתינוקות ובתחום הפעילות האחרת. 
מחזור המכירות ברבעון הרביעי של שנת 2013 גדל והסתכם לסך של 1,035,072 אלפי ₪ לעומת סך של 1,011,302 אלפי ₪ 
. בתקופה המקבילה אשתקד. גידול של 2.4% 
המכירות לשוק המקומי בשנת 2013 גדלו והסתכמו לסך של 3,560,200 אלפי ₪, בהשוואה לסך של 3,423,047 אלפי ₪ 
. בתקופה המקבילה אשתקד, גידול של 4.0% 
מכירות הקבוצה בחו"ל בשנת 2013 הסתכמו לסך של 629,847 אלפי ₪ בהשוואה לסך של 668,546 אלפי ₪ בשנה קודמת, 
קיטון של 5.8% אשר נובע בין השאר משחיקת שערי המטבעות וכן מהפסקת מכירתם של מוצרים מפסידים ו/או שאינם 
. תחת מותגי קבוצת אסם. בניטרול השפעות אלו היו המכירות בחו"ל מציגות גידול של 3.3% 
התפתחות המכירות נטו 
(במיליוני ש"ח)
הרווח הגולמי של הקבוצה בשנת 2013 הסתכם לסך של 1,763,711 אלפי ₪ בהשוואה לסך של 1,679,595 אלפי ₪ בתקופה 
ד 
. המקבילה אשתקד, גידול של 5.0% 
השיפור ברווח הגולמי נובע בין השאר משחיקת המטבעות אשר משפיעה לטובה על היבוא, צימצום בהוצאות עקב השקעה 
באוטומציה של קווי יצור וכן תהליכי התיעלות שהם פרי המתודולוגיה של נסטלה. 
הרווח התפעולי לפני הוצאות אחרות של הקבוצה בשנת 2013 הסתכם לסך של 528,558 אלפי ₪ בהשוואה לסך של 
. 511,023 אלפי ₪ בתקופה המקבילה אשתקד, גידול של 3.4% 
הרווח התפעולי לפני הכנסות והוצאות אחרות של הקבוצה בשלושת חודשי הרבעון הרביעי של שנת 2013 הסתכם לסך של 
. 129,212 אלפי ₪ בהשוואה לסך של 122,746 אלפי ₪ בתקופה המקבילה אשתקד, גידול של 5.3% 
הגידול ברווח התפעולי לפני הכנסות והוצאות אחרות הושג בעיקר בשל מהלכי התייעלות ושיפורים ברווח הגולמי, וכל זאת 
למרות העלייה בהנחות, הוצאות מכירה, קידום מכירות ומבצעים לצרכן. 
התפתחות הרווח מפעולות רגילות (לפני הכנסות / הוצאות אחרות) 
(במליוני ₪)
הרווח הנקי של קבוצת אסם בשנת 2013 הסתכם לסך של 376,428 אלפי ₪ לעומת 357,342 אלפי ₪ בשנה קודמת, גידול 
. של 5.3% 
הרווח הנקי של הקבוצה בשלושת חודשי הרבעון הרביעי של שנת 2013 הסתכם לסך של 90,412 אלפי ₪ בהשוואה לסך 
. של 76,242 אלפי ₪, גידול של 18.6% 
הגידול ברווח הנקי נובע משיפור ברווח התפעולי, ירידה משמעותית בהוצאות המימון עקב פרעון הלוואות וירידה 
בהוצאות החד פעמיות בהשוואה לשנה קודמת (הוצאות אחרות). 
שיפורים אלה ברווח הם בעיקר תוצאות מדיניות הקבוצה בשנים האחרונות הבאה לידי ביטוי בהרחבת הפעילות תוך 
החדרה מתמדת של מוצרי נסטלה, חדירה לתחומי פעילות חדשים בארץ ובחו"ל, השקת מוצרים חדשים וזאת בנוסף 
לתהליכי מיזוג, אוטומציה והתייעלות. כל אלה מבססים מעמדה של אסם כיצרנית מזון מובילה בישראל. 
הוצאות מכירה שיווק והפצה בשנת 2013 גדלו והיוו 22.2% מהמחזור לעומת 21.6% בתקופה המקבילה אשתקד. 
הוצאות הנהלה בשנת 2013 גדלו והיוו 7.3% מהמחזור לעומת 6.9% בתקופה המקבילה אשתקד. 
הוצאות המימון נטו של הקבוצה בשנת 2013 ירדו והסתכמו לסך של 22,761 אלפי ₪ לעומת 29,638 אלפי ₪ בתקופה 
המקבילה אשתקד. הירידה בהוצאות המימון נובעת מפירעון של מלוא ההלוואות הבנקאיות לזמן ארוך וכן מצמצום 
באשראי הבנקאי לזמן קצר המהווה כיום 0.8% בלבד מסה"כ המאזן. הוצאות המימון הנותרות נובעות בעיקר מריבית 
רעיונית, שאינה תזרימית וזאת בגין אופציות מכר למיעוט. 
הוצאות אחרות נטו בשנת 2013 הצטמצמו וירדו לסך של 2,885 אלפי ₪ לעומת 7,030 אלפי ₪ בתקופה המקבילה אשתקד. 
רווח תפעולי (לפני הוצאות (הכנסות) אחרות נטו) רווח נקי 
ה 
גידול של 
5.3% 
גידול של 
3.4%
ו 
ניתוח התוצאות העסקיות של הקבוצה לפי תחומי פעילות 
. התחום הקולינארי - בשנת 2013 גדלו המכירות מרמה של 738,887 אלפי ₪ לרמה של 755,578 אלפי ₪, גידול של 2.3% 
הרווח גדל מרמה של 96,847 אלפי ₪ לרמה של 100,918 אלפי ₪. השיפורים במכירות וברווח נובעים, בין השאר, מתהליכי 
התייעלות וחדשנות של מוצרים וזאת למרות עליה בהוצאות שיווק, קידום מכירות ומבצעי הוזלה. 
תחום החטיפים ודגני בוקר - בשנת 2013 גדלו המכירות מרמה של 662,706 אלפי ₪ לרמה של 667,284 אלפי ₪, גידול של 
0.7% . הרווח ירד מרמה של 169,179 אלפי ₪ לרמה של 163,855 אלפי ₪. המכירות והרווח הושפעו, בין השאר, מהפסקת 
פעילות בחו"ל שאינה במותג אסם ועליה בהוצאות שיווק, קידום מכירות ומבצעי הוזלה. 
תחום המאפה והמשקאות - בשנת 2013 גדלו המכירות מרמה של 529,336 אלפי ₪ לרמה של 545,905 אלפי ₪, גידול של 
3.1% . הרווח גדל מרמה של 71,351 אלפי ₪ לרמה של 89,139 אלפי ₪. השיפורים במכירות וברווח נובעים, בין השאר, 
משיפור בעלות המכר ואוטומציה של קווי יצור, וזאת למרות עליה בהוצאות שיווק, קידום מכירות ומבצעי הוזלה. 
. תחום המזון המוכן - בשנת 2013 גדלו המכירות מרמה של 915,229 אלפי ₪ לרמה של 931,566 אלפי ₪, גידול של 1.8% 
הרווח גדל מרמה של 71,910 אלפי ₪ לרמה של 77,561 אלפי ₪. השיפורים במכירות וברווח נובעים, בין השאר, מגידול 
במכירות הסלטים בארה"ב וכן מגידול במכירות בישראל ובאירופה אשר קוזזו חלקית עקב שחיקה בשערי המטבעות ועקב 
הפסקת מכירתם של מוצרים מפסידים. 
. תחום המזון לתינוקות - בשנת 2013 גדלו המכירות מרמה של 355,058 אלפי ₪ לרמה של 358,644 אלפי ₪, גידול של 1.0% 
הרווח גדל מרמה של 59,228 אלפי ₪ לרמה של 62,151 אלפי ₪. 
על אף התגברות התחרות, השיפורים במכירות וברווח הושגו, בין השאר, כתוצאה משימוש בידע טכנולוגי של נסטלה 
ומשיפורים במפעל. 
פעילויות אחרות - בשנת 2013 גדלו המכירות מרמה של 947,236 אלפי ₪ לרמה של 995,592 אלפי ₪, גידול של 5.1% . הרווח 
ירד מרמה של 43,028 אלפי ₪ לרמה של 34,934 אלפי ₪. 
וזאת למרות השחיקה בשערי המטבעות ששחקה (Nestea) הגידול במכירות נובע, בין השאר, מכניסה לקטגוריית התה הקר 
הרווח הושפע משחיקת שערי המטבעות ומעליה בהוצאות .UK ואסם USA את המכירות בחו"ל של חברות הבת אסם 
השיווק, קידום מכירות ומבצעי הוזלה.
ז 
תמצית דוחות רווח והפסד רבעוניים 
שלשה חודשים שנסתיימו ביום שנה שנה 
שנסתיימה שנסתיימה 
ביום ביום 
31 במרס 30 ביוני 30 בספטמבר 31 בדצמבר 31 בדצמבר 31 בדצמבר 
2012 2013 2013 2013 2013 2013 
(בלתי מבוקר) (בלתי מבוקר) (בלתי מבוקר) (בלתי מבוקר) (מבוקר) (מבוקר) 
אלפי ₪ אלפי ₪ אלפי ₪ אלפי ₪ אלפי ₪ אלפי ₪ 
4,091,593 4,190,047 1,035,072 1,082,982 1,061,363 מכירות 1,010,630 
2,411,998 2,426,336 596,982 620,018 613,140 עלות המכירות 596,196 
1,679,595 1,763,711 438,090 462,964 448,223 רווח גולמי 414,434 
885,610 928,833 224,879 244,373 246,806 הוצאות מכירה, שיווק והפצה 212,775 
282,962 306,320 83,999 76,388 76,496 הוצאות הנהלה וכלליות 69,437 
רווח תפעולי לפני הכנסות 
511,023 528,558 129,212 142,203 124,921 (הוצאות) אחרות 132,222 
(7,030) (2,885) 82 (167) (2,870) הכנסות (הוצאות) אחרות 70 
503,993 525,673 129,294 142,036 122,051 רווח תפעולי 132,292 
(29,638) (22,761) (7,157) (5,947) (3,359) ( הוצאות מימון, נטו ( 6,298 
474,355 502,912 122,137 136,089 118,692 רווח לפני מסים על הכנסות 125,994 
117,013 126,484 31,725 34,760 28,596 מסים על ההכנסה 31,403 
357,342 376,428 90,412 101,329 90,096 רווח לתקופה 94,591 
נזילות, מקורות המימון ותזרים מזומנים 
תזרים המזומנים מפעילות שוטפת הסתכם בשנת 2013 לסך של 635,338 אלפי ₪ בהשוואה לסך של 543,289 אלפי ₪ 
בשנה קודמת, גידול של 16.9% אשר נובע בעיקר משיפור ברווח הנקי ומשיפור בניהול ההון החוזר. 
הגידול בתזרים המזומנים מפעילות שוטפת איפשר לחברה לפרוע את כל ההלוואות הבנקאיות לזמן ארוך ולצמצם את 
ההלוואות לזמן קצר וכן להשקיע באוטומציה של קווי יצור, השקעה אשר שיפרה את התפוקה לעובד. 
. היחס השוטף ליום המאזן עומד על 1.49 
. היחס המהיר ליום המאזן עומד על 1.09 
יחסי הנזילות ועודפי הנזילות של הקבוצה, היוו ויהוו את מקורות המימון העיקריים להמשך התרחבות עסקי הקבוצה 
בתחומי המוצרים השונים, הרחבת קווי יצור, כניסה לתחומים חדשים וזאת בשילוב עם מימון זר בהתאם לצורך.
ח 
ב. חשיפה לסיכוני שוק ודרכי ניהולם 
הטיפול וניהול הסיכונים בהתאם למדיניות שנקבעה הינם באחריות פנחס קימלמן, המשנה למנכ"ל - כספים, נושא 
משרה בכירה בחברה. פירוט לגבי השכלתו, כישוריו, ניסיונו העסקי ותפקידיו האחרים באירגון, ראה תקנה 26 (א) 
בדוח תקופתי זה. 
תיאור סיכוני השוק ומדיניות הקבוצה בניהול סיכוני השוק ודרכי ההתמודדות, מופיעים בסעיף 28 "דיון בגורמי 
סיכון" הנכלל בפרק על "תיאור עסקי התאגיד" שבמסגרת דוח תקופתי זה וכן בבאור 24 בדוח הכספי. 
אמצעי הפיקוח למימוש המדיניות נעשים באמצעות דיווחי מעקב תקופתיים וכן בדיקות תקופתיות על ידי מבקר 
הפנים. 
דוח בסיסי הצמדה ליום 31 בדצמבר 2013 
לפירוט בדבר דיווח לפי בסיסי הצמדה ראה באור 24 לדוחות כספיים. 
מבחני רגישות למכשירים פיננסיים ליום 31.12.13 
בכל מבחני הרגישות (מחירי סחורות, שערי חליפין, מדד המחירים לצרכן ושיעורי הריבית), השינוי הקיצוני ביותר 
±10% ) שאותו היה על החברה לנתח במסגרת מבחן הרגישות, אינו חושף את החברה לסיכון מהותי. )
ט 
ג. היבטי ממשל תאגידי 
גילוי בדבר המבקר הפנימי בתאגיד 
המבקרת הפנימית הינה רו"ח אילנה כחלון המכהנת בתפקידה מאז שנת 2008 , לאחר שמינוייה אושר על ידי ועדת 
הביקורת והדירקטוריון. לפרטים אודות המבקרת הפנימית ראו חלק ד' בדוח התקופתי - פרטים נוספים על התאגיד 
בתקנה 26 א. 
למבקרת הפנימית כפיפות דואלית ליו"ר דירקטוריון החברה ולמנכ"ל החברה. 
תוכנית העבודה השנתית של ביקורת הפנים של החברה מבוססת על סקר מיפוי סיכונים וגובשה בשיתוף עם הנהלת 
החברה. התוכנית מקיפה את פעילות החברה וחברות הבנות בארץ ובחו"ל ואושרה על ידי ועדת הביקורת. 
התוכנית מותירה בידי המבקרת הפנימית שיקול דעת לסטות ממנה. 
המבקרת הפנימית ואנשי ציוותה מועסקים בהיקף של כ 5- משרות מלאות. כ 19%- משעות העבודה הושקעו בחברות 
בת בחו"ל. 
הביקורת נערכת על פי חוק הביקורת הפנימית, התשנ"ב - 1992 , ועל פי תקנים מקצועיים מקובלים שאושרו ופורסמו 
על ידי לשכת המבקרים הפנימיים בישראל. וכן נוהלי הביקורת של נסטלה. לדעת הדירקטוריון, המבקרת הפנימית 
עומדת בדרישות שנקבעו בתקנים האמורים וזאת על פי הצהרתה וכן על פי תוכן הדוחות, ממצאי הביקורת, 
כישרונה, נסיונה ומקצועיותה. 
למבקרת הפנימית ניתנת גישה חופשית, מתמדת ובלתי אמצעית לכל הנתונים לרבות למערכות המידע של התאגיד 
ונתונים כספיים בכל חברות הקבוצה בארץ ובחו"ל. 
הליך אישורן של עסקאות מהותיות בתקופת הדוח, במידה והיו, נבחן על ידי המבקרת הפנימית. 
דוחות המבקרת הפנימית הוגשו בכתב ליושב ראש הדירקטוריון, למנכ"ל, לועדת ביקורת ולגופים המבוקרים. 
בשנת 2013 התקיימו דיונים שוטפים בועדת הביקורת בגין דוחות הביקורת וכן דיונים אחרים בוועדת ביקורת 
.(21/11/2013 ,18/8/2013 ,19/5/2013 ,19/3/2013 ,13/3/2013 ,10/1/2013) 
לדעת הדירקטוריון היקף עבודת הביקורת הפנימית, רציפות פעילותה ותוכנית העבודה הינם סבירים בנסיבות העניין 
ויש בהם כדי להגשים את מטרות הביקורת הפנימית בקבוצה. וועדת הביקורת בשיתוף עם הנהלת הקבוצה 
והמבקרת הפנימית בוחנים מידי שנה את ההיקף הנאות של עבודת הביקורת הפנימית בקבוצה. 
תגמול המבקרת הפנימית מבוסס על משכורת וכן מענק כנהוג וכמקובל לקבוצת המנהלים הרלוונטית ובהתאם 
למדיניות החברה. בנוסף, מבנה התגמול של המבקרת אינו משתנה לפי תוצאות הביקורת. ולפיכך להערכת 
הדירקטוריון מבנה התקבול אינו משפיע על הפעלת שיקול דעתה המקצועי של המבקרת הפנימית. 
הקף התגמול השנתי המשולם לעובדי מחלקת ביקורת פנים מסתכם לסך כולל של 2,060 אלפי ₪. 
תגמולים לבעלי עניין ולנושאי משרה בכירה 
א. ביום 22 בנובמבר 2012 מינה דירקטוריון החברה וועדת תגמול בהתאם להוראות סעיף 118 א לחוק החברות, 
התשנ"ט 1999- ("חוק החברות"), אשר כוללת את: יקי ירושלמי (יו"ר), ד"ר ליאורה מרידור ו- גבי הייק, ואשר 
במסגרת תפקידיה בין היתר להמליץ לדירקטוריון החברה על מדיניות לתגמול נושאי המשרה בחברה ("מדיניות 
התגמול"), וכן להחליט על אישור תנאי העסקת וכהונה של נושאי משרה. 
מדיניות התגמול של החברה אושרה על ידי האסיפה הכללית של החברה ביום 3/9/2013 , לאחר אישורה על ידי 
ועדת התגמול והדירקטוריון. 
ב. בהתאם להוראות תקנה 10 (ב)( 4) לתקנות ניירות ערך (דוחות תקופתיים ומיידיים), התש"ל 1970- נדרש 
דירקטוריון החברה להסביר את הקשר בין התגמולים לנושאי המשרה הבכירה ולבעלי העניין בחברה שניתנו לפי 
תקנה 21 לתקנות הדוחות ("נושאי המשרה"), לבין תרומתו של כל אחד מהם לחברה במהלך תקופת הדו"ח, וכן 
נדרש הדירקטוריון לציין אם התמורה לנושאי המשרה הינה הוגנת וסבירה.
במסגרת הליך אישור הדוחות הכספיים ליום 31.12.2013 קיים הדירקטוריון בחינה מקיפה של מכלול תנאי 
. התגמול של כל אחד מנושאי המשרה הבכירה המנויים בתקנה 21 לפרק ד' של הדו"ח התקופתי לשנת 2013 
הבחינה בוצעה ביחס לכל אחד מנושאי המשרה בנפרד, בהתבסס על המידע המפורט אשר הוצג בפני 
הדירקטוריון. 
לאחר בחינה פרטנית שנערכה בישיבת הדירקטוריון של התאגיד בקשר עם כל אחד מנושאי המשרה המנויים 
בתקנה 21 לתקנות הדיווח, ובהתבסס על המידע שהוצג לה, מצא דירקטוריון החברה (לאחר שהתקיים דיון 
בנושא גם בוועדת התגמול) כי גמולם של כל אחד מנושאי המשרה כאמור תואם את מדיניות התגמול. 
י 
גילוי בדבר שכר רואה החשבון המבקר 
להלן פירוט שכר רואי החשבון המבקרים בגין שירותי ביקורת, שירותים הקשורים לביקורת ובגין שירותי מס, 
בחברה ובחברות המאוחדות המהותיות: 
2012 שם החברה רואה החשבון 2013 
אלפי ₪ שעות אלפי ₪ שעות 
אסם השקעות בע"מ 
סומך חייקין 6,866 1,387 6,868 1,410 KPMG וחלק מהחברות הבנות 
חברות בנות בחו"ל של 
1,147 646 1,277 639 KPMG טבעול ( 1993 ) בע"מ 
2,047 571 1,759 חברות בנות מסוימות רוז'נסקי, הליפי, מאירי ושות' 517 
סומך חייקין 90 אלפי ₪ תמורת עבודות מיוחדות. (שנה קודמת 80 אלפי ₪). KPMG- בנוסף שולם ל 
הקבוצה שילמה לרואי חשבון שונים שכ"ט נוסף בגין חברות בנות נוספות שאינן מהותיות. 
העקרונות לקביעת שכר הטרחה של המבקר מבוססים על השכר שהיה נהוג בשנים קודמות, צמוד למדד וכן 
בהתייחס להיקף פעילות עבודת הביקורת הצפויה בשנת הדוח אם ובמידה וישנם שינויים מהותיים בהיקף 
השעות. שכר הטרחה מאושר ע"י דירקטוריון החברה ומדווח לאסיפה הכללית.
יא 
עבודת הדירקטוריון 
א. נוהל עסקאות זניחות 
ביום 31 באוגוסט 2011 אימץ דירקטוריון החברה, לאחר שנתקבלה המלצת וועדת הביקורת, נוהל לאישור עסקאות 
זניחות עם בעל ענין ועם בעל שליטה בחברה, כקבוע בתקנה 41 (א)( 6) לתקנות ניירות ערך (עריכת דוחות כספיים 
שנתיים), התש"ע 2010- , אשר במסגרתו הוגדרו עסקאות אשר ייחשבו כעסקאות זניחות ולפיכך בהתאם להוראות 
הדין אינן מצריכות פרסום דיווח מיידי. 
על פי הנוהל, בהעדר שיקולים איכותיים מיוחדים העולים מכלל נסיבות העניין, עסקת בעל עניין שאינה עסקה 
חריגה (כהגדרת המונח בחוק החברות, התשנ"ט 1999- ) ושאינה מסווגת על ידי החברה כאירוע החייב בדיווח 
בהתאם להוראות תקנה 36 לתקנות ניירות ערך (דוחות תקופתיים ומיידיים), התש"ל 1970- , תיחשב כעסקה זניחה 
אם תעמוד בשני הפרמטרים הבאים: (א) העסקה הינה בשיעור של פחות מ - 0.5% (חצי אחוז) מאמת המידה 
הרלוונטית כפי שהוגדר בנוהל (אמת מידה אחת או יותר, אם וככל שרלוונטי לעסקה), אמת המידה הינה מחזור 
המכירות השנתי ו/או סה"כ הנכסים במאזן ו/או סה"כ ההתחיבויות במאזן ו/או הרווח השנתי והכל לפי נסיבות 
הענין. ובנוסף (ב) היקף העסקה אינו עולה על סך של 8,000 אלפי ₪, כשסכום זה מותאם לשיעור העלייה במדד 
המחירים לצרכן ביחס למדד שפורסם ביום 15 ביולי 2011 ; והכל לפי הנמוך מבין השניים. 
הנהלת החברה, תבחן כל עסקה כאמור, על מנת לקבוע אם העסקה הינה זניחה, אם לאו, וזאת על פי הפרמטרים 
אשר נקבעו לעיל וכן תוך בחינה של מהות העניין האישי הנוגע לעסקה. ככל והעסקה תסווג כ"עסקה זניחה" תהיה 
הנהלת החברה רשאית לדון בפרטי העסקה ולהחליט אם לאשרה או לאו. על פי דרישה תעביר הנהלת החברה לעיון 
וועדת הביקורת פירוט של עסקאות אשר אושרו על ידה כעסקאות זניחות. מידי שנה תסקור ועדת הביקורת את 
אופן ישום הנוהל וכן תערוך בדיקה מדגמית של העסקאות שסווגו כעסקאות זניחות. 
ב. תכנית אכיפה מינהלית ונהלים בתחום ניירות הערך 
בנוסף להנחיות והנהלים הקיימים בקבוצה, וההדרכות שנעשו, פועלת הקבוצה לשידרוג ושיפור של נהלי האכיפה 
בתחום ניירות הערך בהתאם לקריטריונים להכרה בתכנית אכיפה בתחום ניירות הערך, אשר פורסמו על ידי רשות 
ניירות ערך ביום 15 באוגוסט 2011 . הקבוצה מסתייעת גם ביועצים חיצוניים לביצוע התהליך ועד להשלמתו. נכון 
למועד הדוח טרם אימצה החברה תכנית אכיפה בתחום ניירות ערך. 
ג. ישיבות הדירקטוריון 
דירקטוריון החברה קיים 6 ישיבות במהלך שנת 2013 וכן עשה הדירקטוריון שימוש במנגנון של קבלת החלטה 
בכתב. יצויין כי וועדות דירקטוריון קיימו ישיבות נוספות.
יב 
תרומות ופעילות בקהילה 
א. תרומות 
במהלך 2013 המשיכה קבוצת אסם לתרום לקהילה בכסף ובשווה כסף, בסכום של 7.7 מיליון ₪ וזאת בהשוואה 
לסכום של 7.9 מליון ₪ בתקופה המקבילה אשתקד. 
ב. מעורבות חברתית 
קבוצת אסם פועלת מתוך תפיסה שהערך שעליה לייצר, כארגון עסקי, הינו ערך משותף. לא רק ערך עבור בעלי 
המניות, אלא גם ערך עבור הצרכנים, העובדים ושאר בעלי העניין. תפיסה זו אינה נדבך נוסף על הפעילות העסקית 
השוטפת אלא היא מהווה חלק אינטגרלי מהאסטרטגיה של הקבוצה. 
אסטרטגיה זו של ראיה חברתית רחבה הובילה לכך שאסם מדורגת בדירוג פלטינה של "מעלה", בתוך החברות 
המובילות בדירוג. 
ביסוד התפיסה, מחויבת אסם, לעמידה בכל ההתחייבויות הרלוונטיות לפעולותיה מכח חקיקה, הסכמים, 
עקרונות פעולה וקודים. בנוסף, מחויבת הקבוצה להגן גם על העתיד על ידי מחויבות לעקרונות של קיימות 
סביבתית. מעל לכל ומעבר לכך, אסם יוצרת ערך משותף עם הקהילה כחלק מהאסטרטגיה שלה ומהאופן בו היא 
מיישמת אותה יום ביומו. 
תחושת האחריות הרחבה קשורה בעבותות למורשת אסם, לערכיה, למנהליה ועובדיה, בעבר ובהווה. 
ג. עובדים 
קבוצת אסם מקפידה הקפדה יתרה בזכויות עובדיה וביצירת סביבת העבודה המתאימה ביותר עבורם. זאת עושה 
הקבוצה מתוך הבנה עמוקה כי עובדיה המסורים והמקצועיים הינם הנכס החשוב ביותר של הקבוצה. אסם 
מקיימת דיאלוג מתמשך, פורה ומפרה, עם ארגוני העובדים. באסם לא קיימים עובדים קבועים בייצור שאינם 
מועסקים ישירות על ידי הקבוצה (עובדי קבלן), ובהתקשרות עם ספקים בתחומי התמחות (אבטחה, הסעדה וכו') 
אסם פועלת לוידוא שמירה על זכויות עובדיהם. בטיחות עובדי אסם וספקיה לאורך שרשרת הערך עומדת לנגד 
עיני הקבוצה יומם ולילה, והקבוצה נוקטת גישה פרו-אקטיבית בשם מחויבותה למניעת תאונות, פציעות ומחלות 
ולהגנה על העובדים. 
ד. קוד אתי 
לקבוצת אסם קוד אתי מקיף ופומבי, המהווה מסמך חי ורלוונטי בעבודה השוטפת של כל עובדי הקבוצה, ומשמש 
ככזה בזכות תכנית הדרכה מקיפה. 
ה. איכות הסביבה 
מחויבות קבוצת אסם לעקרונות של קיימות סביבתית באה לידי ביטוי לא רק בעמידה בתקנים מחמירים של 
הגנה על הסביבה, אלא גם ובעיקר בפעילות האקטיבית של הקבוצה במטרה לצמצם את ההשפעה על הסביבה 
בפעילויותיה השונות. מפעלי הקבוצה השונים פועלים תחת תכנית יעדים רב שנתית שמטרתה צמצום השפעה 
סביבתית מזיקה, לרבות פליטת מזהמים, צריכת אנרגיה וצריכת מים. קבוצת אסם הגיעה בשנים האחרונות 
להישגים מרשימים במדדי הקיימות השונים.
יג 
ו. פעילות והשקעה בקהילה 
כאמור, תפיסת תפקידה של אסם בייצור ערך משותף מחייבת שיקול דעת הנוגע לטובת בעלי העניין השונים בכל 
הפעילות השוטפת. להלן מספר דוגמאות ליישומה של תפיסה זו בקבוצת אסם: 
1. מיקום אתרי הייצור של קבוצת אסם בפריפריה מאפשר לייצר מקומות עבודה והזדמנויות למובילות חברתית 
דווקא במקומות בהם זה הכי חסר. אסם היא המעסיק הגדול ביותר בשדרות והרוב המכריע של מפעליה 
מצויים בפריפריה הגיאוגרפית והכלכלית. 
2. אסם מיישמת הלכה למעשה עקרונות של הכלה חברתית על ידי העסקת אוכלוסיות מודרות (מיעוטים, בעלי 
צרכים מיוחדים, איזון מגדרי) והעברת עבודות מתאימות למעסיקי אוכלוסיות בעלות צרכים מיוחדים. בנוסף, 
פועלת הקבוצה לנגישות נרחבת ככל שניתן למוצריה, לרבות העמקת מגוון המוצרים המתאימים לחולי צליאק. 
3. בגיבוש המוצרים אותם אסם מציעה לשוק היא נותנת דגש על מתן מענה לצרכים אמיתיים של האוכלוסייה, 
כולל עמידה בסטנדרטים תזונתיים המוגדרים על ידי נסטלה. כמו כן, בתהליך תכנון אריזות המוצרים 
והכיתובים על גביהם, מקפידה הקבוצה על שקיפות מרבית ביחס למוצר, מרכיביו, תכונותיו וערכיו 
של נסטלה, המסייעת (Compass) " התזונתיים, ומספקת מידע רלוונטי בין היתר על ידי יישום תכנית ה"מצפן 
בהנגשת המידע לצרכנים. 
4. אסם גוזרת על עצמה מגבלות של תקשורת אחראית בכל הפעילות השיווקית שלה, תוך עמידה בסטנדרט של 
חברת נסטלה בנושא, המחמיר יותר מדרישות החוק המקומי. לעיתים אסם אף מקיימת מיזמים שיווקיים 
המשלבים כוחות עם עמותות הפועלות למטרות קהילתיות. 
בתחום הפיתוח הקהילתי/ חברתי/ כלכלי, ממקדת קבוצת אסם את מאמציה במגוון פעילויות תחת הכותרת של "מזון 
לחיים". הבחירה בתחום המזון כמוביל נובעת הן מהיות אסם חברת מזון גדולה ומושרשת בקרב הקהילה בארץ, והן 
בשל העובדה כי בתחום זה באפשרות הקבוצה למנף באופן מקסימלי את התרומה לתועלת קהילתית. 
הנתרמת העיקרית של אסם בתחום זה הינו ארגון "לתת", ארגון סיוע הומניטרי ישראלי שנוסד בשנת 1996 במטרה 
להעניק סיוע לאוכלוסיות במצוקה, על בסיס אוניברסלי ושוויוני. "לתת" הינו ארגון גג הפועל בשיתוף עמותות מקומיות 
רבות ומהווה את "בנק המזון" הגדול והמשמעותי בישראל. שותפות זו כוללת מספר מיזמים בעלי ותק פעילות שונה. 
קבוצת אסם מתגאה להיות תורמת המזון הגדולה ביותר של ארגון "לתת" מזה שנים. בנוסף אסם מרימה במהלך השנה, 
ובמיוחד לקראת חגי תשרי ופסח, תרומות מזון אשר במהלך השנים האחרונות נמדדות בשווי של מיליוני ₪ רבים בשנה. 
באופן שוטף תורמת אסם ל"לתת" גם את הובלת המזון הנתרם למחסני הארגון. 
אנשי מקצוע בקבוצת אסם, המתמחים בתחום שהוא רלוונטי לפעילות "לתת", מסייעים לארגון בשיפור פעולתו שלו, 
למשל על ידי סיוע בתחומים כגון תזונה, אבטחת איכות מזון, בטיחות, לוגיסטיקה וכו'. כמו כן, חברי הנהלות באתרים 
השונים של אסם ברחבי הארץ מאמצים ומלווים באופן אישי קבוצות נוער מהפריפריה הסמוכה לאתר, המשתתפים 
בפרויקט "אני בשבילך" של "לתת" במהלכו הם נחשפים לצרכים השונים בסביבה שלהם ומקימים מיזם קהילתי 
לשיפור רווחת קהילתם שלהם. 
מעבר לשיתוף הפעולה המרכזי עם "לתת" ישנן יוזמות חברתיות מגוונות של תרומה והתנדבות ברמת הקבוצה כולה או 
בפעילות מקומית של אתרי הקבוצה השונים.
קבוצת אסם יזמה, מלווה ותומכת באופן שוטף בפרויקט שולחן משפחתי. הפרויקט הנו שיתוף פעולה של אסם, ידיעות 
לעידוד ארוחת ערב משפחתית באמצע השבוע, תחת הבנה כי ארוחת הערב המשפחתית תורמת ynet - אחרונות ו 
לדינמיקה המשפחתית, התקשורת במשפחה והיא בעלת השפעה מהותית על חינוך הילדים. את הפרויקט מלווים צוות 
יועצים מקצועיים כולל יועצים בתחום המשפחתי ותזונה ובמסגרת הפרויקט מבוצעים מחקרים, מתוקשר הערך 
בארוחת ערב משפחתית וניתנים כלים מעשיים לקהל הצרכנים ליישום ארוחת ערב משפחתית. 
קבוצת אסם משתתפת זו השנה השלישית ב"יום מעשים טובים" שיוזמת עמותת "רוח טובה", במהלכו יוצאים ביום 
אחד מאתרי קבוצת אסם ברחבי הארץ קבוצות של מתנדבים לעשות מעשה טוב בפריפריה הסמוכה לאתר. אסם הינה 
אחת מהחברות המסחריות הראשונות שהצטרפו באופן גורף ל"יום מעשים טובים". 
באתרי הקבוצה השונים נערכות התרמות דם סדורות במהלך השנה, המאפשרות לעובדים לתרום דם לבנק הדם עבור 
חולה ספציפי (לעיתים עובד אסם) או עבור ביטוח כללי. 
בחברת הבת מטרנה מאמצים באופן שוטף את פנימיית ארזים במושב בני יצחק, שם נערכים מידי חודש ימי הולדת 
לילידי אותו החודש וארועים שונים במהלך השנה בהם מתנדבים עובדי ומנהלי מטרנה. בחברת הבת בונז'ור תומכים 
במגמת האפייה בבית הספר רוגוז'ין בקרית גת הסמוכה למפעל בונז'ור. מפעל שדרות מקיים שיתוף פעולה ייחודי עם 
עמותת יחדיו המעסיקה אנשים עם מוגבלויות. מפעל גבעול (במבה) פועל באופן שוטף במחלקת הילדים בביה"ח וולפסון 
וכן מעסיק בני נוער חירשים, מערך התזונה באסם מקיים מפגשים לקהל מקצועי, במרכז "נא לגעת", המפתח מסגרות 
תעסוקה לאנשים חרשים, עיוורים וחרשים -עיוורים, תרומות מזון לאליע ועוד ועוד ועוד... 
יד
ד. הוראות גילוי בקשר עם הדיווח הפיננסי של התאגיד 
טו 
דיבידנדים 
ביום 2 ביולי 2013 חילקה החברה דיבידנד בסך 150 מיליון ₪ כמו כן ביום 13 במרץ 2014 הכריזה החברה על דיבידנד 
. נוסף בסך של 150 מליון ₪. ראו ביאור 27 ג' לדוחות הכספיים של החברה ליום 31 בדצמבר 2013 
נתונים כספיים המיוחסים לחברה האם 
בהתאם לתקנה 9ג' לתקנות ניירות ערך (דוחות תקופתיים ומיידיים), התש"ל 1970- , מצורף כנספח לדו"ח התקופתי, 
דו"ח כספי נפרד של החברה ("דוח סולו"), בצירוף חוות דעת של רואה החשבון המבקר. 
אומדנים חשבונאיים קריטיים 
בביאור 2 (ו) לדוחות הכספיים נכלל תיאור האומדנים החשבונאיים הקריטיים המשמשים בהכנת הדוחות הכספיים, 
אשר בעת גיבושם נדרש להניח הנחות באשר לנסיבות ואירועים הכרוכים באי וודאות משמעותית. בשיקול דעת 
בקביעת האומדנים מתבססת החברה על ניסיון העבר, עובדות שונות, חוות דעת של גורמים חיצוניים ועל הנחות 
סבירות בהתאם לנסיבות המתאימות לכל אומדן. התוצאות בפועל עשויות להיות שונות מאומדנים אלה. 
מועצת המנהלים מודה להנהלה ולעובדים על המאמצים שהושקעו וההישגים שהושגו ומברכת על המשך שיתוף 
הפעולה הפורה. 
דן פרופר איציק צאיג 
יו"ר הדירקטוריון מנכ"ל 
תאריך : 13 במרץ 2014
אסם השקעות בע"מ 
חלק ג': דוחות כספיים ליום 
31 בדצמבר 2013
דוחות על המצב הכספי מאוחדים ליום 31 בדצמבר 
דוחות כספיים לשנה שנסתיימה ביום 31 בדצמבר 2013 
עמוד 
2 - דין וחשבון רואי החשבון המבקרים 3 
4 - דוחות על המצב הכספי מאוחדים 5 
דוחות רווח והפסד מאוחדים 6 
דוחות על הרווח הכולל מאוחדים 7 
דוחות על השינויים בהון מאוחדים 8 
דוחות על תזרימי המזומנים מאוחדים 9 
10 - באורים לדוחות הכספיים 51 
נספח - רשימת חברות הקבוצה 52
סומך חייקין 
03 684 טלפון 8000 KPMG מגדל המילניום 
03 684 רחוב הארבעה 17 , תא דואר 609 פקס 8444 
www.kpmg.co.il תל אביב 61006 אינטרנט 
דוח רואי החשבון המבקרים לבעלי המניות של אסם השקעות בערבון מוגבל 
בדבר ביקורת של רכיבי בקרה פנימית על דיווח כספי 
בהתאם לסעיף 9ב (ג) בתקנות ניירות ערך (דוחות תקופתיים ומיידיים), התש"ל 1970- 
ביקרנו רכיבי בקרה פנימית על דיווח כספי של אסם השקעות בע"מ וחברות בנות (להלן ביחד "החברה") ליום 
31 בדצמבר 2013 . רכיבי בקרה אלה נקבעו כמוסבר בפיסקה הבאה. הדירקטוריון וההנהלה של החברה 
אחראים לקיום בקרה פנימית אפקטיבית על דיווח כספי ולהערכתם את האפקטיביות של רכיבי בקרה פנימית 
על דיווח כספי המצורפת לדוח התקופתי לתאריך הנ"ל. אחריותנו היא לחוות דעה על רכיבי בקרה פנימית על 
דיווח כספי של החברה בהתבסס על ביקורתנו. 
רכיבי בקרה פנימית על דיווח כספי שבוקרו נקבעו בהתאם לתקן ביקורת 104 של לשכת רואי חשבון בישראל 
"ביקורת של רכיבי בקרה פנימית על דיווח כספי" על תיקוניו (להלן "תקן ביקורת 104 "). רכיבים אלה הינם: 
1) בקרות ברמת הארגון, לרבות בקרות על תהליך העריכה והסגירה של דיווח כספי ובקרות כלליות של ) 
מערכות מידע; ( 2) בקרות על מכירות שוק מקומי; ( 3) בקרות על מלאי; ( 4)בקרות על הרכש ותשלום לספקים 
(כל אלה יחד מכונים להלן "רכיבי הבקרה המבוקרים"). 
ערכנו את ביקורתנו בהתאם לתקן ביקורת 104 . על-פי תקן זה נדרש מאיתנו לתכנן את הביקורת ולבצעה 
במטרה לזהות את רכיבי הבקרה המבוקרים ולהשיג מידה סבירה של ביטחון אם רכיבי בקרה אלה קויימו 
באופן אפקטיבי מכל הבחינות המהותיות. ביקורתנו כללה השגת הבנה לגבי בקרה פנימית על דיווח כספי, 
זיהוי רכיבי הבקרה המבוקרים, הערכת הסיכון שקיימת חולשה מהותית ברכיבי הבקרה המבוקרים, וכן 
בחינה והערכה של אפקטיביות התכנון והתפעול של אותם רכיבי בקרה בהתבסס על הסיכון שהוערך. 
ביקורתנו, לגבי אותם רכיבי בקרה, כללה גם ביצוע נהלים אחרים כאלה שחשבנו כנחוצים בהתאם לנסיבות. 
ביקורתנו התייחסה רק לרכיבי הבקרה המבוקרים, להבדיל מבקרה פנימית על כלל התהליכים המהותיים 
בקשר עם הדיווח הכספי, ולפיכך חוות דעתנו מתייחסת לרכיבי הבקרה המבוקרים בלבד. כמו כן, ביקורתנו 
לא התייחסה להשפעות הדדיות בין רכיבי הבקרה המבוקרים לבין כאלה שאינם מבוקרים ולפיכך, חוות 
דעתנו אינה מביאה בחשבון השפעות אפשריות כאלה. אנו סבורים שביקורתנו מספקת בסיס נאות לחוות 
דעתנו בהקשר המתואר לעיל. 
בשל מגבלות מובנות, בקרה פנימית על דיווח כספי בכלל, ורכיבים מתוכה בפרט, עשויים שלא למנוע או לגלות 
הצגה מוטעית. כמו כן, הסקת מסקנות לגבי העתיד על בסיס הערכת אפקטיביות נוכחית כלשהי חשופה 
לסיכון שבקרות תהפוכנה לבלתי מתאימות בגלל שינויים בנסיבות או שמידת הקיום של המדיניות או הנהלים 
תשתנה לרעה. 
לדעתנו, החברה קיימה באופן אפקטיבי, מכל הבחינות המהותיות, את רכיבי הבקרה המבוקרים ליום 31 
של פירמות KPMG סומך חייקין, שותפות ישראלית וחברה ברשת 
,KPMG International Cooperative - עצמאיות המאוגדות ב 
ישות שוויצרית. (“KPMG International”) 
. בדצמבר 2013 
ביקרנו גם, בהתאם לתקני ביקורת מקובלים בישראל, את הדוחות הכספיים המאוחדים של החברה לימים 31 
בדצמבר 2013 ו 2012- ולכל אחת משלוש השנים בתקופה שהסתיימה ביום 31 בדצמבר 2013 והדוח שלנו, 
מיום 13 במרס 2014 , כלל חוות דעת בלתי מסויגת על אותם דוחות כספיים בהתבסס על ביקורתנו ועל דוחות 
רואי החשבון המבקרים האחרים. 
סומך חייקין 
רואי חשבון 
13 במרס 2014
סומך חייקין 
03 684 טלפון 8000 KPMG מגדל המילניום 
03 684 רחוב הארבעה 17 , תא דואר 609 פקס 8444 
www.kpmg.co.il תל אביב 61006 אינטרנט 
דוח רואי החשבון המבקרים לבעלי המניות של 
אסם השקעות בערבון מוגבל 
ביקרנו את הדוחות המאוחדים על המצב הכספי המצורפים של אסם השקעות בערבון מוגבל (להלן- "החברה") 
לימים 31 בדצמבר 2013 ו- 2012 ואת הדוחות המאוחדים על רווח והפסד, הרווח הכולל, השינויים בהון 
ותזרימי המזומנים לכל אחת משלוש השנים בתקופה שהסתיימה ביום 31 בדצמבר 2013 . דוחות כספיים אלה 
הינם באחריות הדירקטוריון וההנהלה של החברה. אחריותנו היא לחוות דיעה על דוחות כספיים אלה 
בהתבסס על ביקורתנו. 
לא ביקרנו את הדוחות הכספיים של חברות בנות שאוחדו אשר נכסיהן הכלולים באיחוד מהווים כ- 
12.4% וכ- 12.7% מכלל הנכסים המאוחדים לימים 31 בדצמבר 2013 ו- 2012 בהתאמה, והכנסותיהן 
הכלולות באיחוד מהוות כ- 13.7% , כ- 14% וכ- 14.4% מכלל ההכנסות המאוחדות לשנים שהסתיימו בימים 
2012 ו- 2011 , בהתאמה. הדוחות הכספיים של אותן חברות בוקרו על ידי רואי חשבון , 31 בדצמבר 2013 
אחרים שדוחותיהם הומצאו לנו וחוות דעתנו, ככל שהיא מתייחסת לסכומים שנכללו בגין אותן חברות, 
מבוססת על דוחות רואי החשבון האחרים. 
ערכנו את ביקורתנו בהתאם לתקני ביקורת מקובלים בישראל, לרבות תקנים שנקבעו בתקנות רואי חשבון 
(דרך פעולתו של רואה חשבון), התשל"ג - 1973 . על פי תקנים אלה נדרש מאיתנו לתכנן את הביקורת ולבצעה 
במטרה להשיג מידה סבירה של ביטחון שאין בדוחות הכספיים הצגה מוטעית מהותית. ביקורת כוללת בדיקה 
מדגמית של ראיות התומכות בסכומים ובמידע שבדוחות הכספיים. ביקורת כוללת גם בחינה של כללי 
החשבונאות שיושמו ושל האומדנים המשמעותיים שנעשו על ידי הדירקטוריון וההנהלה של החברה וכן הערכת 
נאותות ההצגה בדוחות הכספיים בכללותה. אנו סבורים שביקורתנו ודוחות רואי החשבון האחרים מספקים 
בסיס נאות לחוות דעתנו. 
לדעתנו, בהתבסס על ביקורתנו ועל הדוחות של רואי חשבון אחרים, הדוחות הכספיים המאוחדים הנ"ל 
משקפים באופן נאות, מכל הבחינות המהותיות, את המצב הכספי של החברה והחברות המאוחדות שלה לימים 
31 בדצמבר 2013 ו- 2012 ואת תוצאות פעולותיהן, השינויים בהון ותזרימי המזומנים שלהן לכל אחת משלוש 
והוראות (IFRS) השנים בתקופה שהסתיימה ביום 31 בדצמבר 2013 בהתאם לתקני דיווח כספי בינלאומיים 
. תקנות ניירות ערך (דוחות כספיים שנתיים), התש"ע - 2010 
ביקרנו גם, בהתאם לתקן ביקורת 104 של לשכת רואי חשבון בישראל "ביקורת של רכיבי בקרה פנימית על דיווח 
כספי", על תיקוניו, רכיבי בקרה פנימית על דיווח כספי של החברה ליום 31 בדצמבר 2013 , והדוח שלנו מיום 13 
במרס 2014 כלל חוות דעת בלתי מסויגת על קיומם של אותם רכיבים באופן אפקטיבי. 
של פירמות KPMG סומך חייקין, שותפות ישראלית וחברה ברשת 
,KPMG International Cooperative - עצמאיות המאוגדות ב 
ישות שוויצרית. (“KPMG International”) 
סומך חייקין 
רואי חשבון 
13 במרס 2014
דוחות על המצב הכספי מאוחדים ליום 31 בדצמבר 
2012 2013 
באור אלפי ש"ח אלפי ש"ח 
נכסים 
60,265 328,059 מזומנים ושווי מזומנים 5 
676,445 688,481 לקוחות 6 
37,896 27,662 חייבים ויתרות חובה 7 
7,416 5,464 מס הכנסה 20 
406,724 390,107 מלאי 8 
13,670 7,067 השקעות אחרות 9 
1,202,416 סה"כ נכסים שוטפים 1,446,840 
- 293 הטבות לעובדים 11 
1,127,990 1,144,497 רכוש קבוע 12 
1,025,654 977,057 נכסים בלתי מוחשיים 13 
37,669 38,806 הוצאות מראש 14 
30,441 34,795 מיסים נדחים 20 
2,221,754 סה"כ נכסים בלתי שוטפים 2,195,448 
3,424,170 סה"כ נכסים 3,642,288 
דן פרופר - יושב ראש הדירקטוריון 
איציק צאיג - מנהל כללי 
פנחס קימלמן - משנה למנכ"ל - כספים 
תאריך אישור הדוחות הכספיים: 13 במרץ 2014
השקעות בערבון מוגבל 
5 
2012 2013 
באור אלפי ש"ח אלפי ש"ח 
התחייבויות 
58,938 29,212 15 
הלוואות ואשראי לזמן קצר מבנקים 
685,948 710,463 16 
ספקים 
189,169 223,976 17 
זכאים אחרים 
11,813 9,473 20 
מס הכנסה 
945,868 973,124 
סה"כ התחייבויות שוטפות 
3,370 - 18 
התחייבויות לתאגידים בנקאיים 
357,104 342,514 19 
התחייבויות בגין רכישת חלק המיעוט בחברות מאוחדות 
4,537 4,450 11 
הטבות לעובדים 
69,847 69,327 20 
מסים נדחים 
434,858 416,291 
סה"כ התחייבויות שאינן שוטפות 
1,380,726 1,389,415 
סה"כ התחייבויות 
הון 
176,772 176,772 
הון מניות 
444,212 444,212 
פרמיה על מניות 
(48,015) (68,353) 
קרנות הון 
1,469,789 1,699,113 
יתרת עודפים 
2,042,758 סה"כ הון המיוחס לבעלים של החברה 2,251,744 
686 1,129 
זכויות שאינן מקנות שליטה 
2,043,444 2,252,873 
סה"כ הון 
3,424,170 סה"כ התחייבויות והון 3,642,288 
הבאורים לדוחות הכספיים מהווים חלק בלתי נפרד מהם.
דוחות רווח והפסד מאוחדים לשנה שנסתיימה ביום 31 בדצמבר 
השקעות בערבון מוגבל 
6 
2011 2012 2013 
באור אלפי ש"ח אלפי ש"ח אלפי ש"ח 
3,960,877 4,091,593 מכירות 23 א 4,190,047 
2,309,482 2,411,998 עלות המכירות 23 ב 2,426,336 
1,651,395 1,679,595 רווח גולמי 1,763,711 
878,759 885,610 הוצאות מכירה, שווק והפצה 23 ג 928,833 
270,528 282,962 הוצאות הנהלה וכלליות 23 ד 306,320 
502,108 511,023 רווח תפעולי לפני הוצאות אחרות 528,558 
2,830 7,030 הוצאות אחרות, נטו 23 ה 2,885 
499,278 503,993 רווח תפעולי 525,673 
(41,538) (33,726) ( הוצאות מימון 23 ו ( 24,653 
9,904 4,088 הכנסות מימון 23 ו 1,892 
(31,634) (29,638) ( עלויות מימון, נטו ( 22,761 
467,644 474,355 רווח לפני מסים על הכנסות 502,912 
126,664 117,013 126,484 מסים על הכנסה 20 
340,980 
357,342 
376,428 
רווח לתקופה 
מיוחס ל: 
341,052 356,886 לבעלים של החברה 375,985 
(72) 456 זכויות שאינן מקנות שליטה 443 
340,980 
357,342 
376,428 
רווח לתקופה 
רווח למניה בת 1 ₪ ערך נקוב 
3.08 3.23 רווח בסיסי ומדולל (בשקל חדש) 3.40 
הבאורים לדוחות הכספיים מהווים חלק בלתי נפרד מהם.
דוחות על הרווח הכולל מאוחדים לשנה שנסתיימה ביום 31 בדצמבר 
השקעות בערבון מוגבל 
7 
2011 2012 2013 
אלפי ש"ח אלפי ש"ח אלפי ש"ח 
340,980 357,342 רווח לתקופה 376,428 
רווח (הפסד) כולל אחר 
סכומים שיועברו לרווח או הפסד 
בהתקיים תנאים ספציפיים 
הפרשי תרגום מטבע חוץ 
4,831 2,653 ( בגין פעילויות חוץ ( 20,338 
סכומים שלא יועברו לרווח או הפסד 
רווחים (הפסדים) אקטוארים 
(13,581) 5,993 מתכנית להטבה מוגדרת 4,543 
מס הכנסה בגין מרכיבים אחרים 
3,396 (1,498) ( של רווח כולל ( 1,204 
(5,354) 7,148 ( סך הכל רווח (הפסד) כולל אחר לתקופה ( 16,999 
335,626 364,490 סך הכל רווח כולל לתקופה 359,429 
מיוחס ל: 
335,698 364,034 בעלים של החברה 358,986 
(72) 456 זכויות שאינן מקנות שליטה 443 
335,626 364,490 סך הכל רווח כולל לתקופה 359,429 
הבאורים לדוחות הכספיים מהווים חלק בלתי נפרד מהם.
דוחות על השינויים בהון מאוחדים 
השקעות בערבון מוגבל 
8 
קרן הון בגין 
רכישת זכויות שאינן סך הכל 
פרמיה על מקנות שליטה קרנות בעלים זכויות שאינן סך הכל 
הון מניות מניות קרן תרגום בחברה מאוחדת אחרות עודפים של החברה מקנות שליטה הון 
אלפי ש"ח אלפי ש"ח אלפי ש"ח אלפי ש"ח אלפי ש"ח אלפי ש"ח אלפי ש"ח אלפי ש"ח אלפי ש"ח 
1,793,328 302 1,793,026 1,231,541 1,694 (41,675) (19,518) 444,212 176,772 יתרה ליום 1 בינואר 2011 
4,831 - 4,831 - - - הפרשי תרגום מטבע חוץ - - 4,831 
(10,185) - (10,185) ( הפסדים אקטוארים (נטו לאחר מס) - - - - - ( 10,185 
340,980 (72) 341,052 341,052 - - - - - רווח נקי לשנת 2011 
335,626 (72) 335,698 330,867 - - סך הכל רווח כולל שהוכר לתקופה - - 4,831 
(300,000) - (300,000) ( דיבידנד ששולם - - - - - ( 300,000 
1,828,954 230 1,828,724 1,262,408 1,694 (41,675) (14,687) 
444,212 176,772 
יתרה ליום 31 בדצמבר 2011 
2,653 - 2,653 - - - הפרשי תרגום מטבע חוץ - - 2,653 
4,495 - 4,495 רווחים אקטוארים (נטו לאחר מס) - - - - - 4,495 
- - - (4,000) היוון עודפים בגין מפעל מאושר - - - - 4,000 
357,342 456 356,886 356,886 - - - - - רווח נקי לשנת 2012 
364,490 456 364,034 357,381 - - סך הכל רווח כולל שהוכר לתקופה - - 2,653 
(150,000) - (150,000) ( דיבידנד ששולם - - - - - ( 150,000 
2,043,444 686 2,042,758 1,469,789 5,694 (41,675) (12,034) 
444,212 176,772 
יתרה ליום 31 בדצמבר 2012 
(20,338) - (20,338) - - - ( הפרשי תרגום מטבע חוץ - - ( 20,338 
3,339 - 3,339 רווחים אקטוארים (נטו לאחר מס) - - - - - 3,339 
376,428 443 375,985 375,985 - - - - - רווח נקי לשנת 2013 
359,429 443 358,986 379,324 - - ( סך הכל רווח כולל שהוכר לתקופה - - ( 20,338 
(150,000) - (150,000) ( דיבידנד ששולם - - - - - ( 150,000 
2,252,873 1,129 2,251,744 1,699,113 5,694 (41,675) (32,372) 
444,212 176,772 
יתרה ליום 31 בדצמבר 2013 
הבאורים לדוחות הכספיים מהווים חלק בלתי נפרד מהם.
דוחות על תזרימי המזומנים מאוחדים לשנה שנסתיימה ביום 31 בדצמבר 
השקעות בערבון מוגבל 
9 
2011 2012 2013 
אלפי ש"ח אלפי ש"ח אלפי ש"ח 
תזרימי מזומנים מפעילות שוטפת 
340,980 357,342 רווח לתקופה 376,428 
התאמות : 
112,500 114,809 פחת 114,204 
הפחתה של נכסים בלתי מוחשיים 
41,168 51,385 והוצאות מראש 52,534 
(1,199) 503 הפסד (רווח) ממכירת רכוש קבוע, נטו 155 
31,634 29,638 עלויות מימון, נטו 22,761 
126,664 117,013 הוצאות מסים על הכנסה 126,484 
3,388 1,675 ( שינויים בנגזרים ( 4,642 
(20,561) (18,633) שינוי במלאי 11,856 
30,637 (37,258) ( שינוי בלקוחות וחייבים ויתרות חובה ( 18,201 
3,061 44,959 שינוי בספקים וזכאים אחרים 76,330 
126 (2,979) שינוי בהטבות לעובדים 4,163 
(87,997) (115,165) ( מס הכנסה ששולם ( 126,734 
580,401 543,289 מזומנים נטו שנבעו מפעילות שוטפת 635,338 
תזרימי מזומנים מפעילות השקעה 
1,969 1,077 תמורה ממכירת רכוש קבוע 2,002 
(279) 5,476 השקעות אחרות, נטו 6,996 
(78,607) (82,156) ( רכישת רכוש קבוע ( 145,009 
(10,052) (18,108) ( השקעה בנכסים לא מוחשיים והוצאות מראש ( 20,624 
3,064 2,456 ריבית שהתקבלה 1,227 
(83,905) (91,255) ( מזומנים נטו ששימשו לפעילות השקעה ( 155,408 
תזרימי מזומנים מפעילות מימון 
(12,570) (29,251) ( ריבית ששולמה ( 3,637 
(58,837) (24,838) ( פרעון הלוואות לזמן ארוך ( 13,303 
(38,331) (52,544) ( אשראי מתאגידים בנקאיים, נטו ( 11,798 
(112,787) (239,600) ( פרעון התחייבויות אחרות ( 30,904 
(300,000) (150,000) ( דיבידנד ששולם ( 150,000 
(522,525) (496,233) ( מזומנים נטו ששימשו לפעילות מימון ( 209,642 
(26,029) (44,199) שינוי במזומנים ושווי מזומנים 270,288 
128,771 104,479 מזומנים ושווי מזומנים לתחילת תקופה 60,265 
השפעת תנודות בשער החליפין 
1,737 (15) ( על יתרות המזומנים ושווי המזומנים ( 2,494 
104,479 60,265 מזומנים ושווי מזומנים לסוף תקופה 328,059 
הבאורים לדוחות הכספיים מהווים חלק בלתי נפרד מהם.
באורים לדוחות הכספיים ליום 31 בדצמבר 2013 
השקעות בערבון מוגבל 
באור 1 - הישות המדווחת 
א. אסם השקעות בע"מ (להלן - "החברה") הינה חברה אשר רשומה בישראל. הדוחות הכספיים המאוחדים של 
10 
הקבוצה ליום 31 בדצמבר 2013 , כוללים את אלה של החברה ושל החברות הבנות שלה (להלן יחד - "הקבוצה"). 
שוויץ. הקבוצה עוסקת בייצור ושיווק של מוצרי מזון. ,NESTLE S.A. בעלת השליטה בחברה הינה 
מניות החברה רשומות למסחר בבורסה לניירות ערך בתל-אביב. 
ב. הגדרות 
בדוחות כספיים אלה - 
1. חברות מאוחדות/חברות בנות - חברות, לרבות שותפויות, שדוחותיהן מאוחדים באופן מלא, במישרין או 
בעקיפין, עם דוחות החברה. 
2009 ) בדבר צדדים קשורים. ) 2. צד קשור - כמשמעותו בתקן חשבונאות בינלאומי 24 
. 3. בעלי עניין - כמשמעותם בפסקה ( 1) להגדרת "בעל עניין" בתאגיד בסעיף 1 לחוק ניירות ערך, התשכ"ח - 1968 
באור 2 - בסיס עריכת הדוחות הכספיים 
א. הצהרה על עמידה בתקני דיווח כספי בינלאומיים 
הקבוצה אימצה ("IFRS" : הדוחות הכספיים המאוחדים הוכנו בהתאם לתקני דיווח כספי בינלאומיים (להלן 
הינו 1 בינואר 2007 ("להלן מועד המעבר"). IFRS - בשנת 2008 , כאשר מועד המעבר ל IFRS - לראשונה את כללי ה 
. דוחות כספיים אלו נערכו בהתאם לתקנות ניירות ערך (דוחות כספיים שנתיים), התש"ע 2010 
ב. מטבע פעילות ומטבע הצגה 
הדוחות הכספיים המאוחדים מוצגים בש"ח, שהינו מטבע הפעילות של החברה, ומעוגלים לאלף הקרוב. 
השקל הינו המטבע שמייצג את הסביבה הכלכלית העיקרית בה פועלת החברה. 
ג. בסיס המדידה 
הדוחות הוכנו על בסיס העלות ההיסטורית, למעט נכסים והתחייבויות הבאים מלאי (עלות או שווי מימוש נטו) 
מכשירים פיננסים בשווי הוגן דרך רווח והפסד, התחייבויות בגין תשלום מבוסס מניות אשר יסולק במזומן, נכסי 
התחייבויות מיסים נדחים, הפרשות ונכסים והתחייבויות בגין הטבות לעובדים. למידע נוסף בדבר מדידת נכסים 
והתחיבויות אלה ראה באור 3 להלן. 
ערכם של נכסים לא כספיים ופריטי הון שנמדדו על בסיס העלות ההיסטורית, הותאם לשינויים במדד המחירים 
לצרכן עד ליום 31 בדצמבר 2003 , היות ועד למועד זה נחשבה כלכלת ישראל ככלכלה היפראינפלציונית. 
ד. מחזור תפעולי 
המחזור התפעולי של הקבוצה אינו עולה על שנה. עקב כך כוללים הרכוש השוטף וההתחייבויות השוטפות פריטים 
המיועדים והצפויים להתממש בתוך תקופת המחזור התפעולי הרגיל של הקבוצה. 
ה. מתכונת ניתוח ההוצאות שהוכרו בדוח רווח והפסד 
מתכונת הניתוח של הוצאות שהוכרו בדוח רווח והפסד הינה לפי שיטת סיווג המבוססת על מאפיין הפעילות של 
ההוצאה. מידע נוסף בדבר מהות ההוצאה נכלל בביאורים לדוחות הכספיים. 
ו. שימוש באומדנים ושיקול דעת 
נדרשת הנהלת החברה להשתמש בשיקול דעת בהערכות, אומדנים ,IFRS - בעריכת הדוחות הכספיים בהתאם ל 
והנחות אשר משפיעים על יישום המדיניות ועל הסכומים של נכסים והתחייבויות, הכנסות והוצאות. יובהר 
שהתוצאות בפועל עלולות להיות שונות מאומדנים אלה. 
בעת גיבושם של אומדנים חשבונאיים המשמשים בהכנת הדוחות הכספיים של החברה, נדרשה הנהלת החברה 
להניח הנחות באשר לנסיבות ואירועים הכרוכים באי וודאות משמעותית. בשיקול דעתה בקביעת האומדנים, 
מתבססת הנהלת החברה על ניסיון העבר, עובדות שונות, גורמים חיצוניים ועל הנחות סבירות בהתאם לנסיבות 
המתאימות לכל אומדן. 
האומדנים וההנחות שבבסיסם נסקרים באופן שוטף. שינויים באומדנים חשבונאיים מוכרים בתקופה שבה תוקנו 
האומדנים ובכל תקופה עתידית מושפעת. 
אומדנים קריטיים 
להלן מידע בדבר אומדנים קריטיים, שנערכו תוך יישום המדיניות החשבונאית והם בעלי השפעה מהותית על 
הדוחות הכספיים: 
התחייבויות תלויות - בהערכות סיכויי התביעות המשפטיות שהוגשו כנגד החברה וחברות מוחזקות שלה, הסתמכו 
החברות על חוות דעת יועציהן המשפטיים. הערכות אלה של יועצים המשפטיים מתבססות על מיטב שיפוטם 
המקצועי, בהתחשב בשלב בו מצויים ההליכים, וכן על הנסיון המשפטי שנצבר בנושאים השונים. מאחר שתוצאות 
התביעות תקבענה בבתי המשפט, עלולות תוצאות אלה להיות שונות מהערכות אלה.
באורים לדוחות הכספיים ליום 31 בדצמבר 2013 
השקעות בערבון מוגבל 
11 
באור 2 - בסיס עריכת הדוחות הכספיים (המשך) 
ו. שימוש באומדנים ושיקול דעת (המשך) 
הערכה של נכסים בלתי מוחשיים ומוניטין - הקבוצה נדרשת בצרופי עסקים למדוד את הנכסים שנרכשו 
וההתחייבויות שניטלו בהתבסס על אומדן השווי ההוגן שלהם. הערכות שווי אלה מצריכות שימוש באומדנים 
והנחות משמעותיים מצד ההנהלה, הנכסים הבלתי מוחשיים המהותיים שהוכרו כוללים בעיקר מוניטין, ידע 
ומותגים. אומדנים קריטיים ששימשו בהערכת אורך החיים השימושיים של נכסים בלתי מוחשיים כאלה כוללים 
בין היתר, את אומדן תקופת השימוש ואת ההתפתחות הצפויה בשוק. 
סכום בר השבה של יחידה מניבת מזומנים בעלת מוניטין - בקביעת סכום בר השבה של יחידה מניבת מזומנים 
הכוללת מוניטין לצורך בחינת ירידת הערך שלה מתבססת ההנהלה על הנחות בדבר שיעור ההיוון לפני מס ושיעור 
.EBITDA צמיחת 
הפרשה לחובות מסופקים - החברה מיישמת את ההנחיות שנקבעו בתקן חשבונאות בינלאומי 39 לשם קביעה האם 
חלה ירידת ערך של יתרת הלקוחות. קביעה זו מצריכה הפעלת שיקול דעת משמעותי. בהפעלת שיקול הדעת מביאה 
הקבוצה בחשבון בין יתר הגורמים את רמת הביטחונות העומדים לרשותה, את ניתוח גיל יתרת הלקוחות, 
היסטוריה של חובות אבודים, התנהגות של פירעון חובות, איתנות פיננסית וניתוח לטווח הקצר של עסקי הלקוח 
ומגמות הענף. 
(PUT) התחייבות בגין אופציות מכר של מיעוט בחברה מאוחדת - הערך הנוכחי של התחייבות בגין אופצית מכר 
לבעלי זכויות מיעוט בחברה מאוחדת מתבסס, בין השאר, על תחזיות רווחים ותחזיות תזרימי מזומנים. כל שינוי 
בתחזיות אלו משפיע על הערך בספרים של ההתחייבות בגין רכישת חלק המיעוט בחברה מאוחדת. תחזיות אלו 
מתבססות על הנחות שנמצאו סבירות בעיני ההנהלה, אך טבועה בהן אי ודאות וכתוצאה מכך התוצאות בפועל 
עשויות להיות שונות. 
נכסי מיסים נדחים - הקבוצה מכירה בנכסי והתחייבויות מסים נדחים בגין הפער בין הערך בספרים של נכסים 
והתחייבויות לבין ערכם לצורכי מס. הקבוצה בוחנת על בסיס שוטף את יכולת ההשבה של נכסי מסים נדחים 
בהתבסס על ההכנסה החייבת ההיסטורית, ההכנסה החייבת הצפויה ומועדי ההיפוך הצפויים של הפרשים זמניים. 
אם הקבוצה אינה מסוגלת לייצר הכנסה חייבת מספיקה באזורי מס מסוימים, או בפרק הזמן שבו צפוי ההיפוך של 
ההפרש הזמני, הקבוצה עשויה למחוק חלק מנכסי המסים הנדחים. 
תשלום מבוסס מניות – לקבוצה מספר תוכניות לתגמול עובדים ובינהם גם אופציות פאנטום לתגמול עובדים 
בכירים. שווי הוגן של אופציות הפאנטום מבוסס על הנחות מסוימות, לרבות, בין היתר, סטיית התקן הצפויה של 
מחיר המניה. אומדנים אלה קשורים לתחזיות של מכירות ורווח למניה. פערים מהותיים בביצועי השוק של המניה, 
בהתנהגות מימושים של עובדים, במכירות הקבוצה ובנתוני הרווח למניה, הצפויים אל מול התוצאות שיהיו בפועל. 
ז. ניהול הון - מטרות, נהלים ותהליכים 
מדיניות ההנהלה היא להחזיק בסיס הון איתן במטרה לשמר את יכולת החברה להמשיך את פעילותה כדי שתוכל 
להניב תשואה לבעלי מניותיה, הטבות למחזיקי עניין אחרים בחברה כגון נותני אשראי ועובדי החברה, וכן על מנת 
לתמוך בהתפתחות עסקית עתידית. הדירקטוריון מפקח על סכומי החלוקות של דיבידנדים לבעלי המניות הרגילים. 
ח. שינויים במדיניות החשבונאית 
הטבות לעובדים (להלן - התיקון) ,IAS 19 - 1. תיקון ל 
החל מ- 1 בינואר 2013 הקבוצה מיישמת את התיקון. התיקון כולל מספר שינויים בקשר לטיפול החשבונאי 
בהטבות לעובדים, בכללם הריבית אשר תוכר ברווח והפסד תחושב על יתרת ההתחייבות (הנכס) נטו בגין הטבה 
מוגדרת, לפי שעור ההיוון המשמש לחישוב ההתחייבות. בנוסף, סיווג הטבות עובד לטווח קצר או ארוך, לצרכי 
מדידה, יהיה תלוי בצפי הישות למועד ניצול מלוא ההטבות. 
לישום התקן אין השפעה מהותית על הדוחות הכספיים. 
ירידת ערך נכסים: גילויים בדבר סכום בר השבה של נכסים לא פיננסיים (להלן - התיקון) ,IAS 36 - 2. תיקון ל 
התיקון מכיל דרישות גילוי חדשות עבור מצבים בהם מוכרת ירידת ערך והסכום בר ההשבה נקבע כשווי הוגן 
בניכוי עלויות מכירה. כמו כן, התיקון מבטל את הדרישה לתת גילוי לסכום בר ההשבה של יחידות מניבות 
מזומנים משמעותיות, גם אם לא הוכרה לגביהן ירידת ערך. 
מועד התחילה המנדטורי של התיקון הינו לתקופות שנתיות המתחילות ביום 1 בינואר 2014 . החברה בחרה לאמץ 
. באימוץ מוקדם את הוראות התיקון, החל מהדוחות הכספיים לשנה שהסתיימה ביום 31 בדצמבר 2013
באורים לדוחות הכספיים ליום 31 בדצמבר 2013 
השקעות בערבון מוגבל 
12 
באור 3 - עיקרי המדיניות החשבונאית 
כללי המדיניות החשבונאית המפורטת להלן יושמה בעקביות לכל התקופות המוצגות בדוחות מאוחדים אלה על ידי 
ישויות הקבוצה, למעט, כמתואר בסעיף שינויים במדיניות החשבונאית בביאור 2.ח, בדבר בסיס עריכת הדוחות 
הכספיים. 
א. בסיס האיחוד 
1. צירופי עסקים 
.(Acquisition method) הקבוצה מיישמת לגבי כל צירופי העסקים את שיטת הרכישה 
מועד הרכישה הינו המועד בו הרוכשת משיגה שליטה על הנרכשת שליטה היא הכוח לקבוע את המדיניות הפיננסית 
והתפעולית של חברה כדי להשיג הטבות מפעילויותיה. בבחינת שליטה נלקחות בחשבון זכויות ממשיות המוחזקות 
על ידי הקבוצה ועל ידי אחרים. החברה מפעילה שיקול דעת בקביעת מועד הרכישה ובאם השליטה התקבלה. 
(IAS27 (2008) - ו IFRS3 (2008) הטיפול בצירופי עסקים לאחר 1 בינואר 2010 . (מועד היישום לראשונה של 
עבור רכישות אשר אירעו לאחר ה- 1 בינואר 2010 הקבוצה מכירה במוניטין למועד הרכישה לפי השווי ההוגן של 
התמורה שהועברה לרבות סכומים שהוכרו בגין זכויות כלשהן שאינן מקנות שליטה בנרכשת, בניכוי הסכום נטו 
שיוחס ברכישה לנכסים הניתנים לזיהוי שנרכשו ושל התחייבויות שניטלו. 
התמורה שהועברה כוללת את השווי ההוגן של הנכסים שהועברו לבעלים הקודמים של הנרכשת, התחייבויות 
שהתהוו לרוכש מול הבעלים הקודמים של הנרכשת וזכויות הוניות שהונפקו על ידי הקבוצה. כמו כן, התמורה 
שהועברה כוללת את השווי ההוגן של תמורה מותנית. לאחר מועד הרכישה, הקבוצה מכירה בשינויים בשווי ההוגן 
של התמורה המותנית המסווגת כהתחייבות פיננסית בדוח רווח והפסד. שינויים בהתחייבות בגין תמורה מותנית 
בצירופי עסקים שאירעו לפני ה 1- בינואר 2010 , ימשיכו להיזקף למוניטין ולא יוכרו בדוח רווח והפסד. 
עלויות הקשורות לרכישה שהתהוו לרוכשת בגין צירוף עסקים כגון: עמלות למתווכים, עמלות ייעוץ, עמלות 
משפטיות, הערכת שווי ועמלות אחרות בגין שירותים מקצועיים או שירותי ייעוץ, למעט אלו הקשורות בהנפקת 
מכשירי חוב או הון בקשר עם צירוף העסקים מוכרות כהוצאות בתקופה שבה השירותים מתקבלים. 
2. חברות בנות 
חברות בנות הינן ישויות הנשלטות בידי הקבוצה. הדוחות הכספיים של חברות בנות נכללים בדוחות הכספיים 
המאוחדים מיום השגת השליטה ועד ליום הפסקת השליטה. המדיניות החשבונאית של חברות בנות שונתה במידת 
הצורך על מנת להתאימה למדיניות החשבונאית שאומצה על ידי החברה. 
3. אופציות מכר שהוענקו לבעלי זכויות שאינן מקנות שליטה לפני יום 1 בינואר 2010 
לבעלי זכויות מיעוט בחברות מאוחדות, (PUT) הקבוצה העניקה כחלק מהתמורה בצרופי עסקים אופציות מכר 
אשר מאפשרת להם למכור לחברה את מניותיהם בחברות המאוחדות. ההתחייבות לרכוש את זכויות המיעוט 
מוצגת במאזן המאוחד כהתחייבות פיננסית. התחייבות פיננסית זו, נמדדת על פי הערך הנוכחי של מחיר המימוש 
של האופציה. הפער בין ההתחייבות הפיננסית לבין הערך בספרים של זכויות המיעוט יוחס כמוניטין נוסף. 
מדידה מחדש של ההתחייבות, למעט זקיפה של הוצאות ריבית בהתאם לריבית המשקפת את סיכון האשראי של 
החברה, מוכרת כמוניטין. חלק הקבוצה ברווחי הנרכשת כולל את חלקם של בעלי הזכויות שאינן מקנות שליטה 
להם הונפקה אופצית המכר. 
4. עסקאות שבוטלו באיחוד 
יתרות הדדיות בקבוצה והכנסות והוצאות שטרם מומשו, הנובעות מעסקאות הדדיות, בוטלו במסגרת הכנת 
הדוחות הכספיים המאוחדים. 
5. עסקאות עם זכויות שאינן מקנות שליטה, תוך שימור שליטה 
החל מיום 1 בינואר 2010 עסקאות עם זכויות שאינן מקנות שליטה, תוך שימור שליטה, מטופלות כעסקאות הוניות. 
כל ההפרש בין התמורה ששולמה או התקבלה לשינוי בזכויות שאינן מקנות שליטה נזקף לחלק הבעלים של החברה 
לקרן הון נפרדת. 
6. זכויות שאינן מקנות שליטה 
זכויות שאינן מקנות שליטה הן ההון העצמי בחברות בנות שאינו ניתן לייחוס, במישרין או בעקיפין, לחברה האם. 
זכויות שאינן מקנות שליטה, שהינן מכשירים המקנים זכות בעלות בהווה והמעניקים למחזיק בהן חלק בנכסים נטו 
במקרה של פירוק (לדוגמה: מניות רגילות), נמדדות במועד צירוף העסקים בשווי הוגן או לפי חלקן היחסי בנכסים 
והתחייבויות של החברה הנרכשת, על בסיס כל עסקה בנפרד. 
לגבי רכישות שאירעו בין 1 בינואר 2007 ליום 1 בינואר 2010 זכויות שאינן מקנות שליטה נמדדו במועד צירוף 
העסקים לפי חלקן היחסי בנכסים והתחייבויות המזוהים של הנרכשת. 
החל מיום 1 בינואר 2010 רווח או הפסד וכל רכיב של רווח כולל אחר מיוחסים לבעלים של החברה ולזכויות שאינן 
מקנות שליטה. סך הכל רווח כולל מיוחס לבעלים של החברה ולזכויות שאינן מקנות שליטה גם אם כתוצאה מכך 
יתרת הזכויות שאינן מקנות שליטה תהיה שלילית.
באורים לדוחות הכספיים ליום 31 בדצמבר 2013 
השקעות בערבון מוגבל 
13 
באור 3 - עיקרי המדיניות החשבונאית (המשך) 
ב. מטבע חוץ 
1. עסקאות במטבע חוץ 
עסקאות במטבע חוץ מתורגמות למטבע הפעילות של הקבוצה לפי שער החליפין שבתוקף בתאריכי העסקאות. 
נכסים כספיים והתחייבויות כספיות הנקובים במטבע חוץ בתאריך הדיווח, מתורגמים למטבע הפעילות לפי שער 
החליפין שבתוקף לאותו יום. הפרשי שער בגין הסעיפים הכספיים הינו ההפרש שבין העלות המופחתת במטבע 
הפעילות בתחילת התקופה ולתשלומים במשך התקופה לבין העלות המופחתת במטבע חוץ מתורגמת לפי שער 
החליפין לסוף התקופה. הפרשי שער הנובעים מתרגום מוכרים ברווח והפסד. 
פריטים לא כספיים הנקובים במטבע חוץ והנמדדים לפי עלות היסטורית, מתורגמים לפי שער החליפין שבתוקף 
למועד העסקה. 
2. פעילות חוץ 
הנכסים וההתחייבויות של פעילויות חוץ, כולל מוניטין והתאמות לשווי הוגן שנוצרו ברכישה, תורגמו לש"ח לפי 
שערי החליפין שבתוקף למועד הדיווח. ההכנסות וההוצאות של פעילויות החוץ, תורגמו לש"ח לפי שערי החליפין 
שבתוקף במועדי העסקאות. 
הפרשי השער בגין התרגום, החל ממועד המעבר, נזקפים לרווח כולל אחר ומוצגים בהון כחלק מקרן תרגום של 
פעילות חוץ. 
ג. מכשירים פיננסיים 
1. מכשירים פיננסיים שאינם נגזרים 
מכשירים פיננסיים שאינם נגזרים כוללים לקוחות וחייבים אחרים, מזומנים ושווי מזומנים, הלוואות ואשראי 
שנתקבלו ואשראי ספקים וזכאים אחרים. 
ההכרה הראשונית במכשירים פיננסיים שאינם נגזרים הינה לפי שווי הוגן בתוספת, לגבי מכשירים שאינם מוצגים 
בשווי ההוגן דרך רווח והפסד, כל עלויות העסקה הישירות הניתנות לייחוס. לאחר ההכרה הראשונית, מכשירים 
פיננסיים שאינם נגזרים נמדדים כמפורט בהמשך. 
נכס פיננסי מוכר כאשר הקבוצה מקבלת על עצמה את התנאים החוזיים של המכשיר. נכסים פיננסיים נגרעים 
כאשר הזכויות החוזיות של הקבוצה לתזרימי המזומנים הנובעים מהנכסים הפיננסיים פוקעות, או כאשר הקבוצה 
מעבירה לאחרים את הנכסים הפיננסיים מבלי להשאיר בידה שליטה בנכס או מעבירה למעשה את כל הסיכונים 
regular way purchase ) , וההטבות הנובעים מהנכס. רכישות ומכירות של נכסים פיננסיים הנעשות בדרך הרגילה 
משמע, במועד בו התחייבה הקבוצה לקנות או למכור את ,(trade date) מוכרות במועד קשירת העסקה (or sale 
הנכס. התחייבויות פיננסיות נגרעות כאשר מחויבות הקבוצה, כמפורט בהסכם, פוקעת או כאשר היא סולקה או 
בוטלה. 
מזומנים ושווי מזומנים 
מזומנים כוללים יתרות מזומנים הניתנים לשימוש מיידי ופקדונות לפי דרישה. שווי מזומנים כוללים השקעות לזמן 
קצר ברמת נזילות גבוהה אשר ניתנות להמרה בנקל לסכומים ידועים של מזומנים ואשר חשופות לסיכון בלתי 
משמעותי של שינויים בשווי. 
הלוואות וחייבים 
הלוואות ויתרות חובה הינן נכסים פיננסים שאינם נגזרים בעלי תשלומים קבועים או הניתנים לקביעה שאינם 
נסחרים בשוק פעיל. לאחר ההכרה הראשונית, הלוואות ויתרות חובה נמדדות לפי העלות המופחתת לפי שיטת 
הריבית האפקטיבית תוך התחשבות בעלויות עסקה ובניכוי הפרשות לירידת ערך. 
התחייבויות פיננסיות 
התחייבויות פיננסיות שאינן נגזרות נמדדות בעלות מופחתת בשיטת הריבית האפקטיבית. 
נכס פיננסי והתחייבות פיננסית מקוזזים והסכומים מוצגים בדוח על המצב הכספי בנטו כאשר לקבוצה קיימת 
זכות משפטית ניתנת לאכיפה לקזז את הסכומים שהוכרו וכן כוונה לסלק את הנכס (currently) באופן מיידי 
וההתחייבות על בסיס נטו או לממש את הנכס ולסלק את ההתחייבות בו זמנית. 
2. מכשירים פיננסיים נגזרים 
הקבוצה מחזיקה מכשירים פיננסיים נגזרים לצרכי גידור סיכוני מטבע חוץ (המהווים גידור כלכלי). נגזרים מוכרים 
לראשונה לפי שווי הוגן; עלויות עסקה הניתנות לייחוס נזקפות לרווח והפסד עם התהוותן. לאחר ההכרה 
הראשונית, נמדדים הנגזרים לפי שווי הוגן, כשהשינויים בשווי ההוגן מטופלים כמתואר להלן: 
גידור כלכלי 
חשבונאות גידור אינה מיושמת לגבי מכשירים נגזרים המשמשים לגידור כלכלי של נכסים והתחייבויות פיננסיים 
הנקובים במטבע חוץ. השינויים בשווי ההוגן של נגזרים אלה נזקפים לרווח והפסד, כחלק מרווחים או הפסדים 
ממטבע חוץ.
באורים לדוחות הכספיים ליום 31 בדצמבר 2013 
השקעות בערבון מוגבל 
14 
באור 3 - עיקרי המדיניות החשבונאית (המשך) 
ג. מכשירים פיננסיים (המשך) 
3. נכסים והתחייבויות צמודי מדד שאינם נמדדים לפי שווי הוגן 
ערכם של נכסים והתחייבויות פיננסים צמודי מדד שאינם נמדדים בשווי הוגן, משוערך בכל תקופה בהתאם לשיעור 
עלית המדד בפועל. 
4. פרוט ניהול סיכונים בגין מכשירים פיננסים וחשיפות הקבוצה לסיכון אשראי, סיכון נזילות וסיכוני שוק, מפורטים 
. בביאור 24 
ד. רכוש קבוע 
1. הכרה ומדידה 
פריטי רכוש קבוע נמדדים לפי העלות בניכוי פחת שנצבר והפסדים מירידת ערך. 
עלות ) IFRS - העלות של מספר פריטי רכוש קבוע נקבעה לפי שוויים ההוגן ליום 1 בינואר 2007 , מועד המעבר ל 
נחשבת). 
העלות כוללת יציאות הניתנות לייחוס במישרין לרכישת הנכס. עלות נכסים שהוקמו באופן עצמי כוללת את עלות 
החומרים ושכר עבודה ישיר, וכן כל עלות נוספת שניתן לייחס במישרין להבאת הנכס למיקום ולמצב הדרושים לכך 
שהוא יוכל לפעול באופן שהתכוונה ההנהלה. עלות תוכנה שנרכשה, המהווה חלק בלתי נפרד מתפעול הציוד 
המתייחס, מוכרת כחלק מעלות ציוד זה. 
כאשר לחלקי רכוש קבוע משמעותיים (לרבות עלויות של בדיקות תקופתיות משמעותיות) יש אורך חיים שונה, הם 
מטופלים כפריטים נפרדים (רכיבים משמעותיים) של הרכוש הקבוע. 
רווח או הפסד מגריעת פריט רכוש קבוע נקבעים לפי השוואת התמורה נטו מגריעת הנכס לערך בספרים, ומוכרים 
נטו בסעיף הכנסות או הוצאות אחרות בדוח רווח והפסד. 
2. עלויות עוקבות 
עלות החלפת חלק מפריט רכוש קבוע מוכרת כחלק מהערך בספרים של אותו פריט אם צפוי כי התועלת הכלכלית 
העתידית הגלומה בפריט תזרום אל הקבוצה וכי עלותו ניתנת למדידה באופן מהימן. הערך בספרים של החלק 
שהוחלף נגרע. עלויות תחזוקה שוטפות נזקפות לרווח והפסד עם התהוותן. 
3. נכסים חכורים 
קרקעות בחכירה מהוונת ממנהל מקרקעי ישראל בהן נושאת הקבוצה באופן מהותי בכל הסיכונים והתשואות 
מהנכס, מסווגות כחכירות מימוניות. 
יתר החכירות מסווגות כחכירות תפעוליות, כאשר הנכסים החכורים אינם מוכרים בדוח על המצב הכספי של 
הקבוצה. 
בחכירה של קרקע ומבנים, מרכיבי הקרקע והמבנים נבחנים בנפרד לצרכי סיווג החכירות, כאשר שיקול משמעותי 
בסיווג מרכיב הקרקע הינו העובדה כי קרקע בדרך כלל בעלת אורך חיים בלתי מוגדר. 
4. פחת 
פחת הוא הקצאה שיטתית של הסכום בר פחת של נכס על פני אורך חייו השימושיים. סכום בר פחת הוא העלות של 
הנכס או סכום אחר המחליף את העלות, בניכוי ערך השייר של הנכס. 
פחת נזקף לדוח רווח והפסד לפי שיטת הקו הישר על פני אומדן אורך החיים השימושי של כל חלק מפריטי הרכוש 
הקבוע מאחר ושיטה זו משקפת את תבנית הצריכה החזויה של ההטבות הכלכליות העתידיות הגלומות בנכס בצורה 
הטובה ביותר. נכסים חכורים בחכירות מימוניות לרבות קרקעות, מופחתים על פני התקופה הקצרה מבין תקופת 
החכירה ותקופת השימוש בנכסים. קרקעות בבעלות אינן מופחתות. 
אומדן אורך החיים השימושי לתקופה השוטפת ולתקופות ההשוואתיות הינו כדלקמן: 
מבנים 20-35 שנים 
מכונות 10-20 שנים 
מחשבים, רהוט וציוד 3-5 שנים 
כלי רכב 4-7 שנים 
שיפורים במושכר לאורך תקופת השכירות 
קרקע בחכירה לאורך תקופת החכירה 
עודף עלות ההשקעה שיוחס לנכסים ספציפיים מופחת לפי יתרת תקופת הפחתתם במועד שבו יוחס עודף העלות. 
האומדנים בדבר שיטת הפחת, אורך החיים השימושי וערך השייר נבחנים מחדש לפחות בכל סוף שנת דיווח.
באורים לדוחות הכספיים ליום 31 בדצמבר 2013 
השקעות בערבון מוגבל 
15 
באור 3 - עיקרי המדיניות החשבונאית (המשך) 
ה. נכסים בלתי מוחשיים 
1. מוניטין ונכסים בלתי מוחשיים בעלי אורך חיים בלתי מוגדר 
מוניטין ונכסים בלתי מוחשיים בעלי אורך חיים בלתי מוגדר שנוצרו כתוצאה מרכישה של חברות בנות, נכללו 
במסגרת סעיף נכסים בלתי מוחשיים. למידע בדבר מדידת המוניטין בעת ההכרה לראשונה ראה סעיף א ( 1) לעיל. 
בתקופות עוקבות מוניטין נמדד לפי עלות בניכוי הפסדים מירידת ערך שנצברו. 
2. נכסים בלתי מוחשיים אחרים 
נכסים בלתי מוחשיים אחרים שנרכשו על ידי הקבוצה, בעלי אורך חיים מוגדר, נמדדים לפי עלות בניכוי הפחתות 
והפסדים מירידת ערך שנצברו. 
3. עלויות עוקבות 
עלויות עוקבות מוכרות כנכס בלתי מוחשי אך ורק כאשר הן מגדילות את ההטבה הכלכלית העתידית הגלומה בנכס 
בגינו הן הוצאו. כל העלויות האחרות, לרבות עלויות הקשורות למוניטין או מותגים שפותחו באופן עצמי, נזקפות 
לדוח רווח והפסד עם התהוותן. 
4. הפחתה 
הפחתה היא הקצאה שיטתית של הסכום בר פחת של נכס בלתי מוחשי על פני אורך חייו השימושיים. סכום בר פחת 
הוא העלות של הנכס, בניכוי ערך השייר שלו. 
הפחתה נזקפת לדוח רווח והפסד לפי שיטת הקו הישר על פני אומדן אורך החיים השימושיים של הנכסים הבלתי 
מוחשיים מהמועד שבו הנכסים זמינים לשימוש, מאחר ושיטה זו משקפת את תבנית הצריכה החזויה של ההטבות 
הכלכליות העתידיות הגלומות בכל נכס בצורה הטובה ביותר. 
מוניטין ונכסים בלתי מוחשיים בעלי אורך חיים בלתי מוגדר אינם מופחתים באופן שיטתי אלא נבחנים לפחות אחת 
לשנה לצורך ירידת ערך. 
אומדן אורך החיים השימושי לתקופה הנוכחית ולתקופות השוואתיות הינו: 
זכות שימוש בתוכנות מחשב 3-5 שנים 
ציוד לפרסום וקידום מכירות 3-5 שנים 
קשרי לקוחות, ידע, מותג ואי תחרות 3-10 שנים 
האומדנים בדבר שיטת הפחת ואורך החיים השימושי נבחנים מחדש לפחות בכל סוף שנת דיווח. 
נכסים בלתי מוחשיים בעלי אורך חיים בלתי מוגדר כוללים מותג בעל אורך חיים שימושיים בלתי מוגדר מאחר ואין 
הגבלה נראית לעין של התקופה שבה המותג חזוי להפיק תזרימי מזומנים חיוביים נטו לחברה. 
הקבוצה בוחנת את אומדן אורך החיים השימושי של נכס בלתי מוחשי שאינו מופחת בכל תקופה על מנת לקבוע האם 
האירועים והנסיבות ממשיכים לתמוך בקביעה כי לנכס הבלתי מוחשי אורך חיים בלתי מוגדר. 
ו. מלאי 
מלאי נמדד כנמוך מבין העלות וערך המימוש נטו. עלות המלאי כוללת את העלויות לרכישת המלאי ולהבאתו 
למקומו ולמצבו הקיימים. במקרה של מלאי בתהליך ייצור ומלאי מוצרים גמורים, כוללת העלות את החלק המיוחס 
של תקורות הייצור, המבוסס על קיבולת נורמלית. עלות המלאי של חומרי גלם ומוצרים גמורים קנויים נקבעת לפי 
שיטת העלות הממוצעת המשוקללת משמשת לחישוב עלות המלאים ,(FIFO) " שיטת "נכנס ראשון יוצא ראשון 
האחרים. ערך המימוש נטו הוא אומדן מחיר המכירה במהלך העסקים הרגיל, בניכוי אומדן העלות להשלמה ואומדן 
העלויות הדרושות לביצוע המכירה. 
ז. ירידת ערך 
1. נכסים פיננסיים 
ירידת ערך של נכס פיננסי שאינו מוצג בשווי הוגן דרך רווח והפסד נבחנת כאשר קיימת ראייה אובייקטיבית לכך 
שאירוע אחד או יותר השפיעו באופן שלילי על אומדן תזרימי המזומנים העתידיים של הנכס. 
הפסד מירידת ערך של נכס פיננסי, הנמדד לפי עלות מופחתת, מחושב כהפרש בין ערך הנכס בספרים לבין הערך 
הנוכחי של אומדן תזרימי המזומנים העתידיים, מהוון בשיעור הריבית האפקטיבית המקורית. 
עבור נכסים פיננסיים מהותיים, נבחן הצורך בירידת ערך על בסיס כל נכס בנפרד. עבור יתר הנכסים הפיננסיים נבחן 
הצורך בירידת ערך באופן קולקטיבי, לפי קבוצות בעלות מאפייני סיכוני אשראי דומים. 
כל ההפסדים מירידת ערך נזקפו לרווח והפסד. 
הפסד מירידת ערך מבוטל כאשר ניתן לייחסו באופן אובייקטיבי לאירוע שהתרחש לאחר ההכרה בהפסד מירידת 
הערך.
באורים לדוחות הכספיים ליום 31 בדצמבר 2013 
השקעות בערבון מוגבל 
16 
באור 3 - עיקרי המדיניות החשבונאית (המשך) 
ז. ירידת ערך (המשך) 
2. נכסים שאינם פיננסיים 
הערך בספרים של הנכסים הלא פיננסיים של הקבוצה, שאינם מלאי ונכסי מס נדחים, נבדק בכל מועד דיווח כדי 
לקבוע האם קיימים סימנים המצביעים על ירידת ערך. באם קיימים סימנים, כאמור, מחושב אומדן סכום בר 
ההשבה של הנכס. בתקופות עוקבות, מבצעת הקבוצה, אחת לשנה בתאריך קבוע עבור כל נכס, הערכה של הסכום בר 
ההשבה של מוניטין ונכסים בלתי מוחשיים בעלי אורך חיים בלתי מוגדר או שאינם זמינים לשימוש, או באופן תכוף 
יותר אם קיימים סימנים לירידת ערך. 
הסכום בר ההשבה של נכס או של יחידה מניבת מזומנים הינו הגבוה מבין שווי השימוש ומחיר המכירה נטו (שווי 
הוגן, בניכוי הוצאות מכירה). בקביעת שווי השימוש, מהוונת הקבוצה את תזרימי המזומנים העתידיים החזויים לפי 
שיעור היוון, המשקף את הערכות השוק לגבי ערך הזמן של הכסף והסיכונים הספציפיים המתייחסים לנכס. למטרת 
בחינת ירידת ערך, הנכסים מקובצים יחד לקבוצת הנכסים הקטנה ביותר אשר מניבה תזרימי מזומנים משימוש 
מתמשך, אשר הינם בלתי תלויים בעיקרם בנכסים ובקבוצות אחרות ("יחידה מניבת מזומנים"). למטרת בחינת 
ירידת ערך של מוניטין, יחידות מניבות מזומנים אליהן הוקצה מוניטין מקובצות כך שהרמה בה נבחנת ירידת ערך 
מוניטין משקפת את הרמה הנמוכה ביותר בה המוניטין נתון למעקב לצרכי דיווח פנימי אך בכל מקרה אינה גדולה 
ממיגזר פעילות. מוניטין שנרכש במסגרת צירוף עסקים מוקצה למטרת בחינת ירידת ערך ליחידות מניבות מזומנים 
אשר צפויות להניב הטבות מהסינרגיה של הצירוף. 
הפסדים מירידת ערך מוכרים כאשר הערך בספרים של הנכס או של יחידה מניבת מזומנים אליה הנכס משתייך 
עולה על הסכום בר ההשבה, ונזקפים לרווח והפסד. הפסדים מירידת ערך שהוכרו לגבי יחידות מניבות מזומנים, 
מוקצים תחילה להפחתת הערך בספרים של מוניטין שיוחס ליחידות אלה ולאחר מכן להפחתת הערך בספרים של 
הנכסים האחרים ביחידה מניבת המזומנים, באופן יחסי. 
ח. הטבות לעובדים 
1. הטבות לאחר סיום העסקה 
בקבוצה קיימות מספר תכניות הטבה לאחר העסקה. התכניות ממומנות בדרך כלל על ידי הפקדות לחברות ביטוח 
או לקרנות המנוהלות בידי נאמן, והן מסווגות כתכניות הפקדה מוגדרת וכן כתכניות הטבה מוגדרת. 
א. תכניות להפקדה מוגדרת 
תוכנית להפקדה מוגדרת הינה תוכנית לאחר סיום העסקה שלפיה הקבוצה משלמת תשלומים קבועים לישות נפרדת 
מבלי שתהיה לה מחויבות משפטית או משתמעת לשלם תשלומים נוספים מחויבויות הקבוצה להפקיד בתכנית 
הפקדה מוגדרת, נזקפות כהוצאה לרווח והפסד במועד בו נוצרת המחויבות להפקיד. 
ב. תכניות להטבה מוגדרת 
תוכנית להטבה מוגדרת הינה תוכנית הטבה לאחר סיום העסקה שאינה תוכנית להפקדה מוגדרת מחויבות נטו של 
הקבוצה, המתייחסת לתכנית הטבה מוגדרת בגין הטבות לאחר סיום העסקה, מחושבת לגבי כל תכנית בנפרד על ידי 
אומדן הסכום העתידי של ההטבה שיגיע לעובד בתמורה לשירותיו, בתקופה השוטפת ובתקופות קודמות. הטבה זו 
מוצגת לפי ערך נוכחי בניכוי השווי ההוגן של נכסי התכנית. שיעור ההיוון נקבע בהתאם לתשואה במועד הדיווח על 
אגרות חוב ממשלתיות, שהמטבע שלהן ומועד פירעונן דומים לתנאי המחויבות של הקבוצה. החישובים נערכים על 
ידי אקטואר מוסמך לפי שיטת יחידת הזכאות החזויה. 
כאשר לפי תוצאות החישובים נוצר נכס לקבוצה, מוכר נכס עד לסכום נטו של הערך הנוכחי של הטבות כלכליות 
הזמינות בצורה של החזר מהתוכנית או הקטנה בהפקדות עתידיות לתוכנית. הטבה כלכלית בצורת החזרים או 
הקטנת הפקדות עתידיות תחשב זמינה כאשר ניתן לממשה במהלך חיי התוכנית או לאחר סילוק המחויבות. 
כאשר קיימת חובה, במסגרת דרישת הפקדה מזערית, לתשלום סכומים נוספים ביחס לשירותים שניתנו בעבר, 
מכירה החברה במחויבות נוספת (הגדלת התחייבות נטו או הקטנת נכס נטו), במידה בה סכומים כאמור לא יהיו 
זמינים כהטבה כלכלית בצורה של החזר מהתוכנית או הקטנה בהפקדות עתידיות. 
מדידה מחדש של ההתחייבות, נטו בגין הטבה מוגדרת כוללת רווחים והפסדים אקטואריים, תשואה על נכסי 
תוכנית (למעט ריבית), וכן שינוי כלשהו בהשפעה על תקרת הנכסים (ככל שרלוונטי, למעט ריבית). מדידות מחדש 
נזקפות מיידית, דרך רווח כולל אחר ישירות לעודפים. 
עלויות ריבית בגין מחויבות להטבה מוגדרת, הכנסות ריבית בגין נכסי התוכנית וריבית בגין ההשפעה של תקרת 
הנכסים ללא רווח נזקפים לרווח והפסד. 
כאשר חל שיפור בהטבות שמעניקה הקבוצה לעובדים, אותו חלק מההטבות המוגדלות המייחס לשירותי עבר של 
העובדים מוכרים מיידית ברווח או הפסד כאשר מתרחש התיקון של התכנית. 
לקבוצה קיימות פוליסות ביטוחי מנהלים אשר הוצאו לפני שנת 2004 ולפי תנאי הפוליסות יתרת הרווח הריאלי 
שהצטבר על רכיב הפיצויים תשולם לעובד במועד פרישתו. בגין פוליסות כאמור, נכסי התוכנית כוללים הן את יתרת 
רכיב הפיצויים והן את יתרת הרווח הריאלי שהצטבר (במידה שהצטבר) על הפקדות לפיצויים עד למועד הדיווח 
ומוצגים בשווי הוגן. 
נכסי תוכנית אלה משמשים לתוכנית הטבה מוגדרת הכוללת שני רכיבי התחייבות: רכיב תוכנית הטבה מוגדרת בגין 
הפיצויים, המחושבת באופן אקטוארי כאמור לעיל, ורכיב נוסף שהינו המחויבות לתשלום של יתרת הרווח הריאלי 
שהצטבר (במידה שהצטבר) במועד פרישת העובד. רכיב זה נמדד בגובה יתרת הרווח הריאלי שהצטבר בפועל למועד 
הדיווח.
באורים לדוחות הכספיים ליום 31 בדצמבר 2013 
השקעות בערבון מוגבל 
17 
באור 3 - עיקרי המדיניות החשבונאית (המשך) 
ח. הטבות לעובדים (המשך) 
ב. תכניות להטבה מוגדרת (המשך) 
החברה מקזזת נכס המתייחס לתכנית הטבה אחת מול התחיבות המתייחסת לתוכנית אחרת רק כאשר יש זכות 
לאכיפה משפטית להשתמש בעודף התוכנית האחת כדי לסלק מחויבות בגין התכנית האחרת וכן יש כונה לסלק את 
המחויבות על בסיס נטו. 
2. הטבות אחרות לטווח ארוך 
המחויבות נטו של הקבוצה בגין הטבות לעובדים לטווח ארוך, שאינן מתייחסות לתכניות הטבה לאחר העסקה, היא 
בגין סכום ההטבה העתידית המגיעה לעובדים בגין שירותים שהוענקו בתקופה השוטפת ובתקופות קודמות. סכום 
הטבות אלו מהוון לערכו הנוכחי ומנוכה ממנו השווי ההוגן של נכסים המתייחסים למחויבות זו. שיעור ההיוון נקבע 
בהתאם לתשואה במועד הדיווח על אגרות חוב ממשלתיות שהמטבע שלהן ומועד הפירעון שלהן דומים לתנאי 
המחויבויות של הקבוצה. החישוב נעשה לפי שיטת יחידת הזכאות החזויה. רווחים והפסדים אקטואריים נזקפים 
לרווח והפסד בתקופה בה הם נוצרו. 
3. הטבות בגין פיטורין 
הטבות בגין פיטורין מוכרות כהוצאה כאשר הקבוצה התחייבה באופן מובהק, ללא אפשרות ממשית לביטול, 
לפיטורי עובדים לפני הגיעם למועד הפרישה המקובל על פי תכנית פורמאלית מפורטת. הטבות הניתנות לעובדים 
בפרישה מרצון נזקפות כהוצאה כאשר הקבוצה הציעה לעובדים תכנית המעודדת פרישה מרצון, צפוי שההצעה 
תתקבל וניתן לאמוד באופן מהימן את מספר הנענים להצעה. 
4. הטבות לטווח קצר 
מחויבויות בגין הטבות לעובדים לזמן קצר נמדדות על בסיס לא מהוון, וההוצאה נזקפת בעת שניתן השירות 
המתייחס. 
הפרשה בגין הטבות לעובדים לטווח קצר בגין בונוס במזומן או תכנית השתתפות ברווחים, מוכרת כאשר לקבוצה 
יש מחויבות נוכחית משפטית או משתמעת לשלם את הסכום האמור בגין שירות שניתן על ידי העובד בעבר וניתן 
לאמוד באופן מהימן את המחוייבות. סיווג הטבות לעובדים לצרכי מדידה כהטבות לטווח קצר או כהטבות אחרות 
לטווח ארוך נקבע בהתאם להנחיות החברה לסילוק המלא של ההטבות. 
5. עסקאות תשלומים מבוססי מניות 
השווי ההוגן של הסכום המגיע לעובדים בגין זכויות לעליית ערך מניות, המסולקות במזומן, נזקף כהוצאה, כנגד 
גידול מקביל בהתחייבויות, על פני התקופה בה מושגת זכאות העובדים לתשלום. ההתחייבות נמדדת מחדש בכל 
מועד דיווח, עד הסילוק. כל שינוי בשווי ההוגן של ההתחייבות נזקף כהוצאת שכר ברווח והפסד. 
ט. הפרשות 
1. הפרשה מוכרת כאשר לקבוצה יש מחויבות נוכחית משפטית או משתמעת כתוצאה מאירוע שהתרחש בעבר הניתנת 
לעמידה בצורה מהימנה וכאשר צפוי כי תידרש זרימת הטבות כלכליות לסילוק המחויבות. 
2. תביעות משפטיות 
הפרשה בגין תביעות מוכרת כאשר לקבוצה קיימת מחויבות משפטית בהווה או מחויבות משתמעת כתוצאה 
כי הקבוצה תידרש למשאביה הכלכליים (more likely than not) מאירוע שהתרחש בעבר, יותר סביר מאשר לא 
לסילוק המחויבות וניתן לאמוד אותה באופן מהימן. 
י. הכנסות 
1. מכירת סחורות 
ההכנסה ממכירת סחורות נמדדת על פי השווי ההוגן של התמורה שנתקבלה או העומדת להתקבל, בניכוי החזרות 
והנחות, הנחות מסחריות והנחות כמות. במקרים בהם תקופת האשראי היא קצרה ומהווה את האשראי המקובל 
בענף התמורה העתידית אינה מהוונת. הקבוצה מכירה בהכנסה כאשר הסיכונים המשמעותיים וההנאות מהבעלות 
על הסחורה עוברים לקונה, קבלת התמורה צפויה, קיימת אפשרות להעריך באופן מהימן את אפשרות החזרת 
הסחורה והעלויות שהתהוו או שיתהוו בגין העסקה ניתנות לאמידה באופן מהימן, כאשר אין להנהלה מעורבות 
נמשכת עם הסחורה, וכן ההכנסה ניתנת למדידה באופן מהימן. 
העברת הסיכונים והתשואות משתנה בהתאם לתנאים הספציפיים של חוזה המכירה. לגבי מכירת מוצרים בישראל, 
העברת הסיכונים והתשואות מתקיימת, בדרך כלל, כאשר המוצרים מגיעים למחסניו של הלקוח, ואולם לגבי 
משלוחים בינלאומיים מסוימים מתקיימת ההעברה כאשר הסחורה מועמסת על כלי התחבורה של המוביל. 
2. עמלות 
כאשר הקבוצה פועלת, במסגרת עסקה, כסוכן ולא כספק עיקרי, מוכרת ההכנסה בגובה סכום העמלה נטו.
באורים לדוחות הכספיים ליום 31 בדצמבר 2013 
השקעות בערבון מוגבל 
18 
באור 3 - עיקרי המדיניות החשבונאית (המשך) 
י. הכנסות (המשך) 
3. מענקי ממשלה 
מענקי ממשלה מוכרים לראשונה כאשר קיים ביטחון סביר שהם יתקבלו ושהקבוצה תעמוד בתנאים המזכים 
בקבלתם. 
מענקים המתקבלים כפיצוי על הוצאות בהן נשאה הקבוצה, נזקפים לדוח רווח והפסד באופן שיטתי, באותן 
תקופות בהן נזקפות ההוצאות לדוח רווח והפסד. מענקי ממשלה המתקבלים לצורך רכישת נכס, מוצגים בניכוי 
מהנכס המתייחס ונזקפים לדוח רווח והפסד באופן שיטתי, לאורך תקופת החיים השימושיים של הנכס. 
,(forgivable loans) מענקים מהמדען הראשי בגין פרויקטי מחקר ופיתוח מטופלים כהלוואות הניתנות למחילה 
בהתאם להוראות תקן חשבונאות בינלאומי 20 . בהתאם, מענקי מדען שהתקבלו מוכרים כהתחייבות לפי שוויה 
ההוגן ביום קבלת המענקים, אלא אם כן באותו יום וודאי באופן סביר כי הסכום שהתקבל לא יוחזר. סכום 
ההתחייבות נבחן מחדש בכל תקופה, והשינויים, אם קיימים, בערך הנוכחי של תזרימי המזומנים המהוונים 
בריבית המקורית של המענק נזקפים לדוח רווח והפסד. 
יא. הכנסות והוצאות מימון 
הכנסות מימון כוללות הכנסות ריבית בגין סכומים שהושקעו, רווחים ממכירת נכסים פיננסיים, שינויים בשווי 
ההוגן של נכסים פיננסיים המוצגים בשווי הוגן דרך רווח והפסד ורווחים מהפרשי שער. הכנסות ריבית מוכרות עם 
צבירתן, באמצעות שיטת הריבית האפקטיבית. 
הוצאות מימון כוללות הוצאות ריבית על הלוואות שנתקבלו, שינויים בערך הזמן של הפרשות, שינויים בשווי ההוגן 
של נכסים פיננסיים המוצגים בשווי הוגן דרך רווח והפסד והפסדים מירידת ערך של נכסים פיננסיים. עלויות 
האשראי, שאינן מהוונות, נזקפות לדוח רווח והפסד לפי שיטת הריבית האפקטיבית. 
רווחים והפסדים מהפרשי שער מדווחים בנטו. 
יב. הוצאת מסים על הכנסה 
א. הוצאת מסים על הכנסה כוללת מסים שוטפים ונדחים. הוצאת מסים על הכנסה נזקפת לדוח רווח והפסד אלא 
אם המס נובע מעסקה או אירוע אשר מוכרים ישירות להון. במקרים אלו, הוצאת המסים על הכנסה נזקפת 
לרווח כולל אחר. 
המס השוטף הינו סכום המס הצפוי להשתלם על ההכנסה החייבת במס לשנה, כשהוא מחושב לפי שיעורי המס 
החלים לפי החוק שנחקק או נחקק למעשה לתאריך המאזן, והכולל שינויים בתשלומי המס המתייחסים לשנים 
קודמות. 
ההכרה במסים נדחים הינה בהתאם לשיטה המאזנית, בהתייחס להפרשים זמניים בין הערך בספרים של 
נכסים והתחייבויות לצורך דיווח כספי לבין ערכם לצרכי מסים. החברה לא מכירה במסים נדחים לגבי 
ההפרשים הזמניים הבאים: ההכרה לראשונה במוניטין, ההכרה לראשונה בנכסים ובהתחייבויות בעסקה 
שאינה מהווה צירוף עסקים ושאינה משפיעה על הרווח החשבונאי ועל הרווח לצרכי מס, וכן הפרשים הנובעים 
מהשקעה בחברות בנות, במידה ואין זה צפוי שהם יתהפכו בעתיד הנראה לעין. המסים הנדחים נמדדים לפי 
שיעורי המס הצפויים לחול על ההפרשים הזמניים במועד בו ימומשו, בהתבסס על החוקים שנחקקו או 
שנחקקו למעשה לתאריך המאזן. 
ב. נכס מס נדחה מוכר בספרים כאשר צפוי שבעתיד תהיה הכנסה חייבת, שכנגדה ניתן יהיה לנצל את ההפרשים 
הזמניים. נכסי המסים הנדחים נבדקים בכל תאריך מאזן, ובמידה ולא צפוי כי הטבות המס המתייחסות 
תתממשנה, הם מופחתים. 
הקבוצה עשויה להתחייב בתוספת מס במקרה של חלוקת דיבידנדים בין חברות הקבוצה. תוספת מס זו לא 
נכללה בדוחות הכספיים לאור מדיניות חברות הקבוצה שלא לגרום לחלוקת דיבידנד הכרוכה בתוספת מס 
לקבוצה בעתיד הנראה לעין. 
ג. מיסים על הכנסה בעסקאות בינחברתיות 
מס נדחה בגין עסקאות בינחברתיות בדוח המאוחד נרשם לפי שיעור המס של החברה הרוכשת. 
ד. קיזוז נכסי והתחיבות מיסים נדחים 
החברה מקזזת נכסי והתחיבות מיסים נדחים במידה וקימת זכות חוקית הניתנת לאכיפה לקיזוז נכסי 
והתחיבות מיסים שוטפים, והם מיוחסים לאותה הכנסה חייבת במס הממוסה על ידי אותה רשות מס באותה 
החברה נישומה, או בחברות שונות אשר בכוונתן לסלק נכסים והתחיבויות מיסים שוטפים על בסיס נטו או 
שנכסי והתחיבות המיסים מיושבים בו זמנית.
באורים לדוחות הכספיים ליום 31 בדצמבר 2013 
השקעות בערבון מוגבל 
19 
באור 3 - עיקרי המדיניות החשבונאית (המשך) 
יג. רווח למניה 
הקבוצה מציגה נתוני רווח למניה בסיסי ומדולל לגבי הון המניות הרגילות שלה. הרווח הבסיסי למניה מחושב על 
ידי חלוקת הרווח או ההפסד המיוחסים לבעלי המניות הרגילות של הקבוצה במספר הממוצע המשוקלל של המניות 
הרגילות שהיו במחזור במשך התקופה. 
יד. עסקאות עם בעל שליטה 
נכסים והתחייבויות שלגביהם בוצעה עסקה עם בעל שליטה נמדדים לפי שווי הוגן במועד העסקה. 
בשל העובדה כי מדובר בעסקה במישור ההוני, זוקפת החברה את ההפרש בין השווי ההוגן לבין התמורה מהעסקה 
להון. 
טו. תקנים חדשים ופרשנויות שטרם אומצו 
IAS 39 - מכשירים פיננסיים. התקן מחליף את הדרישות המופיעות ב ,IFRS 9 (2010) תקן דיווח כספי בינלאומי 
ביחס לסיווג ומדידה של נכסים פיננסיים והתחייבויות פיננסיות. בהתאם לתקן, ישנן שתי קטגוריות עיקריות של 
מדידת נכסים פיננסיים: עלות מופחתת ושווי הוגן. בסיס הסיווג לגבי מכשירי חוב מתבסס על המודל העסקי של 
הישות לניהול נכסים פיננסיים ועל מאפייני תזרימי המזומנים החוזיים של הנכס הפיננסי. כמו כן, השקעה 
במכשירים הונים תימדד לפי שווי הוגן כאשר שינויים בשווי ההוגן יזקפו לרווח והפסד. יחד עם זאת, התקן מאפשר 
בעת ההכרה הראשונית במכשיר הוני שאינו מוחזק למסחר, לבחור להציג שינויים בשווי ההוגן של מכשיר הוני 
במסגרת הרווח הכולל האחר, כאשר הסכומים שיזקפו לרווח הכולל האחר לא יסווגו לעולם לרווח והפסד. 
עם .IAS 39 - התקן שמר ככלל את ההוראות המתייחסות לסיווג ומדידה של התחייבויות פיננסיות, כפי שהופיעו ב 
דורש ככלל כי השינוי בשווי הוגן של התחייבויות פיננסיות שיועדו לשווי IFRS 9 (2010) ,IAS 39- זאת, בשונה מ 
הוגן דרך רווח והפסד, למעט מחויבות למתן הלוואה וחוזי ערבות פיננסית, המיוחס לשינויים בסיכון האשראי של 
ההתחייבות יוכר ברווח כולל אחר, כאשר יתרת הסכום תוכר ברווח והפסד. 
מועד התחילה המנדטורי של התקן טרם נקבע. יישום מוקדם מותר, בכפוף למתן גילוי וכן בכפוף לאימוץ במקביל 
אחרים, המפורטים בנספח לתקן. יישום התקן ייעשה בדרך של יישום למפרע, למעט IFRS של התיקונים לתקני 
הקלות מסוימות, בהתאם להוראות המעבר המפורטות בתקן. 
הקבוצה טרם החלה בבחינת ההשלכות של אימוץ התקן על הדוחות הכספיים.
באורים לדוחות הכספיים ליום 31 בדצמבר 2013 
השקעות בערבון מוגבל 
20 
באור 4 - קביעת שווי הוגן 
כחלק מכללי המדיניות החשבונאית ודרישות הגילוי, נדרשת הקבוצה לקבוע את השווי ההוגן של נכסים והתחייבויות 
פיננסיים ושאינם פיננסיים. ערכי השווי ההוגן נקבעו לצרכי מדידה ו/או גילוי על בסיס השיטות המתוארות להלן. מידע 
נוסף לגבי ההנחות ששימשו בקביעת ערכי השווי ההוגן ניתן בביאורים המתייחסים לאותו נכס או התחייבות. 
א. רכוש קבוע 
השווי ההוגן של רכוש קבוע, שהוכר במסגרת צירוף עסקים, מבוסס על ערכי שוק. שווי השוק של רכוש קבוע הינו 
אומדן הסכום שבו ניתן היה להחליף את הרכוש הקבוע ביום ביצוע ההערכה, בעסקה בין קונה מרצון למוכר מרצון. 
ב. נכסים בלתי מוחשיים 
השווי ההוגן של פטנטים וסימנים מסחריים, אשר נרכשו בצירוף עסקים, מבוסס על הערך המהוון של אומדן 
התמלוגים אשר נדרש היה לשלם, אלמלא הבעלות על הפטנט או הסימן המסחרי. 
השווי ההוגן של נכסים בלתי מוחשיים אחרים מבוסס על הערך המהוון של תזרימי המזומנים הצפויים לנבוע 
מהשימוש בנכסים וממכירתם. 
ג. מלאי 
השווי ההוגן של מלאי נקבע על בסיס אומדן מחיר המכירה של המלאי במהלך העסקים הרגיל, בניכוי אומדן 
העלויות להשלמתו ולמכירתו, וכן מרווח סביר המבוסס על המאמצים הנדרשים להשלמת ולמכירת המלאי. 
ד. נגזרים 
Listed ) , על מטבע חוץ מבוסס על מחירי השוק הרשומים שלהם (Forward) השווי ההוגן של חוזי אקדמה 
באם זמינים. בהעדר מחירי שוק כאמור, נאמד השווי ההוגן על בסיס היוון ההפרש בין מחיר ה- (market price 
הנוכחי בגין יתרת התקופה של החוזה עד לפדיון, תוך שימוש Forward - הנקוב בחוזה לבין מחיר ה Forward 
בשיעור ריבית מתאים. 
ה. התחייבויות פיננסיות שאינן נגזרות 
השווי ההוגן, אשר נקבע לצורך מתן גילוי, מחושב על בסיס הערך הנוכחי של תזרימי המזומנים העתידיים בגין 
מרכיב הקרן והריבית, המהוונים על פי שיעור ריבית השוק למועד הדיווח. 
ו. שווי הוגן של עסקאות תשלום מבוסס מניות 
השווי ההוגן של אופציות פאנטום מבוסס על הנחות מסוימות לרבות בין היתר סטיית התקן הצפויה של מחיר 
המניה. וכן אומדנים הקשורים לתחזיות הרווח למניה.
באורים לדוחות הכספיים ליום 31 בדצמבר 2013 
השקעות בערבון מוגבל 
21 
באור 5 - מזומנים ושווי מזומנים 
ההרכב: 
שיעור ריבית 
ליום 31 בדצמבר ליום 31 בדצמבר 
2012 2013 2013 
% אלפי ₪ אלפי ₪ 
51,629 יתרות בקופה ובבנקים 60,445 
8,636 267,614 פקדונות לפי דרישה 0.23-1.65 
60,265 328,059 
באור 6 - לקוחות 
ההרכב: 
ליום 31 בדצמבר 
2012 2013 
אלפי ₪ אלפי ₪ 
565,483 חובות פתוחים 588,952 
130,803 המחאות לגביה 124,250 
696,286 713,202 
19,841 בניכוי - הפרשה לחובות מסופקים 24,721 
676,445 688,481 
באור 7 - חייבים ויתרות חובה 
ההרכב: 
ליום 31 בדצמבר 
2012 2013 
אלפי ₪ אלפי ₪ 
2,773 עובדים חייבים 2,527 
13,430 מקדמות לספקים 1,379 
11,848 הוצאות מראש 15,057 
9,845 חייבים אחרים 8,699 
37,896 27,662
באורים לדוחות הכספיים ליום 31 בדצמבר 2013 
השקעות בערבון מוגבל 
22 
באור 8 - מלאי 
ההרכב: 
ליום 31 בדצמבר 
2012 2013 
אלפי ₪ אלפי ₪ 
68,494 חומרי גלם 62,574 
39,375 חומרי אריזה ועזר 40,988 
19,522 תוצרת בעיבוד 17,611 
245,667 תוצרת גמורה וקנויה 237,050 
373,058 358,223 
33,666 מלאי בדרך 31,884 
406,724 390,107 
באור 9 - השקעות אחרות 
ההרכב: 
שיעור ריבית 
ליום 31 בדצמבר ליום 31 בדצמבר 
2012 2013 2013 
% אלפי ₪ אלפי ₪ 
1,483 1,328 הלוואה לזמן קצר צמוד למדד + 4% 
- 5,739 פיקדון בלירה שטרלינג 1% 
יעודה לדמי מחלה - 12,187 
13,670 7,067 
באור 10 - חברות מאוחדות 
א. פרטים בדבר ההשקעות המהותיות בחברות מאוחדות המוחזקות על ידי החברה 
זכויות היקף השקעה ליום 31 בדצמבר 
2012 שם החברה החברה 2013 
בהון אלפי ₪ אלפי ₪ 
461,337 523,564 (*) אסם תעשיות מזון בע"מ 100% 
120,681 137,704 נגה גלידות שותפות מוגבלת 100% 
704,006 730,081 טבעול ( 1993 ) בע"מ 100% 
( * ) מאחר ומדובר בשליטה במישרין או בעקיפין של 100% , הוצג מלא הערך המאזני ולא רק החלק הישיר באחזקת 
החברה. 
ב. פרטים על דיבידנד מחברות מאוחדות שנתקבלו: 
לשנה שנסתיימה ביום 31 בדצמבר 
2011 2012 2013 
אלפי ₪ אלפי ₪ אלפי ₪ 
61,259 65,425 69,520
באורים לדוחות הכספיים ליום 31 בדצמבר 2013 
השקעות בערבון מוגבל 
23 
באור 11 - הטבות לעובדים 
חוק פיצויי פיטורין בישראל מחייב את החברה לשלם פיצויים לעובד בעת פיטורין או פרישה. חישוב התחייבות החברה 
בשל הטבות לעובדים מתבצע על פי הסכם העסקה בתוקף ומבוסס על משכורת העובד אשר, לדעת ההנהלה, יוצרת את 
הזכות לקבלת הפיצויים. 
לגבי עובדים אשר חל עליהם סעיף 14 לחוק פיצויי פיטורין, תשכ"ג 1963- , מטופל על ידי החברה כתוכנית הפקדה מוגדרת. 
הפקדותיה השוטפות של החברה בקרנות פנסיה ובפוליסות בחברות ביטוח, פוטרות אותה מכל התחייבות נוספת 
לעובדים, בגינם הופקדו הסכומים כאמור לעיל. 
החלק של תשלומי הפיצויים שאינו מכוסה על ידי הפקדות כאמור לעיל, מטופל על ידי החברה כתוכנית להטבה מוגדרת 
לפיה נרשמת התחייבות בגין הטבות עובדים. 
א. התחייבות התוכנית נטו: 
ליום 31 בדצמבר 
2012 2013 
אלפי ₪ אלפי ₪ 
(35,225) ( ערך נוכחי של המחויבויות ( 30,750 
30,688 שווי הוגן של נכסי התכניות 26,593 
(4,537) ( סך הטבות לעובדים ( 4,157 
ב. מוצג בסעיפים הבאים: 
2012 2013 
אלפי ₪ אלפי ₪ 
- נכסים בלתי שוטפים - הטבות לעובדים 293 
(4,537) ( התחייבויות שאינן שוטפות - הטבות לעובדים ( 4,450 
(4,537) ( מחויבות בגין תכניות הטבה מוגדרות ליום 31 בדצמבר ( 4,157 
ג. התנועה בערך נוכחי במחויבות בגין תכניות להטבה מוגדרת 
2012 2013 
אלפי ₪ אלפי ₪ 
49,663 מחויבות בגין תכניות הטבה מוגדרות ליום 1 בינואר 35,225 
(5,527) ( הטבות ששולמו ( 5,737 
הוצאות שנזקפו לרווח והפסד 
3,426 עלויות שירות שוטף 5,876 
1,464 עלויות ריבית 1,092 
הוכר ברווח כולל אחר 
(13,801) ( רווחים אקטואריים ( 5,706 
35,225 מחויבות בגין תכניות הטבה מוגדרות ליום 31 בדצמבר 30,750
באורים לדוחות הכספיים ליום 31 בדצמבר 2013 
השקעות בערבון מוגבל 
24 
באור 11 - הטבות לעובדים (המשך) 
ד. התנועה בנכסי התוכנית 
2012 2013 
אלפי ₪ אלפי ₪ 
36,154 שווי הוגן של נכסי התכניות ליום 1 בינואר 30,688 
1,609 סכומים שהופקדו 1,295 
(339) ( הטבות ששולמו ( 4,935 
1,072 הכנסות ריבית שנזקפו לרווח והפסד 708 
(7,808) ( הפסדים אקטואריים שנזקפו לרווח כולל אחר ( 1,163 
30,688 שווי הוגן של נכסי התכניות ליום 31 בדצמבר 26,593 
ה. הנחות אקטואריות וניתוח רגישות 
ההנחות האקטואריות העיקריות למועד הדיווח (לפי ממוצע משוקלל): 
לשנה שנסתיימה ביום 31 בדצמבר 
2011 2012 2013 
% % % 
3.38 - 4.96 2.11 - 4.82 1.72 - שיעור ההיוון ביום 31 בדצמבר 4.90 
1.00 - 2.50 1.00 - 2.50 1.00 - שיעור עליות שכר עתידיות 2.50 
ההנחות בדבר שיעור התמותה העתידי מבוססות על נתונים סטטיסטיים שפורסמו ועל לוחות תמותה מקובלים. 
ו. תוכניות הטבה לאחר סיום העסקה – תוכנית הפקדה מוגדרת 
לשנה שנסתיימה ביום 31 בדצמבר 
2011 2012 2013 
אלפי ₪ אלפי ₪ אלפי ₪ 
סכום שהוכר כהוצאה בגין עובדים 
28,627 32,713 שחל עליהם סעיף 14 לחוק פיצויי פיטורין 33,737
באורים לדוחות הכספיים ליום 31 בדצמבר 2013 
השקעות בערבון מוגבל 
25 
באור 12 - רכוש קבוע 
א. ההרכב: 
מחשבים רהוט שיפורים 
קרקע ובניינים מכונות כלי רכב וציוד במושכר סך הכל 
אלפי ₪ אלפי ₪ אלפי ₪ אלפי ₪ אלפי ₪ אלפי ₪ 
עלות או עלות נחשבת 
2,160,841 47,327 363,621 4,814 945,036 800,043 ליום 1 בינואר 2012 
96,122 2,322 31,841 165 59,506 2,288 תוספות בשנת 2012 
1,106 (1) 60 35 328 השפעת שינויים בשערי חליפין 684 
(13,276) - (5,753) (1,491) ( גריעות - ( 6,032 
2,244,793 49,648 389,769 3,523 998,838 803,015 יתרה ליום 31 בדצמבר 2012 
149,376 4,297 35,819 651 101,682 6,927 תוספות בשנת 2013 
(25,513) (5) (488) (35) (13,798) ( השפעת שינויים בשערי חליפין ( 11,187 
(13,140) (48) (7,990) (674) ( גריעות - ( 4,428 
2,355,516 53,892 417,110 3,465 1,082,294 798,755 יתרה ליום 31 בדצמבר 2013 
פחת שנצבר 
1,013,520 22,768 235,638 3,592 574,240 177,282 ליום 1 בינואר 2012 
114,809 3,188 35,356 332 53,848 22,085 זקיפה בשנת 2012 
170 (1) 61 15 74 השפעת שינויים בשערי חליפין 21 
(11,696) - (4,933) (1,393) ( גריעות - ( 5,370 
1,116,803 25,955 266,122 2,546 622,792 199,388 יתרה ליום 31 בדצמבר 2012 
114,204 3,300 33,682 391 54,830 22,001 זקיפה בשנת 2013 
(9,005) (4) (356) (27) (6,682) ( השפעת שינויים בשערי חליפין ( 1,936 
(10,983) (36) 6,902 (559) ( גריעות - ( 3,486 
1,211,019 29,215 292,546 2,351 667,454 219,453 יתרה ליום 31 בדצמבר 2013 
יתרה מופחתת 
1,127,990 23,693 123,647 977 376,046 603,627 ליום 31 בדצמבר 2012 
יתרה מופחתת 
1,144,497 24,677 124,564 1,114 414,840 579,302 ליום 31 בדצמבר 2013 
ב. היתרה המופחתת של הרכוש קבוע במאזן המאוחד הינה לאחר קיזוז מענק השקעה בגין השקעות ב"מפעל 
34,984 אלפי ₪). - מאושר" בסך 31,432 אלפי ₪ ( 31.12.12 
ג. באשר לשעבודים ובטול שעבודים - ראה באור 21 (ב). 
ד. רכישת רכוש קבוע באשראי 
ליום 31 בדצמבר 2013 , לחברה יתרת רכישות רכוש קבוע באשראי בסך של 31,640 אלפי ₪ (ליום 31 בדצמבר 
27,273 אלפי ₪). - 2012 
ה. לקבוצה זכויות במקרקעין בחכירה מימונית מהוונת המסתיימות בין השנים 2022-2103 , בסך 120,506 
119,422 אלפי ₪). – אלפי ₪ ( 31.12.12
באורים לדוחות הכספיים ליום 31 בדצמבר 2013 
השקעות בערבון מוגבל 
26 
באור 13 - נכסים בלתי מוחשיים 
מוניטין ונכסים 
בלתי מוחשיים ציוד לפרסום קשרי לקוחות, 
בעלי אורך זכות שימוש וקידום מותג, ידע 
חיים בלתי מוגדר בתוכנות מחשב מכירות ואי תחרות סך הכל 
אלפי ₪ אלפי ₪ אלפי ₪ אלפי ₪ אלפי ₪ 
עלות 
1,160,103 77,164 2,494 118,681 961,764 יתרה ליום 1 בינואר 2012 
1,662 - 515 1,147 - תוספות בשנת 2012 
שינויים משערוך התחייבויות בגין 
43,496 - - - רכישת חלק המיעוט (*) 43,496 
(1,887) 698 - 33 ( השפעת שינויים בשערי חליפין ( 2,618 
1,203,374 77,862 3,009 119,861 1,002,642 יתרה ליום 31 בדצמבר 2012 
1,429 - 644 785 - תוספות בשנת 2013 
שינויים משערוך התחייבויות בגין 
(6,259) - - - ( רכישת חלק המיעוט (*) ( 6,259 
(10,415) (1,984) - (107) ( השפעת שינויים בשערי חליפין ( 8,324 
(2) - - ( גריעות - ( 2 
1,188,127 75,878 3,653 120,537 988,059 יתרה ליום 31 בדצמבר 2013 
הפחתה שנצברה 
141,184 41,796 1,189 61,372 36,827 יתרה ליום 1 בינואר 2012 
36,066 11,871 867 23,328 - זקיפה בשנת 2012 
470 437 - השפעת שינויים בשערי חליפין - 33 
177,720 54,104 2,056 84,733 36,827 יתרה ליום 31 בדצמבר 2012 
34,476 10,394 736 23,346 - זקיפה בשנת 2013 
(1,124) (1,039) - ( השפעת שינויים בשערי חליפין - ( 85 
(2) - - ( גריעות - ( 2 
211,070 63,459 2,792 107,992 36,827 יתרה ליום 31 בדצמבר 2013 
י תרה מופחתת 
1,025,654 23,758 953 35,128 965,815 ליום 31 בדצמבר 2012 
יתרה מופחתת 
977,057 12,419 861 12,545 951,232 ליום 31 בדצמבר 2013 
(*) ראה באור 3 א. 3 
א. בדיקת ירידת ערך ליחידה מניבת מזומנים הכוללת מוניטין 
להלן היחידות העיקריות בעלות ערכי מוניטין ונכסים בלתי מוחשים בעלי אורך חיים בלתי מוגדר בספרים. 
ליום 31 בדצמבר 
2012 2013 
אלפי ₪ אלפי ₪ 
297,026 טבעול ( 1993 ) בע"מ 297,026 
74,482 בונז'ור 74,482 
115,645 107,527 (Tribe) ארה"ב 
457,304 מטרנה 451,045 
944,457 930,080 
1. הסכומים בני ההשבה של היחידות מניבות מזומנים, למעט מטרנה, מבוססים על חישוב שווי השימוש. חישובים אלה 
משתמשים בתחזיות תזרימי מזומנים המבוססות על התקציב לשנת 2014 ועל תחזיות עתידיות לשנים שלאחר מכן. 
תזרימי מזומנים לתקופות נותרות מחושבים תוך שימוש בשיעור הצמיחה הרלבנטי, אשר מביא בחשבון את שיעור 
1.0% תזרימי המזומנים - הצמיחה הצפוי של הקטגוריה, הענף, הארץ והאוכלוסייה. אומדן שיעורי הצמיחה הינו 2.5% 
החזויים הוונו לפי שיעורי היוון של כ- 8.25% לאחר מס. שיעורי היוון אלה משקפים את הסיכון של היחידות מניבות 
מזומנים. בנוסף בוצעו ניתוחי רגישות לפי שיעורי היוון של 5% ו- 10% בחישוב השווי בר ההשבה.
באורים לדוחות הכספיים ליום 31 בדצמבר 2013 
השקעות בערבון מוגבל 
27 
באור 13 - נכסים בלתי מוחשיים (המשך) 
א. בדיקת ירידת ערך ליחידה מניבת מזומנים הכוללת מוניטין (המשך) 
2. הסכום בר ההשבה של היחידה מניבה תזרימי מזומנים, מטרנה נעשתה לפי שווי הוגן. הערכת השווי לבחינת ירידת 
הערך מצורפת לדוחות אלה בהתאם לתקנה 8 ב'. 
בהתבסס על בדיקות הערכות השווי ומאחר והסכומים בני ההשבה גבוהים מהשווי בספרים, לא נדרשת הפחתת ערך 
מוניטין. 
ב. מוניטין שנוצר עקב הענקת אופציות מכר לבעלי מניות מיעוט 
נכון ליום 31 בדצמבר 2013 , המוניטין המתייחס לאופציות מכר של המיעוט בחברות מאוחדות הסתכם לסך של 
344,063 אלפי ₪). - 337,804 אלפי ₪ ( 31 בדצמבר 2012 
באור 14 - הוצאות מראש וחכירה תפעולית 
א. הוצאות מראש 
ליום 31 בדצמבר 
מועד סיום 2012 2013 
אלפי ₪ אלפי ₪ 
37,669 38,806 אחרות 2014-2021 
ב. חכירות תפעוליות 
הקבוצה קשורה בהסכמי שכירות בגין מבנים ומחסנים ובגין כלי רכב ומלגזות. 
להלן דמי החכירה המינימלים העתידיים להיות משולמים בגין חוזי חכירה שאינם ניתנים לביטול: 
ליום 31 בדצמבר 
2012 2013 
אלפי ₪ אלפי ₪ 
56,814 עד שנה 62,062 
132,891 משנה ועד חמש שנים 103,579 
81,757 יותר מחמש שנים 90,852 
271,462 256,493 
לשנה שנסתיימה ביום 31 בדצמבר 
2011 2012 2013 
אלפי ₪ אלפי ₪ אלפי ₪ 
62,793 63,913 דמי החכירה שהוכרו כהוצאה 68,963
באורים לדוחות הכספיים ליום 31 בדצמבר 2013 
השקעות בערבון מוגבל 
28 
באור 15 - הלוואות ואשראי לזמן קצר מבנקים 
ההרכב: 
שיעורי ריבית משתנה 
שנתית ליום ליום 31 בדצמבר 
2012 2013 31 בדצמבר 2013 
% אלפי ₪ אלפי ₪ 
לא צמוד - 17,015 
31,378 29,212 בהצמדה למטבע חוץ (*) ליבור 1.50%+ 
חלויות שוטפות של הלוואות 
מבנקים (*) - 10,545 
58,938 29,212 
(*) כולל: 
בהצמדה ללירה שטרלינג - 2,110 
בהצמדה לאירו - 8,435 
31,378 בהצמדה לדולר של ארה"ב 29,212 
באור 16 - ספקים ונותני שירותים 
ההרכב: 
ליום 31 בדצמבר 
2012 2013 
אלפי ₪ אלפי ₪ 
681,750 חובות פתוחים 706,657 
4,198 המחאות ושטרות לפרעון 3,806 
685,948 710,463 
באור 17 - זכאים ויתרות זכות 
ההרכב: 
ליום 31 בדצמבר 
2012 2013 
אלפי ₪ אלפי ₪ 
97,844 עובדים ומוסדות בגין שכר 122,213 
21,095 מוסדות אחרים 23,256 
60,682 הפרשה לחופשה והבראה 59,337 
9,548 זכאים אחרים והוצאות לשלם 19,170 
189,169 223,976
באורים לדוחות הכספיים ליום 31 בדצמבר 2013 
השקעות בערבון מוגבל 
29 
באור 18 - התחייבויות לתאגידים בנקאיים 
ליום 31 בדצמבר 
2012 2013 
אלפי ₪ אלפי ₪ 
צמודות לירה שטרלינג - 5,480 
צמודות אירו - 8,435 
13,915 - 
בניכוי - חלויות שוטפות - 10,545 
3,370 - 
באור 19 - התחייבויות בגין רכישת חלק המיעוט בחברות מאוחדות 
ליום 31 בדצמבר 
2012 2013 
אלפי ₪ אלפי ₪ 
357,104 בגין אופציות מכר של מיעוט בחברות מאוחדות 342,514 
לבעלי מניות המיעוט בשותפות בה היא מחזיקה 51% . במידה ובעלי מניות (PUT) הקבוצה העניקה אופציות מכר 
המיעוט יממשו את האופציה שברשותם, תהיה הקבוצה מחויבת לרכוש מהם את החזקותיהם בשותפות. 
האופציות מוצגות בערכן ההתחייבותי כוללות מרכיב ודאי כגון הלוואה ודיבידנד שהוכרז וכן מרכיב בסך 319,743 
339,098 אלפי ₪), אשר חושב על ידי מעריך חיצוני, כדלקמן: אלפי ₪ (שנת 2012 
מחיר המימוש של האופציה נקבע לפי מכפיל 16 כפי שנקבע בהסכם, המוכפל ברווח הנקי הצפוי בעת המימוש, 
ובהתאמות מסוימות, ובתוספת התחייבות עתידית לחלוקת דיבידנדים ותזרימים נוספים חזויים המשולמים 
למיעוט עד ליום המימוש, בגין היותו שותף, בתקופה שעד למימוש האופציה. האופציות ניתנות למימוש על ידי 
המיעוט בשנה הרביעית ועד השנה השמינית וכן בשנה הארבע עשרה לעסקה. הסכומים מהוונים מהמועד 
.( האופטימאלי הניתן למימוש על ידי המיעוט, (שנת 2023 
כאמור לעיל הקבוצה מציגה את התחייבותה לרכוש את זכויות המיעוט כהתחייבות שנמדדת, לפי הערך הנוכחי של 
מחיר המימוש של האופציה. ההפרש בין ההתחייבות לחלקה של החברה בשווי המאזני נזקף למוניטין. 
בכל שנה מעדכנת החברה את צפי הרווח הנקי של השותפות לפיו מחושבת ההתחייבות. נכון לתאריך המאזן העדכון 
הביא לירידה בהתחייבות כנגד ירידה במוניטין בסך 6,259 אלפי ₪. הוצאות המימון שנרשמו ברווח והפסד, בגין 
14,077 אלפי ₪). ערך הזמן של הכסף, עבור התחייבות זו בשנת 2013 הסתכמו ל- 15,092 אלפי ₪ (שנת 2012
באורים לדוחות הכספיים ליום 31 בדצמבר 2013 
השקעות בערבון מוגבל 
30 
באור 20 - מסים על ההכנסה 
א. הטבות בתוקף החוק לעידוד השקעות הון 
מפעל מאושר 
. למספר מפעלים בקבוצה הוענק מעמד של "מפעל מאושר", בהתאם לחוק לעידוד השקעות הון, תשי"ט - 1959 
הכנסות, הנובעות מ"מפעל מאושר", זכאיות לשיעור מס מופחת במשך תקופה של 10-7 שנים, מהשנה בה היתה 
לחברה לראשונה הכנסה חייבת במס. תקופת ההטבות מוגבלת ל- 14 שנים, מהשנה שבה ניתן כתב האישור, או 
12 שנים, מן השנה שבה הופעל המפעל. מפעל המוותר על מענק השקעה זכאי לפטור ממס לתקופה של 10 שנים. 
הטבות המס מותנות בקיום תנאי האישור. 
אותם המפעלים שניצלו את הטבות המס ואשר נדרשו לבצע יצוא בשעורים שנקבעו כתנאי לניצול הטבות המס 
האמורות, עמדו לפחות בתנאים המינימליים. 
בסכום ההפרשה למסים על ההכנסה, קיבלו ביטוי הטבות מס בהתאם לשיעורי עמידתם של המפעלים בתנאים 
השונים של האישור. 
חלק מהמפעלים טרם החלו לנצל הטבות מס כלשהן. 
מפעל מוטב 
למפעל תעשייתי של החברה מעמד של "מפעל מוטב" בהתאם לחוק לעידוד השקעות הון, תשי"ט 1959- (להלן – "חוק 
העידוד"). החברה בחרה את שנת 2009 כשנת בחירה. 
הכנסות הנובעות מ"מפעל מוטב" פטורות ממס במשך תקופה של 10 שנים מהשנה בה הייתה לחברה לראשונה הכנסה 
חייבת במס. תקופת ההטבות במס לגבי המפעל המוטב אשר החלה בשנת 2010 עומדת להסתיים בשנת 2019 . ההטבות 
מותנות בקיום הקריטריונים הקבועים בחוק העידוד (שיעור יצוא וכדומה). עד כה עמדה החברה בתנאים אלה. 
תיקון החוק לעידוד השקעות הון, התשי"ט – 1959 
ביום 29 בדצמבר 2010 אושר בכנסת חוק המדיניות הכלכלית לשנים 2012-2011 , אשר במסגרתו תוקן החוק 
לעידוד השקעות הון התשי"ט- 1959 (להלן: "התיקון לחוק"). התיקון לחוק פורסם בספר החוקים ביום 6 בינואר 
2011 . תוקפו של התיקון לחוק הוא מיום 1 בינואר 2011 והוראותיו יחולו ביחס להכנסה מועדפת שהופקה או 
שנצמחה בידי חברה מועדפת, כהגדרתן בתיקון לחוק, בשנת 2011 ואילך. החברה רשאית לא לעבור לתחולת 
התיקון לחוק העידוד ולהישאר בתחולת החוק, טרם תיקונו, עד תום תקופת ההטבות. שנת הבחירה האחרונה 
. שהחברה רשאית לבחור הינה שנת המס 2012 ובתנאי שההשקעה המזערית המזכה החלה בשנת 2010 
במסגרת התיקון נקבע כי למסלול המענקים יהיו זכאיות חברות באזור פיתוח א' בלבד והן יהיו זכאיות ליהנות 
הן ממסלול זה והן ממסלול הטבות המס במקביל. כמו כן, בוטלו מסלולי הטבות המס הקיימים (מסלול הפטור 
ממס, מסלול "אירלנד" ומסלול "אסטרטגי") ובמקומם נקבעו שני מסלולי מס חדשים, מפעל מועדף ומפעל 
מועדף מיוחד, שעיקרם שיעור מס אחיד ומופחת על כלל הכנסות החברה הזכאיות להטבות, כדלקמן: לגבי מפעל 
7% באזור - 10% באזור פיתוח א' ו- 15% בשאר הארץ, בשנות המס 2013-2014 - מועדף- בשנות המס 2011-2012 
פיתוח א' ו- 12.5% בשאר הארץ ובשנת המס 2015 ואילך - 6% באזור פיתוח א' ו- 12% בשאר הארץ. ביום 5 
באוגוסט 2013 , עבר בכנסת חוק לשינוי סדרי עדיפויות לאומיים (תיקוני חקיקה להשגת יעדי התקציב לשנים 
2013 ו- 2014 ), התשע"ג- 2013 , אשר ביטל את מתווה הפחתת המס כך שהחל משנת המס 2014 שיעור המס על 
הכנסה מועדפת יהיה 9% באזור פיתוח א' ו- 16% בשאר הארץ. בנוסף, מפעל העומד בהגדרת "מפעל מועדף 
מיוחד", זכאי לתקופת הטבות של 10 שנים רצופות, לשיעור מס מופחת של 5% אם הוא ממוקם באזור פיתוח א' 
או לשיעור מס מופחת של 8% אם אינו ממוקם באזור פיתוח א'. 
עוד נקבע בתיקון לחוק, כי לא יחול מס על דיבידנד שיחולק מתוך הכנסה מועדפת לבעלת מניות שהיא חברה, הן 
ברמת החברה המחלקת והן ברמת בעלי המניות. שיעור מס של 15% יחול עדיין על דיבידנד שיחולק מתוך 
הכנסה מועדפת לבעל מניות יחיד או לתושב חוץ בכפוף לאמנות למניעת כפל מס, כלומר אין שינוי ביחס לחוק 
הקיים. כמו כן, בתיקון לחוק נקבעה הקלה (להלן: "ההקלה") בנוגע למס המשולם על דיבידנד שמתקבל על ידי 
חברה ישראל מרווחי מפעל מאושר/חלופי/מוטב, שנצמחו בתקופת ההטבות לפי נוסח החוק טרם תיקונו, אם 
החברה המחלקת הדיבידנד תודיע לרשויות המס עד ליום 30 ביוני 2015 על החלת הוראות התיקון לחוק 
והדיבידנד יחולק לאחר מועד ההודעה (חלוקה מרווחי המפעל הפטור תחוייב במס בחברה המחלקת). 
ב. הטבות בתוקף חוק עידוד התעשיה 
החברה הינה "חברה תעשייתית" כמוגדר בחוק עידוד התעשיה (מסים) תשכ"ט - 1969 וזכאית בהתאם לכך 
לפחת בשיעורים מוגדלים ולהטבות נוספות.
באורים לדוחות הכספיים ליום 31 בדצמבר 2013 
השקעות בערבון מוגבל 
31 
באור 20 - מסים על ההכנסה (המשך) 
ג. תיקונים לפקודת מס הכנסה 
.24% 25% ו- 2011 2012 ,25% 1. שיעורי המס בישראל הינם: 2013 
2. ביום 5 באוגוסט 2013 , עבר בכנסת החוק לשינוי סדרי עדיפויות לאומיים (תיקוני חקיקה להשגת יעדי 
התקציב לשנים 2013 ו- 2014 ) התשע"ג- 2013 , אשר קבע, בין היתר העלאת שיעור מס החברות, החל משנת 
. 2014 ואילך בשיעור של 1.5% כך שיעמוד על 26.5% 
יתרות המיסים הנדחים ליום 31 בדצמבר 2013 חושבו בהתאם לשיעורי המס החדשים כפי שנקבע בחוק 
לשינוי סדרי עדיפויות לאומיים, לפי שיעור המס הצפוי לחול במועד ההיפוך השפעת השינוי על הדוחות 
הכספיים ליום 31 בדצמבר 2013 מתבטאת בגידול ההתחייבות בגין מיסים נדחים בסך 4,095 אלפי ₪ כנגד 
הוצאות מיסים נדחים בדוח רווח והפסד, בסכום זהה. 
3. ביום 4 בפברואר 2010 פורסם ברשומות חוק לתיקון פקודת מס הכנסה (מספר 174 ) - הוראת שעה לשנות 
2008 ו- 2009 . אשר קבע כי תקן חשבונאות ישראלי מספר 29 בדבר אימוץ תקני דיווח כספי , המס 2007 
לא יחול לצורך קביעת ההכנסה החייבת בשנים האמורות אף אם יושם לצורך עריכת ,(IFRS) בינלאומי 
הדוחות הכספיים. ביום 12 בינואר 2012 פורסם חוק לתיקון לפקודת מס הכנסה (מספר 188 ) אשר 
במסגרתו תוקנה הוראת השעה, כך שתקן 29 לא יחול גם בקביעת ההכנסה החייבת בשנות המס 2010 ו- 
.2011 
הוראת השעה בהתייחס לקביעת ההכנסה החייבת לשנים 2007-2011 אינה משפיעה על הדוחות הכספיים. 
ד. מסים נדחים בגין הפרשים זמניים כדלקמן: 
הפרשה 
חופשה הטבות לחובות 
והבראה לעובדים מסופקים רכוש קבוע אחרים סך הכל 
אלפי ₪ אלפי ₪ אלפי ₪ אלפי ₪ אלפי ₪ אלפי ₪ 
(43,196) 22,105 (85,490) 4,128 4,913 11,148 יתרה ליום 1 בינואר 2012 
6,305 14,803 (7,069) (381) (1,112) שינויים שנזקפו לרווח והפסד 64 
(2,515) (1,005) (10) (5) (1,493) ( שינויים שנזקפו לרווח כולל אחר ( 2 
(39,406) 35,903 (92,569) 3,742 2,308 11,210 יתרה ליום 31 בדצמבר 2012 
7,596 11,537 (9,891) 1,540 14 שינויים שנזקפו לרווח והפסד 4,387 
(2,722) (2,571) 1,070 (9) (1,204) ( שינויים שנזקפו לרווח כולל אחר ( 8 
(34,532) 44,869 (101,390) 5,273 1,118 15,589 יתרה ליום 31 בדצמבר 2013 
ה. מסים על הכנסה הכלולים בדוח רווח והפסד: 
לשנה שנסתיימה ביום 31 בדצמבר 
2011 2012 2013 
אלפי ₪ אלפי ₪ אלפי ₪ 
117,420 123,318 מסים שוטפים 134,080 
שינוי במסים נדחים 
(9,719) (6,305) ( שוטף ( 11,691 
18,963 - שינוי שיעורי המס 4,095 
126,664 117,013 126,484
באורים לדוחות הכספיים ליום 31 בדצמבר 2013 
השקעות בערבון מוגבל 
32 
באור 20 - מסים על ההכנסה (המשך) 
ו. לחברה שומות מס סופיות עד וכולל שנת המס 2011 . החברות המוחזקות קיבלו שומות מס סופיות לשנים שונות עד 
וכולל שנת המס 2009 , חברות מוחזקות מסוימות טרם נישומו מיום היווסדן. 
ז. התאמה בין סכום המס התיאורטי, שהיה חל אילו הרווח לפני מסים על ההכנסה היה מתחייב במס לפי שעור המס 
הסטטוטורי החל בישראל, לבין מסים על ההכנסה הכלולים בדוחות רווח והפסד: 
לשנה שנסתיימה ביום 31 בדצמבר 
2011 2012 2013 
שעור המס הסטטוטורי הרגיל 24% 25% 25% 
אלפי ₪ אלפי ₪ אלפי ₪ 
112,234 118,589 מס תיאורטי לפי שעורי המס החלים על החברה 125,729 
הגדלה (הקטנה) בחבות המס בשל: - 
6,189 6,335 הוצאות לא מוכרות 5,718 
18,963 - השפעת שינוי שעורי המס 4,095 
(10,164) (8,784) ( הכנסות בשיעורי מס שונים ( 9,503 
הפרשי עיתוי והפסדים לצרכי מס בגינם לא נזקפו מסים 
(1,069) 76 נדחים בשנים קודמות 1,319 
511 797 ( אחרים ( 874 
126,664 117,013 מסים על ההכנסה הכלולים בדוח רווח והפסד 126,484 
ח. לקבוצה יתרת הפסדים לצורכי מס המועברים לשנה הבאה בסך 134,228 אלפי ₪ בגינם הכירה החברה בנכס 
מיסים נדחים כיוון שלדעת ההנהלה צפויים שיהיו בעתיד רווחים חייבים במס שכנגדם ניתן יהיה לנצל 
הפסדים אלו. 
ט. שינוי מבנה 
הקבוצה החליטה על שינוי במבנה החברות שבמסגרתו מפעל המאפה של בונז'ור ( 1986 ) בע"מ (להלן- "בונז'ור") מוזג 
לתוך כלל מערך הייצור של אסם השקעות (להלן - "אסם"). מאחר ובונ'זור הוחזקה באמצעות עלי דגן בע"מ (להלן- 
"עלי דגן") ומגן בית מאפה וקפה בע"מ (להלן- "מגן בית מאפה"), בוצעו שני מהלכים מקדמיים טרם מהלך מיזוג 
בונז'ור לתוך אסם כמיזוג חברות אם ובת כדלקמן: 
1. בשלב הראשון, מגן בית מאפה העבירה את כל החזקותיה במניות בונז'ור לידי בונז'ור, בפטור ממס בהתאם 
לסעיף 104 ג' לפקודת מס הכנסה (נוסח חדש), התשכ"א 1961- (להלן "הפקודה") ובהתאם להוראות חוק 
החברות, התשנ"ט 1999- (להלן "חוק החברות"). 
2. בשלב השני, עלי דגן העבירה את כל החזקותיה במניות בונז'ור לידי אסם, בפטור ממס לפי סעיף 104 ג' לפקודה 
ובהתאם להוראות חוק החברות. 
3. בשלב השלישי ומיד בסמוך לאחר העברות המתוארות בסעיפים 1 ו- 2 לעיל, מוזגה בונז'ור לתוך אסם בהתאם 
לסעיף 103 ב' לפקודה באופן בו העבירה בונז'ור את כל נכסיה התחייבויותיה ללא תמורה, תוך חיסולה של 
בונז'ור ללא פירוק. 
4. שינוי המבנה הותנה בין היתר בקבלת אישור מראש מרשות המסים לביצוע שינוי המבנה כאמור לעיל בפטור 
ממס ובאישור מרכז השקעות. בימים 26 בינואר 2012 ו- 26 ביולי 2012 התקבלו האישורים מרשות המסים 
. לשינוי המבנה בפטור ממס, אישור מרכז השקעות התקבל בדצמבר 2012
באורים לדוחות הכספיים ליום 31 בדצמבר 2013 
השקעות בערבון מוגבל 
33 
באור 21 - התחייבויות מותנות, התקשרויות ושעבודים 
א. התחייבויות מותנות והתקשרויות 
1. שיפוי וביטוח דירקטורים ונושאי משרה - 
(א) בתקנות ההתאגדות של החברה נקבעה מדיניות לשיפוי וביטוח של נושאי משרה בהתאם לדין. בהתאם 
לתקנותיה מבטחת החברה את אחריותם של הדירקטורים ונושאי משרה, הכל בכפוף להוראות הדין. 
(ב) החברה התחייבה לשפות מנהל לשעבר של חברה מאוחדת בחו"ל לתקופת זמן בלתי מוגבלת כנגד כל 
תביעות, התחייבויות, תשלומים או עלויות, העלולים לנבוע מהיותו דירקטור של החברה המאוחדת או 
מכל סיבה שהיא הנובעת מחברותו בהנהלת החברה המאוחדת, בכפוף להוראות החוק האנגלי ולסמכות 
השיפוטית באנגליה או בישראל, שתבחר על ידו. 
2. חברות הקבוצה קיבלו מענקי השקעה על פי החוק לעידוד השקעות הון. במידה והחברות לא תעמודנה בתנאים 
שנקבעו יהא עליהן להחזירם, כולם או מקצתם, בצרוף ריבית והצמדה מיום קבלתם. 
3. לחברות הקבוצה הסכמים עם חברות בעלות עניין להפצת מוצריהן בארץ ולרשיון בלעדי לשימוש בידע 
ובמותגים שלהן בישראל. על פי ההסכמים, התחייבו חברות הקבוצה לשלם לחברות בעלות העניין תמלוגים 
2.5% ממכירות של מוצריהן. - בשיעור שנתי של 5% 
4. לחברה הסכם עם חברה בעלת עניין לקבלת סיוע כללי הכולל בין היתר סיוע בתחום הייצור, שיווק והפצה, 
מחשוב, לוגיסטיקה, שינוע והדרכת עובדים. על פי ההסכם התחייבה החברה לשלם לחברה בעלת העניין, בגין 
קבלת הסיוע כאמור, 1,000 אלפי פרנקים שוויצרים לכל שנה קלנדרית. 
בישראל, שמטרתו קבלת שירותי מחשוב GLOBE - 5. לחברה הסכם עם חברה בעלת עניין בנוגע ליישום פרויקט ה 
ויצירת סטנדריזציה עולמית בין כל מערכות המחשב (חומרה ותוכנה) וכן יישום תהליכי העבודה האופטימליים 
במסגרת ההסכם התחייבה החברה בעלת העניין כי הוצאות המחשוב השנתיות לא יעלו על .(BEST PRACTICES) 
1.5% מהמכירות ברוטו המאוחדות בניכוי החזרות והנחות מסחריות על בסיס רב שנתי. 
הסכום אשר עלה על 1.5% בשנת 2013 , אשר עשוי להילקח בחשבון בחישוב הרב שנתי בעתיד (אם ובמידה והוצאות 
המחשוב ירדו מתחת ל - 1.5% לשנה) הסתכם ל- 7,322 אלפי ₪, ובמצטבר 80,033 אלפי ₪. 
6. לחברות הקבוצה ערבויות שניתנו על ידי חברות הקבוצה לצדדים שלישיים בסך כולל של 8,454 אלפי ₪, מדובר 
בערבויות כנגד התחייבות חברות הקבוצה. 
7. ליום 31 בדצמבר 2013 לחברות הקבוצה התקשרויות לרכישת רכוש קבוע בסך של 8,040 אלפי ₪. 
8. במסגרת הסכמים שנחתמו בין חברה מאוחדת לבין בעלי מניות אחרים שלה הוסכם כי החברה הנ"ל תרכוש מבעלי 
המניות שירותי כח אדם ושרותים שונים לצורך תפעולה השוטף. 
24,844 אלפי ₪). - בשנת החשבון רכשה החברה שרותים כאמור בסך של 23,388 אלפי ₪ (שנת 2012 
9. עומדות נגד חברות הקבוצה תביעות יצוגיות או בקשות לאישור תביעות יצוגיות שלהערכת החברה בהסתמך על חוות 
דעת יועציה המשפטיים, סיכוייהן קלוש או שהחברות ידרשו לשאת במשאבים כלכליים זניחים. ליום 31 בדצמבר 
2013 נכללה הפרשה בסך של 250 אלפי ₪. ( 2012 – לא נכללה הפרשה). 
נגד החברה הוגשו תביעות בנושאי יחסי עבודה על סך כולל של כ- 18 מליון ₪. להערכת החברה בהסתמך על חוות 
דעת יועציה המשפטיים החברה לא תידרש לשאת במשאבים כלכליים מעבר להפרשה הכלולה בדוחות הכספיים בסך 
161 אלפי ₪). - 488 אלפי ₪ (שנת 2012 
שהעניקה הקבוצה לבעלי מניות המיעוט בשותפות בה היא מחזיקה 51% (ראה גם (PUT) 10 . במקביל לאופציות המכר 
לרכישת מניות המיעוט. (CALL) באור 19 ), קיבלה הקבוצה אופצית רכש 
נקבע על פי המכפיל כפי שנקבע בהסכם, המוכפל ברווח הנקי הצפוי בעת CALL - מחיר המימוש של אופצית ה 
המימוש, ובהתאמות מסוימות. האופציות ניתנות למימוש על ידי הקבוצה בתום השנה העשירית לעסקה (לפי מכפיל 
.( 21 ), בתום השנה השנים עשר (לפי מכפיל 18 ) ובתום השנה החמש עשרה (לפי מכפיל 16
באורים לדוחות הכספיים ליום 31 בדצמבר 2013 
השקעות בערבון מוגבל 
34 
באור 21 - התחייבויות מותנות, התקשרויות ושעבודים (המשך) 
א. התחייבויות מותנות והתקשרויות (המשך) 
11 . ביום 28 במאי 2008 אישר דירקטוריון החברה תוכנית מענקים לעידוד ושימור מנהלים בקבוצת אסם (שאינם בעלי 
שליטה או קרובים להם, ושאינם דירקטורים בחברה). התכנית אושרה ל- 3 שנים ( 2008-2010 ). על פי התכנית 
העניקה החברה "אופציות פנטום" למספר מנהלים בכירים בחברה כך שהמענק שתיתן החברה (אם וככל שתיתן) 
יתבסס על הפער בין המחיר הממוצע של מניית החברה במשך 2 חודשים לפני מועד הענקת האופציה ובין המחיר 
הממוצע של מניית החברה במשך 2 חודשים לפני מועד מימוש האופציה. תקופת ההבשלה של כל "אופציה" (תקופת 
עומדת על שלוש שנים מחודש מאי בכל אחת משנות התכנית. ערך האופציה חושב על בסיס נוסחת המודל (Vesting 
הבינומי. 
ביום 25 במאי 2011 אישר דירקטוריון החברה את המשכה של תוכנית מענקים לעידוד ושימור מנהלים בקבוצת אסם 
(שאינם בעלי שליטה או קרובים להם, ושאינם דירקטורים בחברה) לתקופה של 3 שנים נוספות ( 2011-2013 ). על פי 
התכנית תעניק החברה "אופציות פנטום" למספר מנהלים בכירים בחברה כך שהמענק שתיתן החברה (אם וככל 
שתיתן) יתבסס על הפער בין המחיר הממוצע של מניית החברה במשך 2 חודשים לפני מועד הענקת האופציה ובין 
המחיר הממוצע של מניית החברה במשך 2 חודשים לפני מועד מימוש האופציה. תקופת ההבשלה של כל "אופציה" 
עומדת על שלוש שנים מחודש מאי בכל אחת משנות התכנית. ערך האופציה מחושב על בסיס (Vesting (תקופת 
נוסחת המודל הבינומי. במסגרת מדיניות התגמול של הקבוצה נקבע על תקרה ולפיה החל מהאופציות המחולקות 
משנת 2013 ואילך שווי האופציה לא יעלה יותר מאשר פי 2 משווי ההטבה במועד ההקצאה, צמוד למדד המחירים 
לצרכן. 
החברה כללה בדוחות רווח והפסד הוצאה בגין שינוי שווי ההטבה לאותם מנהלים אשר חושבה על ידי מעריך חיצוני 
2012 ו- 2011 בהתאמה. , בסכום של 21,243 אלפי ₪, 10,952 אלפי ₪, 1,721 אלפי ₪ לשנים 2013 
ב. שעבודים ובטול שעבודים 
1. לחברה הסכם שיעבוד שלילי עם בנקים, לפיו במידה ותקבל החברה אשראי בנקאי לא ירשמו שעבודים לטובת 
הבנקים כל עוד תעמוד החברה בהתחייבויות ובאמות מידה פיננסיות שנקבעו. על פי אמות המידה הפיננסיות: 
. (א) חלקו של ההון העצמי של החברה מתוך סך המאזן לא יפחת מ 35%- 
(ב) סכום הרווח השנתי מפעילויות שוטפות לפני מס, בממוצע דו-שנתי, לא יפחת מ 1%- מסך כל המכירות. כמו כן 
מוסכם שאם הרווח הממוצע יהיה נמוך מ 1%- במשך שנתיים וחלקו של ההון העצמי מסך כל המאזן יהיה גבוה 
מ 45%- , עדין ראו בכך עמידה בתנאי ההתחייבות. 
בנוסף, לחברה התחייבויות נוספות שעיקרן כמפורט להלן: 
(א) התחייבות לאי-תשלום דיבידנד מרווח שנים קודמות כל עוד רמת הרווחיות לפני מס בשנת החלוקה נמוכה מ - 
2% מהמכירות (בממוצע דו שנתי); בנסיבות אלו תוכל החברה בכל זאת לחלק דיבידנד מרווחי השנה השוטפת 
ובתנאי שלא יעלה על 50% מרווחי השנה השוטפת. 
(ב) התחייבות שלא לרשום שעבודים על נכסי החברה למעט שעבודים מסוימים (כגון: לטובת מדינת ישראל או 
לצורך מימון רכישת נכס חדש). 
(ג) התחייבות של החברה לבטח את נכסיה. 
(ד) התחייבות לעמוד במגבלות מסוימות בקשר עם מכירת נכסים קבועים. 
(ה) כל אחת מחברות הקבוצה החתומות על הסכם השעבוד השלילי תחתום, במידה ותתבקש על ידי הבנק על 
ערבות להבטחת כל הסכומים שיגיעו לבנקים מכל אחת מהחברות. 
במידה והחברה לא תעמוד בהתחייבויות ובאמות המידה הפיננסיות היא תיצור שעבודים להנחת דעתם של הבנקים 
על אותם נכסים שנכון להיום אינם משועבדים בשל הסכם השעבוד השלילי. 
במקרים קיצוניים של כינוס נכסים, פירוק, הפסקת פעילות, עיקולים משמעותיים והוצאה לפועל, הבנקים יהיו 
רשאים (אך לא חייבים) להעמיד לפירעון מיידי את האשראי. 
נכון למועד המאזן החברה עומדת בהתחייבויות ובאמות המידה הפיננסיות שנקבעו. 
2. לחברה מאוחדת הסכם שיעבוד שלילי עם בנקים לפיו במידה ותקבל אשראי בנקאי לא ירשמו שיעבודים 
לטובת הבנקים כל עוד תעמוד בהתחיבויותיה ובאמות המידה הפיננסיות ולפיהן נקבע בין היתר, שההון 
העצמי המוחשי לא יפחת מ- 25% מסך המאזן של החברה המאוחדת וכי סך כל החובות למוסדות מימון לא 
יעלה על 30% מסך המאזן שלה. 
נכון למועד המאזן עומדת החברה המאוחדת בהתחיבויות ובאמות המידה הפיננסיות שנקבעו. 
3. חברות מאוחדות רשמו שעבוד שוטף לטובת מדינת ישראל על כל נכסיהן להבטחת תנאים הקשורים במענקי 
השקעה שנתקבלו בגין השקעותיהן ב"מפעלים מאושרים". 
4. להבטחת התחייבותה של חברה מאוחדת בצ'כיה לתאגיד בנקאי, שיעבדה החברה המאוחדת בצ'כיה את נכסיה 
לטובת התאגיד הבנקאי וכן נתנה החברה ערבות לטובת התאגיד הבנקאי.
באורים לדוחות הכספיים ליום 31 בדצמבר 2013 
השקעות בערבון מוגבל 
35 
באור 22 - צדדים קשורים ובעלי עניין 
א. עסקאות עם חברות בקבוצת נסטלה 
לשנה שנסתיימה ביום 31 בדצמבר 
2011 2012 2013 
אלפי ₪ אלפי ₪ אלפי ₪ 
247,001 273,923 עלות המכירות 251,376 
15,395 21,925 הוצאות הנהלה וכלליות 24,403 
721 774 הכנסות אחרות 725 
העסקאות הינן בתנאים מסחריים רגילים. 
ב. יתרות עם חברות בקבוצת נסטלה 
לשנה שנסתיימה ביום 31 בדצמבר 
2012 2013 
אלפי ₪ אלפי ₪ 
102,258 ספקים 73,612 
914 חייבים ויתרות חובה 2,875 
1,458 אלפי ₪). - יתרת חייבים ויתרות חובה הגבוהה ביותר בשנת 2013 הייתה 2,875 אלפי ₪ ( 2012 
ג. התקשרויות עם צדדים קשורים ובעלי עניין 
. ראה באורים 21 א. 3. עד 21 א. 5 
ד. הטבות לאנשי מפתח ניהוליים (לרבות דירקטורים) 
דירקטורים ומנהלים בכירים בקבוצה זכאים, בנוסף לשכר, להטבות שלא במזומן כגון רכב, טלפון נייד וכו'. 
הקבוצה מפקידה עבורם כספים במסגרת תכנית הטבה מוגדרת לאחר סיום העסקה. 
הטבות בגין העסקת אנשי מפתח ניהוליים (לרבות דירקטורים) כוללות: 
לשנה שנסתיימה ביום 31 בדצמבר 
2011 2012 2013 
מס' אנשים סכום מס' אנשים סכום מס' אנשים סכום 
אלפי ₪ אלפי ₪ אלפי ₪ 
11,322 4 13,616 4 הטבות לעובדים לטווח קצר 13,472 2 
הטבות לאחר סיום העסקה 138 4 251 4 133 2 
11,460 4 13,867 4 13,605 2 
הטבות בגין אנשי מפתח ניהוליים (לרבות דירקטורים) שאינם מועסקים בחברה: 
לשנה שנסתיימה ביום 31 בדצמבר 
2011 2012 2013 
מס' אנשים סכום מס' אנשים סכום מס' אנשים סכום 
אלפי ₪ אלפי ₪ אלפי ₪ 
1,352 4 1,677 7 1,827 8 
סך הטבות בגין דירקטור שאינו 
מועסק 
מדיניות התגמול למנהלים הבכירים כוללת, בין השאר, בונוס שנתי המבוסס על עמידה ביעדים השנתיים ואופציות 
. פאנטום כמפורט בבאור 21 א. 11
באורים לדוחות הכספיים ליום 31 בדצמבר 2013 
השקעות בערבון מוגבל 
36 
באור 23 - פרוטים לסעיפי דוח רווח והפסד 
א. הכנסות ממכירות 
1. מקומיות ויצוא: 
לשנה שנסתיימה ביום 31 בדצמבר 
2011 2012 2013 
אלפי ₪ אלפי ₪ אלפי ₪ 
3,320,925 3,423,047 מכירות מקומיות 3,560,200 
639,952 668,546 מכירות בחו"ל 629,847 
3,960,877 4,091,593 מכירות 4,190,047 
2. מוצרים מייצור עצמי ומוצרים אחרים: 
לשנה שנסתיימה ביום 31 בדצמבר 
2011 2012 2013 
אלפי ₪ אלפי ₪ אלפי ₪ 
2,869,097 2,953,838 מוצרים מייצור עצמי 2,996,638 
1,091,780 1,137,755 מוצרים אחרים 1,193,409 
3,960,877 4,091,593 מכירות 4,190,047 
3. לקבוצה לקוח אחד אשר היקף המכירות אליו הינו יותר מ- 10% מכלל המכירות. סך המכירות ללקוח, הינו 
כדלקמן: 
לשנה שנסתיימה ביום 31 בדצמבר 
2011 2012 2013 
אלפי ₪ אלפי ₪ אלפי ₪ 
566,026 628,480 לקוח 646,617 
ב. עלות המכירות 
לשנה שנסתיימה ביום 31 בדצמבר 
2011 2012 2013 
אלפי ₪ אלפי ₪ אלפי ₪ 
עלות מכר מוצרים מיצור עצמי: 
910,259 952,529 חומרים שנצרכו 913,258 
311,086 319,981 שכר ונלוות 327,302 
297,151 308,763 הוצאות ייצור אחרות 305,769 
70,816 73,197 פחת והפחתות 74,711 
1,589,312 1,654,470 1,621,040 
19,143 (12,622) קיטון (גידול) במלאי תוצרת גמורה ותוצרת בעיבוד 9,106 
1,608,455 1,641,848 סה"כ עלות מכר מוצרים מיצור עצמי 1,630,146 
701,027 770,150 עלות מכר מוצרים אחרים 796,190 
2,309,482 2,411,998 2,426,336
באורים לדוחות הכספיים ליום 31 בדצמבר 2013 
השקעות בערבון מוגבל 
37 
באור 23 - פרוטים לסעיפי דוח רווח והפסד (המשך) 
ג. הוצאות מכירה, שיווק והפצה 
לשנה שנסתיימה ביום 31 בדצמבר 
2011 2012 2013 
אלפי ₪ אלפי ₪ אלפי ₪ 
299,862 309,249 הוצאות שכר ונלוות 320,707 
33,783 32,405 פחת והפחתות 32,507 
249,313 224,103 פרסום וקדום מכירות 239,674 
82,958 92,722 עמלות 94,317 
96,588 103,644 הוצאות רכב והובלה 104,589 
116,255 123,487 אחרות 137,039 
878,759 885,610 928,833 
ד. הוצאות הנהלה וכלליות 
לשנה שנסתיימה ביום 31 בדצמבר 
2011 2012 2013 
אלפי ₪ אלפי ₪ אלפי ₪ 
147,632 156,210 הוצאות שכר ונלוות 177,374 
37,748 43,923 פחת והפחתות 40,270 
6,129 7,105 אחזקת מבנים 6,715 
(273) 2,464 חובות מסופקים ואבודים 7,901 
79,292 73,260 אחרות 74,060 
270,528 282,962 306,320 
ה. הכנסות (הוצאות) אחרות, נטו 
לשנה שנסתיימה ביום 31 בדצמבר 
2011 2012 2013 
אלפי ₪ אלפי ₪ אלפי ₪ 
1,017 (503) ( רווח (הפסד) ממימוש רכוש קבוע ( 155 
- (4,759) ( הוצאות ארגון מחדש ( 3,262 
(3,847) (1,768) אחרות 532 
(2,830) (7,030) (2,885) 
ו. הכנסות והוצאות מימון 
לשנה שנסתיימה ביום 31 בדצמבר 
2011 2012 2013 
אלפי ₪ אלפי ₪ אלפי ₪ 
5,478 1,220 הוצאות בגין התחייבויות ואשראי לזמן קצר 6,583 
1,073 2,940 הוצאות בגין התחייבויות לתאגידים בנקאיים 2,179 
שינוי בשווי הוגן של נכסים פיננסים דרך רווח והפסד - - 460 
- 3,958 הפרשי שער, נטו 799 
34,527 25,608 הוצאות בגין התחייבויות לאופציות מכר של המיעוט 15,092 
41,538 33,726 סה"כ הוצאות מימון 24,653 
(3,102) (2,817) ( הכנסות ריבית מפיקדונות בבנקים ( 1,512 
( הפרשי שער, נטו - - ( 6,802 
- (1,271) ( שינוי בשווי הוגן של נכסים פיננסים דרך רווח והפסד ( 380 
(9,904) (4,088) ( סה"כ הכנסות מימון ( 1,892 
31,634 29,638 הוצאות מימון נטו 22,761
באורים לדוחות הכספיים ליום 31 בדצמבר 2013 
השקעות בערבון מוגבל 
38 
באור 24 - מכשירים פיננסיים 
א. כללי 
האחריות המקיפה לבסס את מסגרת ניהול הסיכונים של הקבוצה ולפקח עליה מצויה בידי ההנהלה. ההנהלה 
אחראית על פיתוח ומעקב אחר מדיניות ניהול הסיכונים של הקבוצה. 
מדיניות ניהול הסיכונים של הקבוצה גובשה בכדי לזהות ולנתח את הסיכונים העומדים בפני הקבוצה, לקבוע 
הגבלות הולמות לסיכונים ובקרות ולפקח על הסיכונים והעמידה בהגבלות. המדיניות והשיטות לניהול 
הסיכונים נסקרות באופן שוטף בכדי לשקף שינויים בתנאי השוק ובפעילות הקבוצה. 
1. גורמי סיכון פיננסי 
פעילויות החברה חושפות אותה לסיכונים פיננסיים שונים, כגון סיכון שוק (לרבות סיכון מטבע, סיכון שווי 
הוגן בגין שיעור ריבית וסיכון מחיר), סיכון אשראי, סיכון נזילות וסיכון תזרים מזומנים בגין שיעור ריבית. 
תוכנית ניהול הסיכונים הכוללת של החברה מתמקדת בפעולות להשגת מינימום השפעות שליליות אפשריות על 
הביצועים הפיננסיים של החברה. החברה משתמשת גם במכשירים פיננסיים נגזרים לגדר חשיפות מסוימות 
לסיכונים. 
בבאור זה ניתן מידע איכותי ומידע כמותי בדבר החשיפה של הקבוצה לכל אחד מהסיכונים שלעיל, מטרות 
הקבוצה מדיניות ותהליכים לגבי מדידה וניהול של הסיכון. 
א) סיכוני אשראי 
סיכון אשראי הוא סיכון להפסד כספי שיגרם לקבוצה באם לקוח או צד שכנגד למכשיר פיננסי לא יעמוד 
בהתחייבויותיו החוזיות, והוא נובע בעיקר מחובות של לקוחות וחייבים אחרים,מהלוואות שניתנו לצדדים 
שלישיים. מכירות הקבוצה ללקוחותיה מתבצעות ברובן באשראי לקוחות כמקובל בשוק. חלקו של האשראי 
מובטח בביטוח אשראי, בביטחונות שונים וביטוח כרטיסי אשראי באמצעות חברות כרטיסי אשראי, ליתרת 
האשראי לשוק הפרטי שאינה מכוסה בבטחונות קיים פיזור רחב של לקוחות המקטין את הסיכון. האשראי 
ללקוחות בשוק הקמעונאי המאורגן, בחלקו אינו מובטח ומתרכז במספר מצומצם של לקוחות שהיקף 
המכירות של הקבוצה להם הוא גדול, יחד עם זאת מדובר בלקוחות שיש להם היסטוריית אשראי נאותה. 
ההנהלה בוחנת באופן שוטף הערכות אשראי של לקוחות ובדוחות הכספיים נכללות הפרשות לחובות מסופקים 
המשקפות בצורה נאותה לפי הערכת ההנהלה, את ההפסד הגלום בחובות שגבייתם מוטלת בספק. 
ב) סיכון נזילות 
סיכון נזילות הוא הסיכון שהקבוצה תתקשה לעמוד במחויבויות הקשורות בהתחייבויותיה הפיננסיות 
המסולקות על ידי מסירת מזומן או נכס פיננסי אחר. גישת הקבוצה לניהול סיכוני הנזילות שלה היא להבטיח 
ככל הניתן, את מידת הנזילות המספקת לעמידה בהתחייב בתנאים רגילים ובתנאי לחץ מבלי שיגרמו לה 
הפסדים בלתי רצויים או פגיעה במוניטין. 
הקבוצה משתמשת בתמחיר מבוסס פעילות לצורך תמחור מוצריה ושירותיה, דבר המסייע לה לעקוב אחר 
דרישות תזרים המזומנים ולמקסם את תשואת המזומנים מהשקעותיה. הקבוצה מוודאת קיומם של רמות 
מספקות של מזומנים על פי דרישה לתשלום הוצאות התפעול הצפויות לתקופת התחזית, כולל הסכומים 
הדרושים לעמידה בהתחייבויות הפיננסיות, האמור אינו מביא בחשבון את ההשפעה הפוטנציאלית של 
תרחישים קיצוניים שאין אפשרות סבירה לצפותם, כגון אסונות טבע. 
עם אופק דרוג יציב. AAA החברה דורגה על ידי חברת מידרוג כחברה בעלת דרוג אשראי של 
דירוג זה מעיד על רמת הנזילות והאיתנות הפיננסית של הקבוצה. 
ג) סיכוני שוק 
סיכון שוק הוא הסיכון ששינויים במחירי שוק, כגון שערי חליפין של מטבע חוץ, מדד המחירים לצרכן, שעורי 
ריבית ומחירים של מכשירים הוניים, ישפיעו על הכנסות הקבוצה או על ערך החזקותיה במכשירים פיננסיים. 
מטרת ניהול סיכוני השוק הינה לנהל ולפקח על החשיפה לסיכוני שוק במסגרת פרמטרים מקובלים, תוך כדי 
מיקסום התשואה. 
1) סיכוני מטבע 
מכירות הקבוצה בחו"ל מהוים כ- 15% ממחזור המכירות שלה אולם במקביל היא מייבאת חלק מחומרי הגלם 
וכן מוצרים מנסטלה ובכך נוצרת הגנה טבעית של מרבית יתרות הלקוחות במט"ח מול מרבית יתרות הספקים 
במט"ח. במקרים שבהם עדין נוצרת חשיפה כלשהי, הרי שהקבוצה נוהגת בדרך כלל לנטרל חלק מהחשיפות 
וסיכונים במטבע חוץ על ידי הצבת פקדונות במטבע הרלוונטי כנגד התחייבויות לספקים בחו"ל שנלקחו באותו 
מטבע או באמצעות עסקאות פורווד. יחד עם זאת חברות הבנות בחו"ל עושות שימוש באשראי בנקאי במטבע 
חוץ. ליום 31 בדצמבר 2013 הסתכם עודף הנכסים הפיננסיים במטבע חוץ על ההתחייבויות הפיננסיות במטבע 
חוץ בסך של כ- 74 מליון ₪. וכן עודף התחייבויות פיננסיות על נכסים פיננסים בסך 178 מליון ₪ בחברות בנות 
שמטבע הפעילות שלהן הוא במטבע חוץ. במקביל ביצעה הקבוצה הגנה חלקית באמצעות עסקאות פורוורד 
בסך של כ- 72 מליון ₪. 
2) סיכוני מדד במחירים לצרכן 
נכון ליום המאזן לחברה עודף נכסים פיננסיים הצמודים למדד על התחייבויות פיננסיות הצמודות למדד בסך 
של כ- 1 מליון ₪ בלבד.
באורים לדוחות הכספיים ליום 31 בדצמבר 2013 
השקעות בערבון מוגבל 
39 
באור 24 - מכשירים פיננסיים (המשך) 
1. גורמי סיכון פיננסי (המשך) 
ג) סיכוני שוק (המשך) 
3) סיכוני מחיר 
חלק מחומרי הגלם הינם קומודיטיס שמחירם מושפע מתנודות מחירים בשווקי הקומודיטיס בבורסות בעולם 
ומתנודות בשערי החליפין. חומרי גלם אלו מופקים מצמחים (כגון סוכר וקמח) ולכן מחיריהם מושפעים 
משינויים במזג האוויר, תקופת הבשלה וכדומה. 
החברה נעזרת בשירותי הרכש המרכזי האסטרטגי של נסטלה לצורך השגת מחיר מיטבי לחברה. 
4) סיכוני שיעור ריבית 
הלוואות הנושאות שיעורי ריבית משתנים חושפות את הקבוצה לסיכון שיעור ריבית בגין תזרים מזומנים ואלו 
הנושאות שיעורי ריבית קבועים חושפות את הקבוצה לסיכון שיעור ריבית בגין שווי הוגן. חשיפה זו היא 
מצומצמת בהיקפה מכיוון שכל ההלוואות לזמן ארוך מבנקים נפרעו ואילו ההלוואות לזמן קצר מהוות 0.8% 
בלבד מסה"כ המאזן. 
2. סך ההתקשרות בגין חוזים עתידיים הסתכמו ליום המאזן כדלקמן: 
היקף העסקאות שווי הוגן 
אלפי ש"ח אלפי ש"ח 
1,274 עסקאות פורווד ₪ /מט"ח ואופציה על שערי חליפין, נטו 71,696 
העסקאות הנ"ל הן לתקופה של עד 12 חודש. 
החוזים העתידיים מוצגים לפי שווי הוגן כנכסים ברמה 2: נתונים נצפים, במישרין או בעקיפין, שאינם כלולים 
ברמה 1 (מחירים מצוטטים, לא מתואמים, בשוק פעיל למכשירים זהים). 
3. נכסים והתחייבויות פיננסיות 
הערך בספרים של מזומנים ושווי מזומנים, השקעות לזמן קצר, לקוחות, חייבים ויתרות חובה, אשראי 
מתאגידים בנקאיים ואחרים, התחייבויות לספקים ונותני שירותים וזכאים ויתרות זכות תואם או קרוב לשווי 
ההוגן שלהם.
באורים לדוחות הכספיים ליום 31 בדצמבר 2013 
השקעות בערבון מוגבל 
40 
באור 24 - מכשירים פיננסיים (המשך) 
ב. סיכון אשראי 
1. חשיפה לסיכון אשראי 
הערך בספרים של הנכסים הפיננסים מייצג את חשיפת האשראי וההשקעות המרבית. החשיפה המרבית לסיכון 
האשראי וההשקעות בתאריך המאזן, היתה כדלקמן: 
ליום 31 בדצמבר 
2012 2013 
אלפי ₪ אלפי ₪ 
60,265 מזומנים ושווי מזומנים 328,059 
676,445 לקוחות 688,481 
12,618 חייבים ויתרות חובה 11,086 
13,670 השקעות אחרות 7,067 
762,998 
1,034,675 
היתרות לעיל נכללות בסעיפים מזומנים ושווי מזומנים, לקוחות, חייבים ויתרות חובה,השקעות אחרות והלוואות. 
מועדי המימוש החזויים של לקוחות, חייבים ויתרות חובה והשקעות אחרות הינם בתוך שנה אחת. 
2. גיול חובות והפסדים מירידת ערך 
להלן גיול חובות של לקוחות: 
ליום 31 בדצמבר 
2012 2013 
אלפי ₪ אלפי ₪ 
623,999 אינם בפיגור 615,838 
60,377 פיגור של 1-60 יום 79,833 
5,712 פיגור של 61-120 יום 8,539 
6,198 פיגור של מעל 120 יום 8,992 
(19,841) ( ההפרשה לירידת ערך ( 24,721 
676,445 
688,481 
התנועה בהפרשה לירידת ערך בגין יתרת לקוחות, כדלקמן: 
2012 2013 
אלפי ₪ אלפי ₪ 
22,366 יתרה ליום 1 בינואר 19,841 
2,464 הפסד שהוכר מירידת ערך נטו 7,901 
(491) ( תנועה מול ספקים ( 558 
(4,498) ( חובות מסופקים שהפכו לאבודים ( 2,463 
19,841 24,721 
יתרה ליום 31 בדצמבר 
חובות והפסדים מירידת ערך 
חשבונות ההפרשות לירידת ערך משמשים להכרה בהפסדים מירידת ערך, אלא אם הקבוצה משוכנעת שאין כל 
סיכוי לגבות את סכום החוב ואז מקוזז הסכום שאינו ניתן לגביה ישירות כנגד הנכס הפיננסי. חלק משמעותי 
, מיתרת הלקוחות מבוטח באמצעות החברה לביטוח אשראי. ליום 31 בדצמבר 2013 וליום 31 בדצמבר 2012 
לקבוצה יש גם הפרשה כללית לירידת ערך בגין יתרות לקוחות. הנהלת החברה עוקבת באופן שוטף אחר חובות 
הלקוחות ובדוחות הכספיים נכללות הפרשות לחובות מסופקים המשקפות בצורה נאותה, לפי הערכת ההנהלה, את 
ההפסד הגלום בחובות שגבייתם מוטלת בספק.
באורים לדוחות הכספיים ליום 31 בדצמבר 2013 
השקעות בערבון מוגבל 
41 
באור 24 - מכשירים פיננסיים (המשך) 
ג. סיכון נזילות 
להלן מועדי הפירעון החוזיים של התחייבויות פיננסיות בשנים הבאות, כולל פירעון קרן ואומדן תשלומי ריבית 
עתידיים, לא מהוונים. 
ליום 31 בדצמבר 2013 
תזרים עד 1 
הערך בספרים מזומנים חוזי שנים 1-2 שנים 2-5 שנים 
אלפי ₪ אלפי ₪ אלפי ₪ אלפי ₪ אלפי ₪ 
התחייבויות פיננסיות 
- - 29,310 29,310 הלוואות ואשראי לזמן קצר 29,212 
- - 710,463 710,463 ספקים 710,463 
- - 164,639 164,639 זכאים 164,639 
- - 904,412 904,412 סך הכל 904,314 
ליום 31 בדצמבר 2012 
תזרים עד 1 
הערך בספרים מזומנים חוזי שנים 1-2 שנים 2-5 שנים 
אלפי ₪ אלפי ₪ אלפי ₪ אלפי ₪ אלפי ₪ 
התחייבויות פיננסיות 
- - 48,803 48,803 הלוואות ואשראי לזמן קצר 48,393 
- - 685,948 685,948 ספקים 685,948 
- - 128,487 128,487 זכאים 128,487 
התחייבויות לתאגידים בנקאים 
- 3,571 10,614 14,185 כולל חלויות שוטפות 13,915 
- 3,571 873,852 877,423 סך הכל 876,743
באורים לדוחות הכספיים ליום 31 בדצמבר 2013 
השקעות בערבון מוגבל 
42 
באור 24 - מכשירים פיננסיים (המשך) 
ד. סיכוני מדד ומטבע חוץ 
1. חשיפת הקבוצה לסיכוני מדד ומטבע חוץ 
ליום 31 בדצמבר 2013 
מטבע 
פעילות - 
מטבע פעילות - ש"ח מטבע חוץ צמוד פריטים 
צמוד למדד לא צמוד לא צמוד למטבע חוץ לא כספים סה"כ 
אלפי ₪ אלפי ₪ אלפי ₪ אלפי ₪ אלפי ₪ אלפי ₪ 
נכסים 
328,059 - 17,590 27,073 מזומנים ושווי מזומנים - 283,396 
688,481 - 48,472 27,568 לקוחות - 612,441 
27,662 16,594 1,089 2,390 חייבים ויתרות חובה - 7,589 
5,464 מס הכנסה - - - - 5,464 
390,107 מלאי - - - - 390,107 
7,067 - 154,722 (148,983) - השקעות אחרות 1,328 
293 הטבות לעובדים - - - - 293 
1,144,497 רכוש קבוע - - - - 1,144,497 
977,057 נכסים בלתי מוחשיים - - - - 977,057 
38,806 הוצאות נדחות - - - - 38,806 
34,795 נכסי מיסים נידחים - - - - 34,795 
התחיבויות 
(29,212) - - ( הלוואות ואשראי לזמן קצר - - ( 29,212 
(710,463) - (146,722) (43,950) ( ספקים - ( 519,791 
(223,976) (59,337) (74) (14,480) ( זכאים אחרים - ( 150,085 
(9,473) ( מס הכנסה - - - - ( 9,473 
התחיבויות לתאגידים בנקאים - - - - - 
(342,514) ( התחיבויות אחרות - - - - ( 342,514 
(4,450) ( הטבות לעובדים - - - - ( 4,450 
(69,327) ( מיסים נדחים - - - - ( 69,327 
עודף (גרעון) נכסים על 
2,252,873 2,122,512 75,077 (179,594) 233,550 התחייבויות 1,328
באורים לדוחות הכספיים ליום 31 בדצמבר 2013 
השקעות בערבון מוגבל 
43 
באור 24 - מכשירים פיננסיים (המשך) 
ד. סיכוני מדד ומטבע חוץ (המשך) 
1. חשיפת הקבוצה לסיכוני מדד ומטבע חוץ (המשך) 
דוח בסיסי הצמדה ליום 31 בדצמבר 2012 
מטבע 
פעילות - 
מטבע פעילות - ש"ח מטבע חוץ צמוד פריטים 
צמוד למדד לא צמוד לא צמוד למטבע חוץ לא כספים סה"כ 
אלפי ₪ אלפי ₪ אלפי ₪ אלפי ₪ אלפי ₪ אלפי ₪ 
נכסים 
60,265 - 10,960 32,895 מזומנים ושווי מזומנים - 16,410 
676,445 - 48,612 24,874 לקוחות - 602,959 
37,896 25,278 1,067 7,838 חייבים ויתרות חובה - 3,713 
7,416 מס הכנסה - - - - 7,416 
406,724 מלאי - - - - 406,724 
13,670 - 228,353 (228,353) 12,187 השקעות אחרות 1,483 
1,127,990 רכוש קבוע - - - - 1,127,990 
1,025,654 נכסים בלתי מוחשיים - - - - 1,025,654 
37,669 הוצאות נדחות - - - - 37,669 
30,441 נכסי מיסים נידחים - - - - 30,441 
התחייבויות 
(58,938) - (8,435) (33,488) ( הלוואות ואשראי לזמן קצר - ( 17,015 
(685,948) - (173,005) (34,695) ( ספקים - ( 478,248 
(189,169) (60,682) (884) (12,325) ( זכאים אחרים - ( 115,278 
(11,813) ( מס הכנסה ( 11,813 
(3,370) - ( התחיבויות לתאגידים בנקאים - - ( 3,370 
(357,104) ( התחיבויות אחרות - - - - ( 357,104 
(4,537) ( הטבות לעובדים - - - - ( 4,537 
(69,847) ( מיסים נדחים - - - - ( 69,847 
עודף (גרעון) נכסים על 
2,043,444 2,157,189 106,668 (246,624) 24,728 התחייבויות 1,483
באורים לדוחות הכספיים ליום 31 בדצמבר 2013 
השקעות בערבון מוגבל 
44 
באור 24 - מכשירים פיננסיים (המשך) 
ד. סיכוני מדד ומטבע חוץ (המשך) 
2. ניתוח רגישות 
התחזקות הש"ח כנגד המטבעות הבאים לתאריך 31 בדצמבר ועליה במדד המחירים לצרכן, הייתה מגדילה (מקטינה) 
את ההון העצמי ואת הרווח או ההפסד בסכומים המוצגים להלן. ניתוח זה נעשה בהנחה שכל שאר המשתנים, 
ובמיוחד שעורי הריבית, נשארו קבועים. הניתוח לגבי שנת 2012 נעשה בהתאם לאותו בסיס. 
ליום 31 בדצמבר 2013 
הון רווח (הפסד) 
אלפי ₪ אלפי ₪ 
10 10 עליה במדד המחירים לצרכן ב-% 1 
עליה בשער החליפין של: 
78 78 דולר ארה"ב ב- % 1 
51 51 לירה שטרלינג ב - % 1 
(6) (6) אירו ב- % 1 
(79) (79) דולר אוסטרלי ב- % 1 
ליום 31 בדצמבר 2012 
הון רווח (הפסד) 
אלפי ₪ אלפי ₪ 
11 11 עליה במדד המחירים לצרכן ב-% 1 
עליה בשער החליפין של: 
1,394 1,394 דולר ארה"ב ב- % 1 
26 26 לירה שטרלינג ב - % 1 
(15) (15) אירו ב- % 1 
(30) (30) דולר אוסטרלי ב- % 1 
להחלשות הש"ח בשיעורים דומים כנגד המטבעות האמורים ולירידה במדד המחירים לצרכן בשיעור דומה לתאריך 31 
בדצמבר הייתה השפעה זהה, אם כי בכיוון הפוך, ובאותם סכומים, בהנחה שכל שאר המשתנים נשארו קבועים. 
3. להלן פירוט המכשירים הפיננסיים הנגזרים של הקבוצה: 
ליום 31 בדצמבר 2013 
מועד מועד 
מטבע מטבע ערך נקוב תחילת פקיעה / שווי הוגן 
תאור הנגזר לקניה למכיר 
ה 
אלפי ₪ עסקה מימוש אלפי ₪ 
פ ורוורד – הגנה על חוב ד ולר 
44 1/2014 12/2013 לספק אוסטרלי ₪ 16,134 
פורוורד – הגנה על חוב 
(28) 1-2/2014 3/2013 לספק אירו ₪ 2,416 
18,550 
16 
אופציה על שערי חליפין 
דולר 
₪ 
(90,246) 
10/2013 
3-9/2014 
1,258 
71,696 
1,274 
ליום 31 בדצמבר 2012 
מועד מועד 
מטבע מטבע ערך נקוב תחילת פקיעה / שווי הוגן 
תאור הנגזר לקניה למכיר 
ה 
אלפי ₪ עסקה מימוש אלפי ₪ 
פ ורוורד – הגנה על חוב ד ולר 
(102) 1/2013 12/2012 לספק אוסטרלי ₪ 35,221 
פורוורד – הגנה על חוב 
(449) 1-8/2013 7-12/2012 לספק דולר ₪ 36,583 
71,804 
(551)
באורים לדוחות הכספיים ליום 31 בדצמבר 2013 
השקעות בערבון מוגבל 
45 
באור 24 - מכשירים פיננסיים (המשך) 
ד. סיכוני מדד ומטבע חוץ (המשך) 
4. להלן נתונים לגבי מדד המחירים לצרכן ושערי חליפין: 
31 בדצמבר % השינוי 
2011 2012 2013 2012 2013 
מדד המחירים לצרכן - 
בנקודות 2.17 1.63 1.82 105.7 107.6 
שער החליפין של דולר ארה"ב 
7.66 (2.30) (7.02) (שקל חדש= 1 דולר) 3.733 3.471 
שער החליפין של הלירה 
שטרלינג 
7.26 2.46 (4.89) (שקל חדש= 1 ליש"ט) 6.037 5.742 
שער החליפין של הפרנק השוויצרי 
7.23 0.36 (4.42) (שקל חדש = 1 פרנק) 4.077 3.897 
שער החליפין של האירו 
4.22 (0.35) (2.82) (שקל חדש = 1 אירו) 4.921 4.782 
שער החליפין של דולר אוסטרלי 
7.37 (0.18) (19.82) (שקל חדש= 1 דולר) 3.870 3.103
באורים לדוחות הכספיים ליום 31 בדצמבר 2013 
השקעות בערבון מוגבל 
46 
באור 24 - מכשירים פיננסיים (המשך) 
ה. סיכון שיעורי ריבית 
1. סוג ריבית 
להלן פירוט בדבר סוג הריבית של המכשירים הפיננסיים נושאי הריבית של הקבוצה: 
ליום 31 בדצמבר 
2012 2013 
הערך בספרים הערך בספרים 
אלפי ₪ אלפי ₪ 
מכשירים בריבית קבועה 
נכסים פיננסיים 13,818 695 
התחייבויות פיננסיות - - 
13,818 695 
מכשירים בריבית משתנה 
8,521 נכסים פיננסיים 272,545 
(62,308) ( התחייבויות פיננסיות ( 29,212 
(53,787) (243,333) 
2. ניתוח רגישות השווי ההוגן לגבי מכשירים בריבית קבועה 
נכסים והתחייבויות בריבית קבועה של הקבוצה אינם נמדדים בשווי הוגן דרך רווח והפסד, וכן הקבוצה אינה מייעדת 
נגזרים כמכשירים מגדרים בהתאם למודל של חשבונאות גידור של שווי הוגן. לכן, לשינוי בשעורי הריבית לתאריך המאזן, 
לא צפויה כל השפעה על הרווח או ההפסד בגין שינויים בערך הנכסים וההתחייבויות בריבית קבועה. 
3. ניתוח רגישות תזרים מזומנים לגבי מכשירים בשיעורי ריבית משתנים 
שינוי של 1% בשיעורי הריבית במועד הדיווח, היה מגדיל או מקטין את ההון העצמי ואת הרווח או ההפסד בסכומים 
המוצגים להלן. ניתוח זה נעשה בהנחה שיתר המשתנים, ובמיוחד שערי מטבע חוץ, נשארו קבועים. הניתוח לגבי שנת 2012 
נעשה בהתאם לאותו בסיס. 
ליום 31 בדצמבר 2013 
רווח או הפסד הון 
גידול בריבית קיטון בריבית גידול בריבית קיטון בריבית 
אלפי ₪ אלפי ₪ אלפי ₪ אלפי ₪ 
(13) 13 (13) מכשירים בריבית משתנה 13 
(13) 13 (13) רגישות תזרים המזומנים (נטו) 13 
ליום 31 בדצמבר 2012 
רווח או הפסד הון 
גידול בריבית קיטון בריבית גידול בריבית קיטון בריבית 
אלפי ₪ אלפי ₪ אלפי ₪ אלפי ₪ 
9 (9) 9 ( מכשירים בריבית משתנה ( 9 
9 (9) 9 ( רגישות תזרים המזומנים (נטו) ( 9
באורים לדוחות הכספיים ליום 31 בדצמבר 2013 
השקעות בערבון מוגבל 
47 
באור 25 - רווח למניה 
לשנה שנסתיימה ביום 31 בדצמבר 
2012 2013 
הרווח ששימש בחישוב הרווח 
356,886 הבסיסי והמדולל למניה (אלפי ₪) 376,428 
כמות המניות ששימשה בחישוב 
110,644 הרווח הבסיסי והמדולל למניה (אלפים) 110,644 
באור 26 - מידע על מגזרי פעילות על בסיס מאוחד 
א. לקבוצה מגזרים ברי דיווח בהתאם לתחומי פעילותה כמפורט להלן: 
1. תחום קולינארי - בתחום זה הקבוצה מפתחת, מייצרת ו/או מוכרת, משווקת ומפיצה מגוון רחב של מוצרים 
ממותגים. העיקריים שבהם כוללים בין השאר פסטה, מרקים, תבשילים, עזרי אפיה, רטבים, שקדי מרק 
ושימורים. 
2. תחום החטיפים ודגני הבוקר - בתחום זה הקבוצה מפתחת, מייצרת ו/או מוכרת, משווקת ומפיצה מגוון רחב 
של מוצרים ממותגים. המוצרים בתחום פעילות זה כוללים מוצרי חטיפים (חטיפי חיטה, חטיפי בוטנים, חטיפי 
תפוחי - אדמה וחטיפי תירס וכו') דגני בוקר וחטיפי בריאות. 
3. תחום המאפה והמשקאות - בתחום זה הקבוצה מפתחת, מייצרת ו/או מוכרת, משווקת ומפיצה מגוון רחב של 
מוצרים ממותגים. המוצרים בתחום פעילות זה כוללים את מוצרי המאפים המלוחים (כגון קרקרים ולחמית), 
המאפים המתוקים (עוגות ועוגיות), תרכיזים לשתיה, שוקו וקפה נמס. 
4. תחום המזון המוכן - בתחום זה הקבוצה מפתחת, מייצרת ו/או מוכרת, משווקת ומפיצה מגוון רחב של 
מוצרים קפואים ומצוננים ממותגים, שהעיקריים שבהם כוללים מוצרי מאפה קפואים הנאפים בנקודות 
המכירה, שניצלים, המבורגרים, נקניקיות וארוחות מוכנות על בסיס של תחליפי בשר וכן מוצרים המכילים 
ירקות, סלטים מוכנים וארוזים (סלטי חומוס, חצילים, טחינה וכיוצ"ב). 
5. תחום המזון לתינוקות - בתחום זה, פעילות הקבוצה מתבצעת באמצעות שותפות מטרנה, שמפתחת, מייצרת 
ו/או מוכרת, ומשווקת מגוון רחב של מוצרי מזון לתינוקות הכוללים בעיקר תחליפי חלב אם, דייסות, מחיות, 
ביסקוויטים ופסטות לפעוטות. 
6. פעילויות אחרות - בתחום זה, נכללות פעילויות שונות שאינן נכללות בתחומי הפעילויות שתוארו לעיל. 
גלידות, מזון לבעלי חיים, מוצרים קנויים אחרים וכן (Nestea) העיקריות שבהן כוללות, בין השאר, תה קר 
המדובר בפעילויות שאינן מהותיות לפעילות .USA ואסם UK פעילות חברות הבנות אסמים חבילות שי, אסם 
הקבוצה ואינן עונות על הסף הכמותי להצגה בדוחות הכספים כמגזרים ברי דיווח. 
החברה מתמחרת את עסקאותיה הבין חברתיות לפי מחירי שוק מקובלים ללקוחות חיצוניים בגין מוצרים דומים. 
תוצאות עסקאות אלה מבוטלות, במסגרת ההתאמות, לצורך עריכת דוחות כספיים מאוחדים. 
תוצאות המגזר נמדדים על בסיס הרווח כפי שנכלל בדיווחים אשר נסקרים באופן סדיר על ידי מקבל ההחלטות התפעולי 
הראשי.
באורים לדוחות הכספיים ליום 31 בדצמבר 2013 
השקעות בערבון מוגבל 
48 
באור 26 - מידע על מגזרי פעילות על בסיס מאוחד (המשך) 
לשנה שנסתיימה ביום 31 בדצמבר 2013 
חטיפים 
ודגני מאפה מזון מזון התאמה 
קולינארי בוקר ומשקאות מוכן תינוקות אחר למאוחד מאוחד 
אלפי ₪ אלפי ₪ אלפי ₪ אלפי ₪ אלפי ₪ אלפי ₪ אלפי ₪ אלפי ₪ 
4,190,047 - 995,592 358,644 920,486 541,065 651,098 מכירות לחיצוניים 723,162 
- (64,522) - - 11,080 4,840 16,186 מכירות למגזרים אחרים 32,416 
4,190,047 (64,522) 995,592 358,644 931,566 545,905 667,284 סה"כ מכירות המגזר 755,578 
עלויות מיוחסות - 
3,661,489 - 896,174 296,493 853,967 456,766 503,429 מחיצוניים 654,660 
עלויות מיוחסות - 
- (64,522) 64,484 - ממגזרים אחרים - - - 38 
3,661,489 (64,522) 960,658 296,493 854,005 456,766 503,429 סה"כ עלויות מיוחסות 654,660 
528,558 - 34,934 62,151 77,561 89,139 163,855 תוצאות המגזר 100,918 
( הוצאות שלא הוקצו, נטו ( 2,885 
( עלויות מימון, נטו ( 22,761 
( מיסים על הכנסה ( 126,484 
רווח לתקופה 376,428 
148,681 26,860 6,522 48,710 16,855 23,249 פחת והפחתות 26,485 
לשנה שנסתיימה ביום 31 בדצמבר 2012 
חטיפים 
ודגני מאפה מזון מזון התאמה 
קולינארי בוקר ומשקאות מוכן תינוקות אחר למאוחד מאוחד 
אלפי ₪ אלפי ₪ אלפי ₪ אלפי ₪ אלפי ₪ אלפי ₪ אלפי ₪ אלפי ₪ 
4,091,593 - 947,236 355,058 905,783 523,219 652,688 מכירות לחיצוניים 707,609 
- (56,859) - - 9,446 6,117 10,018 מכירות למגזרים אחרים 31,278 
4,091,593 (56,859) 947,236 355,058 915,229 529,336 662,706 סה"כ מכירות המגזר 738,887 
עלויות מיוחסות - 
3,580,050 - 847,442 295,830 843,226 457,985 493,527 מחיצוניים 642,040 
עלויות מיוחסות - 
- (56,859) 56,766 - ממגזרים אחרים - - - 93 
3,580,050 (56,859) 904,208 295,830 843,319 457,985 493,527 סה"כ עלויות מיוחסות 642,040 
511,543 - 43,028 59,228 71,910 71,351 169,179 תוצאות המגזר 96,847 
( הוצאות שלא הוקצו, נטו ( 7,550 
( עלויות מימון, נטו ( 29,638 
( מיסים על הכנסה ( 117,013 
רווח לתקופה 357,342 
150,875 26,658 6,440 51,217 17,285 22,673 פחת והפחתות 26,602
באורים לדוחות הכספיים ליום 31 בדצמבר 2013 
השקעות בערבון מוגבל 
49 
באור 26 - מידע על מגזרי פעילות על בסיס מאוחד (המשך) 
לשנה שנסתיימה ביום 31 בדצמבר 2011 
חטיפים 
ודגני מאפה מזון מזון התאמה 
קולינארי בוקר ומשקאות מוכן תינוקות אחר למאוחד מאוחד 
אלפי ₪ אלפי ₪ אלפי ₪ אלפי ₪ אלפי ₪ אלפי ₪ אלפי ₪ אלפי ₪ 
3,960,877 - 887,843 369,249 877,792 484,788 647,797 מכירות לחיצוניים 693,408 
- (51,455) - - 12,323 4,613 8,214 מכירות למגזרים אחרים 26,305 
3,960,877 (51,455) 887,843 369,249 890,115 489,401 656,011 סה"כ מכירות המגזר 719,713 
עלויות מיוחסות - 
3,457,581 - 788,780 303,639 838,153 422,337 480,807 מחיצוניים 623,865 
עלויות מיוחסות - 
- (51,455) 51,372 - ממגזרים אחרים - - - 83 
3,457,581 (51,455) 840,152 303,639 838,236 422,337 480,807 סה"כ עלויות מיוחסות 623,865 
503,296 - 47,691 65,610 51,879 67,064 175,204 תוצאות המגזר 95,848 
( הוצאות שלא הוקצו, נטו ( 4,018 
( עלויות מימון, נטו ( 31,634 
( מיסים על הכנסה ( 126,664 
רווח לתקופה 340,980 
147,883 26,149 6,078 50,244 17,540 22,268 פחת והפחתות 25,604
באורים לדוחות הכספיים ליום 31 בדצמבר 2013 
השקעות בערבון מוגבל 
50 
באור 26 - מידע על מגזרי פעילות על בסיס מאוחד (המשך) 
ב. גילויים ברמת הישות 
1. מידע בדבר מוצרים 
לשנה שנסתיימה ביום 31 בדצמבר 
2011 2012 2013 
אלפי ₪ אלפי ₪ אלפי ₪ 
719,713 738,887 מזון קולינארי 755,578 
512,610 511,317 חטיפים 514,788 
143,401 151,389 דגני בוקר 152,496 
489,401 529,336 מאפה ומשקאות 545,905 
890,115 915,229 מזון מוכן 931,566 
369,249 355,058 מזון לתינוקות 358,644 
836,388 890,377 אחרים (*) 931,070 
3,960,877 4,091,593 סה"כ 4,190,047 
(*) בתוך מסגרת זו אין אף קבוצת מוצרים ששיעור הכנסותיה מהווה 10% או יותר מסך הכנסות התאגיד. 
2. מידע על בסיס אזורים גיאוגרפיים 
ארץ מושבה של החברה הינה ישראל והחברה פועלת ומפיקה את הכנסותיה בישראל, אירופה וארה"ב. 
בהצגת המידע על בסיס מגזרים גיאוגרפיים, הכנסות המגזר מבוססות על המיקום הגיאוגרפי של 
הלקוחות. 
הנכסים מבוססים על המיקום הגיאוגרפי של הנכסים. 
לשנה שנסתיימה ביום 31 בדצמבר 
2011 2012 2013 
אלפי ₪ אלפי ₪ אלפי ₪ 
הכנסות מחיצוניים 
3,320,925 3,423,047 ישראל 3,560,200 
279,887 300,252 אמריקה 277,918 
351,599 356,596 אירופה 340,670 
8,466 11,698 שאר העולם 11,260 
3,960,877 4,091,593 מאוחד 4,190,048 
ליום 31 בדצמבר 
2012 2013 
אלפי ₪ אלפי ₪ 
נכסים לא שוטפים 
1,860,473 ישראל 1,872,496 
203,011 אמריקה 181,664 
127,829 אירופה 106,200 
2,191,313 מאוחד 2,160,360
באורים לדוחות הכספיים ליום 31 בדצמבר 2013 
השקעות בערבון מוגבל 
51 
באור 27 - הון וקרנות 
א. נתונים נומינליים 
ליום 31 בדצמבר 2013 ו- 2012 
רשום מונפק ונפרע 
שקל חדש שקל חדש 
110,644,444 מניות רגילות בנות 1 שקל חדש ערך נקוב 150,000,000 
המניות רשומות למסחר בבורסה לניירות ערך בתל-אביב. 
ב. קרן תרגום של פעילות חוץ 
קרן התרגום כוללת את כל הפרשי מטבע החוץ הנובעים מתרגום דוחות כספיים של פעילויות חוץ וכן מתרגום 
התחייבויות המגדרות השקעות בפעילות חוץ. 
הרכב הקרן בגין תרגום פעילות חוץ הינו כדלקמן: 
ליום 31 בדצמבר 
2012 2013 
(1,988) ( טבעול ( 1993 ) בע"מ ( 17,971 
(9,209) (10,584) OSEM U.K. LTD 
(837) (3,817) OSEM U.S.A INC 
(12,034) ( סה"כ ( 32,372 
ג. דיבידנדים 
הדיבידנדים הבאים הוכרזו ושולמו על ידי החברה: 
לשנה שנסתיימה ביום 31 בדצמבר 
2012 2013 
אלפי ₪ אלפי ₪ 
150,000 1.356 ש"ח למניה רגילה 150,000 
ביום 13 במרץ 2014 הוכרז דיבידנד נוסף בסך 150 מיליון ₪.
נספח – רשימת חברות הקבוצה 
פרטים על חברות מוחזקות ליום 31 בדצמבר 2013 
השקעות בערבון מוגבל 
52 
מדינת 
התאגדות 
החזקה במניות 
המקנות במישרין 
ובעקיפין חלק 
ברווחים ובזכויות 
ההצבעה 
% 
חברות מאוחדות - 
אסם תעשיות מזון בע"מ ישראל 100.0 
אסמים ( 1954 ) בע"מ ישראל 100.0 
גבעול בע"מ ישראל 100.0 
בריטניה 100.0 OSEM U.K. LTD. 
ארה"ב 100.0 OSEM U.S.A. INC. 
מגדנות הבית בע"מ ישראל 100.0 
נגה גלידות בע"מ ישראל 100.0 
נגה גלידות שותפות מוגבלת ישראל 100.0 
אסמים חבילות שי בע"מ ישראל 74.0 
טבעול ( 1993 ) בע"מ ישראל 100.0 
בית השיטה - עסיס, תעשיות מזון שותפות מוגבלת ישראל 100.0 
בית השיטה - עסיס, תעשיות מזון בע"מ ישראל 100.0 
מטרנה תעשיות מזון שותפות מוגבלת * ישראל 51.0 
מטרנה החזקות בע"מ * ישראל 51.0 
הולנד 100.0 TIVALL EUROPE B.V 
ארה"ב 100.0 TRIBE MEDITERRANEAN FOODS INC. 
טבעול תעשיות מזון בע"מ (לשעבר סלטי צבר תעשיות מזון ( 1985 ) בע"מ) ישראל 100.0 
קבוצת אסם סחר (שותפות מוגבלת) ישראל 100.0 
הולנד 100.0 TIVALL HOLLAND B.V. 
שבדיה 100.0 TIVALL SWEDEN A.B. 
צ'כיה 100.0 TIVALL CZ S.R.O. 
אסמי מאפים בע"מ ישראל 100.0 
תאגיד מחזור יצרנים בישראל בע"מ ישראל 8.3 
חברות לא פעילות - 
אסטיב בע"מ ישראל 100.0 
לופ פרומין בע"מ ישראל 100.0 
עיטור אסם בע"מ ישראל 100.0 
אסם אינטרנשיונל פודס בע"מ ישראל 100.0 
עלי דגן בע"מ ישראל 100.0 
נסטלה פורינה ישראל חיות מחמד (שותפות מוגבלת) ישראל 100.0 
ביקר מן (מאפה) בע"מ ישראל 100.0 
מגן בית מאפה וקפה בע"מ ישראל 100.0 
. (*) מאחר וקיימת אופציית מכר של המיעוט הרי שההצגה החשבונאית מתייחסת להחזקה של 100%
אסם השקעות בע"מ 
מידע נפרד מתוך הדוחות 
הכספיים המאוחדים 
המיוחס לחברה עצמה 
ליום 31 בדצמבר 2013 
(תקנה 9 ג')
תוכן העניינים 
השקעות בערבון מוגבל 
מידע נפרד המובא לפי תקנה 9ג' לתקנות ניירות ערך (דוחות תקופתיים ומיידים), התש"ל - 1970 
נתונים כספיים מתוך הדוחות הכספיים המאוחדים המיוחסים לחברה עצמה ליום 31 בדצמבר 2013 
עמוד 
דין וחשבון מיוחד של רואי החשבון המבקרים 2 
3 - נתונים על המצב הכספי 5 
נתוני רווח והפסד 6 
נתונים על הרווח הכולל 7 
נתונים על תזרימי המזומנים 8 
מידע נוסף 9
ך (דוחות 
"ל - 1970 
רונה שבהן 
יותנו היא 
הן הינה כ - 
וחיהן הינו 
הסתיימה 
ומצאו לנו 
רים. 
הביקורת 
רת כוללת 
בחינה של 
ירקטוריון 
אי החשבון 
הבחינות 
03 684 
03 684 
www.kpm 
ון 8000 
סימיליה 8444 
mg.co.il טרנט 
ות ניירות ער 
קנה 9ג' לתקנ 
יידיים), התש 
השנים שהאחר 
ל החברה. אחר 
נפרד לפי תק 
תקופתיים ומי 
אחת משלוש ה 
ן וההנהלה של 
ר ההשקעה בה 
ל הקבוצה ברוו 
אחרונה שבהן 
שדוחותיהם הו 
החשבון האח 
מידע כספי 
ת ערך (דוחות 
ו- 2012 ולכל א 
ת הדירקטוריון 
י המאזני אשר 
מה, וחלקה של 
ש השנים שהא 
שבון אחרים ש 
על דוחות רואי 
תנו לתכנן את 
מהותית. ביקור 
רת כוללת גם ב 
שו על ידי הדי 
תנו ודוחות רוא 
סומך ח 
מגדל המ 
רחוב הא 
תל אביב 
השקעות בערב 
המבקרים על 
ל 
- 1970 
לתקנות ניירות 
בדצמבר 2013 
ד הינו באחריות 
רתנו. 
פי שיטת השווי 
ו 
2012- בהתאמ 
כל אחת משלוש 
על ידי רואי חש 
רות, מבוססת ע 
לה נדרש מאית 
צגה מוטעית מ 
הנפרד. ביקור 
שמעותיים שנעש 
ורים שביקורת 
ד ערוך, מכל 
ואי החשבון ה 
יים), התש"לפי תקנה 9ג' 
ה") לימים 31 ב 
ע הכספי הנפרד 
תבסס על ביקור 
המטופלות לפ 
דצמבר 2013 אלפי ש"ח לכ 
חברות בוקרו ע 
בגין אותן חבר 
פי תקנים אל 
ספי הנפרד הצ 
במידע הכספי 
אומדנים המש 
הנפרד. אנו סבו 
הנפרד המובא 
להלן- "החברה 
ר 2013 . המידע 
ספי הנפרד בהת 
רות מוחזקות 
"ח לימים 31 ב 
ש"ח וכ- 9,165 
ים של אותן ח 
מים שנכללים ב 
ם בישראל. על 
ין במידע הכס 
טים הכלולים ב 
הנפרד ושל הא 
מידע הכספי ה 
חרים, המידע 
תקופתיים ומיי 
הכספי הנפר 
ידיים), התש". ל 
– 1970 
טלפ 
פקס 
אינט 
כספיים של חב 
427,8 אלפי ש" 
14,417 אלפי ש 
דוחות הכספיי 
תייחסת לסכומ 
קורת מקובלים 
ל ביטחון שאי 
סכומים ובפרט 
המידע הכספי 
ההצגה של המ 
תנו. 
ואי חשבון אח 
ת ערך (דוחות ת 
פו יות, 
אר 609 
אם לתקני ביק 
ידה סבירה ש 
ת התומכות בס 
שמו בעריכת ה 
הערכת נאותות 
אות לחוות דעת 
דוחות של רו 
לתקנות ניירות 
ה עפ"י פקודת השותפ 
KPMG Internat 
חייקין 
KPMG מילניום 
רבעה 17 , תא דוא 
61006 
בון מוגבל 
קורתנו ועל ה 
אות תקנה 9ג' ל 
קין, שותפות רשומה 
tional - ה הישראלית ב 
יב רשום בשוו יץ. 
סומך חי י 
הנה החברה 
קואופרט 
לכבוד 
בעלי המניות 
ת של אסם ה 
מיוחד של רו 
פתיים ומיידי 
המידע הכספי ה 
קעות בע"מ (ל 
ום 31 בדצמבר 
על המידע הכס 
את הדוחות הכ 
פי ש"ח וכ- 860 
לפי ש"ח, כ- 7 
צמבר 2013 . הד 
, ככל שהיא מת 
יקורתנו בהתא 
טרה להשיג מי 
מית של ראיות 
שבונאיים שיוש 
ל החברה וכן ה 
פקים בסיס נא 
תבסס על ביק 
בהתאם להורא 
20 
א.נ., 
הנדון: דוח 
תקופ 
ביקרנו את ה 
של אסם הש 
הסתיימה ביו 
לחוות דיעה ע 
לא ביקרנו א 
431,830 אלפ 
כ- 11,590 אל 
ביום 31 בדצ 
וחוות דעתנו, 
ערכנו את בי 
ולבצעה במט 
בדיקה מדגמ 
הכללים החש 
וההנהלה של 
האחרים מספ 
לדעתנו, בהת 
המהותיות, ב 
סומך חייקין 
רואי חשבון 
13 במרס 014
השקעות בערבון מוגבל 
3 
מידע נפרד המובא לפי תקנה 9ג' לתקנות ניירות ערך (דוחות תקופתיים ומיידים), התש"ל - 1970 
ליום 31 בדצמבר 2013 
להלן נתונים כספיים מתוך הדוחות הכספיים המאוחדים של הקבוצה ליום 31 בדצמבר 2013 , המפורסמים במסגרת 
הדוחות התקופתיים (להלן: "דוחות מאוחדים"), המיוחסים לחברה עצמה (להלן: "מידע כספי נפרד"), המוצגים בהתאם 
לתקנה 9ג (להלן: "התקנה") והתוספת העשירית לתקנות ניירות ערך (דוחות תקופתיים ומיידים) התש"ל - 1970 (להלן: 
"התוספת העשירית") בעניין מידע כספי נפרד של התאגיד. 
יש לקרוא את המידע הכספי הנפרד ביחד עם הדוחות המאוחדים. 
במידע כספי נפרד זה - חברות מוחזקות הינן חברות מאוחדות כהגדרתן בביאור 1ב' בדוחות המאוחדים. 
התוספת העשירית קובעת, בין היתר, כי המידע הכספי הנפרד יפורט כדלקמן: 
1. מידע בדבר סכומי הנכסים וההתחייבויות הכלולים בדוחות המאוחדים המיוחסים לחברה עצמה (למעט בגין חברות 
מוחזקות), תוך פירוט לפי סוגי הנכסים וההתחייבויות. כמו כן, מידע בדבר סכום נטו, בהתבסס על הדוחות 
המאוחדים, המיוחס לבעלי החברה עצמה, של סך הנכסים בניכוי סך ההתחייבויות, בגין חברות מוחזקות, לרבות 
מוניטין. 
2. מידע בדבר סכומי ההכנסות וההוצאות הכלולים בדוחות המאוחדים, בפילוח בין רווח או הפסד ורווח כולל אחר, 
המיוחסים לחברה עצמה (למעט בגין חברות מוחזקות), תוך פירוט לפי סוגי ההכנסות וההוצאות. כמו כן, מידע 
בדבר סכום נטו, בהתבסס על הדוחות המאוחדים המיוחס לבעלי החברה עצמה, של סך ההכנסות בניכוי סך 
ההוצאות בגין תוצאות פעילות של חברות מוחזקות, לרבות ירידת ערך מוניטין. 
3. פירוט סכומי תזרימי המזומנים הכלולים בדוחות המאוחדים המיוחסים לחברה עצמה (למעט בגין חברות 
מוחזקות), כשהם לקוחים מתוך הדוח על תזרימי המזומנים המאוחד, בפילוח לפי תזרים מפעילות שוטפת, פעילות 
השקעה ופעילות מימון ופירוט מרכיביהם. לצורך מידע כספי נפרד זה, יתרת המזומנים ושווי המזומנים המשויכים 
לחברה עצמה כוללת מזומנים ושווי מזומנים שעברו בינה לבין חברות מוחזקות שלה. 
4. כל מידע מהותי נוסף, העשוי להשפיע על קבלת החלטות כלכליות של משקיע, ככל שמידע זה לא נכלל בדוחות 
המאוחדים באופן המתייחס במפורש לחברה עצמה. לכל הפחות, מידע נוסף זה יכלול: גילוי בדבר המזומנים ושווי 
המזומנים, גילוי בדבר נכסים והתחייבויות פיננסיות, גילוי בדבר הכנסות והוצאות מיסים וגילוי בדבר מיסים 
נדחים, בהתאם להוראות התקנה. בנוסף, יש לכלול תיאור של מכלול הקשרים, ההתקשרויות והעסקאות 
המהותיות בין החברה לחברות מוחזקות שלה, בין אם הוכרו ונמדדו בדוחות הכספיים המאוחדים וקיבלו ביטוי 
במסגרת הנתונים המפורטים בסעיפים ( 1) עד ( 3) לעיל ובין אם לאו. 
המדיניות החשבונאית שפורטה בביאור 3 בדוחות המאוחדים, בדבר עיקרי המדיניות החשבונאית, יושמה לצורך הצגת 
מידע כספי נפרד, לרבות האופן בו סווגו הנתונים הכספיים במסגרת הדוחות המאוחדים, בשינויים המתחייבים מהאמור 
לעיל.
מידע כספי נפרד ליום 31 בדצמבר 2013 
השקעות בערבון מוגבל 
4 
נתונים על המצב הכספי 
ליום 31 בדצמבר 
2012 מידע 2013 
נוסף אלפי ש"ח אלפי ש"ח 
נכסים 
מזומנים ושווי מזומנים 5,067 218,379 1 
15,600 10,692 חייבים ויתרות חובה 2 
מס הכנסה 5,846 978 3 
מלאי 120,225 106,810 
השקעות אחרות 13,670 1,328 2 
סה"כ נכסים שוטפים 160,408 338,187 
1,522,274 יתרה בגין חברות מוחזקות 1,623,899 
70,476 61,898 הלוואות לחברות מוחזקות 2 
662,783 רכוש קבוע 684,218 
568,037 נכסים בלתי מוחשיים 538,709 
17,235 הוצאות מראש 12,763 
2,840,805 סה"כ נכסים בלתי שוטפים 2,921,487 
סה"כ נכסים 3,001,213 3,259,674 
דן פרופר - יושב ראש הדירקטוריון 
איציק צאיג - מנהל כללי 
פנחס קימלמן - משנה למנכ"ל - כספים 
תאריך אישור המידע הכספי הנפרד: 13 במרץ 2014
השקעות בערבון מוגבל 
5 
ליום 31 בדצמבר 
2012 מידע 2013 
נוסף אלפי ש"ח אלפי ש"ח 
התחייבויות 
17,015 - 2 
הלוואות ואשראי לזמן קצר 
319,152 316,000 2 
ספקים 
220,346 301,363 2 
זכאים אחרים 
556,513 617,363 
סה"כ התחייבויות שוטפות 
357,104 342,514 
התחייבויות בגין רכישת חלק המיעוט בחברות מוחזקות 
4,105 4,331 
הטבות לעובדים 
40,733 43,722 3 
מסים נדחים 
401,942 390,567 
סה"כ התחייבויות שאינן שוטפות 
958,455 1,007,930 
סה"כ התחייבויות 
הון 
176,772 176,772 
הון מניות 
444,212 444,212 
פרמיה על מניות 
(48,015) (68,353) 
קרנות הון 
1,469,789 1,699,113 
יתרת עודפים 
2,042,758 2,251,744 
סה"כ הון 
3,001,213 סה"כ התחייבויות והון 3,259,674
מידע כספי נפרד ליום 31 בדצמבר 2013 
השקעות בערבון מוגבל 
6 
נתוני רווח והפסד 
מידע לשנה שנסתיימה ביום 31 בדצמבר 
2011 2012 נוסף 2013 
אלפי ₪ אלפי ₪ אלפי ₪ 
מכירות 1,093,859 1,331,697 1,351,197 
עלות המכירות 581,723 721,879 712,087 
רווח גולמי 512,136 609,818 639,110 
187,337 261,098 הוצאות מכירה, שווק והפצה 277,693 
הוצאות הנהלה וכלליות 69,268 87,299 99,478 
רווח תפעולי לפני הכנסות אחרות 255,531 261,421 261,939 
13,295 8,658 הכנסות אחרות, נטו 12,080 
רווח תפעולי 268,826 270,079 274,019 
(34,682) (23,347) ( הוצאות מימון ( 16,367 
11,311 6,364 הכנסות מימון 15,404 
(23,371) (16,983) ( הוצאות מימון, נטו ( 963 
165,893 167,769 רווח מחברות מוחזקות 176,993 
רווח לפני מסים על הכנסות 411,348 420,865 450,049 
70,296 63,979 74,064 מסים על הכנסה 3 
341,052 356,886 רווח לתקופה 375,985
מידע כספי נפרד ליום 31 בדצמבר 2013 
השקעות בערבון מוגבל 
7 
נתונים על הרווח הכולל 
לשנה שנסתיימה ביום 31 בדצמבר 
2011 2012 2013 
אלפי ₪ אלפי ₪ אלפי ₪ 
רווחים (הפסדים) אקטוארים 
(12,550) 6,454 מתכנית להטבה מוגדרת 3,818 
מס הכנסה בגין מרכיבים 
3,138 (1,614) ( אחרים של רווח כולל ( 1,012 
(9,412) 4,840 סך הכל רווח (הפסד) כולל אחר לתקופה 2,806 
4,058 2,308 ( רווח כולל אחר בגין חברות מוחזקות ( 19,805 
341,052 356,886 רווח לתקופה 375,985 
335,698 364,034 סך הכל רווח כולל לתקופה 358,986
מידע כספי נפרד ליום 31 בדצמבר 2013 
השקעות בערבון מוגבל 
8 
נתונים על תזרימי מזומנים לשנה שנסתיימה ביום 31 בדצמבר 2013 
לשנה שנסתיימה ביום 31 בדצמבר 
2011 2012 2013 
אלפי ₪ אלפי ₪ אלפי ₪ 
תזרימי מזומנים מפעילות שוטפת 
341,052 356,886 רווח לתקופה 375,985 
התאמות : 
(165,893) (167,769) ( חלק החברה ברווחי חברות מוחזקות ( 176,993 
48,921 58,008 פחת 57,663 
הפחתה של נכסים בלתי מוחשיים 
27,149 27,753 והוצאות מראש 27,747 
(1,309) 130 ( הפסד (רווח) ממכירת רכוש קבוע, נטו ( 126 
23,371 16,983 עלויות מימון, נטו 963 
70,296 63,979 הוצאות מסים על הכנסה 74,064 
3,388 1,675 ( שינויים בנגזרים ( 4,642 
620 (8,596) שינוי במלאי 13,415 
76,426 25,508 שינוי בלקוחות וחייבים אחרים 4,940 
25,900 69,417 שינוי בספקים וזכאים אחרים 109,896 
(78) (174) שינוי בהטבות לעובדים 4,044 
(50,178) (81,036) ( מס הכנסה ששולם ( 101,746 
399,665 362,764 מזומנים נטו שנבעו מפעילות שוטפת 385,210 
תזרימי מזומנים מפעילות השקעה 
1,396 46 תמורה ממכירת רכוש קבוע 745 
- - החזר השקעה בחברות מוחזקות 8,861 
5,008 11,258 מזומנים נטו מפעילות השקעה בגין חברות מוחזקות 10,152 
(31,679) (53,767) ( רכישת רכוש קבוע ( 80,573 
(4,459) (5,313) ( השקעה בנכסים לא מוחשיים והוצאות מראש ( 206 
2,108 2,639 ריבית שהתקבלה 1,581 
(278) 13,288 השקעה בהשקעות אחרות 12,735 
61,259 65,425 דיבידנד שהתקבל מחברות מוחזקות 69,520 
33,355 33,576 מזומנים נטו שנבעו מפעילות השקעה 22,815 
תזרימי מזומנים מפעילות מימון 
(7,104) (26,244) ( ריבית ששולמה ( 2,149 
(112,787) (239,600) ( פרעון התחייבויות אחרות ( 30,904 
( פירעון הלוואות לזמן ארוך - - ( 37,500 
1,818 15,197 ( אשראי מתאגידים בנקאיים ומאחרים, נטו ( 11,834 
(300,000) (150,000) ( דיבידנד ששולם ( 150,000 
(455,573) (400,647) ( מזומנים נטו ששימשו לפעילות מימון ( 194,887 
(22,553) (4,307) שינוי במזומנים ושווי מזומנים 213,138 
31,679 9,331 מזומנים ושווי מזומנים לתחילת תקופה 5,067 
205 43 השפעת תנודות בשער החליפין על יתרות המזומנים 174 
9,331 5,067 מזומנים ושווי מזומנים לסוף תקופה 218,379
מידע כספי נפרד ליום 31 בדצמבר 2013 
השקעות בערבון מוגבל 
9 
מידע נוסף לדוחות הכספיים ליום 31 בדצמבר 2013 
1. מזומנים ושווי מזומנים 
ליום 31 בדצמבר 
2012 2013 
אלפי ₪ אלפי ₪ 
בשקל חדש 3,356 215,668 
538 בדולר ארה"ב 1,575 
693 באירו 624 
374 בליש"ט 443 
106 במטבע אחר 69 
5,067 
218,379 
סה"כ מזומנים ושווי מזומנים 
2. מכשירים פיננסיים 
א. סיכוני מדד ומטבע חוץ 
ליום 31 בדצמבר 2013 
רבית שקל חדש צמוד 
% צמוד למדד לא צמוד למטבע חוץ סה"כ 
אלפי ₪ אלפי ₪ אלפי ₪ אלפי ₪ 
נכסים 
5,508 - חייבים ויתרות חובה (*) - 5,508 
1,328 - - 1,328 השקעות אחרות (*) 4 
61,898 - 49,401 12,497 הלוואות לחברות מוחזקות 2-5 
התחיבויות 
הלוואות ואשראי לזמן קצר - - - - 
(316,000) (94,720) ( ספקים - ( 221,280 
(250,020) - ( זכאים אחרים - ( 250,020 
(497,286) (94,720) (416,391) 13,825 
ליום 31 בדצמבר 2012 
רבית שקל חדש צמוד 
% צמוד למדד לא צמוד למטבע חוץ סה"כ 
אלפי ₪ אלפי ₪ אלפי ₪ אלפי ₪ 
נכסים 
2,500 - חייבים ויתרות חובה (*) - 2,500 
13,670 - 12,187 1,483 השקעות אחרות (*) 0-4 
70,476 - 48,251 22,225 הלוואות לחברות מוחזקות 2-5 
התחייבויות 
(17,015) - (17,015) - הלוואות ואשראי לזמן קצר 3.00 
(319,152) (119,616) ( ספקים - ( 199,536 
(168,295) - ( זכאים אחרים - ( 168,295 
(417,816) (119,616) (321,908) 23,708 
(*) חייבים ויתרות חובה והשקעות אחרות מסווגים בנכסים שוטפים, ממומשים במסגרת המחזור התפעולי של 
החברה.
מידע כספי נפרד ליום 31 בדצמבר 2013 
השקעות בערבון מוגבל 
10 
מידע נוסף לדוחות הכספיים ליום 31 בדצמבר 2013 
ב. סיכון נזילות 
להלן מועדי הפירעון החוזיים של התחייבויות פיננסיות בשנים הבאות, כולל פירעון קרן ואומדן תשלומי ריבית 
עתידיים, לא מהוונים. 
ליום 31 בדצמבר 2013 
תזרים עד 1 
הערך בספרים מזומנים חוזי שנים 1-2 שנים 2-5 שנים 
אלפי ₪ אלפי ₪ אלפי ₪ אלפי ₪ אלפי ₪ 
התחייבויות פיננסיות 
הלוואות ואשראי לזמן קצר - - - - - 
ספקים - - 316,000 316,000 316,000 
זכאים - - 250,020 250,020 250,020 
סך הכל - - 566,020 566,020 566,020 
ליום 31 בדצמבר 2012 
תזרים עד 1 
הערך בספרים מזומנים חוזי שנים 1-2 שנים 2-5 שנים 
אלפי ₪ אלפי ₪ אלפי ₪ אלפי ₪ אלפי ₪ 
התחייבויות פיננסיות 
- - 17,015 17,015 הלוואות ואשראי לזמן קצר 17,015 
ספקים - - 319,152 319,152 319,152 
זכאים - - 168,295 168,295 168,295 
- - 504,462 סך הכל 504,462 504,462 
ג. סיכוני מדד ומטבע חוץ 
להלן פירוט המכשירים הפיננסיים הנגזרים של החברה: 
ליום 31 בדצמבר 2013 
מועד מועד 
מטבע מטבע ערך נקוב תחילת פקיעה / שווי הוגן 
תאור הנגזר לקניה למכירה אלפי ₪ עסקה מימוש אלפי ₪ 
פורוורד – הגנה על חוב דולר 
44 1/2014 12/2013 לספק אוסטרלי ₪ 16,134 
פורוורד – הגנה על חוב 
(28) 1-2/2014 3/2013 לספק דולר ₪ 2,416 
16 18,550 
ליום 31 בדצמבר 2012 
מועד מועד 
מטבע מטבע ערך נקוב תחילת פקיעה / שווי הוגן 
תאור הנגזר לקניה למכירה אלפי ₪ עסקה מימוש אלפי ₪ 
פורוורד – הגנה על חוב דולר 
(102) 1/2013 12/2012 לספק אוסטרלי ₪ 35,221 
פורוורד – הגנה על חוב 
(449) 1-8/2013 7-12/2012 לספק דולר ₪ 36,583 
(551) 71,804
מידע כספי נפרד ליום 31 בדצמבר 2013 
השקעות בערבון מוגבל 
11 
מידע נוסף לדוחות הכספיים ליום 31 בדצמבר 2013 
3. מיסים על הכנסה 
א. מסים נדחים בגין הפרשים זמנים 
חופשה הטבות 
והבראה לעובדים רכוש קבוע אחרים סך הכל 
אלפי ₪ אלפי ₪ אלפי ₪ אלפי ₪ אלפי ₪ 
(31,990) 1,073 (45,798) 2,683 10,052 יתרה ליום 1 בינואר 2012 
(7,129) 769 (7,768) (44) ( שינויים שנזקפו לרווח והפסד ( 86 
(1,614) - - ( שינויים שנזקפו לרווח כולל אחר - ( 1,614 
(40,733) 1,842 (53,566) 1,025 9,966 יתרה ליום 31 בדצמבר 2012 
(1,977) 3,075 (9,825) שינויים שנזקפו לרווח והפסד 1,133 3,640 
(1,012) - - ( שינויים שנזקפו לרווח כולל אחר - ( 1,012 
(43,722) 4,917 (63,391) 1,146 13,606 יתרה ליום 31 בדצמבר 2013 
ב. מסים על הכנסה הכלולים בדוח רווח והפסד: 
לשנה שנסתיימה ביום 31 בדצמבר 
2011 2012 2013 
אלפי ₪ אלפי ₪ אלפי ₪ 
מסים שוטפים 52,312 56,850 72,087 
שינוי במסים נדחים 
5,478 7,129 ( שוטף ( 646 
שינוי שיעורי המס 12,506 - 2,623 
70,296 63,979 74,064 
4. קשרים, התקשרויות ועסקאות מהותיות עם חברות המוחזקות 
א. ערבויות פיננסיות 
קיימות ערבויות הדדיות לבנקים, בלתי מוגבלות בסכום בין החברה ובין חלק מחברות המוחזקות שבהן 
מחזיקה החברה 100% משיעור הבעלות בהון המניות ובזכויות ההצבעה. 
ב. הלוואות 
1. החברה מעמידה לעיתים הלוואות לזמן קצר לחברות מוחזקות. נכון ליום הדיווח עמדה יתרת ההלוואות 
24,632 אלפי ₪). - נטו לחברות מוחזקות על 6,100 אלפי ₪ ( 2012 
2. החברה העמידה הלוואות לזמן ארוך לחברות מוחזקות. נכון לתאריך המאזן יתרת ההלוואות ושטרי ההון 
70,476 אלפי ₪). - לזמן ארוך לחברות המוחזקות הינה 61,898 אלפי ₪ ( 2012 
5,691 ו- 11,308 אלפי ₪ , 2012 ו- 2011 הינם בסך 5,412 , הכנסות המימון נטו בגין חברות מוחזקות בשנים 2013 
בהתאמה.
מידע כספי נפרד ליום 31 בדצמבר 2013 
השקעות בערבון מוגבל 
12 
מידע נוסף לדוחות הכספיים ליום 31 בדצמבר 2013 
ג. הסכמים למתן שירותים 
1. החברה מספקת לחברות הקבוצה שירותי מטה ושירותי רכש מרכזיים. החברה רשמה הכנסות בגין 
104,274 ו- 95,980 אלפי ₪, בהתאמה. , 2012 ו- 2011 בסך של 111,231 , שירותים אלו בשנים 2013 
2. החברה כמו כל שאר חברות הקבוצה משתתפת בהוצאות של אחת מהחברות המוחזקות המבצעת את 
2012 ו- 2011 בסך של , שירותי הפצה והסחר. החברה רשמה הוצאות בגין שירותים אלו בשנים 2013 
211,890 ו- 162,341 אלפי ₪, בהתאמה. , 202,590 
3. החברה מקבלת מחברה מוחזקת דמי שימוש בגין שימוש בנכסים שבבעלותה. החברה רשמה הכנסות אלו 
16,369 ו- 16,985 אלפי ₪, בהתאמה. , 2012 ו- 2011 בסך 16,498 , בשנים 2013 
4. יתרת חו"ז נטו הנובעת מהתחשבנות מול החברות המוחזקות ליום 31 בדצמבר 2013 הינה 122,882 אלפי 
72,270 אלפי ₪). ₪ לזכות החברות המוחזקות (ליום 31 בדצמבר 2012 
ד. שינוי מבנה 
הקבוצה החליטה על שינוי במבנה החברות שבמסגרתו מפעל המאפה של בונז'ור ( 1986 ) בע"מ (להלן- "בונז'ור") מוזג 
לתוך כלל מערך הייצור של אסם השקעות (להלן - "אסם"). מאחר ובונ'זור הוחזקה באמצעות עלי דגן בע"מ (להלן- 
"עלי דגן") ומגן בית מאפה וקפה בע"מ (להלן- "מגן בית מאפה"), בוצעו שני מהלכים מקדמיים טרם מהלך מיזוג 
בונז'ור לתוך אסם כמיזוג חברות אם ובת כדלקמן: 
1. בשלב הראשון, מגן בית מאפה העבירה את כל החזקותיה במניות בונז'ור לידי בונז'ור, בפטור ממס בהתאם 
לסעיף 104 ג' לפקודת מס הכנסה (נוסח חדש), התשכ"א 1961- (להלן "הפקודה") ובהתאם להוראות חוק 
החברות, התשנ"ט 1999- (להלן "חוק החברות"). 
2. בשלב השני, עלי דגן העבירה את כל החזקותיה במניות בונז'ור לידי אסם, בפטור ממס לפי סעיף 104 ג' לפקודה 
ובהתאם להוראות חוק החברות. 
3. בשלב השלישי ומיד בסמוך לאחר העברות המתוארות בסעיפים 1 ו- 2 לעיל, מוזגה בונז'ור לתוך אסם בהתאם 
לסעיף 103 ב' לפקודה באופן בו העבירה בונז'ור את כל נכסיה התחייבויותיה ללא תמורה, תוך חיסולה של 
בונז'ור ללא פירוק. 
4. שינוי המבנה הותנה בין היתר בקבלת אישור מראש מרשות המסים לביצוע שינוי המבנה כאמור לעיל בפטור 
ממס ובאישור מרכז השקעות. בימים 26 בינואר 2012 ו- 26 ביולי 2012 התקבלו האישורים מרשות המסים 
. לשינוי המבנה בפטור ממס, אישור מרכז השקעות התקבל בדצמבר 2012 
5. תוצאות השנים 2012 ו- 2013 כוללות את תוצאות מפעל המאפה של בונז'ור ( 1986 ) בע"מ, שמוזג לתוך 
מערך הייצור של החברה. 
ה. דיבידנד 
65,425 אלפי ₪). - בשנת 2013 , קיבלה החברה דיבידנד מחברות בנות בסך 69,520 אלפי ₪ ( 2012 
למידע נוסף בדבר חברות מוחזקות ראה באור 10 בדוחות המאוחדים, בדבר חברות מאוחדות.
אסם השקעות בע"מ 
חלק ד': פרטים נוספים על התאגיד 
ושאלון ממשל תאגידי
אסם השקעות בע"מ וחברות בנות 
חלק רביעי - פרטים נוספים על התאגיד 
תוכן עניינים 
מספר תקנה 
עמוד 
8ב(ט) 
2-3 
9ד - 9 
3 
10 ג - 10 
3 
11 
4 
12 
4 
13 
4 
14 
4 
20 
4 
21 
5-8 
21 א 
9 
22 
9-12 
24 א - 24 
13-14 
24 ב 
15 
25 א 
16 
26 
16-22 
26 א 
22-27 
26 ב - 27 
28 
28 
28 
29 (א) - 29 (ג) 
28 
29 א 
29 
1
אסם השקעות בע"מ וחברות בנות 
דו"ח תקופתי לשנת 2013 
חלק רביעי - פרטים נוספים על התאגיד 
שם התאגיד: אסם השקעות בע"מ מס' חברה ברשם: 52-002606-3 
כתובת: רח' רימון 2, א.ת. חמ"ן ת.ד. 934 , שהם 60850 
טלפון: 03-7205050 פקסימיליה: 03-7205095 
2 
תאריך המאזן: 31.12.2013 
תאריך הדו"ח: 13.3.2013 
תקופת הדו"ח: 1.1.2013-31.12.2013 
-------------------------------------------------------------------------------------------------------- 
תקנה 8ב (ט): הערכת שווי מהותית מאד שביצע התאגיד 
הערכת שווי מהותית מאד 
1. זיהוי נושא הערכה: מוניטין מטרנה 
2. עיתוי הערכה: 31.12.2013 
3. שווי נושא הערכה סמוך לפני מועד הערכה: 451,045 אלפי ש"ח 
4. שווי נושא הערכה שנקבע בהתאם להערכה: 451,045 אלפי ש"ח 
5. זיהוי המעריך ואפיונו 
שם המעריך: עינת שפרלינג (משרד רו"ח ארנסט יאנג) 
בכלכלה וניהול בטכניון חיפה. (BA) השכלה: תואר ראשון 
באוניברסיטת (MBA) תואר שני במינהל עסקים 
ת"א. רואת חשבון מוסמכת. 
נסיון בביצוע הערכות שווי לצרכנים חשבונאיים 
בתאגידים מדווחים ובהיקפים דומים לאלה של 
ההערכה המדווחת או העולים על היקפים אלה: 
למעלה מ- 15 שנות ניסיון 
תלות במזמין הערכה: אין 
הסכמי שיפוי עם מעריך השווי: האחריות הכספית הכוללת של המעריך בקשר 
לביצוע הערכה זו מוגבלת לסך של 40 אלף ש"ח, 
למעט במקרה של זדון מצידו. 
6. מודל הערכה שמעריך השווי פעל לפיו: שיטת המכפיל 
7(א) שיעור ההיוון: לא רלוונטי 
7(ב) שיעור הצמיחה: לא רלוונטי 
7(ג) אחוז ערך הגרט מסך השווי שנקבע בהערכה 
(Terminal Value) 
לא רלוונטי 
7(ד) סטית תקן: לא רלוונטי 
7(ה) מחירים שישמשו בסיס להשוואה: לא רלוונטי 
7(ו) מספר בסיסי ההשוואה: לא רלוונטי 
הערכות שווי מהותיות 
1. זיהוי נושא הערכה: מוניטין טבעול ( 1993 ) בע"מ 
2. עיתוי הערכה: 31.12.2013 
3. שווי נושא הערכה סמוך לפני מועד הערכה: 297,026 אלפי ש"ח 
4. שווי נושא הערכה שנקבע בהתאם להערכה: 297,026 אלפי ש"ח 
5. זיהוי המעריך ואפיונו: הערכה עצמית של התאגיד 
DCF : 6. מודל הערכה שמעריך השווי פעל לפיו 
7(א) שיעור ההיוון: 8.25% ריאלי לאחר מס 
7(ב) שיעור הצמיחה: 2.5% ריאלי
7(ג) אחוז ערך הגרט מסך השווי שנקבע בהערכה 
3 
(Terminal Value) 
77% 
7(ד) סטית תקן: לא רלוונטי 
7(ה) מחירים שישמשו בסיס להשוואה: לא רלוונטי 
7(ו) מספר בסיסי ההשוואה: לא רלוונטי 
1. זיהוי נושא הערכה: התחייבות בגין אופציית מכר למיעוט במטרנה 
2. עיתוי הערכה: 31.12.2013 
3. שווי נושא הערכה סמוך לפני מועד הערכה: 326,002 אלפי ש"ח 
4. שווי נושא הערכה שנקבע בהתאם להערכה: 319,743 אלפי ש"ח 
5. זיהוי המעריך ואפיונו 
שם המעריך: עינת שפרלינג (משרד רו"ח ארנסט יאנג) 
בכלכלה וניהול בטכניון חיפה. (BA) השכלה: תואר ראשון 
באוניברסיטת (MBA) תואר שני במינהל עסקים 
ת"א. רואת חשבון מוסמכת. 
ניסיון בביצוע הערכות שווי לצרכנים חשבונאיים 
בתאגידים מדווחים ובהיקפים דומים לאלה של 
ההערכה המדווחת או העולים על היקפים אלה: 
למעלה מ- 15 שנות ניסיון 
תלות במזמין הערכה: אין 
הסכמי שיפוי עם מעריך השווי: האחריות הכספית הכוללת של המעריך בקשר 
לביצוע הערכה זו מוגבלת לסך של 40 אלף ש"ח, 
למעט במקרה של זדון מצידו. 
DCF : 6. מודל הערכה שמעריך השווי פעל לפיו 
7(א) שיעור ההיוון: 8.25% במונחים ריאליים לאחר מס 
7(ב) שיעור הצמיחה: 1% ריאלי 
7(ג) אחוז ערך הגרט מסך השווי שנקבע בהערכה 
(Terminal Value) 
לא רלוונטי 
7(ד) סטית תקן: לא רלוונטי 
7(ה) מחירים שישמשו בסיס להשוואה: לא רלוונטי 
7(ו) מספר בסיסי ההשוואה: לא רלוונטי 
תקנה 9: דו"חות כספיים 
הדו"חות הכספיים המבוקרים בצירוף חוות דעת רואה החשבון נכללים במסגרת הדו"ח התקופתי שפרק זה 
מהווה חלק הימנו (להלן: "הדו"חות הכספיים"). 
תקנה 9ג: דו"ח כספי נפרד של התאגיד 
הדו"חות הכספיים המבוקרים בצירוף חוות דעת רואה החשבון נכללים במסגרת הדו"ח התקופתי שפרק זה 
מהווה חלק הימנו. 
תקנה 9ד: דו"ח מצבת התחייבויות לפי מועדי פירעון 
ראו דיווח מיידי שפרסם התאגיד (ת 126- ) במקביל לדוח תקופתי זה. 
תקנה 10 : דו"ח הדירקטוריון על מצב עניני התאגיד 
דו"ח הדירקטוריון נכלל במסגרת הדו"ח התקופתי שפרק זה מהווה חלק הימנו. 
תקנה 10 א: תמצית דו"חות רווח והפסד רבעוניים 
. נכלל במסגרת דו"ח הדירקטוריון כאמור בתקנה 10 
תקנה 10 ג: שימוש בתמורת ניירות ערך תוך התייחסות ליעדי התמורה עפ"י התשקיף 
בתקופת הדו"ח לא הוצעו ניירות ערך בתשקיף.
תקנה 11 : רשימת השקעות מהותיות בחברות בת ובחברות קשורות לתאריך המאזן 
4 
שם החברה מס' המניה 
בבורסה 
סוג מניה מספר מניות סה"כ ע"נ עלות באלפי ₪ ערך מאזני באלפי ₪ שיעור ההחזקה במישרין או בעקיפין (**) 
אסם תעשיות מזון בע"מ - - - רגילה 
יסוד 
1,758,595 
9 
175.93 
0.009 
4,521 
(*)523,564 
100% 
טבעול ( 1993 ) בע"מ - - - רגילה 
100% 730,081 190,605 1,043 1,043 
(*) מאחר ומדובר בשליטה במישרין או בעקיפין בשיעור של 100% , הוצג מלא הערך המאזני ולא רק החלק הישיר באחזקת החברה. 
(**) שעור החזקה בהון ובהצבעה. 
תקנה 12 : שינויים בהשקעות מהותיות בחברות בנות בתקופת הדו"ח 
."—" 
תקנה 13 : הכנסות של חברות בנות וקשורות מהותיות (לא כולל שותפויות וחברות לא פעילות) והכנסות התאגיד מהן לתאריך המאזן 
שם החברה רווח לפני מס 
באלפי ₪ 
רווח אחרי מס 
באלפי ₪ 
דיבידנד 
באלפי ₪ 
דמי ניהול 
באלפי ₪ 
ריבית 
באלפי ₪ 
אסם תעשיות מזון בע"מ 
- - - - - - - - - 62,227 82,842 
טבעול ( 1993 ) בע"מ 
(339) - - - - - - 41,525 46,457 
תקנה 14 : רשימת קבוצות של יתרות הלוואות שניתנו לתאריך המאזן, אם מתן הלוואות היה אחד מעיסוקיו העיקריים של התאגיד 
מתן הלוואות איננו אחד מעיסוקיו העיקריים של התאגיד. 
תקנה 20 : מסחר בבורסה - ני"ע שנרשמו למסחר - מועדי וסיבות הפסקת מסחר 
למיטב ידיעת התאגיד לא בוצעה הפסקת מסחר בניירות הערך של התאגיד.
5 
תקנה 21 : תגמולים לבעלי עניין ולנושאי משרה בכירה 
תגמולים לנושאי משרה ובעלי עניין כפי שהוכרו בדוחות הכספיים לשנת הדו"ח 
שם 
תפקיד 
היקף 
משרה 
שיעור 
החזקה 
בהון 
התאגיד 
שכר 
(II) יסוד 
תנאים 
(III) סוציאליים 
(IV) מענק כספי 
אופציות פנטום 
שנזקפו בשנת 
(V) 2013 
גמול 
(VI) דירקטורים 
סה"כ שכר 
יסוד, תנאים 
סוציאליים, 
מענקים, 
אופציות פנטום 
שנזקפו בשנת 
2013 וגמול 
דירקטורים 
פיצוי חד פעמי 
בגין עלויות 
והפסדים בשנת 
2011 
עליית ערך 
עקב שיערוך 
של אופציות 
פנטום 
חסומות 
שניתנו 
בשנים 
(VII) קודמות 
1ד) 1,489,307 )540,000 1ג) 5,221,604 ) 1ב) 1,446,751 )963,811 1,264,627 צאיג איציק מנהל כללי ( 1א) מלאה 1,546,415 
לוטן עמרי 
מנכ"ל חטיבת מזון 
836,848 2,954,184 2ג) 207,048 ) 2ב) 551,122 )976,096 מוכן ( 2א) מלאה 1,219,918 
אימבר מאיר 
משנה למנכל תפעול 
1,546,448 3,217,055 3ב) 774,461 )543,666 878,414 3א) מלאה 1,020,514 ) 
קלימי זאב 
מנכ"ל נגה גלידות 
1,251,661 3,153,254 4ב) 735,441 )296,400 981,413 4א) מלאה 1,140,000 ) 
קימלמן 
פנחס 
משנה למנכל 
1,544,220 3,051,069 5ב) 774,466 )538,549 717,518 לכספים ( 5א) מלאה 1,020,536 
פרופר דן 
יו"ר הדירקטוריון 
6ד) 3,728,922 ) 6ג) 110,090 )1,102,736 922,509 6ב) 1,593,587 ) 6א) מלאה 0.08% ) 
פינקלשטיין 
אברהם 
יועץ לנושא כשרות 
7ג) 624,981 )133,412 7ב) 29,964 )461,605 / דירקטור ( 7א) 1.86% 
הערות כלליות: 
מדיניות תגמול - ביום 3.9.2013 אושרה מדיניות התגמול של נושאי משרה בתאגיד (להלן: "מדיניות .i 
התגמול") לאחר שנתקבל אישור וועדת התגמול, הדירקטוריון ואסיפת בעלי מניות התאגיד. לפרטים אודות 
הליך אישור המדיניות ולנוסח מדיניות התגמול ראו דוח מיידי של התאגיד מיום 29.7.2013 (מספר אסמכתא 
.(2013-01-103278 
שכר יסוד - שכר היסוד מבוסס על שכרו החודשי של נושא המשרה. .ii 
תנאים סוציאליים - התנאים הסוציאליים השונים כוללים משכורת 13 , אחזקת רכב, הוצאות טלפון, .iii 
ארוחות, עיתונים, שי לחגים, בדיקות רפואיות, קצבת ביגוד, זכויות סוציאליות והפרשות סוציאליות ונלוות 
כמקובל. 
מענקים (בונוסים) - בנוסף לרכיב השכר של מנהלים בקבוצת אסם (המבוסס על שכר בסיס, הטבות ורכיבים .iv 
נוספים) מוענקים למנהלים בקבוצה מענקים המבוססים על תכנית מענקים כללית של התאגיד בהתאם 
לעקרונות מדיניות התגמול. על פי הוראות מדיניות התגמול תשלום המענק מבוסס על תנאי סף של עמידה 
בשיעור של 75% מיעד הרווח התפעולי השנתי של התאגיד לשנת הדוח על בסיס דוחות כספיים שנתיים 
מאוחדים (תנאי אשר התקיים בפועל בשנת הדוח) וכן על עמידה ביעדי קבוצת אסם לשנת הדוח ועל עמידה 
של המנהלים השונים ביעדי היחידות העסקיות/אגפים המנוהלים על ידם לשנת הדוח. לפרטים נוספים 
לזכאות למענקים, אופן החישוב וסוגי היעדים השונים ראו פרק ג' למדיניות התגמול. 
יעדי קבוצת אסם לצרכי תשלום הבונוס למנהלים בכירים בקבוצת אסם בגין שנת 2013 מבוססים על תכנית 
Real Organic ) העבודה השנתית של קבוצת אסם לשנת 2013 והם מורכבים מחמישה יעדים: (א) גידול ריאלי 
שמשקלו 30% בחישוב (Organic Growth) שמשקלו 10% בחישוב הבונוס; (ב) צמיחה אורגאנית (Growth 
Free ) שמשקלו 40% בחישוב הבונוס; (ד) תזרים מזומנים (Operating Profit 1) הבונוס; (ג) רווחיות תפעולית 
שמשקלו 10% בחישוב הבונוס; (Market Share) שמשקלו 10% בחישוב הבונוס; ו-(ה) נתח שוק (Cash Flow 
(להלן ביחד: "היעדים של קבוצת אסם"); בהתאם לתוצאות התאגיד (במאוחד) לשנת 2013 , שיעור העמידה 
. המשוקלל ביעדי קבוצת אסם כאמור עמד על 106%
הסכום בעמודה זו (עמודת "מענק כספי") מורכב מהבונוס כפי שהוכר בדוחות הכספיים של התאגיד לשנת 
הדוח. 
המענקים המפורטים לעיל לכל אחד מנושאי המשרה בתאגיד אושרו בוועדת התגמול ובדירקטוריון בהתאם 
לעמידה ביעדים כאמור, ובהתאם למדיניות התגמול. 
תכנית מענקים לעידוד ושימור עובדים ("תכנית אופציות פנטום") - ביום 29.5.2008 אישר דירקטוריון .v 
התאגיד תוכנית מענקים לעידוד ושימור מנהלים בקבוצת אסם (שאינם בעלי שליטה או קרובים להם, 
( ושאינם דירקטורים בתאגיד), שתוקנה על ידי הדירקטוריון ביום 27.8.2009 לתקופה של 3 שנים ( 2008-2010 
("תכנית 2008 "). בנוסף ביום 25.5.2011 אישר דירקטוריון התאגיד תוכנית מענקים נוספת לעידוד ושימור 
מנהלים בקבוצת אסם שאינם בעלי שליטה או קרובים להם, ושאינם דירקטורים בתאגיד), לתקופה של 3 
שנים ( 2011-2013 ) ("תכנית 2011 "). על פי תנאי כל אחת מהתכניות כאמור העניק התאגיד "אופציות 
פנטום" למספר מנהלים בכירים בתאגיד כך שהמענק שיתן התאגיד (אם וככל שיתן) יתבסס על הפער בין 
המחיר הממוצע של מניית התאגיד במשך 2 חודשים לפני מועד הענקת האופציה ובין המחיר הממוצע של 
מניית התאגיד במשך 2 חודשים לפני מועד מימוש האופציה. תקופת ההבשלה של כל "אופציה" (תקופת 
עומדת על שלוש שנים מחודש מאי בכל אחת משנות תכנית 2008 ועל שלוש שנים מחודש יוני בכל (vesting 
אחת משנות תכנית 2011 . ערך האופציה בכל אחת מהתכניות כאמור חושב על בסיס נוסחת המודל הבינומי 
ועל ידי מעריך שווי חיצוני. במסגרת מדיניות התגמול של הקבוצה נקבעה תקרה ולפיה שווי אופציות 
הפנטום המחולקות החל משנת 2013 לא יעלה על פי 2 משווי ההטבה במועד ההקצאה, צמוד למדד המחירים 
לצרכן, על פי מדד הבסיס ביום ההקצאה. 
תכנית אופציות הפנטום עולה בקנה אחד עם תנאי מדיניות התגמול. 
הסכום בעמודה זו מבטא את ההוצאה שנזקפה והוכרה בדוחות הכספיים בגין אופציות פנטום אך אינו כולל 
עליית ערך עקב שיערוך של אופציות פאנטום חסומות שניתנו בשנים קודמות. 
תשלום גמול דירקטורים - בהתאם להחלטות וועדת הביקורת והדירקטוריון ובהתאם להחלטת האסיפה .vi 
הכללית של התאגיד מיום 2.9.1997 לפיהן זכאים כל חברי הדירקטוריון של התאגיד לגמול השתתפות וגמול 
שנתי בשיעורם המקסימאלי על פי תקנות החברות (כללים בדבר גמול והוצאות לדירקטורים מקרב הציבור) 
התשמ"ח 1998- משלם התאגיד לחברי הדירקטוריון גמול בגין כהונתם כדירקטורים בתאגיד, בסכום השווה 
לשיעור המקסימאלי על פי תקנות החברות - כללים בדבר גמול והוצאות לדירקטורים מקרב הציבור; ביום 
29 במאי 2008 אישר דירקטוריון התאגיד, לאחר שנתקבל אישור ועדת הביקורת, לעדכן את גמולם של 
הדירקטורים החיצוניים בתאגיד החל מחודש יולי 2008 , בהתאם לתיקון מיום 6 למרץ 2008 לתקנות 
החברות (כללים בדבר גמול והוצאות לדירקטור חיצוני), תש"ס- 2000 , וגמול הדירקטורים (שאינם 
דירקטורים חיצוניים) עודכן בהתאם. בהתאם להחלטת ועדת הביקורת, חברי דירקטוריון שמועסקים 
בתאגיד (למעט נותני שירותים) לא יהיו זכאים לגמול ישיבות. 
סכום גמול הדירקטורים הכולל לשנת הדוח, לדירקטורים שאינם מפורטים בטבלה לעיל (לרבות הדח"צים) 
ובהתאם לאמור לעיל עמד על 1,202,394 ש"ח. 
הסכום בעמודה זו מבטא הוצאה שנזקפה והוכרה בדוחות הכספיים בגין עליית ערך עקב שיערוך של .vii 
אופציות פנטום חסומות שניתנו בשנים קודמות ואינו מבטא מענק שניתן בשנת הדו"ח. 
ביטוח דירקטורים ונושאי משרה - ראו תקנה 22 להלן. .viii 
6 
הערות לטבלה: 
איציק צאיג: 
1א) מר צאיג משמש כמנכ"ל התאגיד החל מיום 2.4.2012 . תנאי הסכם העסקתו של מר צאיג כמנכ"ל התאגיד, כפי ) 
שאושרו בוועדת הביקורת ובדירקטוריון התאגיד, קובעים כי תקופת העסקתו תהיה עד לגיל הפרישה החוקי 
של מר צאיג, וכי ההסכם ניתן לסיום בכל עת ללא סיבה או עילה כלשהי בהודעה מוקדמת בת 90 יום על ידי 
התאגיד או בהודעה מוקדמת בת 120 יום על ידי המנכ"ל, ובמקרה שמי מהצדדים יבקש לסיים ההסכם קודם 
למועד סיומו בהודעה מוקדמת יהיה המנכ"ל זכאי לשכר חודשי וליתר תנאי העסקתו לתקופה של 6 חודשים 
ממועד סיום עבודתו. על פי ההסכם, זכאי המנכ"ל ל- 13 משכורות בשנה, למענקים (בונוסים) על פי תכנית 
המענקים השנתית של התאגיד וכפי שיאושר על ידי דירקטוריון התאגיד מעת לעת ולאופציות פנטום על פי 
תכנית אופציות הפנטום של התאגיד כפי שתהיה מעת לעת וכפי שתאושר על ידי הדירקטוריון. על פי ההסכם 
זכאי המנכ"ל גם לתנאים נלווים כגון רכב ואחזקת רכב (כולל גילום מס), הוצאות טלפון, ארוחות, עיתונים, 
שי לחגים, בדיקות רפואיות, קצבת ביגוד, זכויות סוציאליות והפרשות סוציאליות ונלוות כמקובל (לפרטים 
נוספים אודות תנאי העסקתו של מר צאיג כמנכ"ל התאגיד ראו גם דוח מיידי מיום 25.3.2012 מס' אסמכתא 
.(2012-01-077394
1ב) היעדים ששימשו בקביעת המענק למר צאיג הינם היעדים של קבוצת אסם. תשלום המענק למר צאיג אושר ) 
בוועדת התגמול ובדירקטוריון והוא כפוף לאישור אסיפת בעלי מניות התאגיד שתזומן בהתאם להוראות 
הדין. 
1ג) בהתאם להחלטותיהם של ועדת התגמול, הדירקטוריון ואסיפת בעלי המניות של התאגיד, הוענקו למר צאיג, ) 
בגין שנת 2013 ובהתאם לתכנית אופציות פנטום, אופציות פנטום בסכום השווה במועד ההענקה ל- 12 
משכורות חודשיות של המנכ"ל, היינו סך של 1,565,052 ש"ח. לפרטים נוספים אודות אישור הענקת אופציות 
.( הפנטום למנכ"ל - ראו דוח מיידי של התאגיד מיום 26.5.2013 (מס' אסמכתא 2013-01-071026 
1ד) פיצוי חד-פעמי בגין עלויות והפסדים בשנת 2011 : בהתאם להחלטותיהם של ועדת התגמול, הדירקטוריון ) 
ואסיפת בעלי המניות של התאגיד, אושר תשלום פיצוי חד פעמי למנכ"ל, בסך של 540 אלפי ש"ח נוכח הוצאות 
עלויות והפסדים שנגרמו לו מחמת סיומה המוקדם (לבקשת התאגיד) של כהונתו כמנכ"ל נסטלה –ניו זילנד 
ושובו ארצה בשנת 2011 לטובת העסקתו בחברה. לפרטים נוספים ראו דוח מיידי של התאגיד מיום 
7 
.( 26.5.2013 (מס' אסמכתא 2013-01-071026 
עמרי לוטן: 
2א) עמרי לוטן החל העסקתו בחברה בשנת 2008 ועד ליום 1.2.2014 שימש כמנכ"ל חטיבת מזון מוכן. תנאי ) 
העסקתו של מר עמרי לוטן היו על פי הסכם העסקתו מיום 27.5.2008 , והם כללו שכר חודשי, תנאים 
סוציאליים, השתתפות באחזקת רכב וטלפון, השתתפות בהוצאות בתפקיד, זכאות למענק שנתי בסך של עד 
שש משכורות בהתאם ליעדים מדידים שיוגדרו. תנאי ההתקשרות עימו לא קבעו את משך ההתקשרות. 
בהתייחס לזכאות לסיים ההתקשרות, נקבע כי מר לוטן זכאי ל- 6 חודשי הסתגלות ובנוסף ל- 3 חודשי הודעה 
מוקדמת בהם יהיה חייב לעבוד. ביום 29.5.2008 אישר דירקטוריון התאגיד כי כל זמן שמקום מגוריו של 
עמרי לוטן בכפר ורדים, יעמיד התאגיד לרשותו דירת מגורים במרכז הארץ לחלק מימות השבוע. 
2ב) כולל סכום של 123,085 ₪ בגין דמי החזקת דירת מגורים במרכז הארץ על פי תנאי הסכם העסקתו של מר ) 
לוטן - ראו הערה לעיל לעניין תנאי העסקתו של מר לוטן. 
2ג) בחישוב המענק למר לוטן ניתן משקל של 30% לעמידה ביעדים של קבוצת אסם ומשקל של 70% לעמידה ) 
, ביעדים שנקבעו לחטיבת המזון המוכן. שיעור העמידה המשוקלל בסך היעדים של מר לוטן עמד על 103% 
ו לעיל) ומעמידה של 102% ביעדי חטיבת המזון IV המורכב מעמידה של 106% ביעדי קבוצת אסם (ראו הערה 
המוכן. 
מאיר אימבר: 
3א) מאיר אימבר מועסק בתאגיד משנת 2003 ומשמש כמשנה למנכ"ל לתפעול ומנהל אגף התפעול. תנאי העסקתו ) 
של מר מאיר אימבר הינם על פי הסכם העסקתו מיום 16.6.2003 , והם כוללים שכר חודשי, תנאים 
סוציאליים, השתתפות באחזקת רכב וטלפון, השתתפות בהוצאות בתפקיד. למר אימבר זכאות לבונוס שנתי 
בהתאם למדיניות התאגיד ולאופציות פנטום כמקובל לגבי מנהלים בכירים בתאגיד. תנאי ההתקשרות אינם 
קובעים את משך ההתקשרות. 
3ב) בחישוב המענק למר אימבר ניתן משקל של 50% לעמידה ביעדים של קבוצת אסם ומשקל של 50% לעמידה ) 
ביעדים שנקבעו לאגף התפעול. שיעור העמידה המשוקלל בסך היעדים של מר אימבר עמד על 111% , המורכב 
לעיל) ומעמידה של 116% ביעדי אגף תפעול. IV מעמידה של 106% ביעדי קבוצת אסם (ראו הערה 
זאב קלימי: 
4א) זאב קלימי מועסק בתאגיד משנת 2009 ומשמש כמנכ"ל נגה גלידות שותפות מוגבלת ("נגה גלידות"). תנאי ) 
העסקתו של מר זאב קלימי הינם על פי הסכם העסקתו מיום 12.1.2009 , והם כוללים את הגדרת תפקידו, 
שכרו החודשי, תנאים סוציאליים, השתתפות באחזקת רכב וטלפון, השתתפות בהוצאות בתפקיד וכן זכאות 
לבונוס יעד של שש משכורות. בנוסף נקבע כי מר קלימי יהיה זכאי לאופציות פנטום כמקובל לגבי מנהלים 
בכירים. תנאי ההתקשרות אינם קובעים את משך ההתקשרות. בהתייחס לזכאות לסיים ההתקשרות, נקבעה 
הודעה מוקדמת של 6 חודשים אם יתבצע שינוי ארגוני בתאגיד, ובתנאים אחרים 3 חודשים. 
4ב) בחישוב המענק למר קלימי ניתן משקל של 30% לעמידה ביעדים של קבוצת אסם ומשקל של 70% לעמידה ) 
ביעדים שנקבעו לנגה גלידות. שיעור העמידה המשוקלל בסך היעדים של מר קלימי עמד על 52% , המורכב 
לעיל) ומעמידה של 29% ביעדי נגה גלידות. IV מעמידה של 106% ביעדי קבוצת אסם (ראו הערה
8 
פנחס קימלמן: 
5א) פנחס קימלמן מועסק בתאגיד משנת 1988 . פנחס קימלמן משמש כמשנה למנכ"ל לכספים ומנהל אגף ) 
הכספים. תנאי העסקתו של מר פנחס קימלמן הינם על פי הסכם העסקתו מחודש מרץ 1988 והם כוללים שכר 
חודשי, תנאים סוציאליים, השתתפות באחזקת רכב וטלפון, השתתפות בהוצאות בתפקיד. למר קימלמן 
זכאות לבונוס שנתי בהתאם למדיניות התאגיד ולאופציות פנטום כמקובל לגבי מנהלים בכירים בתאגיד. 
תנאי ההתקשרות אינם קובעים את משך ההתקשרות. 
5ב) בחישוב המענק למר קימלמן ניתן משקל של 50% לעמידה ביעדים של קבוצת אסם ומשקל של 50% לעמידה ) 
ביעדים שנקבעו לאגף הכספים. שיעור העמידה המשוקלל בסך היעדים של מר קימלמן עמד על 110% המורכב 
לעיל) ומעמידה של 114% ביעדי אגף הכספים. IV מעמידה של 106% ביעדי קבוצת אסם (ראו הערה 
דן פרופר 
6א) ביום 1.5.2006 אישרה האסיפה הכללית של התאגיד את תנאי העסקתו של מר דן פרופר כיו"ר דירקטוריון ) 
התאגיד לתקופה של 5 שנים החל מיום 1.4.2006 . ביום 19.10.2010 אישרה האסיפה הכללית של התאגיד את 
תנאי העסקתו כיו"ר דירקטוריון התאגיד לתקופה של 3 שנים נוספות החל מיום 1.4.2011 (עד ליום 
31.3.2014 ) עם אפשרות להארכת תקופת ההעסקה בשנתיים נוספות עד ליום 31.3.2016 , בכפוף לאישור 
הדירקטוריון. ביום 21.11.2013 אישר דירקטוריון התאגיד (לאחר שנתקבל אישור ועדת התגמול), את הארכת 
כהונתו של מר דן פרופר בתפקיד יו"ר דירקטוריון התאגיד עד ליום 31.3.2016 , ללא שינוי בתנאי העסקתו. על 
פי תנאי העסקתו צמוד שכרו החודשי של מר דן פרופר לשיעור שהוא לפחות שיעור העלייה הממוצע בשכר של 
ארבעים עובדים המקבלים את השכר הגבוה ביותר בתאגיד אך למעט אלה מבין אותם ארבעים שהם בעלי 
עניין ("קבוצת ההשוואה"); כמו כן, במסגרת תנאי העסקתו נקבע מנגנון תשלום מענק, לפיו בכל שנה בה 
יינתן על ידי התאגיד בונוס לשישה מנהלים בכירים או יותר מתוך קבוצת ההשוואה, מר דן פרופר זכאי 
לבונוס המחושב לפי סכום הבונוס הממוצע שנקבע לאותם עובדים מתוך קבוצת ההשוואה להם נקבע הבונוס, 
כשהוא מחולק בשכר הממוצע של אותם עובדים ב- 12 החודשים האחרונים, באופן שהמנה המתקבלת 
מוכפלת בשכרו הממוצע של מר דן פרופר ב- 12 החודשים האחרונים. מובהר כי במסגרת החישוב לצורך 
המענק האמור, נכללים מענקים הנובעים ממימוש אופציות פנטום שמומשו בעבר ו/או שתמומשנה בעתיד; 
כמו כן, זכאי מר דן פרופר לגמול שנתי בגין כהונתו כדירקטור בתאגיד; לרכב; לתנאים סוציאליים נלווים; 
וכן לכיסוי ביטוח דירקטורים ונושאי משרה כפי שיהיה בתאגיד מעת לעת. על פי תנאי ההתקשרות, ככל ומר 
פרופר יסיים את תפקידו לפני תום תקופת ההעסקה (או תקופת ההארכה) מסיבות שאינן בשליטתו, ישלם לו 
התאגיד (בנוסף לתשלום פיצויי פיטורין), את כל יתרת עלות השכר אשר תגיע לו עבור יתרת התקופה עד לתום 
תקופת ההעסקה (או תקופת ההארכה). לפרטים אודות תנאי ההתקשרות ראו גם דו"ח מיידי של התאגיד 
.( מיום 21.9.2010 (מס' אסמכתא – 2010-01-628209 
6ב) שיעור החזקה בהון התאגיד למועד הדו"ח. ) 
6ג) המענק הינו בגין שנת 2013 בהתאם למנגנון החישוב המפורט לעיל. ) 
לעיל. (VI) 6ג) גמול דירקטורים – ראו הערה כללית ) 
אברהם פינקלשטיין: 
7א) אברהם פינקלשטיין הועסק בתאגיד החל משנת 1988 ועד חודש אפריל 2010 . החל מאפריל 2010 , ועם הפסקת ) 
כהונתו כסמנכ"ל מינהל, החל מר פינקלשטיין לספק לתאגיד ולחברות נוספות בקבוצה שירותים בענייני 
כשרות וייעוץ בענייני יחסי עבודה, בהיקף עבודה של יומיים בשבוע (ואף מעבר לכך, אם וככל שיידרש, וללא 
, תמורה נוספת). תקופת ההתקשרות עם מר פינקלשטיין נקבעה לתקופה של 3 שנים החל מחודש מאי 2010 
כאשר כל צד (התאגיד ומר פינקלשטיין) רשאי להביא את ההתקשרות לידי סיום בהודעה מראש בת 90 ימים; 
התמורה ששולמה למר פינקלשטיין בגין השירותים כאמור הייתה בנוסף לגמול אשר מר פינקלשטיין זכאי 
לעיל). ביום 1.5.2013 אישרה אסיפת בעלי VI לקבל בתוקף כהונתו כדירקטור בתאגיד (ראו הערה כללית 
מניות התאגיד (לאחר שנתקבל אישור ועדת התגמול ודירקטוריון התאגיד), את הארכת תקופת ההתקשרות 
עם מר פינקלשטיין ב- 3 שנים נוספות, עד ליום 30.4.2016 (להלן: "תקופת ההארכה"), באופן שבתקופת 
ההארכה ימשיך מר פינקלשטיין לספק לתאגיד ולחברות הקבוצה, תוך הפחתה מסוימת לתנאי התגמול להם 
הוא היה זכאי עד לתחילת תקופת ההארכה, שירותים בענייני כשרות ובמשך 6 החודשים הראשונים לתקופת 
ההסכם המוארכת הוא אף ייעץ בסוגיות יחסי עבודה, אם וככל שנדרש לכך ללא תמורה נוספת (לפרטים 
.( נוספים אודות תנאי ההתקשרות ראו גם דוח מיידי מיום 30.4.2013 מס' אסמכתא 2013-01-011017 
7ב) – דמי יועץ כמפורט לעיל. ) 
לעיל. (VI) 7ג) גמול דירקטורים – ראו הערה כללית )
9 
תקנה 21 א: בעל השליטה בתאגיד 
תאגיד רב לאומי שמניותיו נסחרות בבורסה לניירות ערך של שוויץ ,NESTLE S.A. בעלת השליטה בתאגיד הינה 
(להלן: "נסטלה"). 
יצוין כי עד לחודש נובמבר 2011 היה לנסטלה הסכם עם ה"ה דן פרופר וגד פרופר, אשר החזיקו במהלך אותה 
תקופה, כל אחד מהם ביחד עם בני משפחתו, בכ- 4.99% מהון המניות ומזכויות ההצבעה בתאגיד, באמצעות 
חברות שונות. ביום 15.11.2011 הודיעה נסטלה לתאגיד כי בוטלו כל ההסדרים שהיו בינה לבין ה"ה דן פרופר וגד 
פרופר, לפיהם הם נדרשו להצביע במניותיהם באסיפות בעלי מניות של התאגיד ביחד עם נסטלה ו/או במטרה 
לתמוך בהחלטה כלשהי לטובת נסטלה ו/או לנקוט בכל פעולה על מנת לקדם את האינטרסים של נסטלה. על פי 
הודעת נסטלה כאמור, אין בהודעה המתוארת לעיל בכדי לגרוע מהתחייבותה דאז של נסטלה כלפי ה"ה דן פרופר 
וגד פרופר להצביע בעד מינויים כדירקטורים בתאגיד בתנאים שנקבעו וכן שלא לקבל החלטות מסוימות שעניינן 
פגיעה בזכויות מיעוט בתאגיד כפי שדווח בעבר על ידי התאגיד. ראו גם דוח מיידי מיום 15.11.2011 (מס' אסמכתא 
01-327141-2011 ) אשר הפרטים הכלולים בו מובאים על דרך ההפניה. ביום 1.2.2012 מכר מר גד פרופר את מלוא 
אחזקותיו בהון התאגיד וביום 27.11.2013 מכר מר דן פרופר את מרבית אחזקותיו בהון התאגיד. למיטב ידיעת 
התאגיד, נכון למועד הדוח, , מר דן פרופר מחזיק ב- 93,122 מניות התאגיד. 
תקנה 22 : עסקאות עם בעל שליטה 
עסקאות עם בעל שליטה או שלבעל השליטה יש בהן עניין אישי 
ו/או חברות קשורות לה, (להלן (Nestle S.A) להלן פרטים, למיטב ידיעת התאגיד, בדבר כל עסקה עם בעל השליטה 
בפירוט תקנה זו "נסטלה") או שלבעל השליטה בתאגיד יש עניין אישי באישורה, אשר התאגיד ו/או חברות 
בשליטתו ("הקבוצה") התקשרו בה בשנת הדו"ח או במועד מאוחר לשנת הדו"ח ועד למועד הגשת דוח זה, או 
שהיא עדיין בתוקף במועד הדו"ח: 
4) לחוק החברות ) עסקאות לפי סעיף 270 
עסקת מטרנה: ביום 12.9.2008 התקשר התאגיד בהסכם עם מעבדות מטרנה בע"מ ("מעבדות מטרנה") לפיהם 
רכש התאגיד 51% מהרכוש הקבוע, המוניטין וההון החוזר על פעילות המזון לתינוקות של מעבדות מטרנה 
המרוכזת תחת המותג "מטרנה", באופן שהתאגיד ומעבדות מטרנה הקימו שותפות שבה מחזיק התאגיד 51% 
(והיתרה מוחזקת על ידי מעבדות מטרנה), ובאופן שהתאגיד ומעבדות מטרנה מעמידים לרשות השותפות את 
הרכוש הקבוע, המוניטין וההון החוזר; במקביל רכשה נסטלה ממעבדות מטרנה 51% מהידע והמותגים של 
מטרנה, באופן שאלו ביחד עם הידע והמותגים של נסטלה מועמדים לרשות השותפות תמורת דמי שימוש ("עסקת 
מטרנה"). לפרטים נוספים אודות מתווה העסקה ותנאיה ראו דיווחים מיידיים של התאגיד מיום 23.10.2007 
. ומיום 14.9.2009 
ביום 27.1.2009 אישרה האסיפה הכללית של התאגיד את עסקת מטרנה, לאחר שנתקבל אישור ועדת הביקורת 
והדירקטוריון. לפרטים נוספים ראו דיווחים מיידיים של התאגיד מיום 30.11.2008 , מיום 11.12.2008 ומיום 
. 27.1.2009 . לפרטים נוספים אודות מתווה העסקה ותנאיה ראו דיווחים מיידיים של התאגיד מיום 22.12.2009 
ביום 26 ביולי 2011 החליטה וועדת הביקורת של התאגיד לקצוב את תקופת ההתקשרות בהסכם זה, לתקופה של 
המאוחר מבין חמש עשרה שנה מחודש דצמבר 2009 או מועד מימוש אופציה שניתנה לנסטלה לרכוש את יתרת 
הקניין הרוחני של מטרנה ממעבדות מטרנה, ואישרה כי המשך ההתקשרות בהסכם זה לתקופה כאמור העולה על 
. 3 שנים הינו סביר בנסיבות העניין. לפרטים ראו דיווח מיידי מיום 27.7.2011 
מיום 1.2.2009 : ביום 27.1.2009 אישרה האסיפה "Foodtech" - ו "Tribe" הסכם בעניין הקניין הרוחני של 
הכללית של התאגיד, לאחר שנתקבל אישור ועדת הביקורת והדירקטוריון, את ההתקשרות בהסכם למכירת 
הקניין הרוחני של טרייב ופודטק (ידע וסימני מסחר) שרכשה חברת הבת טבעול (באמצעות תאגידים בשליטתה) 
לנסטלה ו/או חברות קשורות לה, במחיר של כ- 15.6 מליון דולר ארה"ב תמורת הקניין הרוחני של טרייב, ובמחיר 
של כ- 9.4 מליון דולר ארה"ב תמורת הקניין הרוחני של פודטק. 
בהתאם לתנאי ההסכם, לאחר מכירת הקניין הרוחני לנסטלה, מעמידה נסטלה את הקניין הרוחני האמור לרשותה 
של טבעול לצרכי פעילותה בצפון אמריקה (ביחד עם ידע של נסטלה בתחום הסלטים המצוננים ותחליפי הבשר) 
תמורת תמלוגים בשיעור של 2.5% מהמכירות נטו של חברת הבת של טבעול בארה"ב. תקופת ההסכם הראשונה 
נקבעה ל- 10 שנים וההסכם יתחדש באופן אוטומטי לתקופות נוספות בנות 5 שנים כל תקופה. ההסכם כולל 
הוראות נוספות בדבר שימוש בקניין הרוחני של טבעול, סלטי צבר ונסטלה, במדינות אחרות, והכל כמפורט בדוח 
. מיידי על עסקה בין חברה לבין בעל שליטה בה מיום 11.12.2008 
ביום 26 ביולי 2011 החליטה וועדת הביקורת של התאגיד לקצוב את תקופת ההתקשרות בהסכם זה לתקופה של 
15 שנים החל מחודש פברואר 2009 , ואישרה כי המשך ההתקשרות בהסכם זה לתקופה כאמור העולה על 3 שנים 
. הינו סביר בנסיבות העניין. לפרטים ראו דיווח מיידי מיום 27.7.2011
של נסטלה: ביום 31.12.2007 אישרה האסיפה הכללית של התאגיד, לאחר Globe - הסכם התקשרות בפרויקט ה 
שנתקבל אישור ועדת הביקורת והדירקטוריון, התקשרות עם נסטלה בהסכם לפיו ישתלב התאגיד בפרויקט עולמי 
של נסטלה, המספק שירותי מחשוב (חומרה ותוכנה) במאפיינים מתקדמים ובזמן אמת (GLOBE - (פרויקט ה 
לתאגידים בקבוצת נסטלה, לרבות הטמעה ושילוב של מגוון שירותים ומערכות בתחום המחשוב המשולבות 
בתאגיד לפי דרישתה, ובכלל כך, מערכות תכנון, תיעדוף והקצאת מוצרים ללקוחות ואופטימיזציה בתכנון הייצור 
והתאמתו לביקוש, שדרוג רמת המחשוב בתאגיד, קידום ההיבטים הניהוליים בה, יצירת סטנדרטיזציה עולמית 
בין כל מערכות המחשב (חומרה ותוכנה) עם חברות בקבוצת נסטלה, יצירת סטנדרטיזציה עולמית לתשתית 
התייעלות מערכי התאגיד ופעליה ,(Best Practices) מערכות מידע בקבוצה, יישום תהליכי עבודה אופטימאליים 
וכן היבטים נוספים. התמורה המשולמת על ידי התאגיד הינה בגין חלקה היחסי Best Practices - עקב יישום ה 
בכלל הוצאות הפיתוח והשירותים כאמור הניתנים על ידי פרויקט הגלוב, כאשר מוסכם בין התאגיד ונסטלה כי 
Net Proceeds of ) של התאגיד NPS - במידה ושיעור הוצאות המחשוב בשנה מסוימת יעלה על שיעור של 1.5% מה 
היינו, הכנסותיה ברוטו מהמכירות המאוחדות, בניכוי מע"מ, החזרות והנחות מסחריות), אזי ההפרש – Sale 
יתווסף להוצאות המחשוב של השנים הבאות, בתוספת ריבית, ובתנאי שבכל אחת מהשנים הבאות לא יעלה 
המהווה את שיעור ההוצאות ,NPS - התשלום השנתי בגין הוצאות המחשוב של התאגיד על שיעור של 1.5% מה 
הממוצע של הוצאות המחשוב של התאגיד בארבעת השנים שלפני מועד אישור העסקה. ההתקשרות נקבעה 
לתקופה בלתי מוגבלת בזמן ובלבד שכל אחד מהצדדים רשאי לסיימה בהודעה מוקדמת של 6 חודשים מראש. 
ביום 26 ביולי 2011 החליטה וועדת הביקורת של התאגיד לקצוב את תקופת ההתקשרות בהסכם זה לתקופה של 
20 שנה החל מחודש דצמבר 2007 , ואישרה כי המשך ההתקשרות בהסכם זה לתקפה כאמור העולה על 3 שנים הינו 
. סביר בנסיבות העניין. לפרטים ראו דיווח מיידי מיום 27.7.2011 
הסכם מיום 26.11.2002 בקשר עם שכירות ומתן שירותים למרכז מחקר לפיתוח חטיפים: ביום 17.12.2002 
אישרה האסיפה הכללית של התאגיד, לאחר שנתקבל אישור ועדת הביקורת והדירקטוריון, הסכם, לפיו בין היתר, 
לצורך הקמת מרכז מחקר לפיתוח חטיפים של נסטלה, במבנה מיוחד שהוקם על ידי התאגיד לבקשת נסטלה 
ולשימושה במתחם מפעל שדרות של התאגיד, התקשרה נסטלה עם התאגיד בהסכם שכירות לקרקע ולמבנה מרכז 
הפיתוח וכן בהסכם למתן שירותים למרכז הפיתוח. ההסכם קובע, בין היתר, כי: נסטלה תשכור בשכירות בלתי 
מוגנת על פי חוקי הגנת הדייר את המבנה המשמש למרכז המחקר, וכן את שטח החצר עבורו (כפי שהוגדר בהסכם) 
לתקופה של 15 שנים עם אפשרות הארכה; דמי השכירות ישולמו בדולרים ארה"ב; השוכר אינו רשאי להפסיק את 
השכירות ואת תשלומי דמי השכירות לפני שהוחזרה לתאגיד כל השקעתו במבנה. הצדדים התקשרו גם בהסכם 
שירותים לפיו, בין היתר: התאגיד יספק לנסטלה שירותים ומוצרים שונים לצרכי הפעילות השוטפת של האתר, 
ככל שיהיה ביכולתו לספק שירותים אלו; שירותים ומוצרים אשר יירכשו על ידי התאגיד עבור נסטלה מספקים 
חיצוניים תשלם נסטלה את עלותם המלאה לפי חשבונות הספק; עבור שירותים ומוצרים אשר יסופקו לנסטלה 
ישירות על ידי התאגיד, תשולם עלותם המלאה; עבור שירותים משותפים לנסטלה ולמפעל תשלם נסטלה את 
חלקה היחסי לפי השטח הבנוי העומד לרשות נסטלה לעומת השטח הכולל הבנוי של המפעל. 
ביום 26 ביולי 2011 החליטה וועדת הביקורת של התאגיד לקצוב את תקופת ההתקשרות בהסכם זה לתקופת 
שכירות של 15 שנה מחודש נובמבר 2002 עם אופציה לנסטלה להארכה לתקופה של 9 שנים נוספות, ואישרה כי 
המשך ההתקשרות בהסכם זה לתקופה כאמור העולה על 3 שנים הינו סביר בנסיבות העניין, לפרטים ראו דיווח 
. מיידי מיום 27.7.2011 
הסכם רישיון כללי מיום 1.1.2001 בין התאגיד לבין נסטלה: ביום 22.5.2001 אישרה האסיפה הכללית של 
התאגיד, לאחר שנתקבל אישור ועדת הביקורת והדירקטוריון, הסכם לפיו בין היתר, מעניקה נסטלה לתאגיד זכות 
שימוש בסימני מסחר (כפי שהוגדרו בין הצדדים) בידע ובפטנטים של נסטלה בטריטוריה של מדינת ישראל בקשר 
עם מוצרים שונים ובכלל כך, מוצרי קפה ומשקאות, מזון לחיות מחמד וממתקים וכן מוצרים נוספים כפי שיוגדרו 
בין הצדדים. במסגרת ההסכם אסם עושה שימוש בזכויות האמורות גם בשוק הכשר בחו"ל בהיקפים שוליים. 
תמורת זכות השימוש משלם התאגיד לנסטלה תמלוגים בשיעור של 4% ממכירות נטו של המוצרים הרלוונטיים. 
ההסכם קובע תנאים נוספים לשימוש בסימני המסחר, בידע ובפטנטים. ההסכם נקבע לתקופה של 10 שנים ולאחר 
מכן יתחדש אוטומאטית לתקופות נוספות של 5 שנים. 
ביום 26 ביולי 2011 החליטה וועדת הביקורת לקצוב את תקופת ההתקשרות בהסכם זה לתקופה של 15 שנה 
מחודש ינואר 2001 , ואישרה כי המשך ההתקשרות בהסכם זה לתקופה כאמור העולה על 3 שנים הינו סביר 
10 
. בנסיבות העניין. לפרטים ראו דיווח מיידי מיום 27.7.2011 
תאגיד קשור לנסטלה הנמצא בבעלות משותפת של ) CPW הסכם רישיון כללי מיום 1.1.2001 בין התאגיד לבין 
העוסק בפיתוח וייצור דגני בוקר): ביום 22.5.2001 אישרה האסיפה הכללית General Mills נסטלה ושל חברת 
מעניקה לתאגיד CPW , של התאגיד, לאחר שנתקבל אישור ועדת הביקורת והדירקטוריון, הסכם לפיו בין היתר 
בטריטוריה של מדינת ישראל CPW זכות שימוש בסימני מסחר (כפי שהוגדרו בין הצדדים) בידע ובפטנטים של 
תמלוגים בשיעור של 5% ממכירות נטו CPW בקשר עם מוצרי דגני בוקר. תמורת זכות השימוש משלם התאגיד ל 
של המוצרים הרלוונטיים. ההסכם קובע תנאים נוספים לשימוש בסימני המסחר, בידע ובפטנטים. ההסכם נחתם 
לתקופה שהסתיימה ביום 31.12.2008 ולאחר מכן מתחדש אוטומאטית לתקופות נוספות של 5 שנים. 
ביום 26 ביולי 2011 החליטה וועדת הביקורת לקצוב את תקופת ההתקשרות בהסכם זה לתקופה של 15 שנה 
מחודש ינואר 2001 , ואישרה כי המשך ההתקשרות בהסכם זה לתקופה כאמור העולה על 3 שנים הינו סביר 
. בנסיבות העניין. לפרטים ראו דיווח מיידי מיום 27.7.2011
הסכם רישיון בין נגה גלידות שותפות מוגבלת (תאגיד בבעלות מלאה של התאגיד, להלן: "נגה") לבין נסטלה 
מיום 25.2.1997 כפי שאושר מחדש ביום 1 בנובמבר 2011 : על פי ההסכם, בין היתר, נסטלה מעניקה לנגה זכות 
שימוש בסימני מסחר (כפי שהוגדרו בין הצדדים) ובידע ובפטנטים של נסטלה בטריטוריה של מדינת ישראל בקשר 
עם מוצרי גלידה. תמורת זכות השימוש משלמת נגה לנסטלה תמלוגים בשיעור של 3% ממכירות נטו של המוצרים 
הרלוונטיים. ההסכם קובע תנאים נוספים לשימוש בסימני המסחר ובידע. ההסכם המקורי נחתם לתקופה ראשונה 
של 10 שנים, ולאחר מכן מתחדש אוטומאטית לתקופות נוספות של 5 שנים. 
ביום 1 בנובמבר 2011 אישרה אסיפה הכללית של התאגיד, לאחר שנתקבל אישור וועדת הביקורת והדירקטוריון, 
את המשך ההתקשרות של נגה בהסכם. על פי תנאי ההתקשרות שאושרו מחדש כאמור המשך ההתקשרות בהסכם 
זה הינו לתקופה של 5 שנים החל מיום 26 בפברואר 2012 , ולעניין זה קבעה וועדת הביקורת כי תקופת ההתקשרות 
. בהסכם זה כאמור לעיל, הינה סבירה בנסיבות העניין. ראו גם דיווח מיידי של התאגיד מיום 10 באוקטובר 2011 
הסכם סיוע טכני בין התאגיד לבין נסטלה מיום 29.5.1998 : ביום 2.7.1998 אישרה האסיפה הכללית של התאגיד, 
לאחר שנתקבל אישור וועדת הביקורת והדירקטוריון, את ההתקשרות בהסכם כאמור לפיו, בין היתר, הוסכם כי 
שהינה זרוע המו"פ של נסטלה וחברה בבעלותה המלאה) תעניק לתאגיד סיוע ,Nestec Ltd. נסטלה (באמצעות 
טכני ספציפי וכן סיוע טכני כללי, כדלקמן: סיוע טכני ספציפי בגין מוצרים ספציפיים לצורך מכירתם בטריטוריה 
של מדינת ישראל – הכולל סיוע טכנולוגי, מדעי ומקצועי ליצור המוצרים כאמור בתמורה ל- 2.5% מסך המכירות 
של אותם המוצרים; סיוע טכני כללי – הכולל סיוע טכני, לרבות, סיוע בייצור, סיוע הנדסי, אבטחת איכות, הפצה 
ושיווק, פיננסים, חשבונאות, עיבוד נתונים, אירגון רכש, ביטוח ואספקטים תפעוליים ואדמיניסטרטיביים אחרים. 
בתמורה לסיוע הטכני הכללי משלם התאגיד לנסטלה סכום של מיליון פרנקים שוויצרים בשנה. 
בנוסף, בהתאם לתנאי ההתקשרות, עבור ידע שתבקש נסטלה לרכוש מהתאגיד, אם וכאשר תבקש, תשלם נסטלה 
סכום של 2.5% ממחזור המכירות של המוצרים שבהם תעשה נסטלה שימוש בידע של התאגיד. תמורת שימוש 
במותגי התאגיד תשלם נסטלה 1.5% נוספים ממחזור המכירות של מוצרים שבהם יעשה שימוש במותגים. 
ההסכם המקורי נקבע לתקופה ראשונה של 7 שנים ולאחר מכן יתחדש אוטומאטית לתקופות נוספות של 7 שנים 
כל אחת. 
ביום 1 בנובמבר 2011 אישרה האסיפה הכללית של התאגיד, לאחר שנתקבל אישור וועדת הביקורת והדירקטוריון, 
את המשך ההתקשרות של התאגיד עם נסטלה בהסכם זה, באופן שעל פי תנאי ההתקשרות כאמור המשך 
ההתקשרות בהסכם זה הינו לתקופה של 7 שנים החל מיום 29 במאי 2012 , אלא אם צד להסכם הודיע על רצונו, 
בכל עת, לסיים את ההתקשרות בהודעה מוקדמת של 12 חודשים. לעניין זה, וועדת הביקורת של התאגיד קבעה כי 
תקופת ההתקשרות בהסכם זה כאמור לעיל, הינה סבירה בנסיבות העניין. ראו גם דיווח מיידי של התאגיד מיום 
11 
. 10 באוקטובר 2011 
4) לחוק החברות: ) עסקאות שאינן לפי סעיף 270 
הסכם בין טבעול אירופה ובין נסטלה גרמניה: 
ביום 27.1.2009 נחתם הסכם בין נסטלה גרמניה (חברה קשורה לנסטלה) לבין טבעול אירופה (חברה בבעלות מלאה 
של טבעול), אשר אינו עולה כדי עסקה חריגה כהגדרת המונח בחוק החברות, על פיו מעמידה נסטלה גרמניה 
לטבעול אירופה, חברה בת של התאגיד, שירותי מכירה של מוצרים בשם טבעול אירופה ועבורה ברחבי גרמניה 
ואוסטריה (בהתאם ליעדים שהוגדרו על ידי הצדדים). ההתקשרות נקבעה לתקופה בלתי מוגבלת והיא ניתנת 
לסיום בהודעה מוקדמת בת ששה חודשים. טבעול אירופה התחייבה לשלם לנסטלה גרמניה תשלום חד פעמי בגין 
הכשרת עובדים וכן עמלה בשיעור של כ- 5% עד 7% מהמכירות (שיעור העמלה של 7% ירד עד ל 5% ככל 
שהמכירות יגדלו). 
ביטוח: א. ביום 19.10.2010 אישרה האסיפה הכללית של התאגיד, לאחר שנתקבל אישור ועדת הביקורת 
והדירקטוריון, את התקשרות התאגיד בפוליסת ביטוח אחריות דירקטורים ונושאי משרה לתקופה של 12 חודשים 
החל מיום 1.4.2011 . במסגרת האישור הוסמך מנכ"ל התאגיד לחדש (בין אם על ידי הארכה ובין אם על ידי 
התקשרות בפוליסה אחרת), מעת לעת ולפי שיקול דעתו, את פוליסת הביטוח בתנאים דומים ו/או בתנאים זהים 
כפי שיהיו מקובלים ומותאמים לצרכי התאגיד ונושאי המשרה בעת חידוש הביטוח ובתנאים מטיבים לתאגיד, 
באופן שהתאגיד רשאי להתקשר עם המבטח, בפוליסה לתקופות ביטוח נוספות עד ליום 31.3.2016 ובלבד שפרמיית 
הביטוח השנתית שתשולם על ידי התאגיד לא תתייקר בשיעור העולה על יותר מ- 25% מתשלום הפרמיה השנתית 
המשולמת בתקופת הביטוח הקודמת במועד האישור כאמור לעיל, וגבולות האחריות לא יעלו ביותר מ- 25% ביחד 
לגבולות האחריות הנוכחיים, ובכפוף לכך שדירקטוריון התאגיד וועדת הביקורת שלו יאשרו כי אין הבדלים 
מהותיים בתנאי ההתקשרות לעומת השנה הקודמת; ב. ביום 24.3.2010 אישר דירקטוריון התאגיד, לאחר 
שנתקבל אישור וועדת הביקורת, את השתתפות התאגיד בפוליסה לביטוח אחריות נושאי משרה שרכשה ותרכוש 
מעת לעת נסטלה ביחס לדירקטורים ונושאי משרה בחברות קבוצת נסטלה ובכלל כך בתאגיד ובחברות בשליטתו, 
בכיסוי ביטוחי כשכבת ביטוח נוספת המתווספת לביטוח הדירקטורים ונושאי המשרה שרכש התאגיד על חשבונה 
(ראו לעיל). בשנת הדוח ולמועד דוח זה עמדה שכבת הביטוח הנוספת על תקרה של 150 מיליון דולר ארה"ב. 
ההשתתפות כאמור סווגה כעסקה מזכה והינה ללא תשלום פרמיה כלשהי על ידי התאגיד וללא חובת השתתפות 
עצמית; ג. ביום 24.3.2010 אישר דירקטוריון התאגיד לאחר שנתקבל אישור וועדת הביקורת, את התקשרות 
התאגיד, מעת לעת, עם מגדל חברה לביטוח בע"מ ("מגדל"), כעסקה שאינה עולה כעסקה חריגה כהגדרת המונח 
בחוק החברות, לרכישת פוליסות ביטוח לביטוחים המרכזיים לחברה ולחברות הבנות שלה, באופן שמגדל, 
כמבטחת ראשית, תתקשר בין היתר עם מבטח משנה למתן ביטוח משנה למגדל בהיקף שלא יעלה על כ- 40% 
מתיק הביטוח כאמור, ובאופן שזה עשוי להתקשר בעצמו עם תאגיד קשור של נסטלה, למתן כיסוי ביטוחי בתיק 
הביטוח (לגבי חלק מהכיסוי שביחס אליו יתקשר מבטח המשנה כאמור).
חברה בבעלות מלאה של ) UK עם נסטלה: על פי תנאי ההסכם רוכשת אסם UK הסכם התקשרות של אסם 
התאגיד) מנסטלה מוצרי מזון המיובאים לאנגליה על ידי נסטלה, לצורך הפצתם בשוק האתני באנגליה. למועד 
. הדו"ח מתבצעת רכישת המוצרים כאמור כנגד תשלום אשר ככלל כולל מחירי העברה של נסטלה בתוספת 12% 
רכישת המוצרים מתבצעת בהיקפים שאינם מהותיים לקבוצת אסם. תקופת ההסכם הראשונית נקבעה עד ליום 
1.6.2013 ולאחר מכן חודש ההסכם אוטומטית ל- 3 שנים וימשיך להתחדש לתקופות נוספות של 3 שנים אלא אם 
הובא לידי סיום בהודעה של 6 חודשים מראש. ביום 31.3.2011 אישר דירקטוריון התאגיד את ההתקשרות וכן 
אישר את ההתקשרות החל משנת 2007 , כעסקה אשר אינה מהווה "עסקה חריגה" כהגדרת המונח בחוק החברות. 
. ביום 21.11.2013 החליטה ועדת הביקורת לאשר ולאשרר את כדאיות ההתקשרות והמשכה עד ליום 31.5.2016 
הגדרת "עסקה זניחה": ביום 31 באוגוסט 2011 אימץ דירקטוריון התאגיד "נוהל לאישור עסקאות זניחות" 
בהתאם לתקנה 41 (א)( 6) לתקנות ניירות ערך (דוחות כספיים שנתיים) התש"ע 2010- , לאחר שנתקבלה המלצת 
וועדת הביקורת, אשר במסגרתו הוגדרו עסקאות כמפורט בתמצית להלן אשר ייחשבו כ"עסקאות זניחות": (א) 
העסקה אינה עסקה חריגה (כהגדרת המונח בחוק החברות, התשנ"ט 1999- ) ואינה מסווגת על ידי התאגיד כאירוע 
החייב בדיווח בהתאם להוראות תקנה 36 לתקנות ניירות ערך (דוחות תקופתיים ומיידיים), התש"ל 1970- ; (ב) 
העסקה עומדת בשני הפרמטרים הבאים: ( 1) העסקה הינה בשיעור של פחות מ- 0.5% מאמת המידה רלוונטית 
להלן (אמת מידה אחת או יותר, אם וככל שרלוונטי לעסקה); ובנוסף ( 2) היקף העסקה אינה עולה על סך של 
8,000,000 ₪, כשסכום זה מותאם לשיעור העלייה במדד המחירים לצרכן ביחס למדד שפורסם ביום 15 ביולי 
2011 , והכל לפי הנמוך מבין השניים. 
בכל עסקה כאמור שיבחן סיווגה כעסקה זניחה, תחושב אחת או יותר מאמות המידה רלוונטיות לעסקה המסוימת 
כמפורט להלן, על בסיס הדוחות הכספיים השנתיים המאוחדים האחרונים של התאגיד: 
(א) ברכישת מוצרים (לרבות מוצרים מוגמרים, מוצרי תפזורת ו/או חומרי גלם) המשמשים את הקבוצה – היקף 
הרכישה מול סך מחזור המכירות השנתי כמשתקף בדוחות הכספיים; 
(ב) במכירת מוצרי הקבוצה – היקף המכירה מול סך מחזור המכירות השנתי כמשתקף בדוחות הכספיים; 
(ג) ברכישה או מכירה של שירותים – היקף העסקה מול סך מחזור המכירות השנתי כמשתקף בדוחות הכספיים. 
(ד) ברכישת נכס קבוע ("נכס שאינו שוטף") – היקף העסקה מול סך כל הנכסים בדוח על המצב הכספי הכלול 
12 
בדוחות הכספיים 
(ה) במכירת נכס קבוע ("נכס שאינו שוטף") – הרווח/ההפסד מהעסקה מול הרווח/ההפסד השנתי שמשתקף 
בדוחות הכספיים. 
(ו) בקבלת התחייבות כספית - היקף העסקה מול סך ההתחייבויות בדוח על המצב הכספי הכלול בדוחות 
הכספיים. 
. ראו גם דיווח מיידי של התאגיד מיום 31 באוגוסט 2011
13 
תקנה 24 : החזקות בעלי עניין 
להלן פירוט, למיטב ידיעת התאגיד, של ניירות הערך המוחזקים על ידי בעלי עניין ונושאי משרה בכירה בתאגיד, או בחברה מוחזקת של התאגיד שפעילותה מהותית לתאגיד, 
סמוך לתאריך הדו"ח: 
שם בעל העניין מס' תעודת זהות/מס' 
חברה ברשם 
שם הנייר מספר הנייר ע"נ מוחזק בתאריך 
31.12.2013 
שיעור ההחזקה באחוזים בהון, 
בהצבעה ובסמכות למנות דירקטורים 
(*) (1) NESTLE S.A. 
63.68% 70,460,032 אסם השקעות 304014 CH‐550‐0067293‐5 
( חברה בשליטת דן פרופר** ( 2 
0.08% 93,122 אסם השקעות 304014 
( דורית ויצחק ירקוני** וחברות בשליטה משפחתית ( 3 
4.95% 5,479,155 אסם השקעות 304014 
אלישבע פינקלשטיין וחברות בשליטת אלישבע 
( ואברהם פינקלשטיין** ( 4 
1.86% 2,061,081 אסם השקעות 304014 
אסם תעשיות מזון בע"מ 
0.00% 12 51-045071-1 אסם השקעות 304014 
* כולל 5,439,017 מניות שרכשה נסטלה ביום 27.11.2013 מחברות באחזקת משפחת דן פרופר. 
** ה"ה דן פרופר, יצחק ירקוני ואברהם פינקלשטיין מכהנים כדירקטורים בתאגיד (ראו להלן פירוט אחזקותיהם).
תקנה 24 (המשך): מניות וניירות ערך המירים המוחזקים על ידי בעלי עניין בתאגיד, בחברת בת 
או בחברה קשורה (המשך) 
חלק מהמניות מוחזקות NESTLE S.A. 1) חברת ) 
באמצעות החברה לרישומים 
14 
70,460,032 מניות 
2) דנפרו השקעות בע"מ באמצעות החברה לרישומים 93,122 מניות ) 
3) יותמר אחזקות בע"מ 329,166 מניות ) 
יר-דוראל בע"מ 2,574,995 מניות 
יר-דנה בע"מ 2,574,994 מניות 
4) א.א. פ.ק.ד. השקעות בע"מ באמצעות החברה לרישומים 338,686 מניות ) 
א.א. פינקלשטיין נכסים בע"מ באמצעות החברה לרישומים 1,716,671 מניות 
אלישבע פינקלשטיין באמצעות החברה לרישומים 5,724 מניות 
להלן שיעורי ההחזקות בחברות לעיל המחזיקות מניות בתאגיד כפי שהם ידועים לתאגיד: 
דנפרו השקעות בע"מ: פרופר דן 99.99999% פרופר סוזן 0.00001% 
יותמר אחזקות בע"מ: ירקוני דורית 99% ירקוני יצחק 1% 
יר-דוראל בע"מ: ירקוני דורית 99.9% בן הרוש ירקוני דוראל 0.1% 
יר-דנה בע"מ: ירקוני דורית 99.9% ירקוני דנה 0.1% 
א.א.פ.ק.ד. השקעות בע"מ: פינקלשטיין אלישבע 99% פינקלשטיין אברהם 1% 
א.א. פינקלשטיין נכסים בע"מ: פינקלשטיין אלישבע 99.98% פינקלשטיין אברהם 2% 
תקנה 24 א: הון רשום, מונפק וניירות ערך המירים 
ההון הרשום של התאגיד הינו 150,000,000 מניות רגילות שוות זכויות בע.נ. של 1 ש"ח כ"א. 
ההון המונפק של התאגיד הינו 110,644,444 מניות. 
אין לתאגיד ניירות ערך המירים.
15 
תקנה 24 ב: מרשם בעלי המניות של התאגיד 
מס' שם בעל המניה ת.ז./ח.פ. כמות מניות 
(*)59,488,875 CH‐550‐0067‐293‐5 NESTLE S.A. .1 
12 51‐045071‐ 2. אסם תעשיות מזון בע"מ 1 
677,372 3. רפאל וילמרסדורף 001428663 
1,144,448 51‐285310‐ 4. איתן ורפאל השקעות ( 1999 ) בע"מ 2 
1,144,446 51‐285310‐ 5. תמר ורפאל נכסים בע"מ 2 
1,144,448 6. אלישע ורפאל אחזקות בע"מ 51-285313-6 
677,372 7. פנינה צימרמן 051259000 
2,574,995 51‐261924‐ 8. לוק אורנה בע"מ 8 
2,574,994 51‐261884‐ 9. לוק-רון בע"מ 4 
2,574,994 51‐261882‐ 10 . יר-דנה בע"מ 8 
2,574,995 51‐261880‐ 11 . יר-דוראל בע"מ 2 
329,166 51‐270299‐ 12 . יותמר אחזקות בע"מ 4 
329,166 51‐270298‐ 13 . נ. קולן אחזקות בע"מ 6 
(*)35,406,146 14 . חברה לרישומים של בנק לאומי לישראל בע"מ 51-00986-4 
18 15 . יהודה בר לב 64837123 
89 16 . נוימן דוד 8332884 
5 17 . גטניו כלנית 057082810 
1 18 . קרמר משה 059761759 
1 19 . לבנת רז 55088645 
1 20 . אמ"מ ג. השקעות ופיננסים בע"מ 51-160044-7 
1 21 . זקצר רם 025382979 
56 22 . אהרון אליאס 072829518 
2,084 23 . מוזלה חברה להשקעות בע"מ 51-158053-2 
27 24 . ניקולאי אמסיוניק 310419841 
417 25 . סביון טל 038506499 
201 1356148‐ 26 . סביון נירה 5 
114 27 . פנצר נתן 08037392 
סה"כ מניות 110,644,444 
10,971,157 מניות מתוך סך המניות המוחזקות ע"י החברה לרישומים של בנק לאומי לישראל בע"מ מוחזקות עבור (*) 
.NESTLE S.A
תקנה 25 א: המען הרשום, כתובת, דאר אלקטרוני ומספרי הטלפון 
המען הרשום של התאגיד הינו רח' רימון 2, א.ת. חמן, ת.ד. 934 שהם 60850 
מס' הטלפון: 03-7205050 מס' הפקס: 03-7205095 
16 
ALBERTO.PESSAH@IL.NESTLE.COM : כתובת דואר אלקטרוני 
תקנה 26 : הדירקטורים של התאגיד 
להלן הדירקטורים המכהנים בדירקטוריון התאגיד נכון לתאריך הדו"ח: 
1) דן פרופר ) 
007131766 
מספר ת.ז.: 1941 
שנת לידה: מענו: רח' הזורע , כפר 89 שמריהו 
נתינות: ישראלית 
חברותו בועדות דירקטוריון: לא 
דח"צ: לא 
דירקטור בלתי תלוי: לא 
בעל מיומנות חשבונאית ופיננסית: כן 
האם הוא עובד של התאגיד, חברה בת, חברה 
כן, יו"ר קבוצת אסם 
קשורה או של בעל עניין: 
תאריך שבו החלה כהונתו כדירקטור בתאגיד: 23/9/1981 
טכניון, מהנדס כימאי וטכנולוג מזון. B.Sc : השכלה 
עיסוקו בחמש השנים האחרונות ותאגידים 
נוספים בהם הוא מכהן כדירקטור: 
. יו"ר דירקטוריון התאגיד החל מ- 1.4.2006 
דירקטור בחברות הבאות: חברות משפחתיות, חברות בנות 
מקבוצת אסם, צ'ק פוינט, טבע תעשיות פרמצבטיות בע"מ. 
האם הוא בן משפחה של בעל עניין אחר בתאגיד: כן, אחיו של גד פרופר. 
2) גד פרופר ) 
007131774 
מספר ת.ז.: 1944 
שנת לידה: מענו: רח' השלום , רמת השרון 
7נתינות: ישראלית 
חברותו בועדות דירקטוריון: לא 
דח"צ: לא 
דירקטור בלתי תלוי: לא 
בעל מיומנות חשבונאית ופיננסית: כן 
האם הוא עובד של התאגיד, חברה בת, חברה 
לא 
קשורה או של בעל עניין: 
תאריך שבו החלה כהונתו כדירקטור בתאגיד: 1981 
כלכלה BA ; מנהל עסקים אוניברסיטת ת"א MBA : השכלה 
אוניברסיטת ירושלים. 
עיסוקו בחמש השנים האחרונות 
ותאגידים נוספים בהם הוא מכהן כדירקטור: 
מנכ"ל אסם אינטרנשיונל פודס בע"מ, מנכ"ל נסטלה פורינה. 
דירקטור בחברות משפחתיות, חברות בנות מקבוצת אסם, 
,OSEM USA ויתניה בע"מ, יו"ר לוריאל ישראל בע"מ, יו"ר 
יו"ר סיקלטק בע"מ, גאון החזקות. ,OSEM UK יו"ר 
האם הוא בן משפחה של בעל ענין אחר בתאגיד: כן, אחיו של דן פרופר.
17 
3) אברהם פינקלשטיין ) 
06235857 
מספר ת.ז.: 1943 
שנת לידה: מענו: רח' שמידמן ב', בני ברק 
9נתינות: ישראלית 
חברותו בועדות דירקטוריון: לא 
דח"צ: לא 
דירקטור בלתי תלוי: לא 
בעל מיומנות חשבונאית ופיננסית: לא 
האם הוא עובד של התאגיד, חברה בת, חברה 
לא. 
קשורה או של בעל עניין: 
תאריך שבו החלה כהונתו כדירקטור בתאגיד: 1987 
Jewish Technological חינוך ומינהל, אוניברסיטת MA : השכלה 
מינהל עסקים, אוניברסיטת לונג איילנד. ;(JTS) Seminar 
עיסוקו בחמש השנים האחרונות 
ותאגידים נוספים בהם הוא מכהן כדירקטור: 
סמנכ"ל משאבי אנוש עד מרץ 2009 וסמנכ"ל למינהל 
בתאגיד עד אפריל 2010 . עוסק במתן שירותים, לתאגיד 
ולקבוצת אסם לענייני כשרות וייעוץ בענייני יחסי עבודה. 
דירקטור בחברות משפחתיות, חברות בנות מקבוצת אסם, 
בנק מסד בע"מ, חברת הליבו-מכונים לאבחון בע"מ, דח"צ 
בחברת ביטוח איילון, חבר הנאמנים במכללת תלפיות, דח"צ 
ב"מגן זהב" קרן פנסיה, דח"צ ב"פסגה" – קרן לניהול 
פנסיה. 
האם הוא בן משפחה של בעל עניין אחר בתאגיד: לא 
4) יצחק ירקוני ) 
007845795 
מספר ת.ז.: 1944 
שנת לידה: מענו: בן ציון ישראלי 2, גבעתיים 
נתינות: ישראלית 
חברותו בועדות דירקטוריון: לא 
דח"צ: לא 
דירקטור בלתי תלוי: לא 
בעל מיומנות חשבונאית ופיננסית: לא 
האם הוא עובד של התאגיד, חברה בת, חברה 
לא 
קשורה או של בעל עניין: 
תאריך שבו החלה כהונתו כדירקטור בתאגיד: 1987 
השכלה: תיכונית 
עיסוקו בחמש השנים האחרונות 
ותאגידים נוספים בהם הוא מכהן כדירקטור: 
עיצוב גראפי ותקשורת חזותית. 
דירקטור בחברות משפחתיות. 
האם הוא בן משפחה של בעל עניין אחר בתאגיד: לא 
5) אלי זהר ) 
07073406 
מספר ת.ז.: 1940 
שנת לידה: מענו: רח' מגל , סביון 
30 נתינות: ישראלית 
חברותו בועדות דירקטוריון: לא 
דח"צ: לא 
דירקטור בלתי תלוי: לא 
בעל מיומנות חשבונאית ופיננסית: לא. בעל כשירות מקצועית 
האם הוא עובד של התאגיד, חברה בת, חברה 
לא 
קשורה או של בעל עניין: 
תאריך שבו החלה כהונתו כדירקטור בתאגיד: 20/8/1996 
אוניברסיטה העברית LL.B השכלה: תואר 
עיסוקו בחמש השנים האחרונות ותאגידים 
נוספים בהם הוא מכהן כדירקטור: 
עורך דין ויו"ר משרד עו"ד גולדפרב- זליגמן ושות', יו"ר תיאטרון 
גשר, יו"ר המועצה הישראלית לקולנוע. 
דירקטור בחברת סיינטיפיק אינווסטמנט. 
האם הוא בן משפחה של בעל עניין אחר בתאגיד: לא
18 
6) גבי הייק ) 
מספר ת.ז.: 52058385 
שנת לידה: 1954 
מענו: רח' סמדר 32 א', שיכון ותיקים, רמת גן 
נתינות: ישראלית 
חברותו בועדות דירקטוריון: ועדת ביקורת, ועדה לבחינת הדוחות הכספיים של התאגיד, 
ועדת תגמול. 
דח"צ: לא 
דירקטור בלתי תלוי: לא 
בעל מיומנות חשבונאית ופיננסית: לא. בעל כשירות מקצועית. 
האם הוא עובד של התאגיד, חברה בת, חברה 
לא 
קשורה או של בעל עניין: 
תאריך שבו החלה כהונתו כדירקטור בתאגיד: 20/8/1996 
משפטים, אוניברסיטת קנט, אנגליה. LL.B (honor) : השכלה 
עיסוקו בחמש השנים האחרונות ותאגידים 
נוספים בהם הוא מכהן כדירקטור: 
עריכת דין. 
דירקטור בחברות הבאות: קבוצת דוידוף בע"מ וחברות 
פרטיות בבעלות משפחתית. 
האם הוא בן משפחה של בעל עניין אחר בתאגיד: לא 
7) ד"ר ליאורה מרידור ) 
מספר ת.ז.: 5173000 
שנת לידה: 1947 
מענו: בן מימון 17 , ירושלים 
נתינות: ישראלית 
חברותו בועדות דירקטוריון: ועדת ביקורת, ועדה לבחינת הדוחות הכספיים של התאגיד, 
ועדת תגמול. 
דח"צ: כן 
דח"צ מומחה: לא 
דירקטור בלתי תלוי: לא 
בעל מיומנות חשבונאית ופיננסית: כן 
האם הוא עובד של התאגיד, חברה בת, חברה 
לא 
קשורה או של בעל עניין: 
תאריך שבו החלה כהונתו כדירקטור בתאגיד: 5/11/2007 
(ביום 3.9.2013 ) החליטה האסיפה הכללית למנות את ד"ר 
ליאורה מרידור לתקופת כהונה שלישית ונוספת בת 3 שנים 
כדירקטורית חיצונית בתאגיד, החל מתום תקופת כהונתה 
הסטטוטורית השניה קרי, ביום 5.11.2013 
השכלה: תואר ראשון במתמטיקה ופיזיקה, אוניברסיטה עברית י-ם, 
תואר שני במתמטיקה, אוניברסיטה עברית י-ם, תואר 
דוקטור לכלכלה, אוניברסיטה עברית י-ם, פוסט דוקטורט 
.MIT בכלכלה 
עיסוקה בחמש השנים האחרונות ותאגידים 
נוספים בהם היא מכהנת כדירקטור: 
.( ייעוץ עיסקי ופיננסי - מרידור ניהול וייעוץ (משנת 2002 
דירקטור בחברות הבאות: גילת מערכות לווייניות בע"מ, 
אלרוב (ישראל) בע"מ. 
האם הוא בן משפחה של בעל עניין אחר בתאגיד: לא
19 
8) יקי ירושלמי ) 
מספר ת.ז.: 8494965 
שנת לידה: 1942 
מענו: כפר חוגלה, עמק חפר 
נתינות: ישראלית 
חברותו בועדות דירקטוריון: ועדת ביקורת, ועדה לבחינת הדוחות הכספיים של התאגיד, 
ועדת תגמול. 
דח"צ: כן 
דח"צ מומחה: לא 
דירקטור בלתי תלוי: לא 
בעל מיומנות חשבונאית ופיננסית: כן 
האם הוא עובד של התאגיד, חברה בת, חברה 
קשורה או של בעל עניין: 
לא 
תאריך שבו החלה כהונתו כדירקטור בתאגיד: 8/7/2008 
ביום 5.7.2011 החליטה האסיפה הכללית למנות את מר יקי 
ירושלמי לתקופת כהונה נוספת בת 3 שנים כדירקטור חיצוני 
בתאגיד, החל מתום תקופת כהונתו הסטטוטורית הנוכחית, 
ביום 8.7.2011 ועד ליום 8.7.2014 
השכלה: הנדסאי 
עיסוקו בחמש השנים האחרונות ותאגידים 
נוספים בהם הוא מכהן כדירקטור: 
יו"ר ומנכ"ל קבוצת מפעלי נייר אמריקאיים ישראליים בע"מ. 
דירקטור בחברות הבאות: ויולה ישראל, מדרשת רופין, 
אורמט טכנולוגיות, מדע טק חיפה, או פי סי רותם 
האם הוא בן משפחה של בעל עניין אחר בתאגיד: לא 
9) יוסי אלשיך ) 
מספר ת.ז.: 007743933 
שנת לידה: 1936 
מענו: רח' יעקב מרידור מס' 19 תל אביב 
תל ברוך צפון 
נתינות: ישראלית 
חברותו בועדות דירקטוריון: ועדת ביקורת, ועדה לבחינת הדוחות הכספיים של התאגיד 
דח"צ: לא 
דח"צ מומחה: לא 
דירקטור בלתי תלוי: כן 
בעל מיומנות חשבונאית ופיננסית: כן 
האם הוא עובד של התאגיד, חברה בת, חברה 
לא 
קשורה או של בעל עניין: 
תאריך שבו החלה כהונתו כדירקטור בתאגיד: 16.10.2012 
כלכלה ומגשר מוסמך. BA : השכלה 
עיסוקו בחמש השנים האחרונות 
ותאגידים נוספים בהם הוא מכהן כדירקטור: 
יועץ כלכלי ופיננסי ודירקטור בתעשיות לכיש בע"מ. 
דירקטור בחברות: וויטווטר בע"מ; יובנק בע"מ; שיכון 
ובינוי בע"מ; עתידים; מדרשת שדה בוקר; יו"ר ועדת 
השקעות ב"עמיתים" קרנות ופנסיה הוותיקות. 
האם הוא בן משפחה של בעל עניין אחר בתאגיד: לא
20 
Doreswamy (Nandu) (10) 
2546827IND : מספר דרכון 
שנת לידה: 1958 
Chemin de pomey 22A, 1800 Vevey : מענו 
INDIAN : נתינות 
חברותו בועדות דירקטוריון: לא 
דח"צ: לא 
דירקטור בלתי תלוי: לא 
בעל מיומנות חשבונאית ופיננסית: כן 
האם הוא עובד של התאגיד, חברה בת, חברה 
קשורה או של בעל עניין: 
כן, מנהל בנסטלה שוויץ, בעלת השליטה בתאגיד 
תאריך שבו החלה כהונתו כדירקטור בתאגיד: 1.11.2011 
Electrical Engineering, Indian Institute of Technology, : השכלה 
Dehli; Post Graduate in Management, Indian Institute of 
Management Ahmedabad. 
עיסוקו בחמש השנים האחרונות ותאגידים 
נוספים בהם הוא מכהן כדירקטור: 
Global Business head of Infant Nutrition (2009); Deputy 
Executive Vice President Nestle S.A. Head of Nestle 
Nutrition (2010); and Executive Vice President as from 
1st October 2011. 
Member of several Boards within the Nestle Group of 
companies. 
האם הוא בן משפחה של בעל עניין אחר בתאגיד: לא 
Richard Sykes (11) 
GBR 761323571 : מספר דרכון 
שנת לידה: 1957 
מענו 
Chemin de L`Ecouralaz 4, 1803 Charodonne, Switzerland : נתינות: בריטית 
חברותו בועדות דירקטוריון: לא 
דח"צ: לא 
דירקטור בלתי תלוי: לא 
בעל מיומנות חשבונאית ופיננסית: לא. בעל כשירות מקצועית. 
האם הוא עובד של התאגיד, חברה בת, חברה 
כן, מנהל בנסטלה שוויץ, בעלת השליטה בתאגיד 
קשורה או של בעל עניין: 
תאריך שבו החלה כהונתו כדירקטור בתאגיד: 27/12/2001 
BA (Hons) Law CNAA; LLM - London; BAR FINALS - : השכלה 
inns of court school of law. 
עיסוקו בחמש השנים האחרונות ותאגידים 
נוספים בהם הוא מכהן כדירקטור: 
General Counsel Zone AOA Nestle S.A., Switzerland 
(Since 2003); Member of several Boards within the Nestle 
Group of companies. 
האם הוא בן משפחה של בעל עניין אחר בתאגיד: לא
21 
Pierre Streit (12) 
X3448188 : מספר דרכון 
שנת לידה: 1953 
מענו 
Ch. De la Plantaz 85 CH-1095 LUTRY Switzerland : נתינות: שוויצרית 
חברותו בועדות דירקטוריון: לא 
דח"צ: לא 
דירקטור בלתי תלוי: לא 
בעל מיומנות חשבונאית ופיננסית: כן 
האם הוא עובד של התאגיד, חברה בת, חברה 
כן, מנהל בנסטלה שוויץ, בעלת השליטה בתאגיד 
קשורה או של בעל עניין: 
תאריך שבו החלה כהונתו כדירקטור בתאגיד: 31/12/2008 
BA in Business administration (University of Lausanne); : השכלה 
PED (IMD); MCR (IMD). 
עיסוקו בחמש השנים האחרונות ותאגידים 
נוספים בהם הוא מכהן כדירקטור: 
Controller Z-AOA (since Oct. 1st 2008); CFO Nestle 
Mexico (2004-2008), 
Member of several Boards within the Nestle Group of 
companies. 
האם הוא בן משפחה של בעל עניין אחר בתאגיד: לא 
Jean‐Daniel Luthi (13) 
4220814X : מספר דרכון 
שנת לידה: 1945 
Chemin du Miroir 10, CH-1090 La Croix (Lutry) VD, : מענו 
Switzerland 
נתינות: שוויצרית 
חברותו בועדות דירקטוריון: לא 
דח"צ: לא 
דירקטור בלתי תלוי: לא 
בעל מיומנות חשבונאית ופיננסית: כן 
האם הוא עובד של התאגיד, חברה בת, חברה 
קשורה או של בעל עניין: 
מנהל לשעבר בנסטלה שוויץ, בעלת השליטה בתאגיד. 
תאריך שבו החלה כהונתו כדירקטור בתאגיד: 28/12/2000 
High Commercial School Lausanne Switzerland : השכלה 
IMD Lausanne Switzerland. 
עיסוקו בחמש השנים האחרונות ותאגידים 
נוספים בהם הוא מכהן כדירקטור: 
2007-2008 – Nestle S.A. Special Projects. 
Board Memberships:Supervisory Board Member for PT 
Nestle Indonesia. 
האם הוא בן משפחה של בעל עניין אחר בתאגיד: לא 
Roger Stettler (14) 
X3412372 : מספר דרכון 
שנת לידה: 1957 
מענו 
Chemin de Bellevue 7, 1026 Echandens, Switzerland : נתינות: שוויצרית 
חברותו בועדות דירקטוריון: לא 
דח"צ: לא 
דירקטור בלתי תלוי: לא 
בעל מיומנות חשבונאית ופיננסית: כן 
האם הוא עובד של התאגיד, חברה בת, חברה 
כן, מנהל בנסטלה שוויץ, בעלת השליטה בתאגיד. 
קשורה או של בעל עניין:
תאריך שבו החלה כהונתו כדירקטור בתאגיד: 26/4/2010 
CH Diploma, Commercial and Administration, : השכלה 
Professional School, Ecole Superior de commerce, 
Lausanne, Core Leadership Programme in London. 
עיסוקו בחמש השנים האחרונות ותאגידים 
נוספים בהם הוא מכהן כדירקטור: 
2008-2010 - Senior Vice President Head of Group 
Control. 
2010 - Vice President Regional Management Zone Asia- 
Oceania-Africa. 
Member of several Boards within the Nestle Group of 
companies. 
22 
האם הוא בן משפחה של בעל עניין אחר בתאגיד: לא 
תקנה 26 א: נושאי משרה בכירה של התאגיד 
להלן נושאי המשרה הבכירה של התאגיד נכון לתאריך הדו"ח: 
1) איציק צאיג ) 
מספר ת.ז.: 53228839 
שנת לידה: 1956 
. התפקיד בתאגיד: מנכ"ל התאגיד החל מיום 2.4.2012 
התפקיד שהוא ממלא בחברה בת של התאגיד או 
בבעל ענין בו: 
דירקטור בחברות בנות של התאגיד. 
האם הוא בן משפחה של נושא משרה בכירה אחר 
או של בעל עניין: 
לא 
האם הוא בעל ענין בתאגיד: לא 
השכלה: מוסמך מינהל עסקים אוניברסיטת ת"א. 
ניסיונו ועיסוקו בחמש השנים האחרונות: משנה למנכ"ל ומנכ"ל חטיבת אסם ישראל; 
2008-2011 - מנכ"ל נסטלה ניו-זילנד; 
2005-2008 - מנכ"ל קבוצת אסם סחר. 
תאריך תחילת כהונתו כמנכ"ל התאגיד: 2.4.2012 
2) עמרי לוטן ) 
056223779 
מספר ת.ז.: 1960 
שנת לידה: התפקיד בתאגיד: משנה למנהל כללי, מנכ"ל חטיבת מזון מוכן. 
התפקיד שהוא ממלא בחברה בת של התאגיד או 
דירקטור בחברות בנות מקבוצת אסם 
בבעל ענין בו: 
האם הוא בן משפחה של נושא משרה בכירה אחר 
או של בעל עניין: 
לא 
האם הוא בעל ענין בתאגיד: לא 
מדעי המדינה/פסיכולוגיה, אוניברסיטת ת"א. B.A : השכלה 
רוטרדם. 'Erasmus מינהל עסקים, אוניברסיטת M.A 
ניסיונו ועיסוקו בחמש השנים האחרונות: מנכ"ל טבעול, מנכ"ל פלסטרו. 
דירקטור בחברות בנות מקבוצת אסם. 
תאריך תחילה וסיום כהונתו: החל מיום 1.2.2008 ועד ליום 1.2.2014
23 
3) פנחס קימלמן ) 
056812571 
מספר ת.ז.: 1961 
שנת לידה: התפקיד בתאגיד: משנה למנכ"ל לכספים ואחראי על ניהול סיכונים. 
התפקיד שהוא ממלא בחברה בת של התאגיד או 
דירקטור בחברות בנות מקבוצת אסם. 
בבעל ענין בו: 
האם הוא בן משפחה של נושא משרה בכירה אחר 
או של בעל עניין: 
לא 
האם הוא בעל ענין בתאגיד: לא 
בחשבונאות וכלכלה, B.A , השכלה: רואה חשבון 
האוניברסיטה העברית. 
מינהל עסקים אוניברסיטת בר-אילן. M.A 
ניסיונו ועיסוקו בחמש השנים האחרונות: משנה למנכ"ל לכספים באסם, יו"ר פורום סמנכ"לי 
כספים בהתאחדות התעשיינים, חבר מועצה במוסד 
הישראלי לתקינה חשבונאית, חבר הנהלה בקרן 
הדדית של המעסיקים מטעם התאחדות 
התעשיינים; חבר בוועד הפועל של איגוד החברות 
הציבוריות 
תאריך תחילת כהונתו: 1998 
4) מאיר אימבר ) 
מספר ת.ז.: 52637220 
שנת לידה: 1954 
התפקיד בתאגיד: משנה מנכ"ל לתפעול. 
התפקיד שהוא ממלא בחברה בת של התאגיד או 
בבעל ענין בו: 
דירקטור בחברות בנות מקבוצת אסם. 
האם הוא בן משפחה של נושא משרה בכירה אחר 
או של בעל עניין: 
לא 
האם הוא בעל ענין בתאגיד: לא 
מהנדס תעשיה וניהול, טכניון חיפה. BSc : השכלה 
אנגליה. Brunel מנהל עסקים, אוניברסיטת MBA 
ניסיונו ועיסוקו בחמש השנים האחרונות: משנה למנכ"ל לתפעול בתאגיד. 
תאריך תחילת כהונתו: 1.1.2004 
5) דודי מנביץ ) 
54099775 
מספר ת.ז.: 1956 
שנת לידה: התפקיד בתאגיד: משנה למנכ"ל לפיתוח עסקי וניהול פרויקטים. 
התפקיד שהוא ממלא בחברה בת של התאגיד או 
דירקטור בחברות בנות מקבוצת אסם. 
בבעל ענין בו: 
האם הוא בן משפחה של נושא משרה בכירה אחר 
או של בעל עניין: 
לא 
האם הוא בעל ענין בתאגיד: לא 
השכלה: בוגר כלכלה ומנהל עסקים אוניברסיטת בר-אילן. 
ניסיונו ועיסוקו בחמש השנים האחרונות: מנכ"ל סלטי צבר, מנכ"ל קבוצת אסם סחר. 
. תאריך תחילה וסיום כהונתו: 15.7.2008 ועד ליום 22.9.2013
24 
6) עופר גרין ) 
מספר ת.ז.: 057081887 
שנת לידה: 1961 
התפקיד בתאגיד: מנכ"ל קבוצת אסם סחר; במרץ 2013 ולאחר מועד 
הדוח מונה מר עופר גרין למשנה למנכ"ל קבוצת 
אסם. 
התפקיד שהוא ממלא בחברה בת של התאגיד או 
בבעל ענין בו: 
דירקטור במטרנה החזקות בע"מ 
האם הוא בן משפחה של נושא משרה בכירה אחר 
או של בעל עניין: 
לא 
האם הוא בעל ענין בתאגיד: לא 
השכלה: בוגר לימודים כלליים, אוניברסיטת אובורן, אלבמה, 
ארה"ב; מוסמך מינהל עסקים, אוניברסיטת בן 
גוריון/בוסטון. 
ניסיונו ועיסוקו בחמש השנים האחרונות: מנכ"ל ישראייר; מנהל יחידה עסקית שופרסל 
בקבוצת אסם סחר. 
תאריך תחילת כהונתו: 15.3.2011 
7) רני שגיב ) 
מספר ת.ז.: 052343928 
שנת לידה: 1954 
התפקיד בתאגיד: סמנכ"ל שרשרת אספקה 
התפקיד שהוא ממלא בחברה בת של התאגיד או 
לא 
בבעל ענין בו: 
האם הוא בן משפחה של נושא משרה בכירה אחר 
או של בעל עניין: 
לא 
האם הוא בעל ענין בתאגיד: לא 
השכלה: מוסמך מינהל עסקים, האוניברסיטה העברית. 
ניסיונו ועיסוקו בחמש השנים האחרונות: סמנכ"ל שרשרת אספקה בתאגיד. 
תאריך תחילת כהונתו: 2.1.2005 
8) ברק שטרוזברג ) 
מספר ת.ז.: 029504487 
שנת לידה: 1972 
התפקיד בתאגיד: סמנכ"ל משאבי אנוש. 
התפקיד שהוא ממלא בחברה בת של התאגיד או 
לא 
בבעל ענין בו: 
האם הוא בן משפחה של נושא משרה בכירה אחר 
או של בעל עניין: 
לא 
האם הוא בעל ענין בתאגיד: לא 
במדע המדינה באוניברסיטה עברית; BA : השכלה 
חשבונאות, בי"ס למנהל עסקים; BA 
במדיניות ציבורית, אונ' עברית. MBA 
ניסיונו ועיסוקו בחמש השנים האחרונות: סגן הממונה על השכר במשרד האוצר. 
תאריך תחילת כהונתו: 1.1.2013
25 
9) אורי בן שי ) 
מספר ת.ז.: 029480951 
1972 
שנת לידה: התפקיד בתאגיד: מנכ"ל תחומי החטיפים, מאפה, משקאות ודגני בוקר. 
התפקיד שהוא ממלא בחברה בת של התאגיד או 
לא 
בבעל ענין בו: 
האם הוא בן משפחה של נושא משרה בכירה אחר 
או של בעל עניין: 
לא 
האם הוא בעל ענין בתאגיד: לא 
ניהול ומדעי המחשב, אוניברסיטת ת"א. BA : השכלה 
ניסיונה ועיסוקה בחמש השנים האחרונות: משנה למנכ"ל ומנהל החטיבה העסקית של פרוקטר & 
גמבל ישראל. מנכ"ל חטיבת הבריאות של פרוקטר & 
גמבל באירופה, המזרח התיכון ואפריקה. 
תאריך תחילת כהונתו: 15.10.2012 
10 ) איילת ליפשיץ ) 
מספר ת.ז.: 57981417 
שנת לידה: 1962 
התפקיד בתאגיד: סמנכ"ל שיווק ופיתוח עסקי. בנוסף, מיום 15.8.2012 
מנהלת פעילות דגני בוקר. 
התפקיד שהיא ממלאת בחברה בת של התאגיד או 
בבעל ענין בו: 
לא 
האם היא בת משפחה של נושא משרה בכירה 
אחר או של בעל עניין: 
לא 
האם היא בעלת ענין בתאגיד: לא 
מדעי החברה, אוניברסיטת תל אביב. B.A : השכלה 
תקשורת ומינהל עסקים, אוניברסיטת ירושלים. MBA 
ניסיונה ועיסוקה בחמש השנים האחרונות: סמנכ"ל שווק ופיתוח עסקי בקבוצת אסם ומנהלת 
BBDO פעילות דגני בוקר בתאגיד. מנכ"לית בחברת 
.CONSULTING 
תאריך תחילת כהונתה: 15.6.2009 
11 ) אילנה כחלון ) 
מספר ת.ז.: 54009667 
שנת לידה: 1956 
התפקיד בתאגיד: מבקרת פנים 
התפקיד שהיא ממלאת בחברה בת של התאגיד או 
בבעל ענין בו: 
מבקרת פנימית של התאגיד ותאגידים בשליטתו של 
התאגיד. 
האם היא בת משפחה של נושא משרה בכירה 
אחר או של בעל עניין: 
לא 
האם היא בעלת ענין בתאגיד: לא 
השכלה: רואת חשבון, בוגרת כלכלה וראיית חשבון 
באוניברסיטת בר- אילן. 
ניסיונה ועיסוקה בחמש השנים האחרונות: מבקרת פנים בתאגיד 
תאריך תחילת כהונתה: 1.3.2008
26 
12 ) יריב ארדון ) 
מספר ת.ז.: 022302871 
1966 
שנת לידה: התפקיד בתאגיד: מנהל התחום המקצועי (צריכה מחוץ לבית) 
התפקיד שהוא ממלא בחברה בת של התאגיד או 
לא 
בבעל ענין בו: 
האם הוא בן משפחה של נושא משרה בכירה אחר 
או של בעל עניין: 
לא 
האם הוא בעל ענין בתאגיד: לא 
השכלה: בוגר כלכלה חקלאית בפקולטה לחקלאות של 
האוניברסיטה העברית. 
ניסיונו ועיסוקו בחמש השנים האחרונות: מנהל חטיבת המכירות בחוגלה קימברלי, מנהל חטיבת 
הפרסונל קייר בחוגלה קימברלי, מנהל חטיבת מוצרי 
הצריכה בחוגלה קימברלי ומשנה למנכ"ל בטמפו 
משקאות. 
תאריך תחילת כהונתו: 2.1.2011 
13 ) זאב קלימי ) 
מספר ת.ז.: 56076888 
שנת לידה: 1959 
. 2009 
התפקיד בתאגיד: מנכ"ל נגה גלידות שותפות מוגבלת מינואר התפקיד שהוא ממלא בחברה בת של התאגיד או 
לא 
בבעל ענין בו: 
האם הוא בן משפחה של נושא משרה בכירה אחר 
או של בעל עניין: 
לא 
האם הוא בעל ענין בתאגיד: לא 
השכלה: הנדסאי תעשיה וניהול, מדרשת רופין; 
מינהל עסקים, אוניברסיטת דרבי. BA 
מינהל עסקים, אוניברסיטה עברית. MBA 
ניסיונו ועיסוקו בחמש השנים האחרונות: מנכ"ל נגה גלידות שותפות מוגבלת, מנכ"ל חברת 
הסחר של קוקה קולה, מנכ"ל טרה. 
תאריך תחילת כהונתו: 15.3.2011 
14 ) חגית אדלר ) 
מספר ת.ז.: 023099377 
שנת לידה: 1968 
התפקיד בחברה: מנכ"ל בונז'ור 
התפקיד שהיא ממלאת בחברה בת של התאגיד או 
בבעל ענין בו: 
דירקטור בחברה בת של התאגיד. 
האם היא בת משפחה של נושא משרה בכירה 
אחר או של בעל עניין: 
לא 
האם היא בעלת ענין בתאגיד: לא 
מדעי החיים, אוניברסיטת תל אביב; B.A : השכלה 
מינהל מערכות בריאות, אוניברסיטת תל אביב. M.H.A 
ניסיונה ועיסוקה בחמש השנים האחרונות: מנהלת חטיבת מאפה ומשקאות, דירקטור בחברה בת 
של התאגיד. 
תאריך תחילת כהונתה: 1.1.2013
27 
15 ) איילת רוזן ) 
מספר ת.ז.: 69644110 
שנת לידה: 1967 
התפקיד בחברה: מנכ"לית חטיבת חדשנות. 
התפקיד שהיא ממלאת בחברה בת של התאגיד או 
לא 
בבעל ענין בו: 
האם היא בת משפחה של נושא משרה בכירה 
אחר או של בעל עניין: 
לא 
האם היא בעלת ענין בתאגיד: לא 
מינהל עסקים במכללה למינהל. M.A : השכלה 
ניסיונה ועיסוקה בחמש השנים האחרונות: מנהלת חטיבת חטיפים בתאגיד. 
תאריך תחילה וסיום כהונה: 1.1.2013 עד ליום 5.12.2013 
16 ) ציפי המר ) 
מספר ת.ז.: 24415903 
שנת לידה: 1969 
התפקיד בחברה: מנהלת יחידת עסקים חדשים בתאגיד 
התפקיד שהיא ממלאת בחברה בת של התאגיד או 
לא 
בבעל ענין בו: 
האם היא בת משפחה של נושא משרה בכירה 
אחר או של בעל עניין: 
לא 
האם היא בעלת ענין בתאגיד: לא 
מינהל עסקים אוניברסיטה העברית MBA : השכלה 
ניסיונה ועיסוקה בחמש השנים האחרונות: מנהלת שווק מאפה בתאגיד; מנהלת תחום עסקי 
מטבח ובית חברת חוגלה קימברלי. 
תאריך תחילה כהונתה: 1.3.2014 
17 ) זהבה מרטינוביץ ) 
מספר ת.ז.: 54656673 
שנת לידה: 1956 
התפקיד בחברה: מנהלת חטיבה קולינארית. 
התפקיד שהיא ממלאת בחברה בת של התאגיד או 
לא 
בבעל ענין בו: 
האם היא בת משפחה של נושא משרה בכירה 
אחר או של בעל עניין: 
לא 
האם היא בעלת ענין בתאגיד: לא 
אוניברסיטת ת"א. MBA : השכלה 
ניסיונה ועיסוקה בחמש השנים האחרונות: מנהלת שיווק חטיפים, מנהלת פעילות דגני בוקר 
באסם. 
תאריך תחילת כהונתה: 1.1.2013 
18 ) נילי צור ) 
מספר ת.ז.: 22864615 
שנת לידה: 1967 
התפקיד בחברה: מנכ"ל חטיבת הפעילות הבינלאומיות 
התפקיד שהיא ממלאת בחברה בת של התאגיד או 
לא 
בבעל ענין בו: 
האם היא בת משפחה של נושא משרה בכירה 
אחר או של בעל עניין: 
לא 
האם היא בעלת ענין בתאגיד: לא 
כלכלה ומנהל עסקים אוניברסיטת תל אביב MBA : השכלה 
ניסיונה ועיסוקה בחמש השנים האחרונות: מנכ"לית חטיבת החטיפים ודגני בוקר בתאגיד, 
מנכ"לית סלטי צבר, מנכ"לית חטיבת המשקאות 
בנסטלה הודו) 
תאריך תחילת כהונה: 1.2.2014
28 
תקנה 26 ב: מורשי חתימה עצמאיים של התאגיד 
למועד הדו"ח אין בתאגיד מורשי חתימה עצמאיים. 
תקנה 27 : רואה החשבון של התאגיד 
שם רואה החשבון: סומך חייקין - רואי חשבון 
מען משרדו: רח' הארבעה 17 , תל אביב. 
תקנה 28 : שינוי בתזכיר או בתקנון 
בתקופת הדוח לא חלו שינויים בתזכיר ובתקנון של התאגיד. 
תקנה 29 (א): המלצות והחלטות הדירקטורים 
ביום 9.6.2013 החליט דירקטוריון התאגיד לחלק לבעלי מניות התאגיד דיבידנד בסכום של 150 מיליון ש"ח. 
הדיבידנד חולק ביום 2.7.2013 . לפרטים נוספים ראו דוח מיידי של התאגיד מיום 9.6.2013 (מס' אסמכתא 2013- 
01-059823 ) אשר הפרטים הכלולים בו מובאים בזאת על דרך ההפניה. 
תקנה 29 (ב): החלטות אסיפה כללית שנתקבלו שלא בהתאם להמלצות הדירקטוריון 
-- 
תקנה 29 (ג): החלטות אסיפה כללית מיוחדת 
1. החלטת אסיפה כללית מיום 30.4.2013 
א. אישור תשלום מענק שנתי למנכ"ל החברה, מר איציק צאיג בגין שנת 2012 - הוחלט לאשר מתן מענק כספי 
למנכ"ל החברה, מר איציק צאיג בסך של 568,882 ש"ח בגין שנת 2012 , כמפורט בדוח זימון האסיפה 
.( שפרסמה החברה ביום 19.3.2013 (מס' אסמכתא 2013-01-011017 
ב. אישור המשך התקשרות ועדכון תנאי ההתקשרות עם הדירקטור (מר אברהם פינקלשטיין) בגין שירותיו 
כיועץ לנושאי כשרות ויחסי עבודה - הוחלט לאשר את המשך ההתקשרות ועדכון תנאי ההתקשרות עם 
הדירקטור מר אברהם פינקלשטיין בגין שירותיו כיועץ לחברה, כמפורט בדוח זימון האסיפה שפרסמה 
.( החברה ביום 19.3.2013 (מס' אסמכתא 2013-01-011017 
2. החלטות אסיפה כללית מיום 9.7.2013 
א. הקצאת אופציות "פאנטום" למנכ"ל החברה, מר איציק צאיג, בגין שנת 2013 - הוחלט לאשר הקצאת 
אופציות פאנטום למר איציק צאיג בשווי 12 משכורות חודשיות (היינו שווי של 1,565,052 ₪), בהתאם 
לתוכנית האופציות של החברה משנת 2011 , כמפורט בדוח זימון האסיפה שפרסמה החברה ביום 26.5.2013 
.( (מס' אסמכתא 2013-01-071026 
₪ ב. תשלום פיצוי חד פעמי למר איציק צאיג, בגין שנת 2011 - הוחלט לאשר פיצוי חד פעמי בסך של 540,000 
למר איציק צאיג לכיסוי חלקי של הוצאות, עלויות והפסדים שנגרמו לו ולבני משפחתו מחמת סיומה 
המוקדם של העסקתו כמנכ"ל תאגיד נסטלה בניו- זילנד (לבקשת החברה) ושובו ארצה לטובת העסקתו 
.( בחברה, כמפורט בדוח זימון האסיפה שפרסמה החברה ביום 26.5.2013 (מס' אסמכתא 2013-01-071026
29 
3. החלטות אסיפה כללית מיום 3.9.2013 
א. אישור מדיניות תגמול לנושאי המשרה בחברה - הוחלט לאשר את מדיניות התגמול לנושאי המשרה בחברה 
כמפורט בנספח א' לדוח זימון האסיפה שפרסמה החברה ביום 29 ביולי 2013 (מס' אסמכתא 2013-01- 
.(103278 
ב. מינוי מחדש של ד"ר ליאורה מרידור כדירקטורית חיצונית בחברה לתקופת כהונה נוספת (שלישית) - 
הוחלט למנות את ד"ר ליאורה מרידור לתקופת כהונה נוספת (שלישית) כדירקטורית חיצונית בחברה, החל 
. מתום תקופת כהונתה הסטטוטורית השניה, קרי, החל מיום 5 בנובמבר 2013 
ד"ר ליאורה מרידור תמשיך להיות זכאית לאותם התנאים המוענקים לדירקטורים חיצוניים בחברה 
בהתאם להחלטות החברה, כמפורט בדוח זימון האסיפה שפרסמה החברה ביום 29.7.2013 (מס' 
.( אסמכתא 2013-01-103278 
תקנה 29 א: החלטות התאגיד 
לפרטים אודות החלטות התאגיד בדבר ביטוח לנושאי משרה ראו תקנה 22 לפרק זה. 
שמות החותמים: תפקידם: תאריך: 
1) דן פרופר יו"ר דירקטוריון ______________ ) 
2) איציק צאיג מנכ"ל ______________ )
שאלון ממשל תאגידי 
1 
במסגרת שאלון זה תשומת לב כי - 
1) השאלון ערוך במתכונת שבה תשובה "נכון" לגבי כל אחת מן השאלות מהווה אינדיקציה חיובית לקיומו של ממשל תאגידי תקין, ולהיפך. תשובה "נכון" תסומן במשבצת הרלוונטית באמצעות –√ ותשובה "לא ) 
למען הסר ספק יובהר כי השאלון אינו בא למצות את כל היבטי הממשל התאגידי הרלוונטיים לתאגיד, אלא עוסק במספר היבטים בלבד; לצורך קבלת מידע נוסף (ולפי העניין), יש ;X - נכון" תסומן באמצעות 
לעיין בדיווחים השוטפים של התאגיד. 
31.12 . שקדמו למועד פרסום הדוח התקופתי; אלא אם נאמר במפורש אחרת; .xx 1.1 ועד ליום .xx 2) "שנת הדיווח" משמעה מיום ) 
3) לצד כל שאלה מצוינת המסגרת הנורמטיבית. במקרה שהשאלה מתייחסת להוראת חובה מצוין הדבר במפורש; ) 
4) במקרה שתאגיד מבקש להוסיף מידע העשוי להיות חשוב למשקיע סביר בקשר עם תשובותיו בשאלון, יוכל לעשות כן במסגרת הערות סיום לשאלון, תוך הפניה מן השאלה הרלוונטית. ) 
עצמאות הדירקטוריון 
נכון 
לא נכון 
מסגרת נורמטיבית 
1. בכל שנת הדיווח כיהנו בתאגיד שני דירקטורים חיצוניים או יותר. 
בשאלה זו ניתן לענות "נכון" אם תקופת הזמן בה לא כיהנו שני דירקטורים חיצוניים אינה עולה על 90 ימים, כאמור 
בסעיף 363 א.(ב)( 10 ) לחוק החברות, ואולם בכל תשובה שהיא (נכון/לא נכון) תצוין תקופת הזמן (בימים) בה לא כיהנו 
בתאגיד שני דירקטורים חיצוניים או יותר בשנת הדיווח (ובכלל זה גם תקופת כהונה שאושרה בדיעבד, תוך הפרדה בין 
הדירקטורים החיצונים השונים): 
דירקטור א': ליאורה מרידור. 
דירקטור ב': יקי ירושלמי. 
. מספר הדירקטורים החיצוניים המכהנים בתאגיד נכון למועד פרסום שאלון זה: 2 
√ 
הוראת חובה 
סעיף 239 לחוק החברות 
.2 
א. 
. מספר הדירקטורים הבלתי תלויים 1 המכהנים בתאגיד נכון למועד פרסום שאלון זה: 1 
_____ _____ 
חוק החברות - סעיף 1 
1 למעט "דירקטור חיצוני" כהגדרתו, בחוק החברות.
2 
ב. 
נכון למועד פרסום שאלון זה- 
- בתאגיד שיש בו בעל שליטה או מי שמחזיק בדבוקת שליטה (בסעיף זה - בעל שליטה) - שליש מבין 
חברי הדירקטוריון, לפחות, בלתי תלויים. 
- בתאגיד שאין בו בעל שליטה- רוב חברי הדירקטוריון בלתי תלויים. 
X 
לתוספת הראשונה (הוראות 
ממשל תאגידי מומלצות), 
ותקנה 10 (ב)( 9א) ו 48- (ג)( 9א) 
לתקנות הדוחות 
ג. 
התאגיד קבע בתקנון כי יכהן בו שיעור 2 /מספר מינימאלי של דירקטורים בלתי תלויים. 
אם תשובתכם הינה "נכון" יצוין- 
שיעור/מספר הדירקטורים הבלתי תלויים שנקבע בתקנון: _____. 
התאגיד עמד בפועל בהוראת התקנון בשנת הדיווח (לענין כהונת דירקטורים בלתי תלויים): 
כן  
לא  
במשבצת המתאימה). x (יש לסמן 
X 
3. בשנת הדיווח נערכה בדיקה עם הדירקטורים החיצוניים (והדירקטורים הבלתי תלויים) ונמצא כי הם קיימו בשנת 
הדיווח את הוראת סעיף 240 (ב) ו- (ו) לחוק החברות לעניין היעדר זיקה של הדירקטורים החיצוניים (והבלתי תלויים) 
המכהנים בתאגיד וכן מתקיימים בהם התנאים הנדרשים לכהונה כדירקטור חיצוני (או בלתי תלוי). 
אם תשובתכם הינה נכון - יצוין הגורם שערך את הבדיקה האמורה: יועץ משפטי. 
√ 
245 א. , סעיפים 240 (ב), 241 
ו- 246 לחוק החברות 
4. כל הדירקטורים אשר כיהנו בתאגיד במהלך שנת הדיווח, אינם כפופים 3 למנהל הכללי, במישרין או בעקיפין (למעט 
דירקטור שהוא נציג עובדים, אם קיימת בתאגיד נציגות לעובדים). 
אם תשובתכם הינה לא נכון (קרי, הדירקטור כפוף למנהל הכללי כאמור) - יצוין מספר הדירקטורים שלא עמדו 
. במגבלה האמורה: 0 
√ 
חוק החברות - סעיף 3 
לתוספת הראשונה (הוראות 
ממשל תאגידי מומלצות) 
. 2 בשאלון זה שיעור- מספר מסוים מתוך כל הדירקטורים. כך, לדוגמה, בתאגיד בו נקבע שיעור של שליש דירקטורים בלתי תלויים יצוין 1/3 
3 לעניין שאלה זו - עצם כהונה כדירקטור בתאגיד מוחזק הנמצא בשליטת התאגיד, לא ייחשב ככפיפות, מאידך, כהונת דירקטור בתאגיד המכהן כנושא משרה (למעט דירקטור) ו/או עובד בתאגיד 
המוחזק שבשליטת התאגיד ייחשב ככפיפות לעניין שאלה זו.
3 
.5 
כל הדירקטורים שהודיעו על קיומו של ענין אישי שלהם באישור עסקה שעל סדר יומה של הישיבה, לא נכחו בדיון ולא 
השתתפו בהצבעה כאמור (למעט דיון ו/או הצבעה בנסיבות המתקיימות לפי סעיף 278 (ב) לחוק החברות): 
אם תשובתכם הינה לא נכון – 
לא  כן  א. האם היה זה לשם הצגת נושא מסויים על ידו בהתאם להוראות סעיף 278 (א) סיפה: 
ב. יצוין שיעור הישיבות בהם דירקטורים כאמור נכחו בדיון ו/או השתתפו בהצבעה למעט בנסיבות כאמור בסק א.: 
._____ 
√ 
הוראת חובה 
סעיף 278 לחוק החברות 
6. בעל השליטה (לרבות קרובו ו/או מי מטעמו), שאינו דירקטור או נושא משרה בכירה אחר בתאגיד, לא נכח בישיבות 
הדירקטוריון שהתקיימו בשנת הדיווח. 
אם תשובתכם הינה לא נכון (קרי, בעל שליטה ו/או קרובו ו/או מי מטעמו שאינו חבר דירקטוריון ו/או נושא משרה 
בכירה בתאגיד נכח בישיבות הדירקטוריון כאמור) – יצוינו הפרטים הבאים לגבי נוכחות האדם הנוסף בישיבות 
הדירקטוריון כאמור: 
זהות: _____. 
תפקיד בתאגיד (ככל וקיים): _____. 
פירוט הזיקה לבעל השליטה (אם מי שנכח אינו בעל השליטה עצמו): _____. 
לא  כן  האם היה זה לשם הצגת נושא מסוים על ידו: 
במשבצת המתאימה) x (יש לסמן 
שיעור נוכחותו 4 בישיבות הדירקטוריון שהתקיימו בשנת הדיווח: _____. 
לשם הצגת נושא מסויים על ידו:_______, נוכחות אחרת: ________ - 
לא רלוונטי (בתאגיד אין בעל שליטה).  
√ 
סעיף 106 לחוק החברות 
4 תוך הפרדה בין בעל השליטה לקרובו ו/או מי מטעמו
4 
כשירות וכישורי הדירקטורים 
נכון 
לא נכון 
מסגרת נורמטיבית 
7. בתקנון התאגיד לא קיימת הוראה המגבילה את האפשרות לסיים מיידית את כהונתם של כלל הדירקטורים בתאגיד, 
שאינם דירקטורים חיצוניים (לעניין זה – קביעה ברוב רגיל אינה נחשבת מגבלה). 
אם תשובתכם הינה לא נכון (קרי, קיימת מגבלה כאמור) יצוין – 
√ 
סעיפים 85 ו- 222 לחוק 
החברות, סעיף 46 ב. לחוק 
ניירות ערך 
א. פרק הזמן שנקבע בתקנון לכהונת דירקטור: ___________. 
ב. הרוב הדרוש שנקבע בתקנון לסיום כהונתם של הדירקטורים: _____________. 
ג. מנין חוקי שנקבע בתקנון באסיפה הכללית לשם סיום כהונתם של הדירקטורים: __________________. 
ד. הרוב הדרוש לשינוי הוראות אלו בתקנון: ____________________. 
8. כל הדירקטורים שכיהנו בתאגיד במהלך שנת הדיווח הצהירו עובר למועד זימון האסיפה הכללית שעל סדר יומה היה 
מינוים (לרבות מינויים מחדש), כי יש להם הכישורים הדרושים (תוך פירוטם) והיכולת להקדיש את הזמן הראוי לשם 
ביצוע תפקידם וכי לא מתקיימות לגביהם ההגבלות האמורות בסעיפים 226 ו- 227 לחוק החברות, ולעניין דירקטור 
בלתי תלוי מתקיים בהם גם האמור בפסקאות ( 1) ו-( 2) להגדרה דירקטור בלתי תלוי שבסעיף 1 לחוק החברות. 
אם תשובתכם הינה לא נכון - יצוינו שמות הדירקטורים שלא התקיים האמור לגביהם: _____. 
√ 
הוראת חובה 
סעיפים 224 א.ו- 224 ב. 
לחוק החברות 
9. לתאגיד יש תוכנית הכשרה לדירקטורים חדשים, בתחום עסקי התאגיד ובתחום הדין החל על התאגיד והדירקטורים, 
וכן תכנית המשך להכשרת דירקטורים מכהנים, המותאמת, בין השאר, לתפקיד שהדירקטור ממלא בתאגיד. 
אם תשובתכם הינה נכון- יצוין האם התוכנית הופעלה בשנת הדיווח: 
לא  כן  
במשבצת המתאימה) x (יש לסמן 
X 
חוק החברות - סעיף 4 (א) 
לתוספת הראשונה (הוראות 
ממשל תאגידי מומלצות)
10 . יור הדירקטוריון (או אדם אחר שמינה הדירקטוריון) אחראי על הטמעת הוראות הממשל התאגידי החלות על התאגיד, 
ופעל לעדכון הדירקטורים בנושאים הקשורים בממשל תאגידי במהלך שנת הדיווח. 
אם הדירקטוריון מינה אדם אחר לתפקיד האחראי (חלף יור הדירקטוריון), נא ציינו את שמו ותפקידו: עוד אלברטו 
פסח, היועץ המשפטי ומזכיר החברה. 
5 
√ 
חוק החברות - סעיף 4 (ב) 
לתוספת הראשונה (הוראות 
ממשל תאגידי מומלצות) 
.11 
א. 
בתאגיד נקבע מספר מזערי נדרש של דירקטורים בדירקטוריון שעליהם להיות בעלי מומחיות חשבונאית 
ופיננסית. 
√ . אם תשובתכם הינה נכון - יצוין המספר המזערי שנקבע: 2 
הוראת חובה 
סעיף 92 (א)( 12 ) לחוק 
החברות 
ב. 
בכל שנת הדיווח כיהנו בתאגיד, בנוסף לדירקטור החיצוני בעל המומחיות החשבונאית ופיננסית, דירקטורים 
נוספים בעלי מומחיות חשבונאית ופיננסית במספר שאותו קבע הדירקטוריון. 
בשאלה זו ניתן לענות נכון אם תקופת הזמן בה לא כיהנו דירקטורים נוספים בעלי מומחיות חשבונאית 
ופיננסית אינה עולה על 60 ימים, ואולם בכל תשובה שהיא (נכון/לא נכון) תצוין תקופת הזמן (בימים) בה לא 
כיהנו בתאגיד דירקטורים כאמור: _____. 
√ 
הוראת חובה 
סעיף 219 (ד) לחוק החברות 
ג. 
מספר הדירקטורים שכיהנו בתאגיד במהלך שנת הדיווח: 
. בעלי כשירות חשבונאית ופיננסית: 9 
. בעלי כשירות מקצועית: 3 
במקרה שהיו שינויים במספר הדירקטורים כאמור בשנת הדיווח, יינתן הנתון של המספר הנמוך ביותר (למעט 
בתקופת זמן של 60 ימים מקרות השינוי) של דירקטורים מכל סוג שכיהנו בשנת הדיווח. 
_____ _____ 
219 (ד), ,( סעיפים 92 (א)( 12 
240 (א 1) לחוק החברות, 
( תקנה 10 (ב)( 9)(א) ו 48- (ג)( 9 
לתקנות הדוחות 
.12 
א. 
במועד מינוי דירקטור חיצוני בשנת הדיווח, קוימה הוראת סעיף 239 (ד) לחוק החברות לענין גיוון הרכב 
הדירקטוריון משני המינים. 
לא רלוונטי (לא מונה דירקטור חיצוני בשנת הדיווח)  
√ 
הוראת חובה 
סעיף 239 (ד) לחוק החברות 
ב. 
בכל שנת הדיווח כלל הרכב הדירקטוריון חברים משני המינים. 
אם תשובתכם הינה לא נכון - יצוין פרק הזמן (בימים) בו לא התקיים האמור: _____. 
בשאלה זו ניתן לענות נכון אם תקופת הזמן בה לא כיהנו דירקטורים משני המינים אינה עולה על 60 ימים, 
ואולם בכל תשובה שהיא (נכון/לא נכון) תצוין תקופת הזמן (בימים) בה לא כיהנו בתאגיד דירקטורים משני 
המינים: _____. 
√ 
חוק החברות - סעיף 2 
לתוספת הראשונה (הוראות 
ממשל תאגידי מומלצות) 
ג. 
מספר הדירקטורים מכל מין המכהנים בדירקטוריון התאגיד נכון למועד פרסום שאלון זה: 
. גברים: 13 , נשים: 1 
_____ _____
6 
ישיבות הדירקטוריון (וכינוס אסיפה כללית) 
נכון 
לא נכון 
מסגרת נורמטיבית 
.13 
א. 
מספר ישיבות הדירקטוריון שהתקיימו במהלך כל רבעון בשנת הדיווח: 
.2 :( רבעון ראשון (שנת 2013 
. רבעון שני: 1 
. רבעון שלישי: 2 
. רבעון רביעי: 1 
_____ 
_____ 
98 ו- 224 א. , סעיפים 97 
לחוק החברות 
ב. 
לצד כל אחד משמות הדירקטורים שכיהנו בתאגיד במהלך שנת הדיווח, יצוין שיעור השתתפותו בישיבות 
הדירקטוריון (בסק זה - לרבות ישיבות ועדות הדירקטוריון בהן הוא חבר, וכמצוין להלן) שהתקיימו במהלך שנת 
הדיווח (ובהתייחס לתקופת כהונתו): 
(יש להוסיף שורות נוספות לפי מספר הדירקטורים 
_____ _____ 
שם הדירקטור שיעור 
השתתפותו 
בישיבות 
הדירקטוריון 
שיעור 
השתתפותו 
בישיבות ועדת 
ביקורת (לגבי 
דירקטור החבר 
בוועדה זו) 
שיעור 
השתתפותו 
בישיבות הועדה 
לבחינת הדוחות 
כספיים (לגבי 
דירקטור החבר 
בוועדה זו) 
שיעור השתתפותו בישיבות 
ועדות דירקטוריון נוספות 
בהן הוא חבר (תוך ציון שם 
הועדה) 
--- --- ---- דן פרופר 100% 
---- ---- ---- גד פרופר 100% 
----- ----- ---- יצחק ירקוני 100% 
---- ---- ---- אברהם פינקלשטיין 100% 
----- ---- ---- 100% Richard Sykes 
----- ----- ----- 83% Jean Daniel Luthi 
---- ----- ---- 100% Pierre Streit 
---- ---- ---- 100% Roger Stettler 
---- ---- ---- 33% Nandu Nandkishore
---- ---- ---- אלי זהר 66% 
85% (ועדת תגמול) 85% 100% גבי הייק 100% 
100% (ועדת תגמול) 100% 100% יקי ירושלמי 100% 
100% (ועדת תגמול) 100% 100% ליאורה מרידור 100% 
------ 100% 100% יוסי אלשיך 100% 
7 
.14 
בשנת הדיווח קיים הדירקטוריון דיון אחד לפחות לעניין ניהול עסקי התאגיד בידי המנהל הכללי ונושאי המשרה 
הכפופים לו, בלא נוכחותם, לאחר שניתנה להם הזדמנות להביע את עמדתם. 
√ 
חוק החברות - סעיף 5 
לתוספת הראשונה (הוראות 
ממשל תאגידי מומלצות) 
.15 
בשנת הדיווח כונסה אסיפה שנתית (ולא יאוחר מתום חמישה עשר חודשים לאחר האסיפה השנתית האחרונה). √ הוראת חובה 
סעיף 60 לחוק החברות 
הפרדה בין תפקידי המנהל הכללי ויושב ראש הדירקטוריון 
נכון 
לא נכון 
מסגרת נורמטיבית 
.16 
בכל שנת הדיווח כיהן בתאגיד יור דירקטוריון. 
בשאלה זו ניתן לענות נכון אם תקופת הזמן בה לא כיהן בתאגיד יור דירקטוריון אינה עולה על 60 ימים כאמור 
בסעיף 363 א.( 2) לחוק החברות), ואולם בכל תשובה שהיא (נכון/לא נכון) תצוין תקופת הזמן (בימים) בה לא כיהן 
בתאגיד יור דירקטוריון כאמור: _____. 
√ 
הוראת חובה 
סעיף 94 (א) לחוק החברות 
.17 
בכל שנת הדיווח כיהן בתאגיד מנהל כללי. 
בשאלה זו ניתן לענות נכון אם תקופת הזמן בה לא כיהן בתאגיד מנכל אינה עולה על 90 ימים כאמור בסעיף 
363 א.( 6) לחוק החברות, ואולם בכל תשובה שהיא (נכון/לא נכון) תצוין תקופת הזמן (בימים) בה לא כיהן בתאגיד 
מנכל כאמור: _____. 
√ 
הוראת חובה 
סעיף 119 לחוק החברות
18 . בתאגיד בו מכהן יור הדירקטוריון גם כמנכל התאגיד ו/או מפעיל את סמכויותיו, כפל הכהונה אושר בהתאם 
להוראות סעיף 121 (ג) לחוק החברות. 
אם תשובתכם הינה נכון - נא הפנו לדיווח המיידי אודות האסיפה הכללית אשר אישרה את כפל הכהונה ו/או 
הפעלת הסמכויות כאמור: _____. 
8 
לא רלוונטי (ככל שלא מתקיים בתאגיד כפל כהונה כאמור). X 
------ 
------ הוראת חובה 
סעיפים 95 ו- 121 לחוק 
החברות 
.19 
המנכל אינו קרוב של יור הדירקטוריון. 
אם תשובתכם הינה לא נכון (קרי, המנכל הנו קרוב של יור הדירקטוריון) – 
√ 
סעיפים 95 ו- 121 לחוק 
החברות 
א. תצוין הקרבה המשפחתית בין הצדדים: _____. _____ _____ 
ב. 
הכהונה אושרה בהתאם לסעיף 121 (ג) לחוק החברות: 
כן  
לא  
במשבצת המתאימה) x (יש לסמן 
_____ _____ 
.20 
בעל שליטה או קרובו אינו מכהן כמנכל או כנושא משרה בכירה בתאגיד, למעט כדירקטור. 
לא רלוונטי (בתאגיד אין בעל שליטה).  
√ 
סעיף 106 לחוק החברות
9 
ועדת הביקורת 
נכון 
לא נכון 
מסגרת נורמטיבית 
.21 
כל הדירקטורים החיצוניים היו חברים בועדת הביקורת במהלך שנת הדיווח. 
√ 
הוראת חובה 
סעיף 115 לחוק החברות 
.22 
יור ועדת הביקורת הוא דירקטור חיצוני. 
√ 
הוראת חובה 
סעיף 115 לחוק החברות 
.23 
בועדת הביקורת לא כיהן בשנת הדיווח - 
_____ _____ הוראת חובה 
סעיף 115 לחוק החברות 
א. בעל השליטה או קרובו. 
לא רלוונטי (בתאגיד אין בעל שליטה).  
√ 
ב. יור הדירקטוריון. √ 
ג. דירקטור המועסק על ידי התאגיד או על ידי בעל השליטה בתאגיד או בידי תאגיד בשליטתו. √ 
ד. דירקטור הנותן לתאגיד או לבעל השליטה בתאגיד או תאגיד בשליטתו שירותים דרך קבע. √ 
ה. דירקטור שעיקר פרנסתו על בעל השליטה. 
לא רלוונטי (בתאגיד אין בעל שליטה).  
√ 
.24 
מי שאינו רשאי להיות חבר בוועדת ביקורת, ובכלל זה בעל שליטה או קרובו, לא נכח בשנת הדיווח בישיבות 
ועדת הביקורת, למעט בהתאם להוראות סעיף 115 (ה) לחוק החברות. 
√ 
הוראת חובה 
סעיף 115 (ה) לחוק החברות
25 . מנין חוקי לדיון ולקבלת החלטות בכל ישיבות ועדת הביקורת שהתקיימו בשנת הדיווח היה רוב של חברי 
הועדה, כאשר רוב הנוכחים היו דירקטורים בלתי תלויים ואחד מהם לפחות היה דירקטור חיצוני. 
אם תשובתכם הינה לא נכון - יצוין שיעור הישיבות בהן לא התקיימה הדרישה כאמור : _____. 
10 
√ 
הוראת חובה 
סעיף 116 א. לחוק החברות 
.26 
ועדת הביקורת קיימה בשנת הדיווח ישיבה אחת לפחות בנוכחות המבקר הפנימי ורואה החשבון המבקר, לפי העניין, 
ובלא נוכחות של נושאי משרה בתאגיד שאינם חברי הוועדה, לעניין ליקויים בניהול העסקי של התאגיד. √ 
הוראת חובה 
1) לחוק החברות, ) סעיף 117 
חוק החברות - סעיף 6 
לתוספת הראשונה (הוראות 
ממשל תאגידי מומלצות) 
.27 
בכל ישיבות ועדת הביקורת בה נכח מי שאינו רשאי להיות חבר הועדה, היה זה באישור יור הועדה ו/או לבקשת הועדה 
(לגבי היועץ המשפטי ומזכיר התאגיד שאינו בעל שליטה או קרובו). 
√ הוראת חובה 
סעיף 115 (ה) לחוק החברות 
תפקידי הועדה לבחינת הדוחות הכספיים (להלן - הועדה) בעבודתה המקדימה לאישור הדוחות הכספיים 
נכון 
לא נכון 
מסגרת נורמטיבית 
28 . א. יצוין פרק הזמן (בימים) אותו קבע הדירקטוריון כזמן סביר להעברת המלצות הועדה לקראת ישיבת 
. הדירקטוריון בה יאושרו הדוחות התקופתיים או הרבעוניים: 3 
_____ _____ 
הוראת חובה 
3) לתקנות אישור הדוחות ) תקנה 2 
הכספיים, 
ב. 
מספר הימים שחלפו בפועל בין מועד העברת ההמלצות לדירקטוריון למועד אישור הדוחות הכספיים: 
.3 :( דוח רבעון ראשון (שנת 2013 
. דוח רבעון שני: 3 
. דוח רבעון שלישי: 3 
. דוח שנתי: 5 
_____ 
_____ 
ג. מספר הימים שחלפו בין מועד העברת טיוטת הדוחות הכספיים לדירקטורים למועד אישור הדוחות 
הכספיים: 
.3 :( דוח רבעון ראשון (שנת 2013 
. דוח רבעון שני: 3 
דוח רבעון שלישי: 3 
. דוח שנתי: 5
29 . רואה החשבון המבקר של התאגיד הוזמן לכל ישיבות הועדה והדירקטוריון, והמבקר הפנימי קיבל הודעות על קיום 
הישיבות כאמור, בה נדונו הדוחות הכספיים של התאגיד המתייחסים לתקופות הנכללות בשנת הדיווח. 
11 
√ 
הוראת חובה 
סעיף 168 לחוק החברות, תקנה 
2) לתקנות אישור הדוחות )2 
הכספיים. 
30 . בועדה התקיימו בכל שנת הדיווח ועד לפרסום הדוח השנתי, כל התנאים המפורטים להלן: 
_____ _____ הוראת חובה 
תקנה 3 לתקנות אישור הדוחות 
הכספיים. 
א. מספר חבריה לא פחת משלושה (במועד הדיון בועדה ואישור הדוחות כאמור). √ 
ב. 
התקיימו בה כל התנאים הקבועים בסעיף 115 (ב) ו-(ג) לחוק החברות (לענין כהונת חברי ועדת ביקורת). 
√ 
ג. 
יור הועדה הוא דירקטור חיצוני. √ 
ד. כל חבריה דירקטורים ורוב חבריה דירקטורים בלתי תלויים. √ 
ה. לכל חבריה היכולת לקרוא ולהבין דוחות כספיים ולפחות אחד מהדירקטורים הבלתי תלויים הוא בעל 
מומחיות חשבונאית ופיננסית. 
√ 
ו. חברי הוועדה נתנו הצהרה עובר למינוים. √ 
ז. המניין החוקי לדיון ולקבלת החלטות בוועדה היה רוב חבריה ובלבד שרוב הנוכחים היו דירקטורים בלתי 
תלויים ובהם דירקטור חיצוני אחד לפחות. 
√ 
אם תשובתכם הנה לא נכון לגבי אחד או יותר מסעיפי המשנה של שאלה זוצוין ביחס לאיזה דוח 
(תקופתי/רבעוני) לא התקיים התנאי האמור: _____. 
_____ _____
12 
רואה חשבון מבקר 
נכון 
לא נכון 
מסגרת נורמטיבית 
.31 
ועדת הביקורת (ו/או הועדה לבחינת הדוחות הכספיים) הניחה את דעתה, בסמוך לפני אישור הדוח התקופתי, כי היקף 
עבודתו של רואה החשבון המבקר ושכר טרחתו בשנת הדיווח, היו נאותים לשם ביצוע עבודת ביקורת וסקירה ראויים 
לדוחות הכספיים בשנת הדיווח. 
√ 
5) לחוק החברות ) סעיף 117 
.32 
טרם מינויו של רואה החשבון המבקר, העבירה ועדת הביקורת (ו/או הועדה לבחינת הדוחות הכספיים) את המלצותיה 
לאורגן הרלוונטי בתאגיד, בקשר עם היקף עבודתו ותנאי העסקתו של רואה החשבון המבקר. 
לא רלוונטי (בשנת הדיווח לא מונה רואה חשבון מבקר).  
אם תשובתכם הינה נכון - יצוין האם האורגן הרלוונטי בתאגיד פעל על פי המלצות ועדת הביקורת (ו/או הועדה לבחינת 
הדוחות הכספיים): 
√ כן 
לא (במקרה שהתשובה היא לא, נא פרטו בהערות סיום לשאלון זה כיצד האורגן הרלוונטי (תוך ציון זהותו) הניח  
דעתו בקשר עם היקף עבודתו ושכרו של רואה החשבון המבקר). 
במשבצת המתאימה). x (יש לסמן 
5) לחוק החברות ) √ סעיף 117 
.33 
ועדת הביקורת (ו/או הועדה לבחינת הדוחות הכספיים) בחנה בשנת הדיווח כי לא היתה מגבלה על עבודת רואה החשבון 
המבקר. 
√ 
חוק ניירות ערך ותקנותיו 
(לעניין דוחות מבוקרים 
כדין) 
.34 
ועדת הביקורת (ו/או הועדה לבחינת הדוחות הכספיים) דנה בשנת הדיווח עם רואה החשבון המבקר בממצאי הביקורת 
והשלכותיהם. 
√ 
תקנה 2 לתקנות אישור 
הדוחות הכספיים, חוק 
החברות - סעיף 6 לתוספת 
הראשונה (הוראות ממשל 
תאגידי מומלצות) 
.35 
ועדת הביקורת (ו/או הועדה לבחינת הדוחות הכספיים) הניחה את דעתה, טרם מינויו של רואה החשבון המבקר, בדבר 
התאמת כשירותו לביצוע ביקורת בתאגיד וזאת לאור אופי פעילות התאגיד ומורכבותו. 
לא רלוונטי (בשנת הדיווח לא מונה רואה חשבון מבקר).  
√ 
חוק ניירות ערך ותקנותיו 
(לעניין דוחות מבוקרים 
כדין) 
.36 
נא פרטו את מספר השנים בהם מכהן השותף המטפל במשרד רואה החשבון המבקר בתפקידו (כרואה חשבון מבקר 
בתאגיד): 6 שנים. 
_____ 
_____ 
חוק ניירות ערך ותקנותיו 
(לעניין דוחות מבוקרים 
כדין)
13 
.37 
רואה החשבון המבקר השתתף בשנת הדיווח בכל ישיבות הועדה לבחינת הדוחות הכספיים אליהן הוזמן. 
√ 
סעיף 168 (ב) לחוק החברות, 
תקנה 2 לתקנות אישור 
הדוחות הכספיים 
עסקאות עם בעלי עניין 
נכון 
לא נכון 
מסגרת נורמטיבית 
.38 
התאגיד אימץ נוהל, שאושר בידי ועדת ביקורת, שעניינו עסקאות בעלי עניין על מנת להבטיח כי עסקאות כאמור יאושרו 
כדין. 
(*) הערה: התאגיד מצוי בשלבי גיבוש מתקדמים של נוהל עסקאות בעלי עניין. 
(*)X 
,255 ,253 , סעיפים 117 
270-278 לחוק החברות 
.39 
בעל השליטה או קרובו (לרבות חברה שבשליטתו) אינו מועסק על- ידי התאגיד או נותן לו שירותי ניהול. 
אם תשובתכם הינה לא נכון (קרי, בעל השליטה או קרובו מועסק על ידי התאגיד או נותן לו שירותי ניהול) יצוין – 
- מספר הקרובים (לרבות בעל השליטה) המועסקים על-ידי התאגיד (לרבות חברות שבשליטתם ו/או באמצעות חברות 
ניהול): _____. 
- האם הסכמי העסקה ו/או שירותי הניהול כאמור אושרו בידי האורגים הקבועים בדין: 
כן  
לא  
במשבצת המתאימה) x (יש לסמן 
לא רלוונטי (בתאגיד אין בעל שליטה). _____.  
√ 
4) לחוק החברות ) סעיף 270
14 
.40 
למיטב ידיעת התאגיד, לבעל השליטה אין עסקים נוספים בתחום פעילותו של התאגיד (בתחום אחד או יותר). 
אם תשובתכם הינה  לא נכון – יצוין האם נקבע הסדר לתיחום פעילויות בין התאגיד ובעל השליטה בו: 
כן  
לא  
במשבצת המתאימה) x (יש לסמן 
לא רלוונטי (בתאגיד אין בעל שליטה).  
(*) הערה: בעל השליטה, קונצרן מזון בעל פעילות בינלאומית, אינו מנהל בישראל עסקים נוספים למעט 
בתחומים שאינם בתחום פעילותו של התאגיד (דוגמת: נספרסו, מים מינרלים מיובאים, מזון רפואי). 
(*)√ 
סעיף 254 לחוק החברות, סעיף 
36 לחוק ניירות ערך (פרט 
חשוב למשקיע הסביר) 
יור הדירקטוריון: ___________ יור ועדת הביקורת: ___________ יור הועדה לבחינת הדוחות הכספיים: ___________ 
תאריך החתימה: ___________ 
doc. אכיפה מנהליתממשל תאגידי 2013 שאלון ממשל תאגידי לשנת 2013 - נקי N:LEGALCorporate
אסם השקעות בעמ 
חלק ה': 
דוח שנתי בדבר אפקטיביות הבקרה 
הפנימית על הדיווח הכספי ועל הגילוי לפי 
תקנה 9ב(א) לשנת 2013
מצורף בזאת דוח שנתי בדבר אפקטיביות הבקרה הפנימית על הדיווח הכספי ועל 
הגילוי לפי תקנה 9ב(א): 
ההנהלה, בפיקוח הדירקטוריון של חברת אסם השקעות בעמ (להלן – התאגיד), אחראית 
לקביעתה והתקיימותה של בקרה פנימית נאותה על הדיווח הכספי ועל הגילוי בתאגיד. 
לעניין זה, חברי ההנהלה הם: 
1. איציק צאיג - מנהל כללי 
2. פנחס קימלמן - משנה למנכל כספים 
3. מאיר אימבר - משנה למנכל לתפעול 
4. זאב קלימי - מנכל נגה גלידות 
5. עופר גרין – משנה למנכל ומנכל קבוצת אסם סחר 
6. רני שגיב - סמנכל שרשרת אספקה 
7. אילת ליפשיץ - סמנכל שיווק ופיתוח עיסקי 
8. יריב ארדון - מנהל התחום המקצועי 
9. אורי בן שי - מנכל תחומי החטיפים, מאפה, משקאות ודגני בוקר 
10 . זהבה מרטינוביץ - מנכל חטיבה קולינארית 
11 . חגית אדלר - מנכל בונז'ור 
12 . ברק שטרוזברג - סמנכל משאבי אנוש 
בקרה פנימית על הדיווח הכספי ועל הגילוי כוללת בקרות ונהלים הקיימים בתאגיד, אשר 
תוכננו בידי המנהל הכללי ונושא המשרה הבכיר ביותר בתחום הכספים או תחת פיקוחם, 
או בידי מי שמבצע בפועל את התפקידים האמורים, בפיקוח דירקטוריון התאגיד, אשר נועדו 
לספק מידה סבירה של ביטחון בהתייחס למהימנות הדיווח הכספי ולהכנת הדוחות בהתאם 
להוראות הדין, ולהבטיח כי מידע שהתאגיד נדרש לגלות בדוחות שהוא מפרסם על פי 
הוראות הדין נאסף, מעובד, מסוכם ומדווח במועד ובמתכונת הקבועים בדין. 
הבקרה הפנימית כוללת, בין היתר, בקרות ונהלים שתוכננו להבטיח כי מידע שהתאגיד 
נדרש לגלותו כאמור, נצבר ומועבר להנהלת התאגיד, לרבות למנכל ולנושא המשרה הבכיר 
ביותר בתחום הכספים או למי שמבצע בפועל את התפקידים האמורים, וזאת על מנת 
לאפשר קבלת החלטות במועד המתאים, בהתייחס לדרישת הגילוי. 
בשל המגבלות המבניות שלה, בקרה פנימית על הדיווח הכספי ועל הגילוי אינה מיועדת 
לספק ביטחון מוחלט שהצגה מוטעית או השמטת מידע בדוחות תימנע או תתגלה. 
ההנהלה, בפיקוח הדירקטוריון, ביצעה בדיקה והערכה של הבקרה הפנימית על הדיווח 
הכספי ועל הגילוי בתאגיד והאפקטיביות שלה. הערכת אפקטיביות הבקרה הפנימית על 
הדיווח הכספי והגילוי שביצעה ההנהלה בפיקוח הדירקטוריון כללה: 
מיפוי וזיהוי החשבונות, התהליכים העסקיים והחברות אשר החברה רואה אותם כמהותיים 
מאוד לדיווח הכספי והגילוי; בחינת בקרות מפתח ובדיקת אפקטיביות הבקרות; רכיבי 
בקרות על תהליך ,(Entity Level Controls) הבקרה הפנימית כללו בקרות ברמת הארגון 
ובקרות על (ITGC) עריכת וסגירת הדוחות הכספיים, בקרות כלליות על מערכות המידע 
תהליכים מהותיים מאוד לדיווח הכספי ולגילוי: מכירות שוק מקומי, מלאי, רכש ותשלום 
לספקים. 
בהתבסס על הערכת האפקטיביות שביצעה ההנהלה בפיקוח הדירקטוריון כמפורט לעיל, 
הדירקטוריון והנהלת התאגיד הגיעו למסקנה, כי הבקרה הפנימית על הדיווח הכספי ועל 
הגילוי בתאגיד ליום 31 בדצמבר 2013 היא אפקטיבית.
הצהרות מנהלים: 
( (א) הצהרת מנהל כללי לפי תקנה 9 ב(ד)( 1 
הצהרת מנהלים 
הצהרת מנהל כללי 
אני, איציק צאיג, מצהיר כי: 
1 בחנתי את הדוח התקופתי של חברת אסם השקעות בעמ (להלן – התאגיד) לשנת 2013 . 
(להלן – הדוחות). 
2. לפי ידיעתי, הדוחות אינם כוללים כל מצג לא נכון של עובדה מהותית ולא חסר בהם מצג של 
עובדה מהותית הנחוץ כדי שהמצגים שנכללו בהם, לאור הנסיבות שבהן נכללו אותם מצגים, 
לא יהיו מטעים בהתייחס לתקופת הדוחות. 
3. לפי ידיעתי הדוחות הכספיים ומידע כספי אחר הכלול בדוחות משקפים באופן נאות, מכל 
הבחינות המהותיות, את המצב הכספי, תוצאות הפעולות ותזרימי המזומנים של התאגיד 
לתאריכים ולתקופות שאליהם מתייחסים הדוחות. 
4. גיליתי לרואה החשבון המבקר של התאגיד, לדירקטוריון ולוועדת הביקורת של דירקטוריון 
התאגיד, בהתבסס על הערכתי העדכנית ביותר לגבי הבקרה הפנימית על הדיווח הכספי ועל 
הגילוי. 
א. את כל הליקויים המשמעותיים והחולשות המהותיות בקביעתה או בהפעלתה של 
הבקרה הפנימית על הדיווח הכספי ועל הגילוי העלולים באופן סביר להשפיע לרעה 
על יכולתו של התאגיד לאסוף, לעבד, לסכם או לדווח על מידע כספי באופן שיש בו 
להטיל ספק במהימנות הדיווח הכספי והכנת הדוחות הכספיים בהתאם להוראות 
הדין; וכן- 
ב. כל תרמית בין מהותית ובין שאינה מהותית, בה מעורב המנהל הכללי או מי שכפוף 
לו במישרין או מעורבים עובדים אחרים שיש להם תפקיד משמעותי בבקרה 
הפנימית על הדיווח הכספי ועל הגילוי. 
5. אני, לבד או יחד עם אחרים בתאגיד: 
א. קבעתי בקרות ונהלים, או וידאתי קביעתם וקיומם של בקרות ונהלים תחת פיקוחי, 
המיועדים להבטיח שמידע מהותי המתייחס לתאגיד, לרבות חברות מאוחדות שלו 
כהגדרתן בתקנות ניירות ערך (דוחות כספיים שנתיים), התשע – 2010 , מובא 
לידיעתי על ידי אחרים בתאגיד ובחברות המאוחדות, בפרט במהלך תקופת ההכנה 
של הדוחות; וכן-. 
ב. קבעתי בקרות ונהלים, או וידאתי קביעתם וקיומם של בקרות ונהלים תחת פיקוחי, 
המיועדים להבטיח באופן סביר את מהימנות הדיווח הכספי והכנת הדוחות 
הכספיים בהתאם להוראות הדין, לרבות בהתאם לכללי חשבונאות מקובלים. 
ג. הערכתי את האפקטיביות של הבקרה הפנימית על הדיווח הכספי ועל הגילוי, 
והצגתי בדוח זה את מסקנות הדירקטוריון וההנהלה לגבי האפקטיביות של הבקרה 
הפנימית כאמור למועד הדוחות. 
אין באמור לעיל כדי לגרוע מאחריותי או מאחריות כל אדם אחר, על פי כל דין. 
13 במרץ 2014 חתימה - איציק צאיג 
מנהל כללי
( (ב) הצהרת נושא המשרה הבכיר ביותר בתחום הכספים לפי תקנה 9ב(ד)( 2 
הצהרת מנהלים 
הצהרת נושא המשרה הבכיר ביותר בתחום הכספים 
אני, פנחס קימלמן, מצהיר כי: 
1. בחנתי את הדוחות הכספיים ומידע כספי אחר הכלול בדוחות של אסם השקעות בעמ 
(להלן- התאגיד ) לשנת 2013 (להלן – הדוחות). 
2. לפי ידיעתי, הדוחות הכספיים והמידע הכספי האחר הכלול בדוחות אינם כוללים כל מצג לא 
נכון של עובדה מהותית ולא חסר בהם מצג של עובדה מהותית הנחוץ כדי שהמצגים שנכללו 
בהם, לאור הנסיבות בהן נכללו אותם מצגים, לא יהיו מטעים בהתייחס לתקופת הדוחות. 
3. לפי ידיעתי, הדוחות הכספיים ומידע כספי אחר הכלול בדוחות משקפים באופן נאות, מכל 
הבחינות המהותיות, את המצב הכספי, תוצאות הפעולות ותזרימי המזומנים של התאגיד 
לתאריכים ולתקופות שאליהם מתייחסים הדוחות. 
4. גיליתי לרואה החשבון של התאגיד, לדירקטוריון ולועדת הביקורת של דירקטוריון התאגיד, 
בהתבסס על הערכתי העדכנית ביותר לגבי הבקרה הפנימית על הדיווח הכספי ועל הגילוי: 
א. את כל הליקויים המשמעותיים והחולשות המהותיות בקביעתה או בהפעלתה של 
הבקרה הפנימית על הדיווח הכספי ועל הגילוי ככל שהיא מתייחסת לדוחות 
הכספיים ולמידע הכספי האחר הכלול בדוחות, העלולים באופן סביר להשפיע לרעה 
על יכולתו של התאגיד לאסוף, לעבד, לסכם או לדווח על מידע כספי באופן שיש בו 
להטיל ספק במהימנות הדיווח הכספי והכנת הדוחות הכספיים בהתאם להוראות 
הדין; וכן- 
ב. כל תרמית, בין מהותית ובין שאינה מהותית, בה מעורב המנהל הכללי או מי שכפוף 
לו במישרין או מעורבים עובדים אחרים שיש להם תפקיד משמעותי בבקרה 
הפנימית על הדיווח הכספי ועל הגילוי. 
5. אני, לבד או ביחד עם אחרים בתאגיד: 
א. קבעתי בקרות ונהלים, או וידאתי קביעתם וקיומם של בקרות ונהלים תחת פיקוחי, 
המיועדים להבטיח שמידע מהותי המתייחס לתאגיד, לרבות חברות מאוחדות שלו 
כהגדרתן בתקנות ניירות ערך (דוחות כספיים שנתיים), התשע 2010- , ככל שהוא 
רלוונטי לדוחות הכספיים ולמידע כספי אחר הכלול בדוחות, מובא לידיעתי על ידי 
אחרים בתאגיד ובחברות המאוחדות, בפרט במהלך תקופת ההכנה של הדוחות; 
וכן:- 
ב. קבעתי בקרות ונהלים, או וידאתי קביעתם של בקרות ונהלים תחת פיקוחנו, 
המיועדים להבטיח באופן סביר את מהימנות הדיווח הכספי והכנת הדוחות 
הכספיים בהתאם להוראות הדין, לרבות בהתאם לכללי חשבונאות מקובלים; 
ג. הערכתי את האפקטיביות של הבקרה הפנימית על הדיווח הכספי ועל הגילוי, ככל 
שהיא מתייחסת לדוחות הכספיים ולמידע הכספי האחר הכלול בדוחות למועד 
הדוחות. מסקנותיי לגבי הערכתי כאמור הובאו בפני הדירקטוריון וההנהלה 
ומשולבות בדוח זה. 
אין באמור לעיל כדי לגרוע מאחריותי או מאחריות כל אם אחר, על פי כל דין. 
13 במרץ 2014 חתימה – פנחס קימלמן 
משנה למנכל כספים

2013 - הדו"ח הכספי של חברת אסם

  • 1.
    אסם השקעות בע"מ דוח תקופתי לשנת 2013
  • 2.
    דוח תקופתי לשנת2013 תוכן העניינים חלק א' תאור עסקי התאגיד חלק ב' דין וחשבון הדירקטוריון על מצב ענייני החברה חלק ג' דוחות כספיים ליום 31 בדצמבר 2013 חלק ד' פרטים נוספים על התאגיד ושאלון ממשל תאגידי חלק ה' דוח שנתי בדבר אפקטיביות הבקרה הפנימית על הדיווח הכספי ועל הגילוי לפי תקנה 9ב(א) לשנת 2013
  • 3.
    אסם השקעות בע"מ חלק א': תאור עסקי התאגיד
  • 4.
    תיאור עסקי התאגיד- תוכן עניינים חלק ראשון - תיאור ההתפתחות הכללית של עסקי התאגיד 1 1. פעילות התאגיד ותיאור התפתחות עסקיו 1 2. תחומי פעילות 5 3. השקעות בהון התאגיד ועסקאות במניותיו 6 4. חלוקת דיבידנדים 6 חלק שני - מידע אחר 8 5. מידע כספי לגבי תחומי הפעילות של התאגיד 8 6. סביבה כללית והשפעת גורמים חיצוניים על פעילות התאגיד 11 חלק שלישי - תיאור עסקי התאגיד לפי תחומי פעילות 15 7. תחום המזון הקולינארי 15 8. תחום החטיפים ודגני הבוקר 24 9. תחום המאפה והמשקאות 31 10 . תחום המזון המוכן 38 11 . תחום המזון לתינוקות 47 12 . פעילויות אחרות 56 חלק רביעי - עניינים הנוגעים לפעילות הקבוצה בכללותה 59 13 . לקוחות 59 14 . הפצה ושיווק 60 15 . צבר הזמנות 62 16 . רכוש קבוע ומתקנים 63 17 . מחקר ופיתוח 64
  • 5.
    18 . נכסיםלא מוחשיים 64 19 . הון אנושי 67 20 . הון חוזר 72 21 . השקעות 73 22 . מימון 73 23 . מיסוי 74 24 . איכות הסביבה 76 25 . מגבלות ופיקוח על פעילות התאגיד 85 26 . הסכמים מהותיים 88 27 . הסכמי שיתוף פעולה 89 28 . הליכים משפטיים 89 29 . יעדים ואסטרטגיה עסקית 90 30 . צפי להתפתחות בשנה הקרובה 91 31 . מידע כספי לגבי מגזרים גיאוגרפיים 91 32 . דיון בגורמי סיכון 93 פרק זה בדוח התקופתי, העוסק בתיאור עסקי התאגיד כולל בתוכו גם מידע צופה פני עתיד כהגדרתו בחוק ניירות ערך, תשכ"ח 1968- . מידע צופה פני עתיד הינו מידע בלתי וודאי לגבי העתיד, המבוסס על אינפורמציה הקיימת בחברה במועד הדוח וכולל הערכות של החברה או כוונות שלה נכון למועד הדוח. מידע זה משקף את נקודת המבט הנוכחית של החברה בנוגע לאירועים עתידיים המבוססים על הערכות ולכן נתונים לסיכונים ולחוסר ודאות. התוצאות בפועל עשויות להיות שונות באופן מהותי מן התוצאות המוערכות או המשתמעות ממידע זה, כתוצאה ממספר רב של גורמים, לרבות כתוצאה משינוים בתכניותיה העסקיות של החברה וכתוצאה משינויים מאקרו- כלכליים וענפיים. ניתן לזהות קטעים המכילים מידע צופה פני עתיד על-ידי הופעת מילים כגון: "החברה מעריכה", "החברה סבורה", "החברה מתכוונת", "החברה צופה", וכדומה, או ביטויים שהם בלשון עתיד, אך יתכן כי מידע זה יופיע גם בניסוחים אחרים.
  • 6.
    תיאור עסקי התאגיד חלק ראשון - תיאור ההתפתחות הכללית של עסקי התאגיד 1. פעילות התאגיד ותאור התפתחות עסקיו 1.1 שנת הקמה ורקע כללי - קבוצת אסם נוסדה בשנת 1942 ואסם השקעות בע"מ הינה חברת האם המאגדת בתוכה את קבוצת חברות אסם ("אסם", "החברה", "הקבוצה" ו-"קבוצת אסם", לפי העניין). הקבוצה מייצרת ומשווקת למעלה מ- 2,000 פריטי מזון שונים המיוצרים כיום באחד- עשר אתרי יצור והמשווקים באמצעות מרכז הפצה מרכזי ומספר אתרי שטעון עיקריים. כמו כן מייצאת הקבוצה פריטי מזון שונים לארצות שונות, בעיקר למדינות אירופה ולארה"ב. מוצרי חברות הבת טבעול (תחליפי בשר) וצבר (סלטים) מיוצרים הן בארץ והן בחו"ל (באמצעות מפעליה בצ'כיה ובארה"ב). מניות החברה הוצעו לראשונה והונפקו בבורסה לניירות ערך בתל- אביב 1 . בשנת 1992 1.2 מעמדה של החברה בענף המזון - אסם נמנית עם החברות המובילות בישראל בענף המזון ומפתחת את עסקיה מתוך מטרה להציע לצרכן בארץ ובחו"ל מגוון רחב של מוצרים ממותגים וברמת איכות גבוהה בכל תחומי המזון שבהן היא פועלת ובכך מבססת את מעמדה המוביל בתחום המזון. בשנת 2010 הרחיבה הקבוצה את פעילותה בתחום המזון בישראל באמצעות כניסה לתחום המזון לתינוקות על-ידי רכישת 51% מפעילות "חברת מטרנה", כמפורט להלן. בשנים האחרונות הרחיבה הקבוצה את פעילותה בחו"ל באמצעות הקמת מפעל חדש של טבעול בצ'כיה, רכישת פעילות חברת ההפצה "ירדן" באנגליה, בארה"ב, אשר עוסקות Food-Tech- ו Tribe ורכישת פעילות החברות בסלטים ותחליפי בשר. ישראל כמו TNS בסקר תדמית שנערך בדצמבר 2013 על- ידי מכון המחקר גם בסקרים נוספים שנערכו בשש השנים הקודמות, נבחרה אסם כחברת המזון המובילה, הטובה , המועדפת והמוכרת ביותר בישראל. 1.3 מותגים וטכנולוגיה - לקבוצה מותגים וטכנולוגיות יצור רחבות ומגוונות פרי פיתוח עצמאי ובנוסף לכך היא עושה שימוש במותגים, בידע ובטכנולוגיה של
  • 7.
    נסטלה - חברתהמזון המובילה בעולם, בעלת המניות הגדולה באסם אשר שיעור החזקותיה מגיע למועד הדוח לכ- 63.7% מזכויות הבעלות בחברה ("נסטלה" או "קבוצת נסטלה"). 1.4 שיתוף פעולה אסטרטגי עם נסטלה - לחברה הסכמים בלעדיים לשיתוף פעולה עם קבוצת נסטלה, על הפצת מוצרי נסטלה בישראל על ידי מערכות השיווק והמכירה של אסם וכן הוסכם על אפשרות לייצור מוצרי נסטלה בישראל. בנוסף לחברה הסכמים בלעדיים עם קבוצת נסטלה לשימוש בקניין רוחני בידע, סימני מסחר שנסטלה מחזיקה בזכויות בהם. כמו כן מקבלת אסם סיוע טכני בנושא מחקר ופיתוח וזכויות שימוש נרחבות בידע של נסטלה לשימושה של הקבוצה. המדובר, בין השאר, בידע טכני, מדעי, שיווקי, לוגיסטי, מכירתי, ייצורי, מחשובי ופיננסי. לפרטים נוספים ראו תקנה 22 בחלק ד' ("פרטים נוספים אודות התאגיד"). 1.5 כניסה לתחום המזון לתינוקות - בספטמבר 2008 נחתם הסכם וביום 31 בדצמבר 2009 הושלמה עסקה לפיה רכשה אסם 51% מהרכוש הקבוע, המוניטין וההון החוזר של פעילות המזון לתינוקות של מעברות, המרוכזת תחת המותג "מטרנה", בתמורה לסך של 163.6 מליון ₪. במסגרת העסקה הקימו אסם ומעברות שותפות שבה מחזיקה אסם 51% (להלן בס"ק זה: "השותפות"), באופן שאסם ומעברות העמידו לרשות השותפות את הרכוש הקבוע, המוניטין וההון החוזר כאמור. במקביל, רכשה נסטלה ממעברות 51% מהידע והמותגים של מטרנה, תמורת סך של 105 מליון ₪, ואלו ביחד עם הידע והמותגים של נסטלה הועמדו לרשות השותפות תמורת תמלוגים. כמפורט בפרק 26.2 PUT- ו CALL כמו כן במסגרת העסקה ניתנו אופציות להלן. מכירות השותפות החדשה ורווחיה מתאחדים בתוצאות הכספיות של . קבוצת אסם החל מיום 1 בינואר 2010 1.6 מיזוג מפעלי טבעול - פעילות טבעול בתחום תחליפי הבשר כללה בשנים האחרונות שלושה מפעלים ברחבי העולם, מפעל טבעול בישראל, מפעל טבעול בצ'כיה ומפעל פודטק בארה"ב. במהלך הרבעון השלישי של שנת 2010 מיזגה הקבוצה את המפעל בארה"ב והעבירה את פעילות היצור שלו לישראל ולצ'כיה, באופן שנכון למועד הדוח, פעילות טבעול מרוכזת בשני מפעלים והמכירות לארה"ב מבוצעות באמצעות יצוא מישראל ומצ'כיה. 2
  • 8.
    1.7 רכישת מלואהבעלות בטבעול – ב- 23 לנובמבר 2010 רכשה קבוצת אסם מקיבוץ לוחמי הגטאות את יתרת 42% ממניות טבעול ( 1993 ) בע"מ, המחזיקה 100% מהבעלות בטבעול אירופה, סלטי צבר בישראל וטרייב בארה"ב, ובכך הגיעה להחזקה של 100% בחברת טבעול. ההסכם כולל בתוכו גם התחייבות של הקיבוץ לאי תחרות לתקופה מוגבלת. התמורה הכוללת בגין העסקה הסתכמה לסך של 468,456 אלפי ₪ אשר שולמה בשלושה תשלומים שנתיים צמודים למדד ונושאי ריבית, אשר האחרון שבהם, בסך 218,279 אלפי ₪, שולם בנובמבר 2012 . הגדלת ההחזקה ל – 100% מאפשרת לקבוצה להמשיך ולממש את תוכניות התרחבות של תחום תחליפי הבשר ותחום הסלטים בישראל, באירופה ובארה"ב. לאסם –במרץ 2014 האריכה חברת מידרוג בע"מ את AAA 1.8 דירוג אשראי של עם אופק דירוג יציב שהוענק לאסם. אסם הינה AAA דירוג האשראי של החברה התעשייתית הראשונה והיחידה בישראל, שאינה חברה ממשלתית, 3 .AAA שמקבלת דירוג
  • 9.
    1.9 להלן תרשיםמבנה ההחזקות של החברות הפעילות בקבוצה בהתאם 1% 99% 4 לפעילותן: מגדנות הבית Tribe Mediterranean Foods Inc (3) 100% 1) אסם השקעות בע"מ בנוסף להיותה חברת ההחזקות של הקבוצה הינה חברה יצרנית בתחום המוצרים ) הקולינאריים, המאפה והחטיפים וכן בתחום המאפה הקפוא (לאחר שחברת בונז'ור ( 1986 ) בע"מ מוזגה לתוך אסם השקעות בע"מ). 2) התרשים לא כולל החזקה בחברות לא פעילות או בחברות שפעילותן אינה מהותית או שפעילותן מתמצה ) בהחזקה, החזקת נכסים או השכרת נכסים, ושיעורי ההחזקות בטבלה לעיל עודכנו לצורך כך בהתאם. פועלת בתחום המזון המוכן בארה"ב הן במוצרי הסלטים המצוננים והן בתחום המזון מן Tribe 3) חברת ) הצומח. 4) טבעול תעשיות מזון בע"מ כוללת בתוכה את פעילות טבעול וגם את פעילות סלטי צבר לאחר שהחברות ) עברו תהליך מזוג. 5) על אף העובדה שההחזקה במטרנה הינה 51% הרי שחשבונאית בגלל מרכיב האופציה מוצגת החזקה של ) 100% בהתאם לכללים החשבונאים המקובלים. בע"מ אסמים חבילות שי בע"מ אסם תעשיות מזון בע"מ ( אסם השקעות בע"מ ( 1 100% 74% בית השיטה – עסיס תעשיות מזון שותפות מוגבלת 100% טבעול צ'כיה נגה גלידות בע"מ שותפות מוגבלת 100% קבוצת אסם סחר שותפות מוגבלת Osem UK Ltd. Osem USA Inc. 100% מטרנה תעשיות שותפות ( מוגבלת ( 5 50.5% טבעול תעשיות מזון ( בע"מ ( 4 ( טבעול ( 1993 100% בע"מ 60% 40% 49.5% Tivall Holland B.V. Tivall Sweden A.B. Tivall Europe B.V. 100% 0.1% 99.9% 100% 100% 100% 51%
  • 10.
    5 2. תחומיפעילות הקבוצה מתמקדת ביצור ושיווק של מוצרי מזון ונמנית עם יצרני ומשווקי המזון הגדולים בישראל. כמפורט בבאור 26 לדוחות הכספיים המצורפים לדוח תקופתי זה, הקבוצה מדווחת על מספר תחומי פעילות המדווחים כמגזרים עסקיים של החברה. 2.1 תחום הקולינארי - בתחום זה הקבוצה מפתחת, מייצרת ו/או מוכרת, משווקת ומפיצה מגוון רחב של מוצרים ממותגים. העיקריים שבהם כוללים בין השאר פסטה, מרקים, תבשילים, עזרי אפיה, רטבים, שקדי מרק ושימורים (חמוצים). 2.2 תחום החטיפים ודגני הבוקר - בתחום זה הקבוצה מפתחת, מייצרת ו/או מוכרת, משווקת ומפיצה מגוון רחב של מוצרים ממותגים. המוצרים בתחום פעילות זה כוללים מוצרי חטיפים (חטיפי חיטה, חטיפי בוטנים, חטיפי תפוחי-אדמה, חטיפי תירס וכו'), דגני בוקר וחטיפי בריאות. 2.3 תחום המאפה והמשקאות - בתחום זה הקבוצה מפתחת, מייצרת ו/או מוכרת, משווקת ומפיצה מגוון רחב של מוצרים ממותגים. המוצרים בתחום פעילות זה כוללים את מוצרי המאפים המלוחים (כגון קרקרים ולחמית), המאפים המתוקים (עוגות ועוגיות), תרכיזים לשתייה, שוקו וקפה נמס. 2.4 תחום המזון המוכן - בתחום זה הקבוצה מפתחת, מייצרת ו/או מוכרת, משווקת ומפיצה מגוון רחב של מוצרים קפואים ומצוננים ממותגים, שהעיקריים שבהם כוללים מוצרי מאפה קפואים הנאפים בנקודות המכירה, שניצלים, המבורגרים, נקניקיות וארוחות מוכנות על בסיס של תחליפי בשר וכן מוצרים המכילים ירקות, סלטים מוכנים וארוזים (סלטי חומוס, חצילים, טחינה וכיוצ"ב). 2.5 תחום המזון לתינוקות – בתחום זה, פעילות הקבוצה מתבצעת באמצעות שותפות מטרנה, שמפתחת, מייצרת ו/או מוכרת, ומשווקת מגוון רחב של מוצרי מזון לתינוקות הכוללים בעיקר תחליפי חלב אם, דייסות, מחיות, ביסקוויטים ופסטות לפעוטות. 2.6 פעילויות אחרות – בתחום זה, נכללות פעילויות שונות שאינן נכללות בתחומי הפעילויות שתוארו לעיל. העיקריות שבהן כוללות, בין השאר, משקאות
  • 11.
    גלידות, מזון לבעליחיים, מוצרים קנויים אחרים וכן פעילות ,(Nestea) קלים המדובר .USA ואסם UK חברות הבנות אסמים חבילות שי, אסם בפעילויות שנכון למועד דוח זה אינן עונות על הסף הכמותי להצגה בדוחות הכספיים כמגזרים ברי דיווח. 3. השקעות בהון התאגיד ועסקאות במניותיו בשנתיים האחרונות לא בוצעו השקעות בהון התאגיד וכן לא נעשו על ידי בעלי עניין בחברה עסקאות במניות החברה מחוץ לבורסה, למעט העסקאות הבאות: א. עסקה שבוצעה ביום 1.2.2012 במסגרתה רכשה נסטלה את החזקותיהן של ארבע חברות פרטיות שמר גד פרופר (דירקטור בחברה) מחזיק בהן מניות. סה"כ 67.1992 ש"ח ) ₪ נמכרו במסגרת העסקה 5,532,140 מניות בתמורה ל 371,755,890 למניה). בהתאם לכך, לאחר הרכישה עלה שיעור החזקותיה של נסטלה בחברה ; משיעור של 53.8% ל- 58.8% ב. עסקה שבוצעה ביום 26.11.2013 במסגרתה רכשה נסטלה את החזקותיהן של ארבע חברות פרטיות שמר דן פרופר (יו"ר דירקטוריון החברה) מחזיק בהן מניות. סה"כ נמכרו במסגרת העסקה 5,439,017 מניות בתמורה ל- 503,094,912 ש"ח 92.497 ש"ח למניה). בהתאם לכך, לאחר הרכישה עלה שיעור החזקותיה של ) . נסטלה בחברה משיעור של 58.8% ל- 63.7% 6 4. חלוקת דיבידנדים 4.1 ביום 18 בדצמבר 2012 חילקה החברה דיבידנד בסך 150 מיליון ₪. 4.2 ביום 2 ביולי 2013 חילקה החברה דיבידנד בסך 150 מיליון ₪. 4.3 יתרת הרווחים הניתנים לחלוקה נכון ליום 31.12.13 הינה יתרת העודפים כמפורט בדוחות על השינויים בהון שבדוחות הכספיים הכלולים בדוח תקופתי זה. 4.4 לחברה הסכם שיעבוד שלילי עם הבנקים לפיו במידה ותקבל אשראי בנקאי לא ירשמו כל שעבודים לטובת הבנקים כל עוד תעמוד החברה בהתחייבויות
  • 12.
    מסוימות ובאמות מידהפיננסיות לרבות אלו המתייחסות לחלוקת דיבידנד. לפירוט נוסף ראה באור 21 ב. לדוחות הכספיים המצורפים לדוח תקופתי זה. בתקופת הדיווח הרלוונטית, החברה עומדת בהתחייבויות הללו ובאמות המידה הפיננסיות. 4.5 בשנים האחרונות לא קבעה החברה מדיניות חלוקת דיבידנד. עם זאת, לפי תקנון ההתאגדות של החברה וע"פ תשקיף החברה משנת 1992 , החברה תשאף לחלק דיבידנד שנתי במזומן שלא יפחת מ- 15% מהרווח השנתי הנקי ע"פ הדוחות השנתיים המבוקרים של החברה, בהתחשב בתוכנית ההשקעה של החברה ובצרכיה. יחד עם זאת, בפועל חילקה החברה בשנים האחרונות דיבידנדים בשיעורים גבוהים יותר וזאת לפי הפירוט כדלקמן: דיבידנד בשנת 2011 7 דיבידנד בשנת 2012 דיבידנד בשנת 2013 סכום דיבידנד ששולם (באלפי ₪) 150,000 150,000 300,000 40% 42% % מהרווח הנקי 88%
  • 13.
    8 חלק שני- מידע אחר 5. מידע כספי לגבי תחומי הפעילות של התאגיד א. כמפורט בבאור 26 לדוחות הכספיים המצורפים לדוח תקופתי זה, הקבוצה מדווחת על מספר תחומי פעילות המדווחים כמגזרים עסקיים של החברה. ב. הדוחות הכספיים השנתיים הינם בהתאם לתקני דיווח כספי בינלאומיים מידע כספי המתייחס לתחומי פעילות של התאגיד, מופיע בבאור 26 .(IFRS) לדוחות הכספיים הכלולים בדוח תקופתי זה. ההתאמות לסכומים בדוחות הכספיים המאוחדים נובעות ממכירת מוצרים גמורים ומוצרי ביניים בין תחומי הפעילות. ההסברים להתפתחויות שחלו מופיעים בדוח הדירקטוריון הכלול בדוח תקופתי זה. ג. להלן נתונים כספיים של החברה בחלוקה לתחומי הפעילות (באלפי ש"ח):
  • 14.
    שנת 2013 תחום קולינארי תחום חטיפים ודגני בוקר תחום מאפה ומשקאות תחום מזון מוכן תחום מזון לתינוקות אחרים התאמות למאוחד מאוחד 4,190,047 (64,522) הכנסות תחום הפעילות 995,592 358,644 931,566 545,905 667,284 755,578 עלויות מיוחסות קבועות 1,376,775 208,970 136,810 350,243 185,026 237,628 258,098 2,284,714 (64,522) עלויות מיוחסות משתנות 751,688 159,683 503,762 271,740 265,801 396,562 תוצאות תחום הפעילות 528,558 34,934 62,151 77,561 89,139 163,855 100,918 החלק המיוחס לבעלים של החברה האם 527,888 34,264 62,151 77,561 89,139 163,855 100,918 החלק המיוחס לזכויות שאינן מקנות שליטה 670 670 הנכסים המיוחסים לתחום הפעילות 3,641,926 328,059 228,242 614,449 1,288,507 322,739 367,266 492,664 ההתחייבויות המיוחסות לתחום הפעילות 1,389,053 736,734 57,174 413,843 181,302 שנת 2012 תחום קולינארי תחום חטיפים ודגני בוקר תחום מאפה ומשקאות תחום מזון מוכן תחום מזון לתינוקות אחרים התאמות למאוחד מאוחד 4,091,593 (56,859) הכנסות תחום הפעילות 947,236 355,058 915,229 529,336 662,706 738,887 עלויות מיוחסות קבועות 1,330,849 176,321 133,124 368,530 175,408 228,997 248,469 2,249,202 (56,859) עלויות מיוחסות משתנות 727,887 162,707 474,789 282,577 264,530 393,571 תוצאות תחום הפעילות 511,543 43,028 59,228 71,910 71,351 169,179 96,847 החלק המיוחס לבעלים של החברה האם 510,862 42,347 59,228 71,910 71,351 169,179 96,847 החלק המיוחס לזכויות שאינן מקנות שליטה 681 681 הנכסים המיוחסים לתחום הפעילות 3,424,170 60,265 263,964 577,194 1,305,927 319,182 407,208 490,430 ההתחייבויות המיוחסות לתחום הפעילות 1,380,726 710,872 60,964 424,937 183,953 - - -
  • 15.
    10 שנת 2011 תחום קולינארי תחום חטיפים ודגני בוקר תחום מאפה ומשקאות תחום מזון מוכן תחום מזון לתינוקות אחרים התאמות למאוחד מאוחד 3,960,877 (51,455) הכנסות תחום הפעילות 887,843 369,249 890,115 489,401 656,011 719,713 עלויות מיוחסות קבועות 1,293,062 163,830 136,638 366,309 161,755 223,094 241,436 2,164,519 (51,455) עלויות מיוחסות משתנות 676,322 167,001 471,927 260,582 257,713 382,429 תוצאות תחום הפעילות 503,296 47,691 65,610 51,879 67,064 175,204 95,848 החלק המיוחס לבעלים של החברה האם 503,318 47,713 65,610 51,879 67,064 175,204 95,848 (22) ( החלק המיוחס לזכויות שאינן מקנות שליטה - - - - - ( 22
  • 16.
    ד. עלויות ישירותמזוהות באופן ספציפי לתחום הפעילות ואילו עלויות תוך בחירת המחולל המתאים ABC משותפות הוקצו בהתבסס על תמחיר לאותה סוג של הוצאה ובהתאם למתודולוגיות התמחיר של נסטלה. ה. לפרטים נוספים אודות תחומי הפעילות של החברה והסבר להתפתחויות שחלו, ראה באור 26 לדוחות הכספיים ודוח הדירקטוריון על מצב עסקי התאגיד לשנה שנסתיימה ב- 31.12.2013 , הכלולים בדוח תקופתי זה. 6. סביבה כללית והשפעת גורמים חיצוניים על פעילות התאגיד קיימים גורמים בסביבה המאקרו-כלכלית שהייתה להם השפעה על פעילות הקבוצה. הקבוצה התמודדה עם גורמים אלו ומצאה להם פתרונות כך שבפועל בשנות הדיווח הרלוונטיות, הקבוצה אף הצליחה להגדיל את מחזור המכירות וכן להגדיל את הרווח הגולמי והרווח התפעולי. לעניין זה יצוין כי הקבוצה הצליחה להגדיל את הרווח התפעולי (לפני הכנסות/הוצאות אחרות) מידי שנה בשנה כבר שש עשרה שנים ברציפות. 6.1 המצב הביטחוני לקבוצה פיזור רחב של מפעלים ומרכזי הפצה ברחבי הארץ אם כי חלק מהם ממוקם בצפון או בדרום ואשר בעיתות מלחמה היו בטווח ירי טילי אויב. 6.2 מחירי חומרי גלם תנודות של מחירי חומרי הגלם בעולם משפיעות גם על המשק הישראלי. מחירי חומרי גלם מושפעים בעיקר מתנודות קיצוניות במזג האוויר אשר משפיע על היבולים החקלאיים, ממחירי הנפט הגולמי, מהצמיחה המואצת ומגידול ביקושים בסין והודו המשפיעים על הצריכה בעולם, מעליית רמת החיים בעיקר בארצות המתפתחות, וכן ממעורבות של גורמים ספקולטיביים בשווקי הקומודיטיס. שנת 2013 התאפיינה בתנודתיות ומגמה מעורבת במחירי חומרי הגלם המשמשים את הקבוצה לצד המשך מגמת התייקרות במחירי תשומות ייצור נוספות (אנרגיה, מים וארנונה) וזאת לאחר תקופה ארוכה של עליות משמעותיות במחירי חומרי הגלם.
  • 17.
    הקבוצה מתמודדת מולתנודות מחירים אלו באמצעות דיונים חודשיים במסגרת ועדת הרכש, סגירת עסקאות במחיר קבוע מראש עבור חלק מהסחורות, סיוע בשירותי הרכש האסטרטגי של נסטלה לצורך השגת מחיר מיטבי ובעסקאות הגנה שמבצעת נסטלה על מחירי חלק מחומרי הגלם הגלומים במוצרים המיובאים מנסטלה. 6.3 תנודות בשערי החליפין של מטבע חוץ במסגרת פעילותה הקבוצה גם פועלת בחו"ל וכן מייצאת לחו"ל כ- 15% ממחזור המכירות שלה אולם במקביל היא מייבאת חלק מחומרי הגלם וכן מוצרים מוגמרים מנסטלה ומספקים אחרים ובכך נוצרת הגנה טבעית של מרבית יתרות הלקוחות במט"ח מול יתרות הספקים במט"ח. בחלק מהמקרים שבהם עדיין נוצרת חשיפה כלשהי, הרי שהקבוצה נוהגת בדרך כלל לנטרל חלק מהחשיפות והסיכונים במטבע חוץ באמצעות עסקאות הגנה. 12 6.4 התפתחויות רגולטוריות הגנת הסביבה - בתאריך 26.7.2012 פורסם החוק לטיפול סביבתי בציוד חשמלי ואלקטרוני ובסוללות, התשע"ב 2012- המטיל, בין השאר, על מי שמחזיק בפסולת ציוד חשמלי ואלקטרוני וסוללות שאינה מהמגזר הביתי את החובה להתקשר עם גוף יישום מוכר לשם פינוי פסולת הציוד והסוללות שברשותו. לצורך עמידה בהוראות החוק, תתקשר אסם עם גוף יישום מוכר שתינתן לו הכרה לגבי אותה פסולת כאמור. סימון ערכים תזונתיים - ביום 31 בינואר 2014 נכנס לתוקף התיקון לתקנות בריאות הציבור (מזון) סימון תזונתי, התשנ"ג- 1993 . בהתאם לתיקון זה, מזון המכיל בהרכבו שומנים בשיעור העולה על 2% ממשקל המוצר (חלף 4.5% עובר לתיקון התקנות), יהיה חייב בסימון התכולה של חומצות שומן רוויות, חומצות שומן טראנס וכולסטרול. עוד מגדיר התיקון את הערכים המינימליים על פיהם יש לסמן חומצות שומן רוויות, חומצות שומן טראנס וכולסטרול. לאור התיקון האמור, ביצעה קבוצת אסם את השינויים הנדרשים על גבי אריזות מוצריה הרלוונטיים. בנוסף, על רקע הגברת המודעות להשפעתם של רכיבי מזון שונים על בריאות הצרכנים, מצויות, בשלבים שונים, הצעות חוק בעניין חובת סימון רכיבים וערכים תזונתיים מסוימים על גבי אריזות מוצרים. נכון למועד דוח זה,
  • 18.
    מרבית ההצעות האמורותטרם אושרו ולא ניתן להעריך את השפעתן על אסם, אם וככל שתאושרנה. במקרה שהתקנות (כולן או חלקן) תכנסנה לתוקף, קבוצת אסם תבצע את השינויים הנדרשים באריזות מוצריה הרלוונטיים. מידע זה הינו בבחינת מידע צופה פני עתיד. חוק המזון – ועדת קדמי, בראשותו של מנכ"ל משרד התמ"ת מר שרון קדמי, הוקמה לצורך בחינת רמת התחרותיות והמחירים בתחום המזון והצריכה. ההמלצות הסופיות של הוועדה כוללות התייחסות למספר נושאים וביניהם: הסרת חסמי יבוא, הפחתת מכסים, הגברת שקיפות המחירים לצרכן, הגברת הרגולציה על קשרי ספק-קמעונאי לרבות סדרנות והקצאת שטחי מדף. זאת בנוסף לקידום התחרות בין הקמעונאים (לרבות הגבלת ריכוזיות קמעונאית ברמה האזורית), ועוד. בעקבות המלצות הועדה הורדו המכסים על יבוא חלק מחומרי הגלם ומוצרים מוגמרים. לגבי שאר המלצות הוועדה, אלו נדונו על ידי הממשלה שהחליטה על קביעת הסדרים שונים אשר יעוגנו בחקיקה. יש לציין כי ביום 29 בנובמבר 2012 פורסם תזכיר חוק קידום התחרות בענף המזון, התשע״ב- 2012 (״התזכיר״) שתכליתו המוצהרת היא: "קידום והגברת התחרותיות בענף המזון ומוצרי הצריכה לשם הפחתת מחירי המוצרים לצרכן, בהתאם להחלטת הממשלה 5176 שעניינה יישום המלצות הצוות לבחינת רמת התחרותיות והמחירים בתחום מוצרי המזון והצריכה". בתזכיר מוצע לקבוע מספר איסורים והגבלות על ספקים וקמעונאים בדבר עשיית פעולות והסדרים ביניהם. הצעת החקיקה אושרה בקריאה ראשונה ונמצאת בשלב הדיונים במסגרת ועדת הכלכלה בכנסת. בשלב מקדמי זה עדיין לא ניתן להעריך את השפעת השינויים שיחולו על הקבוצה בעקבות המלצות ועדת קדמי והתזכיר. חוק הריכוזיות - ביום 11 בדצמבר 2013 פורסם ברשומות החוק לקידום התחרות ולצמצום הריכוזיות, תשע"ד- 2013 ("חוק הריכוזיות"). ככלל, נועד חוק הריכוזיות לסייע להגברת התחרותיות במשק הישראלי, להבטיח שוק תחרותי ויעיל ולהגן על ציבור המשקיעים. חוק זה כולל מספר תיקונים עקיפים וביניהם תיקון לחוק החברות, התשנ"ט 1999- , ולפיו תידרש ועדת ביקורת של חברה ציבורית לקבוע לגבי עסקה עם בעל השליטה בחברה, או עסקה עם אחר שלבעל השליטה יש בה עניין אישי, חובה לקיים הליך תחרותי 13
  • 19.
    תחת פיקוחה ולפיאמות מידה שייקבעו (או הליך אחר אותו תקבע הועדה). בנוסף, וועדת הביקורת תידרש לקבוע את אופן האישור של עסקאות בעל שליטה שאינן חריגות ושאינן זניחות וכן לקבוע את סוגי העסקאות כאמור שיהיו טעונות את אישור ועדת הביקורת (שכיום אינו נדרש לגבי עסקאות כאמור). תיקון זה לחוק החברות נכנס לתוקף ביום 10 בינואר 2014 והתאגיד נערך לפעול על פיו. 14 6.5 המשבר הכלכלי המשבר הכלכלי הגלובלי וכן התפתחויות גיאופוליטיות במספר מדינות בעולם גורמים לחוסר יציבות ולתנודות משמעותיות בשווקים וכן מגבירים את אי הודאות וההשפעה גם על המשק הישראלי. יש לציין שענף המזון פחות מושפע מהשלכות האטה ובמיוחד קבוצת אסם שהיא בעלת מגוון קטגוריות מוצרים רחב, נזילות גבוהה ורמה גבוהה של איתנות פיננסית. יחד עם זאת הקבוצה נערכת לקראת המשבר באמצעות תכניות התייעלות לצמצום בהוצאות ובאמצעות בניית תכניות שיווקיות המותאמות למאפייני הצרכן בתקופת האטה. מידע זה הינו בבחינת מידע צופה פני עתיד. מידע זה משקף את נקודת המבט הנוכחית של החברה לגבי אירועים עתידיים המבוססים על הערכות ולכן נתונים לסיכונים ולחוסר ודאות.
  • 20.
    חלק שלישי -תיאור עסקי התאגיד לפי תחומי פעילות להלן מובא תיאור עסקי הקבוצה לגבי כל אחד מתחומי פעילותה בנפרד, למעט בעניינים הנוגעים לכלל תחומי הפעילות של הקבוצה, המתוארים יחדיו במסגרת החלק הרביעי לפרק זה. 15 7. תחום המזון הקולינארי 7.1 מידע כללי על תחום הפעילות א. מבנה תחום הפעילות ושינויים החלים בו תחום המזון הקולינארי מתמקד בפיתוח, ייצור ו/או מכירה, שיווק והפצה של מוצרים המשמשים כמרכיב בסיסי להכנת הארוחה ומהווים חלק אינטגרלי מהבישול הביתי ומהכנת ארוחה עיקרית. תחום פעילות זה כולל בעיקר את מוצרי הפסטה, המרקים, התבשילים, עזרי האפיה, הרטבים, שקדי המרק והחמוצים. מוצרי מזון אלו מתאפיינים בחיי מדף ארוכים הנעים בין מספר חודשים ועד כשנתיים. עיקר האחסון וההובלה של מוצרים אלו נעשה בטמפרטורת החדר. התחום מתאפיין בתחרותיות גבוהה המלווה בעלויות פרסום גבוהות. מותגי הקבוצה בתחום זה הם מהמובילים בתחומם. כמו כן רמת החדשנות ופיתוח המוצרים החדשים גבוהה. ב. שינויים בהיקף הפעילות בתחום וברווחיות בשנים האחרונות התגברה התחרות בתחום פעילות זה הן מצד היצרנים המתחרים והן מצד המותג הפרטי. למרות האמור לעיל המשיכה צמיחת הקבוצה בתחום זה. בשנת 2013 גדלו המכירות והרווח התפעולי של תחום פעילות זה כמפורט בתוצאות הפעילות בדוח הדירקטוריון הכלול בדוח תקופתי זה. ג. התפתחויות בשווקים של תחום הפעילות, או שינויים במאפייני הלקוחות שלו תחום פעילות זה מבוסס על המרכיבים הבסיסיים שבהכנת ארוחה, אמור לתת מענה לצורך של הצרכן להכנת ארוחה ביתית באמצעות חידוש וחדשנות של מוצרים וזאת במקביל למגמה ולצורך במוצרים עם ערכים תזונתיים משופרים. בכוונת הקבוצה לתת מענה
  • 21.
    להתפתחות זו בשוקבאמצעות פיתוח מתמיד של מוצרים חדשים וחדשנות והמשך השקעה שיווקית במותגים. ד. גורמי ההצלחה הקריטיים בתחום הפעילות והשינויים החלים בהם גורמי ההצלחה הקריטיים של הקבוצה בתחום פעילות זה מבוססים על חיזוק מותגי הקבוצה ושמירת מעמדם המוביל בתחומם באמצעות בניית המותג ושמירה על איכות גבוהה של המוצרים. גורם הצלחה קריטי נוסף הינו רמת הפיתוח והחדשנות של המוצרים. גורם הצלחה קריטי נוסף מתבטא בשמירה על כושר התחרות באמצעות התייעלות מתמדת. ה. מחסומי הכניסה העיקריים של תחום הפעילות ושינויים החלים בהם מחסומי הכניסה העיקריים של תחום הפעילות כוללים את הצורך המתמיד בחדשנות ובפיתוח מוצרים חדשים ובבניית מותגים חזקים וכן בצורך בידע ובטכנולוגיה הדרושים ליצור כמו גם ההשקעות הנדרשות בציוד והמכונות. הצורך במערכות הפצה ולוגיסטיקה מהווה בחלק מהמקרים חסם בכניסה וגם מגבלת הכשרות מהווה לעיתים חסם בכניסה בעיקר כאשר מדובר ביבוא מחו"ל. ו. תחליפים למוצרי תחום הפעילות ושינויים החלים בהם ענף המזון בכללותו הינו ענף בוגר ותחרותי ומאפיינים אלו חלים גם על תחום פעילות זה. כמו בכל ענף המזון גם בתחום פעילות זה של הקבוצה קיימים מוצרים תחליפיים מתוצרת מתחרה, לרבות מוצרים מיובאים ולרבות מותגים פרטיים של הרשתות הקמעונאיות. הקבוצה פועלת למתן מענה למוצרים התחליפיים הקיימים בשוק באמצעות מיתוג מוצריה, שמירה על איכות גבוהה, חדשנות והתייעלות מתמדת, השקעה בשיווק ובמותגים, וזאת בנוסף לחיבור האסטרטגי שיש לאסם עם נסטלה, חברת המזון הגדולה בעולם, אשר נמצאת בחזית החדשנות והקידמה הטכנולוגית של תחום המזון. 16
  • 22.
    ז. מבנה התחרותבתחום הפעילות ושינויים החלים בו בתחום פעילות זה קיים שוק תחרותי וישנה תחרות הן מצד יצרנים מתחרים, הן מצד המותג הפרטי של הרשתות והן מצד היבוא מחו"ל. 17 7.2 מוצרים א. המוצרים העיקריים של הקבוצה בתחום פעילות זה משווקים, של "אסם". (Corporate Brand) בעיקרם, תחת מותג המטריה תחת מותג המטריה של אסם נכללים, בין השאר, מוצרי הפסטה, המרקים, התבשילים, הרטבים, שקדי המרק, ועזרי אפיה. החמוצים נמכרים בעיקר תחת המותג "בית השיטה". ב. רוב מוצרי הקבוצה בתחום פעילות זה מיוצרים במפעלי הקבוצה בישראל אם כי קיים גם יבוא מחו"ל. הקבוצה מוכרת, משווקת ומפיצה את מוצריה בעיקר בישראל. ג. בנוסף, מייצאת הקבוצה חלק ממוצרי תחום הפעילות לחו"ל, הן לשוק הכשר במדינות מערב אירופה וארה"ב והן לרשתות מזון באירופה. המכירה בחו"ל מתבצעת בין השאר באמצעות חברות בארה"ב. USA באנגליה ואסם U.K. הבנות של הקבוצה, אסם 7.3 פילוח הכנסות ורווחיות מוצרים להלן נתונים אודות הכנסות הקבוצה בתחום פעילות זה. בתוך מסגרת זו אין אף קבוצת מוצרים ששיעור הכנסותיה מהווה 10% או יותר מסך הכנסות התאגיד: קבוצת מוצרים דומים הכנסות באלפי ש"ח שיעור מכלל הכנסות הקבוצה 2011 2012 2013 2011 2012 2013 מזון קולינארי 18.2% 18.1% 18.0% 719,713 738,887 755,578 7.4 מוצרים חדשים
  • 23.
    בשנת 2013 השיקההקבוצה לשוק מוצרים ששלב פיתוחם הסתיים שכללו בעיקר קמח שמרים ייעודי לאפיית פיצה ופוקצ'ה, סדרת תערובות תיבול לקציצות ולאורז, מרק תיבול ירקות שורש, טעמים מרקים נמסים עשירים ) XL נוספים בסדרת מרקי סוף לנשנושים בירקות ובתוספות), פתיתים עם אטריות קלויות וסדרת פתיתים עם פלוס תזונתי ("פתיתים פלוס"). 18 7.5 תחרות א. בתחום המזון הקולינארי מתמודדת הקבוצה בשוק שבו קיימת תחרות בין יצרנים מתחרים, מותגים פרטיים של רשתות המזון ויבוא מחו"ל. המתחרים העיקריים של הקבוצה הם "תלמה - יונילבר", "סוגת", "שימורי יבנה", "פרי ניר", המותגים הפרטיים, יבואנים ומספר רב של יצרנים בינוניים וקטנים אחרים. ב. להלן פירוט נתחי השוק הכספיים של הקבוצה בישראל לשנת 2013 בהתייחס למוצרים העיקריים של הקבוצה בתחום המזון הקולינארי בהתאם לנתונים משוקללים המבוססים על נתוני חברת סטורנקסט בשוק הקמעונאי המבורקד. הנתונים מתבססים על קהילייה של כ 2,200- חנויות בשוק המאורגן (שופרסל, מגה קמעונאות, קואופ ישראל) ובשוק הפרטי (רשתות פרטיות, מינימרקטים, מכולות וחנויות נוחות) המשדרות נתוני מכר אמת מן FMCG- הקופות לסטורנקסט ומהוות כ- 80% מסך המכר בשוק ה המבורקד בישראל. על בסיסן ובאמצעות מודל סטטיסטי מתקדם מבוצעת אקסטרפולציה סטטיסטית לכלל 100% המכר בשוק המאורגן והפרטי בישראל. נתונים אלו אינם כוללים מכר המתבצע בקיוסקים, פארמים, שווקים פתוחים, שוק מקצועי (בתי מלון, מסעדות, חברות קייטרינג וכדומה), חנויות מתמחות וחנויות במגזר הערבי:
  • 24.
    קבוצת המוצרים נתחשוק משוקלל פסטה 56% מרקים ותבשילים 40% רטבים ותיבול 34% חמוצים 36% ג. הגורמים המשפיעים או עשויים להשפיע להערכת הקבוצה על מעמדה התחרותי של הקבוצה מקורם בחיזוק יכולתה להתמודד עם התחרות בתחום פעילות זה ועם התחזקות המותג הפרטי. הקבוצה מתמודדת עם התחרות באמצעות ריכוז מאמצי שיווק, פרסום וקידום מכירות, בנייה וחיזוק של מותגיה, תהליכי התייעלות, שיפור מתמיד של איכות מוצריה, מערך לוגיסטי מקיף, שיתוף פעולה אסטרטגי עם נסטלה, פיתוח והשקה של מוצרים חדשים ופיתוח יכולת טכנולוגית באמצעות פיתוח עצמי. בנוסף לכך הקבוצה שמה דגשים על חדשנות, יצירת יתרון תזונתי וחיזוק המותג "אסם" כמו גם חיזוק שאר מותגי הקבוצה. באמצעי פיתוח עצמאיים ובסיועה על בסיס הידע של נסטלה, הקבוצה משקיעה משאבים ומאמצים באימוץ טכנולוגיות פרי המחקר והפיתוח של נסטלה וכן במחקר ופיתוח עצמי וזאת בכדי לבדל את מוצריה ממוצרי מתחריה הן בחדשנות והן ברמת טכנולוגיה גבוהה ובמדדי איכות גבוהים. כמו כן מקפידה הקבוצה לתת שירות אדיב, אמין, נאמן, מתוזמן וברמה איכותית, וכל זאת תוך שמירת יעילות שרשרת האספקה. הקבוצה בנתה לעצמה, לאורך השנים, תדמית של קידמה טכנולוגית, איכות ושירות והינה ממוצבת כמובילה בישראל בתחום פעילות זה. 19 7.6 עונתיות אין מגמה מובהקת של עונתיות בתחום מוצרי המזון הקולינארי. יחד עם זאת, בתחום פעילות זה, קיימת השפעה עונתית בעיקר בגין המרקים הנמכרים יותר בחורף (רבעון ראשון ורביעי) וכן תחום פעילות זה מושפע מעיתוי החגים (פסח וראש השנה). להלן התפלגות של ההכנסות בחלוקה לפי רבעונים (באלפי ₪):
  • 25.
    שנת 2013 שנת2012 20 הכנסות באלפי ₪ אחוז מסך הכנסות תחום הקולינארי הכנסות באלפי ₪ אחוז מסך הכנסות תחום הקולינארי 25.6% 189,043 24.4% 183,997 I רבעון 22.4% 165,329 24.3% 183,870 II רבעון 25.4% 187,400 24.0% 180,965 III רבעון 26.7% 197,115 27.4% 206,746 IV רבעון 100.0% 738,887 100.0% סה"כ 755,578 7.7 כושר ייצור פוטנציאל כושר היצור המקסימאלי של הקבוצה בתחום פעילות זה בשלוש משמרות עבודה בשנת 2013 היה כ- 137,500 טון. היצור בפועל בשנת 2013 עמד על ניצולת ממוצעת של כ- 34% כאשר קווי היצור פועלים במשמרת אחת ועד שלוש משמרות עבודה ביממה. מרבית קווי היצור במפעלי הקבוצה בתחום זה הינם קווים חצי אוטומטיים או אוטומטיים אך ישנם גם קווים ידניים. 7.8 רכוש קבוע ומתקנים להלן תיאור של עיקר המקרקעין ושאר הרכוש הקבוע המהותי של הקבוצה, המשמשים בתחום הפעילות של מזון הקולינארי. א. מפעל שדרות - המפעל משמש בעיקר לייצור מוצרי תיבול, מרקים, רטבים, פתיתים, תבשילים, שקדי מרק, ועזרי אפיה, אך יחד עם זאת מייצר גם מוצרים עבור תחומי פעילות אחרים כגון חטיפים ודגני בוקר ומוצרי שוקו במותג "נסקוויק". המפעל מצוי באזור התעשייה של שדרות במקרקעין בשטח של כ- 53 דונם (כולל מרכז פיתוח) ושטחו הבנוי הוא כ- 29,000 מ"ר. הקבוצה חוכרת את הזכויות בקרקע ממנהל מקרקעי ישראל בחכירה מהוונת לדורות. ב. מפעל יקנעם - המפעל משמש לייצור אטריות ופירורי לחם, אך יחד עם זאת מייצר גם מוצרים עבור תחומי פעילות אחרים כגון מוצרי מאפה וחטיפים מלוחים. המפעל מצוי באזור התעשייה של יקנעם במקרקעין בשטח של כ- 30 דונם, ושטחו הבנוי הוא כ- 19,000 מ"ר.
  • 26.
    הקבוצה חוכרת אתהזכויות בקרקע ממנהל מקרקעי ישראל בחכירה מהוונת לדורות. ג. מפעל בית השיטה - מפעל המשמש לייצור חמוצים, תרכיז לימון וחומץ, אך יחד עם זאת מייצר גם מוצרים עבור תחומי פעילות אחרים כגון תרכיזים לשתייה. המפעל ממוקם בקיבוץ בית השיטה במקרקעין בשטח של כ- 59 דונם ושטחו הבנוי הוא כ- 21,000 מ"ר. הקבוצה שוכרת את המקרקעין מקיבוץ בית השיטה בהסכם שכירות ארוך טווח המסתיים, ביחס לחלק הארי של השטחים השכורים, ב- 31.5.2026 (בכפוף להתאמות שונות ביחס לתקופת השכירות שיכול ויעשו בין הצדדים). הקבוצה נוהגת להפחית בספריה את עיקר המכונות והציוד במפעליה השונים בתחום פעילות זה לתקופה של 5-15 שנים. 21 7.9 מחקר ופיתוח הקבוצה עושה שימוש בידע ובטכנולוגיה של נסטלה. בנוסף לכך אסם מפתחת בעצמה באמצעות צוותי טכנולוגיה, מוצרים שונים בתחום המזון הקולינארי. 7.10 הון אנושי א. למבנה הארגוני של הקבוצה ולפרטים נוספים לגבי ההון האנושי של הקבוצה בכללותה - ראו סעיף 19 לפרק זה להלן. ב. להלן פירוט מספר עובדי הקבוצה בתחום המזון הקולינארי נכון ליום 31.12.13 הכוללים עובדי יצור, מכירה והנהלה ישירים. יש לציין שעובדי הייצור במפעלי הקבוצה הינם ניידים בין קווי היצור עפ"י דרישה ולכן מספר עובדי הייצור המצוינים בטבלה מטה יכולים להשתנות עפ"י הצורך (זאת מהסיבה שמוצרי תחום הקולינארי מיוצרים במספר אתרים נפרדים (יוקנעם, שדרות ובית השיטה) בהם מיוצרים גם מוצרים של תחום החטיפים ודגני הבוקר ושל תחום המאפה והמשקאות) בנוסף קיימים עובדי ייצור כלליים (כגון, עובדי אבטחת איכות, טכנולוגיים, עובדי אחזקה, הנהלת המפעל, וכד') שלא ניתן לשייכם באופן ישיר לתחום פעילות ספציפי ולכן לא נספרו בטבלה אך כלולים בטבלה בסעיף 19 להלן. מרבית
  • 27.
    עובדי המכירות והסחררשומים בחברת הסחר של הקבוצה, הנותנת שירותי הפצה, מכירה, לוגיסטיקה וסחר לרוב תחומי הפעילות של הקבוצה. מספר עובדים ליום 22 31.12.13 מספר עובדים ליום 31.12.12 ייצור 293 255 הנהלה 12 13 10 מכירה ושיווק 9 7.11 חומרי גלם וספקים א. חומרי הגלם העיקריים שבהם עושה הקבוצה שימוש בתחום פעילות זה הם קמח, שמן, ירקות (מלפפונים, זיתים, רכז עגבניות), סוכר ועמילנים. ב. חומרי האריזה העיקריים המשמשים בתחום פעילות זה הם אריזות גמישות, פלסטיק, קרטון וקופסאות פח. חומרי האריזה נרכשים מיצרנים שונים, בעיקר בישראל וחלקם מחוץ לישראל. ג. חלק מהמוצרים בתחום פעילות זה מיובא לישראל כמוצרים מוגמרים, למשל פסטה. ד. זמינות חומרי הגלם הנרכשים מחוץ לישראל תלויה, בין היתר, בזמני תובלה ימית או אווירית ובפעילות תקינה של הנמלים בישראל. ה. חלק מחומרי הגלם הינם קומודיטיס שמחירם מושפע מתנודות מחירים בשווקי הקומודיטיס בבורסות בעולם ומתנודות בשערי החליפין. חומרי גלם אלו מופקים מצמחים (כגון סוכר וקמח) ולכן מחיריהם מושפעים משינויים במזג האוויר, תקופת הבשלה וכדומה. ו. אסם עושה שימוש בשירותי הרכש המרכזי של נסטלה המתמחה באיתור ספקי חומרי גלם ואריזות בעולם, העומדים בדרישות האיכות של נסטלה, תוך כדי קביעת מחירים המתבססים על
  • 28.
    היתרונות לגודל שלנסטלה. בפועל, הרכישה מתבצעת על ידי הקבוצה בדרך של תשלום ישירות לספק חומרי הגלם. ז. הקבוצה נוהגת לרכוש את חומרי הגלם והאריזה ממספר רב של ספקים, באמצעות אגף הרכש המרכזי של קבוצת אסם והיא בוחרת את ספקיה על פי איכות הסחורה המוצעת על ידם, זמינותה, אמינותה ויציבות הספקים ועל פי המחירים המוצעים על ידם. ברכש של חומרי גלם ואריזה בחו"ל ובבחירת ספקיה בחו"ל הקבוצה מגיעה לאופטימיזציה של האיכות והמחיר בין השאר באמצעות שימוש במקורות הידע של נסטלה בנושא וזאת בדרך של 23 .Bench-Marking ח. ככלל, מדיניות הקבוצה היא כי ביחס לכל אחד מסוגי חומרי הגלם העיקריים יהיה לקבוצה יותר מאשר ספק אחד כך שתתאפשר חלופה במקרה שספק אחד יחדל לספק את חומרי הגלם מכל סיבה שהיא. למועד פרסום הדוחות, לקבוצה לפחות שני ספקים לכל אחד מחומרי הגלם העיקריים האמורים לעיל. בחומרי גלם שאינם מרכזיים (המאופיינים בעיקר כמשתייכים לקבוצת חומרי טעם וריח) יש מקרים בהם מסיבות של כשרות או בלעדיות על נוסחה או הרכב חומר יש רק ספק אחד. להערכת החברה, לחומרי גלם אלו אין השפעה מהותית על הפעילות העסקית של הקבוצה, הם ניתנים להחלפה בפרק זמן קצר לחומר זהה או דומה מספק אחר במידת הצורך ללא שתהיה לכך השפעה מהותית לרעה על החברה וממילא אין לחברה תלות במי מספקים אלה. ט. מרבית ההסכמים של הקבוצה עם ספקיה הינם הסכמי מסגרת, לתקופות הנעות בין 3 ל- 12 חודשים, הכוללים מועדי אספקה, מחיר, איכויות, כמויות אספקה ותנאי אשראי. לרוב, הרכישות הן לפי הזמנות שוטפות.
  • 29.
    24 8. תחוםהחטיפים ודגני הבוקר 8.1 מידע כללי על תחום הפעילות א. מבנה תחום הפעילות ושינויים החלים בו תחום החטיפים ודגני הבוקר מתמקד בפיתוח, ייצור ו/או מכירה, שיווק והפצה של מוצרי המזון המשמשים כפתרונות קלים ומידיים לאכילה בין הארוחות ובהפסקות כמוצרי פינוק והנאה. תחום פעילות זה כולל את מוצרי החטיפים (חטיפי חיטה, חטיפי בוטנים, חטיפי תפוחי אדמה, חטיפי תירס וכו'), בעיקר חטיפים מטוגנים, משוחלים (אקסטרוזיה), אפויים וקלויים. כמו כן כולל תחום פעילות זה דגני הבוקר וחטיפי בריאות. מוצרי מזון אלו מתאפיינים בחיי מדף ארוכים הנעים בין מספר חודשים ועד כשנה. האחסון וההובלה של מוצרים אלו נעשה בטמפרטורת החדר. התחום מתאפיין בתחרותיות גבוהה המלווה בעלויות פרסום גבוהות. מותגי הקבוצה בתחום זה הם מהמובילים בתחומם. כמו כן רמת החדשנות ופיתוח המוצרים החדשים גבוהה. ב. שינויים בהיקף הפעילות בתחום וברווחיות בשנים האחרונות התגברה התחרות בתחום פעילות זה הן מצד היצרנים המתחרים והן מצד המותג הפרטי. למרות האמור לעיל המשיכה הצמיחה במכירות הקבוצה בתחום זה עקב מאמצי שיווק מוגברים והחדרת מוצרים חדשים. השינויים במכירות וברווח התפעולי של תחום פעילות זה בשנת 2013 הינם כמפורט בתוצאות הפעילות בדוח הדירקטוריון הכלול בדוח תקופתי זה. ג. התפתחויות בשווקים של תחום הפעילות, או שינויים במאפייני הלקוחות שלו תחום פעילות זה אמור לתת מענה לצורך של הצרכן בריגושים, תחושת כיף, פינוק והנאה באמצעות חידוש וחדשנות של מוצרים וזאת במקביל למגמה ולצורך במוצרי בריאות. הקבוצה פועלת למתן מענה להתפתחויות בשוק באמצעות פיתוח מתמיד של מוצרים חדשים וחדשנות והמשך השקעה שיווקית במותגים.
  • 30.
    ד. גורמי ההצלחההקריטיים בתחום הפעילות והשינויים החלים בהם גורמי ההצלחה הקריטיים של הקבוצה בתחום פעילות זה מבוססים על חיזוק מותגי הקבוצה ושמירת מעמדם המוביל בתחומם באמצעות בניית המותג ושמירה על איכות גבוהה של המוצרים וכן נפיצות וזמינות המוצרים בעיקר בשוק האימפלס. גורם הצלחה קריטי נוסף הינו רמת הפיתוח והחדשנות של המוצרים. בנושא זה מסתייעת הקבוצה בין היתר במרכז המחקר והפיתוח העולמי שהקימה נסטלה בשדרות בעיקר לתחום החטיפים. גורם הצלחה קריטי נוסף מתבטא בשמירה על כושר התחרות באמצעות התייעלות מתמדת. ה. מחסומי הכניסה העיקריים של תחום הפעילות ושינויים החלים בהם לפרטים אודות מחסומי הכניסה העיקריים של תחום הפעילות ושינויים החלים בהם ראה סעיף 7.1 (ה) בפרק זה לעיל, בשינויים המחויבים. ו. תחליפים למוצרי תחום הפעילות ושינויים החלים בהם לפרטים אודות תחליפים למוצרי תחום הפעילות ושינויים החלים בהם ראה סעיף 7.1 (ו) בפרק זה לעיל, בשינויים המחויבים. ז. מבנה התחרות בתחום הפעילות ושינויים החלים בו לפרטים אודות מבנה התחרות בתחום הפעילות ושינויים החלים בו ראה סעיף 7.1 (ז) בפרק זה לעיל, בשינויים המחויבים. 25 8.2 מוצרים א. המוצרים העיקריים של הקבוצה בתחום פעילות זה משווקים, של "אסם" וכן (Corporate Brand) בעיקרם, תחת מותג המטריה תחת מותג המטריה של נסטלה. תחת מותג המטריה של אסם נכללים, בין השאר, המותגים "במבה", "ביסלי", "אפרופו", "דובונים", "בייגלה אסם" ו"צ'יפסי" בתחום החטיפים המלוחים.
  • 31.
    ב. תחת מותגהמטריה של נסטלה נכללים דגני הבוקר של נסטלה במותגים "קראנץ", "פיטנס", "צ'יריוס" ואחרים וכן חטיפי הבריאות (ברים) במותג "פיטנס". ג. רוב מוצרי הקבוצה בתחום פעילות זה מיוצרים במפעלי הקבוצה בישראל וחלקם, בעיקר דגני בוקר, מיובאים מנסטלה (אם כי חלק מדגני הבוקר מיוצרים גם בישראל). הקבוצה מוכרת, משווקת ומפיצה את מוצריה בעיקר בישראל. ד. בנוסף, מייצאת הקבוצה חלק ממוצרי תחום הפעילות לחו"ל כמפורט בסעיף 7.2 (ג) בפרק זה לעיל. 8.3 פילוח הכנסות ורווחיות מוצרים להלן נתונים אודות הכנסות הקבוצה הנובעות מקבוצות מוצרים דומים בתחום הפעילות אשר שיעורן מהווה 10% או יותר מסך הכנסות הקבוצה כאמור: "חטיפים" – הכוללים בעיקרם חטיפי חיטה, חטיפי בוטנים, חטיפי תפוחי אדמה וחטיפי תירס. "דגני בוקר" – הכוללים בעיקרם דגנים מלאים, חטיפי בריאות (ברים), דגנים במילוי קרם נוגט. 26 קבוצת מוצרים דומים הכנסות באלפי ₪ שיעור מכלל הכנסות הקבוצה 2011 2012 2013 2011 2012 2013 חטיפים 12.9% 12.5% 12.3% 512,610 511,317 514,788 דגני בוקר 3.6% 3.7% 3.6% 143,401 151,389 152,496 8.4 מוצרים חדשים בשנת 2013 השיקה הקבוצה לשוק מוצרים ששלב פיתוחם הסתיים וכן מוצרים חדשים של נסטלה. המוצרים החדשים כוללים בעיקר חטיפים במגוון טעמים, צורות וגדלים חדשים (במותגים במבה, ביסלי, אפרופו, דובונים ובייגלה); דגני בוקר במגוון טעמים חדשים (במותגים "פיטנס", "קראנץ" ו"צ'יריוס"); וכן הרחבת המגוון של חטיפי הבריאות ("פיטנס" בר).
  • 32.
    27 8.5 תחרות א. בתחום החטיפים ודגני הבוקר מתמודדת הקבוצה בשוק שבו קיימת תחרות בין יצרנים מתחרים, מותגים פרטיים של רשתות המזון ויבוא מחו"ל. המתחרים העיקריים של הקבוצה הם "שטראוס - עלית", "תלמה - יונילבר", "קלוגס", המותגים הפרטיים, יבואנים ומספר רב של יצרנים בינוניים וקטנים אחרים. ב. להלן פירוט נתחי השוק הכספיים של הקבוצה לשנת 2013 בהתייחס לתחום החטיפים (חטיפים מטוגנים, משוחלים, אפויים וקלויים) ודגני הבוקר, בהתאם לנתונים משוקללים המבוססים על נתוני חברת סטורנקסט בשוק הקמעונאי המבורקד, המחושבים כמתואר בסעיף 7.5 (ב) בפרק זה לעיל: קבוצת המוצרים נתח שוק משוקלל חטיפים 38% דגני בוקר 25% ג. הגורמים המשפיעים או עשויים להשפיע להערכת הקבוצה על מעמדה התחרותי של הקבוצה הינם כמפורט בסעיף 7.5 (ג) בפרק זה לעיל. 8.6 עונתיות אין מגמה מובהקת של עונתיות בתחום החטיפים ודגני הבוקר. יחד עם זאת, היקפי ההכנסות בתחום פעילות זה משופעים, בין היתר, מעיתוי החגים. להלן התפלגות של ההכנסות בחלוקה לפי רבעונים (באלפי ₪): שנת 2013 שנת 2012 הכנסות באלפי ₪ אחוז מסך הכנסות תחום החטיפים ודגני הבוקר הכנסות באלפי ₪ אחוז מסך הכנסות תחום החטיפים ודגני הבוקר 27.1% 179,393 24.8% 165,776 I רבעון 23.1% 153,401 24.9% 166,261 II רבעון 25.1% 166,472 25.5% 170,232 III רבעון 24.7% 163,440 24.7% 165,015 IV רבעון 100.0% 662,706 100.0% סה"כ 667,284
  • 33.
    28 8.7 כושרייצור פוטנציאל כושר היצור המקסימאלי של הקבוצה בתחום פעילות זה בשלוש משמרות עבודה בשנת 2013 היה כ- 27,000 טון. היצור בפועל בשנת 2013 עמד על ניצולת ממוצעת של כ- 61% כאשר קווי היצור פועלים במשמרת אחת ועד שלוש משמרות עבודה ביממה. מרבית קווי היצור במפעלי הקבוצה בתחום זה הינם קווים חצי אוטומטיים או אוטומטיים אך ישנם גם קווים ידניים. 8.8 רכוש קבוע ומתקנים להלן תיאור של עיקר המקרקעין ושאר הרכוש הקבוע המהותי של הקבוצה, המשמשים בתחום הפעילות של מזון בתחום החטיפים ודגני הבוקר. א. מפעל שדרות - המפעל משמש לייצור חטיפים ודגני בוקר אך יחד עם זאת מייצר גם מוצרים עבור תחומי פעילות אחרים (כגון מוצרי תיבול, מרקים, רטבים, פתיתים, תבשילים, שקדי מרק ועזרי אפיה וכן שוקו במותג "נסקוויק"). לפרטים אודות המפעל ראה סעיף 7.8 (א) בפרק זה לעיל. ב. מפעל יקנעם - המפעל משמש לייצור חטיפים אך יחד עם זאת מייצר מוצרים עבור תחומי פעילות אחרים (כגון מוצרי מאפה, אטריות ופירורי לחם). לפרטים אודות המפעל ראה סעיף 7.8 (ב) בפרק זה לעיל. ג. מפעל חולון - מפעל המשמש לייצור חטיפים. המפעל מצוי באזור התעשייה של חולון במקרקעין בשטח של כ- 3 דונם ושטחו הבנוי הוא כ- 1,650 מ"ר. המפעל הינו בבעלותה המלאה של הקבוצה. כמו כן הקבוצה שוכרת שטח נוסף של כ- 1500 מ"ר (שטח בנוי של כ 650- מ"ר) בשכירות בלתי מוגנת לטווח קצר עם אופציה להארכה. הקבוצה נוהגת להפחית בספריה את עיקר המכונות והציוד במפעליה השונים בתחום פעילות זה לתקופה של 5-15 שנים. 8.9 מחקר ופיתוח בשנת 2002 הקימה נסטלה בישראל את המרכז העולמי שלה למחקר ופיתוח בעיקר בתחום החטיפים במבנה אותו היא שוכרת מהקבוצה
  • 34.
    וזאת בצמוד למפעלשל הקבוצה בשדרות. הקבוצה עושה שימוש בידע ובטכנולוגיה שפותחו ושיפותחו בעתיד. בנוסף לכך אסם מפתחת בעצמה באמצעות צוותי טכנולוגיה, מוצרים שונים בתחום החטיפים. 29 8.10 הון אנושי א. למבנה הארגוני של הקבוצה ולפרטים נוספים לגבי ההון האנושי של הקבוצה בכללותה - ראו סעיף 19 לפרק זה להלן. ב. להלן פירוט מספר עובדי הקבוצה בתחום החטיפים ודגני הבוקר נכון ליום 31.12.13 הכוללים עובדי יצור, מכירה והנהלה ישירים של תחום החטיפים והדגנים. יש לציין שעובדי הייצור במפעלי הקבוצה הינם ניידים בין קווי היצור עפ"י דרישה ולכן מספר עובדי הייצור המצוין בטבלה מטה יכול להשתנות עפ"י הצורך (זאת מהסיבה שמוצרי תחום החטיפים ודגני הבוקר מיוצרים במספר אתרים נפרדים, מתוכם בשניים (יוקנעם ושדרות) מיוצרים גם מוצרים של תחום הקולינארי ושל תחום המאפה והמשקאות) בנוסף קיימים עובדי ייצור כלליים במפעלי הקבוצה (כגון עובדי אבטחת איכות, טכנולוגיים, עובדי אחזקה, הנהלת המפעל, וכד') שלא ניתן לשייכם באופן ישיר לתחום פעילות ספציפי ולכן לא נספרו בטבלה אך כלולים בטבלה בסעיף 19 להלן. מרבית עובדי המכירות והסחר רשומים בחברת הסחר של הקבוצה, הנותנת שירותי הפצה, מכירה, לוגיסטיקה וסחר לרוב תחומי הפעילות של הקבוצה. מספר עובדים ליום 31.12.13 מספר עובדים ליום 31.12.12 ייצור 347 329 הנהלה 5 1 6 מכירה ושיווק 8
  • 35.
    30 8.11 חומריגלם וספקים א. חומרי הגלם העיקריים שבהם עושה הקבוצה שימוש בתחום פעילות זה, הם קמח, תירס, שמן, חמאת בוטנים, תפוחי אדמה ועמילנים. ב. חומרי האריזה העיקריים המשמשים בתחום פעילות זה הם אריזות גמישות, פלסטיק, וקרטון. חומרי האריזה נרכשים מיצרנים שונים, בעיקר בישראל וחלקם מחוץ לישראל. ג. חלק מהמוצרים בתחום פעילות זה מיובא לישראל כמוצרים מוגמרים. עיקר היבוא הוא מנסטלה והוא כולל בעיקרו יבוא של דגני בוקר. לפרטים נוספים אודות חומרי הגלם והספקים המשמשים את החברה לייצור מוצריה ראה גם פירוט כמתואר בסעיפים 7.11 (ד) – 7.11 (ט) בפרק זה לעיל.
  • 36.
    31 9. תחוםהמאפה והמשקאות 9.1 מידע כללי על תחום הפעילות א. מבנה תחום הפעילות ושינויים החלים בו תחום המאפה והמשקאות מתמקד בפיתוח, ייצור ו/או מכירה, שיווק והפצה של מוצרי מאפה ומשקאות, והוא כולל מוצרים המשמשים כפתרונות קלים ומידיים לאכילה או שתייה בין הארוחות ובהפסקות. תחום פעילות זה כולל בעיקר את מוצרי המאפים המלוחים (כגון קרקרים, ולחמית), המאפים המתוקים (עוגות, עוגיות וביסקוויטים), תרכיזים לשתייה וקפה נמס. מוצרי מזון אלו מתאפיינים בחיי מדף ארוכים הנעים בין מספר חודשים ועד כשנתיים. האחסון וההובלה של מוצרים אלו נעשה בטמפרטורת החדר. התחום מתאפיין בתחרותיות גבוהה המלווה בעלויות פרסום גבוהות. מותגי הקבוצה בתחום זה הם מהמובילים בתחומם. כמו כן רמת החדשנות ופיתוח המוצרים החדשים גבוהה. ב. שינויים בהיקף הפעילות בתחום וברווחיות בשנים האחרונות התגברה התחרות בתחום פעילות זה הן מצד היצרנים המתחרים הן מצד היבוא והן מצד המותג הפרטי. למרות האמור לעיל המשיכה צמיחת הקבוצה בתחום זה עקב מאמצי שיווק והחדרת מוצרים חדשים, כל אלו הביאו בשנת 2013 להמשך גידול במכירות וברווח התפעולי של תחום פעילות זה כמפורט בתוצאות הפעילות בדוח הדירקטוריון הכלול בדוח תקופתי זה. ג. התפתחויות בשווקים של תחום הפעילות, או שינויים במאפייני הלקוחות שלו לפרטים אודות התפתחויות בשווקים של תחום הפעילות, או שינויים במאפייני הלקוחות שלו ראה סעיף 8.1 (ג) לפרק זה לעיל, בשינויים המחויבים. ד. גורמי ההצלחה הקריטיים בתחום הפעילות והשינויים החלים בהם
  • 37.
    לפרטים אודות גורמיההצלחה הקריטיים בתחום הפעילות והשינויים החלים בהם ראה סעיף 7.1 (ד) בפרק זה לעיל, בשינויים המחויבים. ה. מחסומי הכניסה העיקריים של תחום הפעילות ושינויים החלים בהם לפרטים אודות מחסומי הכניסה העיקריים של תחום הפעילות ושינויים החלים בהם ראה סעיף 7.1 (ה) בפרק זה לעיל, בשינויים המחויבים. ו. תחליפים למוצרי תחום הפעילות ושינויים החלים בהם ענף המזון בכללותו הינו ענף בוגר ותחרותי ומאפיינים אלו חלים גם על תחום פעילות זה. כמו בכל ענף המזון גם בתחום פעילות זה של הקבוצה קיימים מוצרים תחליפיים מתוצרת מתחרה, לרבות מוצרים מיובאים ולרבות מותגים פרטיים של הרשתות הקמעונאיות, קונדיטוריות ובתי מאפה בתחום המאפה וכן בתי קפה ויצרניות המשקאות הקלים (המהווים תחליפים לתרכיזים) בתחום המשקאות. הקבוצה נותנת מענה למוצרים התחליפים הקיימים בשוק באמצעות מיתוג מוצריה, שמירה על איכות גבוהה, חדשנות והתייעלות מתמדת והשקעה בשיווק ובמותגים. במוצרי הקפה המיובאים מנסטלה, הקבוצה נותנת מענה למוצרים התחליפיים הקיימים בשוק באמצעות מיתוג המוצרים, שמירה על איכות גבוהה וחדשנות שהם פועל יוצא של היותה של נסטלה חברת המזון הגדולה בעולם והחברה המובילה בעולם בתחום הקפה הנמס, אשר נמצאת בחזית החדשנות והקידמה הטכנולוגית של תחום זה. ז. מבנה התחרות בתחום הפעילות ושינויים החלים בו לפרטים אודות מבנה התחרות בתחום הפעילות ושינויים החלים בו ראה סעיף 7.1 (ז) בפרק זה לעיל, בשינויים המחויבים. 32
  • 38.
    33 9.2 מוצרים א. המוצרים העיקריים של הקבוצה בתחום פעילות זה משווקים, של "אסם" וכן (Corporate Brand) בעיקרם, תחת מותג המטריה תחת מותג המטריה של נסטלה. תחת מותג המטריה של אסם נכללים, בין השאר, המותגים "לחמית", "קריספי", "קרקר אסם", "עוגות הבית", "ערגליות", "פריכונים", טוסטעים" ו"פתי-בר" בתחום המאפה. תחת מותג המטריה של נסטלה נכללים בעיקר הקפה של נסטלה במותגים "נסקפה רד-מאג", "נסקפה גולד", "נסקפה טסטרס צ'ויס" ו- "נסקפה קפוצ'ינו", ואבקת שוקו במותג "נסקוויק". התרכיזים לשתייה נמכרים בעיקר תחת המותגים "עסיס" ו"ויטמינצ'יק". ב. רוב מוצרי הקבוצה בתחום פעילות זה מיוצרים במפעלי הקבוצה בישראל וחלקם (בעיקר קפה) מיובאים מנסטלה. כמו כן, קיימים מוצרים בתחום פעילות זה המיוצרים ע"י יצרני משנה בארץ ובחו"ל. הקבוצה מוכרת, משווקת ומפיצה את מוצריה בעיקר בישראל. ג. בנוסף, מייצאת הקבוצה חלק ממוצרי תחום הפעילות לחו"ל, כמפורט בהרחבה בסעיף 7.2 (ג) לפרק זה לעיל. 9.3 פילוח הכנסות ורווחיות מוצרים להלן נתונים אודות הכנסות הקבוצה בתחום פעילות זה. בתוך מסגרת זו אין אף קבוצת מוצרים ששיעור הכנסותיה מהווה 10% או יותר מסך הכנסות התאגיד: קבוצת מוצרים דומים הכנסות באלפי ₪ שיעור מכלל הכנסות הקבוצה 2011 2012 2013 2011 2012 2013 מאפה ומשקאות 12.4% 12.9% 13.0% 489,401 529,336 545,905 9.4 מוצרים חדשים בשנת 2013 השיקה הקבוצה לשוק מוצרים ששלב פיתוחם הסתיים שכללו בעיקר את הרחבת מגוון המוצרים תחת המותגים "קריספי" ו"לחמית", עוגות חדשות (בראוניס, בחושות ושמרים), עוגיות חדשות
  • 39.
    והרחבת מגוון הפריכונים.כמו כן הורחבה סדרת "נסקפה קפוצ'ינו" והושק תרכיז לשתייה עם טעם חדש תחת המותג "ויטמינצ'יק". 34 9.5 תחרות א. בתחום המאפה והמשקאות מתמודדת הקבוצה בשוק שבו קיימת תחרות בין יצרנים מתחרים, מותגים פרטיים של רשתות המזון ויבוא מחו"ל. המתחרים העיקריים של הקבוצה הם "שטראוס - עלית", "תלמה - יונילבר", "דיפלומט – קראפט", "פריגת", "יכין", המותגים הפרטיים, יבואנים ומספר רב של יצרנים בינוניים וקטנים אחרים. ב. להלן פירוט נתחי השוק הכספיים של הקבוצה לשנת 2013 בישראל בהתייחס למוצרים העיקריים של הקבוצה בתחום המאפה והמשקאות בהתאם לנתונים משוקללים המבוססים על נתוני חברת סטורנקסט בשוק הקמעונאי המבורקד, המחושבים כמתואר בסעיף 7.5 (ב) לפרק זה: קבוצת המוצרים נתח שוק משוקלל עוגות 40% קרקרים 42% תרכיזים לשתייה 56% קפה נמס 42% ג. הגורמים המשפיעים או עשויים להשפיע להערכת הקבוצה על מעמדה התחרותי של הקבוצה הינם כמפורט בסעיף 7.5 (ג) בפרק זה לעיל. 9.6 עונתיות בתחום פעילות זה, לקבוצה מגוון רחב ומאוזן של מוצרים המקזז באופן חלקי את השפעת העונתיות. התרכיזים נמכרים יותר בחודשי הקיץ מאשר בחורף. מכירת מוצרי המאפה והמשקאות מושפעת גם מעיתוי חג הפסח, חג השבועות וכן מעיתוי חגי תשרי. להלן התפלגות של ההכנסות בחלוקה לפי רבעונים (באלפי ₪):
  • 40.
    שנת 2013 שנת2012 הכנסות באלפי ₪ אחוז מסך הכנסות תחום המאפה והמשקאות 35 הכנסות באלפי ₪ אחוז מסך הכנסות תחום המאפה והמשקאות 28.2% 149,282 26.1% 142,275 I רבעון 21.6% 114,239 24.2% 132,284 II רבעון 24.6% 130,033 24.5% 133,722 III רבעון 25.7% 135,782 25.2% 137,624 IV רבעון 100.0% 529,336 100.0% סה"כ 545,905 9.7 כושר ייצור פוטנציאל כושר היצור המקסימאלי של הקבוצה בתחום פעילות זה, בשלוש משמרות עבודה בשנת 2013 היה כ- 53,000 טון. היצור בפועל בשנת 2013 עמד על ניצולת ממוצעת של כ- 45% כאשר קווי היצור פועלים במשמרת אחת ועד שלוש משמרות עבודה ביממה. מרבית קווי היצור במפעלי הקבוצה בתחום זה הינם קווים חצי אוטומטיים או אוטומטיים אך ישנם גם קווים ידניים. 9.8 רכוש קבוע ומתקנים להלן תיאור של עיקר המקרקעין ושאר הרכוש הקבוע המהותי של הקבוצה, המשמשים בתחום הפעילות של תחום המאפה והמשקאות. א. מפעל שדרות - המפעל משמש לייצור שוקו במותג "נסקוויק", אם כי עיקר הפעילות במפעל כוללת יצור מוצרים מתחומי פעילות אחרים (כגון חטיפים, דגני בוקר, מרקים, רטבים, פתיתים, תבשילים, שקדי מרק ועזרי אפיה). לפרטים אודות המפעל ראה סעיף 7.8 (א) לפרק זה לעיל. ב. מפעל יקנעם - המפעל משמש לייצור מוצרי מאפה, אך יחד עם זאת מייצר גם מוצרים עבור תחומי פעילות אחרים (כגון חטיפים, אטריות ופירורי לחם). לפרטים אודות המפעל ראה סעיף 7.8 (ב) לפרק זה לעיל. ג. מפעל בית השיטה - מפעל המשמש לייצור תרכיזים לשתייה, אך יחד עם זאת מייצר גם מוצרים עבור תחומי פעילות אחרים כגון
  • 41.
    חמוצים, תרכיז לימוןוחומץ. המפעל ממוקם בקיבוץ בית השיטה במקרקעין בשטח של כ- 59 דונם ושטחו הבנוי הוא כ- 21,000 מ"ר. הקבוצה שוכרת את המקרקעין מקיבוץ בית השיטה בהסכם שכירות ארוך טווח המסתיים, ביחס לחלק הארי של השטחים השכורים, ב- 31.5.2026 (בכפוף להתאמות שונות ביחס לתקופת השכירות שיכול ויעשו בין הצדדים). הקבוצה נוהגת להפחית בספריה את עיקר המכונות והציוד במפעליה השונים בתחום פעילות זה לתקופה של 5-15 שנים. 36 9.9 מחקר ופיתוח הקבוצה עושה שימוש בין היתר בידע ובטכנולוגיה של נסטלה. בנוסף לכך אסם מפתחת בעצמה, באמצעות צוותי טכנולוגיה, מוצרים שונים בתחום המאפה והמשקאות. 9.10 הון אנושי א. למבנה הארגוני של הקבוצה ולפרטים נוספים לגבי ההון האנושי של הקבוצה בכללותה - ראו סעיף 19 לפרק זה להלן. ב. להלן פירוט מספר עובדי הקבוצה בתחום המאפה והמשקאות נכון ליום 31.12.13 הכוללים עובדי יצור, מכירה והנהלה ישירים של תחום המאפה והמשקאות. יש לציין שעובדי הייצור במפעלי הקבוצה הינם ניידים בין קווי היצור עפ"י דרישה ולכן מספר עובדי הייצור המצוין בטבלה מטה יכול להשתנות עפ"י הצורך (זאת מהסיבה שמוצרי תחום המאפה והמשקאות מיוצרים במספר אתרים נפרדים מתוכם בשלושה (יוקנעם, שדרות ובית השיטה) מיוצרים גם מוצרים של תחום הקולינארי ושל תחום החטיפים ודגני הבוקר) בנוסף קיימים עובדי ייצור כלליים במפעלי הקבוצה (כגון, עובדי אבטחת איכות, טכנולוגיים, עובדי אחזקה, הנהלת המפעל, וכד') שלא ניתן לשייכם באופן ישיר לתחום פעילות ספציפי ולכן לא נספרו בטבלה אך כלולים בטבלה בסעיף 19 להלן. מרבית עובדי המכירות והסחר רשומים בחברת הסחר של הקבוצה, הנותנת שירותי הפצה, מכירה, לוגיסטיקה וסחר לרוב תחומי הפעילות של הקבוצה.
  • 42.
    37 מספר עובדיםליום 31.12.13 מספר עובדים ליום 31.12.12 ייצור 232 224 הנהלה 5 1 6 מכירה ושיווק 5 9.11 חומרי גלם וספקים א. חומרי הגלם העיקריים שבהם עושה הקבוצה שימוש בתחום פעילות זה, הם קמח, שמן, סוכר, ביצים, עמילנים , רכיבי שוקולד ומליות. ב. חומרי האריזה העיקריים המשמשים בתחום פעילות זה הם אריזות גמישות, פלסטיק וקרטון. חומרי האריזה נרכשים מיצרנים שונים, בעיקר בישראל וחלקם מחוץ לישראל. ג. חלק מהמוצרים בתחום פעילות זה מיובא לישראל כמוצרים מוגמרים. עיקר היבוא הוא מנסטלה והוא כולל בעיקרו יבוא של קפה נמס. לפרטים נוספים אודות חומרי הגלם והספקים המשמשים את החברה לייצור מוצריה ראה גם פירוט כמתואר בסעיפים 7.11 (ד) – 7.11 (ט) בפרק זה לעיל.
  • 43.
    38 10 .תחום המזון המוכן 10.1 מידע כללי על תחום המזון המוכן א. מבנה תחום הפעילות והשינויים החלים בו הקבוצה פועלת בתחום פעילות זה במספר קטגוריות. קטגורית מוצרי תחליפי הבשר הקפואים והמצוננים המשווקת בישראל "Halsans ," גרדן גורמה " ,"Veggie Patch" ," ובחו"ל ("טבעול המהווים את המרכיב העיקרי בארוחה וכוללים בתוכם ,(Kok" העונים על המגמה הגוברת (Convenience Products) מוצרי נוחות בעולם והצורך במציאת פתרונות תזונה איכותיים ומהירים תוך חיסכון בזמן הכנה. מוצרים אלו מוגדרים גם כמוצרי בריאות ונותנים מענה לדרישה לשיפור (Health and Wellness Products) באיכות החיים הנובעת מהגברת המודעות לכולסטרול, לתזונה מאוזנת ולאורח חיים בריא יותר. קבוצת מוצרים זו כוללת בתוכה שניצלים, המבורגרים, נקניקיות והארוחות המוכנות. מוצרים אלו מיוצרים על בסיס טכנולוגיה מיוחדת המבוססת על שלושה חלבונים – חיטה, סויה וביצה. בנוסף, כוללת קבוצת המוצרים הזו גם מוצרי מזון על בסיס ירקות. קטגוריה נוספת בתחום פעילות זה כוללת בתוכה את המוצרים המצוננים של הקבוצה ובעיקר את הסלטים של סלטי צבר בישראל ובאירופה (חומוס, טחינה, חצילים וכדומה), בארה"ב. Tribe וכן את פעילות הסלטים המצוננים של חברת הבת קטגוריה נוספת בתחום פעילות זה כוללת בתוכה את מוצרי המאפה הקפוא של בונז'ור, הנאפים בנקודת המכירה ומעניקים לצרכן מוצרי מאפה טריים ישירות מהתנור. עיקר הפעילות של תחום פעילות זה מאוגד תחת חברת הבת טבעול המחזיקה בפעילות של הסלטים המצוננים והמזון מן הצומח של הקבוצה הן בישראל והן בחו"ל. ב. שינויים בהיקף הפעילות בתחום וברווחיותו במאפייני הצריכה בשוק המזון בעולם קיימת ככלל מגמה נמשכת ולמוצרי בריאות (Convenience Products) למעבר למוצרי נוחות
  • 44.
    תחום פעילות זהנותן מענה .(Health and Wellness Products) לשתי מגמות אלו. בשנים האחרונות הרחיבה הקבוצה את פעילותה בתחום זה באמצעות רכישת חברות בעלי מאפייני מוצרים דומים בחו"ל (בעיקר בארה"ב). כמו כן בשנת 2010 הגדילה הקבוצה את החזקותיה בחברת טבעול מ 58%- להחזקה מלאה של כל הזכויות .( בה ( 100% בשנת 2013 גדלו המכירות והרווח התפעולי של תחום פעילות זה כמפורט בתוצאות הפעילות בדוח הדירקטוריון הכלול בדוח תקופתי זה. ג. התפתחויות בשווקים של תחום הפעילות או שינויים במאפייני הלקוחות שלו כאמור, במאפייני הצריכה בשוק המזון בישראל ובעולם קיימות מגמות למעבר למוצרי נוחות ולמוצרי בריאות כמו גם למוצרי פינוק ומותרות וכן מעבר למוצרים טריים. מגמות אלו הינן, בין היתר, פונקציה של רמת החיים והתוצר לנפש. בנוסף לכך קיימת בעולם בשנים האחרונות מגמה של מעבר למזון אתני ים תיכוני. מגמה זו, בשילוב עם העובדה שלהערכת הקבוצה הצרכן מזהה את המוצרים המצוננים כטריים יותר, הביאו את הקבוצה להחלטה על התרחבות לחו"ל בתחומים בהם יש לקבוצה יתרונות יחסיים וזאת באמצעות העוסקת בתחום הסלטים הים תיכוניים ,Tribe רכישת חברת העוסקת בתחום Food-Tech בארה"ב, ובאמצעות רכישת חברת אשר מוזגה )"Veggie Patch" תחליפי הבשר המצוננים תחת המותג 39 .(Tribe– ל ד. גורמי ההצלחה הקריטיים בתחום הפעילות והשינויים החלים בהם גורמי ההצלחה הקריטיים בתחום פעילות זה כוללים בתוכם את עוצמת המותגים של הקבוצה ואיכות מוצריה וכן הידע הייחודי שפותח בקבוצה בקשר עם מוצרי תחום הפעילות, וזאת בנוסף לידע, לטכנולוגיה ולמותגים שהקבוצה מקבלת מנסטלה. כל זאת בנוסף
  • 45.
    למערכות ההפצה והלוגיסטיקהשל הקבוצה בתחום הקפוא והמצונן המגיעות לנקודות המכירה בכל רחבי הארץ. להערכת החברה, מיתוג מוצרי הקבוצה, איכות הטעמים של מוצריה וכן חדשנות בשוק הינם גורמי הצלחה קריטיים נוספים של תחום פעילות זה וזאת בנוסף לחשיבות שנותן הצרכן לרכישת מוצרי מזון קפואים, מצוננים וטריים מיצרן מזון גדול, אמין ובעל מוניטין. בשל רגישות המוצרים ישנה חשיבות לאמינות הגבוהה של היצרן בעיני הצרכנים בדגש על איכותם, טריותם ובריאותם של המוצרים. כמו כן בתחום פעילות זה נדרשים יכולת תפעולית ולוגיסטית גבוהה הנדרשת בייצור, הפצה ואחסון של מוצרים קפואים ומצוננים בתנאי הקפאה וקירור, תוך כדי שמירה על לרבות החלפה ורענון של ,FIFO - שרשרת הקירור ועל עקרון ה המוצרים על מדפי החנויות בתדירות גבוהה יחסית וכן מערך הפצה רחב היקף המאפשר הפצה מהירה ויעילה של המוצרים לנקודות המכירה בתדירות גבוהה. ה. מחסומי הכניסה העיקריים של תחום הפעילות ושינויים החלים בהם מחסומי הכניסה העיקריים כוללים בתוכם השקעות גדולות בתשתיות יצור, בחדרי הקפאה וקירור ובהפצה קפואה ומצוננת שעלותם גבוהה כמו גם הצורך בטכנולוגיה ובידע הנדרש כדי להגיע לרמת האיכות הגבוהה של המוצרים, וזאת בנוסף להשקעה הנדרשת בבניית המותגים. חסם נוסף הינו הצורך בפיתוח יכולת טכנולוגית ויכולת התמודדות עם סוגית הטריות בשרשרת האספקה תוך שמירה קפדנית על שרשרת הקירור. אורך חיי המדף הקצרים יחסית של המוצרים המצוננים ועלויות הובלה גבוהות של המוצרים הקפואים מהווים חסם כניסה ליבוא מתחרה מחו"ל. ו. תחליפים למוצרי תחום הפעילות והשינויים החלים בהם מאחר וחלק ממוצרי תחום הפעילות מהווים מוצרי נוחות (שניצלים, המבורגרים, נקניקיות וארוחות מוכנות, סלטים מוכנים) הרי שבאופן תחליפי יכול הצרכן להכין בביתו ארוחות דומות בעצמו תוך שימוש במוצרים הבסיסיים והבלתי מעובדים. בנוסף לכך 40
  • 46.
    קיימים מוצרים תחליפייםשל יצרנים מתחרים. הקבוצה נותנת מענה למוצרים התחליפיים הקיימים בשוק באמצעות מיתוג מוצריה ואיכותם ושמירה על חדשנות מתמדת. ז. מבנה התחרות בתחום הפעילות ושינויים החלים בו בתחום פעילות זה של הקבוצה קיימת תחרות בעיקר עם יצרני המזון הגדולים המקומיים וכן יצרני מזון בינוניים וקטנים. לנוכח עלות ההובלה היקרה של המוצרים הקפואים ולנוכח מגבלות הטריות ואורך חיי המדף הקצרים יחסית של המוצרים המצוננים, ולנוכח מגבלת הכשרות, התחום אינו חשוף במיוחד ליבוא מתחרה מחו"ל. 41 10.2 מוצרים המוצרים העיקריים של הקבוצה בתחום פעילות זה כוללים בתוכם שניצלים, המבורגרים, נקניקיות וארוחות מוכנות על בסיס של תחליפי בשר וכן מוצרים מכילי ירקות המשווקים בין השאר תחת המותג "Halsans "טבעול" (בעיקר בישראל), תחת המותג "גרדן גורמה" ו ארה"ב); מוצרי מאפה ) "Veggie Patch" אירופה) ותחת המותג ) Kok" קפואים הנאפים בנקודות המכירה תחת המותג "בונז'ור"; וכן מוצרי הסלטים של סלטי צבר (חומוס, טחינה, חצילים וכדומה), מוצרי בארה"ב (חומוס מרכיבים טבעיים). Tribe הסלטים של 10.3 פילוח הכנסות ורווחיות מוצרים להלן נתונים אודות הכנסות הקבוצה בתחום פעילות זה. בתוך מסגרת זו אין אף קבוצת מוצרים ששיעור הכנסותיה מהווה 10% או יותר מסך הכנסות התאגיד: קבוצת מוצרים דומים הכנסות באלפי ש"ח שיעור מכלל הכנסות הקבוצה 2011 2012 2013 2011 2012 2013 מזון מוכן 22.5% 22.4% 22.2% 890,115 915,229 931,566
  • 47.
    42 10.4 מוצריםחדשים בשנת 2013 החדירה הקבוצה לשוק מוצרים חדשים ששלב פיתוחם הסתיים וכללו בין השאר סדרת מאפים חלביים, לחמניות ילדים מקמח חיטה מלאה ומוצרים שפותחו, עבור השוק המקצועי של "בונז'ור"; בתחום הסלטים המצוננים, סלטים חדשים בטעמים נוספים בסדרת "מלך החומוס" ומסדרת השף רפי כהן; וכן מאפינס על בסיס ירקות, נקניקים ושווארמה בשוק ההולנדי בתחום המזון מן הצומח. 10.5 תחרות א. בתחום המזון המוכן קיימת תחרות גבוהה בין יצרני המזון הגדולים המקומיים וכן תחרות מצד המותג הפרטי. לכל קבוצות המוצרים העיקריות של הקבוצה קיימים מוצרים מתחרים. המתחרים העיקריים של הקבוצה בקטגורית המזון מן הצומח בישראל כוללים את "זוגלובק", "תפוגן" והמותגים הפרטיים. בתחום המאפה הקפוא המתחרים העיקריים הם "פילסבורי" ו"גידרון". המתחרים העיקריים של הקבוצה במוצרי הסלטים בישראל הם "שטראוס גרופ", "סלטי שמיר" ו"מעדני מיקי". הפועלת בארה"ב בתחום הסלטים המצוננים Tribe לחברת הבת בבעלות ) “Sabra” הים- תיכוניים קיימת תחרות בארה"ב עם חברת .“Kraft”- ו “Cedars” "שטראוס גרופ" "ופפסיקו") ועם חברת ו- "Kellogs" בתחום תחליפי הבשר השחקנים הגדולים הם באירופה. "Quorn" - בארה"ב ו "Kraft" ב. להלן פירוט נתחי השוק הכספיים של הקבוצה בישראל ומחוצה לה לשנת 2013 בהתייחס למוצרים העיקריים של הקבוצה בתחום המזון המוכן בהתאם לנתונים משוקללים המבוססים על נתוני חברת סטורנקסט בשוק הקמעונאי המבורקד, המחושבים כמתואר בסעיף 7.5 (ב) לפרק זה לעיל. נתחי השוק של הסלטים בארה"ב מבוססים על נתוני נילסן:
  • 48.
    קבוצת המוצרים נתחשוק משוקלל באחוזים מזון מן הצומח בישראל (*) 55% מאפה קפוא שנאפה בנקודות המכירה 22% סלטים בישראל 38% סלטים בארה"ב 8% (*) לפרטים לגבי נתחי שוק באירופה ראה סעיף 31 לפרק זה להלן. ג. בין הגורמים המשפיעים, להערכת הקבוצה, על מעמדה התחרותי של הקבוצה ניתן לכלול את המצב הכלכלי ואת הגברת התחרות. הקבוצה מתמודדת על מעמדה המוביל בשוק באמצעות שיווק ופרסום, בניה ותחזוקה של מותגים, מערך הפצה מקיף, חדשנות, פיתוח והשקה של מוצרים חדשים וכן שיתוף פעולה אסטרטגי עם חברת המזון המובילה בעולם - נסטלה. במסגרת שיתוף הפעולה כאמור, משקיעה הקבוצה משאבים ומאמצים באימוץ טכנולוגיות, בין היתר כאלו אשר הינם פרי המחקר והפיתוח של נסטלה וזאת בכדי לבדל את מוצריה ממוצרי מתחריה ברמת הטכנולוגיה הגבוהה ובמדדי האיכות הגבוהים. כמו כן מקפידה הקבוצה לתת שירות אדיב, אמין, נאמן, מתוזמן וברמה איכותית. במסגרת זו בנתה הקבוצה לעצמה, לאורך השנים, תדמית של קידמה טכנולוגית, איכות ושירות ועל כך ממוצבת הקבוצה כמובילה בישראל בתחום מוצרי המזון המוכן. 43 10.6 עונתיות בהתאם לנתונים כדלהלן, לא ניתן להצביע על עונתיות מובהקת בתחום המזון המוכן. יחד עם זאת, היקפי ההכנסות בתחום פעילות זה מושפעים, בין היתר, מעיתוי החגים ומועדים מיוחדים בארץ ובחו"ל. להלן התפלגות של ההכנסות בחלוקה לפי רבעונים (באלפי ₪):
  • 49.
    שנת 2013 שנת2012 44 הכנסות באלפי ₪ אחוז מסך הכנסות תחום המזון המוכן הכנסות באלפי ₪ אחוז מסך הכנסות תחום המזון המוכן 24.0% 219,830 23.7% 220,393 I רבעון 24.7% 225,990 25.7% 239,616 II רבעון 26.1% 238,853 26.1% 243,533 III רבעון 25.2% 230,556 24.5% 228,024 IV רבעון 100.0% 915,229 100.0% סה"כ 931,566 10.7 כושר יצור פוטנציאל כושר היצור המקסימלי של הקבוצה בתחום פעילות זה, בשלוש משמרות עבודה בשנת 2013 היה כ 94,000- טון. היצור בפועל בשנת 2013 עמד על נצולת של כ- 62% כאשר קווי היצור פועלים במשמרת אחת ועד שלוש משמרות עבודה ביממה . מרבית קווי היצור במפעלי הקבוצה בתחום זה הינם קווים חצי אוטומטיים או אוטומטיים אך ישנם גם קווים ידניים. 10.8 רכוש קבוע ומתקנים להלן תאור של עיקר המקרקעין ושאר הרכוש הקבוע המהותי המשמשים את הקבוצה בתחום פעילות זה: א. מפעל טבעול בקיבוץ לוחמי הגטאות - מפעל המשמש ליצור שניצלים, המבורגרים, נקניקיות וארוחות מוכנות על בסיס של תחליפי בשר ומוצרים על בסיס ירקות. המפעל ממוקם בקיבוץ לוחמי הגטאות. בהתאם להסכם שכירות ארוך טווח המסתיים בפברואר 2024 , הקבוצה שוכרת את המקרקעין בשטח של כ- 15 דונם ובשטח בנוי של כ- 11,700 מ"ר מקיבוץ לוחמי הגטאות. עיקר קווי היצור במפעל הם חדשניים מסוגם, ורובם אוטומטיים. ב. מפעל טבעול בצ'כיה – מפעל המשמש ליצור מוצרים על בסיס של תחליפי בשר ומוצרים על בסיס ירקות ושהקמתו הושלמה באפריל 2007 . המפעל ממוקם בשטח של 42 דונם הנמצא בבעלות טבעול ושטחו הבנוי הינו כ- 9,100 מ"ר.
  • 50.
    ג. מפעל בונז'ורבקרית-גת - מפעל המשמש ליצור מוצרי מאפה קפוא . הנאפים בנקודת המכירה, ושהפעילות בו החלה במחצית שנת 2006 המפעל, בבעלות החברה, ממוקם בשטח של כ- 22 דונם ושטחו הבנוי הוא כ- 8,800 מ"ר. ד. מפעל סלטי צבר בקרית גת - מפעל המשמש לייצור סלטים ואשר הקמתו הושלמה בתחילת שנת 2006 . המפעל ממוקם באזור התעשייה של קרית- גת במקרקעין בשטח של כ- 36 דונם ושיטחו הבנוי הוא כ- 9,600 מ"ר. בטונטון, מסצ'וסטס (ארה"ב) - מפעל Tribe ה. מפעל הסלטים של המשמש לייצור סלטים שהוקם בשנת 2005 בטונטון בסמוך לבוסטון בארה"ב. המפעל נרכש בספטמבר 2008 על-ידי הקבוצה הפועלת בתחום הסלטים Tribe במסגרת רכישת הפעילות של חברת בארה"ב. המפעל ממוקם בשטח של כ 38,000- מ"ר ושטחו הבנוי הוא כ 5,800- מ"ר. הקבוצה נוהגת להפחית בספריה את עיקר המכונות והציוד במפעליה השונים בתחום פעילות זה לתקופה של כ- 5-15 שנים. 45 10.9 מחקר ופיתוח הקבוצה עוסקת באופן שוטף במחקר ופיתוח של טכנולוגיות חדשות ומוצרים חדשים מתוך מטרה להקנות לה יתרון יחסי על פני מתחרותיה בארץ ובעולם בתחום האיכות, המרקם והטעם של מוצריה בעיקר בקבוצת מוצרי השניצלים, ההמבורגרים, הנקניקיות והארוחות המוכנות על בסיס תחליפי בשר, מוצרים על בסיס ירקות ובתחום הסלטים. הקבוצה עוסקת בפעילות מחקר ופיתוח כאמור בעיקר תוך שימוש במשאביה, אך גם בסיוע החוק לעידוד מחקר ופיתוח בתעשייה, התשמ"ד - 1984 , שלפיו אישרה מדינת ישראל, באמצעות המדען הראשי, מספר תכניות למחקר ופיתוח תעשייתי. במקביל התחייבה הקבוצה בחלק מהתוכניות לשלם תמלוגים למדינת ישראל. נכון ליום 31 בדצמבר 2013 , ההתחייבות למדען הראשי בגין תמלוגים עומדת על סכומים שאינם מהותיים.
  • 51.
    46 10.10 הוןאנושי א. למבנה הארגוני של הקבוצה ולמידע נוסף לגבי ההון האנושי של הקבוצה בכללותה - ראו סעיף 19 לפרק זה להלן. ב. להלן פירוט מספר עובדי הקבוצה בתחום פעילות זה נכון ליום 31.12.13 מרבית עובדי המכירה והסחר של הפעילות בישראל רשומים בחברת הסחר של הקבוצה, הנותנת שירותי הפצה, מכירה, לוגיסטיקה וסחר לרוב תחומי הפעילות של הקבוצה. מספר עובדים ליום 31.12.13 מספר עובדים ליום 31.12.12 ייצור 908 898 הנהלה 56 41 90 מכירה ושיווק 96 10.11 חומרי גלם וספקים א. חומרי הגלם העיקריים שבהם עושה הקבוצה שימוש בתחום זה הם אלבומין, שמן, קמח, תוצרי חלב שונים, טחינה, חומוס, ירקות וסויה. האלבומין נרכש ממקורות אירופיים ואמריקאים שונים. ב. חומרי האריזה העיקריים בתחום זה הם אריזות גמישות, קרטון ואריזות פלסטיק הנרכשים מיצרנים שונים בעיקר מהשוק המקומי שבו ממוקם המפעל. ג. זמינות חומרי הגלם הנרכשים מחוץ לשוק המקומי שבו ממוקם המפעל תלויה, בין היתר, בסדירות תובלה ימית או אווירית ובפעילות תקינה של הנמלים המקומיים. לפרטים נוספים אודות חומרי הגלם והספקים המשמשים את החברה לייצור מוצריה ראה גם פירוט כמתואר בסעיפים 7.11 (ה) – 7.11 (ט) בפרק זה לעיל.
  • 52.
    47 11 .תחום המזון לתינוקות 11.1 מידע כללי על תחום הפעילות א. מבנה תחום הפעילות ושינויים החלים בו פעילות החברה בתחום זה מתבצעת על ידי מטרנה תעשיות שותפות מוגבלת (להלן: "מטרנה" או שותפות מטרנה") בה מחזיקה החברה נכון למועד דוח זה ב- 51% מהזכויות בה (וחברת מעבדות מטרנה ב- 49% מהזכויות הנותרות). פעילות הקבוצה בתחום המזון לתינוקות המתבצעת כאמור באמצעות שותפות מטרנה, מתמקדת בפיתוח, ייצור, שיווק ומכירה של מוצרי מזון לתינוקות (תחליפי חלב אם, דייסות, מחיות, ביסקוויטים ופסטות לפעוטות) תחת המותג "מטרנה". המחיות שווקו עד לשנת 2012 תחת המותג "גרבר" ובמהלכה בוצע מהלך של מיזוג/איחוד מותגים והחל שיווקן של המחיות תחת המותג "מטרנה". בנוסף למוצרים הנמכרים תחת המותג "מטרנה", במסגרת תחום זה מייצרת ומוכרת שותפות מטרנה מוצרים המשמשים כחומרי גלם לתעשיית המזון. על חומרי גלם אלה נמנים בעיקר מלביני מרק, מקציפים ומלביני קפה. תחום מזון התינוקות מתאפיין, בין השאר, בהשתתפות במכרזים להזנה במחלקות יולדות של בתי חולים. בעקבות מכרז שפרסם משרד הבריאות נחתם בחודש יוני 2013 הסכם בין מטרנה ושני ספקי תחליפי חלב אם נוספים לבין משרד הבריאות, ולפיו שני ספקים יספקו תחליפי חלב אם לכל בית חולים של משרד הבריאות בהתאם לחלוקה שנקבעה בהסכם. במהלך השנה פנה הממונה על ההגבלים העסקיים (להלן: "הממונה") למטרנה ולספקיות תחליפי חלב האם הנוספות בשוק והודיע להן שהוא שוקל לקבוע שהן מהוות ביחד קבוצת ריכוז בשיווק ומכירת תרכובות מזון לתינוקות ולהורות להן על צעדים שעליהן לנקוט. במהלך שמיעת עמדות ספקיות תחליפי חלב האם (להלן: "תמ"ל) החל הממונה בהידברות עם נציגיהן בכדי לבחון אפשרות לגיבוש מתווה מוסכם שיחול על התקשרויות ספקיות
  • 53.
    התמ"ל עם בתיהחולים. הידברות זו הבשילה לכלל הסכמה בין הממונה ובין מטרנה וספקיות התמ"ל הנוספות לנוסח צו מוסכם (להלן: "הצו המוסכם") אשר ביום 26 בינואר 2014 הוגש לאישור בית הדין להגבלים עסקיים. הצו המוסכם קובע מספר תנאים לתשלום לבית החולים עבור הזכות לספק תמ"ל לבית החולים שעיקרם כדלהלן - בית החולים יאפשר לכל ספק תמ"ל לספק תמ"ל בתנאים שוויוניים ויציע להורה היילוד בחירה בין המוצרים המסופקים על ידי ספקי התמ"ל שיחפצו בכך ללא מתן עדיפות; התשלום ייקבע על ידי בית החולים כפונקציה של מידת השימוש ועל פי מחיר עבור כל יילוד אשר מוגבל בסכום מקסימום ועל פי מספר היילודים שצרכו את התמ"ל המסופק על ידי אותו הספק וזאת באופן יחסי מתוך סך כל היילודים בבית החולים שצרכו תמ"ל מכלל ספקי התמ"ל בתקופה הרלבנטית. בנוסף קובע הצו המוסכם תנאים לאספקת תמ"ל לבית החולים ללא תשלום עבור הזכות לספק תמ"ל לבית החולים שעיקרם מתן אפשרות בחירה בין לפחות שני ספקי תמ"ל ובהעדר אפשרות בחירה כאמור, חייב הספק לגבות מבית החולים תמורה מינימלית עבור אספקת התמ"ל. ביום 20 בפברואר 2014 התקבל אישור בית הדין להגבלים עסקיים לצו המוסכם. בשלב זה הקבוצה לא יכולה להעריך כיצד ישפיעו הוראות הצו על התחרותיות בשוק ועל תוצאות פעילות החברה. ב. שינויים בהיקף הפעילות בתחום וברווחיות בשנת 2013 המשיך תחום פעילות זה להיות מושפע מהתגברות התחרות כתוצאה מכניסת מתחרה נוסף החל מסוף שנת 2011 (חברת טבע המייבאת תחליפי חלב אם מתוצרת חברת אשר נמכרים תחת המותג "DANONE" מקבוצת NUTRICIA "נוטרילון") וכתוצאה מהשקת סדרת תחליפים בכשרות גבוהה של "סימילאק" במהלך 2011 . למרות זאת שמרה מטרנה על מעמדה בשוק והגדילה מכירות. בנוסף, תחום פעילות זה מושפע, בין השאר, מקצב הילודה ומשיעור ההנקה. הגידולים במכירות וברווח התפעולי של תחום פעילות זה בשנת 2013 הינם כמפורט בתוצאות הפעילות בדוח הדירקטוריון הכלול בדוח תקופתי זה. 48
  • 54.
    ג. התפתחויות בשווקיםשל תחום הפעילות, או שינויים במאפייני הלקוחות שלו תחום פעילות זה מבוסס על הצורך לבנות אמינות ואיכות לאורך זמן ורכישת אמון הצרכן. הקבוצה נותנת מענה לסוגיה זו באמצעות רמה איכותית של המוצרים תוך סיוע בידע ובמותגים של נסטלה, שהיא בין היתר החברה המובילה בעולם בתחום המזון לתינוקות. ד. גורמי ההצלחה הקריטיים בתחום הפעילות והשינויים החלים בהם גורמי ההצלחה הקריטיים של הקבוצה בתחום פעילות זה מבוססים על חיזוק המותג "מטרנה" ושמירת מעמדו כמותג המוביל בארץ בתחום המזון לתינוקות, המושגים, בין השאר, באמצעות פעילות שיווקית לחיזוק המותג ושמירה על רמה גבוהה של איכות המוצרים. גורם הצלחה קריטי נוסף הינו רמת הפיתוח והחדשנות של המוצרים. בנושא זה מסתייעת החברה בידע של נסטלה שהיא החברה המובילה בעולם בתחום המזון לתינוקות. גורם הצלחה קריטי נוסף מתבטא בשמירה על כושר התחרות באמצעות התייעלות מתמדת. ה. מחסומי הכניסה העיקריים של תחום הפעילות ושינויים החלים בהם מחסומי הכניסה העיקריים של תחום הפעילות כוללים את הצורך המתמיד בחדשנות ובפיתוח מוצרים חדשים ובבניית מותגים חזקים וכן בצורך בידע ובטכנולוגיה הדרושים ליצור כמו גם ההשקעות הנדרשות בציוד ומכונות. הצורך לבנות אמינות ואיכות של המוצרים לאורך זמן ורכישת אמון הצרכן מהווים אף הם חסם. בנוסף לכך, מגבלת הכשרות מהווה לעיתים חסם בכניסה בעיקר כאשר מדובר ביבוא מחו"ל. ו. תחליפים למוצרי תחום הפעילות ושינויים החלים בהם לכל אם עומדת כמובן אפשרות ההנקה והקבוצה רואה בהנקה את החלופה המועדפת. כמו כן, ענף המזון בכללותו הינו ענף בוגר ותחרותי ומאפיינים אלו חלים גם על תחום פעילות זה. כמו בכל 49
  • 55.
    ענף המזון גםבתחום פעילות זה של הקבוצה קיימים מוצרים תחליפיים מתוצרת מתחרה, לרבות מוצרים מיובאים. בתחום זה, הקבוצה נותנת מענה למוצרים התחליפים מתוצרת מתחרה באמצעות שמירה על איכות גבוהה וחדשנות שהן בין השאר פועל יוצא של היותה של נסטלה חברת המזון לתינוקות הגדולה בעולם, אשר נמצאת בחזית החדשנות והקידמה הטכנולוגית בתחום וכן באמצעות מיתוג המוצרים. ז. מבנה התחרות בתחום הפעילות ושינויים החלים בו בתחום פעילות זה קיים שוק תחרותי וישנה תחרות בעיקר מצד היבוא מחו"ל. בחודש נובמבר 2011 החלה חברת טבע לייבא NUTRICIA ולמכור בישראל תחליפי חלב אם מתוצרת חברת אשר נמכרים תחת המותג "נוטרילון". ("DANONE" (מקבוצת כמו כן, פורסם לאחרונה כי בכוונת חברת מדיצ'י מדיקל לחדול משיווק המוצר "אופטימיל". לפרטים אודות מעמדה התחרותי של מטרנה ראה סעיף 11.5 לפרק זה להלן. 50 11.2 מוצרים המוצרים העיקריים של הקבוצה בתחום פעילות זה משווקים בעיקרם של "מטרנה" וכוללים מוצרי (Corporate Brand) תחת מותג המטריה מזון לתינוקות – תחליפי חלב אם, דייסות, מחיות, ביסקוויטים לפעוטות ופסטות לפעוטות. המחיות לתינוקות שווקו עד לשנת 2012 תחת המותג "גרבר", ובמהלך שנה זו החלה הקבוצה לשווקן תחת המותג "מטרנה". רוב מוצרי הקבוצה בתחום פעילות זה מיוצרים במפעל הקבוצה בישראל וחלקם (בעיקר המחיות והביסקויטים) מיובאים מנסטלה. הקבוצה מוכרת, משווקת ומפיצה את מוצריה בעיקר בישראל. כמו כן, במסגרת תחום זה מייצרת ומוכרת שותפות מטרנה מוצרים המשמשים כחומרי גלם לתעשיית המזון. על חומרי גלם אלה נמנים בעיקר מלביני מרק, מקציפים ומלביני קפה. 11.3 פילוח הכנסות ורווחיות מוצרים
  • 56.
    להלן נתונים אודותהכנסות הקבוצה בתחום פעילות זה. בתוך מסגרת זו אין אף קבוצת מוצרים ששיעור הכנסותיה מהווה 10% או יותר מסך הכנסות התאגיד: 51 קבוצת מוצרים דומים הכנסות באלפי ש"ח שיעור מכלל הכנסות הקבוצה 2011 2012 2013 2011 2012 2013 מזון לתינוקות 9.3% 8.7% 8.6% 369,249 355,058 358,644 11.4 מוצרים חדשים בשנת 2013 הושק מטרנה אקסטרה קר קומפורט, תחליף חלב אם המכיל פרוביוטיקה ייחודית להקלה על העיכול החל מגיל לידה. כמו כן, במהלך התקופה הושקו שני מוצרים חדשים מסדרת מחיות מטרנה באריזה מוגדלת. בתחילת שנת 2013 השיקה מטרנה סדרת ביסקויטים לפעוטות המתאימים לתינוקות מעל גיל שנה. 11.5 תחרות א. המתחרה העיקרית של שותפות מטרנה בשוק תחליפי חלב אם בישראל הינה "פרומדיקו בע"מ" (יבואנית "סימילאק"). ב. יתרונה היחסי של מטרנה על מתחריה נובע, בין היתר, מהאמון שרוחש הציבור למותג "מטרנה" ומן העובדה ששותפות מטרנה הינה היצרנית היחידה בישראל של תחליפי חלב אם, לעומת מתחרותיה המייבאות את מוצריהן מחו"ל. היצור המקומי מקנה למטרנה יתרון יחסי בהיבט הכשרות (בד"ץ העדה החרדית ירושלים) מול המתחרות המייבאות את המוצרים מחו"ל. שותפות מטרנה מתמודדת עם התחרות באמצעות שמירה על רמה איכותית גבוהה של מוצריה ובאמצעות הפעלת מערך שיווק הכולל, בין היתר, מערך תועמלנות המקשר בין החברה לגורמים רפואיים מקצועיים, מוקד שירות לקוחות ליצירת קשר ומתן מענה לצרכי הלקוחות ופעילות מול המדיה לסוגיה. כמו כן, השותפות מפעילה את "מכון מטרנה" לקידום מחקר תזונת התינוקות בישראל.
  • 57.
    ג. לאחרונה פורסם,שחברת "מדיצ'י מדיקל", שהחלה לשווק תחליפי חלב אם בישראל תחת המותג "אופטימיל" בשנת 2008 מפסיקה את פעילותה בתחום זה. ד. בחודש נובמבר 2011 נכנס מתחרה נוסף לשוק: חברת טבע, שהחלה מקבוצת ) NUTRICIA לייבא תחליפי חלב אם מתוצרת חברת אשר נמכרים תחת המותג "נוטרילון". ("DANONE" ה. להלן פירוט נתחי השוק הכמותיים בישראל של הקבוצה לשנת 2013 בהתייחס למוצרים העיקריים של הקבוצה בתחום המזון לתינוקות בהתאם לנתונים משוקללים המבוססים על נתוני חברת סטורנקסט בשוק הקמעונאי המבורקד, (המחושבים כמתואר בסעיף 7.5 (ב) לפרק זה לעיל), וכן הערכה לגבי הפעילות בפארמים, שחשיבותם בתחום המזון לתינוקות גבוהה: קבוצת המוצרים נתח שוק משוקלל תחליפי חלב אם 57% דייסות לתינוקות 73% מחיות 50% 52 11.6 עונתיות בהתאם לנתונים כדלהלן, לא ניתן להצביע על עונתיות בתחום המזון לתינוקות. להלן התפלגות של ההכנסות בחלוקה לפי רבעונים (באלפי :(₪ שנת 2013 שנת 2012 הכנסות באלפי ₪ אחוז מסך הכנסות תחום המזון לתינוקות הכנסות באלפי ₪ אחוז מסך הכנסות תחום המזון לתינוקות 25.7% 91,262 23.2% 83,173 I רבעון 22.7% 80,472 22.5% 80,794 II רבעון 24.4% 86,501 25.7% 92,114 III רבעון 27.3% 96,823 28.6% 102,563 IV רבעון 100.0% 355,058 100.0% סה"כ 358,644
  • 58.
    53 11.7 כושרייצור פוטנציאל כושר היצור המקסימאלי של מזון לתינוקות בשלוש משמרות עבודה בשנת 2013 היה כ- 10,900 טון. היצור בפועל בשנת 2013 עמד על ניצולת ממוצעת של כ- 50% כאשר קווי היצור פועלים במשמרת אחת ועד שלוש משמרות עבודה ביממה. הגורם המהותי בקביעת כושר הייצור של מוצרי מזון המיוצרים בשיטת הייבוש בהתזה הינו כושר אידוי המים של מתקן הייבוש בהתזה ביחס לריכוז התמיסה המיובשת. 11.8 רכוש קבוע ומתקנים להלן תיאור של עיקר המקרקעין ושאר הרכוש הקבוע המהותי של הקבוצה, המשמשים בתחום הפעילות של המזון לתינוקות. מפעל מטרנה - מפעל בקיבוץ מעברות אותו שוכרת השותפות בהסכם שכירות לתקופה של 15 שנים. המפעל ממוקם בעמק חפר והמבנים הייעודיים המשמשים את מפעל מטרנה לייצור מזון לתינוקות הינם בשטח של כ 9,900- מ"ר. בנוסף לכך משלמת שותפות מטרנה דמי שימוש בגין חלקה היחסי במבנים משותפים (משרדים, מעבדות, וכו'). הקבוצה נוהגת להפחית בספריה את עיקר המכונות והציוד במפעליה השונים בתחום פעילות זה לתקופה של 5-15 שנים. 11.9 מחקר ופיתוח שותפות מטרנה מקדישה מאמצים לשיפור מוצריה, מקיימת מחקרים אד- הוק על פי תוכניות שנתיות של מחלקות הפיתוח והשיווק שלה וכן מקיימת דרך קבע מגעים עם הקהילה הרפואית בישראל בעניינים הקשורים במזון לתינוקות, לרבות עם רופאי ילדים ותחנות טיפת חלב על מנת לקבל משוב על איכות המזון לתינוקות ועל אפשרויות ודרכים לשיפורו ופיתוחו. בנוסף, לשותפות מטרנה גישה למחקרים ופיתוחים של נסטלה (שהינה חברת המזון לתינוקות הגדולה בעולם) בתחום הפעילות. שותפות מטרנה משתתפת בניסויים קליניים בנושאים שונים בתחום המזון לתינוקות, אשר מתבצעים בבתי חולים בישראל בניהול של
  • 59.
    רופאים ישראלים. הניסוייםמהווים שלב בפיתוח מוצרים חדשים או שיפורים במוצרים קיימים. 54 11.10 הון אנושי א. למבנה הארגוני של הקבוצה ולפרטים נוספים לגבי ההון האנושי של הקבוצה בכללותה - ראו סעיף 19 לפרק זה להלן. ב. להלן פירוט מספר עובדי הקבוצה בתחום המזון לתינוקות ליום 31.12.13 הכוללים עובדי יצור, מכירה, שיווק והנהלה, כאשר הפירוט שלהלן אינו כולל את עובדי המכירות והסחר הרשומים בחברת הסחר של הקבוצה, הנותנת שירותי הפצה, מכירה, לוגיסטיקה וסחר לרוב תחומי הפעילות של הקבוצה: מספר עובדים ליום 31.12.13 מספר עובדים ליום 31.12.12 ייצור 79 77 הנהלה 6 10 39 מכירה ושיווק 40 11.11 חומרי גלם וספקים א. חומרי הגלם לייצור מזון לתינוקות הינם בעיקר אבקת חלב רזה, סוכר החלב (לקטוזה), תערובת שמנים צמחיים המכילה את הרכב חומצות השומן המותאם לחלב אם, תרכיז חלבון מי גבינה, וויטמינים ומינרלים. מרבית חומרי הגלם הנ"ל מיובאים מחו"ל, בין היתר מהולנד, דנמרק, ארה"ב וגרמניה, כאשר הכמויות המיובאות מכל מדינה מהמדינות הנ"ל משתנות מעת לעת. חלק מחומרי הגלם הנ"ל הם מוצרי מדף וחלקם מיוצרים במיוחד עבור שותפות מטרנה על פי הזמנות אד-הוק שלה. Martek Biosciences Corp. ב. על פי הסכם שנחתם באפריל 1995 עם (להלן ("מרטק") הוקנה למוצרי מעברות רישיון לא בלעדי ובלתי ניתן להעברה למכור בישראל מוצרי מטרנה כשהם מכילים את .LC Pufa הרכיב הנרכש ממרטק, ומכונה
  • 60.
    את חברת מרטק.בנובמבר 2012 DSM בשנת 2011 רכשה חברת DSM Nutritional הצטרפה מטרנה לחוזה שנחתם בין נסטלה לבין ולפיו נסטלה וחברות ,(DSM מקבוצת ;"DNP" : להלן ) Products בתנאים שנקבעו DNP - מ LC Pufa קשורות של נסטלה תרכושנה בהסכם. לא קיימים הסכמי מסגרת של DNP ג. למעט ההתקשרות הנ"ל עם מטרנה המסדירים התקשרויות ארוכות טווח עם ספקי חומרי גלם. להערכת החברה, לא קיימת תלות בין מטרנה לבין ספקים במובן זה שיציאת ספק כלשהו מרשימת הספקים לא תגרום למטרנה תוספת עלות מהותית כתוצאה מן הצורך לעבור לספק חלופי, בין השאר, בשל העובדה שבמרבית המקרים מטרנה נוקטת במדיניות רכישת חומרי גלם ממספר מקורות על מנת למנוע תלות בספק אחד. ד. לשותפות מטרנה סדרת תחליפי חלב אם בהכשר בד"צ עבור העדה החרדית. שלושה מרכיבים של תחליפים כאמור מיוצרים על ידי שני ספקים מסוימים. אי אספקתם תסב את הכשר הבד"צ להכשר רגיל. ה. תחליפי חלב אם המיוצרים על ידי מטרנה נארזים באריזה ייחודית. החלפת ספק האריזה כרוכה בפרק זמן של מספר חודשים. 55
  • 61.
    56 12 .פעילויות אחרות לקבוצה פעילויות שונות שאינן נכללות בתחומי הפעילות שתוארו לעיל , והן אינן עונות על הסף הכמותי להצגה בדוחות הכספיים כמגזרים ברי דיווח ולכן הן נכללות בדוחות הכספיים של החברה ליום 31.12.2013 במגזר "אחרים".פעילויות אלו כוללות: 12.1 גלידות המוצרים העיקריים של הקבוצה במסגרת זו כוללים גלידות המשווקות תחת המותג "גלידות נסטלה" הכוללים, בין השאר, גלידות ושלגונים במותגים "נוק-אאוט", "אקסטרים", "קראנץ" ועוד וכן אריזות משפחתיות במותג "לה- קרמריה", אריזות פרמיום במותג "ג'ויה", מאגדות שלגונים למינהן וסנדביצ'ים מופחתי שומן במותג "סקיני קאו". בתחום זה קיימת תחרות גבוהה בין יצרני המזון הגדולים המקומיים וכן יצרנים בינוניים וקטנים, לרבות גלידריות. המתחרה העיקרי של הקבוצה בקטגורית הגלידות הינו "גלידת שטראוס" של חברת "יוניליבר". נתח השוק הכספי של הקבוצה בשנת 2013 בתחום הגלידות עמד על 37% והוא נקבע בהתאם לנתונים משוקללים המבוססים על נתוני חברת סטורנקסט בשוק הקמעונאי המבורקד. המפעל המשמש ליצור גלידות ממוקם באזור התעשייה של באר- טוביה. המפעל (לרבות המחסנים שמשמשים אותו) מצוי בשטח של כ- 38 דונם ובשטח בנוי של כ- 12,000 מ"ר. הקבוצה שוכרת את המקרקעין בהסכם . שכירות ארוך טווח המסתיים בפברואר 2024 הקבוצה עוסקת באופן שוטף במחקר ופיתוח של טכנולוגיות חדשות ומוצרים חדשים מתוך מטרה להקנות לה יתרון יחסי על פני מתחרותיה בארץ ובעולם בתחום האיכות, המרקם והטעם של מוצריה בתחום הגלידות. הפיתוח, הטכנולוגיה וחדשנות המוצרים בקטגורית מוצרי הגלידה מבוצעים תוך שימוש מקיף בידע ובטכנולוגיה של נסטלה.
  • 62.
    57 12.2 אסמיםחבילות שי אסמים חבילות שי הוקמה בשנת 1999 ועוסקת באריזה ושיווק חבילות שי המורכבות בעיקר ממוצרי אסם ונסטלה בתחום החטיפים, המאפה, הקפה, השוקולד וכן מוצרים משלימים מיצרנים אחרים. בנוסף לכך עוסקת אסמים חבילות שי ביבוא, שיווק והפצה של מוצרי השוקולד של נסטלה. אסמים חבילות שי מעסיקה כ 30- עובדים קבועים כשפעילות הכנת החבילות והמחסנים ממוקמים באתר שהחברה שכרה באזור התעשייה באור- עקיבא בשטח כולל של כ- 4,650 מ"ר. 12.3 תוצרת קנויה לקבוצה הסכמי הפצה לפיהם מפיצה הקבוצה גם מוצרים של יצרנים אחרים ובתנאי שמוצרים אלו אינם מתחרים במוצרי הקבוצה. בפעילות זו הקבוצה עושה שימוש בתשתיות הקיימות של המחסנים והמרכז הלוגיסטי וכן במערך ההפצה והסחר של הקבוצה. הסכמי ההפצה העיקריים הם עם "תפוגן", "מילוטל", "עוף טוב", "דורות" ו"לנדוור". 12.4 חברות שיווק בחו"ל לקבוצה שתי חברות בנות נוספות העוסקות בשיווק, הפצה ומכירה פועלת באנגליה ומפיצה את מוצרי UK בחו"ל. חברת הבת אסם מפיצה באנגליה גם מוצרים של יצרנים ישראלים UK הקבוצה. אסם אחרים שהעיקריים שבהם כוללים את "טיב טירת צבי", "עוף הגליל" ו"תנובה גליל". מפיצה מוצרים שונים של נסטלה לרשתות השיווק UK בנוסף לכך אסם ,"Milo" הגדולות ולשוק האתני באנגליה, בעיקר תחת המותגים ו- "Thomy", "Rowntrees Cocoa" ,"Maggi" , "Nido" ,"Caro" את הפעילות של חברת UK בשנת 2009 רכשה אסם ."Polish Winiary" "ירדן" באנגליה אשר עיקר פעילותה התמקדה בהפצה ושיווק של מוצרים כשרים לשוק היהודי באנגליה (כולל מוצרים קפואים ומצוננים). המפיצה USA בארה"ב מתבצעת הפעילות באמצעות חברת הבת אסם את מוצרי הקבוצה ( למעט מוצרים מתחום המזון המוכן) בעיקר לשוק מפיצה בארה"ב בעיקר לשוק הכשר USA היהודי הכשר. כמו כן, אסם גם מוצרים של יצרנים ישראלים אחרים (בעיקר תחת המותג "אסם")
  • 63.
    שהעיקריים שבהם כולליםאת "אם החיטה", "מנעמים", "קוסקוס מפיצה מוצרים של יצרנים לא USA מזון" ו"קיבוץ עינת". בנוסף, אסם ישראלים לרבות קפה ואבקת שוקו כשרים לפסח של נסטלה בעיקר תחת המותגים "נסקפה", "טסטרס צ'ויס" ו-"נסקוויק". 58 12.5 מזון לחיות מחמד הקבוצה עוסקת ביבוא, שיווק והפצה בישראל של מוצרי מזון לחיות מחמד המיוצרים על ידי נסטלה. המוצרים מיובאים בעיקר תחת המותגים "פורינה", "פרו-פלאן", "פריסקיז", "דוגלי" וכן "פנסי פיסט". המכירה וההפצה נעשית באמצעות מערכות ההפצה והסחר של קבוצת אסם, למעט המכירה וההפצה לחנויות המתמחות במכירת מזון לחיות מחמד, אליהן ההפצה והמכירה נעשית באמצעות מפיץ צד ג'. (Nestea 12.6 תה קר (במותג .Nestea הקבוצה עוסקת ביבוא, שיווק והפצה של תה קר תחת המותג חברת ) Nestle הינו מותג רשום הנמצא בבעלותה של Nestea המותג האם של אסם). מיוצרים על ידי חברת סאן פלגרינו Nestea מוצרי התה הקר של באיטליה (שאף היא חברת בת של נסטלה) והמוצרים הינם היחידים מסוגם בישראל המכילים מי מעיינות טבעיים (ממעיינות סאן פלגרינו). נתח השוק הממוצע בשנת 2013 (שהינה שנת הפעילות המלאה הראשונה) . הגיע לכדי 19%
  • 64.
    חלק רביעי -עניינים הנוגעים לפעילות הקבוצה בכללותה 59 13 . לקוחות א. כללי - לחברה פיזור רחב של לקוחות, המונים אלפי לקוחות ולמעלה מ- 10,000 נקודות מכירה, אשר נחלקים ללקוחות השוק המאורגן (רשתות המזון הגדולות), לקוחות שוק הרשתות הפרטיות, לקוחות השוק הפרטי (כגון חנויות מכולת ומינימרקטים) וכן לקוחות השוק המקצועי (כגון חברות קייטרינג, מסעדות, בתי מלון, מוסדות ציבור וגופים מוסדיים בינוניים וגדולים). קשרי הסחר של הקבוצה עם לקוחותיה הינם ככלל ארוכי טווח, לקוחות אלו מגלים נאמנות למוצרי הקבוצה בשל מיתוג המוצרים, איכות המוצרים ורמת השירות. ב. מאפייני לקוחות - לקבוצה מעגל רחב של לקוחות הכולל בתוכו את השוק המאורגן המכיל את רשתות המזון הגדולות ("שופרסל", "מגה קמעונאות") וכן את רשת "סופרפארם", שוק הרשתות הפרטיות הכולל בתוכו את הרשתות הפרטיות הגדולות ("רמי לוי" , "יינות ביתן", "כמעט חינם", "חצי חינם" , "אושר עד", "טיב טעם" ורשתות פרטיות גדולות אחרות), לקוחות השוק הפרטי הכוללים את הסופרמרקטים והמינימרקטים השכונתיים, חנויות מכולת וקיוסקים וכן לקוחות השוק המקצועי הכוללים בתי מלון, מסעדות וגופים מוסדיים אחרים. החברה הגיעה להסכמות עם הרשתות שופרסל ומגה קמעונאות בשנים 2010 ו- 2012 בהתאמה, במסגרתם הועברה פעילות הסדרנות של מוצרי הקבוצה לאחריות ולטיפול הרשתות. להעברת פעילות הסדרנות לאחריות וטיפול הרשתות לא היו השלכות כספיות משמעותיות על הקבוצה, היות והתשלום לרשתות בגין שירותי הסדרנות דומה בעיקרו להוצאות השכר שהקבוצה נהגה לשלם לסדרניות עובר להחלטה על העברת הפעילות. עלויות המעבר החד פעמיות לרבות אלו הכרוכות בסדרניות שפרשו מעבודתן בחברה (וחלקן נקלטו ברשתות) אינן מהותיות. בנוסף לכך לקבוצה ישנם מגוון לקוחות בחו"ל הכוללים את רשתות השיווק מוריסון", WM" , " הגדולות כמו "טסקו", "סיינסבוריס", "וויטרוז", "אסדה דלהיז", " ,"C&S" ," "אלברט היין", "איקה", "אדיקה", "סטופ אנד שופ "וולמארט", "קוסטקו", "קרוגר", "סייפווי" ואחרים. לחלק מלקוחות הקבוצה בחו"ל המכירות הן תחת מותג פרטי.
  • 65.
    להלן התפלגות המכירותללקוחות הקבוצה בשנת 2013 על פי השיוך הסקטוריאלי של הלקוחות: לקוחות השוק המאורגן 24% לקוחות שוק הרשתות הפרטיות 21% לקוחות השוק הפרטי 32% לקוחות השוק המקצועי 8% לקוחות בחו"ל 15% לקבוצה לקוח קמעונאי אחד הנמנה על "השוק המאורגן" אשר היקף המכירות אליו בשנת 2013 עלה על 10% מכלל ההכנסות בדוח רווח והפסד המאוחד וזאת כמפורט בבאור 23 א. 3. לדוחות הכספיים הכלולים בדוח תקופתי זה. לקבוצה הסכמות מסחריות עם רשתות השיווק הגדולות ובכלל כך עם שופרסל ומגה קמעונאות, הנקבעות לרוב לגבי שנה קלנדארית, והכוללות התייחסות לתנאי המכר והנחות וכן לפעילויות המכירה השוטפת בסניפי הרשת (בעיקר שטחי מדף, הכנסת מוצרים חדשים וכדומה) הנקבעות במו"מ בין הצדדים. הנחות משתנות ותשלומים בגין קד"מ ופרסום משותף נקבעים מעת לעת לפי שיקול דעת החברה. במסגרת ההתקשרויות הקיימות בין הקבוצה לרשתות כאמור נקבעו תנאי אשראי שונים. על אף שכל אחד משני הלקוחות הנ"ל הינו לקוח חשוב שאבדנו עלול להקטין את המכירות והרווחיות, להערכת החברה אין לה תלות בהם. 60 14 . הפצה ושיווק א. ככלל, הקבוצה משווקת ומפיצה את מוצריה בארץ באופן עצמאי אם כי לחלק מהלקוחות בתחום המזון הקפוא, המצונן והאימפלס ולחלק מהלקוחות במוצרי המזון לחיות מחמד, נעשית ההפצה באמצעות מפיצים עצמאיים. לקבוצה שליטה מלאה על מערכות ההפצה והשיווק בישראל וביכולתה להפיץ את מוצריה לכל סופרמרקט, חנות מכולת או קיוסק בכל רחבי הארץ לרבות בפריפריה. בשטחי הגדה המערבית וברצועת עזה, הקבוצה עושה שימוש במפיצים מקומיים.
  • 66.
    מערכות ההפצה והסחרשל פעילות המזון המופץ בטמפרטורת החדר, ושל פעילות המזון הקפוא והמצונן (להוציא מוצרי הגלידות, כמתואר להלן) משולבות למערכת מכירות אחת - קבוצת אסם סחר, באופן המאפשר לחברה להפעיל אסטרטגיות מכירה מתקדמות ומתמחות, שמשמעותן שיפור השירות ללקוחות החברה, התייעלות בתחומי המכירה והלוגיסטיקה, גמישות יתר לצרכי השוק ומתן פתרונות מקצועיים מגוונים. מוצרי הגלידות מופצים באופן נפרד באמצעות מערכת עצמאית נפרדת. לצורך פעילות ההפצה הקימה הקבוצה מרכז הפצה ולוגיסטיקה ארצי לכל מוצרי הקבוצה (מזון בטמפרטורת החדר, מזון מצונן וקפוא) התורם לשיפור היעילות התפעולית כמפורט בסעיף 16 (ב) לפרק זה. ב. השיווק וההפצה בחו"ל נעשים בין השאר באמצעות שתי חברות בנות בשליטה U.S.A. האחראית על השיווק וההפצה באנגליה ואסם U.K. מלאה - אסם האחראית על השיווק וההפצה בארה"ב; בנוסף, הפצת מוצרי טבעול באירופה נעשית, בין השאר, באמצעות חברת טבעול אירופה שמרכזה בהולנד. בשנת את הפעילות של חברת "ירדן" באנגליה אשר עיקר U.K. 2009 רכשה אסם פעילותה התמקדה בהפצה ושיווק של מוצרים כשרים לשוק היהודי באנגליה (כולל מוצרים קפואים ומצוננים). העוסקת בתחום הסלטים הים-תיכוניים ובתחום תחליפי Tribe כמו כן, לחברת הבשר, אשר פועלת בארה"ב, יש מערכת מכירתית ניהולית שפועלת באמצעות מפיצים. ג. הקבוצה תומכת במותגיה המובילים באמצעות צינורות שיווק ותקשורת שיווקית בהתאם למטרות האסטרטגיות אשר מציבה הנהלת החברה לגבי כל אחד מתחומי הפעילות והמותגים. החברה, בשיתוף עם משרדי פרסום, פועלת במספר צינורות שיווק וקידום מכירות, העיקריים שבהם הינם כדלקמן: פרסום במדיה - החברה מפרסמת את מוצריה באמצעי המדיה הפונים לקהל הרחב, לרבות פרסום בטלוויזיה בערוצים המסחריים, רדיו, אינטרנט, שילוט חוצות, קולנוע, עיתונים וירחונים מקצועיים. עיקר הפרסום של הקבוצה מופנה לטלוויזיה. הקבוצה עושה שימוש בידע השיווקי של נסטלה בקטגוריות השונות שבהם נסטלה פועלת, לרבות אפשרות לשימוש בהפקות ובפרסומות שנעשו ע"י נסטלה בעולם. 61
  • 67.
    קידום מכירות -החברה מקיימת פעילויות קידום מכירות בשטח כגון טעימות מוצרים בנקודות מכירה, חלוקת דוגמיות, אירועים, מבצעי קידום מכירות המטפלת בחיבור שבין (CCSD) ועוד. בקבוצה קיימת מחלקה ייעודית הקבוצה לקונה המגיע לנקודת המכירה ולקמעונאים. מחלקה זו היא המוציאה לפועל של פעילות המבצעים וקידום המכירות בהתאם לתוכניות השיווקיות של הקבוצה, ואחראית על שיווק הפעילויות לקהל הקמעונאים, זאת באמצעות עיתון חודשי המציג את מגוון ההשקות והפעילויות השיווקיות ואת אמצעי הקידום והנראות להצבה בנקודות המכירה. שירות צרכנים - הקבוצה מפעילה שירות לקוחות וצרכנים באמצעות מוקד שירות טלפוני בקריית מלאכי, המאפשר קשר ישיר עם לקוחות וצרכנים ומענה על שאלות ופתרון בעיות נקודתיות אצל הצרכן הסופי; מחקרי שוק - הקבוצה מבצעת מחקרי שוק וסקרים בכדי לבחון מגמות בשוק ומאפייני צריכה בקטגוריות השונות בהן היא פועלת. מחקרי השוק והסקרים מקנים לקבוצה תובנות שיווקיות ומסייעים לקביעת התוכניות השיווקיות שמטרתן הגדלת המכירות תוך כדי בניה וחיזוק של מותגי הקבוצה. מחקרי השוק והסקרים כוללים בין השאר את סטורנקסט, נילסן, סקרים מן המדף, סקרים ומחקרים ספציפיים. בנוסף לכך, הקבוצה מסתייעת בנסטלה ועושה שימוש בידע, ובמחקרי השוק הגלובליים של נסטלה הבוחנים מגמות ומאפייני צריכה של קטגוריות שונות בעולם מתוך כוונה לקבל תובנות לגבי המגמות הצפויות בישראל. שיווק מול קהל מקצועי - קבוצת אסם מפרסמת מגזינים ומאמרים לקהל המקצועי העוסקים בנושאי בריאות ותזונה וכן מפרסמת מאמרים ויוזמת מפגשים לקהל הרחב בנושא תזונה ע"י צוות התזונאים של קבוצת אסם. בנוסף, בתחום המזון לתינוקות אל מול קהל מקצועי כגון רופאים ואחיות בבתי חולים. סדנאות ללקוחות השוק המקצועי - האקדמיה של אסם נסטלה פרופשיונל, מציעה מגוון סדנאות לשוק המקצועי (בתי מלון, מסעדות וגופים מוסדיים) בהדרכת שפים מקצועיים ומומחים בעלי ניסיון רב ושם עולמי. הוצאות הפרסום וקידום המכירות של הקבוצה הינם כמפורט בביאור 23 ג. לדוחות הכספיים המצורפים לדוח תקופתי זה. 62 15 . צבר הזמנות
  • 68.
    כמקובל בתחום שבופועלת הקבוצה, נהוגה מכירה מהמלאי על פי הזמנות בדידות. בהתאם לכך אין לקבוצה צבר הזמנות משמעותי. 63 16 . רכוש קבוע ומתקנים מרכזי הפצה, לוגיסטיקה ושטעון ומטה ההנהלה א. בניין ההנהלה ומטה הקבוצה ההנהלה ומטה הקבוצה נמצאים במשרדים אשר נרכשו בחכירה לדורות והממוקמים בחבל מודיעין בסמוך לשוהם ובצמוד למרכז הלוגיסטי של הקבוצה. שטח בניין המשרדים הוא כ 13,000- מ"ר. ב. מרכז הפצה ולוגיסטיקה ארצי מרכז הפצה ולוגיסטיקה ארצי לכל מוצרי הקבוצה (מוצרי מזון בטמפרטורת החדר, מזון מצונן ומזון קפוא) אשר נרכש בחכירה לדורות וממוקם על שטח של למעלה מ- 100 דונם קרקע באזור התעשייה חבל מודיעין בסמוך לשוהם והוקם בהשקעה של כ- 100 מיליון דולר (שכללה גם את הקמת המשרדים). הקמת מרכז ההפצה ששטחו הבנוי הוא כ 40,000- מ"ר, תורמת לשיפור היעילות התפעולית הן על ידי מיזוג מרכזי ההפצה השונים שהיו קיימים בעבר לאתר מרכזי אחד, והן באמצעות מיקומו האסטרטגי במרכז הארץ, סמוך לתוואי של כביש מספר 6 ובסמוך למרכזי האוכלוסין. המרכז הלוגיסטי מבוסס על טכנולוגיה חדישה ועל מערך ממוחשב ואוטומטי תוך שילוב של אחסון אוטומטי ופיקוד רדיו אלחוטי. מחסני המרכז הלוגיסטי נמצאים בתפוסה של כ 90%- ברוב ימות השנה, אך בתכנונו נלקחה בחשבון הרחבה נוספת בעתיד. בנוסף למרכז הלוגיסטי הארצי קיימים אתרי שטעון עיקריים שכוללים בתוכם את האתרים ברמת- השופט (האחראי על מוצרים בטמפרטורת החדר באזור הצפון), אזור התעשייה של מילואות (האחראי על מוצרים קפואים ומצוננים באזור הצפון), באר-שבע (האחראי על אזור הדרום) ואילת. אתרים אלו הינם בשכירות למעט האתר בבאר- שבע שהוא בחכירה לדורות ועליו בנוי מבנה הקבוצה. מפעלי הקבוצה לפרטים אודות מפעלי הקבוצה המשמשים את הקבוצה, בישראל ובחו"ל לייצור מוצרי הקבוצה, ראו סעיפים 7.8 (א)-(ג), 8.8 (א)-(ג), 9.8 (א)- (ג), 10.8 (א)-(ה), 11.8 ו- 12.1 לפרק זה לעיל.
  • 69.
    64 17 .מחקר ופיתוח הקבוצה רואה חשיבות רבה בפיתוח אינטנסיבי של מוצרים חדשים והחדרתם לשוק מתוך מטרה לשמור על נתחי השוק ואף להגדילם וכן לשמור על היתרון היחסי של איכות מוצריה. עבודות הפיתוח של המוצרים החדשים נעשית במעבדות הפועלות במסגרת העבודה השוטפת במחלקה הטכנולוגית המפעילה טכנולוגים, מהנדסים וכימאים. הקבוצה אינה נוהגת לבצע הפרדה של עלויות הפיתוח והן אינן עלויות מהותיות. כמו כן הקבוצה אינה מבצעת פיתוחים ספציפיים עבור לקוחות מסוימים במימון הלקוחות. מאחר והקבוצה הינה צד להסכמים עם חברת האם נסטלה - חברת המזון הגדולה בעולם, בקשר עם שימוש בידע ובקניין רוחני של נסטלה, היא נהנית מפירות המחקר והפיתוח שמשקיעה נסטלה במוצרים אלו. למיטב ידיעת החברה, קבוצת נסטלה משקיעה למעלה ממיליארד דולר בשנה בפיתוח מוצרים חדשים באמצעות למעלה מ 30- מרכזי מחקר ופיתוח הפזורים ברחבי העולם. בשנת 2002 הקימה נסטלה בישראל (בעיר שדרות, בצמוד למפעל הקבוצה) מרכז מחקר ופיתוח עולמי בתחום החטיפים. הקבוצה עושה שימוש בידע ובטכנולוגיה שפותחו ושיפותחו במרכז פיתוח זה וכן עושה שימוש במוצרים החדשים שפותחו ויפותחו. כמו כן קבוצת אסם קיבלה מענקי פיתוח מהמדען הראשי בסכומים שאינם מהותיים. 18 . נכסים לא מוחשיים א. ידע - נכסי הקניין הרוחני של הקבוצה כוללים בתוכם את מלוא הידע העסקי, המסחרי והמקצועי אשר שימש ומשמש את הקבוצה בפעילותה העסקית, לרבות הידע היצורי והשיווקי, ובכלל זאת נוסחאות, אופן השימוש בחומרי גלם, מקורות רכישתם ושמות וכתובות הספקים, כמויותיהם ואיכותם, תהליכי היצור, הפעלת הציוד ויצור המוצרים, שיווקם, הפצתם, מכירתם ודרכי אחסונם, רשימת הלקוחות, מחקרי שוק, תכנונים שיווקיים, יצוריים והנדסיים. ב. סימנים מסחריים ומותגים - הסימנים המסחריים והמותגים העיקריים של אסם" המשמש " (Corporate Brand) הקבוצה כוללים בתוכם את מותג - העל כמותג מטריה לתחום המוצרים המופצים בטמפרטורת החדר, זאת בנוסף למותגים הספציפיים בתחום הקטגוריה הספציפית כמו "במבה" ו"ביסלי" בתחום החטיפים, "הבית" ו"לחמית" בתחום המאפה ו"פרפקטו" ו"מנה חמה"
  • 70.
    בתחום הקולינרי. המותג"טבעול" משמש כמותג מטריה למוצרי בריאות ותחליפי בשר בתחום המזון הקפוא. המותג "בונז'ור" משמש את הקבוצה בתחום המאפה. המותג "צבר" משמש את הקבוצה למוצרי הסלטים. המותג "בית-השיטה" משמש את הקבוצה בתחום המזון הקולינארי בקשר עם מוצרי חמוצים והמותגים "עסיס" ו"ויטמינצ'יק" משמשים את הקבוצה בתחום המאפה והמשקאות ביחס למוצרי התרכיזים. כל המותגים המוזכרים לעיל הינם מובילים בתחומם ובנוסף להם לקבוצה מותגים שונים נוספים. למותגי הקבוצה חשיבות רבה והשפעה רבה כסמל לאיכות המוצרים והקבוצה רואה במותגיה חלק מנכסיה העיקריים. החברה השקיעה משאבים רבים לאורך עשרות שנים בבניית מותגיה. העלויות שהושקעו לאורך השנים כמו גם אורך החיים של המותגים אינם ניתנים לכימות. ככלל, המותגים וסימני המסחר בהם עושה הקבוצה שימוש, רשומים אצל רשם סימני המסחר. ג. רישיונות וזיכיונות - פעילות הקבוצה כוללת בתוכה גם את מוצרי נסטלה, שהידע לייצורם והמותגים שלהם אינם בבעלות הקבוצה. לקבוצה יש זכות בלעדית לעשות שימוש בקניין הרוחני של נסטלה בישראל ו/או להפיץ מוצרי Corporate ) נסטלה בישראל. בהקשר זה עושה הקבוצה שימוש במותג העל וזאת בנוסף למותגים הספציפיים בתחום הקטגוריה (Nestle) נסטלה (Brand "Nestea" , במוצרי הקפה "Nescafe Red Mug" - ו "Taster's Choice" (כמו ,"Cheerios" , במוצרי השוקולד "KitKat" ו "Baci" , במוצרי המשקאות במוצרי המזון "Purina" במוצרי דגני הבוקר ו "Crunch" - ו ,"Trix" ,"Fitness" לחיות מחמד). בנוסף, הקבוצה מייצרת את מוצרי הגלידה של נסטלה בישראל תוך שימוש בידע, בטכנולוגיה ובמותגים של נסטלה. הפועלות Food Tech - ו Tribe בשנת 2008 רכשה הקבוצה את פעילות חברת בארה"ב בתחום הסלטים ובתחום תחליפי הבשר, בפעילויות אלו יש לקבוצה שהועמדו לה ע"י נסטלה Veggie Patch - ו Tribe זכויות שימוש במותגים של מכוח הסכמי רישיון וכן בידע נוסף של נסטלה. בתחום המזון לתינוקות יש לקבוצה, מכוח מערכת הסכמית של שותפות מטרנה עם נסטלה, זכויות שימוש בידע ובמותג של גרבר וכן בידע ובמותג של מטרנה ( 51% מהידע והמותג של מטרנה נרכשו על- ידי נסטלה ו- 49% מהם מוחזקים על- ידי מוצרי מעברות), וזאת בנוסף לידע ומותגים אחרים שיש לנסטלה בתחום המזון לתינוקות. בנוסף לכך מקבלת הקבוצה זכויות שימוש נרחבות בידע של נסטלה, ובכלל זאת, ידע 65
  • 71.
    טכני, מדעי, שיווקי,לוגיסטי, מכירתי, ייצורי, מחשובי ופיננסי. לפרטים נוספים ראה תקנה 22 לפרק "הפרטים הנוספים על התאגיד" הנכלל בדוח תקופתי זה. ד. מוניטין – לקבוצה מוניטין רב עצמה שנצבר לאורך השנים מאז הקמתה בשנת 1942 . למוניטין הקבוצה חשיבות רבה והשפעה רבה כסמל לאיכות החברה ומוצריה והקבוצה רואה במוניטין שנצבר את אחד מנכסיה העיקריים. בנוסף לכך לקבוצה מוניטין שנרכש כחלק מעלות רכישת חברות הבנות לאורך השנים. מוניטין זה כולל בעיקרו את המוניטין של חברות הבנות טבעול (לרבות צבר לרבות פודטק ) ,Tribe ,( שמוזגה עם טבעול), בונז'ור (שמוזגה לאסם השקעות 66 מטרנה ועוד. ,(Tribe- שמוזגה ל ה. מידע כספי – העלויות שהושקעו בנכסים הלא מוחשיים והסכומים שהוכרו בגינם כנכס בדוחות הכספיים בהתאם לכללי חשבונאות מקובלים, מפורטים בבאור 13 בדוחות הכספיים הנכללים בדוח תקופתי זה.
  • 72.
    ר בסעיף 19ג' הבכירה , מנהלי הארגוני שקאות חטיבה קבוצה: ארגוני של הק ה הארגוני כמתואר המבנה הא 20 חל שינוי במבנה י ההנהלה ה סמנכ"לים, הלן תרשים 20 . החל משנת 014 ל וכן על ידי ם למנכ"ל, ס שפטי. נוי במבנה ה מאפה והמש על הקמת י שהיה בשנת 013 ידי המנכ"ה, המשנים היועץ המש ברה על שינ חטיבת המ ביל הוחלט נוהלת על י כ"ל הקבוצ גפי המטה ו קטוריון החב החטיפים, חת. במקב ות. חליט דירק דו חטיבת ה עסקית אח ים ובחדשנו 67 י ם המבנה הא ארגוני - לה למבנה הארגוני כפ התרשים מתייחס ל לפרק זה. הארגוני - בוצה הכולל ת העסקיות ם מבניים - ך 17 בדצמב ברה, שבמס ת דגני הבוק שתטפל בעס הקבוצה מ לת את מנכ ת, מנהלי אג בר 2012 , ה סגרתו אוח קר לחטיבה סקים חדשי הון אנושי א. תרשים ה  ל ב. המבנה של הקב היחידות ג. שינויים בתאריך של החב וחטיבת חדשה ש 19 . ה א ב ג
  • 73.
    ההחלטה בדבר השינויהארגוני האמור התקבלה, בין היתר, במטרה לתת מענה להתפתחויות בשוק המזון בישראל, הצורך בשיפור מוטת השליטה של המנכ"ל והצורך בהגברת המיקוד הניהולי ביחס לקטגוריות מזון מסוימות. בהתאם להחלטת הדירקטוריון, השינוי במבנה הארגוני נכנס לתוקף ביום .1.1.2013 כמו כן, החל מחודש ינואר 2013 חל שינוי ארגוני נוסף על פיו הוכפפו מפעלי הקבוצה לניהולו הישיר של המשנה למנכ"ל לתפעול (קודם לכן היו כפופים למנהלי היחידות העסקיות/חטיבות). בד בבד, מנהלי היחידות העסקיות, ממשיכים להיות מעורבים בסוגיות ובהחלטות תפעוליות רלוונטיות עם השלכות עסקיות. מתוך מטרה להדגיש ולחזק את המיקוד הניהולי והסינרגיה של הפעילות הבינלאומית של הקבוצה, החליט הדירקטוריון ביום 21 בנובמבר 2013 על שינוי מבנה בחטיבת המזון המוכן ולהקים חטיבה נפרדת שתתמקד בפעילות אסם ,UK הבינלאומית של הקבוצה שתכלול את טבעול אירופה, טרייב, אסם פעילות היצוא של הקבוצה וכן הזדמנויות בינלאומיות עתידיות. ,USA כחלק מהשינוי המוצע, פעילות טבעול ישראל תעבור לאחריות החטיבה הקולינארית ופעילות סלטי צבר תשאר יחידה עצמאית שתדווח ישירות . למנכ"ל. השינוי נכנס לתוקף בתחילת שנת 2014 ד. מצבת העובדים - מספר המועסקים בקבוצה עומד נכון ליום 31.12.2013 על כ- 4,700 עובדים. עובדי מכירה והפצה (נהגים, סוכנים, סדרניות, נציגות, מחסנאים וכו') וכן עובדי הנהלה ומטה (תפעול, שיווק, כספים וכו') נותנים שירותים משותפים לכל תחומי הפעילות. במהלך שנת 2013 לא חלו שינויים מהותיים במצבת העובדים. להערכת הקבוצה אין לה תלות מהותית בעובד מסוים. 68
  • 74.
    מספר העובדים ליום31.12.13 69 עובדי ייצור עובדי מכירה, שיווק הפצה ולוגיסטיקה עובדי הנהלה סה"כ עובדי הקבוצה קולינארי 277 13 9 255 338 1 8 חטיפים ודגני בוקר 329 מאפה ומשקאות 230 1 5 224 מזון מוכן 1,035 41 96 898 מזון לתינוקות 127 10 40 77 אחרים 386 30 153 203 300 6 294 עובדי מפעל כללים 1,624 שירותים 1,624 משותפים הפצה וסחר שירותים משותפים הנהלה ומטה 381 300 81 סה"כ עובדי הקבוצה 4,698 396 2,022 2,280 מספר העובדים ליום 31.12.12 עובדי ייצור עובדי מכירה, שיווק הפצה ולוגיסטיקה עובדי הנהלה סה"כ עובדי הקבוצה קולינארי 315 12 10 293 358 5 6 חטיפים ודגני בוקר 347 מאפה ומשקאות 243 5 6 232 מזון מוכן 1,054 56 90 908 מזון לתינוקות 124 6 39 79 אחרים 410 36 143 231 308 7 301 עובדי מפעל כללים 1,607 שירותים 1,607 משותפים הפצה וסחר שירותים משותפים הנהלה ומטה 378 313 65 סה"כ עובדי הקבוצה 4,797 433 1,973 2,391 ה. אימונים והדרכה - הקבוצה משקיעה משאבים בהדרכות מקצועיות בהתאם לדרישות החוק, נהלי הקבוצה וכחלק משאיפת הקבוצה לשפר ולקדם באופן שוטף את הכשירות המקצועית של העובדים. תוכנית ההדרכה נבנית כך שתתייחס לצרכים השונים של כלל הקבוצות המקצועיות השונות בקבוצה. תוכנית זו משלבת בין קורסים פנים ארגוניים, המאורגנים ע"י מנהלי משאבי
  • 75.
    אנוש ביחידות ומחלקתהדרכה במטה הקבוצה, לבין ימי עיון והשתלמויות מקצועיות מחוץ לארגון. כחלק מהשותפות עם חברת נסטלה, הקבוצה שולחת מעת לעת, על פי הצורך, עובדים ומנהלים לכנסים מקצועיים בנסטלה להעמקת הידע והכלים בתחומים השונים. כמו כן הקבוצה שולחת עובדים ומנהלים לקורסי פיתוח ניהוליים .(Rive-Reine) במסגרת מרכז ההדרכה העולמי של נסטלה בשוויץ ו. תכניות תגמול לעובדים - הקבוצה מתגמלת את עובדיה באמצעות תוספות שכר מפעליות ובאמצעות בונוסים שנתיים הניתנים כפונקציה של הישגי העובד והקבוצה, זאת בהתאם לתכנית תגמול שנתית המאושרת מדי שנה בדירקטוריון החברה; בנוסף, חלק מהבונוסים לעובדים הבכירים צמודים לעליית ערך המניה (אופציות פאנטום). בנוסף לכך הקבוצה מתגמלת את עובדיה המצטיינים באמצעות פרס העובד המצטיין ובאמצעות פרס המייסדים הניתן לעובד המצטיין בכל אתר ומתבטא בפרס כספי. בנוסף קיימים בקבוצה מגוון תהליכים מובנים, במסגרתם עובדים זוכים בפרסי עידוד שונים, הודות ליוזמות שהם מפגינים ומציעים, המקדמות את יכולת החברה להשיג יעדים חשובים כגון התייעלות במשאבים. בהתאם לתיקון מס' 20 לחוק החברות, התשנ"ט 1999- בנושא תנאי כהונה והעסקה של נושאי משרה בחברות ציבוריות ובחברות פרטיות שהן חברות אגרות חוב , בתאריך 3 בספטמבר 2013 אישרה האסיפה הכללית את מדיניות התגמול של הקבוצה כפי שהומלצה על ידי ועדת התגמול וכפי שאושרה על ידי דירקטוריון החברה, לפרטים נוספים בנוגע לתגמול ראו תקנה 21 בחלק ד' ("פרטים נוספים אודות התאגיד"). ז. הסכמי העסקה - רוב העובדים מועסקים על-פי הסכמי עבודה קיבוציים, הדומים להסכמים הסטנדרטיים הקיימים בענף. כל העובדים זכאים להפרשות פנסיוניות - מרביתם באמצעות קרנות פנסיה והיתר באמצעות ביטוחי מנהלים או שילוב ביניהם. מבנה התגמול של חלק מהעובדים במפעלי הקבוצה ומרכזי ההפצה כולל מרכיב של שכר עידוד (פרמיות). שכר העידוד יכול שיהיה מבוסס על מדידת תפוקות, יעילות, ביצועים, איכות הביצוע ועוד. 70
  • 76.
    מבנה התגמול לנהגיםבמערך ההפצה כולל מרכיב משתנה על-פי ביצועים. המרכיב המשתנה מבוסס על תפוקת הנהג הנמדדת על- פי משקל המטען, מספר הלקוחות היומי, מרחק הנסיעה ועוד. מבנה התגמול של בעלי תפקיד במערך המכירות כולל גם מרכיב משתנה לפי ביצועים, המורכב מתמריץ בהתאם להיקף המכירות בהשוואה ליעד ומבונוס תקופתי המבוסס על יעדי מכירות, החזרות ועוד. ח. פיתוח המשאב האנושי - בנוסף להדרכות כמצוין לעיל כולל פיתוח המשאב האנושי שני נושאים עיקריים שהם ניהול הביצועים ופיתוח הקריירה וההתפתחות האישית. תהליך ניהול ביצועים שנתי מתקיים בכל הקבוצה באופן עקבי ומקיף את מרבית העובדים. במסגרת התהליך קיימת התייחסות מחד לרמת הביצוע של העובד ותרומתו להשגת יעדים עסקיים, ומאידך לרמת המיומנויות, היכולות והגישה שהוא מפגין ככלים להשגת יעדים אלה. בתהליך זה הקבוצה משלבת בין מיקוד ביעדים עסקיים ומעקב על השגתם, לבין פיתוח מתמיד של ההון האנושי של הקבוצה. במסגרת פיתוח הקריירה וההתפתחות האישית, הקבוצה מבצעת תהליכים לזיהוי יכולות העובד והפוטנציאל העתידי שלו. בדרך זו מנהלי הקבוצה מזהים את מנהלי העתיד בעלי הפוטנציאל הגבוה. כלים חשובים אלה משמשים לקבוצה לנהל את ההון האנושי בצורה מיטבית, אשר תבטיח את הרציפות הניהולית ואת שימור הטובים ביותר. ט. רווחת העובדים - במסגרת תפיסת העולם המאמינה שהקבוצה הינה "משפחה" גדולה, חזקה ותומכת בשעת הצורך, פועלת הקבוצה לתגבור וחיזוק תחושת השותפות, השייכות, הנאמנות וההזדהות לקבוצה כקבוצה אחת מאוחדת. העובדים יוצאים לסופי שבוע, מסיבות חג וציון אירועים מיוחדים על מנת להביא לגיבוש וליכוד כל העובדים במערכת. במסגרת זו מסייעת הקבוצה לעובדים במשבר הן בתחום הכלכלי והן בתחום הפסיכולוגי- חברתי. י. נושאי המשרה ועובדי ההנהלה הבכירה - עובדי ההנהלה הבכירים מועסקים על פי הסכמי התקשרות אישית אשר במסגרתם הם מבוטחים בביטוחי מנהלים ו/או ביטוחים פנסיוניים אחרים. בנוסף לכך עובדי ההנהלה הבכירה מתוגמלים, בכפוף להחלטות הדירקטוריון מעת לעת, גם באמצעות אופציות פאנטום (כמתואר לעיל) הכפופות למועדי הכשרה בהתאם לתכניות אופציות שאומצו על ידי הדירקטוריון. בקביעת תנאי העסקה שנקבעו לכל אחד מנושאי המשרה הבכירה, נלקחו, בין שאר השיקולים, רקע המנהל, ניסיונו התעסוקתי, השכלתו 71
  • 77.
    והכשרתו, לצורך קביעתתגמולו - גם תוצאות פעולות התאגיד ורווחיותו. נתונים לגבי תגמוליהם, תפקידם, השכלתם וניסיונם העסקי של מקבלי התגמולים הגבוהים מבין נושאי המשרה הבכירה בקבוצה, נכללים במסגרת תקנה 26 (א) ותקנה 21 בחלק ד' ("פרטים נוספים אודות התאגיד") לדוח תקופתי זה. 72 20 . הון חוזר א. המחזור התפעולי של הקבוצה אינו עולה על שניים עשר חודשים. עקב כך כוללים הרכוש השוטף וההתחייבויות השוטפות פריטים המיועדים והצפויים להתממש בתוך תקופת המחזור התפעולי הרגיל של הקבוצה. ב. להלן תיאור תמציתי של הרכב ההון החוזר של הקבוצה: 31.12.13 אלפי ש"ח מזומנים ושווי מזומנים 328,059 לקוחות 688,481 חייבים ויתרות חובה 27,662 מס הכנסה 5,464 מלאי 390,107 השקעות אחרות 7,067 סה"כ נכסים שוטפים 1,446,840 הלוואות ואשראי לזמן קצר מבנקים 29,212 ספקים 710,463 זכאים אחרים 223,976 מס הכנסה 9,473 סה"כ התחייבויות שוטפות 973,124 עודף הנכסים השוטפים על ההתחייבויות השוטפות 473,716
  • 78.
    73 21 .השקעות במהלך תקופת הדוח לא היו לקבוצה פעילויות השקעה מהותיות בחברות מוחזקות, שותפויות ומיזמים שאינם חברות בנות. השקעות בשותפויות ובחברות בנות כמו גם השקעות אחרות פורטו בפרק על פעילות התאגיד ותאור התפתחות עסקיו. 22 . מימון א. כללי - יחסי הנזילות הגבוהים ועודפי המזומנים של הקבוצה היוו את המימון העיקרי להמשך ההתרחבות של עסקי הקבוצה. הקבוצה פרעה את כל ההלוואות לזמן ארוך מהבנקים ונכון לתאריך המאזן לקבוצה אין הלוואות לזמן ארוך מבנקים וההלוואות לזמן קצר מבנקים מהוות 0.8% בלבד. להערכת החברה, ככלל, רמת הנזילות ורמת האיתנות הפיננסית של הקבוצה הינם מעל הממוצע הקיים בענף המזון. ב. שיעור ריבית ממוצעת ושיעור ריבית אפקטיבית - שיעור הריבית הממוצעת על הלוואות שהיו בתוקף במהלך תקופת הדוח, שאינן מיועדות לשימוש ייחודי בידי התאגיד, תוך הפרדה בין הלוואות לזמן קצר והלוואות לזמן ארוך ואבחנה בין מקורות אשראי בנקאיים ומקורות אשראי לא בנקאיים, מפורטים בבאור 15 ובבאור 18 לדוחות הכספיים הכלולים בדוח תקופתי זה. שיעור הריבית האפקטיבית הינו בקירוב לשיעור הריבית הממוצעת. ג. אשראי בנקאי ומגבלות פיננסיות - מסגרת האשראי נכון ליום 31.12.13 מסתכמת לסך של 237 מיליון ₪, מסגרת האשראי לא נוצלה במלואה. יתרת האשראי הבנקאי המנוצלת מפורטת בבאור 15 ובבאור 18 לדוחות הכספיים הכלולים בדוח תקופתי זה. יתרת מסגרת האשראי הבלתי מנוצלת עומדת על סך של 208 מיליון ₪. לקבוצה יכולת לגייס מסגרות אשראי נוספות במידה ויהיה לה צורך בכך. בגין האשראי כאמור לא נרשמו לטובת הבנקים שעבודים, ועל פי הסכמות עימם במידה והקבוצה תידרש לאשראי בנקאי נוסף, לא ירשמו לטובתם שעבודים כלשהם כל עוד תעמוד הקבוצה בהתחייבויות ובאמות מידה פיננסיות מסוימות כמפורט בבאור 21 ב. לדוחות הכספיים הכלולים בדוח תקופתי זה. לאסם – במרץ 2014 האריכה חברת מידרוג לאסם את AAA ד. דירוג אשראי של עם אופק דירוג יציב. אסם הינה החברה התעשייתית AAA דירוג האשראי של
  • 79.
    .AAA הראשונה והיחידהבישראל, שאינה חברה ממשלתית שמקבלת דירוג לקבוצה אין הלוואות מהותיות. 74 23 . מיסוי א. דיני המס החלים על חברות הקבוצה חוק עידוד התעשייה (מיסים), התשכ"ט 1969- - ראה באור 20 ב. לדוחות הכספיים הכלולים בדוח תקופתי זה. החוק לעידוד השקעות הון, תשי"ט 1959- - על פי החוק הנ"ל זכאיות חלק מחברות הקבוצה להטבות מס שונות, בתוקף המעמד של "מפעל מאושר" שניתן לחלק ממפעליה, כמשמעותו בחוק זה. ליתר פירוט ראה באור 20 א. לדוחות הכספיים הכלולים בדוח תקופתי זה, באשר לעיקר ההטבות מהן נהנית החברה על פי החוק הנ"ל - ראה סעיף ה להלן. ב. שיעורי המס החלים על ההכנסות של חברות הקבוצה ראה באור 20 ג. 1. ובאור 20 ג. 2. לדוחות הכספיים הכלולים בדוח תקופתי זה. בקביעת ההכנסה החייבת במס (IFRS) ג. אי ישום כללי חשבונאות ראה באור 20 ג. 3. לדוחות הכספיים הכלולים בדוח תקופתי זה. ד. שומות מס ראה באור 20 ו. לדוחות הכספיים הכלולים בדוח תקופתי זה. ה. הטבות עיקריות מתוקף החוק לעידוד השקעות הון במפעל בשדרות הממוקם באיזור פיתוח א קיימים מספר כתבי אישור להרחבות מפעל מאושר, חלקם במסלול מענקים וחלקם במסלול חלופי. במפעלים בקרית-גת (סלטי צבר ובונז'ור) הממוקמים באיזור פיתוח א קיימים כתבי אישור במסלול מענקים בלבד. במפעל ביוקנעם הממוקם באיזור פיתוח א קיים כתב אישור במסלול מענקים וכן מפעל מוטב בפטור ממס. במפעל בלוחמי הגיטאות ובמפעל בבית- השיטה הממוקמים באיזור פיתוח ב קיימים כתבי אישור במסלול מענקים בלבד.
  • 80.
    חלק מהמפעלים טרםהחלו לנצל הטבות מס כלשהן, ליתר פירוט ראה באור 20 א. לדוחות הכספיים הכלולים בדוח תקופתי זה. ו. שיעור המס העיקרי מול שיעור המס האפקטיבי של הקבוצה ז. שיעור המס העיקרי החל על הכנסות הקבוצה הינו 25% לעומת שיעור המס האפקטיבי בשנת 2013 המגיע לכדי 25.2% . הפער בין שיעור המס העיקרי של הקבוצה לשיעור המס האפקטיבי נובע בעיקרו כתוצאה מגידול ההתחייבות בגין מיסים נדחים בעקבות שינוי שיעור המס ל- 26.5% ב- 2014 וכן מחברות בנות בחו"ל ששיעור המס שלהן בחו"ל שונה משיעור המס בישראל ומהוצאות מימון רעיוניות בגין אופציית מכר למיעוט אשר אינם מוכרות לצרכי מס. לפרטים נוספים ראה באור 20 ז. לדוחות הכספיים המצורפים לדוח תקופתי זה. הפסדים לצורך מס שטרם נוצלו לקבוצה הפסדים לצורך מס שטרם נוצלו בסך של כ- 134 מיליון ש"ח אשר הוכרו בגינם מיסים נדחים בסך של כ- 49 מיליון ש"ח וזאת בשל רמת הוודאות שהפסדים אלו ינוצלו בעתיד. 75 ח. מיסוי חברות בנות בחו"ל לקבוצה חברות בנות הפועלות בחו"ל. המס החל על חברות אלו הינו בהתאם לשיעור המס הסטאטוטורי החל בכל מדינה ומדינה. לקבוצה מפעל הפועל בצ'כיה הנהנה ממעמד של מפעל מאושר בהתאם לחוקי העידוד בצ'כיה לרבות הטבות מס. עם המדינות העיקריות שבהם פועלות חברות הבנות של הקבוצה (ארה"ב, אנגליה, הולנד, צ'כיה ושוודיה) ועם המדינה שבה נמצאת חברת האם של הקבוצה (שוויץ) קיימות אמנות למניעת כפל מס. ט. מיזוג חברת בונז'ור ( 1986 ) בע"מ עם ולתוך חברת אסם השקעות בע"מ לפרטים אודות תנאי המיזוג ראה ביאור 20 ט. לדוחות הכספיים המאוחדים של . החברה ליום 31.12.2013
  • 81.
    76 24 .איכות הסביבה 24.1 כללי 24.1.1 פעילות הקבוצה מושפעת ממגוון היבטים סביבתיים הקשורים בעיקר בפעילות הייצור של מפעליה השונים, ובכלל כך בין היתר זיהום אויר ופליטות, שפכים וחומרים מסוכנים. 24.1.2 פעילות היצור של הקבוצה מתמקדת בתשעה אתרי יצור בישראל ובשני אתרים בחו"ל. מפעלי הקבוצה בישראל פועלים בהתאם להיתרים שונים שמוציא המשרד להגנת הסביבה ומפעלי הקבוצה הפועלים בחו"ל כפופים להוראות חוק סביבתיות מקומיות בהתאם לכללים ולחוקים של כל מדינה. למועד הדוח, מותעדים כל מפעלי הקבוצה בישראל, מפעל הקבוצה בצ'כיה והמרכז הלוגיסטי של הקבוצה בשוהם, לתקן הבינלאומי לניהול .ISO- 14001 סביבה עם מעבר הקבוצה לקריית אסם בשוהם הורחב הטיפול בנושאי איכות הסביבה גם למרלו"ג (מרכז לוגיסטי), מערך ההפצה ולמבנה ההנהלה. הרחבה זו כוללת בין היתר, בקרה על צריכת הדלקים לרכבי החברה וניתוח צריכת הדלק לטון משווק. 24.1.3 גם בשנת 2013 (בדומה לשנים קודמות) מדורגת הקבוצה בדירוג "פלטינה" של "מעלה" (דירוג החברות המובילות בניהול אחריות תאגידית), בתוך החברות המובילות את הדירוג. בנוסף, בפרסום של המשרד להגנת הסביבה את דירוג רמת הציות הסביבתית של חברות התעשייה הנסחרות בבורסה נמנית הקבוצה בין החברות המובילות בדירוג. 24.1.4 הגם שהקבוצה אינה עוסקת בייצור מוצרים המכילים חומרים רעילים או מסוכנים לסביבה, היא עושה שימוש בחומרים מסוכנים לצורך תפעול מערכות שירותי ייצור (ובכלל כך פעילות קירור, טיפול בשפכים, ניקיון וכדומה), על פי ובהתאם להיתרים שנתקבלו מהמשרד להגנת הסביבה על פי חוק.
  • 82.
    העלויות השנתיות שמשקיעההקבוצה על מנת לעמוד בהוראות איכות הסביבה החלות עליה אינן מהותיות דיין על מנת להשפיע על רווחיותה ו/או מעמדה התחרותי של הקבוצה. 24.2 מדיניות הקבוצה בקשר עם איכות הסביבה וניהול הסיכונים הסביבתיים לקבוצה מדיניות משולבת בנושאי בטיחות, איכות מוצר ואיכות הסביבה, המבוססת בין היתר על מדיניות חברת האם נסטלה תוך התאמתה לשוק ולהוראות הדין הישראלי. עקרונות המדיניות, בהתייחס לאיכות הסביבה, הינן כדלקמן: 1. עמידה בחוקי ותקנות איכות הסביבה והרגולציה שהותקנה מכוחו. 2. הכללת עקרונות של שמירה על הסביבה בפעילות הקבוצה בכל אתריה. 3. שאיפה לשיפור מתמיד במדדים פנימיים הנקבעים בקשר עם אלמנטים 77 הקשורים לאיכות הסביבה. 4. מתן הדרכה ומידע נאות לגורמים רלוונטיים (הנהלה, עובדים, רשויות). לקבוצה מערכת איכות סביבה לניתור, טיפול ומעקב אחר היבטים סביבתיים שונים הקשורים בפעילותה השוטפת. מערכת זו מנוהלת על ידי מנהל איכות סביבה קבוצתי וכן מנהלי איכות סביבה הפרוסים בכל אחד ממפעלי הקבוצה. מדיניות הקבוצה כאמור מתפרסמת באתר האינטרנט של החברה, מוטמעת בהדרכות לכל העובדים והקבלנים של הקבוצה ותלויה על גבי שילוט בכל אתרי החברה. 24.3 עמידה בדרישות על פי דין ואחרות מפעלי הקבוצה כפופים להוראות הדין השונות, הנוגעות לתחומים בהם יש או עשויה להיות לפעילותם השפעה על הסביבה, וכן בתקינה וסטנדרטיזציה וולונטרית אותה מאמצת הקבוצה, ובכלל כך: 24.3.1 רישוי - רישיון עסק, רישיון יצרן ממשרד הבריאות, מכתב תנאים לרישיון עסק ממשרד איכות הסביבה, היתר רעלים, מסמך דרישות כיבוי אש, ועוד. 24.3.2 חוקים ותקנות - חקיקה מקומית המתייחסת בין היתר לטיפול ואחסון חומרים מסוכנים, תקנות מקורות אנרגיה, חוק למניעת מפגעים, שפכים תעשייתיים, שמירת הניקיון, פינוי בוצה, ועוד.
  • 83.
    24.3.3 דרישות נסטלהלאיכות הסביבה - דרישות חברת האם נסטלה מהחברות בקבוצת נסטלה, בין היתר, בנושאים הקשורים באיכות הסביבה. 24.3.4 תקינה וולונטרית - בשנת 2007 החלה הקבוצה בתהליך הדרגתי של הבינלאומית) לתקנים הבין BV התעדת כל מפעליה (על ידי חברת OSHAS - ו ISO 14001 , לאומיים לניהול איכות הסביבה והבטיחות 18001 , באופן שלמועד הדו"ח מרביתם המוחלט של מפעלי הקבוצה .ISO 18001 והן לתקן ISO 14001 מותעדים הן לתקן 24.3.5 קביעת יעדים פנימיים בנוגע לשמירה על איכות הסביבה - מעבר למחויבות לעמידה בדרישות הוראות החוק השונות, קובעת הקבוצה לכל מפעל מגוון יעדים סביבתיים, הכוללים מחד יעדי חיסכון בניצול משאבים ומאידך יעדים לצמצום פליטות ופסולות. במסגרת זו מתייחסים היעדים הסביבתיים לאספקטים שונים של צריכת המשאבים ביחס לכמויות הייצור, ובכלל כך - חסכון במים, חסכון באנרגיה, חיסכון בחומרי גלם ואריזה, וכן ביחס להיבטים הקשורים בפליטות מהמערכות - הקטנת פסולת להטמנה, הגדלת המחזור, צמצום כמות השפכים, צמצום פליטות גזי חממה, תחמוצות ומרכיבים בעלי פוטנציאל לפגיעה באוזון. אופן עמידת מפעלי הקבוצה ביעדים אלו נבדק בתדירות חודשית. מידת העמידה ביעדים כאמור לעיל נבדקת ביחס לכל מפעל של הקבוצה בין השאר, בדרך של מילוי שאלוני הערכה עצמית (הכוללים התייחסות פרטנית לאופן עמידת המפעל בהוראות החוק, בתקני נסטלה וביעדים הפנימיים), הנבדק ומאושר על ידי מנהל איכות הסביבה הקבוצתי. בנוסף עוברים מרביתם המוחלט של מפעלי הקבוצה מבדקים חיצוניים ע"י מכון חיצוני לבקרה ואיכות, ISO- : במסגרת מבדקי ההתעדה לתקן הבין לאומי לניהול איכות הסביבה 14001 . במהלך 2013 בוצע באתרי החברה מבדק אכיפה ועמידה בחוקי הגנת הסביבה ע"י משרד עו"ד חיצוני. להערכת החברה במהלך שנת 2013 ולמועד הדוח עמדו אתרי הקבוצה בהוראות הדין הרלוונטיות להיבטי איכות סביבה, למעט מספר חריגות לא מהותיות שאותרו בהיבטים הקשורים לתחום איכות השפכים, אשר הקבוצה, בתאום עם 78
  • 84.
    המשרד לאיכות הסביבה,פועלת למועד הדוח להסדרתם. כמו כן, כתוצאה מבחינה יסודית של מערך הטיפול בשפכים, בשנת 2013 בוצע מחקר ותכנון לצורך שדרוג במתקני השפכים במספר מפעלים, תחילת ביצוע השדרוג מתוכנן לשנת 2014 . במהלך שנת 2013 חלק מאתרי הקבוצה עמדו ביעדים הפנימיים שנקבעו (המחמירים יותר מדרישות החוק) באופן מלא וחלק מהאתרים עמדו ביעדים אלו באופן חלקי. הקבוצה השיגה תוצאות טובות יותר מיעדי החיסכון . באנרגיה, מים ומיחזור שהציבה לעצמה לשנת 2013 79 24.4 סיכונים סביבתיים עיקריים באתרי הקבוצה מבוצע, אחת לתקופה, סקר סיכונים וניתוח של ההיבטים וההשפעות בתחום איכות הסביבה, אשר בהתאם לתוצאותיו נקבעת התוכנית הסביבתית של הקבוצה. להלן יפורטו ההיבטים והסיכונים הסביבתיים העיקריים המשפיעים על פעילות הקבוצה, והטיפול אשר יושם על ידה בשנת 2013 ולמועד הדוח התקופתי: 24.4.1 שפכים: במפעלי הקבוצה נעשה שימוש בכמויות של מים וחומרי ניקוי היוצרים שפכים, המכילים חומר אורגאני ושמנים ועלולים להגביר בין היתר את ריכוז המזהמים, לגרום למטרדי ריח ומטרדים תברואתיים. בכל המפעלים קיימים מתקני טיפול בשפכים או הסדר לטיפול בשפכים על ידי גורם חיצוני, על מנת להתאימם לדרישות החוק לפני חיבורם לרשת הציבורית. יצוין כי ברוב מפעלי הקבוצה שבהם נעשה בעבר שימוש בסודה קאוסטית לצורך טיפול בשפכים, הוסב הטיפול לפוטש, שבניגוד לסודה אינו מכיל כלורידים ונתרן, למרות מחירו היקר ביחס לסודה הקאוסטית. בהסבה זו הושגה הקטנה משמעותית של ריכוז הנתרן בשפכים ועל ידי כך התאמתם להשקיה. כמו כן בחלק מאתרי הקבוצה מותקנים מתקני אוסמוזה הפוכה שהחליפו את השימוש במרככי מים והקטינו את כמות התמלחות. כל אחד ממפעלי הקבוצה מבצע בדיקה תקופתית של נתוני השפכים ביציאה לרשת הציבורית לצורך בדיקת עמידתו בדרישות החוק. במסגרת זו, בוצעו במהלך 2013 מספר רב של "בדיקות שפכים מורכבות" במפעלי הקבוצה וכן בוצעו בדיקות נוספות על פי דרישות
  • 85.
    הרשויות. בתוצאות הבדיקותכאמור עלה כי בכל מקרה לא נמצאו בהרכב השפכים חומרים רעילים או מתכות כבדות. מספר חריגות מול מכתב התנאים של המשרד להגנת הסביבה שאותרו במהלך שנת 2013 מנוטרות ומטופלות ע"י החברה וכתוצאה הוחלט לבצע שדרוג של חלק ממתקני השפכים במפעלים. להלן פרטים תמציתיים אודות פעולות בהן נוקטת הקבוצה לצמצום בעיית השפכים, בחלוקה לפי מפעלי הקבוצה השונים: המפעל של טבעול בקיבוץ לוחמי הגטאות – המפעל עושה שימוש במתקן לטיפול בשפכים משותף בניהול חיצוני בשיטה אנאירובית. המתקן מפחית באופן משמעותי את העומס האורגני ובנוסף המוצקים בשפכים מפורקים לביו- גז המשמש כדלק במפעל, כתחליף לדלק פוסילי אחר. מי השפכים מופנים לאחר הטיפול להשקיה. לעיתים קיימות חריגות בריכוזי הנתרן שלמיטב ידיעת הקבוצה אינן נובעות מפעילות שמקורה במפעל טבעול. מפעל בית השיטה – במפעל קיימת מערכת מקיפה להפרדת זרמי השפכים לצורך טיפול נפרד בזרם התעשייתי ובזרם המלוח. כמו כן במהלך השנים .PH הותקנה מערכת להפרדת שומנים וניטור ונטרול 2012 ו- 2013 בוצעו שיפורים משמעותיים בהפרדת הזרמים. ב 2013- וכן (COD) אותרו מספר מועט של חריגות ברמת החומר האורגני בריכוז הנתרן בזרם התעשייתי. למועד הדוח פועלת הקבוצה, בתיאום עם המשרד להגנת הסביבה, להקטנת פליטות אלו באמצעות שיפור איכות השפכים במקור וב- 2014 מתוכננות פעולות לביצוע שיפורים נוספים של מערך השפכים במתקן. מפעל יוקנעם – במפעל קיים מתקן פיזיקו כימי לטיפול בשפכים. ובריכוז הנתרן. למועד (COD) קיימת חריגה ברמת החומר האורגני הדוח פועלת הקבוצה, להקטנת פליטות אלו באמצעות שיפור איכות השפכים במקור וכן באמצעות שדרוג המתקן. מפעל מטרנה – השפכים התעשייתיים של המפעל מופנים לטיפול במתקן אנאירובי חיצוני המייצר ביו-גז המשמש לייצור אנרגיה חשמלית. במהלך שנת 2013 לא נמצאו במפעל חריגות בהיבט זה. 80
  • 86.
    מפעל חולון –במפעל קיים מתקן לטיפול בשפכים. בשנת 2012 התקבל אישור מתאגיד השפכים להזרמה חריגה בהתאם לתקנות תאגידי המים והשפכים. מפעל הגלידות באזור התעשייה של באר טוביה – המפעל עושה שימוש במתקן לטיפול בשפכים משותף בניהול חיצוני. קיימת חריגה ברמת ריכוז הנתרן, שלהערכת הקבוצה אינה נובעת מפעילות שמקורה במפעל הגלידות. יחד עם זאת, למועד הדוח הקבוצה פועלת בתיאום עם המשרד להגנת הסביבה וכן בתיאום עם החברה החיצונית המנהלת את המתקן להקטנת פליטות נתרן באמצעות החלפת חומרי ניקיון לשיפור איכות השפכים של מפעל הגלידות. במהלך 2012 סוכם עם המשרד להגנת הסביבה פתרון לשדרוג מתקן השפכים שיבוצע ע"י החברה שמנהלת את המיתקן, למועד הדוח השדרוג נמצא בשלבי ביצוע. מפעל סלטי צבר בקרית גת- במפעל קיים מערך הפרדת זרמים ומתקן במהלך שנת 2013 בוצעו פעולות לשיפור .DAF טיפול בשפכים מסוג מתקן השפכים והוחלפו כימיקלים לצורך הקטנת הפליטות. נכון לשנת 2013 לא נמצאו חריגות ברמת החומר האורגני בשפכים. מפעל בונז'ור בקרית- גת – במפעל קיים מתקן לטיפול בשפכים. במהלך (COD- שנת 2013 אותרו חריגות קלות בערכי החומר האורגני (ה בשפכים. למועד הדוח פועלת הקבוצה, להקטנת פליטות אלו באמצעות שיפור איכות השפכים במקור. מפעל שדרות- במפעל קיים מתקן פיזיקו כימי לטיפול בשפכים. קיימת החברה פועלת, בתיאום עם .(COD - חריגה ברמת החומר האורגני (ה המשרד להגנת הסביבה, להקטנת פליטות אלו באמצעות החלפת כימיקלים במתקן, הפרדת זרם מלוח, שיפור איכות השפכים במקור וכן באמצעות ביצוע התאמות למתקן. בנוסף, הוזמנה חברת הנדסה לתכנון ושדרוג מתקן השפכים בהתאם לצורך, תחילת ביצוע השדרוג מתוכנן . לשנת 2014 המפעל של טבעול בצ'כיה- במפעל קיים מתקן לטיפול בשפכים. לא אותרו חריגות בתחום איכות הסביבה. בטונטון, מסצ'וסטס (ארה"ב)- במפעל קיים Tribe מפעל הסלטים של . מתקן טיפול בשפכים וכן בוצעו ניטורי שפכים במהלך שנת 2013 קיימות מספר חריגות ברמת החומר האורגני. למועד הדוח פועלת 81
  • 87.
    הקבוצה, בתיאום עםהרשויות הרלוונטיות, להקטנת פליטות אלו באמצעות שיפור איכות השפכים במקור וכן באמצעות שיפור והתאמות למתקן באמצעות חברת הנדסה שהוזמנה לתכנון ושדרוג המתקן לפי . הצורך. תחילת ביצוע השדרוג מתוכנן לשנת 2014 82 24.4.2 זיהום אוויר: הקבוצה צורכת אנרגיה ישירה כחלק מפעילות הייצור (בדרך של שריפת דלקים בדודי קיטור ותנורים), וצורכת אנרגיה עקיפה במסגרת פעילותה השוטפת (שימוש בחשמל, שימוש בדלקים לרכבי הפצה של מוצרי הקבוצה) וכן משתמשת בנוזלי קירור מסוג פריאונים ישנים בחלק מאתריה. שימושים אלו עלולים לגרום לזיהום אויר ולפגיעה בשכבת האוזון. הקבוצה נמצאת בתהליך להחלפת גזי הקירור הפריאונים לגזי קירור "ירוקים". כמו כן במסגרת פעולות הננקטות על ידי הקבוצה בהקשר זה הוחלפו חלק ממערכות כיבוי האש האוטומטיות למערכות עם גז "ירוק". במהלך השנים האחרונות הסבה הקבוצה את כל מפעליה לשימוש בגז בשריפה ישירה בתנורים כחלק מפעילות הייצור, פעולה אשר מקטינה את זיהום האוויר. דודי הקיטור של מרבית מפעלי הקבוצה פועלים באמצעות גז אשר מבטיח פליטות נמוכות של מזהמים. יתר דודי הקיטור פועלים באמצעות מזוט דל גופרית המבטיח עמידה בדרישות האמנה לנושא זיהום אוויר שבין המשרד להגנת הסביבה והתאחדות התעשיינים, למעט מפעל אחד שעדיין פועל במזוט קל ובו משתמשים בתוספים משפרי בעירה על מנת להקטין את הפליטות. עם הורדת אחוז הגופרית במזוט הקל, המסופק ע"י בתי הזיקוק, עומד גם מפעל זה בדרישות החוק לפליטות. על פי דרישות המשרד להגנת הסביבה נערכות במפעלים בדיקות של הפליטות לאוויר, הן של הדוודים והן של מתקני ייצור. בכל הבדיקות שבוצעו בשנת 2013 התקבלו תוצאות תקינות, למעט במפעל אחד בו פועלת הקבוצה, בתיאום עם המשרד להגנת הסביבה, להסדרת החריגה. הקבוצה החלה בפעילות להסבת מפעל צבר לשימוש בגז טבעי כמפעל פיילוט. צפי להסבת המפעל עד אוגוסט 2014 ובהתאם להצלחת ההסבה
  • 88.
    יוסבו מפעלים נוספיםבקבוצה. מידע זה הינו בבחינת מידע צופה פני עתיד. המידע עשוי שלא להתממש במידה והקבוצה תמצא כי אין כדאיות בביצוע המהלכים כאמור. בשנת 2013 הצטרפה החברה למערך הדיווח הוולונטרי של פליטות גזי חממה של המשרד להגנת הסביבה. 83 24.4.3 חומרים מסוכנים: דליפה של חומרים מסוכנים כתוצאה מאחסון לקוי עלולה להוביל לזיהום קרקע, לזיהום מי תהום ואף לפגיעה בעקיפין בחיי אדם. מפעלי הקבוצה עושים שימוש ומחזיקים חומרים מסוכנים בכמויות קטנות, הנדרשות לתהליכי הניקוי והטיפול בשפכים. בנוסף, בחלק מאתרי הקבוצה (העוסקים בייצור ו/או אחסון של מוצרים קפואים ו/או , מצוננים) קיימים מתקני קירור המופעלים באמוניה. במהלך שנת 2011 הותאמו אתרים המבצעים שימוש באמוניה לדרישות המיגון של פיקוד העורף ובמהלך שנת 2012 החל מהלך להתאמת מתקני האמוניה לתקן רעידות אדמה. שלב ראשון של תכניות ההתאמה, (סקר מרחקי הפרדה), הועבר לבדיקת המשרד להגנת הסביבה. החברה תפעל לביצוע ההתאמות הנדרשות לכשתקבל את האישורים הנדרשים. לכל המפעלים היתרי רעלים עבור כל החומרים הנדרשים על פי החוק ובכל אתר מונה אחראי רעלים שעבר הדרכות מתאימות המאושרות על ידי המשרד להגנת הסביבה. כמויות קטנות של פסולת חומרים מסוכנים מפונות כחוק לאתרי הטמנה מורשים. 24.4.4 משאבי טבע: בזבוז משאבי טבע (צריכת יתר של אנרגיה ומים) עשויה להביא לפליטת יתר של גזי חממה וכן לפגיעה במאזן המים והמלחה של מקורות המים בישראל. להלן פרטים אודות פעולות בהן נוקטת הקבוצה לצמצום השימוש במשאבים אלו: חסכון במים - אחד מיעדי הקבוצה הפנימיים המרכזיים הינו חסכון בצריכת מים במפעליה. בשנת 2013 חלה ירידה של כ 6.9%- בצריכת המים לטון יצור בהשוואה לנתוני שנת 2012 (נחסכו 48,650 מטר קוב מים), בעיקר כתוצאה מפרויקטי חיסכון.
  • 89.
    חסכון באנרגיה -אחד מיעדי הקבוצה הפנימיים המרכזיים הינו חסכון בצריכת אנרגיה במפעליה. מקור האנרגיה העיקרי של הקבוצה הוא חשמל המסופק על-ידי חברת החשמל. . צריכת האנרגיה לטון ייצור ,( GJ 33,600 - בשנת 2013 ירדה בהשוואה לנתוני שנת 2012 בכ 5.4%- , (כ בעיקר כתוצאה מפרויקטי חיסכון. צריכת חומרים - מערכת איסוף הנתונים עוקבת ברמה חודשית גם אחרי צריכת חומרי גלם ואריזות בהשוואה להיקף הייצור. צריכה חריגה מנוטרת ונחקרת לסיבתה ועל פי הצורך נערכת פעילות מתקנת. 84 24.4.5 טיפול בפסולת: כל אתרי הקבוצה מאורגנים להפרדת פסולות לסוגיהן מתוך מגמה להגדיל את החומרים המופנים למחזור (לרבות קרטונים, נייר משרדים, יריעות ומיכלי פלסטיק, חביות, משטחים, פסולת מוצרים למזון בע"ח, חרצני זיתים ואף ציוד אלקטרוני) או שימוש חוזר (כולל הפניה למזון בעלי חיים) וצמצום הפניה להטמנה. בשנת 2013 הקבוצה הגיעה למחזור של כ 65%- מכלל הפסולת המפונה מהאתרים. נחסכו עלויות הטמנה בסכום של כ- 1.7 מליון ₪ ובנוסף התקבלו כ 2.9- מליון ₪ מגורמים חיצוניים הממחזרים את הפסולת. הציוד האלקטרוני מופנה לחברת "אקולוגיה לקהילה המוגנת" וזאת Creating Shared : במסגרת המגמה ליצור ערך מוסף לקהילה .Value כמו כן, לצורך ביצוע הוראות "חוק האריזות" התקשרה הקבוצה עם תאגיד מחזור המוכר על פי חוק האריזות (תאגיד מחזור יצרנים בישראל), בהסכם למימוש הוראות החוק. בנוסף, לאור פעילות יבוא על ידי הקבוצה, חלות על פעילות זו (Nestea – ושיווק משקאות (תה קר הוראות חוק הפיקדון על מכלי משקה, תשנ"ט 1999 . לצורך ביצוע הוראות החוק התקשרה אסם עם תאגיד המספק שירותי איסוף מכלי משקה, מיחזורם, ודיווח למשרד להגנת הסביבה, בהסכם למימוש הוראות החוק. להערכת החברה אין בחריגות ובאירועים הסביבתיים שצוינו בסעיף זה חשיפה מהותית לחברה (כגון, עלויות מהותיות לחברה בגין תיקון החריגות, מעמדה
  • 90.
    התחרותי של החברהוכד'). במקרים שבהם מאותרות חריגות, החברה פועלת באופן שוטף לתיקון המצב ולעמידה בדרישות החוק. הפעולות שתוארו בפרק זה לעיל המתוכננות לשנת 2014 הינם בבחינת מידע צופה פני עתיד שקיימת בו חוסר וודאות מכיוון שהוא מתבסס על תחזיות ותכניות העבודה של הקבוצה נכון למועד הדו"ח התקופתי. המידע עשוי שלא להתממש כתוצאה מעיכובים, שינויים ותיעדופים של תכניות העבודה, ו/או כתוצאה משינויים רגולטורים ו/או דרישות המשרד להגנת הסביבה. 25 . מגבלות ופיקוח על פעילות התאגיד רישיונות, היתרים ותקנים לפעילות התאגיד לאתרי הקבוצה השונים בישראל רישיונות עסק, שניתנו בהתאם לחוק רישוי עסקים תשכ"ח - 1968 ותקנותיו הרלוונטיות. למפעלי הקבוצה רישיונות יצרן, לפי , צו הפיקוח על מצרכים ושירותים (הסחר במזון, יצורו ואחסנתו), תשכ"א - 1960 היתרי רעלים בהתאם לחוק חומרים מסוכנים, התשנ"ג 1993- , היתרי בנייה לפי חוק התכנון והבנייה, התשכ"ה - 1965 ואישורי שירותי כבאות והצלה לפי חוק רישוי עסקים תשכ"ח - 1968 ותקנותיו הרלוונטיות, הניתנים על ידי הרשויות הרלוונטיות. במדינות בהן פועלת הקבוצה מחוץ לישראל נדרשים רישיונות והיתרים בהתאם לחקיקה בכל מדינה. ISO- ,OHSAS-18001 ,14001 -ISO : רוב מפעלי הקבוצה מוסמכים בתקנים 22000 . בנוסף, מפעלי הקבוצה כפופים לסטנדרטים מחמירים שמעמידה בפניהם נסטלה, בתחומי בטיחות ובריאות בתעסוקה, איכות הסביבה ובטיחות מוצר. הקבוצה פועלת בהתאם לרישיונות והאישורים הנ"ל ובמקרים של סטיות פועלת לתיקונן בשיתוף עם הרשויות. במקרה של פקיעה פועלת הקבוצה בתיאום עם הרשויות הרלוונטיות, לחידוש או לקבלת הארכה לאותם רישיונות שפקעו. חקיקה בענף המזון וחקיקה צרכנית בדומה לחברות מזון אחרות, חלים בקשר עם מוצרי הקבוצה דינים והוראות שונים הכוללים בין השאר את פקודת בריאות הציבור (מזון) (נוסח חדש) תשמ"ג - 1983 והתקנות והצווים הרלוונטיים שהותקנו מכוחה, המקנה סמכויות לנקוט אמצעים למניעת סכנה לבריאות הציבור מיבוא, הכנה, אחסנה והפצה של מזון ולרבות הוראות משרד הבריאות לעניין פיקוח וטרינר עירוני בקשר לשיווק מוצרי בשר; חוק 85
  • 91.
    הגנת הצרכן תשמ"א- 1981 הקובע שורה של חובות ואיסורים שמטרתם, בין היתר, למנוע הטעיית הצרכן; חוק הפיקוח על מצרכים ושירותים תשי"ח - 1957 שמכוחו הוצאו תקנות וצווים לעניין איכות המזון, הסחר בו, יצורו ואחסנתו; חוק התקנים תשי"ג - 1953 שמכוחו נקבעו תקנים בנוגע לתהליכי יצור, תפעול, סימון, אריזה וכדומה; וחוק האחריות למוצרים פגומים תש"ם - 1980 הקובע את אחריות היצרן כלפי מי שנגרם לו נזק כתוצאה מפגם במוצר. לקבוצה ביטוח צד שלישי וביטוח חבות המוצר. על פעילות הקבוצה בחו"ל חלים הדינים וההוראות השונות, התקפים בכל מדינה ומדינה ואשר מטרתם להסדיר נושאים דומים לאלו המוסדרים בישראל. ביום 19 בינואר 2011 אישרה הכנסת את החוק להסדרת הטיפול באריזות ("חוק האריזות"), על פיו תוטל על יצרנים ויבואנים בישראל אחריות ישירה לאסוף ולמחזר את פסולת האריזה של מוצריהם. לצורך ביצוע הוראות חוק האריזות התקשרה אסם עם תאגיד מחזור המוכר על פי חוק האריזות, בהסכם למימוש הוראות החוק. על ידי הקבוצה, חלות על (Nestea – לאור פעילות יבוא ושיווק משקאות (תה קר פעילות זו הוראות חוק הפיקדון על מכלי משקה, תשנ"ט 1999 . לצורך ביצוע הוראות החוק התקשרה אסם עם תאגיד המספק שירותי איסוף מכלי משקה, מיחזורם, ודיווח למשרד להגנת הסביבה, בהסכם למימוש הוראות החוק. בנובמבר 2012 פורסם תזכיר חוק לקידום התחרות בענף המזון העוסק, בין היתר, בהסדרת פעילות ספקים וקמעונאים ובתחרות גיאוגרפית בין קמעונאים. לפרטים נוספים ראה פרק 6.4 לעיל. הגבלים עסקיים ופיקוח על מחירים כמו כל החברות הפועלות בישראל, כך גם הקבוצה כפופה לדיני ההגבלים העסקיים הקובעים, בין היתר, הוראות למניעת פגיעה בתחרות. החברה הינה מונופולין מוכרז במוצרי פסטה יבשים. ביום 7 באוקטובר 2005 נתנה אסם את הסכמתה לנוסח צו מוסכם עם הממונה על ההגבלים העסקיים בעניין הסדרי הסחר שבין ספקים ורשתות קמעונאיות בנוגע לכללי ההתנהגות שביניהם. כללי ההתנהגות מתייחסים להתערבות ספקים בקביעת זהות, מספר והיקף נוכחות מתחריהם ברשת שיווק, רכישת שטח תצוגה, ניהול קטגוריה, סדרנות, בונוסים והטבות עבור השגת יעדי מכירות, הסדרים לקביעת נתחי שוק, מבצעים בלעדיים והכתבת מחיר בידי ספק. נוסח הצו אושר על ידי בית 86
  • 92.
    הדין להגבלים עסקייםביום 2.8.06 . פרק ה' לצו המוסכם שעניינו סדרנות קיבל . תוקף לתקופה מוגבלת ופקע בפברואר 2012 ביום 31 באוקטובר 2013 , הממונה על ההגבלים העסקיים פרסם טיוטת גילוי דעת להערות הציבור שעניינו איסור גביית מחירים מופרזים על ידי בעל מונופולין. בטיוטת גילוי הדעת, הממונה קובע כי הוראת סעיף 29 א(ב)( 1) האוסרת על קביעה של רמת מחירי קניה או מכירה בלתי הוגנים הנה גם בהקשר של תמחור יתר של המוצר, ולא רק בהקשר של תמחור נמוך בלתי הוגן (טורפני), כפי שמקובל היה לפרש את הוראת הדין. לשיטת הממונה, מחיר מופרז הינו מחיר העולה על המחיר שהיה נגבה בתנאי תחרות, בהתאם למבחנים שמאמץ הממונה בטיוטת גילוי הדעת. הממונה הצהיר בטיוטת גילוי הדעת כי הוא לא יפעיל סמכויות אכיפה פליליות כנגד גביית מחיר מופרז וכי אמצעי האכיפה בו ינקוט יהיה הטלת עיצום כספי על בעל המונופולין. ביום 26 בינואר 2014 הוגש לאישור בית הדין להגבלים עסקיים צו מוסכם בהתאם להוראות סעיף 50 ב' לחוק ההגבלים העסקיים, התשמ״ח- 1988 , עליו חתמו מטרנה וספקיות תחליפי מזון לתינוקות (להלן: "תמ"ל") אחרות. תחום תחליפי המזון לתינוקות מתאפיין, בין השאר, בהשתתפות במכרזים להזנה במחלקות יולדות של בתי חולים. הצו המוסכם קובע שורת תנאים בכל הנוגע לאספקת תמ"ל לבתי החולים ולתשלום עבור הזכות לספק תמ"ל לבית החולים. ביום 20 בפברואר 2014 התקבל אישור בית הדין להגבלים עסקיים לצו המוסכם. בשלב זה הקבוצה איננה יכולה להעריך כיצד ישפיעו הוראות הצו על התחרותיות בשוק ועל תוצאות פעילות החברה. כשרות מוצרי הקבוצה המיוצרים והמשווקים בישראל, והמיוצאים לחו"ל, הינם בהשגחת הרבנויות המקומיות הרלבנטיות ובאישור הרבנות הראשית לישראל. כדי להיענות לצרכי העם בישראל ובתפוצות, לרוב מוצרי הקבוצה כשרויות מהודרות מגופי הכשרות המובילים בארץ ובחו"ל. ספק מוכר למשרד הביטחון החברה וחלק מחברות הבנות שלה בישראל הינן ספק מוכר למשרד הביטחון. 87
  • 93.
    88 26 .הסכמים מהותיים 26.1 רכישת מלוא הבעלות בטבעול – בשנת 2012 בוצע התשלום האחרון בגין רכישת מלוא הבעלות בטבעול, ליתר פירוט ראה סעיף 1.7 לעיל. 26.2 אופציה לרכישת מלוא הבעלות במטרנה- במסגרת העסקה לרכישת 51% מפעילות מטרנה, רכשה אסם ממעבדות מטרנה 51% מהרכוש הקבוע, ההון החוזר, המוניטין והפעילות ואילו נסטלה, רכשה 51% מהמותגים והידע. להגיע CALL במסגרת העסקה לכל אחת מאסם ונסטלה ניתנה אופציית להחזקה מלאה של 100% ולרכוש ממעבדות מטרנה את יתרת ה- 49% בתום השנה העשירית לעסקה (לפי מכפיל 21 ) או תום השנה השניים עשר לעסקה .( (לפי מכפיל 18 ) או בתום השנה החמש עשרה לעסקה (לפי מכפיל 16 למכור לאסם ולנסטלה את יתרת PUT – למעבדות מטרנה ניתנה אופציית ה ה – 49% מתום השנה הרביעית לעסקה ועד תום השנה השמינית לעסקה וכן בתום השנה הארבע עשרה לעסקה והכל לפי מכפיל 16 . מימוש האופציה לרכישת ה – 49% יתבצע לפי המכפיל המוגדר לכל שנה שבה ניתן לממש את האופציה מוכפל ברווח הנקי של השנה שקדמה למימוש האופציה ובהתאמות מסוימות כמוגדר בהסכם, כאשר אסם משלמת 61% תמורת ה- 49% מהרכוש הקבוע, ההון החוזר, המוניטין ופעילות השותפות ואילו נסטלה משלמת 39% עבור 49% של הידע והמותגים. בנוסף לכך זכאית מעבדות מטרנה לתזרימי מזומנים שוטפים הצפויים להיות משולמים לה עד יום המימוש בגין היותה שותפה. לפרטים נוספים ראה באור 19 לדוחות הכספיים הנכללים בדוח תקופתי זה. 26.3 הסכמי הפצה – לקבוצה הסכמי הפצה לפיהם מפיצה הקבוצה גם מוצרים של יצרנים אחרים. הסכמי ההפצה העיקריים הם עם "תפוגן", "מילוטל", "דורות", "עוף טוב" ו"לנדוור". תנאי ההתקשרות העיקריים בהסכמי ההפצה קובעים, בין היתר, פרטים אודות מתכונת ההפצה של המוצרים השונים באופן שהחברה רוכשת את המוצרים ומוכרת אותם ברווח גולמי שנע בין 9%-20% (מדובר במוצרים בעלי נפח שונה וטמפרטורת הפצה שונה- קפוא, מצונן וטמפרטורת החדר), יתרת תקופת ההתקשרות (המשתנה מהסכם להסכם), לתקופות שונות - חלקן בלתי קצובות בזמן - באופן שחלקם כוללים הוראות לאפשרות הארכה, וכן הוראות בדבר אפשרות לביטול בהודעה מוקדמת (ברוב המקרים, בין 6-12 חודשים).
  • 94.
    26.4 הסכם שיעבודשלילי עם הבנקים - לקבוצה הסכם שיעבוד שלילי עם הבנקים לפיו במידה ויקבלו חברות הקבוצה אשראי בנקאי, לא ירשמו כל שעבודים לטובת הבנקים, כל עוד תעמוד הקבוצה בהתחייבויות מסוימות ובאמות מידה פיננסיות כמפורט בבאור 21 ב. לדוחות הכספיים הכלולים בדוח תקופתי זה. 26.5 הסכמים עם נסטלה, בעלת שליטה – לקבוצה מספר הסכמים עם נסטלה, בין היתר בקשר עם העמדת ידע וקניין רוחני, ובקשר עם מכירת מוצרי נסטלה בישראל. תיאור תמציתי של ההסכמים בין התאגיד לבין נסטלה מפורטים בתקנה 22 לפרק "הפרטים הנוספים על התאגיד" הנכלל בדוח תקופתי זה. 89 27 . הסכמי שיתוף פעולה לקבוצה הסכמים לשיתוף פעולה אסטרטגי עם חברת האם נסטלה, שהיא חברה רב לאומית הפועלת בעשרות מדינות ומפעילה מאות מפעלים ברחבי העולם ונחשבת לקונצרן המזון הגדול ביותר בעולם. שיתוף הפעולה האסטרטגי עם נסטלה הינו כמפורט בתקנה 22 לפרק "הפרטים הנוספים על התאגיד" הנכלל בדוח תקופתי זה. 28 . הליכים משפטיים מרבית ההליכים המשפטיים שהתאגיד הוא צד להם הינם הליכים שגרתיים במהלך העסקים הרגיל של הקבוצה. מול הקבוצה עומדות מספר תביעות ייצוגיות או בקשות לאישור תביעות ייצוגיות שלהערכת החברה ובהסתמך על חוות דעת של יועציה המשפטיים, סיכוייהן קלוש או שהחברות ידרשו לשאת במשאבים כלכליים זניחים. ראה ביאור 21 א. 9. לדוח הכספי.
  • 95.
    90 29 .יעדים ואסטרטגיה עסקית האסטרטגיה של הקבוצה מבוססת על אסטרטגיה של צמיחה שמטרתה להציע לצרכן את מגוון מוצרי המזון האיכותי ביותר תוך כדי חיזוק מעמדה של הקבוצה כחברה מובילה בשוק המזון בישראל. השגת היעדים תתבצע באמצעות חיזוק המותגים של הקבוצה, הגדלת נתחי שוק והגדלת מכירות על ידי השקת מוצרים חדשים וכניסה לתחומים חדשים בענף המזון במטרה להגדיל את הרווחיות ושיפור (ROIC) הגדלת שיעור התשואה על ההון המושקע ,(EBIT) התפעולית של הקבוצה. כל זאת במקביל לתהליכי התייעלות בהם נוקטת (EP) הרווח הכלכלי Lean & High ) הקבוצה המבוססים על מתודולוגיות ההתייעלות של נסטלה Nestle ) NCE- וזאת במסגרת פרויקט ה (Performing Organization כמו כן הקבוצה מקצה את משאביה התפעוליים .(Continuous Excellence והשיווקיים למוצרים השונים במסגרת תהליך של אופטימיזציה המבוססת על .Portfolio Management- אסטרטגיית ה אסטרטגית הצמיחה של הקבוצה מבוססת על ארבעה מנועי צמיחה עיקריים: המבוססת על חדשנות והשקת מוצרים (RIG) 1. צמיחה פנימית של המכירות חדשים, בניה וחיזוק של המותגים הקיימים וניצול הצמיחה בענף ובמשק. 2. שיתוף פעולה אסטרטגי עם נסטלה המאפשר לקבוצה לבחון כניסה לתחומי פעילות נוספים בענף המזון, בעיקר בתחומים שבהם נסטלה פועלת ויכולה להעניק לקבוצה ערך מוסף של ידע, טכנולוגיה ומותגים, (וזאת בנוסף לתחומים שהקבוצה כבר נכנסה אליהם באמצעות נסטלה כמו קפה, גלידות, דגני בוקר, ומזון לתינוקות). Nestea שוקולד, מזון לחיות מחמד, משקאות קלים 3. מדיניות של מיזוגים ורכישות של חברות בתחום המזון בארץ ובחו"ל אשר אסטרטגית ימצאו מתאימות לקבוצה ויהיו בעלות ערך סינרגטי לפעילות הקבוצה. 4. צמיחה והתרחבות באירופה ובארה"ב בפעילות הבינלאומית בתחומים בהם יש לקבוצה יתרון יחסי וזאת תוך כדי שיתוף פעולה עם נסטלה. המידע בפרק זה הינו בבחינת מידע צופה פני עתיד ומתבסס על תחזיות תכניות העבודה של הקבוצה. המידע עשוי שלא להתממש במידה והקבוצה תמצא כי אין כדאיות בביצוע המהלכים כאמור כתוצאה משינויים אקסוגניים ו/או אנדוגניים.
  • 96.
    91 30 .צפי להתפתחות בשנה בקרובה להערכת החברה, השנה הקרובה תושפע מהאטה כלכלית בעולם ובישראל. על רקע ההאטה כאמור, מתכוונת הקבוצה להביא לידי ביטוי במהלך השנה הקרובה את עוצמת הנזילות ועוצמת האיתנות הפיננסית של הקבוצה בהיותה החברה כמו כן .AAA התעשייתית היחידה בישראל (שאינה חברה ממשלתית) שמדורגת מתכוונת הקבוצה להביא לידי ביטוי את הסינרגיות ותהליכי ההתייעלויות הפנימיים בקבוצה ואת אלו הנובעות מהחיבור עם נסטלה – חברת המזון הגדולה בעולם. להערכת החברה, הסינרגיות יבואו לידי ביטוי בין היתר כתוצאה משימוש בידע ובטכנולוגיה של נסטלה וכן מתהליכי התייעלות אחרים. בנוסף לכך מתכוונת הקבוצה בשנה הקרובה להרחיב את פעילותה בחו"ל (ארה"ב ואירופה) בין השאר באמצעות מינוף הרכישות שנעשו בחו"ל בשנים האחרונות ושינוי מבנה שבמסגרתו הוקמה חטיבה שתתמחה בפעילות בחו"ל ותאפשר מיקוד ניהולי בפעילות זו. כמו כן בכוונת הקבוצה להתרחב בישראל בין השאר גם באמצעות חדשנות של מוצרים. המידע בפרק זה הינו בבחינת מידע צופה פני עתיד שקיימת בו חוסר וודאות מכיוון שהוא מתבסס על תחזיות ותכניות העבודה של הקבוצה נכון למועד הדו"ח התקופתי. המידע עשוי שלא להתממש במידה והקבוצה תמצא כי אין כדאיות בביצוע המהלכים כאמור ו/או כתוצאה משינויים בתנאי השוק ( לרבות שינויים במגמות המאקרו כלכליות בישראל ובעולם, שינויים בתנאי התחרות בשוק ושינויים בשווקים עצמם) ו/או כתוצאה משינויים רגולטורים ו/או כתוצאה מגורמי סיכון אחרים החלים על פעילות הקבוצה. 31 . מידע כספי לגבי מגזרים גיאוגרפיים 31.1 איזורים גיאוגרפיים – כללי - המגזרים הגיאוגרפיים של הקבוצה כוללים את המכירות לשוק המקומי וכן את המכירות לשווקים בחו"ל, כאשר קיימת מגמה של מעבר מיצוא לפעילות בינלאומית הכוללת גם יצור בחו"ל, בקטגוריות בהן יש לקבוצה יתרון יחסי. מפת התחרות ונתחי השוק הרלוונטיים לשוק המקומי מפורטים בחלק השלישי הדן בתיאור עסקי התאגיד לפי תחומי פעילות. המכירות לחו"ל מבוססות בעיקרן על פעילות באירופה ובארה"ב.
  • 97.
    31.2 אירופה -היצוא לאירופה נעשה בין היתר לשוק היהודי הכשר וכן לרשתות המזון באירופה. ההפצה באירופה נעשית באמצעות מפיצים עצמאיים וכן המשמשת כחברת הפצה של U.K. באמצעות חברת הבת של הקבוצה, אסם חתמה על הסכם עם נסטלה אנגליה לפיו תפיץ U.K. הקבוצה באנגליה. אסם מוצרי נסטלה שונים בשוק האתני באנגליה בעיקר תחת מותגים U.K. אסם "Polish - ו , "Rowntrees Cocoa" ,"Maggi" , "Nido" ,"Caro" ,"Milo" כגון את הפעילות של חברת "ירדן" U.K. בשנת 2009 רכשה אסם .Winiary" באנגליה אשר עיקר פעילותה התמקדה בהפצה ושיווק של מוצרים כשרים לשוק היהודי באנגליה (כולל מוצרים קפואים ומצוננים). עיקר פעילות הקבוצה באירופה מקורה בתחום המזון הקפוא והמצונן ובעיקר מוצרים של חברת הבת טבעול המבוססים על תחליפי בשר ומוצרי מזון על בסיס ירקות. למעלה מ- 70% ממחזור המכירות של מוצרים מן הצומח של הקבוצה מיועד לחו"ל, ברובו לאירופה וההפצה באירופה נעשית בין השאר באמצעות חברת הבת טבעול אירופה. למוצרי טבעול יתרון יחסי על פני המתחרים הפועלים בייצור ושיווק של תחליפי בשר בחו"ל, הן מההיבט הטכנולוגי והן מהיבט של הטעם, המרקם והאיכות של המוצרים. יתרונות אלו הקנו לטבעול מעמד מוביל בחלק מהשווקים באירופה, הבא לידי ביטוי גם בנתחי השוק: מדינה נתח שוק אטליה 79% הולנד 36% שבדיה 47% 31.3 ארה"ב - בשנת 2008 החליטה הקבוצה להרחיב את פעילותה בארה"ב גם Tribe בתחום המוצרים הקפואים והמצוננים. ורכשה את פעילות חברת הפועלת בארה"ב בתחום הסלטים המצוננים הים- תיכוניים. בסמיכות זמנים רכשה הקבוצה גם את פעילות חברת פודטק שפעלה בארה"ב בתחום תחליפי ובשנת 2010 מוזגה ל- ) "Veggie Patch" הבשר המצוננים תחת המותג היצוא לארה"ב של מוצרי מזון המופצים בטמפרטורת החדר נעשה .(Tribe בעיקרו לשוק היהודי הכשר ולשוק המקצועי אך גם לרשתות מזון בארה"ב. 92
  • 98.
    ,USA ההפצה בארה"בשל מוצרים אלו נעשית באמצעות חברת הבת, אסם בעיקר באמצעות מפיצים חיצוניים. 31.4 הכנסות ונכסים - מידע בדבר ההכנסות מלקוחות חיצוניים וסך הנכסים . הלא שוטפים בפירוט לפי חלוקה לאזורים גיאוגרפיים, נכלל בבאור 26 ב. 2 לדוחות הכספיים הכלולים בדוח תקופתי זה. 93 32 . דיון בגורמי סיכון הקבוצה פועלת בתחומי פעילות שהם יציבים יחסית ובסיסיים במהותם. לקבוצה פיזור רחב של ספקים העומד על למעלה מ- 2,000 במספר וכמו כן לקבוצה מגוון רחב מאוד של מוצרים העומד על למעלה מ- 2,000 פריטי מזון שונים המיוצרים כיום באחד-עשר אתרי יצור. לקבוצה גם פיזור רחב של אלפי לקוחות ושל למעלה מ- 10,000 נקודות מכירה, חלק מהמכירות מתבצע ללקוחות גדולים כמו רשתות המזון. יחד עם זאת, קיימים מספר גורמי סיכון הנובעים מסביבתה הכללית, מן הענף ומן המאפיינים הייחודיים שבפעילותה, כמפורט להלן: גורמי סיכון מקרו כלכליים א. האטה ואי ודאות כלכלית - הקבוצה, כמו שאר המשק, מושפעת מהמצב הכלכלי שמשפיע על השינויים בצריכה לנפש, דבר שבא לידי ביטוי גם בשינויים בצריכת המזון לנפש. מאחר ובתקופת האטה היכולת לצמוח דרך מחזורי המכירות היא מוגבלת, הקבוצה מתמודדת עם סוגיה זו באמצעות תהליכי התייעלות ובאמצעות החדרת מוצרים חדשים מעת לעת וחדשנות וכן על ידי הגברת מאמצי השיווק בארץ ובחו"ל, קידום המכירות, בניית המותגים, מיזוגים ורכישות אשר הובילו לכך שלמרות תקופות האטה שהיו בעבר, הקבוצה הצליחה להגדיל את מחזור המכירות ובעת ועונה אחת אף להגדיל את רווחיותה. בנוסף לכך לקבוצה נזילות ורמת איתנות פיננסית מהגבוהות במשק והינה החברה התעשייתית היחידה, שאינה חברה ממשלתית, שמדורגת בדירוג עם אופק דירוג יציב. AAA ב. המצב הביטחוני - לקבוצה פיזור רחב של מפעלים ברחבי הארץ אם כי חלק מהם ממוקם בצפון או בדרום ואשר בעתות מלחמה היו בטווח ירי הקטיושות ו/או ירי תלול מסלול אחר.
  • 99.
    ג. תנודות בשעריהחליפין של מטבע חוץ – כמפורט בבאור 24 א. 1.ג) 1) לדוחות הכספיים המצורפים לדוח תקופתי זה. גורמי סיכון ענפיים א. חשיפה לשינויים של מחירי חומרי גלם – כמפורט בבאור 24 א. 1.ג) 3) לדוחות הכספיים המצורפים לדוח תקופתי זה. ב. אשראי ללקוחות - כמפורט בבאור 24 א. 1.א) לדוחות הכספיים המצורפים לדוח 94 תקופתי זה. ג. התפתחויות רגולטוריות בענף - ראה סעיף 6.4 לעיל. ד. מותגים פרטיים - המשך חדירת המותגים הפרטיים לרשתות השיווק הקמעונאיות עלול להוות איום על נתחי השוק של הקבוצה בקטגוריות המוצרים שלה. הקבוצה מתמודדת עם סוגיה זו באמצעות ריכוז מאמצי שיווק, פרסום וקידום מכירות, בניה וחיזוק של מותגיה, תהליכי התייעלות, שיפור מתמיד של איכות מוצריה וחדשנותם. ה. כניסת מתחרים חדשים - כניסת מתחרים חדשים מחו"ל או יצרנים מקומיים מובילים לקטגוריות מוצרים בהם פועלת הקבוצה עלולה להוות איום על נתחי השוק והיקפי המכירות של הקבוצה בקטגוריות מוצרים אלו. מדיניות הקבוצה להתמודדות עם סוגיה זו מבוססת גם היא על בניה וחיזוק של מותגיה ושמירה על יתרון יחסי באמצעות שיפור מתמיד של איכות המוצרים וחדשנות. ו. הסביבה העסקית של ענף המזון –עליה ביוקר המחיה עלול להשפיע על הסביבה העסקית בה פועלת הקבוצה בכל הקשור להתאמת מחירים לעליה במחירי חומרי הגלם ותשומות אחרות וזאת הן מההיבט הצרכני והן מההיבט הקמעונאי וזאת בנוסף להיבט הרגולטורי. גורמי סיכון ייחודיים א. אובדן לקוח עיקרי - לקבוצה לקוחות גדולים בשוק הקמעונאי המאורגן. אובדן לקוח גדול עלול להקטין את מחזור ההכנסות של הקבוצה ולפגוע ברווחיותה. ב. ריכוז ייצור והפצה במספר אתרים - חלק ניכר מפעילות הקבוצה מרוכז במספר מצומצם של אתרים (מפעלים גדולים ומרכז לוגיסטי עיקרי). פגיעת נזקי טבע או כל נזק אחר אשר ייגרם באתרים אלו עלולים להשפיע על פעילותה של הקבוצה. מדיניות הקבוצה הינה לבטח את נכסיה ואתריה לרבות ביטוח אובדן רווחים.
  • 100.
    ג. פגיעה במותגובאיכות המוצרים - עסקי הקבוצה חשופים לפגיעה במותג ובאיכות המוצרים במקרה של פגם באיכות חומרי הגלם המשמשים לייצור מוצריה או באיכות מוצרים המיוצרים על ידה. פגמים במוצרי הקבוצה עלולים לפגוע במוניטין שלה ובמותגיה ובהיקף המכירות של מוצרי הקבוצה. ברוב אתרי הקבוצה בוצעה השקעה במערכת בקרת איכות המותאמת גם לדרישות ובמערכת בטיחות מזון המותאמת לדרישות ISO - 9001 התקן הבינלאומי .FSSC 22000 התקן הבינלאומי ד. תלות בחברת האם - לקבוצה תלות בחברת האם נסטלה. הקבוצה מייבאת מוצרים מנסטלה ועושה שימוש בידע, בטכנולוגיה ובמחשוב של נסטלה בישראל. הקבוצה רוכשת מנסטלה מוצרים מוגמרים באמצעות חברות הבת בע"מ UK אסם תעשיות מזון בע"מ, שותפות מטרנה, אסמים חבילות שי, אסם בע"מ וביחס לחלק מהמוצרים, מייצרת הקבוצה את מוצריה תוך USA ואסם שימוש במותגים של נסטלה וזאת באמצעות החברה וכן באמצעות חברות הבנות טרייב, שותפות נגה גלידות ושותפות מטרנה. בשנת 2013 הסתכמו הכנסות הקבוצה ממכירות מוצרים אלו בסך של 1,291 מיליוני ₪. יחד עם זאת החיבור של אסם עם נסטלה הינו מהלך אסטרטגי ארוך טווח ונסטלה הינה בעלת עניין באסם עם שליטה של 63.7% ממניות החברה. ה. כתבי אישור ל"מפעל מאושר" - חלק ממפעלי הקבוצה קיבלו הטבות (במס או במענקים) על פי חוקי עידוד השקעות הון. אי עמידה בתנאי כתבי האישור עלולה לגרום לביטול ההטבות. החברה עומדת במרבית כתבי האישור שניתנו למפעליה, ורק ביחס לכתב אישור אחד נבחנת מידת עמידתה המלאה. הנושא מצוי בידיעת מרכז השקעות ובדיונים עימם. להערכת החברה, ההשפעה של תוצאות דיונים אלו אינה מהותית לחברה ואין לה חשיפה מהותית בגין כך. ו. תלות במערכות מחשב – פעילות החברה נתמכת על ידי מערכות המחשוב. נפילה של מערכות אלו עלולה לפגוע ביכולת הייצור והמכירה של הקבוצה. הקבוצה מתמודדת עם סוגיה זו באמצעות מערכות גיבוי ובאמצעות תוכנית פעולה 95 .(BCP) אלטרנטיבית ז. מיזוג והטמעת פעילויות של חברות שנרכשו – התרחבות הקבוצה בשנים האחרונות התבססה, בין השאר, גם על רכישת פעילויות של חברות בארץ ובחו"ל. אי הצלחה בהטמעת הפעילויות הנרכשות ו/או אי התממשות התחזיות
  • 101.
    הקשורות בצמיחה, ברווחיותובסינרגיות, עלולים לגרום לאי השגת הערך של נכסים (לרבות (impairment) המוסף הנצפה מרכישות אלו ואף לירידת ערך נכסים בלתי מוחשיים) שנכללו ברכישות ומיזוגים אלו. ח. איכות הסביבה – פעילות הקבוצה מושפעת ממגוון היבטים סביבתיים הקשורים בעיקר בפעילות היצור והאחסנה של אתרי הקבוצה. פעילות זו עלולה לגרום לחשיפת הקבוצה לתביעות בתחום איכות הסביבה. להלן טבלה המציגה את גורמי הסיכון על פי טיבם ומידת פוטנציאל השפעתם על עסקי הקבוצה בהתאם להערכת ההנהלה: סוג הסיכון גורמי הסיכון השפעה גדולה השפעה בינונית השפעה קטנה X X המצב הביטחוני חשיפה לשינויים בשערי החליפין 96 סיכוני מקרו מיתון והאטה במשק הישראלי X סיכונים ענפיים חשיפה לשינויים במחירי חומרי גלם X אשראי לקוחות X X התפתחות רגולטורית בענף X מותגים פרטיים כניסת מתחרים X חדשים X הסביבה העסקית של ענף המזון סיכונים מיוחדים לקבוצה אובדן לקוח עיקרי X ריכוז X ייצור והפצה במספר אתרים מצומצם פגיעה במותג ובאיכות המוצרים X X תלות בחברת האם כתבי אישור למפעל מאושר X תלות במערכות מחשוב X מיזוג X והטמעת פעילויות של חברות שנרכשו X איכות הסביבה
  • 102.
    מידת פוטנציאל ההשפעהשל גורמי הסיכון כוללת מידע צופה פני עתיד המבוסס על אינפורמציה הקיימת בקבוצה נכון לתאריך הדוח וכולל הערכות ואומדנים של הקבוצה. השפעת גורמי הסיכון על פעילות הקבוצה עשויה להיות שונה באופן מהותי מן התוצאות המשתמעות ממידע זה. דן פרופר איציק צאיג יו"ר הדירקטוריון מנהל כללי 97
  • 103.
    אסם השקעות בע"מ חלק ב': דין וחשבון הדירקטוריון על מצב ענייני החברה
  • 104.
    א 13 במרץ2014 דין וחשבון הדירקטוריון על מצב ענייני החברה ליום 31 בדצמבר 2013 דירקטוריון אסם השקעות בע"מ (להלן: "החברה") מתכבד בזאת להגיש לבעלי המניות את דו"ח הדירקטוריון לשנה שנסתיימה ביום 31 בדצמבר 2013 , בהתאם לתקנות ניירות ערך (דוחות תקופתיים ומיידיים), התש"ל 1970- . הנתונים המופיעים בדו"ח הדירקטוריון הינם על בסיס הדוחות הכספיים המאוחדים המבוקרים ליום 31 בדצמבר 2013 . הנתונים הכספיים ותוצאות הפעילות של החברה מושפעים מנתונים כספיים ותוצאות הפעילות של החברות המוחזקות על ידה. החברה והחברות המוחזקות על ידה יכונו יחדיו "הקבוצה" או "קבוצת אסם". במקרים מסוימים מובאים פרטים הסוקרים אירועים אשר הינם לאחר תאריך הדוחות הכספיים וסמוך למועד פרסום הדוח או פרטים ונתונים נוספים ברמת החברה בלבד. א. הסברי הדירקטוריון למצב עסקי התאגיד נתונים עיקריים מתוך תיאור עסקי התאגיד שנת הקמה ורקע כללי - קבוצת אסם נוסדה בשנת 1942 ואסם השקעות בע"מ הינה חברת האם המאגדת בתוכה את קבוצת חברות אסם. הקבוצה מייצרת ומשווקת למעלה מ- 2,000 פריטי מזון שונים המיוצרים כיום באחד עשר אתרי יצור הפזורים ברחבי הארץ ובחו"ל והמשווקים באמצעות מרכז הפצה מרכזי ומספר מרכזי הפצה אזוריים, כמו כן מייצאת הקבוצה פריטי מזון שונים לארצות שונות, בעיקר למדינות אירופה ולארה"ב. מניות החברה הוצעו לראשונה והונפקו בבורסה לניירות ערך בתל-אביב בשנת 1992 . אסם נמנית עם החברות המובילות בישראל בענף המזון ומפתחת את עסקיה מתוך מטרה להציע לצרכן בארץ ובחו"ל מגוון רחב של מוצרים ממותגים וברמת איכות גבוהה בכל תחומי המזון שבהן היא פועלת ובכך מבססת את מעמדה המוביל בתחום המזון. בסקר תדמית שנערך בדצמבר 2013 על-ידי ישראל, כמו גם בסקרים נוספים שנערכו ב- 6 השנים הקודמות, נבחרה אסם כחברת המזון TNS מכון המחקר המובילה, הטובה המועדפת והמוכרת ביותר בישראל. לקבוצה מותגים וטכנולוגיות יצור רחבות ומגוונות פרי פיתוח עצמאי ובנוסף לכך היא עושה שימוש במותגים, בידע ובטכנולוגיה של חברת האם נסטלה - חברת המזון המובילה בעולם. שיתוף פעולה אסטרטגי עם נסטלה - נסטלה הינה בעלת המניות הגדולה באסם ומחזיקה כ- 63.7% מזכויות הבעלות בחברה. לחברה הסכמים בלעדיים לשיתוף פעולה עם קבוצת נסטלה, שוויץ, על הפצת מוצרי נסטלה בישראל על ידי מערכות השיווק והמכירה של אסם וכן הוסכם על אפשרות לייצור מוצרי נסטלה בישראל. בנוסף לחברה הסכמים בלעדיים עם קבוצת נסטלה לשימוש בקניין רוחני, בידע וסימני מסחר שנסטלה מחזיקה זכויות בהם. כמו כן מקבלת אסם סיוע טכני בנושא מחקר ופיתוח וזכויות שימוש נרחבות בידע של נסטלה לשימושה של הקבוצה. המדובר, בין השאר, בידע טכני, מדעי, שיווקי, לוגיסטי, מכירתי, ייצורי, מיחשובי ופיננסי. הקבוצה מקבלת שירותי מיחשוב ועדת הביקורת בחנה את סבירות התמורה ששולמה לנסטלה בגין שירותי .GLOBE - מנסטלה במסגרת פרויקט ה בשנת 2013 על פי ההסכם שנחתם ומצאה אותם סבירים. GLOBE - המיחשוב של ה שינוי מבני - מתוך מטרה להדגיש ולחזק את המיקוד הניהולי והסינרגיה של הפעילות הבינלאומית של הקבוצה, החליט הדירקטוריון ביום 21 בנובמבר 2013 על שינוי מבנה בחטיבת המזון המוכן ולהקים חטיבה נפרדת שתתמקד פעילות היצוא של ,USA אסם ,UK בפעילות הבינלאומית של הקבוצה שתכלול את טבעול אירופה, טרייב, אסם הקבוצה וכן הזדמנויות בינלאומיות עתידיות. כחלק מהשינוי המוצע, פעילות טבעול ישראל תעבור לאחריות החטיבה הקולינארית ופעילות סלטי צבר תשאר יחידה עצמאית שתדווח ישירות למנכ"ל. השינוי נכנס לתוקף בתחילת שנת .2014
  • 105.
    עם אופק AAAלאסם - במרץ 2014 האריכה חברת מידרוג לאסם את דירוג האשראי של AAA דירוג אשראי של דירוג יציב שהוענק לאסם. אסם הינה החברה התעשייתית הראשונה והיחידה בישראל, שאינה חברה ממשלתית, דירוג זה מעיד על רמת הנזילות הגבוהה ועוצמת האיתנות הפיננסית של הקבוצה. .AAA שמקבלת דירוג חקיקה בענף המזון - בנובמבר 2012 פורסם תזכיר חוק לקידום התחרות בענף המזון העוסק, בין השאר, בהסדרת פעילות ספקים וקמעונאים ובתחרות גאוגרפית בין קמעונאים וזאת בהתבסס על המלצות ועדת המזון. נוסח החוק אושר בקריאה ראשונה ונמצא בשלב הדיונים במסגרת ועדת הכלכלה בכנסת. בשלב מקדמי זה, לא ניתן להעריך את השפעת השינויים שיחולו בעקבות הצעת החוק. ב מצב כספי הנכסים הפיננסיים הנזילים (מזומנים ושווי מזומנים והשקעות אחרות) של הקבוצה הסתכמו לתאריך המאזן לסך של 335,126 אלפי ₪ לעומת סך של 73,935 אלפי ₪ בסוף שנה קודמת, גידול של 261,191 אלפי ₪. הגידול נובע בעיקר מתזרים המזומנים מפעילות שוטפת והוא הושג למרות שהקבוצה ניצלה חלק מהגידול מעודפי המזומנים שלה להשקעות בהרחבת מפעלים, פרעון הלוואות לזמן ארוך וחלוקת דיבידנדים. הרכוש (רכוש קבוע ונכסים בלתי מוחשיים) הסתכם לסך של 2,121,554 אלפי ₪ בהשוואה לסך של 2,153,644 אלפי ₪ בסוף שנה קודמת. ההשקעות ברוטו בתקופת הדוח הסתכמו לסך של 150,805 אלפי ₪. השקעות הקבוצה היו בעיקרם ברכישת קווי ייצור ואוטומציה, בעיקר במפעל הגלידות ובמפעל ביקנעם וכן השקעות בציוד ובהרחבת המפעלים. הלוואות לזמן ארוך מתאגידים בנקאיים - ליום המאזן נפרעו כל ההלוואות לזמן ארוך מהתאגידים הבנקאיים. סך ההון גדל והסתכם לסך של 2,252,873 אלפי ₪ לעומת סך של 2,043,444 אלפי ₪ בסוף שנה קודמת. הגידול בהון העצמי נובע בעיקר מצבירת רווחים שוטפים בסך של 376,428 אלפי ₪ בניכוי דיבידנד שחולק בסך 150,000 אלפי ₪. ההון העצמי מהווה 61.9% מסך המאזן. . סך המאזן גדל והסתכם ל- 3,642,288 אלפי ₪ בהשוואה לסך של 3,424,170 אלפי ₪ בסוף שנה קודמת, גידול של 6.4% מבנה המאזן ליום 31 בדצמבר 2013 מצביע על המשך הרחבת הפעילות העסקית המתבטאת בהגדלת ההשקעות ברוטו ברכוש הקבוע, גידול ברווחים, צבירת מזומנים מפעילות שוטפת והתרחבות שאפשרה לצמצם את האשראי לזמן קצר ולפרוע את כל ההלוואות לזמן ארוך מהבנקים, ומעידה על האיתנות הפיננסית הנמשכת.
  • 106.
    ג תוצאות הפעולות סה"כ מחזור המכירות של קבוצת אסם בשנת 2013 גדל והסתכם לסך של 4,190,047 אלפי ₪ לעומת סך של 4,091,593 . אלפי ₪ בשנה קודמת, גידול של 2.4% הגידול במכירות בא לידי ביטוי בכל תחומי הפעילות של הקבוצה, בתחום הקולינארי, בתחום החטיפים ודגני בוקר, בתחום המאפה והמשקאות, בתחום המזון המוכן, בתחום המזון לתינוקות ובתחום הפעילות האחרת. מחזור המכירות ברבעון הרביעי של שנת 2013 גדל והסתכם לסך של 1,035,072 אלפי ₪ לעומת סך של 1,011,302 אלפי ₪ . בתקופה המקבילה אשתקד. גידול של 2.4% המכירות לשוק המקומי בשנת 2013 גדלו והסתכמו לסך של 3,560,200 אלפי ₪, בהשוואה לסך של 3,423,047 אלפי ₪ . בתקופה המקבילה אשתקד, גידול של 4.0% מכירות הקבוצה בחו"ל בשנת 2013 הסתכמו לסך של 629,847 אלפי ₪ בהשוואה לסך של 668,546 אלפי ₪ בשנה קודמת, קיטון של 5.8% אשר נובע בין השאר משחיקת שערי המטבעות וכן מהפסקת מכירתם של מוצרים מפסידים ו/או שאינם . תחת מותגי קבוצת אסם. בניטרול השפעות אלו היו המכירות בחו"ל מציגות גידול של 3.3% התפתחות המכירות נטו (במיליוני ש"ח)
  • 107.
    הרווח הגולמי שלהקבוצה בשנת 2013 הסתכם לסך של 1,763,711 אלפי ₪ בהשוואה לסך של 1,679,595 אלפי ₪ בתקופה ד . המקבילה אשתקד, גידול של 5.0% השיפור ברווח הגולמי נובע בין השאר משחיקת המטבעות אשר משפיעה לטובה על היבוא, צימצום בהוצאות עקב השקעה באוטומציה של קווי יצור וכן תהליכי התיעלות שהם פרי המתודולוגיה של נסטלה. הרווח התפעולי לפני הוצאות אחרות של הקבוצה בשנת 2013 הסתכם לסך של 528,558 אלפי ₪ בהשוואה לסך של . 511,023 אלפי ₪ בתקופה המקבילה אשתקד, גידול של 3.4% הרווח התפעולי לפני הכנסות והוצאות אחרות של הקבוצה בשלושת חודשי הרבעון הרביעי של שנת 2013 הסתכם לסך של . 129,212 אלפי ₪ בהשוואה לסך של 122,746 אלפי ₪ בתקופה המקבילה אשתקד, גידול של 5.3% הגידול ברווח התפעולי לפני הכנסות והוצאות אחרות הושג בעיקר בשל מהלכי התייעלות ושיפורים ברווח הגולמי, וכל זאת למרות העלייה בהנחות, הוצאות מכירה, קידום מכירות ומבצעים לצרכן. התפתחות הרווח מפעולות רגילות (לפני הכנסות / הוצאות אחרות) (במליוני ₪)
  • 108.
    הרווח הנקי שלקבוצת אסם בשנת 2013 הסתכם לסך של 376,428 אלפי ₪ לעומת 357,342 אלפי ₪ בשנה קודמת, גידול . של 5.3% הרווח הנקי של הקבוצה בשלושת חודשי הרבעון הרביעי של שנת 2013 הסתכם לסך של 90,412 אלפי ₪ בהשוואה לסך . של 76,242 אלפי ₪, גידול של 18.6% הגידול ברווח הנקי נובע משיפור ברווח התפעולי, ירידה משמעותית בהוצאות המימון עקב פרעון הלוואות וירידה בהוצאות החד פעמיות בהשוואה לשנה קודמת (הוצאות אחרות). שיפורים אלה ברווח הם בעיקר תוצאות מדיניות הקבוצה בשנים האחרונות הבאה לידי ביטוי בהרחבת הפעילות תוך החדרה מתמדת של מוצרי נסטלה, חדירה לתחומי פעילות חדשים בארץ ובחו"ל, השקת מוצרים חדשים וזאת בנוסף לתהליכי מיזוג, אוטומציה והתייעלות. כל אלה מבססים מעמדה של אסם כיצרנית מזון מובילה בישראל. הוצאות מכירה שיווק והפצה בשנת 2013 גדלו והיוו 22.2% מהמחזור לעומת 21.6% בתקופה המקבילה אשתקד. הוצאות הנהלה בשנת 2013 גדלו והיוו 7.3% מהמחזור לעומת 6.9% בתקופה המקבילה אשתקד. הוצאות המימון נטו של הקבוצה בשנת 2013 ירדו והסתכמו לסך של 22,761 אלפי ₪ לעומת 29,638 אלפי ₪ בתקופה המקבילה אשתקד. הירידה בהוצאות המימון נובעת מפירעון של מלוא ההלוואות הבנקאיות לזמן ארוך וכן מצמצום באשראי הבנקאי לזמן קצר המהווה כיום 0.8% בלבד מסה"כ המאזן. הוצאות המימון הנותרות נובעות בעיקר מריבית רעיונית, שאינה תזרימית וזאת בגין אופציות מכר למיעוט. הוצאות אחרות נטו בשנת 2013 הצטמצמו וירדו לסך של 2,885 אלפי ₪ לעומת 7,030 אלפי ₪ בתקופה המקבילה אשתקד. רווח תפעולי (לפני הוצאות (הכנסות) אחרות נטו) רווח נקי ה גידול של 5.3% גידול של 3.4%
  • 109.
    ו ניתוח התוצאותהעסקיות של הקבוצה לפי תחומי פעילות . התחום הקולינארי - בשנת 2013 גדלו המכירות מרמה של 738,887 אלפי ₪ לרמה של 755,578 אלפי ₪, גידול של 2.3% הרווח גדל מרמה של 96,847 אלפי ₪ לרמה של 100,918 אלפי ₪. השיפורים במכירות וברווח נובעים, בין השאר, מתהליכי התייעלות וחדשנות של מוצרים וזאת למרות עליה בהוצאות שיווק, קידום מכירות ומבצעי הוזלה. תחום החטיפים ודגני בוקר - בשנת 2013 גדלו המכירות מרמה של 662,706 אלפי ₪ לרמה של 667,284 אלפי ₪, גידול של 0.7% . הרווח ירד מרמה של 169,179 אלפי ₪ לרמה של 163,855 אלפי ₪. המכירות והרווח הושפעו, בין השאר, מהפסקת פעילות בחו"ל שאינה במותג אסם ועליה בהוצאות שיווק, קידום מכירות ומבצעי הוזלה. תחום המאפה והמשקאות - בשנת 2013 גדלו המכירות מרמה של 529,336 אלפי ₪ לרמה של 545,905 אלפי ₪, גידול של 3.1% . הרווח גדל מרמה של 71,351 אלפי ₪ לרמה של 89,139 אלפי ₪. השיפורים במכירות וברווח נובעים, בין השאר, משיפור בעלות המכר ואוטומציה של קווי יצור, וזאת למרות עליה בהוצאות שיווק, קידום מכירות ומבצעי הוזלה. . תחום המזון המוכן - בשנת 2013 גדלו המכירות מרמה של 915,229 אלפי ₪ לרמה של 931,566 אלפי ₪, גידול של 1.8% הרווח גדל מרמה של 71,910 אלפי ₪ לרמה של 77,561 אלפי ₪. השיפורים במכירות וברווח נובעים, בין השאר, מגידול במכירות הסלטים בארה"ב וכן מגידול במכירות בישראל ובאירופה אשר קוזזו חלקית עקב שחיקה בשערי המטבעות ועקב הפסקת מכירתם של מוצרים מפסידים. . תחום המזון לתינוקות - בשנת 2013 גדלו המכירות מרמה של 355,058 אלפי ₪ לרמה של 358,644 אלפי ₪, גידול של 1.0% הרווח גדל מרמה של 59,228 אלפי ₪ לרמה של 62,151 אלפי ₪. על אף התגברות התחרות, השיפורים במכירות וברווח הושגו, בין השאר, כתוצאה משימוש בידע טכנולוגי של נסטלה ומשיפורים במפעל. פעילויות אחרות - בשנת 2013 גדלו המכירות מרמה של 947,236 אלפי ₪ לרמה של 995,592 אלפי ₪, גידול של 5.1% . הרווח ירד מרמה של 43,028 אלפי ₪ לרמה של 34,934 אלפי ₪. וזאת למרות השחיקה בשערי המטבעות ששחקה (Nestea) הגידול במכירות נובע, בין השאר, מכניסה לקטגוריית התה הקר הרווח הושפע משחיקת שערי המטבעות ומעליה בהוצאות .UK ואסם USA את המכירות בחו"ל של חברות הבת אסם השיווק, קידום מכירות ומבצעי הוזלה.
  • 110.
    ז תמצית דוחותרווח והפסד רבעוניים שלשה חודשים שנסתיימו ביום שנה שנה שנסתיימה שנסתיימה ביום ביום 31 במרס 30 ביוני 30 בספטמבר 31 בדצמבר 31 בדצמבר 31 בדצמבר 2012 2013 2013 2013 2013 2013 (בלתי מבוקר) (בלתי מבוקר) (בלתי מבוקר) (בלתי מבוקר) (מבוקר) (מבוקר) אלפי ₪ אלפי ₪ אלפי ₪ אלפי ₪ אלפי ₪ אלפי ₪ 4,091,593 4,190,047 1,035,072 1,082,982 1,061,363 מכירות 1,010,630 2,411,998 2,426,336 596,982 620,018 613,140 עלות המכירות 596,196 1,679,595 1,763,711 438,090 462,964 448,223 רווח גולמי 414,434 885,610 928,833 224,879 244,373 246,806 הוצאות מכירה, שיווק והפצה 212,775 282,962 306,320 83,999 76,388 76,496 הוצאות הנהלה וכלליות 69,437 רווח תפעולי לפני הכנסות 511,023 528,558 129,212 142,203 124,921 (הוצאות) אחרות 132,222 (7,030) (2,885) 82 (167) (2,870) הכנסות (הוצאות) אחרות 70 503,993 525,673 129,294 142,036 122,051 רווח תפעולי 132,292 (29,638) (22,761) (7,157) (5,947) (3,359) ( הוצאות מימון, נטו ( 6,298 474,355 502,912 122,137 136,089 118,692 רווח לפני מסים על הכנסות 125,994 117,013 126,484 31,725 34,760 28,596 מסים על ההכנסה 31,403 357,342 376,428 90,412 101,329 90,096 רווח לתקופה 94,591 נזילות, מקורות המימון ותזרים מזומנים תזרים המזומנים מפעילות שוטפת הסתכם בשנת 2013 לסך של 635,338 אלפי ₪ בהשוואה לסך של 543,289 אלפי ₪ בשנה קודמת, גידול של 16.9% אשר נובע בעיקר משיפור ברווח הנקי ומשיפור בניהול ההון החוזר. הגידול בתזרים המזומנים מפעילות שוטפת איפשר לחברה לפרוע את כל ההלוואות הבנקאיות לזמן ארוך ולצמצם את ההלוואות לזמן קצר וכן להשקיע באוטומציה של קווי יצור, השקעה אשר שיפרה את התפוקה לעובד. . היחס השוטף ליום המאזן עומד על 1.49 . היחס המהיר ליום המאזן עומד על 1.09 יחסי הנזילות ועודפי הנזילות של הקבוצה, היוו ויהוו את מקורות המימון העיקריים להמשך התרחבות עסקי הקבוצה בתחומי המוצרים השונים, הרחבת קווי יצור, כניסה לתחומים חדשים וזאת בשילוב עם מימון זר בהתאם לצורך.
  • 111.
    ח ב. חשיפהלסיכוני שוק ודרכי ניהולם הטיפול וניהול הסיכונים בהתאם למדיניות שנקבעה הינם באחריות פנחס קימלמן, המשנה למנכ"ל - כספים, נושא משרה בכירה בחברה. פירוט לגבי השכלתו, כישוריו, ניסיונו העסקי ותפקידיו האחרים באירגון, ראה תקנה 26 (א) בדוח תקופתי זה. תיאור סיכוני השוק ומדיניות הקבוצה בניהול סיכוני השוק ודרכי ההתמודדות, מופיעים בסעיף 28 "דיון בגורמי סיכון" הנכלל בפרק על "תיאור עסקי התאגיד" שבמסגרת דוח תקופתי זה וכן בבאור 24 בדוח הכספי. אמצעי הפיקוח למימוש המדיניות נעשים באמצעות דיווחי מעקב תקופתיים וכן בדיקות תקופתיות על ידי מבקר הפנים. דוח בסיסי הצמדה ליום 31 בדצמבר 2013 לפירוט בדבר דיווח לפי בסיסי הצמדה ראה באור 24 לדוחות כספיים. מבחני רגישות למכשירים פיננסיים ליום 31.12.13 בכל מבחני הרגישות (מחירי סחורות, שערי חליפין, מדד המחירים לצרכן ושיעורי הריבית), השינוי הקיצוני ביותר ±10% ) שאותו היה על החברה לנתח במסגרת מבחן הרגישות, אינו חושף את החברה לסיכון מהותי. )
  • 112.
    ט ג. היבטיממשל תאגידי גילוי בדבר המבקר הפנימי בתאגיד המבקרת הפנימית הינה רו"ח אילנה כחלון המכהנת בתפקידה מאז שנת 2008 , לאחר שמינוייה אושר על ידי ועדת הביקורת והדירקטוריון. לפרטים אודות המבקרת הפנימית ראו חלק ד' בדוח התקופתי - פרטים נוספים על התאגיד בתקנה 26 א. למבקרת הפנימית כפיפות דואלית ליו"ר דירקטוריון החברה ולמנכ"ל החברה. תוכנית העבודה השנתית של ביקורת הפנים של החברה מבוססת על סקר מיפוי סיכונים וגובשה בשיתוף עם הנהלת החברה. התוכנית מקיפה את פעילות החברה וחברות הבנות בארץ ובחו"ל ואושרה על ידי ועדת הביקורת. התוכנית מותירה בידי המבקרת הפנימית שיקול דעת לסטות ממנה. המבקרת הפנימית ואנשי ציוותה מועסקים בהיקף של כ 5- משרות מלאות. כ 19%- משעות העבודה הושקעו בחברות בת בחו"ל. הביקורת נערכת על פי חוק הביקורת הפנימית, התשנ"ב - 1992 , ועל פי תקנים מקצועיים מקובלים שאושרו ופורסמו על ידי לשכת המבקרים הפנימיים בישראל. וכן נוהלי הביקורת של נסטלה. לדעת הדירקטוריון, המבקרת הפנימית עומדת בדרישות שנקבעו בתקנים האמורים וזאת על פי הצהרתה וכן על פי תוכן הדוחות, ממצאי הביקורת, כישרונה, נסיונה ומקצועיותה. למבקרת הפנימית ניתנת גישה חופשית, מתמדת ובלתי אמצעית לכל הנתונים לרבות למערכות המידע של התאגיד ונתונים כספיים בכל חברות הקבוצה בארץ ובחו"ל. הליך אישורן של עסקאות מהותיות בתקופת הדוח, במידה והיו, נבחן על ידי המבקרת הפנימית. דוחות המבקרת הפנימית הוגשו בכתב ליושב ראש הדירקטוריון, למנכ"ל, לועדת ביקורת ולגופים המבוקרים. בשנת 2013 התקיימו דיונים שוטפים בועדת הביקורת בגין דוחות הביקורת וכן דיונים אחרים בוועדת ביקורת .(21/11/2013 ,18/8/2013 ,19/5/2013 ,19/3/2013 ,13/3/2013 ,10/1/2013) לדעת הדירקטוריון היקף עבודת הביקורת הפנימית, רציפות פעילותה ותוכנית העבודה הינם סבירים בנסיבות העניין ויש בהם כדי להגשים את מטרות הביקורת הפנימית בקבוצה. וועדת הביקורת בשיתוף עם הנהלת הקבוצה והמבקרת הפנימית בוחנים מידי שנה את ההיקף הנאות של עבודת הביקורת הפנימית בקבוצה. תגמול המבקרת הפנימית מבוסס על משכורת וכן מענק כנהוג וכמקובל לקבוצת המנהלים הרלוונטית ובהתאם למדיניות החברה. בנוסף, מבנה התגמול של המבקרת אינו משתנה לפי תוצאות הביקורת. ולפיכך להערכת הדירקטוריון מבנה התקבול אינו משפיע על הפעלת שיקול דעתה המקצועי של המבקרת הפנימית. הקף התגמול השנתי המשולם לעובדי מחלקת ביקורת פנים מסתכם לסך כולל של 2,060 אלפי ₪. תגמולים לבעלי עניין ולנושאי משרה בכירה א. ביום 22 בנובמבר 2012 מינה דירקטוריון החברה וועדת תגמול בהתאם להוראות סעיף 118 א לחוק החברות, התשנ"ט 1999- ("חוק החברות"), אשר כוללת את: יקי ירושלמי (יו"ר), ד"ר ליאורה מרידור ו- גבי הייק, ואשר במסגרת תפקידיה בין היתר להמליץ לדירקטוריון החברה על מדיניות לתגמול נושאי המשרה בחברה ("מדיניות התגמול"), וכן להחליט על אישור תנאי העסקת וכהונה של נושאי משרה. מדיניות התגמול של החברה אושרה על ידי האסיפה הכללית של החברה ביום 3/9/2013 , לאחר אישורה על ידי ועדת התגמול והדירקטוריון. ב. בהתאם להוראות תקנה 10 (ב)( 4) לתקנות ניירות ערך (דוחות תקופתיים ומיידיים), התש"ל 1970- נדרש דירקטוריון החברה להסביר את הקשר בין התגמולים לנושאי המשרה הבכירה ולבעלי העניין בחברה שניתנו לפי תקנה 21 לתקנות הדוחות ("נושאי המשרה"), לבין תרומתו של כל אחד מהם לחברה במהלך תקופת הדו"ח, וכן נדרש הדירקטוריון לציין אם התמורה לנושאי המשרה הינה הוגנת וסבירה.
  • 113.
    במסגרת הליך אישורהדוחות הכספיים ליום 31.12.2013 קיים הדירקטוריון בחינה מקיפה של מכלול תנאי . התגמול של כל אחד מנושאי המשרה הבכירה המנויים בתקנה 21 לפרק ד' של הדו"ח התקופתי לשנת 2013 הבחינה בוצעה ביחס לכל אחד מנושאי המשרה בנפרד, בהתבסס על המידע המפורט אשר הוצג בפני הדירקטוריון. לאחר בחינה פרטנית שנערכה בישיבת הדירקטוריון של התאגיד בקשר עם כל אחד מנושאי המשרה המנויים בתקנה 21 לתקנות הדיווח, ובהתבסס על המידע שהוצג לה, מצא דירקטוריון החברה (לאחר שהתקיים דיון בנושא גם בוועדת התגמול) כי גמולם של כל אחד מנושאי המשרה כאמור תואם את מדיניות התגמול. י גילוי בדבר שכר רואה החשבון המבקר להלן פירוט שכר רואי החשבון המבקרים בגין שירותי ביקורת, שירותים הקשורים לביקורת ובגין שירותי מס, בחברה ובחברות המאוחדות המהותיות: 2012 שם החברה רואה החשבון 2013 אלפי ₪ שעות אלפי ₪ שעות אסם השקעות בע"מ סומך חייקין 6,866 1,387 6,868 1,410 KPMG וחלק מהחברות הבנות חברות בנות בחו"ל של 1,147 646 1,277 639 KPMG טבעול ( 1993 ) בע"מ 2,047 571 1,759 חברות בנות מסוימות רוז'נסקי, הליפי, מאירי ושות' 517 סומך חייקין 90 אלפי ₪ תמורת עבודות מיוחדות. (שנה קודמת 80 אלפי ₪). KPMG- בנוסף שולם ל הקבוצה שילמה לרואי חשבון שונים שכ"ט נוסף בגין חברות בנות נוספות שאינן מהותיות. העקרונות לקביעת שכר הטרחה של המבקר מבוססים על השכר שהיה נהוג בשנים קודמות, צמוד למדד וכן בהתייחס להיקף פעילות עבודת הביקורת הצפויה בשנת הדוח אם ובמידה וישנם שינויים מהותיים בהיקף השעות. שכר הטרחה מאושר ע"י דירקטוריון החברה ומדווח לאסיפה הכללית.
  • 114.
    יא עבודת הדירקטוריון א. נוהל עסקאות זניחות ביום 31 באוגוסט 2011 אימץ דירקטוריון החברה, לאחר שנתקבלה המלצת וועדת הביקורת, נוהל לאישור עסקאות זניחות עם בעל ענין ועם בעל שליטה בחברה, כקבוע בתקנה 41 (א)( 6) לתקנות ניירות ערך (עריכת דוחות כספיים שנתיים), התש"ע 2010- , אשר במסגרתו הוגדרו עסקאות אשר ייחשבו כעסקאות זניחות ולפיכך בהתאם להוראות הדין אינן מצריכות פרסום דיווח מיידי. על פי הנוהל, בהעדר שיקולים איכותיים מיוחדים העולים מכלל נסיבות העניין, עסקת בעל עניין שאינה עסקה חריגה (כהגדרת המונח בחוק החברות, התשנ"ט 1999- ) ושאינה מסווגת על ידי החברה כאירוע החייב בדיווח בהתאם להוראות תקנה 36 לתקנות ניירות ערך (דוחות תקופתיים ומיידיים), התש"ל 1970- , תיחשב כעסקה זניחה אם תעמוד בשני הפרמטרים הבאים: (א) העסקה הינה בשיעור של פחות מ - 0.5% (חצי אחוז) מאמת המידה הרלוונטית כפי שהוגדר בנוהל (אמת מידה אחת או יותר, אם וככל שרלוונטי לעסקה), אמת המידה הינה מחזור המכירות השנתי ו/או סה"כ הנכסים במאזן ו/או סה"כ ההתחיבויות במאזן ו/או הרווח השנתי והכל לפי נסיבות הענין. ובנוסף (ב) היקף העסקה אינו עולה על סך של 8,000 אלפי ₪, כשסכום זה מותאם לשיעור העלייה במדד המחירים לצרכן ביחס למדד שפורסם ביום 15 ביולי 2011 ; והכל לפי הנמוך מבין השניים. הנהלת החברה, תבחן כל עסקה כאמור, על מנת לקבוע אם העסקה הינה זניחה, אם לאו, וזאת על פי הפרמטרים אשר נקבעו לעיל וכן תוך בחינה של מהות העניין האישי הנוגע לעסקה. ככל והעסקה תסווג כ"עסקה זניחה" תהיה הנהלת החברה רשאית לדון בפרטי העסקה ולהחליט אם לאשרה או לאו. על פי דרישה תעביר הנהלת החברה לעיון וועדת הביקורת פירוט של עסקאות אשר אושרו על ידה כעסקאות זניחות. מידי שנה תסקור ועדת הביקורת את אופן ישום הנוהל וכן תערוך בדיקה מדגמית של העסקאות שסווגו כעסקאות זניחות. ב. תכנית אכיפה מינהלית ונהלים בתחום ניירות הערך בנוסף להנחיות והנהלים הקיימים בקבוצה, וההדרכות שנעשו, פועלת הקבוצה לשידרוג ושיפור של נהלי האכיפה בתחום ניירות הערך בהתאם לקריטריונים להכרה בתכנית אכיפה בתחום ניירות הערך, אשר פורסמו על ידי רשות ניירות ערך ביום 15 באוגוסט 2011 . הקבוצה מסתייעת גם ביועצים חיצוניים לביצוע התהליך ועד להשלמתו. נכון למועד הדוח טרם אימצה החברה תכנית אכיפה בתחום ניירות ערך. ג. ישיבות הדירקטוריון דירקטוריון החברה קיים 6 ישיבות במהלך שנת 2013 וכן עשה הדירקטוריון שימוש במנגנון של קבלת החלטה בכתב. יצויין כי וועדות דירקטוריון קיימו ישיבות נוספות.
  • 115.
    יב תרומות ופעילותבקהילה א. תרומות במהלך 2013 המשיכה קבוצת אסם לתרום לקהילה בכסף ובשווה כסף, בסכום של 7.7 מיליון ₪ וזאת בהשוואה לסכום של 7.9 מליון ₪ בתקופה המקבילה אשתקד. ב. מעורבות חברתית קבוצת אסם פועלת מתוך תפיסה שהערך שעליה לייצר, כארגון עסקי, הינו ערך משותף. לא רק ערך עבור בעלי המניות, אלא גם ערך עבור הצרכנים, העובדים ושאר בעלי העניין. תפיסה זו אינה נדבך נוסף על הפעילות העסקית השוטפת אלא היא מהווה חלק אינטגרלי מהאסטרטגיה של הקבוצה. אסטרטגיה זו של ראיה חברתית רחבה הובילה לכך שאסם מדורגת בדירוג פלטינה של "מעלה", בתוך החברות המובילות בדירוג. ביסוד התפיסה, מחויבת אסם, לעמידה בכל ההתחייבויות הרלוונטיות לפעולותיה מכח חקיקה, הסכמים, עקרונות פעולה וקודים. בנוסף, מחויבת הקבוצה להגן גם על העתיד על ידי מחויבות לעקרונות של קיימות סביבתית. מעל לכל ומעבר לכך, אסם יוצרת ערך משותף עם הקהילה כחלק מהאסטרטגיה שלה ומהאופן בו היא מיישמת אותה יום ביומו. תחושת האחריות הרחבה קשורה בעבותות למורשת אסם, לערכיה, למנהליה ועובדיה, בעבר ובהווה. ג. עובדים קבוצת אסם מקפידה הקפדה יתרה בזכויות עובדיה וביצירת סביבת העבודה המתאימה ביותר עבורם. זאת עושה הקבוצה מתוך הבנה עמוקה כי עובדיה המסורים והמקצועיים הינם הנכס החשוב ביותר של הקבוצה. אסם מקיימת דיאלוג מתמשך, פורה ומפרה, עם ארגוני העובדים. באסם לא קיימים עובדים קבועים בייצור שאינם מועסקים ישירות על ידי הקבוצה (עובדי קבלן), ובהתקשרות עם ספקים בתחומי התמחות (אבטחה, הסעדה וכו') אסם פועלת לוידוא שמירה על זכויות עובדיהם. בטיחות עובדי אסם וספקיה לאורך שרשרת הערך עומדת לנגד עיני הקבוצה יומם ולילה, והקבוצה נוקטת גישה פרו-אקטיבית בשם מחויבותה למניעת תאונות, פציעות ומחלות ולהגנה על העובדים. ד. קוד אתי לקבוצת אסם קוד אתי מקיף ופומבי, המהווה מסמך חי ורלוונטי בעבודה השוטפת של כל עובדי הקבוצה, ומשמש ככזה בזכות תכנית הדרכה מקיפה. ה. איכות הסביבה מחויבות קבוצת אסם לעקרונות של קיימות סביבתית באה לידי ביטוי לא רק בעמידה בתקנים מחמירים של הגנה על הסביבה, אלא גם ובעיקר בפעילות האקטיבית של הקבוצה במטרה לצמצם את ההשפעה על הסביבה בפעילויותיה השונות. מפעלי הקבוצה השונים פועלים תחת תכנית יעדים רב שנתית שמטרתה צמצום השפעה סביבתית מזיקה, לרבות פליטת מזהמים, צריכת אנרגיה וצריכת מים. קבוצת אסם הגיעה בשנים האחרונות להישגים מרשימים במדדי הקיימות השונים.
  • 116.
    יג ו. פעילותוהשקעה בקהילה כאמור, תפיסת תפקידה של אסם בייצור ערך משותף מחייבת שיקול דעת הנוגע לטובת בעלי העניין השונים בכל הפעילות השוטפת. להלן מספר דוגמאות ליישומה של תפיסה זו בקבוצת אסם: 1. מיקום אתרי הייצור של קבוצת אסם בפריפריה מאפשר לייצר מקומות עבודה והזדמנויות למובילות חברתית דווקא במקומות בהם זה הכי חסר. אסם היא המעסיק הגדול ביותר בשדרות והרוב המכריע של מפעליה מצויים בפריפריה הגיאוגרפית והכלכלית. 2. אסם מיישמת הלכה למעשה עקרונות של הכלה חברתית על ידי העסקת אוכלוסיות מודרות (מיעוטים, בעלי צרכים מיוחדים, איזון מגדרי) והעברת עבודות מתאימות למעסיקי אוכלוסיות בעלות צרכים מיוחדים. בנוסף, פועלת הקבוצה לנגישות נרחבת ככל שניתן למוצריה, לרבות העמקת מגוון המוצרים המתאימים לחולי צליאק. 3. בגיבוש המוצרים אותם אסם מציעה לשוק היא נותנת דגש על מתן מענה לצרכים אמיתיים של האוכלוסייה, כולל עמידה בסטנדרטים תזונתיים המוגדרים על ידי נסטלה. כמו כן, בתהליך תכנון אריזות המוצרים והכיתובים על גביהם, מקפידה הקבוצה על שקיפות מרבית ביחס למוצר, מרכיביו, תכונותיו וערכיו של נסטלה, המסייעת (Compass) " התזונתיים, ומספקת מידע רלוונטי בין היתר על ידי יישום תכנית ה"מצפן בהנגשת המידע לצרכנים. 4. אסם גוזרת על עצמה מגבלות של תקשורת אחראית בכל הפעילות השיווקית שלה, תוך עמידה בסטנדרט של חברת נסטלה בנושא, המחמיר יותר מדרישות החוק המקומי. לעיתים אסם אף מקיימת מיזמים שיווקיים המשלבים כוחות עם עמותות הפועלות למטרות קהילתיות. בתחום הפיתוח הקהילתי/ חברתי/ כלכלי, ממקדת קבוצת אסם את מאמציה במגוון פעילויות תחת הכותרת של "מזון לחיים". הבחירה בתחום המזון כמוביל נובעת הן מהיות אסם חברת מזון גדולה ומושרשת בקרב הקהילה בארץ, והן בשל העובדה כי בתחום זה באפשרות הקבוצה למנף באופן מקסימלי את התרומה לתועלת קהילתית. הנתרמת העיקרית של אסם בתחום זה הינו ארגון "לתת", ארגון סיוע הומניטרי ישראלי שנוסד בשנת 1996 במטרה להעניק סיוע לאוכלוסיות במצוקה, על בסיס אוניברסלי ושוויוני. "לתת" הינו ארגון גג הפועל בשיתוף עמותות מקומיות רבות ומהווה את "בנק המזון" הגדול והמשמעותי בישראל. שותפות זו כוללת מספר מיזמים בעלי ותק פעילות שונה. קבוצת אסם מתגאה להיות תורמת המזון הגדולה ביותר של ארגון "לתת" מזה שנים. בנוסף אסם מרימה במהלך השנה, ובמיוחד לקראת חגי תשרי ופסח, תרומות מזון אשר במהלך השנים האחרונות נמדדות בשווי של מיליוני ₪ רבים בשנה. באופן שוטף תורמת אסם ל"לתת" גם את הובלת המזון הנתרם למחסני הארגון. אנשי מקצוע בקבוצת אסם, המתמחים בתחום שהוא רלוונטי לפעילות "לתת", מסייעים לארגון בשיפור פעולתו שלו, למשל על ידי סיוע בתחומים כגון תזונה, אבטחת איכות מזון, בטיחות, לוגיסטיקה וכו'. כמו כן, חברי הנהלות באתרים השונים של אסם ברחבי הארץ מאמצים ומלווים באופן אישי קבוצות נוער מהפריפריה הסמוכה לאתר, המשתתפים בפרויקט "אני בשבילך" של "לתת" במהלכו הם נחשפים לצרכים השונים בסביבה שלהם ומקימים מיזם קהילתי לשיפור רווחת קהילתם שלהם. מעבר לשיתוף הפעולה המרכזי עם "לתת" ישנן יוזמות חברתיות מגוונות של תרומה והתנדבות ברמת הקבוצה כולה או בפעילות מקומית של אתרי הקבוצה השונים.
  • 117.
    קבוצת אסם יזמה,מלווה ותומכת באופן שוטף בפרויקט שולחן משפחתי. הפרויקט הנו שיתוף פעולה של אסם, ידיעות לעידוד ארוחת ערב משפחתית באמצע השבוע, תחת הבנה כי ארוחת הערב המשפחתית תורמת ynet - אחרונות ו לדינמיקה המשפחתית, התקשורת במשפחה והיא בעלת השפעה מהותית על חינוך הילדים. את הפרויקט מלווים צוות יועצים מקצועיים כולל יועצים בתחום המשפחתי ותזונה ובמסגרת הפרויקט מבוצעים מחקרים, מתוקשר הערך בארוחת ערב משפחתית וניתנים כלים מעשיים לקהל הצרכנים ליישום ארוחת ערב משפחתית. קבוצת אסם משתתפת זו השנה השלישית ב"יום מעשים טובים" שיוזמת עמותת "רוח טובה", במהלכו יוצאים ביום אחד מאתרי קבוצת אסם ברחבי הארץ קבוצות של מתנדבים לעשות מעשה טוב בפריפריה הסמוכה לאתר. אסם הינה אחת מהחברות המסחריות הראשונות שהצטרפו באופן גורף ל"יום מעשים טובים". באתרי הקבוצה השונים נערכות התרמות דם סדורות במהלך השנה, המאפשרות לעובדים לתרום דם לבנק הדם עבור חולה ספציפי (לעיתים עובד אסם) או עבור ביטוח כללי. בחברת הבת מטרנה מאמצים באופן שוטף את פנימיית ארזים במושב בני יצחק, שם נערכים מידי חודש ימי הולדת לילידי אותו החודש וארועים שונים במהלך השנה בהם מתנדבים עובדי ומנהלי מטרנה. בחברת הבת בונז'ור תומכים במגמת האפייה בבית הספר רוגוז'ין בקרית גת הסמוכה למפעל בונז'ור. מפעל שדרות מקיים שיתוף פעולה ייחודי עם עמותת יחדיו המעסיקה אנשים עם מוגבלויות. מפעל גבעול (במבה) פועל באופן שוטף במחלקת הילדים בביה"ח וולפסון וכן מעסיק בני נוער חירשים, מערך התזונה באסם מקיים מפגשים לקהל מקצועי, במרכז "נא לגעת", המפתח מסגרות תעסוקה לאנשים חרשים, עיוורים וחרשים -עיוורים, תרומות מזון לאליע ועוד ועוד ועוד... יד
  • 118.
    ד. הוראות גילויבקשר עם הדיווח הפיננסי של התאגיד טו דיבידנדים ביום 2 ביולי 2013 חילקה החברה דיבידנד בסך 150 מיליון ₪ כמו כן ביום 13 במרץ 2014 הכריזה החברה על דיבידנד . נוסף בסך של 150 מליון ₪. ראו ביאור 27 ג' לדוחות הכספיים של החברה ליום 31 בדצמבר 2013 נתונים כספיים המיוחסים לחברה האם בהתאם לתקנה 9ג' לתקנות ניירות ערך (דוחות תקופתיים ומיידיים), התש"ל 1970- , מצורף כנספח לדו"ח התקופתי, דו"ח כספי נפרד של החברה ("דוח סולו"), בצירוף חוות דעת של רואה החשבון המבקר. אומדנים חשבונאיים קריטיים בביאור 2 (ו) לדוחות הכספיים נכלל תיאור האומדנים החשבונאיים הקריטיים המשמשים בהכנת הדוחות הכספיים, אשר בעת גיבושם נדרש להניח הנחות באשר לנסיבות ואירועים הכרוכים באי וודאות משמעותית. בשיקול דעת בקביעת האומדנים מתבססת החברה על ניסיון העבר, עובדות שונות, חוות דעת של גורמים חיצוניים ועל הנחות סבירות בהתאם לנסיבות המתאימות לכל אומדן. התוצאות בפועל עשויות להיות שונות מאומדנים אלה. מועצת המנהלים מודה להנהלה ולעובדים על המאמצים שהושקעו וההישגים שהושגו ומברכת על המשך שיתוף הפעולה הפורה. דן פרופר איציק צאיג יו"ר הדירקטוריון מנכ"ל תאריך : 13 במרץ 2014
  • 119.
    אסם השקעות בע"מ חלק ג': דוחות כספיים ליום 31 בדצמבר 2013
  • 120.
    דוחות על המצבהכספי מאוחדים ליום 31 בדצמבר דוחות כספיים לשנה שנסתיימה ביום 31 בדצמבר 2013 עמוד 2 - דין וחשבון רואי החשבון המבקרים 3 4 - דוחות על המצב הכספי מאוחדים 5 דוחות רווח והפסד מאוחדים 6 דוחות על הרווח הכולל מאוחדים 7 דוחות על השינויים בהון מאוחדים 8 דוחות על תזרימי המזומנים מאוחדים 9 10 - באורים לדוחות הכספיים 51 נספח - רשימת חברות הקבוצה 52
  • 121.
    סומך חייקין 03684 טלפון 8000 KPMG מגדל המילניום 03 684 רחוב הארבעה 17 , תא דואר 609 פקס 8444 www.kpmg.co.il תל אביב 61006 אינטרנט דוח רואי החשבון המבקרים לבעלי המניות של אסם השקעות בערבון מוגבל בדבר ביקורת של רכיבי בקרה פנימית על דיווח כספי בהתאם לסעיף 9ב (ג) בתקנות ניירות ערך (דוחות תקופתיים ומיידיים), התש"ל 1970- ביקרנו רכיבי בקרה פנימית על דיווח כספי של אסם השקעות בע"מ וחברות בנות (להלן ביחד "החברה") ליום 31 בדצמבר 2013 . רכיבי בקרה אלה נקבעו כמוסבר בפיסקה הבאה. הדירקטוריון וההנהלה של החברה אחראים לקיום בקרה פנימית אפקטיבית על דיווח כספי ולהערכתם את האפקטיביות של רכיבי בקרה פנימית על דיווח כספי המצורפת לדוח התקופתי לתאריך הנ"ל. אחריותנו היא לחוות דעה על רכיבי בקרה פנימית על דיווח כספי של החברה בהתבסס על ביקורתנו. רכיבי בקרה פנימית על דיווח כספי שבוקרו נקבעו בהתאם לתקן ביקורת 104 של לשכת רואי חשבון בישראל "ביקורת של רכיבי בקרה פנימית על דיווח כספי" על תיקוניו (להלן "תקן ביקורת 104 "). רכיבים אלה הינם: 1) בקרות ברמת הארגון, לרבות בקרות על תהליך העריכה והסגירה של דיווח כספי ובקרות כלליות של ) מערכות מידע; ( 2) בקרות על מכירות שוק מקומי; ( 3) בקרות על מלאי; ( 4)בקרות על הרכש ותשלום לספקים (כל אלה יחד מכונים להלן "רכיבי הבקרה המבוקרים"). ערכנו את ביקורתנו בהתאם לתקן ביקורת 104 . על-פי תקן זה נדרש מאיתנו לתכנן את הביקורת ולבצעה במטרה לזהות את רכיבי הבקרה המבוקרים ולהשיג מידה סבירה של ביטחון אם רכיבי בקרה אלה קויימו באופן אפקטיבי מכל הבחינות המהותיות. ביקורתנו כללה השגת הבנה לגבי בקרה פנימית על דיווח כספי, זיהוי רכיבי הבקרה המבוקרים, הערכת הסיכון שקיימת חולשה מהותית ברכיבי הבקרה המבוקרים, וכן בחינה והערכה של אפקטיביות התכנון והתפעול של אותם רכיבי בקרה בהתבסס על הסיכון שהוערך. ביקורתנו, לגבי אותם רכיבי בקרה, כללה גם ביצוע נהלים אחרים כאלה שחשבנו כנחוצים בהתאם לנסיבות. ביקורתנו התייחסה רק לרכיבי הבקרה המבוקרים, להבדיל מבקרה פנימית על כלל התהליכים המהותיים בקשר עם הדיווח הכספי, ולפיכך חוות דעתנו מתייחסת לרכיבי הבקרה המבוקרים בלבד. כמו כן, ביקורתנו לא התייחסה להשפעות הדדיות בין רכיבי הבקרה המבוקרים לבין כאלה שאינם מבוקרים ולפיכך, חוות דעתנו אינה מביאה בחשבון השפעות אפשריות כאלה. אנו סבורים שביקורתנו מספקת בסיס נאות לחוות דעתנו בהקשר המתואר לעיל. בשל מגבלות מובנות, בקרה פנימית על דיווח כספי בכלל, ורכיבים מתוכה בפרט, עשויים שלא למנוע או לגלות הצגה מוטעית. כמו כן, הסקת מסקנות לגבי העתיד על בסיס הערכת אפקטיביות נוכחית כלשהי חשופה לסיכון שבקרות תהפוכנה לבלתי מתאימות בגלל שינויים בנסיבות או שמידת הקיום של המדיניות או הנהלים תשתנה לרעה. לדעתנו, החברה קיימה באופן אפקטיבי, מכל הבחינות המהותיות, את רכיבי הבקרה המבוקרים ליום 31 של פירמות KPMG סומך חייקין, שותפות ישראלית וחברה ברשת ,KPMG International Cooperative - עצמאיות המאוגדות ב ישות שוויצרית. (“KPMG International”) . בדצמבר 2013 ביקרנו גם, בהתאם לתקני ביקורת מקובלים בישראל, את הדוחות הכספיים המאוחדים של החברה לימים 31 בדצמבר 2013 ו 2012- ולכל אחת משלוש השנים בתקופה שהסתיימה ביום 31 בדצמבר 2013 והדוח שלנו, מיום 13 במרס 2014 , כלל חוות דעת בלתי מסויגת על אותם דוחות כספיים בהתבסס על ביקורתנו ועל דוחות רואי החשבון המבקרים האחרים. סומך חייקין רואי חשבון 13 במרס 2014
  • 122.
    סומך חייקין 03684 טלפון 8000 KPMG מגדל המילניום 03 684 רחוב הארבעה 17 , תא דואר 609 פקס 8444 www.kpmg.co.il תל אביב 61006 אינטרנט דוח רואי החשבון המבקרים לבעלי המניות של אסם השקעות בערבון מוגבל ביקרנו את הדוחות המאוחדים על המצב הכספי המצורפים של אסם השקעות בערבון מוגבל (להלן- "החברה") לימים 31 בדצמבר 2013 ו- 2012 ואת הדוחות המאוחדים על רווח והפסד, הרווח הכולל, השינויים בהון ותזרימי המזומנים לכל אחת משלוש השנים בתקופה שהסתיימה ביום 31 בדצמבר 2013 . דוחות כספיים אלה הינם באחריות הדירקטוריון וההנהלה של החברה. אחריותנו היא לחוות דיעה על דוחות כספיים אלה בהתבסס על ביקורתנו. לא ביקרנו את הדוחות הכספיים של חברות בנות שאוחדו אשר נכסיהן הכלולים באיחוד מהווים כ- 12.4% וכ- 12.7% מכלל הנכסים המאוחדים לימים 31 בדצמבר 2013 ו- 2012 בהתאמה, והכנסותיהן הכלולות באיחוד מהוות כ- 13.7% , כ- 14% וכ- 14.4% מכלל ההכנסות המאוחדות לשנים שהסתיימו בימים 2012 ו- 2011 , בהתאמה. הדוחות הכספיים של אותן חברות בוקרו על ידי רואי חשבון , 31 בדצמבר 2013 אחרים שדוחותיהם הומצאו לנו וחוות דעתנו, ככל שהיא מתייחסת לסכומים שנכללו בגין אותן חברות, מבוססת על דוחות רואי החשבון האחרים. ערכנו את ביקורתנו בהתאם לתקני ביקורת מקובלים בישראל, לרבות תקנים שנקבעו בתקנות רואי חשבון (דרך פעולתו של רואה חשבון), התשל"ג - 1973 . על פי תקנים אלה נדרש מאיתנו לתכנן את הביקורת ולבצעה במטרה להשיג מידה סבירה של ביטחון שאין בדוחות הכספיים הצגה מוטעית מהותית. ביקורת כוללת בדיקה מדגמית של ראיות התומכות בסכומים ובמידע שבדוחות הכספיים. ביקורת כוללת גם בחינה של כללי החשבונאות שיושמו ושל האומדנים המשמעותיים שנעשו על ידי הדירקטוריון וההנהלה של החברה וכן הערכת נאותות ההצגה בדוחות הכספיים בכללותה. אנו סבורים שביקורתנו ודוחות רואי החשבון האחרים מספקים בסיס נאות לחוות דעתנו. לדעתנו, בהתבסס על ביקורתנו ועל הדוחות של רואי חשבון אחרים, הדוחות הכספיים המאוחדים הנ"ל משקפים באופן נאות, מכל הבחינות המהותיות, את המצב הכספי של החברה והחברות המאוחדות שלה לימים 31 בדצמבר 2013 ו- 2012 ואת תוצאות פעולותיהן, השינויים בהון ותזרימי המזומנים שלהן לכל אחת משלוש והוראות (IFRS) השנים בתקופה שהסתיימה ביום 31 בדצמבר 2013 בהתאם לתקני דיווח כספי בינלאומיים . תקנות ניירות ערך (דוחות כספיים שנתיים), התש"ע - 2010 ביקרנו גם, בהתאם לתקן ביקורת 104 של לשכת רואי חשבון בישראל "ביקורת של רכיבי בקרה פנימית על דיווח כספי", על תיקוניו, רכיבי בקרה פנימית על דיווח כספי של החברה ליום 31 בדצמבר 2013 , והדוח שלנו מיום 13 במרס 2014 כלל חוות דעת בלתי מסויגת על קיומם של אותם רכיבים באופן אפקטיבי. של פירמות KPMG סומך חייקין, שותפות ישראלית וחברה ברשת ,KPMG International Cooperative - עצמאיות המאוגדות ב ישות שוויצרית. (“KPMG International”) סומך חייקין רואי חשבון 13 במרס 2014
  • 123.
    דוחות על המצבהכספי מאוחדים ליום 31 בדצמבר 2012 2013 באור אלפי ש"ח אלפי ש"ח נכסים 60,265 328,059 מזומנים ושווי מזומנים 5 676,445 688,481 לקוחות 6 37,896 27,662 חייבים ויתרות חובה 7 7,416 5,464 מס הכנסה 20 406,724 390,107 מלאי 8 13,670 7,067 השקעות אחרות 9 1,202,416 סה"כ נכסים שוטפים 1,446,840 - 293 הטבות לעובדים 11 1,127,990 1,144,497 רכוש קבוע 12 1,025,654 977,057 נכסים בלתי מוחשיים 13 37,669 38,806 הוצאות מראש 14 30,441 34,795 מיסים נדחים 20 2,221,754 סה"כ נכסים בלתי שוטפים 2,195,448 3,424,170 סה"כ נכסים 3,642,288 דן פרופר - יושב ראש הדירקטוריון איציק צאיג - מנהל כללי פנחס קימלמן - משנה למנכ"ל - כספים תאריך אישור הדוחות הכספיים: 13 במרץ 2014
  • 124.
    השקעות בערבון מוגבל 5 2012 2013 באור אלפי ש"ח אלפי ש"ח התחייבויות 58,938 29,212 15 הלוואות ואשראי לזמן קצר מבנקים 685,948 710,463 16 ספקים 189,169 223,976 17 זכאים אחרים 11,813 9,473 20 מס הכנסה 945,868 973,124 סה"כ התחייבויות שוטפות 3,370 - 18 התחייבויות לתאגידים בנקאיים 357,104 342,514 19 התחייבויות בגין רכישת חלק המיעוט בחברות מאוחדות 4,537 4,450 11 הטבות לעובדים 69,847 69,327 20 מסים נדחים 434,858 416,291 סה"כ התחייבויות שאינן שוטפות 1,380,726 1,389,415 סה"כ התחייבויות הון 176,772 176,772 הון מניות 444,212 444,212 פרמיה על מניות (48,015) (68,353) קרנות הון 1,469,789 1,699,113 יתרת עודפים 2,042,758 סה"כ הון המיוחס לבעלים של החברה 2,251,744 686 1,129 זכויות שאינן מקנות שליטה 2,043,444 2,252,873 סה"כ הון 3,424,170 סה"כ התחייבויות והון 3,642,288 הבאורים לדוחות הכספיים מהווים חלק בלתי נפרד מהם.
  • 125.
    דוחות רווח והפסדמאוחדים לשנה שנסתיימה ביום 31 בדצמבר השקעות בערבון מוגבל 6 2011 2012 2013 באור אלפי ש"ח אלפי ש"ח אלפי ש"ח 3,960,877 4,091,593 מכירות 23 א 4,190,047 2,309,482 2,411,998 עלות המכירות 23 ב 2,426,336 1,651,395 1,679,595 רווח גולמי 1,763,711 878,759 885,610 הוצאות מכירה, שווק והפצה 23 ג 928,833 270,528 282,962 הוצאות הנהלה וכלליות 23 ד 306,320 502,108 511,023 רווח תפעולי לפני הוצאות אחרות 528,558 2,830 7,030 הוצאות אחרות, נטו 23 ה 2,885 499,278 503,993 רווח תפעולי 525,673 (41,538) (33,726) ( הוצאות מימון 23 ו ( 24,653 9,904 4,088 הכנסות מימון 23 ו 1,892 (31,634) (29,638) ( עלויות מימון, נטו ( 22,761 467,644 474,355 רווח לפני מסים על הכנסות 502,912 126,664 117,013 126,484 מסים על הכנסה 20 340,980 357,342 376,428 רווח לתקופה מיוחס ל: 341,052 356,886 לבעלים של החברה 375,985 (72) 456 זכויות שאינן מקנות שליטה 443 340,980 357,342 376,428 רווח לתקופה רווח למניה בת 1 ₪ ערך נקוב 3.08 3.23 רווח בסיסי ומדולל (בשקל חדש) 3.40 הבאורים לדוחות הכספיים מהווים חלק בלתי נפרד מהם.
  • 126.
    דוחות על הרווחהכולל מאוחדים לשנה שנסתיימה ביום 31 בדצמבר השקעות בערבון מוגבל 7 2011 2012 2013 אלפי ש"ח אלפי ש"ח אלפי ש"ח 340,980 357,342 רווח לתקופה 376,428 רווח (הפסד) כולל אחר סכומים שיועברו לרווח או הפסד בהתקיים תנאים ספציפיים הפרשי תרגום מטבע חוץ 4,831 2,653 ( בגין פעילויות חוץ ( 20,338 סכומים שלא יועברו לרווח או הפסד רווחים (הפסדים) אקטוארים (13,581) 5,993 מתכנית להטבה מוגדרת 4,543 מס הכנסה בגין מרכיבים אחרים 3,396 (1,498) ( של רווח כולל ( 1,204 (5,354) 7,148 ( סך הכל רווח (הפסד) כולל אחר לתקופה ( 16,999 335,626 364,490 סך הכל רווח כולל לתקופה 359,429 מיוחס ל: 335,698 364,034 בעלים של החברה 358,986 (72) 456 זכויות שאינן מקנות שליטה 443 335,626 364,490 סך הכל רווח כולל לתקופה 359,429 הבאורים לדוחות הכספיים מהווים חלק בלתי נפרד מהם.
  • 127.
    דוחות על השינוייםבהון מאוחדים השקעות בערבון מוגבל 8 קרן הון בגין רכישת זכויות שאינן סך הכל פרמיה על מקנות שליטה קרנות בעלים זכויות שאינן סך הכל הון מניות מניות קרן תרגום בחברה מאוחדת אחרות עודפים של החברה מקנות שליטה הון אלפי ש"ח אלפי ש"ח אלפי ש"ח אלפי ש"ח אלפי ש"ח אלפי ש"ח אלפי ש"ח אלפי ש"ח אלפי ש"ח 1,793,328 302 1,793,026 1,231,541 1,694 (41,675) (19,518) 444,212 176,772 יתרה ליום 1 בינואר 2011 4,831 - 4,831 - - - הפרשי תרגום מטבע חוץ - - 4,831 (10,185) - (10,185) ( הפסדים אקטוארים (נטו לאחר מס) - - - - - ( 10,185 340,980 (72) 341,052 341,052 - - - - - רווח נקי לשנת 2011 335,626 (72) 335,698 330,867 - - סך הכל רווח כולל שהוכר לתקופה - - 4,831 (300,000) - (300,000) ( דיבידנד ששולם - - - - - ( 300,000 1,828,954 230 1,828,724 1,262,408 1,694 (41,675) (14,687) 444,212 176,772 יתרה ליום 31 בדצמבר 2011 2,653 - 2,653 - - - הפרשי תרגום מטבע חוץ - - 2,653 4,495 - 4,495 רווחים אקטוארים (נטו לאחר מס) - - - - - 4,495 - - - (4,000) היוון עודפים בגין מפעל מאושר - - - - 4,000 357,342 456 356,886 356,886 - - - - - רווח נקי לשנת 2012 364,490 456 364,034 357,381 - - סך הכל רווח כולל שהוכר לתקופה - - 2,653 (150,000) - (150,000) ( דיבידנד ששולם - - - - - ( 150,000 2,043,444 686 2,042,758 1,469,789 5,694 (41,675) (12,034) 444,212 176,772 יתרה ליום 31 בדצמבר 2012 (20,338) - (20,338) - - - ( הפרשי תרגום מטבע חוץ - - ( 20,338 3,339 - 3,339 רווחים אקטוארים (נטו לאחר מס) - - - - - 3,339 376,428 443 375,985 375,985 - - - - - רווח נקי לשנת 2013 359,429 443 358,986 379,324 - - ( סך הכל רווח כולל שהוכר לתקופה - - ( 20,338 (150,000) - (150,000) ( דיבידנד ששולם - - - - - ( 150,000 2,252,873 1,129 2,251,744 1,699,113 5,694 (41,675) (32,372) 444,212 176,772 יתרה ליום 31 בדצמבר 2013 הבאורים לדוחות הכספיים מהווים חלק בלתי נפרד מהם.
  • 128.
    דוחות על תזרימיהמזומנים מאוחדים לשנה שנסתיימה ביום 31 בדצמבר השקעות בערבון מוגבל 9 2011 2012 2013 אלפי ש"ח אלפי ש"ח אלפי ש"ח תזרימי מזומנים מפעילות שוטפת 340,980 357,342 רווח לתקופה 376,428 התאמות : 112,500 114,809 פחת 114,204 הפחתה של נכסים בלתי מוחשיים 41,168 51,385 והוצאות מראש 52,534 (1,199) 503 הפסד (רווח) ממכירת רכוש קבוע, נטו 155 31,634 29,638 עלויות מימון, נטו 22,761 126,664 117,013 הוצאות מסים על הכנסה 126,484 3,388 1,675 ( שינויים בנגזרים ( 4,642 (20,561) (18,633) שינוי במלאי 11,856 30,637 (37,258) ( שינוי בלקוחות וחייבים ויתרות חובה ( 18,201 3,061 44,959 שינוי בספקים וזכאים אחרים 76,330 126 (2,979) שינוי בהטבות לעובדים 4,163 (87,997) (115,165) ( מס הכנסה ששולם ( 126,734 580,401 543,289 מזומנים נטו שנבעו מפעילות שוטפת 635,338 תזרימי מזומנים מפעילות השקעה 1,969 1,077 תמורה ממכירת רכוש קבוע 2,002 (279) 5,476 השקעות אחרות, נטו 6,996 (78,607) (82,156) ( רכישת רכוש קבוע ( 145,009 (10,052) (18,108) ( השקעה בנכסים לא מוחשיים והוצאות מראש ( 20,624 3,064 2,456 ריבית שהתקבלה 1,227 (83,905) (91,255) ( מזומנים נטו ששימשו לפעילות השקעה ( 155,408 תזרימי מזומנים מפעילות מימון (12,570) (29,251) ( ריבית ששולמה ( 3,637 (58,837) (24,838) ( פרעון הלוואות לזמן ארוך ( 13,303 (38,331) (52,544) ( אשראי מתאגידים בנקאיים, נטו ( 11,798 (112,787) (239,600) ( פרעון התחייבויות אחרות ( 30,904 (300,000) (150,000) ( דיבידנד ששולם ( 150,000 (522,525) (496,233) ( מזומנים נטו ששימשו לפעילות מימון ( 209,642 (26,029) (44,199) שינוי במזומנים ושווי מזומנים 270,288 128,771 104,479 מזומנים ושווי מזומנים לתחילת תקופה 60,265 השפעת תנודות בשער החליפין 1,737 (15) ( על יתרות המזומנים ושווי המזומנים ( 2,494 104,479 60,265 מזומנים ושווי מזומנים לסוף תקופה 328,059 הבאורים לדוחות הכספיים מהווים חלק בלתי נפרד מהם.
  • 129.
    באורים לדוחות הכספייםליום 31 בדצמבר 2013 השקעות בערבון מוגבל באור 1 - הישות המדווחת א. אסם השקעות בע"מ (להלן - "החברה") הינה חברה אשר רשומה בישראל. הדוחות הכספיים המאוחדים של 10 הקבוצה ליום 31 בדצמבר 2013 , כוללים את אלה של החברה ושל החברות הבנות שלה (להלן יחד - "הקבוצה"). שוויץ. הקבוצה עוסקת בייצור ושיווק של מוצרי מזון. ,NESTLE S.A. בעלת השליטה בחברה הינה מניות החברה רשומות למסחר בבורסה לניירות ערך בתל-אביב. ב. הגדרות בדוחות כספיים אלה - 1. חברות מאוחדות/חברות בנות - חברות, לרבות שותפויות, שדוחותיהן מאוחדים באופן מלא, במישרין או בעקיפין, עם דוחות החברה. 2009 ) בדבר צדדים קשורים. ) 2. צד קשור - כמשמעותו בתקן חשבונאות בינלאומי 24 . 3. בעלי עניין - כמשמעותם בפסקה ( 1) להגדרת "בעל עניין" בתאגיד בסעיף 1 לחוק ניירות ערך, התשכ"ח - 1968 באור 2 - בסיס עריכת הדוחות הכספיים א. הצהרה על עמידה בתקני דיווח כספי בינלאומיים הקבוצה אימצה ("IFRS" : הדוחות הכספיים המאוחדים הוכנו בהתאם לתקני דיווח כספי בינלאומיים (להלן הינו 1 בינואר 2007 ("להלן מועד המעבר"). IFRS - בשנת 2008 , כאשר מועד המעבר ל IFRS - לראשונה את כללי ה . דוחות כספיים אלו נערכו בהתאם לתקנות ניירות ערך (דוחות כספיים שנתיים), התש"ע 2010 ב. מטבע פעילות ומטבע הצגה הדוחות הכספיים המאוחדים מוצגים בש"ח, שהינו מטבע הפעילות של החברה, ומעוגלים לאלף הקרוב. השקל הינו המטבע שמייצג את הסביבה הכלכלית העיקרית בה פועלת החברה. ג. בסיס המדידה הדוחות הוכנו על בסיס העלות ההיסטורית, למעט נכסים והתחייבויות הבאים מלאי (עלות או שווי מימוש נטו) מכשירים פיננסים בשווי הוגן דרך רווח והפסד, התחייבויות בגין תשלום מבוסס מניות אשר יסולק במזומן, נכסי התחייבויות מיסים נדחים, הפרשות ונכסים והתחייבויות בגין הטבות לעובדים. למידע נוסף בדבר מדידת נכסים והתחיבויות אלה ראה באור 3 להלן. ערכם של נכסים לא כספיים ופריטי הון שנמדדו על בסיס העלות ההיסטורית, הותאם לשינויים במדד המחירים לצרכן עד ליום 31 בדצמבר 2003 , היות ועד למועד זה נחשבה כלכלת ישראל ככלכלה היפראינפלציונית. ד. מחזור תפעולי המחזור התפעולי של הקבוצה אינו עולה על שנה. עקב כך כוללים הרכוש השוטף וההתחייבויות השוטפות פריטים המיועדים והצפויים להתממש בתוך תקופת המחזור התפעולי הרגיל של הקבוצה. ה. מתכונת ניתוח ההוצאות שהוכרו בדוח רווח והפסד מתכונת הניתוח של הוצאות שהוכרו בדוח רווח והפסד הינה לפי שיטת סיווג המבוססת על מאפיין הפעילות של ההוצאה. מידע נוסף בדבר מהות ההוצאה נכלל בביאורים לדוחות הכספיים. ו. שימוש באומדנים ושיקול דעת נדרשת הנהלת החברה להשתמש בשיקול דעת בהערכות, אומדנים ,IFRS - בעריכת הדוחות הכספיים בהתאם ל והנחות אשר משפיעים על יישום המדיניות ועל הסכומים של נכסים והתחייבויות, הכנסות והוצאות. יובהר שהתוצאות בפועל עלולות להיות שונות מאומדנים אלה. בעת גיבושם של אומדנים חשבונאיים המשמשים בהכנת הדוחות הכספיים של החברה, נדרשה הנהלת החברה להניח הנחות באשר לנסיבות ואירועים הכרוכים באי וודאות משמעותית. בשיקול דעתה בקביעת האומדנים, מתבססת הנהלת החברה על ניסיון העבר, עובדות שונות, גורמים חיצוניים ועל הנחות סבירות בהתאם לנסיבות המתאימות לכל אומדן. האומדנים וההנחות שבבסיסם נסקרים באופן שוטף. שינויים באומדנים חשבונאיים מוכרים בתקופה שבה תוקנו האומדנים ובכל תקופה עתידית מושפעת. אומדנים קריטיים להלן מידע בדבר אומדנים קריטיים, שנערכו תוך יישום המדיניות החשבונאית והם בעלי השפעה מהותית על הדוחות הכספיים: התחייבויות תלויות - בהערכות סיכויי התביעות המשפטיות שהוגשו כנגד החברה וחברות מוחזקות שלה, הסתמכו החברות על חוות דעת יועציהן המשפטיים. הערכות אלה של יועצים המשפטיים מתבססות על מיטב שיפוטם המקצועי, בהתחשב בשלב בו מצויים ההליכים, וכן על הנסיון המשפטי שנצבר בנושאים השונים. מאחר שתוצאות התביעות תקבענה בבתי המשפט, עלולות תוצאות אלה להיות שונות מהערכות אלה.
  • 130.
    באורים לדוחות הכספייםליום 31 בדצמבר 2013 השקעות בערבון מוגבל 11 באור 2 - בסיס עריכת הדוחות הכספיים (המשך) ו. שימוש באומדנים ושיקול דעת (המשך) הערכה של נכסים בלתי מוחשיים ומוניטין - הקבוצה נדרשת בצרופי עסקים למדוד את הנכסים שנרכשו וההתחייבויות שניטלו בהתבסס על אומדן השווי ההוגן שלהם. הערכות שווי אלה מצריכות שימוש באומדנים והנחות משמעותיים מצד ההנהלה, הנכסים הבלתי מוחשיים המהותיים שהוכרו כוללים בעיקר מוניטין, ידע ומותגים. אומדנים קריטיים ששימשו בהערכת אורך החיים השימושיים של נכסים בלתי מוחשיים כאלה כוללים בין היתר, את אומדן תקופת השימוש ואת ההתפתחות הצפויה בשוק. סכום בר השבה של יחידה מניבת מזומנים בעלת מוניטין - בקביעת סכום בר השבה של יחידה מניבת מזומנים הכוללת מוניטין לצורך בחינת ירידת הערך שלה מתבססת ההנהלה על הנחות בדבר שיעור ההיוון לפני מס ושיעור .EBITDA צמיחת הפרשה לחובות מסופקים - החברה מיישמת את ההנחיות שנקבעו בתקן חשבונאות בינלאומי 39 לשם קביעה האם חלה ירידת ערך של יתרת הלקוחות. קביעה זו מצריכה הפעלת שיקול דעת משמעותי. בהפעלת שיקול הדעת מביאה הקבוצה בחשבון בין יתר הגורמים את רמת הביטחונות העומדים לרשותה, את ניתוח גיל יתרת הלקוחות, היסטוריה של חובות אבודים, התנהגות של פירעון חובות, איתנות פיננסית וניתוח לטווח הקצר של עסקי הלקוח ומגמות הענף. (PUT) התחייבות בגין אופציות מכר של מיעוט בחברה מאוחדת - הערך הנוכחי של התחייבות בגין אופצית מכר לבעלי זכויות מיעוט בחברה מאוחדת מתבסס, בין השאר, על תחזיות רווחים ותחזיות תזרימי מזומנים. כל שינוי בתחזיות אלו משפיע על הערך בספרים של ההתחייבות בגין רכישת חלק המיעוט בחברה מאוחדת. תחזיות אלו מתבססות על הנחות שנמצאו סבירות בעיני ההנהלה, אך טבועה בהן אי ודאות וכתוצאה מכך התוצאות בפועל עשויות להיות שונות. נכסי מיסים נדחים - הקבוצה מכירה בנכסי והתחייבויות מסים נדחים בגין הפער בין הערך בספרים של נכסים והתחייבויות לבין ערכם לצורכי מס. הקבוצה בוחנת על בסיס שוטף את יכולת ההשבה של נכסי מסים נדחים בהתבסס על ההכנסה החייבת ההיסטורית, ההכנסה החייבת הצפויה ומועדי ההיפוך הצפויים של הפרשים זמניים. אם הקבוצה אינה מסוגלת לייצר הכנסה חייבת מספיקה באזורי מס מסוימים, או בפרק הזמן שבו צפוי ההיפוך של ההפרש הזמני, הקבוצה עשויה למחוק חלק מנכסי המסים הנדחים. תשלום מבוסס מניות – לקבוצה מספר תוכניות לתגמול עובדים ובינהם גם אופציות פאנטום לתגמול עובדים בכירים. שווי הוגן של אופציות הפאנטום מבוסס על הנחות מסוימות, לרבות, בין היתר, סטיית התקן הצפויה של מחיר המניה. אומדנים אלה קשורים לתחזיות של מכירות ורווח למניה. פערים מהותיים בביצועי השוק של המניה, בהתנהגות מימושים של עובדים, במכירות הקבוצה ובנתוני הרווח למניה, הצפויים אל מול התוצאות שיהיו בפועל. ז. ניהול הון - מטרות, נהלים ותהליכים מדיניות ההנהלה היא להחזיק בסיס הון איתן במטרה לשמר את יכולת החברה להמשיך את פעילותה כדי שתוכל להניב תשואה לבעלי מניותיה, הטבות למחזיקי עניין אחרים בחברה כגון נותני אשראי ועובדי החברה, וכן על מנת לתמוך בהתפתחות עסקית עתידית. הדירקטוריון מפקח על סכומי החלוקות של דיבידנדים לבעלי המניות הרגילים. ח. שינויים במדיניות החשבונאית הטבות לעובדים (להלן - התיקון) ,IAS 19 - 1. תיקון ל החל מ- 1 בינואר 2013 הקבוצה מיישמת את התיקון. התיקון כולל מספר שינויים בקשר לטיפול החשבונאי בהטבות לעובדים, בכללם הריבית אשר תוכר ברווח והפסד תחושב על יתרת ההתחייבות (הנכס) נטו בגין הטבה מוגדרת, לפי שעור ההיוון המשמש לחישוב ההתחייבות. בנוסף, סיווג הטבות עובד לטווח קצר או ארוך, לצרכי מדידה, יהיה תלוי בצפי הישות למועד ניצול מלוא ההטבות. לישום התקן אין השפעה מהותית על הדוחות הכספיים. ירידת ערך נכסים: גילויים בדבר סכום בר השבה של נכסים לא פיננסיים (להלן - התיקון) ,IAS 36 - 2. תיקון ל התיקון מכיל דרישות גילוי חדשות עבור מצבים בהם מוכרת ירידת ערך והסכום בר ההשבה נקבע כשווי הוגן בניכוי עלויות מכירה. כמו כן, התיקון מבטל את הדרישה לתת גילוי לסכום בר ההשבה של יחידות מניבות מזומנים משמעותיות, גם אם לא הוכרה לגביהן ירידת ערך. מועד התחילה המנדטורי של התיקון הינו לתקופות שנתיות המתחילות ביום 1 בינואר 2014 . החברה בחרה לאמץ . באימוץ מוקדם את הוראות התיקון, החל מהדוחות הכספיים לשנה שהסתיימה ביום 31 בדצמבר 2013
  • 131.
    באורים לדוחות הכספייםליום 31 בדצמבר 2013 השקעות בערבון מוגבל 12 באור 3 - עיקרי המדיניות החשבונאית כללי המדיניות החשבונאית המפורטת להלן יושמה בעקביות לכל התקופות המוצגות בדוחות מאוחדים אלה על ידי ישויות הקבוצה, למעט, כמתואר בסעיף שינויים במדיניות החשבונאית בביאור 2.ח, בדבר בסיס עריכת הדוחות הכספיים. א. בסיס האיחוד 1. צירופי עסקים .(Acquisition method) הקבוצה מיישמת לגבי כל צירופי העסקים את שיטת הרכישה מועד הרכישה הינו המועד בו הרוכשת משיגה שליטה על הנרכשת שליטה היא הכוח לקבוע את המדיניות הפיננסית והתפעולית של חברה כדי להשיג הטבות מפעילויותיה. בבחינת שליטה נלקחות בחשבון זכויות ממשיות המוחזקות על ידי הקבוצה ועל ידי אחרים. החברה מפעילה שיקול דעת בקביעת מועד הרכישה ובאם השליטה התקבלה. (IAS27 (2008) - ו IFRS3 (2008) הטיפול בצירופי עסקים לאחר 1 בינואר 2010 . (מועד היישום לראשונה של עבור רכישות אשר אירעו לאחר ה- 1 בינואר 2010 הקבוצה מכירה במוניטין למועד הרכישה לפי השווי ההוגן של התמורה שהועברה לרבות סכומים שהוכרו בגין זכויות כלשהן שאינן מקנות שליטה בנרכשת, בניכוי הסכום נטו שיוחס ברכישה לנכסים הניתנים לזיהוי שנרכשו ושל התחייבויות שניטלו. התמורה שהועברה כוללת את השווי ההוגן של הנכסים שהועברו לבעלים הקודמים של הנרכשת, התחייבויות שהתהוו לרוכש מול הבעלים הקודמים של הנרכשת וזכויות הוניות שהונפקו על ידי הקבוצה. כמו כן, התמורה שהועברה כוללת את השווי ההוגן של תמורה מותנית. לאחר מועד הרכישה, הקבוצה מכירה בשינויים בשווי ההוגן של התמורה המותנית המסווגת כהתחייבות פיננסית בדוח רווח והפסד. שינויים בהתחייבות בגין תמורה מותנית בצירופי עסקים שאירעו לפני ה 1- בינואר 2010 , ימשיכו להיזקף למוניטין ולא יוכרו בדוח רווח והפסד. עלויות הקשורות לרכישה שהתהוו לרוכשת בגין צירוף עסקים כגון: עמלות למתווכים, עמלות ייעוץ, עמלות משפטיות, הערכת שווי ועמלות אחרות בגין שירותים מקצועיים או שירותי ייעוץ, למעט אלו הקשורות בהנפקת מכשירי חוב או הון בקשר עם צירוף העסקים מוכרות כהוצאות בתקופה שבה השירותים מתקבלים. 2. חברות בנות חברות בנות הינן ישויות הנשלטות בידי הקבוצה. הדוחות הכספיים של חברות בנות נכללים בדוחות הכספיים המאוחדים מיום השגת השליטה ועד ליום הפסקת השליטה. המדיניות החשבונאית של חברות בנות שונתה במידת הצורך על מנת להתאימה למדיניות החשבונאית שאומצה על ידי החברה. 3. אופציות מכר שהוענקו לבעלי זכויות שאינן מקנות שליטה לפני יום 1 בינואר 2010 לבעלי זכויות מיעוט בחברות מאוחדות, (PUT) הקבוצה העניקה כחלק מהתמורה בצרופי עסקים אופציות מכר אשר מאפשרת להם למכור לחברה את מניותיהם בחברות המאוחדות. ההתחייבות לרכוש את זכויות המיעוט מוצגת במאזן המאוחד כהתחייבות פיננסית. התחייבות פיננסית זו, נמדדת על פי הערך הנוכחי של מחיר המימוש של האופציה. הפער בין ההתחייבות הפיננסית לבין הערך בספרים של זכויות המיעוט יוחס כמוניטין נוסף. מדידה מחדש של ההתחייבות, למעט זקיפה של הוצאות ריבית בהתאם לריבית המשקפת את סיכון האשראי של החברה, מוכרת כמוניטין. חלק הקבוצה ברווחי הנרכשת כולל את חלקם של בעלי הזכויות שאינן מקנות שליטה להם הונפקה אופצית המכר. 4. עסקאות שבוטלו באיחוד יתרות הדדיות בקבוצה והכנסות והוצאות שטרם מומשו, הנובעות מעסקאות הדדיות, בוטלו במסגרת הכנת הדוחות הכספיים המאוחדים. 5. עסקאות עם זכויות שאינן מקנות שליטה, תוך שימור שליטה החל מיום 1 בינואר 2010 עסקאות עם זכויות שאינן מקנות שליטה, תוך שימור שליטה, מטופלות כעסקאות הוניות. כל ההפרש בין התמורה ששולמה או התקבלה לשינוי בזכויות שאינן מקנות שליטה נזקף לחלק הבעלים של החברה לקרן הון נפרדת. 6. זכויות שאינן מקנות שליטה זכויות שאינן מקנות שליטה הן ההון העצמי בחברות בנות שאינו ניתן לייחוס, במישרין או בעקיפין, לחברה האם. זכויות שאינן מקנות שליטה, שהינן מכשירים המקנים זכות בעלות בהווה והמעניקים למחזיק בהן חלק בנכסים נטו במקרה של פירוק (לדוגמה: מניות רגילות), נמדדות במועד צירוף העסקים בשווי הוגן או לפי חלקן היחסי בנכסים והתחייבויות של החברה הנרכשת, על בסיס כל עסקה בנפרד. לגבי רכישות שאירעו בין 1 בינואר 2007 ליום 1 בינואר 2010 זכויות שאינן מקנות שליטה נמדדו במועד צירוף העסקים לפי חלקן היחסי בנכסים והתחייבויות המזוהים של הנרכשת. החל מיום 1 בינואר 2010 רווח או הפסד וכל רכיב של רווח כולל אחר מיוחסים לבעלים של החברה ולזכויות שאינן מקנות שליטה. סך הכל רווח כולל מיוחס לבעלים של החברה ולזכויות שאינן מקנות שליטה גם אם כתוצאה מכך יתרת הזכויות שאינן מקנות שליטה תהיה שלילית.
  • 132.
    באורים לדוחות הכספייםליום 31 בדצמבר 2013 השקעות בערבון מוגבל 13 באור 3 - עיקרי המדיניות החשבונאית (המשך) ב. מטבע חוץ 1. עסקאות במטבע חוץ עסקאות במטבע חוץ מתורגמות למטבע הפעילות של הקבוצה לפי שער החליפין שבתוקף בתאריכי העסקאות. נכסים כספיים והתחייבויות כספיות הנקובים במטבע חוץ בתאריך הדיווח, מתורגמים למטבע הפעילות לפי שער החליפין שבתוקף לאותו יום. הפרשי שער בגין הסעיפים הכספיים הינו ההפרש שבין העלות המופחתת במטבע הפעילות בתחילת התקופה ולתשלומים במשך התקופה לבין העלות המופחתת במטבע חוץ מתורגמת לפי שער החליפין לסוף התקופה. הפרשי שער הנובעים מתרגום מוכרים ברווח והפסד. פריטים לא כספיים הנקובים במטבע חוץ והנמדדים לפי עלות היסטורית, מתורגמים לפי שער החליפין שבתוקף למועד העסקה. 2. פעילות חוץ הנכסים וההתחייבויות של פעילויות חוץ, כולל מוניטין והתאמות לשווי הוגן שנוצרו ברכישה, תורגמו לש"ח לפי שערי החליפין שבתוקף למועד הדיווח. ההכנסות וההוצאות של פעילויות החוץ, תורגמו לש"ח לפי שערי החליפין שבתוקף במועדי העסקאות. הפרשי השער בגין התרגום, החל ממועד המעבר, נזקפים לרווח כולל אחר ומוצגים בהון כחלק מקרן תרגום של פעילות חוץ. ג. מכשירים פיננסיים 1. מכשירים פיננסיים שאינם נגזרים מכשירים פיננסיים שאינם נגזרים כוללים לקוחות וחייבים אחרים, מזומנים ושווי מזומנים, הלוואות ואשראי שנתקבלו ואשראי ספקים וזכאים אחרים. ההכרה הראשונית במכשירים פיננסיים שאינם נגזרים הינה לפי שווי הוגן בתוספת, לגבי מכשירים שאינם מוצגים בשווי ההוגן דרך רווח והפסד, כל עלויות העסקה הישירות הניתנות לייחוס. לאחר ההכרה הראשונית, מכשירים פיננסיים שאינם נגזרים נמדדים כמפורט בהמשך. נכס פיננסי מוכר כאשר הקבוצה מקבלת על עצמה את התנאים החוזיים של המכשיר. נכסים פיננסיים נגרעים כאשר הזכויות החוזיות של הקבוצה לתזרימי המזומנים הנובעים מהנכסים הפיננסיים פוקעות, או כאשר הקבוצה מעבירה לאחרים את הנכסים הפיננסיים מבלי להשאיר בידה שליטה בנכס או מעבירה למעשה את כל הסיכונים regular way purchase ) , וההטבות הנובעים מהנכס. רכישות ומכירות של נכסים פיננסיים הנעשות בדרך הרגילה משמע, במועד בו התחייבה הקבוצה לקנות או למכור את ,(trade date) מוכרות במועד קשירת העסקה (or sale הנכס. התחייבויות פיננסיות נגרעות כאשר מחויבות הקבוצה, כמפורט בהסכם, פוקעת או כאשר היא סולקה או בוטלה. מזומנים ושווי מזומנים מזומנים כוללים יתרות מזומנים הניתנים לשימוש מיידי ופקדונות לפי דרישה. שווי מזומנים כוללים השקעות לזמן קצר ברמת נזילות גבוהה אשר ניתנות להמרה בנקל לסכומים ידועים של מזומנים ואשר חשופות לסיכון בלתי משמעותי של שינויים בשווי. הלוואות וחייבים הלוואות ויתרות חובה הינן נכסים פיננסים שאינם נגזרים בעלי תשלומים קבועים או הניתנים לקביעה שאינם נסחרים בשוק פעיל. לאחר ההכרה הראשונית, הלוואות ויתרות חובה נמדדות לפי העלות המופחתת לפי שיטת הריבית האפקטיבית תוך התחשבות בעלויות עסקה ובניכוי הפרשות לירידת ערך. התחייבויות פיננסיות התחייבויות פיננסיות שאינן נגזרות נמדדות בעלות מופחתת בשיטת הריבית האפקטיבית. נכס פיננסי והתחייבות פיננסית מקוזזים והסכומים מוצגים בדוח על המצב הכספי בנטו כאשר לקבוצה קיימת זכות משפטית ניתנת לאכיפה לקזז את הסכומים שהוכרו וכן כוונה לסלק את הנכס (currently) באופן מיידי וההתחייבות על בסיס נטו או לממש את הנכס ולסלק את ההתחייבות בו זמנית. 2. מכשירים פיננסיים נגזרים הקבוצה מחזיקה מכשירים פיננסיים נגזרים לצרכי גידור סיכוני מטבע חוץ (המהווים גידור כלכלי). נגזרים מוכרים לראשונה לפי שווי הוגן; עלויות עסקה הניתנות לייחוס נזקפות לרווח והפסד עם התהוותן. לאחר ההכרה הראשונית, נמדדים הנגזרים לפי שווי הוגן, כשהשינויים בשווי ההוגן מטופלים כמתואר להלן: גידור כלכלי חשבונאות גידור אינה מיושמת לגבי מכשירים נגזרים המשמשים לגידור כלכלי של נכסים והתחייבויות פיננסיים הנקובים במטבע חוץ. השינויים בשווי ההוגן של נגזרים אלה נזקפים לרווח והפסד, כחלק מרווחים או הפסדים ממטבע חוץ.
  • 133.
    באורים לדוחות הכספייםליום 31 בדצמבר 2013 השקעות בערבון מוגבל 14 באור 3 - עיקרי המדיניות החשבונאית (המשך) ג. מכשירים פיננסיים (המשך) 3. נכסים והתחייבויות צמודי מדד שאינם נמדדים לפי שווי הוגן ערכם של נכסים והתחייבויות פיננסים צמודי מדד שאינם נמדדים בשווי הוגן, משוערך בכל תקופה בהתאם לשיעור עלית המדד בפועל. 4. פרוט ניהול סיכונים בגין מכשירים פיננסים וחשיפות הקבוצה לסיכון אשראי, סיכון נזילות וסיכוני שוק, מפורטים . בביאור 24 ד. רכוש קבוע 1. הכרה ומדידה פריטי רכוש קבוע נמדדים לפי העלות בניכוי פחת שנצבר והפסדים מירידת ערך. עלות ) IFRS - העלות של מספר פריטי רכוש קבוע נקבעה לפי שוויים ההוגן ליום 1 בינואר 2007 , מועד המעבר ל נחשבת). העלות כוללת יציאות הניתנות לייחוס במישרין לרכישת הנכס. עלות נכסים שהוקמו באופן עצמי כוללת את עלות החומרים ושכר עבודה ישיר, וכן כל עלות נוספת שניתן לייחס במישרין להבאת הנכס למיקום ולמצב הדרושים לכך שהוא יוכל לפעול באופן שהתכוונה ההנהלה. עלות תוכנה שנרכשה, המהווה חלק בלתי נפרד מתפעול הציוד המתייחס, מוכרת כחלק מעלות ציוד זה. כאשר לחלקי רכוש קבוע משמעותיים (לרבות עלויות של בדיקות תקופתיות משמעותיות) יש אורך חיים שונה, הם מטופלים כפריטים נפרדים (רכיבים משמעותיים) של הרכוש הקבוע. רווח או הפסד מגריעת פריט רכוש קבוע נקבעים לפי השוואת התמורה נטו מגריעת הנכס לערך בספרים, ומוכרים נטו בסעיף הכנסות או הוצאות אחרות בדוח רווח והפסד. 2. עלויות עוקבות עלות החלפת חלק מפריט רכוש קבוע מוכרת כחלק מהערך בספרים של אותו פריט אם צפוי כי התועלת הכלכלית העתידית הגלומה בפריט תזרום אל הקבוצה וכי עלותו ניתנת למדידה באופן מהימן. הערך בספרים של החלק שהוחלף נגרע. עלויות תחזוקה שוטפות נזקפות לרווח והפסד עם התהוותן. 3. נכסים חכורים קרקעות בחכירה מהוונת ממנהל מקרקעי ישראל בהן נושאת הקבוצה באופן מהותי בכל הסיכונים והתשואות מהנכס, מסווגות כחכירות מימוניות. יתר החכירות מסווגות כחכירות תפעוליות, כאשר הנכסים החכורים אינם מוכרים בדוח על המצב הכספי של הקבוצה. בחכירה של קרקע ומבנים, מרכיבי הקרקע והמבנים נבחנים בנפרד לצרכי סיווג החכירות, כאשר שיקול משמעותי בסיווג מרכיב הקרקע הינו העובדה כי קרקע בדרך כלל בעלת אורך חיים בלתי מוגדר. 4. פחת פחת הוא הקצאה שיטתית של הסכום בר פחת של נכס על פני אורך חייו השימושיים. סכום בר פחת הוא העלות של הנכס או סכום אחר המחליף את העלות, בניכוי ערך השייר של הנכס. פחת נזקף לדוח רווח והפסד לפי שיטת הקו הישר על פני אומדן אורך החיים השימושי של כל חלק מפריטי הרכוש הקבוע מאחר ושיטה זו משקפת את תבנית הצריכה החזויה של ההטבות הכלכליות העתידיות הגלומות בנכס בצורה הטובה ביותר. נכסים חכורים בחכירות מימוניות לרבות קרקעות, מופחתים על פני התקופה הקצרה מבין תקופת החכירה ותקופת השימוש בנכסים. קרקעות בבעלות אינן מופחתות. אומדן אורך החיים השימושי לתקופה השוטפת ולתקופות ההשוואתיות הינו כדלקמן: מבנים 20-35 שנים מכונות 10-20 שנים מחשבים, רהוט וציוד 3-5 שנים כלי רכב 4-7 שנים שיפורים במושכר לאורך תקופת השכירות קרקע בחכירה לאורך תקופת החכירה עודף עלות ההשקעה שיוחס לנכסים ספציפיים מופחת לפי יתרת תקופת הפחתתם במועד שבו יוחס עודף העלות. האומדנים בדבר שיטת הפחת, אורך החיים השימושי וערך השייר נבחנים מחדש לפחות בכל סוף שנת דיווח.
  • 134.
    באורים לדוחות הכספייםליום 31 בדצמבר 2013 השקעות בערבון מוגבל 15 באור 3 - עיקרי המדיניות החשבונאית (המשך) ה. נכסים בלתי מוחשיים 1. מוניטין ונכסים בלתי מוחשיים בעלי אורך חיים בלתי מוגדר מוניטין ונכסים בלתי מוחשיים בעלי אורך חיים בלתי מוגדר שנוצרו כתוצאה מרכישה של חברות בנות, נכללו במסגרת סעיף נכסים בלתי מוחשיים. למידע בדבר מדידת המוניטין בעת ההכרה לראשונה ראה סעיף א ( 1) לעיל. בתקופות עוקבות מוניטין נמדד לפי עלות בניכוי הפסדים מירידת ערך שנצברו. 2. נכסים בלתי מוחשיים אחרים נכסים בלתי מוחשיים אחרים שנרכשו על ידי הקבוצה, בעלי אורך חיים מוגדר, נמדדים לפי עלות בניכוי הפחתות והפסדים מירידת ערך שנצברו. 3. עלויות עוקבות עלויות עוקבות מוכרות כנכס בלתי מוחשי אך ורק כאשר הן מגדילות את ההטבה הכלכלית העתידית הגלומה בנכס בגינו הן הוצאו. כל העלויות האחרות, לרבות עלויות הקשורות למוניטין או מותגים שפותחו באופן עצמי, נזקפות לדוח רווח והפסד עם התהוותן. 4. הפחתה הפחתה היא הקצאה שיטתית של הסכום בר פחת של נכס בלתי מוחשי על פני אורך חייו השימושיים. סכום בר פחת הוא העלות של הנכס, בניכוי ערך השייר שלו. הפחתה נזקפת לדוח רווח והפסד לפי שיטת הקו הישר על פני אומדן אורך החיים השימושיים של הנכסים הבלתי מוחשיים מהמועד שבו הנכסים זמינים לשימוש, מאחר ושיטה זו משקפת את תבנית הצריכה החזויה של ההטבות הכלכליות העתידיות הגלומות בכל נכס בצורה הטובה ביותר. מוניטין ונכסים בלתי מוחשיים בעלי אורך חיים בלתי מוגדר אינם מופחתים באופן שיטתי אלא נבחנים לפחות אחת לשנה לצורך ירידת ערך. אומדן אורך החיים השימושי לתקופה הנוכחית ולתקופות השוואתיות הינו: זכות שימוש בתוכנות מחשב 3-5 שנים ציוד לפרסום וקידום מכירות 3-5 שנים קשרי לקוחות, ידע, מותג ואי תחרות 3-10 שנים האומדנים בדבר שיטת הפחת ואורך החיים השימושי נבחנים מחדש לפחות בכל סוף שנת דיווח. נכסים בלתי מוחשיים בעלי אורך חיים בלתי מוגדר כוללים מותג בעל אורך חיים שימושיים בלתי מוגדר מאחר ואין הגבלה נראית לעין של התקופה שבה המותג חזוי להפיק תזרימי מזומנים חיוביים נטו לחברה. הקבוצה בוחנת את אומדן אורך החיים השימושי של נכס בלתי מוחשי שאינו מופחת בכל תקופה על מנת לקבוע האם האירועים והנסיבות ממשיכים לתמוך בקביעה כי לנכס הבלתי מוחשי אורך חיים בלתי מוגדר. ו. מלאי מלאי נמדד כנמוך מבין העלות וערך המימוש נטו. עלות המלאי כוללת את העלויות לרכישת המלאי ולהבאתו למקומו ולמצבו הקיימים. במקרה של מלאי בתהליך ייצור ומלאי מוצרים גמורים, כוללת העלות את החלק המיוחס של תקורות הייצור, המבוסס על קיבולת נורמלית. עלות המלאי של חומרי גלם ומוצרים גמורים קנויים נקבעת לפי שיטת העלות הממוצעת המשוקללת משמשת לחישוב עלות המלאים ,(FIFO) " שיטת "נכנס ראשון יוצא ראשון האחרים. ערך המימוש נטו הוא אומדן מחיר המכירה במהלך העסקים הרגיל, בניכוי אומדן העלות להשלמה ואומדן העלויות הדרושות לביצוע המכירה. ז. ירידת ערך 1. נכסים פיננסיים ירידת ערך של נכס פיננסי שאינו מוצג בשווי הוגן דרך רווח והפסד נבחנת כאשר קיימת ראייה אובייקטיבית לכך שאירוע אחד או יותר השפיעו באופן שלילי על אומדן תזרימי המזומנים העתידיים של הנכס. הפסד מירידת ערך של נכס פיננסי, הנמדד לפי עלות מופחתת, מחושב כהפרש בין ערך הנכס בספרים לבין הערך הנוכחי של אומדן תזרימי המזומנים העתידיים, מהוון בשיעור הריבית האפקטיבית המקורית. עבור נכסים פיננסיים מהותיים, נבחן הצורך בירידת ערך על בסיס כל נכס בנפרד. עבור יתר הנכסים הפיננסיים נבחן הצורך בירידת ערך באופן קולקטיבי, לפי קבוצות בעלות מאפייני סיכוני אשראי דומים. כל ההפסדים מירידת ערך נזקפו לרווח והפסד. הפסד מירידת ערך מבוטל כאשר ניתן לייחסו באופן אובייקטיבי לאירוע שהתרחש לאחר ההכרה בהפסד מירידת הערך.
  • 135.
    באורים לדוחות הכספייםליום 31 בדצמבר 2013 השקעות בערבון מוגבל 16 באור 3 - עיקרי המדיניות החשבונאית (המשך) ז. ירידת ערך (המשך) 2. נכסים שאינם פיננסיים הערך בספרים של הנכסים הלא פיננסיים של הקבוצה, שאינם מלאי ונכסי מס נדחים, נבדק בכל מועד דיווח כדי לקבוע האם קיימים סימנים המצביעים על ירידת ערך. באם קיימים סימנים, כאמור, מחושב אומדן סכום בר ההשבה של הנכס. בתקופות עוקבות, מבצעת הקבוצה, אחת לשנה בתאריך קבוע עבור כל נכס, הערכה של הסכום בר ההשבה של מוניטין ונכסים בלתי מוחשיים בעלי אורך חיים בלתי מוגדר או שאינם זמינים לשימוש, או באופן תכוף יותר אם קיימים סימנים לירידת ערך. הסכום בר ההשבה של נכס או של יחידה מניבת מזומנים הינו הגבוה מבין שווי השימוש ומחיר המכירה נטו (שווי הוגן, בניכוי הוצאות מכירה). בקביעת שווי השימוש, מהוונת הקבוצה את תזרימי המזומנים העתידיים החזויים לפי שיעור היוון, המשקף את הערכות השוק לגבי ערך הזמן של הכסף והסיכונים הספציפיים המתייחסים לנכס. למטרת בחינת ירידת ערך, הנכסים מקובצים יחד לקבוצת הנכסים הקטנה ביותר אשר מניבה תזרימי מזומנים משימוש מתמשך, אשר הינם בלתי תלויים בעיקרם בנכסים ובקבוצות אחרות ("יחידה מניבת מזומנים"). למטרת בחינת ירידת ערך של מוניטין, יחידות מניבות מזומנים אליהן הוקצה מוניטין מקובצות כך שהרמה בה נבחנת ירידת ערך מוניטין משקפת את הרמה הנמוכה ביותר בה המוניטין נתון למעקב לצרכי דיווח פנימי אך בכל מקרה אינה גדולה ממיגזר פעילות. מוניטין שנרכש במסגרת צירוף עסקים מוקצה למטרת בחינת ירידת ערך ליחידות מניבות מזומנים אשר צפויות להניב הטבות מהסינרגיה של הצירוף. הפסדים מירידת ערך מוכרים כאשר הערך בספרים של הנכס או של יחידה מניבת מזומנים אליה הנכס משתייך עולה על הסכום בר ההשבה, ונזקפים לרווח והפסד. הפסדים מירידת ערך שהוכרו לגבי יחידות מניבות מזומנים, מוקצים תחילה להפחתת הערך בספרים של מוניטין שיוחס ליחידות אלה ולאחר מכן להפחתת הערך בספרים של הנכסים האחרים ביחידה מניבת המזומנים, באופן יחסי. ח. הטבות לעובדים 1. הטבות לאחר סיום העסקה בקבוצה קיימות מספר תכניות הטבה לאחר העסקה. התכניות ממומנות בדרך כלל על ידי הפקדות לחברות ביטוח או לקרנות המנוהלות בידי נאמן, והן מסווגות כתכניות הפקדה מוגדרת וכן כתכניות הטבה מוגדרת. א. תכניות להפקדה מוגדרת תוכנית להפקדה מוגדרת הינה תוכנית לאחר סיום העסקה שלפיה הקבוצה משלמת תשלומים קבועים לישות נפרדת מבלי שתהיה לה מחויבות משפטית או משתמעת לשלם תשלומים נוספים מחויבויות הקבוצה להפקיד בתכנית הפקדה מוגדרת, נזקפות כהוצאה לרווח והפסד במועד בו נוצרת המחויבות להפקיד. ב. תכניות להטבה מוגדרת תוכנית להטבה מוגדרת הינה תוכנית הטבה לאחר סיום העסקה שאינה תוכנית להפקדה מוגדרת מחויבות נטו של הקבוצה, המתייחסת לתכנית הטבה מוגדרת בגין הטבות לאחר סיום העסקה, מחושבת לגבי כל תכנית בנפרד על ידי אומדן הסכום העתידי של ההטבה שיגיע לעובד בתמורה לשירותיו, בתקופה השוטפת ובתקופות קודמות. הטבה זו מוצגת לפי ערך נוכחי בניכוי השווי ההוגן של נכסי התכנית. שיעור ההיוון נקבע בהתאם לתשואה במועד הדיווח על אגרות חוב ממשלתיות, שהמטבע שלהן ומועד פירעונן דומים לתנאי המחויבות של הקבוצה. החישובים נערכים על ידי אקטואר מוסמך לפי שיטת יחידת הזכאות החזויה. כאשר לפי תוצאות החישובים נוצר נכס לקבוצה, מוכר נכס עד לסכום נטו של הערך הנוכחי של הטבות כלכליות הזמינות בצורה של החזר מהתוכנית או הקטנה בהפקדות עתידיות לתוכנית. הטבה כלכלית בצורת החזרים או הקטנת הפקדות עתידיות תחשב זמינה כאשר ניתן לממשה במהלך חיי התוכנית או לאחר סילוק המחויבות. כאשר קיימת חובה, במסגרת דרישת הפקדה מזערית, לתשלום סכומים נוספים ביחס לשירותים שניתנו בעבר, מכירה החברה במחויבות נוספת (הגדלת התחייבות נטו או הקטנת נכס נטו), במידה בה סכומים כאמור לא יהיו זמינים כהטבה כלכלית בצורה של החזר מהתוכנית או הקטנה בהפקדות עתידיות. מדידה מחדש של ההתחייבות, נטו בגין הטבה מוגדרת כוללת רווחים והפסדים אקטואריים, תשואה על נכסי תוכנית (למעט ריבית), וכן שינוי כלשהו בהשפעה על תקרת הנכסים (ככל שרלוונטי, למעט ריבית). מדידות מחדש נזקפות מיידית, דרך רווח כולל אחר ישירות לעודפים. עלויות ריבית בגין מחויבות להטבה מוגדרת, הכנסות ריבית בגין נכסי התוכנית וריבית בגין ההשפעה של תקרת הנכסים ללא רווח נזקפים לרווח והפסד. כאשר חל שיפור בהטבות שמעניקה הקבוצה לעובדים, אותו חלק מההטבות המוגדלות המייחס לשירותי עבר של העובדים מוכרים מיידית ברווח או הפסד כאשר מתרחש התיקון של התכנית. לקבוצה קיימות פוליסות ביטוחי מנהלים אשר הוצאו לפני שנת 2004 ולפי תנאי הפוליסות יתרת הרווח הריאלי שהצטבר על רכיב הפיצויים תשולם לעובד במועד פרישתו. בגין פוליסות כאמור, נכסי התוכנית כוללים הן את יתרת רכיב הפיצויים והן את יתרת הרווח הריאלי שהצטבר (במידה שהצטבר) על הפקדות לפיצויים עד למועד הדיווח ומוצגים בשווי הוגן. נכסי תוכנית אלה משמשים לתוכנית הטבה מוגדרת הכוללת שני רכיבי התחייבות: רכיב תוכנית הטבה מוגדרת בגין הפיצויים, המחושבת באופן אקטוארי כאמור לעיל, ורכיב נוסף שהינו המחויבות לתשלום של יתרת הרווח הריאלי שהצטבר (במידה שהצטבר) במועד פרישת העובד. רכיב זה נמדד בגובה יתרת הרווח הריאלי שהצטבר בפועל למועד הדיווח.
  • 136.
    באורים לדוחות הכספייםליום 31 בדצמבר 2013 השקעות בערבון מוגבל 17 באור 3 - עיקרי המדיניות החשבונאית (המשך) ח. הטבות לעובדים (המשך) ב. תכניות להטבה מוגדרת (המשך) החברה מקזזת נכס המתייחס לתכנית הטבה אחת מול התחיבות המתייחסת לתוכנית אחרת רק כאשר יש זכות לאכיפה משפטית להשתמש בעודף התוכנית האחת כדי לסלק מחויבות בגין התכנית האחרת וכן יש כונה לסלק את המחויבות על בסיס נטו. 2. הטבות אחרות לטווח ארוך המחויבות נטו של הקבוצה בגין הטבות לעובדים לטווח ארוך, שאינן מתייחסות לתכניות הטבה לאחר העסקה, היא בגין סכום ההטבה העתידית המגיעה לעובדים בגין שירותים שהוענקו בתקופה השוטפת ובתקופות קודמות. סכום הטבות אלו מהוון לערכו הנוכחי ומנוכה ממנו השווי ההוגן של נכסים המתייחסים למחויבות זו. שיעור ההיוון נקבע בהתאם לתשואה במועד הדיווח על אגרות חוב ממשלתיות שהמטבע שלהן ומועד הפירעון שלהן דומים לתנאי המחויבויות של הקבוצה. החישוב נעשה לפי שיטת יחידת הזכאות החזויה. רווחים והפסדים אקטואריים נזקפים לרווח והפסד בתקופה בה הם נוצרו. 3. הטבות בגין פיטורין הטבות בגין פיטורין מוכרות כהוצאה כאשר הקבוצה התחייבה באופן מובהק, ללא אפשרות ממשית לביטול, לפיטורי עובדים לפני הגיעם למועד הפרישה המקובל על פי תכנית פורמאלית מפורטת. הטבות הניתנות לעובדים בפרישה מרצון נזקפות כהוצאה כאשר הקבוצה הציעה לעובדים תכנית המעודדת פרישה מרצון, צפוי שההצעה תתקבל וניתן לאמוד באופן מהימן את מספר הנענים להצעה. 4. הטבות לטווח קצר מחויבויות בגין הטבות לעובדים לזמן קצר נמדדות על בסיס לא מהוון, וההוצאה נזקפת בעת שניתן השירות המתייחס. הפרשה בגין הטבות לעובדים לטווח קצר בגין בונוס במזומן או תכנית השתתפות ברווחים, מוכרת כאשר לקבוצה יש מחויבות נוכחית משפטית או משתמעת לשלם את הסכום האמור בגין שירות שניתן על ידי העובד בעבר וניתן לאמוד באופן מהימן את המחוייבות. סיווג הטבות לעובדים לצרכי מדידה כהטבות לטווח קצר או כהטבות אחרות לטווח ארוך נקבע בהתאם להנחיות החברה לסילוק המלא של ההטבות. 5. עסקאות תשלומים מבוססי מניות השווי ההוגן של הסכום המגיע לעובדים בגין זכויות לעליית ערך מניות, המסולקות במזומן, נזקף כהוצאה, כנגד גידול מקביל בהתחייבויות, על פני התקופה בה מושגת זכאות העובדים לתשלום. ההתחייבות נמדדת מחדש בכל מועד דיווח, עד הסילוק. כל שינוי בשווי ההוגן של ההתחייבות נזקף כהוצאת שכר ברווח והפסד. ט. הפרשות 1. הפרשה מוכרת כאשר לקבוצה יש מחויבות נוכחית משפטית או משתמעת כתוצאה מאירוע שהתרחש בעבר הניתנת לעמידה בצורה מהימנה וכאשר צפוי כי תידרש זרימת הטבות כלכליות לסילוק המחויבות. 2. תביעות משפטיות הפרשה בגין תביעות מוכרת כאשר לקבוצה קיימת מחויבות משפטית בהווה או מחויבות משתמעת כתוצאה כי הקבוצה תידרש למשאביה הכלכליים (more likely than not) מאירוע שהתרחש בעבר, יותר סביר מאשר לא לסילוק המחויבות וניתן לאמוד אותה באופן מהימן. י. הכנסות 1. מכירת סחורות ההכנסה ממכירת סחורות נמדדת על פי השווי ההוגן של התמורה שנתקבלה או העומדת להתקבל, בניכוי החזרות והנחות, הנחות מסחריות והנחות כמות. במקרים בהם תקופת האשראי היא קצרה ומהווה את האשראי המקובל בענף התמורה העתידית אינה מהוונת. הקבוצה מכירה בהכנסה כאשר הסיכונים המשמעותיים וההנאות מהבעלות על הסחורה עוברים לקונה, קבלת התמורה צפויה, קיימת אפשרות להעריך באופן מהימן את אפשרות החזרת הסחורה והעלויות שהתהוו או שיתהוו בגין העסקה ניתנות לאמידה באופן מהימן, כאשר אין להנהלה מעורבות נמשכת עם הסחורה, וכן ההכנסה ניתנת למדידה באופן מהימן. העברת הסיכונים והתשואות משתנה בהתאם לתנאים הספציפיים של חוזה המכירה. לגבי מכירת מוצרים בישראל, העברת הסיכונים והתשואות מתקיימת, בדרך כלל, כאשר המוצרים מגיעים למחסניו של הלקוח, ואולם לגבי משלוחים בינלאומיים מסוימים מתקיימת ההעברה כאשר הסחורה מועמסת על כלי התחבורה של המוביל. 2. עמלות כאשר הקבוצה פועלת, במסגרת עסקה, כסוכן ולא כספק עיקרי, מוכרת ההכנסה בגובה סכום העמלה נטו.
  • 137.
    באורים לדוחות הכספייםליום 31 בדצמבר 2013 השקעות בערבון מוגבל 18 באור 3 - עיקרי המדיניות החשבונאית (המשך) י. הכנסות (המשך) 3. מענקי ממשלה מענקי ממשלה מוכרים לראשונה כאשר קיים ביטחון סביר שהם יתקבלו ושהקבוצה תעמוד בתנאים המזכים בקבלתם. מענקים המתקבלים כפיצוי על הוצאות בהן נשאה הקבוצה, נזקפים לדוח רווח והפסד באופן שיטתי, באותן תקופות בהן נזקפות ההוצאות לדוח רווח והפסד. מענקי ממשלה המתקבלים לצורך רכישת נכס, מוצגים בניכוי מהנכס המתייחס ונזקפים לדוח רווח והפסד באופן שיטתי, לאורך תקופת החיים השימושיים של הנכס. ,(forgivable loans) מענקים מהמדען הראשי בגין פרויקטי מחקר ופיתוח מטופלים כהלוואות הניתנות למחילה בהתאם להוראות תקן חשבונאות בינלאומי 20 . בהתאם, מענקי מדען שהתקבלו מוכרים כהתחייבות לפי שוויה ההוגן ביום קבלת המענקים, אלא אם כן באותו יום וודאי באופן סביר כי הסכום שהתקבל לא יוחזר. סכום ההתחייבות נבחן מחדש בכל תקופה, והשינויים, אם קיימים, בערך הנוכחי של תזרימי המזומנים המהוונים בריבית המקורית של המענק נזקפים לדוח רווח והפסד. יא. הכנסות והוצאות מימון הכנסות מימון כוללות הכנסות ריבית בגין סכומים שהושקעו, רווחים ממכירת נכסים פיננסיים, שינויים בשווי ההוגן של נכסים פיננסיים המוצגים בשווי הוגן דרך רווח והפסד ורווחים מהפרשי שער. הכנסות ריבית מוכרות עם צבירתן, באמצעות שיטת הריבית האפקטיבית. הוצאות מימון כוללות הוצאות ריבית על הלוואות שנתקבלו, שינויים בערך הזמן של הפרשות, שינויים בשווי ההוגן של נכסים פיננסיים המוצגים בשווי הוגן דרך רווח והפסד והפסדים מירידת ערך של נכסים פיננסיים. עלויות האשראי, שאינן מהוונות, נזקפות לדוח רווח והפסד לפי שיטת הריבית האפקטיבית. רווחים והפסדים מהפרשי שער מדווחים בנטו. יב. הוצאת מסים על הכנסה א. הוצאת מסים על הכנסה כוללת מסים שוטפים ונדחים. הוצאת מסים על הכנסה נזקפת לדוח רווח והפסד אלא אם המס נובע מעסקה או אירוע אשר מוכרים ישירות להון. במקרים אלו, הוצאת המסים על הכנסה נזקפת לרווח כולל אחר. המס השוטף הינו סכום המס הצפוי להשתלם על ההכנסה החייבת במס לשנה, כשהוא מחושב לפי שיעורי המס החלים לפי החוק שנחקק או נחקק למעשה לתאריך המאזן, והכולל שינויים בתשלומי המס המתייחסים לשנים קודמות. ההכרה במסים נדחים הינה בהתאם לשיטה המאזנית, בהתייחס להפרשים זמניים בין הערך בספרים של נכסים והתחייבויות לצורך דיווח כספי לבין ערכם לצרכי מסים. החברה לא מכירה במסים נדחים לגבי ההפרשים הזמניים הבאים: ההכרה לראשונה במוניטין, ההכרה לראשונה בנכסים ובהתחייבויות בעסקה שאינה מהווה צירוף עסקים ושאינה משפיעה על הרווח החשבונאי ועל הרווח לצרכי מס, וכן הפרשים הנובעים מהשקעה בחברות בנות, במידה ואין זה צפוי שהם יתהפכו בעתיד הנראה לעין. המסים הנדחים נמדדים לפי שיעורי המס הצפויים לחול על ההפרשים הזמניים במועד בו ימומשו, בהתבסס על החוקים שנחקקו או שנחקקו למעשה לתאריך המאזן. ב. נכס מס נדחה מוכר בספרים כאשר צפוי שבעתיד תהיה הכנסה חייבת, שכנגדה ניתן יהיה לנצל את ההפרשים הזמניים. נכסי המסים הנדחים נבדקים בכל תאריך מאזן, ובמידה ולא צפוי כי הטבות המס המתייחסות תתממשנה, הם מופחתים. הקבוצה עשויה להתחייב בתוספת מס במקרה של חלוקת דיבידנדים בין חברות הקבוצה. תוספת מס זו לא נכללה בדוחות הכספיים לאור מדיניות חברות הקבוצה שלא לגרום לחלוקת דיבידנד הכרוכה בתוספת מס לקבוצה בעתיד הנראה לעין. ג. מיסים על הכנסה בעסקאות בינחברתיות מס נדחה בגין עסקאות בינחברתיות בדוח המאוחד נרשם לפי שיעור המס של החברה הרוכשת. ד. קיזוז נכסי והתחיבות מיסים נדחים החברה מקזזת נכסי והתחיבות מיסים נדחים במידה וקימת זכות חוקית הניתנת לאכיפה לקיזוז נכסי והתחיבות מיסים שוטפים, והם מיוחסים לאותה הכנסה חייבת במס הממוסה על ידי אותה רשות מס באותה החברה נישומה, או בחברות שונות אשר בכוונתן לסלק נכסים והתחיבויות מיסים שוטפים על בסיס נטו או שנכסי והתחיבות המיסים מיושבים בו זמנית.
  • 138.
    באורים לדוחות הכספייםליום 31 בדצמבר 2013 השקעות בערבון מוגבל 19 באור 3 - עיקרי המדיניות החשבונאית (המשך) יג. רווח למניה הקבוצה מציגה נתוני רווח למניה בסיסי ומדולל לגבי הון המניות הרגילות שלה. הרווח הבסיסי למניה מחושב על ידי חלוקת הרווח או ההפסד המיוחסים לבעלי המניות הרגילות של הקבוצה במספר הממוצע המשוקלל של המניות הרגילות שהיו במחזור במשך התקופה. יד. עסקאות עם בעל שליטה נכסים והתחייבויות שלגביהם בוצעה עסקה עם בעל שליטה נמדדים לפי שווי הוגן במועד העסקה. בשל העובדה כי מדובר בעסקה במישור ההוני, זוקפת החברה את ההפרש בין השווי ההוגן לבין התמורה מהעסקה להון. טו. תקנים חדשים ופרשנויות שטרם אומצו IAS 39 - מכשירים פיננסיים. התקן מחליף את הדרישות המופיעות ב ,IFRS 9 (2010) תקן דיווח כספי בינלאומי ביחס לסיווג ומדידה של נכסים פיננסיים והתחייבויות פיננסיות. בהתאם לתקן, ישנן שתי קטגוריות עיקריות של מדידת נכסים פיננסיים: עלות מופחתת ושווי הוגן. בסיס הסיווג לגבי מכשירי חוב מתבסס על המודל העסקי של הישות לניהול נכסים פיננסיים ועל מאפייני תזרימי המזומנים החוזיים של הנכס הפיננסי. כמו כן, השקעה במכשירים הונים תימדד לפי שווי הוגן כאשר שינויים בשווי ההוגן יזקפו לרווח והפסד. יחד עם זאת, התקן מאפשר בעת ההכרה הראשונית במכשיר הוני שאינו מוחזק למסחר, לבחור להציג שינויים בשווי ההוגן של מכשיר הוני במסגרת הרווח הכולל האחר, כאשר הסכומים שיזקפו לרווח הכולל האחר לא יסווגו לעולם לרווח והפסד. עם .IAS 39 - התקן שמר ככלל את ההוראות המתייחסות לסיווג ומדידה של התחייבויות פיננסיות, כפי שהופיעו ב דורש ככלל כי השינוי בשווי הוגן של התחייבויות פיננסיות שיועדו לשווי IFRS 9 (2010) ,IAS 39- זאת, בשונה מ הוגן דרך רווח והפסד, למעט מחויבות למתן הלוואה וחוזי ערבות פיננסית, המיוחס לשינויים בסיכון האשראי של ההתחייבות יוכר ברווח כולל אחר, כאשר יתרת הסכום תוכר ברווח והפסד. מועד התחילה המנדטורי של התקן טרם נקבע. יישום מוקדם מותר, בכפוף למתן גילוי וכן בכפוף לאימוץ במקביל אחרים, המפורטים בנספח לתקן. יישום התקן ייעשה בדרך של יישום למפרע, למעט IFRS של התיקונים לתקני הקלות מסוימות, בהתאם להוראות המעבר המפורטות בתקן. הקבוצה טרם החלה בבחינת ההשלכות של אימוץ התקן על הדוחות הכספיים.
  • 139.
    באורים לדוחות הכספייםליום 31 בדצמבר 2013 השקעות בערבון מוגבל 20 באור 4 - קביעת שווי הוגן כחלק מכללי המדיניות החשבונאית ודרישות הגילוי, נדרשת הקבוצה לקבוע את השווי ההוגן של נכסים והתחייבויות פיננסיים ושאינם פיננסיים. ערכי השווי ההוגן נקבעו לצרכי מדידה ו/או גילוי על בסיס השיטות המתוארות להלן. מידע נוסף לגבי ההנחות ששימשו בקביעת ערכי השווי ההוגן ניתן בביאורים המתייחסים לאותו נכס או התחייבות. א. רכוש קבוע השווי ההוגן של רכוש קבוע, שהוכר במסגרת צירוף עסקים, מבוסס על ערכי שוק. שווי השוק של רכוש קבוע הינו אומדן הסכום שבו ניתן היה להחליף את הרכוש הקבוע ביום ביצוע ההערכה, בעסקה בין קונה מרצון למוכר מרצון. ב. נכסים בלתי מוחשיים השווי ההוגן של פטנטים וסימנים מסחריים, אשר נרכשו בצירוף עסקים, מבוסס על הערך המהוון של אומדן התמלוגים אשר נדרש היה לשלם, אלמלא הבעלות על הפטנט או הסימן המסחרי. השווי ההוגן של נכסים בלתי מוחשיים אחרים מבוסס על הערך המהוון של תזרימי המזומנים הצפויים לנבוע מהשימוש בנכסים וממכירתם. ג. מלאי השווי ההוגן של מלאי נקבע על בסיס אומדן מחיר המכירה של המלאי במהלך העסקים הרגיל, בניכוי אומדן העלויות להשלמתו ולמכירתו, וכן מרווח סביר המבוסס על המאמצים הנדרשים להשלמת ולמכירת המלאי. ד. נגזרים Listed ) , על מטבע חוץ מבוסס על מחירי השוק הרשומים שלהם (Forward) השווי ההוגן של חוזי אקדמה באם זמינים. בהעדר מחירי שוק כאמור, נאמד השווי ההוגן על בסיס היוון ההפרש בין מחיר ה- (market price הנוכחי בגין יתרת התקופה של החוזה עד לפדיון, תוך שימוש Forward - הנקוב בחוזה לבין מחיר ה Forward בשיעור ריבית מתאים. ה. התחייבויות פיננסיות שאינן נגזרות השווי ההוגן, אשר נקבע לצורך מתן גילוי, מחושב על בסיס הערך הנוכחי של תזרימי המזומנים העתידיים בגין מרכיב הקרן והריבית, המהוונים על פי שיעור ריבית השוק למועד הדיווח. ו. שווי הוגן של עסקאות תשלום מבוסס מניות השווי ההוגן של אופציות פאנטום מבוסס על הנחות מסוימות לרבות בין היתר סטיית התקן הצפויה של מחיר המניה. וכן אומדנים הקשורים לתחזיות הרווח למניה.
  • 140.
    באורים לדוחות הכספייםליום 31 בדצמבר 2013 השקעות בערבון מוגבל 21 באור 5 - מזומנים ושווי מזומנים ההרכב: שיעור ריבית ליום 31 בדצמבר ליום 31 בדצמבר 2012 2013 2013 % אלפי ₪ אלפי ₪ 51,629 יתרות בקופה ובבנקים 60,445 8,636 267,614 פקדונות לפי דרישה 0.23-1.65 60,265 328,059 באור 6 - לקוחות ההרכב: ליום 31 בדצמבר 2012 2013 אלפי ₪ אלפי ₪ 565,483 חובות פתוחים 588,952 130,803 המחאות לגביה 124,250 696,286 713,202 19,841 בניכוי - הפרשה לחובות מסופקים 24,721 676,445 688,481 באור 7 - חייבים ויתרות חובה ההרכב: ליום 31 בדצמבר 2012 2013 אלפי ₪ אלפי ₪ 2,773 עובדים חייבים 2,527 13,430 מקדמות לספקים 1,379 11,848 הוצאות מראש 15,057 9,845 חייבים אחרים 8,699 37,896 27,662
  • 141.
    באורים לדוחות הכספייםליום 31 בדצמבר 2013 השקעות בערבון מוגבל 22 באור 8 - מלאי ההרכב: ליום 31 בדצמבר 2012 2013 אלפי ₪ אלפי ₪ 68,494 חומרי גלם 62,574 39,375 חומרי אריזה ועזר 40,988 19,522 תוצרת בעיבוד 17,611 245,667 תוצרת גמורה וקנויה 237,050 373,058 358,223 33,666 מלאי בדרך 31,884 406,724 390,107 באור 9 - השקעות אחרות ההרכב: שיעור ריבית ליום 31 בדצמבר ליום 31 בדצמבר 2012 2013 2013 % אלפי ₪ אלפי ₪ 1,483 1,328 הלוואה לזמן קצר צמוד למדד + 4% - 5,739 פיקדון בלירה שטרלינג 1% יעודה לדמי מחלה - 12,187 13,670 7,067 באור 10 - חברות מאוחדות א. פרטים בדבר ההשקעות המהותיות בחברות מאוחדות המוחזקות על ידי החברה זכויות היקף השקעה ליום 31 בדצמבר 2012 שם החברה החברה 2013 בהון אלפי ₪ אלפי ₪ 461,337 523,564 (*) אסם תעשיות מזון בע"מ 100% 120,681 137,704 נגה גלידות שותפות מוגבלת 100% 704,006 730,081 טבעול ( 1993 ) בע"מ 100% ( * ) מאחר ומדובר בשליטה במישרין או בעקיפין של 100% , הוצג מלא הערך המאזני ולא רק החלק הישיר באחזקת החברה. ב. פרטים על דיבידנד מחברות מאוחדות שנתקבלו: לשנה שנסתיימה ביום 31 בדצמבר 2011 2012 2013 אלפי ₪ אלפי ₪ אלפי ₪ 61,259 65,425 69,520
  • 142.
    באורים לדוחות הכספייםליום 31 בדצמבר 2013 השקעות בערבון מוגבל 23 באור 11 - הטבות לעובדים חוק פיצויי פיטורין בישראל מחייב את החברה לשלם פיצויים לעובד בעת פיטורין או פרישה. חישוב התחייבות החברה בשל הטבות לעובדים מתבצע על פי הסכם העסקה בתוקף ומבוסס על משכורת העובד אשר, לדעת ההנהלה, יוצרת את הזכות לקבלת הפיצויים. לגבי עובדים אשר חל עליהם סעיף 14 לחוק פיצויי פיטורין, תשכ"ג 1963- , מטופל על ידי החברה כתוכנית הפקדה מוגדרת. הפקדותיה השוטפות של החברה בקרנות פנסיה ובפוליסות בחברות ביטוח, פוטרות אותה מכל התחייבות נוספת לעובדים, בגינם הופקדו הסכומים כאמור לעיל. החלק של תשלומי הפיצויים שאינו מכוסה על ידי הפקדות כאמור לעיל, מטופל על ידי החברה כתוכנית להטבה מוגדרת לפיה נרשמת התחייבות בגין הטבות עובדים. א. התחייבות התוכנית נטו: ליום 31 בדצמבר 2012 2013 אלפי ₪ אלפי ₪ (35,225) ( ערך נוכחי של המחויבויות ( 30,750 30,688 שווי הוגן של נכסי התכניות 26,593 (4,537) ( סך הטבות לעובדים ( 4,157 ב. מוצג בסעיפים הבאים: 2012 2013 אלפי ₪ אלפי ₪ - נכסים בלתי שוטפים - הטבות לעובדים 293 (4,537) ( התחייבויות שאינן שוטפות - הטבות לעובדים ( 4,450 (4,537) ( מחויבות בגין תכניות הטבה מוגדרות ליום 31 בדצמבר ( 4,157 ג. התנועה בערך נוכחי במחויבות בגין תכניות להטבה מוגדרת 2012 2013 אלפי ₪ אלפי ₪ 49,663 מחויבות בגין תכניות הטבה מוגדרות ליום 1 בינואר 35,225 (5,527) ( הטבות ששולמו ( 5,737 הוצאות שנזקפו לרווח והפסד 3,426 עלויות שירות שוטף 5,876 1,464 עלויות ריבית 1,092 הוכר ברווח כולל אחר (13,801) ( רווחים אקטואריים ( 5,706 35,225 מחויבות בגין תכניות הטבה מוגדרות ליום 31 בדצמבר 30,750
  • 143.
    באורים לדוחות הכספייםליום 31 בדצמבר 2013 השקעות בערבון מוגבל 24 באור 11 - הטבות לעובדים (המשך) ד. התנועה בנכסי התוכנית 2012 2013 אלפי ₪ אלפי ₪ 36,154 שווי הוגן של נכסי התכניות ליום 1 בינואר 30,688 1,609 סכומים שהופקדו 1,295 (339) ( הטבות ששולמו ( 4,935 1,072 הכנסות ריבית שנזקפו לרווח והפסד 708 (7,808) ( הפסדים אקטואריים שנזקפו לרווח כולל אחר ( 1,163 30,688 שווי הוגן של נכסי התכניות ליום 31 בדצמבר 26,593 ה. הנחות אקטואריות וניתוח רגישות ההנחות האקטואריות העיקריות למועד הדיווח (לפי ממוצע משוקלל): לשנה שנסתיימה ביום 31 בדצמבר 2011 2012 2013 % % % 3.38 - 4.96 2.11 - 4.82 1.72 - שיעור ההיוון ביום 31 בדצמבר 4.90 1.00 - 2.50 1.00 - 2.50 1.00 - שיעור עליות שכר עתידיות 2.50 ההנחות בדבר שיעור התמותה העתידי מבוססות על נתונים סטטיסטיים שפורסמו ועל לוחות תמותה מקובלים. ו. תוכניות הטבה לאחר סיום העסקה – תוכנית הפקדה מוגדרת לשנה שנסתיימה ביום 31 בדצמבר 2011 2012 2013 אלפי ₪ אלפי ₪ אלפי ₪ סכום שהוכר כהוצאה בגין עובדים 28,627 32,713 שחל עליהם סעיף 14 לחוק פיצויי פיטורין 33,737
  • 144.
    באורים לדוחות הכספייםליום 31 בדצמבר 2013 השקעות בערבון מוגבל 25 באור 12 - רכוש קבוע א. ההרכב: מחשבים רהוט שיפורים קרקע ובניינים מכונות כלי רכב וציוד במושכר סך הכל אלפי ₪ אלפי ₪ אלפי ₪ אלפי ₪ אלפי ₪ אלפי ₪ עלות או עלות נחשבת 2,160,841 47,327 363,621 4,814 945,036 800,043 ליום 1 בינואר 2012 96,122 2,322 31,841 165 59,506 2,288 תוספות בשנת 2012 1,106 (1) 60 35 328 השפעת שינויים בשערי חליפין 684 (13,276) - (5,753) (1,491) ( גריעות - ( 6,032 2,244,793 49,648 389,769 3,523 998,838 803,015 יתרה ליום 31 בדצמבר 2012 149,376 4,297 35,819 651 101,682 6,927 תוספות בשנת 2013 (25,513) (5) (488) (35) (13,798) ( השפעת שינויים בשערי חליפין ( 11,187 (13,140) (48) (7,990) (674) ( גריעות - ( 4,428 2,355,516 53,892 417,110 3,465 1,082,294 798,755 יתרה ליום 31 בדצמבר 2013 פחת שנצבר 1,013,520 22,768 235,638 3,592 574,240 177,282 ליום 1 בינואר 2012 114,809 3,188 35,356 332 53,848 22,085 זקיפה בשנת 2012 170 (1) 61 15 74 השפעת שינויים בשערי חליפין 21 (11,696) - (4,933) (1,393) ( גריעות - ( 5,370 1,116,803 25,955 266,122 2,546 622,792 199,388 יתרה ליום 31 בדצמבר 2012 114,204 3,300 33,682 391 54,830 22,001 זקיפה בשנת 2013 (9,005) (4) (356) (27) (6,682) ( השפעת שינויים בשערי חליפין ( 1,936 (10,983) (36) 6,902 (559) ( גריעות - ( 3,486 1,211,019 29,215 292,546 2,351 667,454 219,453 יתרה ליום 31 בדצמבר 2013 יתרה מופחתת 1,127,990 23,693 123,647 977 376,046 603,627 ליום 31 בדצמבר 2012 יתרה מופחתת 1,144,497 24,677 124,564 1,114 414,840 579,302 ליום 31 בדצמבר 2013 ב. היתרה המופחתת של הרכוש קבוע במאזן המאוחד הינה לאחר קיזוז מענק השקעה בגין השקעות ב"מפעל 34,984 אלפי ₪). - מאושר" בסך 31,432 אלפי ₪ ( 31.12.12 ג. באשר לשעבודים ובטול שעבודים - ראה באור 21 (ב). ד. רכישת רכוש קבוע באשראי ליום 31 בדצמבר 2013 , לחברה יתרת רכישות רכוש קבוע באשראי בסך של 31,640 אלפי ₪ (ליום 31 בדצמבר 27,273 אלפי ₪). - 2012 ה. לקבוצה זכויות במקרקעין בחכירה מימונית מהוונת המסתיימות בין השנים 2022-2103 , בסך 120,506 119,422 אלפי ₪). – אלפי ₪ ( 31.12.12
  • 145.
    באורים לדוחות הכספייםליום 31 בדצמבר 2013 השקעות בערבון מוגבל 26 באור 13 - נכסים בלתי מוחשיים מוניטין ונכסים בלתי מוחשיים ציוד לפרסום קשרי לקוחות, בעלי אורך זכות שימוש וקידום מותג, ידע חיים בלתי מוגדר בתוכנות מחשב מכירות ואי תחרות סך הכל אלפי ₪ אלפי ₪ אלפי ₪ אלפי ₪ אלפי ₪ עלות 1,160,103 77,164 2,494 118,681 961,764 יתרה ליום 1 בינואר 2012 1,662 - 515 1,147 - תוספות בשנת 2012 שינויים משערוך התחייבויות בגין 43,496 - - - רכישת חלק המיעוט (*) 43,496 (1,887) 698 - 33 ( השפעת שינויים בשערי חליפין ( 2,618 1,203,374 77,862 3,009 119,861 1,002,642 יתרה ליום 31 בדצמבר 2012 1,429 - 644 785 - תוספות בשנת 2013 שינויים משערוך התחייבויות בגין (6,259) - - - ( רכישת חלק המיעוט (*) ( 6,259 (10,415) (1,984) - (107) ( השפעת שינויים בשערי חליפין ( 8,324 (2) - - ( גריעות - ( 2 1,188,127 75,878 3,653 120,537 988,059 יתרה ליום 31 בדצמבר 2013 הפחתה שנצברה 141,184 41,796 1,189 61,372 36,827 יתרה ליום 1 בינואר 2012 36,066 11,871 867 23,328 - זקיפה בשנת 2012 470 437 - השפעת שינויים בשערי חליפין - 33 177,720 54,104 2,056 84,733 36,827 יתרה ליום 31 בדצמבר 2012 34,476 10,394 736 23,346 - זקיפה בשנת 2013 (1,124) (1,039) - ( השפעת שינויים בשערי חליפין - ( 85 (2) - - ( גריעות - ( 2 211,070 63,459 2,792 107,992 36,827 יתרה ליום 31 בדצמבר 2013 י תרה מופחתת 1,025,654 23,758 953 35,128 965,815 ליום 31 בדצמבר 2012 יתרה מופחתת 977,057 12,419 861 12,545 951,232 ליום 31 בדצמבר 2013 (*) ראה באור 3 א. 3 א. בדיקת ירידת ערך ליחידה מניבת מזומנים הכוללת מוניטין להלן היחידות העיקריות בעלות ערכי מוניטין ונכסים בלתי מוחשים בעלי אורך חיים בלתי מוגדר בספרים. ליום 31 בדצמבר 2012 2013 אלפי ₪ אלפי ₪ 297,026 טבעול ( 1993 ) בע"מ 297,026 74,482 בונז'ור 74,482 115,645 107,527 (Tribe) ארה"ב 457,304 מטרנה 451,045 944,457 930,080 1. הסכומים בני ההשבה של היחידות מניבות מזומנים, למעט מטרנה, מבוססים על חישוב שווי השימוש. חישובים אלה משתמשים בתחזיות תזרימי מזומנים המבוססות על התקציב לשנת 2014 ועל תחזיות עתידיות לשנים שלאחר מכן. תזרימי מזומנים לתקופות נותרות מחושבים תוך שימוש בשיעור הצמיחה הרלבנטי, אשר מביא בחשבון את שיעור 1.0% תזרימי המזומנים - הצמיחה הצפוי של הקטגוריה, הענף, הארץ והאוכלוסייה. אומדן שיעורי הצמיחה הינו 2.5% החזויים הוונו לפי שיעורי היוון של כ- 8.25% לאחר מס. שיעורי היוון אלה משקפים את הסיכון של היחידות מניבות מזומנים. בנוסף בוצעו ניתוחי רגישות לפי שיעורי היוון של 5% ו- 10% בחישוב השווי בר ההשבה.
  • 146.
    באורים לדוחות הכספייםליום 31 בדצמבר 2013 השקעות בערבון מוגבל 27 באור 13 - נכסים בלתי מוחשיים (המשך) א. בדיקת ירידת ערך ליחידה מניבת מזומנים הכוללת מוניטין (המשך) 2. הסכום בר ההשבה של היחידה מניבה תזרימי מזומנים, מטרנה נעשתה לפי שווי הוגן. הערכת השווי לבחינת ירידת הערך מצורפת לדוחות אלה בהתאם לתקנה 8 ב'. בהתבסס על בדיקות הערכות השווי ומאחר והסכומים בני ההשבה גבוהים מהשווי בספרים, לא נדרשת הפחתת ערך מוניטין. ב. מוניטין שנוצר עקב הענקת אופציות מכר לבעלי מניות מיעוט נכון ליום 31 בדצמבר 2013 , המוניטין המתייחס לאופציות מכר של המיעוט בחברות מאוחדות הסתכם לסך של 344,063 אלפי ₪). - 337,804 אלפי ₪ ( 31 בדצמבר 2012 באור 14 - הוצאות מראש וחכירה תפעולית א. הוצאות מראש ליום 31 בדצמבר מועד סיום 2012 2013 אלפי ₪ אלפי ₪ 37,669 38,806 אחרות 2014-2021 ב. חכירות תפעוליות הקבוצה קשורה בהסכמי שכירות בגין מבנים ומחסנים ובגין כלי רכב ומלגזות. להלן דמי החכירה המינימלים העתידיים להיות משולמים בגין חוזי חכירה שאינם ניתנים לביטול: ליום 31 בדצמבר 2012 2013 אלפי ₪ אלפי ₪ 56,814 עד שנה 62,062 132,891 משנה ועד חמש שנים 103,579 81,757 יותר מחמש שנים 90,852 271,462 256,493 לשנה שנסתיימה ביום 31 בדצמבר 2011 2012 2013 אלפי ₪ אלפי ₪ אלפי ₪ 62,793 63,913 דמי החכירה שהוכרו כהוצאה 68,963
  • 147.
    באורים לדוחות הכספייםליום 31 בדצמבר 2013 השקעות בערבון מוגבל 28 באור 15 - הלוואות ואשראי לזמן קצר מבנקים ההרכב: שיעורי ריבית משתנה שנתית ליום ליום 31 בדצמבר 2012 2013 31 בדצמבר 2013 % אלפי ₪ אלפי ₪ לא צמוד - 17,015 31,378 29,212 בהצמדה למטבע חוץ (*) ליבור 1.50%+ חלויות שוטפות של הלוואות מבנקים (*) - 10,545 58,938 29,212 (*) כולל: בהצמדה ללירה שטרלינג - 2,110 בהצמדה לאירו - 8,435 31,378 בהצמדה לדולר של ארה"ב 29,212 באור 16 - ספקים ונותני שירותים ההרכב: ליום 31 בדצמבר 2012 2013 אלפי ₪ אלפי ₪ 681,750 חובות פתוחים 706,657 4,198 המחאות ושטרות לפרעון 3,806 685,948 710,463 באור 17 - זכאים ויתרות זכות ההרכב: ליום 31 בדצמבר 2012 2013 אלפי ₪ אלפי ₪ 97,844 עובדים ומוסדות בגין שכר 122,213 21,095 מוסדות אחרים 23,256 60,682 הפרשה לחופשה והבראה 59,337 9,548 זכאים אחרים והוצאות לשלם 19,170 189,169 223,976
  • 148.
    באורים לדוחות הכספייםליום 31 בדצמבר 2013 השקעות בערבון מוגבל 29 באור 18 - התחייבויות לתאגידים בנקאיים ליום 31 בדצמבר 2012 2013 אלפי ₪ אלפי ₪ צמודות לירה שטרלינג - 5,480 צמודות אירו - 8,435 13,915 - בניכוי - חלויות שוטפות - 10,545 3,370 - באור 19 - התחייבויות בגין רכישת חלק המיעוט בחברות מאוחדות ליום 31 בדצמבר 2012 2013 אלפי ₪ אלפי ₪ 357,104 בגין אופציות מכר של מיעוט בחברות מאוחדות 342,514 לבעלי מניות המיעוט בשותפות בה היא מחזיקה 51% . במידה ובעלי מניות (PUT) הקבוצה העניקה אופציות מכר המיעוט יממשו את האופציה שברשותם, תהיה הקבוצה מחויבת לרכוש מהם את החזקותיהם בשותפות. האופציות מוצגות בערכן ההתחייבותי כוללות מרכיב ודאי כגון הלוואה ודיבידנד שהוכרז וכן מרכיב בסך 319,743 339,098 אלפי ₪), אשר חושב על ידי מעריך חיצוני, כדלקמן: אלפי ₪ (שנת 2012 מחיר המימוש של האופציה נקבע לפי מכפיל 16 כפי שנקבע בהסכם, המוכפל ברווח הנקי הצפוי בעת המימוש, ובהתאמות מסוימות, ובתוספת התחייבות עתידית לחלוקת דיבידנדים ותזרימים נוספים חזויים המשולמים למיעוט עד ליום המימוש, בגין היותו שותף, בתקופה שעד למימוש האופציה. האופציות ניתנות למימוש על ידי המיעוט בשנה הרביעית ועד השנה השמינית וכן בשנה הארבע עשרה לעסקה. הסכומים מהוונים מהמועד .( האופטימאלי הניתן למימוש על ידי המיעוט, (שנת 2023 כאמור לעיל הקבוצה מציגה את התחייבותה לרכוש את זכויות המיעוט כהתחייבות שנמדדת, לפי הערך הנוכחי של מחיר המימוש של האופציה. ההפרש בין ההתחייבות לחלקה של החברה בשווי המאזני נזקף למוניטין. בכל שנה מעדכנת החברה את צפי הרווח הנקי של השותפות לפיו מחושבת ההתחייבות. נכון לתאריך המאזן העדכון הביא לירידה בהתחייבות כנגד ירידה במוניטין בסך 6,259 אלפי ₪. הוצאות המימון שנרשמו ברווח והפסד, בגין 14,077 אלפי ₪). ערך הזמן של הכסף, עבור התחייבות זו בשנת 2013 הסתכמו ל- 15,092 אלפי ₪ (שנת 2012
  • 149.
    באורים לדוחות הכספייםליום 31 בדצמבר 2013 השקעות בערבון מוגבל 30 באור 20 - מסים על ההכנסה א. הטבות בתוקף החוק לעידוד השקעות הון מפעל מאושר . למספר מפעלים בקבוצה הוענק מעמד של "מפעל מאושר", בהתאם לחוק לעידוד השקעות הון, תשי"ט - 1959 הכנסות, הנובעות מ"מפעל מאושר", זכאיות לשיעור מס מופחת במשך תקופה של 10-7 שנים, מהשנה בה היתה לחברה לראשונה הכנסה חייבת במס. תקופת ההטבות מוגבלת ל- 14 שנים, מהשנה שבה ניתן כתב האישור, או 12 שנים, מן השנה שבה הופעל המפעל. מפעל המוותר על מענק השקעה זכאי לפטור ממס לתקופה של 10 שנים. הטבות המס מותנות בקיום תנאי האישור. אותם המפעלים שניצלו את הטבות המס ואשר נדרשו לבצע יצוא בשעורים שנקבעו כתנאי לניצול הטבות המס האמורות, עמדו לפחות בתנאים המינימליים. בסכום ההפרשה למסים על ההכנסה, קיבלו ביטוי הטבות מס בהתאם לשיעורי עמידתם של המפעלים בתנאים השונים של האישור. חלק מהמפעלים טרם החלו לנצל הטבות מס כלשהן. מפעל מוטב למפעל תעשייתי של החברה מעמד של "מפעל מוטב" בהתאם לחוק לעידוד השקעות הון, תשי"ט 1959- (להלן – "חוק העידוד"). החברה בחרה את שנת 2009 כשנת בחירה. הכנסות הנובעות מ"מפעל מוטב" פטורות ממס במשך תקופה של 10 שנים מהשנה בה הייתה לחברה לראשונה הכנסה חייבת במס. תקופת ההטבות במס לגבי המפעל המוטב אשר החלה בשנת 2010 עומדת להסתיים בשנת 2019 . ההטבות מותנות בקיום הקריטריונים הקבועים בחוק העידוד (שיעור יצוא וכדומה). עד כה עמדה החברה בתנאים אלה. תיקון החוק לעידוד השקעות הון, התשי"ט – 1959 ביום 29 בדצמבר 2010 אושר בכנסת חוק המדיניות הכלכלית לשנים 2012-2011 , אשר במסגרתו תוקן החוק לעידוד השקעות הון התשי"ט- 1959 (להלן: "התיקון לחוק"). התיקון לחוק פורסם בספר החוקים ביום 6 בינואר 2011 . תוקפו של התיקון לחוק הוא מיום 1 בינואר 2011 והוראותיו יחולו ביחס להכנסה מועדפת שהופקה או שנצמחה בידי חברה מועדפת, כהגדרתן בתיקון לחוק, בשנת 2011 ואילך. החברה רשאית לא לעבור לתחולת התיקון לחוק העידוד ולהישאר בתחולת החוק, טרם תיקונו, עד תום תקופת ההטבות. שנת הבחירה האחרונה . שהחברה רשאית לבחור הינה שנת המס 2012 ובתנאי שההשקעה המזערית המזכה החלה בשנת 2010 במסגרת התיקון נקבע כי למסלול המענקים יהיו זכאיות חברות באזור פיתוח א' בלבד והן יהיו זכאיות ליהנות הן ממסלול זה והן ממסלול הטבות המס במקביל. כמו כן, בוטלו מסלולי הטבות המס הקיימים (מסלול הפטור ממס, מסלול "אירלנד" ומסלול "אסטרטגי") ובמקומם נקבעו שני מסלולי מס חדשים, מפעל מועדף ומפעל מועדף מיוחד, שעיקרם שיעור מס אחיד ומופחת על כלל הכנסות החברה הזכאיות להטבות, כדלקמן: לגבי מפעל 7% באזור - 10% באזור פיתוח א' ו- 15% בשאר הארץ, בשנות המס 2013-2014 - מועדף- בשנות המס 2011-2012 פיתוח א' ו- 12.5% בשאר הארץ ובשנת המס 2015 ואילך - 6% באזור פיתוח א' ו- 12% בשאר הארץ. ביום 5 באוגוסט 2013 , עבר בכנסת חוק לשינוי סדרי עדיפויות לאומיים (תיקוני חקיקה להשגת יעדי התקציב לשנים 2013 ו- 2014 ), התשע"ג- 2013 , אשר ביטל את מתווה הפחתת המס כך שהחל משנת המס 2014 שיעור המס על הכנסה מועדפת יהיה 9% באזור פיתוח א' ו- 16% בשאר הארץ. בנוסף, מפעל העומד בהגדרת "מפעל מועדף מיוחד", זכאי לתקופת הטבות של 10 שנים רצופות, לשיעור מס מופחת של 5% אם הוא ממוקם באזור פיתוח א' או לשיעור מס מופחת של 8% אם אינו ממוקם באזור פיתוח א'. עוד נקבע בתיקון לחוק, כי לא יחול מס על דיבידנד שיחולק מתוך הכנסה מועדפת לבעלת מניות שהיא חברה, הן ברמת החברה המחלקת והן ברמת בעלי המניות. שיעור מס של 15% יחול עדיין על דיבידנד שיחולק מתוך הכנסה מועדפת לבעל מניות יחיד או לתושב חוץ בכפוף לאמנות למניעת כפל מס, כלומר אין שינוי ביחס לחוק הקיים. כמו כן, בתיקון לחוק נקבעה הקלה (להלן: "ההקלה") בנוגע למס המשולם על דיבידנד שמתקבל על ידי חברה ישראל מרווחי מפעל מאושר/חלופי/מוטב, שנצמחו בתקופת ההטבות לפי נוסח החוק טרם תיקונו, אם החברה המחלקת הדיבידנד תודיע לרשויות המס עד ליום 30 ביוני 2015 על החלת הוראות התיקון לחוק והדיבידנד יחולק לאחר מועד ההודעה (חלוקה מרווחי המפעל הפטור תחוייב במס בחברה המחלקת). ב. הטבות בתוקף חוק עידוד התעשיה החברה הינה "חברה תעשייתית" כמוגדר בחוק עידוד התעשיה (מסים) תשכ"ט - 1969 וזכאית בהתאם לכך לפחת בשיעורים מוגדלים ולהטבות נוספות.
  • 150.
    באורים לדוחות הכספייםליום 31 בדצמבר 2013 השקעות בערבון מוגבל 31 באור 20 - מסים על ההכנסה (המשך) ג. תיקונים לפקודת מס הכנסה .24% 25% ו- 2011 2012 ,25% 1. שיעורי המס בישראל הינם: 2013 2. ביום 5 באוגוסט 2013 , עבר בכנסת החוק לשינוי סדרי עדיפויות לאומיים (תיקוני חקיקה להשגת יעדי התקציב לשנים 2013 ו- 2014 ) התשע"ג- 2013 , אשר קבע, בין היתר העלאת שיעור מס החברות, החל משנת . 2014 ואילך בשיעור של 1.5% כך שיעמוד על 26.5% יתרות המיסים הנדחים ליום 31 בדצמבר 2013 חושבו בהתאם לשיעורי המס החדשים כפי שנקבע בחוק לשינוי סדרי עדיפויות לאומיים, לפי שיעור המס הצפוי לחול במועד ההיפוך השפעת השינוי על הדוחות הכספיים ליום 31 בדצמבר 2013 מתבטאת בגידול ההתחייבות בגין מיסים נדחים בסך 4,095 אלפי ₪ כנגד הוצאות מיסים נדחים בדוח רווח והפסד, בסכום זהה. 3. ביום 4 בפברואר 2010 פורסם ברשומות חוק לתיקון פקודת מס הכנסה (מספר 174 ) - הוראת שעה לשנות 2008 ו- 2009 . אשר קבע כי תקן חשבונאות ישראלי מספר 29 בדבר אימוץ תקני דיווח כספי , המס 2007 לא יחול לצורך קביעת ההכנסה החייבת בשנים האמורות אף אם יושם לצורך עריכת ,(IFRS) בינלאומי הדוחות הכספיים. ביום 12 בינואר 2012 פורסם חוק לתיקון לפקודת מס הכנסה (מספר 188 ) אשר במסגרתו תוקנה הוראת השעה, כך שתקן 29 לא יחול גם בקביעת ההכנסה החייבת בשנות המס 2010 ו- .2011 הוראת השעה בהתייחס לקביעת ההכנסה החייבת לשנים 2007-2011 אינה משפיעה על הדוחות הכספיים. ד. מסים נדחים בגין הפרשים זמניים כדלקמן: הפרשה חופשה הטבות לחובות והבראה לעובדים מסופקים רכוש קבוע אחרים סך הכל אלפי ₪ אלפי ₪ אלפי ₪ אלפי ₪ אלפי ₪ אלפי ₪ (43,196) 22,105 (85,490) 4,128 4,913 11,148 יתרה ליום 1 בינואר 2012 6,305 14,803 (7,069) (381) (1,112) שינויים שנזקפו לרווח והפסד 64 (2,515) (1,005) (10) (5) (1,493) ( שינויים שנזקפו לרווח כולל אחר ( 2 (39,406) 35,903 (92,569) 3,742 2,308 11,210 יתרה ליום 31 בדצמבר 2012 7,596 11,537 (9,891) 1,540 14 שינויים שנזקפו לרווח והפסד 4,387 (2,722) (2,571) 1,070 (9) (1,204) ( שינויים שנזקפו לרווח כולל אחר ( 8 (34,532) 44,869 (101,390) 5,273 1,118 15,589 יתרה ליום 31 בדצמבר 2013 ה. מסים על הכנסה הכלולים בדוח רווח והפסד: לשנה שנסתיימה ביום 31 בדצמבר 2011 2012 2013 אלפי ₪ אלפי ₪ אלפי ₪ 117,420 123,318 מסים שוטפים 134,080 שינוי במסים נדחים (9,719) (6,305) ( שוטף ( 11,691 18,963 - שינוי שיעורי המס 4,095 126,664 117,013 126,484
  • 151.
    באורים לדוחות הכספייםליום 31 בדצמבר 2013 השקעות בערבון מוגבל 32 באור 20 - מסים על ההכנסה (המשך) ו. לחברה שומות מס סופיות עד וכולל שנת המס 2011 . החברות המוחזקות קיבלו שומות מס סופיות לשנים שונות עד וכולל שנת המס 2009 , חברות מוחזקות מסוימות טרם נישומו מיום היווסדן. ז. התאמה בין סכום המס התיאורטי, שהיה חל אילו הרווח לפני מסים על ההכנסה היה מתחייב במס לפי שעור המס הסטטוטורי החל בישראל, לבין מסים על ההכנסה הכלולים בדוחות רווח והפסד: לשנה שנסתיימה ביום 31 בדצמבר 2011 2012 2013 שעור המס הסטטוטורי הרגיל 24% 25% 25% אלפי ₪ אלפי ₪ אלפי ₪ 112,234 118,589 מס תיאורטי לפי שעורי המס החלים על החברה 125,729 הגדלה (הקטנה) בחבות המס בשל: - 6,189 6,335 הוצאות לא מוכרות 5,718 18,963 - השפעת שינוי שעורי המס 4,095 (10,164) (8,784) ( הכנסות בשיעורי מס שונים ( 9,503 הפרשי עיתוי והפסדים לצרכי מס בגינם לא נזקפו מסים (1,069) 76 נדחים בשנים קודמות 1,319 511 797 ( אחרים ( 874 126,664 117,013 מסים על ההכנסה הכלולים בדוח רווח והפסד 126,484 ח. לקבוצה יתרת הפסדים לצורכי מס המועברים לשנה הבאה בסך 134,228 אלפי ₪ בגינם הכירה החברה בנכס מיסים נדחים כיוון שלדעת ההנהלה צפויים שיהיו בעתיד רווחים חייבים במס שכנגדם ניתן יהיה לנצל הפסדים אלו. ט. שינוי מבנה הקבוצה החליטה על שינוי במבנה החברות שבמסגרתו מפעל המאפה של בונז'ור ( 1986 ) בע"מ (להלן- "בונז'ור") מוזג לתוך כלל מערך הייצור של אסם השקעות (להלן - "אסם"). מאחר ובונ'זור הוחזקה באמצעות עלי דגן בע"מ (להלן- "עלי דגן") ומגן בית מאפה וקפה בע"מ (להלן- "מגן בית מאפה"), בוצעו שני מהלכים מקדמיים טרם מהלך מיזוג בונז'ור לתוך אסם כמיזוג חברות אם ובת כדלקמן: 1. בשלב הראשון, מגן בית מאפה העבירה את כל החזקותיה במניות בונז'ור לידי בונז'ור, בפטור ממס בהתאם לסעיף 104 ג' לפקודת מס הכנסה (נוסח חדש), התשכ"א 1961- (להלן "הפקודה") ובהתאם להוראות חוק החברות, התשנ"ט 1999- (להלן "חוק החברות"). 2. בשלב השני, עלי דגן העבירה את כל החזקותיה במניות בונז'ור לידי אסם, בפטור ממס לפי סעיף 104 ג' לפקודה ובהתאם להוראות חוק החברות. 3. בשלב השלישי ומיד בסמוך לאחר העברות המתוארות בסעיפים 1 ו- 2 לעיל, מוזגה בונז'ור לתוך אסם בהתאם לסעיף 103 ב' לפקודה באופן בו העבירה בונז'ור את כל נכסיה התחייבויותיה ללא תמורה, תוך חיסולה של בונז'ור ללא פירוק. 4. שינוי המבנה הותנה בין היתר בקבלת אישור מראש מרשות המסים לביצוע שינוי המבנה כאמור לעיל בפטור ממס ובאישור מרכז השקעות. בימים 26 בינואר 2012 ו- 26 ביולי 2012 התקבלו האישורים מרשות המסים . לשינוי המבנה בפטור ממס, אישור מרכז השקעות התקבל בדצמבר 2012
  • 152.
    באורים לדוחות הכספייםליום 31 בדצמבר 2013 השקעות בערבון מוגבל 33 באור 21 - התחייבויות מותנות, התקשרויות ושעבודים א. התחייבויות מותנות והתקשרויות 1. שיפוי וביטוח דירקטורים ונושאי משרה - (א) בתקנות ההתאגדות של החברה נקבעה מדיניות לשיפוי וביטוח של נושאי משרה בהתאם לדין. בהתאם לתקנותיה מבטחת החברה את אחריותם של הדירקטורים ונושאי משרה, הכל בכפוף להוראות הדין. (ב) החברה התחייבה לשפות מנהל לשעבר של חברה מאוחדת בחו"ל לתקופת זמן בלתי מוגבלת כנגד כל תביעות, התחייבויות, תשלומים או עלויות, העלולים לנבוע מהיותו דירקטור של החברה המאוחדת או מכל סיבה שהיא הנובעת מחברותו בהנהלת החברה המאוחדת, בכפוף להוראות החוק האנגלי ולסמכות השיפוטית באנגליה או בישראל, שתבחר על ידו. 2. חברות הקבוצה קיבלו מענקי השקעה על פי החוק לעידוד השקעות הון. במידה והחברות לא תעמודנה בתנאים שנקבעו יהא עליהן להחזירם, כולם או מקצתם, בצרוף ריבית והצמדה מיום קבלתם. 3. לחברות הקבוצה הסכמים עם חברות בעלות עניין להפצת מוצריהן בארץ ולרשיון בלעדי לשימוש בידע ובמותגים שלהן בישראל. על פי ההסכמים, התחייבו חברות הקבוצה לשלם לחברות בעלות העניין תמלוגים 2.5% ממכירות של מוצריהן. - בשיעור שנתי של 5% 4. לחברה הסכם עם חברה בעלת עניין לקבלת סיוע כללי הכולל בין היתר סיוע בתחום הייצור, שיווק והפצה, מחשוב, לוגיסטיקה, שינוע והדרכת עובדים. על פי ההסכם התחייבה החברה לשלם לחברה בעלת העניין, בגין קבלת הסיוע כאמור, 1,000 אלפי פרנקים שוויצרים לכל שנה קלנדרית. בישראל, שמטרתו קבלת שירותי מחשוב GLOBE - 5. לחברה הסכם עם חברה בעלת עניין בנוגע ליישום פרויקט ה ויצירת סטנדריזציה עולמית בין כל מערכות המחשב (חומרה ותוכנה) וכן יישום תהליכי העבודה האופטימליים במסגרת ההסכם התחייבה החברה בעלת העניין כי הוצאות המחשוב השנתיות לא יעלו על .(BEST PRACTICES) 1.5% מהמכירות ברוטו המאוחדות בניכוי החזרות והנחות מסחריות על בסיס רב שנתי. הסכום אשר עלה על 1.5% בשנת 2013 , אשר עשוי להילקח בחשבון בחישוב הרב שנתי בעתיד (אם ובמידה והוצאות המחשוב ירדו מתחת ל - 1.5% לשנה) הסתכם ל- 7,322 אלפי ₪, ובמצטבר 80,033 אלפי ₪. 6. לחברות הקבוצה ערבויות שניתנו על ידי חברות הקבוצה לצדדים שלישיים בסך כולל של 8,454 אלפי ₪, מדובר בערבויות כנגד התחייבות חברות הקבוצה. 7. ליום 31 בדצמבר 2013 לחברות הקבוצה התקשרויות לרכישת רכוש קבוע בסך של 8,040 אלפי ₪. 8. במסגרת הסכמים שנחתמו בין חברה מאוחדת לבין בעלי מניות אחרים שלה הוסכם כי החברה הנ"ל תרכוש מבעלי המניות שירותי כח אדם ושרותים שונים לצורך תפעולה השוטף. 24,844 אלפי ₪). - בשנת החשבון רכשה החברה שרותים כאמור בסך של 23,388 אלפי ₪ (שנת 2012 9. עומדות נגד חברות הקבוצה תביעות יצוגיות או בקשות לאישור תביעות יצוגיות שלהערכת החברה בהסתמך על חוות דעת יועציה המשפטיים, סיכוייהן קלוש או שהחברות ידרשו לשאת במשאבים כלכליים זניחים. ליום 31 בדצמבר 2013 נכללה הפרשה בסך של 250 אלפי ₪. ( 2012 – לא נכללה הפרשה). נגד החברה הוגשו תביעות בנושאי יחסי עבודה על סך כולל של כ- 18 מליון ₪. להערכת החברה בהסתמך על חוות דעת יועציה המשפטיים החברה לא תידרש לשאת במשאבים כלכליים מעבר להפרשה הכלולה בדוחות הכספיים בסך 161 אלפי ₪). - 488 אלפי ₪ (שנת 2012 שהעניקה הקבוצה לבעלי מניות המיעוט בשותפות בה היא מחזיקה 51% (ראה גם (PUT) 10 . במקביל לאופציות המכר לרכישת מניות המיעוט. (CALL) באור 19 ), קיבלה הקבוצה אופצית רכש נקבע על פי המכפיל כפי שנקבע בהסכם, המוכפל ברווח הנקי הצפוי בעת CALL - מחיר המימוש של אופצית ה המימוש, ובהתאמות מסוימות. האופציות ניתנות למימוש על ידי הקבוצה בתום השנה העשירית לעסקה (לפי מכפיל .( 21 ), בתום השנה השנים עשר (לפי מכפיל 18 ) ובתום השנה החמש עשרה (לפי מכפיל 16
  • 153.
    באורים לדוחות הכספייםליום 31 בדצמבר 2013 השקעות בערבון מוגבל 34 באור 21 - התחייבויות מותנות, התקשרויות ושעבודים (המשך) א. התחייבויות מותנות והתקשרויות (המשך) 11 . ביום 28 במאי 2008 אישר דירקטוריון החברה תוכנית מענקים לעידוד ושימור מנהלים בקבוצת אסם (שאינם בעלי שליטה או קרובים להם, ושאינם דירקטורים בחברה). התכנית אושרה ל- 3 שנים ( 2008-2010 ). על פי התכנית העניקה החברה "אופציות פנטום" למספר מנהלים בכירים בחברה כך שהמענק שתיתן החברה (אם וככל שתיתן) יתבסס על הפער בין המחיר הממוצע של מניית החברה במשך 2 חודשים לפני מועד הענקת האופציה ובין המחיר הממוצע של מניית החברה במשך 2 חודשים לפני מועד מימוש האופציה. תקופת ההבשלה של כל "אופציה" (תקופת עומדת על שלוש שנים מחודש מאי בכל אחת משנות התכנית. ערך האופציה חושב על בסיס נוסחת המודל (Vesting הבינומי. ביום 25 במאי 2011 אישר דירקטוריון החברה את המשכה של תוכנית מענקים לעידוד ושימור מנהלים בקבוצת אסם (שאינם בעלי שליטה או קרובים להם, ושאינם דירקטורים בחברה) לתקופה של 3 שנים נוספות ( 2011-2013 ). על פי התכנית תעניק החברה "אופציות פנטום" למספר מנהלים בכירים בחברה כך שהמענק שתיתן החברה (אם וככל שתיתן) יתבסס על הפער בין המחיר הממוצע של מניית החברה במשך 2 חודשים לפני מועד הענקת האופציה ובין המחיר הממוצע של מניית החברה במשך 2 חודשים לפני מועד מימוש האופציה. תקופת ההבשלה של כל "אופציה" עומדת על שלוש שנים מחודש מאי בכל אחת משנות התכנית. ערך האופציה מחושב על בסיס (Vesting (תקופת נוסחת המודל הבינומי. במסגרת מדיניות התגמול של הקבוצה נקבע על תקרה ולפיה החל מהאופציות המחולקות משנת 2013 ואילך שווי האופציה לא יעלה יותר מאשר פי 2 משווי ההטבה במועד ההקצאה, צמוד למדד המחירים לצרכן. החברה כללה בדוחות רווח והפסד הוצאה בגין שינוי שווי ההטבה לאותם מנהלים אשר חושבה על ידי מעריך חיצוני 2012 ו- 2011 בהתאמה. , בסכום של 21,243 אלפי ₪, 10,952 אלפי ₪, 1,721 אלפי ₪ לשנים 2013 ב. שעבודים ובטול שעבודים 1. לחברה הסכם שיעבוד שלילי עם בנקים, לפיו במידה ותקבל החברה אשראי בנקאי לא ירשמו שעבודים לטובת הבנקים כל עוד תעמוד החברה בהתחייבויות ובאמות מידה פיננסיות שנקבעו. על פי אמות המידה הפיננסיות: . (א) חלקו של ההון העצמי של החברה מתוך סך המאזן לא יפחת מ 35%- (ב) סכום הרווח השנתי מפעילויות שוטפות לפני מס, בממוצע דו-שנתי, לא יפחת מ 1%- מסך כל המכירות. כמו כן מוסכם שאם הרווח הממוצע יהיה נמוך מ 1%- במשך שנתיים וחלקו של ההון העצמי מסך כל המאזן יהיה גבוה מ 45%- , עדין ראו בכך עמידה בתנאי ההתחייבות. בנוסף, לחברה התחייבויות נוספות שעיקרן כמפורט להלן: (א) התחייבות לאי-תשלום דיבידנד מרווח שנים קודמות כל עוד רמת הרווחיות לפני מס בשנת החלוקה נמוכה מ - 2% מהמכירות (בממוצע דו שנתי); בנסיבות אלו תוכל החברה בכל זאת לחלק דיבידנד מרווחי השנה השוטפת ובתנאי שלא יעלה על 50% מרווחי השנה השוטפת. (ב) התחייבות שלא לרשום שעבודים על נכסי החברה למעט שעבודים מסוימים (כגון: לטובת מדינת ישראל או לצורך מימון רכישת נכס חדש). (ג) התחייבות של החברה לבטח את נכסיה. (ד) התחייבות לעמוד במגבלות מסוימות בקשר עם מכירת נכסים קבועים. (ה) כל אחת מחברות הקבוצה החתומות על הסכם השעבוד השלילי תחתום, במידה ותתבקש על ידי הבנק על ערבות להבטחת כל הסכומים שיגיעו לבנקים מכל אחת מהחברות. במידה והחברה לא תעמוד בהתחייבויות ובאמות המידה הפיננסיות היא תיצור שעבודים להנחת דעתם של הבנקים על אותם נכסים שנכון להיום אינם משועבדים בשל הסכם השעבוד השלילי. במקרים קיצוניים של כינוס נכסים, פירוק, הפסקת פעילות, עיקולים משמעותיים והוצאה לפועל, הבנקים יהיו רשאים (אך לא חייבים) להעמיד לפירעון מיידי את האשראי. נכון למועד המאזן החברה עומדת בהתחייבויות ובאמות המידה הפיננסיות שנקבעו. 2. לחברה מאוחדת הסכם שיעבוד שלילי עם בנקים לפיו במידה ותקבל אשראי בנקאי לא ירשמו שיעבודים לטובת הבנקים כל עוד תעמוד בהתחיבויותיה ובאמות המידה הפיננסיות ולפיהן נקבע בין היתר, שההון העצמי המוחשי לא יפחת מ- 25% מסך המאזן של החברה המאוחדת וכי סך כל החובות למוסדות מימון לא יעלה על 30% מסך המאזן שלה. נכון למועד המאזן עומדת החברה המאוחדת בהתחיבויות ובאמות המידה הפיננסיות שנקבעו. 3. חברות מאוחדות רשמו שעבוד שוטף לטובת מדינת ישראל על כל נכסיהן להבטחת תנאים הקשורים במענקי השקעה שנתקבלו בגין השקעותיהן ב"מפעלים מאושרים". 4. להבטחת התחייבותה של חברה מאוחדת בצ'כיה לתאגיד בנקאי, שיעבדה החברה המאוחדת בצ'כיה את נכסיה לטובת התאגיד הבנקאי וכן נתנה החברה ערבות לטובת התאגיד הבנקאי.
  • 154.
    באורים לדוחות הכספייםליום 31 בדצמבר 2013 השקעות בערבון מוגבל 35 באור 22 - צדדים קשורים ובעלי עניין א. עסקאות עם חברות בקבוצת נסטלה לשנה שנסתיימה ביום 31 בדצמבר 2011 2012 2013 אלפי ₪ אלפי ₪ אלפי ₪ 247,001 273,923 עלות המכירות 251,376 15,395 21,925 הוצאות הנהלה וכלליות 24,403 721 774 הכנסות אחרות 725 העסקאות הינן בתנאים מסחריים רגילים. ב. יתרות עם חברות בקבוצת נסטלה לשנה שנסתיימה ביום 31 בדצמבר 2012 2013 אלפי ₪ אלפי ₪ 102,258 ספקים 73,612 914 חייבים ויתרות חובה 2,875 1,458 אלפי ₪). - יתרת חייבים ויתרות חובה הגבוהה ביותר בשנת 2013 הייתה 2,875 אלפי ₪ ( 2012 ג. התקשרויות עם צדדים קשורים ובעלי עניין . ראה באורים 21 א. 3. עד 21 א. 5 ד. הטבות לאנשי מפתח ניהוליים (לרבות דירקטורים) דירקטורים ומנהלים בכירים בקבוצה זכאים, בנוסף לשכר, להטבות שלא במזומן כגון רכב, טלפון נייד וכו'. הקבוצה מפקידה עבורם כספים במסגרת תכנית הטבה מוגדרת לאחר סיום העסקה. הטבות בגין העסקת אנשי מפתח ניהוליים (לרבות דירקטורים) כוללות: לשנה שנסתיימה ביום 31 בדצמבר 2011 2012 2013 מס' אנשים סכום מס' אנשים סכום מס' אנשים סכום אלפי ₪ אלפי ₪ אלפי ₪ 11,322 4 13,616 4 הטבות לעובדים לטווח קצר 13,472 2 הטבות לאחר סיום העסקה 138 4 251 4 133 2 11,460 4 13,867 4 13,605 2 הטבות בגין אנשי מפתח ניהוליים (לרבות דירקטורים) שאינם מועסקים בחברה: לשנה שנסתיימה ביום 31 בדצמבר 2011 2012 2013 מס' אנשים סכום מס' אנשים סכום מס' אנשים סכום אלפי ₪ אלפי ₪ אלפי ₪ 1,352 4 1,677 7 1,827 8 סך הטבות בגין דירקטור שאינו מועסק מדיניות התגמול למנהלים הבכירים כוללת, בין השאר, בונוס שנתי המבוסס על עמידה ביעדים השנתיים ואופציות . פאנטום כמפורט בבאור 21 א. 11
  • 155.
    באורים לדוחות הכספייםליום 31 בדצמבר 2013 השקעות בערבון מוגבל 36 באור 23 - פרוטים לסעיפי דוח רווח והפסד א. הכנסות ממכירות 1. מקומיות ויצוא: לשנה שנסתיימה ביום 31 בדצמבר 2011 2012 2013 אלפי ₪ אלפי ₪ אלפי ₪ 3,320,925 3,423,047 מכירות מקומיות 3,560,200 639,952 668,546 מכירות בחו"ל 629,847 3,960,877 4,091,593 מכירות 4,190,047 2. מוצרים מייצור עצמי ומוצרים אחרים: לשנה שנסתיימה ביום 31 בדצמבר 2011 2012 2013 אלפי ₪ אלפי ₪ אלפי ₪ 2,869,097 2,953,838 מוצרים מייצור עצמי 2,996,638 1,091,780 1,137,755 מוצרים אחרים 1,193,409 3,960,877 4,091,593 מכירות 4,190,047 3. לקבוצה לקוח אחד אשר היקף המכירות אליו הינו יותר מ- 10% מכלל המכירות. סך המכירות ללקוח, הינו כדלקמן: לשנה שנסתיימה ביום 31 בדצמבר 2011 2012 2013 אלפי ₪ אלפי ₪ אלפי ₪ 566,026 628,480 לקוח 646,617 ב. עלות המכירות לשנה שנסתיימה ביום 31 בדצמבר 2011 2012 2013 אלפי ₪ אלפי ₪ אלפי ₪ עלות מכר מוצרים מיצור עצמי: 910,259 952,529 חומרים שנצרכו 913,258 311,086 319,981 שכר ונלוות 327,302 297,151 308,763 הוצאות ייצור אחרות 305,769 70,816 73,197 פחת והפחתות 74,711 1,589,312 1,654,470 1,621,040 19,143 (12,622) קיטון (גידול) במלאי תוצרת גמורה ותוצרת בעיבוד 9,106 1,608,455 1,641,848 סה"כ עלות מכר מוצרים מיצור עצמי 1,630,146 701,027 770,150 עלות מכר מוצרים אחרים 796,190 2,309,482 2,411,998 2,426,336
  • 156.
    באורים לדוחות הכספייםליום 31 בדצמבר 2013 השקעות בערבון מוגבל 37 באור 23 - פרוטים לסעיפי דוח רווח והפסד (המשך) ג. הוצאות מכירה, שיווק והפצה לשנה שנסתיימה ביום 31 בדצמבר 2011 2012 2013 אלפי ₪ אלפי ₪ אלפי ₪ 299,862 309,249 הוצאות שכר ונלוות 320,707 33,783 32,405 פחת והפחתות 32,507 249,313 224,103 פרסום וקדום מכירות 239,674 82,958 92,722 עמלות 94,317 96,588 103,644 הוצאות רכב והובלה 104,589 116,255 123,487 אחרות 137,039 878,759 885,610 928,833 ד. הוצאות הנהלה וכלליות לשנה שנסתיימה ביום 31 בדצמבר 2011 2012 2013 אלפי ₪ אלפי ₪ אלפי ₪ 147,632 156,210 הוצאות שכר ונלוות 177,374 37,748 43,923 פחת והפחתות 40,270 6,129 7,105 אחזקת מבנים 6,715 (273) 2,464 חובות מסופקים ואבודים 7,901 79,292 73,260 אחרות 74,060 270,528 282,962 306,320 ה. הכנסות (הוצאות) אחרות, נטו לשנה שנסתיימה ביום 31 בדצמבר 2011 2012 2013 אלפי ₪ אלפי ₪ אלפי ₪ 1,017 (503) ( רווח (הפסד) ממימוש רכוש קבוע ( 155 - (4,759) ( הוצאות ארגון מחדש ( 3,262 (3,847) (1,768) אחרות 532 (2,830) (7,030) (2,885) ו. הכנסות והוצאות מימון לשנה שנסתיימה ביום 31 בדצמבר 2011 2012 2013 אלפי ₪ אלפי ₪ אלפי ₪ 5,478 1,220 הוצאות בגין התחייבויות ואשראי לזמן קצר 6,583 1,073 2,940 הוצאות בגין התחייבויות לתאגידים בנקאיים 2,179 שינוי בשווי הוגן של נכסים פיננסים דרך רווח והפסד - - 460 - 3,958 הפרשי שער, נטו 799 34,527 25,608 הוצאות בגין התחייבויות לאופציות מכר של המיעוט 15,092 41,538 33,726 סה"כ הוצאות מימון 24,653 (3,102) (2,817) ( הכנסות ריבית מפיקדונות בבנקים ( 1,512 ( הפרשי שער, נטו - - ( 6,802 - (1,271) ( שינוי בשווי הוגן של נכסים פיננסים דרך רווח והפסד ( 380 (9,904) (4,088) ( סה"כ הכנסות מימון ( 1,892 31,634 29,638 הוצאות מימון נטו 22,761
  • 157.
    באורים לדוחות הכספייםליום 31 בדצמבר 2013 השקעות בערבון מוגבל 38 באור 24 - מכשירים פיננסיים א. כללי האחריות המקיפה לבסס את מסגרת ניהול הסיכונים של הקבוצה ולפקח עליה מצויה בידי ההנהלה. ההנהלה אחראית על פיתוח ומעקב אחר מדיניות ניהול הסיכונים של הקבוצה. מדיניות ניהול הסיכונים של הקבוצה גובשה בכדי לזהות ולנתח את הסיכונים העומדים בפני הקבוצה, לקבוע הגבלות הולמות לסיכונים ובקרות ולפקח על הסיכונים והעמידה בהגבלות. המדיניות והשיטות לניהול הסיכונים נסקרות באופן שוטף בכדי לשקף שינויים בתנאי השוק ובפעילות הקבוצה. 1. גורמי סיכון פיננסי פעילויות החברה חושפות אותה לסיכונים פיננסיים שונים, כגון סיכון שוק (לרבות סיכון מטבע, סיכון שווי הוגן בגין שיעור ריבית וסיכון מחיר), סיכון אשראי, סיכון נזילות וסיכון תזרים מזומנים בגין שיעור ריבית. תוכנית ניהול הסיכונים הכוללת של החברה מתמקדת בפעולות להשגת מינימום השפעות שליליות אפשריות על הביצועים הפיננסיים של החברה. החברה משתמשת גם במכשירים פיננסיים נגזרים לגדר חשיפות מסוימות לסיכונים. בבאור זה ניתן מידע איכותי ומידע כמותי בדבר החשיפה של הקבוצה לכל אחד מהסיכונים שלעיל, מטרות הקבוצה מדיניות ותהליכים לגבי מדידה וניהול של הסיכון. א) סיכוני אשראי סיכון אשראי הוא סיכון להפסד כספי שיגרם לקבוצה באם לקוח או צד שכנגד למכשיר פיננסי לא יעמוד בהתחייבויותיו החוזיות, והוא נובע בעיקר מחובות של לקוחות וחייבים אחרים,מהלוואות שניתנו לצדדים שלישיים. מכירות הקבוצה ללקוחותיה מתבצעות ברובן באשראי לקוחות כמקובל בשוק. חלקו של האשראי מובטח בביטוח אשראי, בביטחונות שונים וביטוח כרטיסי אשראי באמצעות חברות כרטיסי אשראי, ליתרת האשראי לשוק הפרטי שאינה מכוסה בבטחונות קיים פיזור רחב של לקוחות המקטין את הסיכון. האשראי ללקוחות בשוק הקמעונאי המאורגן, בחלקו אינו מובטח ומתרכז במספר מצומצם של לקוחות שהיקף המכירות של הקבוצה להם הוא גדול, יחד עם זאת מדובר בלקוחות שיש להם היסטוריית אשראי נאותה. ההנהלה בוחנת באופן שוטף הערכות אשראי של לקוחות ובדוחות הכספיים נכללות הפרשות לחובות מסופקים המשקפות בצורה נאותה לפי הערכת ההנהלה, את ההפסד הגלום בחובות שגבייתם מוטלת בספק. ב) סיכון נזילות סיכון נזילות הוא הסיכון שהקבוצה תתקשה לעמוד במחויבויות הקשורות בהתחייבויותיה הפיננסיות המסולקות על ידי מסירת מזומן או נכס פיננסי אחר. גישת הקבוצה לניהול סיכוני הנזילות שלה היא להבטיח ככל הניתן, את מידת הנזילות המספקת לעמידה בהתחייב בתנאים רגילים ובתנאי לחץ מבלי שיגרמו לה הפסדים בלתי רצויים או פגיעה במוניטין. הקבוצה משתמשת בתמחיר מבוסס פעילות לצורך תמחור מוצריה ושירותיה, דבר המסייע לה לעקוב אחר דרישות תזרים המזומנים ולמקסם את תשואת המזומנים מהשקעותיה. הקבוצה מוודאת קיומם של רמות מספקות של מזומנים על פי דרישה לתשלום הוצאות התפעול הצפויות לתקופת התחזית, כולל הסכומים הדרושים לעמידה בהתחייבויות הפיננסיות, האמור אינו מביא בחשבון את ההשפעה הפוטנציאלית של תרחישים קיצוניים שאין אפשרות סבירה לצפותם, כגון אסונות טבע. עם אופק דרוג יציב. AAA החברה דורגה על ידי חברת מידרוג כחברה בעלת דרוג אשראי של דירוג זה מעיד על רמת הנזילות והאיתנות הפיננסית של הקבוצה. ג) סיכוני שוק סיכון שוק הוא הסיכון ששינויים במחירי שוק, כגון שערי חליפין של מטבע חוץ, מדד המחירים לצרכן, שעורי ריבית ומחירים של מכשירים הוניים, ישפיעו על הכנסות הקבוצה או על ערך החזקותיה במכשירים פיננסיים. מטרת ניהול סיכוני השוק הינה לנהל ולפקח על החשיפה לסיכוני שוק במסגרת פרמטרים מקובלים, תוך כדי מיקסום התשואה. 1) סיכוני מטבע מכירות הקבוצה בחו"ל מהוים כ- 15% ממחזור המכירות שלה אולם במקביל היא מייבאת חלק מחומרי הגלם וכן מוצרים מנסטלה ובכך נוצרת הגנה טבעית של מרבית יתרות הלקוחות במט"ח מול מרבית יתרות הספקים במט"ח. במקרים שבהם עדין נוצרת חשיפה כלשהי, הרי שהקבוצה נוהגת בדרך כלל לנטרל חלק מהחשיפות וסיכונים במטבע חוץ על ידי הצבת פקדונות במטבע הרלוונטי כנגד התחייבויות לספקים בחו"ל שנלקחו באותו מטבע או באמצעות עסקאות פורווד. יחד עם זאת חברות הבנות בחו"ל עושות שימוש באשראי בנקאי במטבע חוץ. ליום 31 בדצמבר 2013 הסתכם עודף הנכסים הפיננסיים במטבע חוץ על ההתחייבויות הפיננסיות במטבע חוץ בסך של כ- 74 מליון ₪. וכן עודף התחייבויות פיננסיות על נכסים פיננסים בסך 178 מליון ₪ בחברות בנות שמטבע הפעילות שלהן הוא במטבע חוץ. במקביל ביצעה הקבוצה הגנה חלקית באמצעות עסקאות פורוורד בסך של כ- 72 מליון ₪. 2) סיכוני מדד במחירים לצרכן נכון ליום המאזן לחברה עודף נכסים פיננסיים הצמודים למדד על התחייבויות פיננסיות הצמודות למדד בסך של כ- 1 מליון ₪ בלבד.
  • 158.
    באורים לדוחות הכספייםליום 31 בדצמבר 2013 השקעות בערבון מוגבל 39 באור 24 - מכשירים פיננסיים (המשך) 1. גורמי סיכון פיננסי (המשך) ג) סיכוני שוק (המשך) 3) סיכוני מחיר חלק מחומרי הגלם הינם קומודיטיס שמחירם מושפע מתנודות מחירים בשווקי הקומודיטיס בבורסות בעולם ומתנודות בשערי החליפין. חומרי גלם אלו מופקים מצמחים (כגון סוכר וקמח) ולכן מחיריהם מושפעים משינויים במזג האוויר, תקופת הבשלה וכדומה. החברה נעזרת בשירותי הרכש המרכזי האסטרטגי של נסטלה לצורך השגת מחיר מיטבי לחברה. 4) סיכוני שיעור ריבית הלוואות הנושאות שיעורי ריבית משתנים חושפות את הקבוצה לסיכון שיעור ריבית בגין תזרים מזומנים ואלו הנושאות שיעורי ריבית קבועים חושפות את הקבוצה לסיכון שיעור ריבית בגין שווי הוגן. חשיפה זו היא מצומצמת בהיקפה מכיוון שכל ההלוואות לזמן ארוך מבנקים נפרעו ואילו ההלוואות לזמן קצר מהוות 0.8% בלבד מסה"כ המאזן. 2. סך ההתקשרות בגין חוזים עתידיים הסתכמו ליום המאזן כדלקמן: היקף העסקאות שווי הוגן אלפי ש"ח אלפי ש"ח 1,274 עסקאות פורווד ₪ /מט"ח ואופציה על שערי חליפין, נטו 71,696 העסקאות הנ"ל הן לתקופה של עד 12 חודש. החוזים העתידיים מוצגים לפי שווי הוגן כנכסים ברמה 2: נתונים נצפים, במישרין או בעקיפין, שאינם כלולים ברמה 1 (מחירים מצוטטים, לא מתואמים, בשוק פעיל למכשירים זהים). 3. נכסים והתחייבויות פיננסיות הערך בספרים של מזומנים ושווי מזומנים, השקעות לזמן קצר, לקוחות, חייבים ויתרות חובה, אשראי מתאגידים בנקאיים ואחרים, התחייבויות לספקים ונותני שירותים וזכאים ויתרות זכות תואם או קרוב לשווי ההוגן שלהם.
  • 159.
    באורים לדוחות הכספייםליום 31 בדצמבר 2013 השקעות בערבון מוגבל 40 באור 24 - מכשירים פיננסיים (המשך) ב. סיכון אשראי 1. חשיפה לסיכון אשראי הערך בספרים של הנכסים הפיננסים מייצג את חשיפת האשראי וההשקעות המרבית. החשיפה המרבית לסיכון האשראי וההשקעות בתאריך המאזן, היתה כדלקמן: ליום 31 בדצמבר 2012 2013 אלפי ₪ אלפי ₪ 60,265 מזומנים ושווי מזומנים 328,059 676,445 לקוחות 688,481 12,618 חייבים ויתרות חובה 11,086 13,670 השקעות אחרות 7,067 762,998 1,034,675 היתרות לעיל נכללות בסעיפים מזומנים ושווי מזומנים, לקוחות, חייבים ויתרות חובה,השקעות אחרות והלוואות. מועדי המימוש החזויים של לקוחות, חייבים ויתרות חובה והשקעות אחרות הינם בתוך שנה אחת. 2. גיול חובות והפסדים מירידת ערך להלן גיול חובות של לקוחות: ליום 31 בדצמבר 2012 2013 אלפי ₪ אלפי ₪ 623,999 אינם בפיגור 615,838 60,377 פיגור של 1-60 יום 79,833 5,712 פיגור של 61-120 יום 8,539 6,198 פיגור של מעל 120 יום 8,992 (19,841) ( ההפרשה לירידת ערך ( 24,721 676,445 688,481 התנועה בהפרשה לירידת ערך בגין יתרת לקוחות, כדלקמן: 2012 2013 אלפי ₪ אלפי ₪ 22,366 יתרה ליום 1 בינואר 19,841 2,464 הפסד שהוכר מירידת ערך נטו 7,901 (491) ( תנועה מול ספקים ( 558 (4,498) ( חובות מסופקים שהפכו לאבודים ( 2,463 19,841 24,721 יתרה ליום 31 בדצמבר חובות והפסדים מירידת ערך חשבונות ההפרשות לירידת ערך משמשים להכרה בהפסדים מירידת ערך, אלא אם הקבוצה משוכנעת שאין כל סיכוי לגבות את סכום החוב ואז מקוזז הסכום שאינו ניתן לגביה ישירות כנגד הנכס הפיננסי. חלק משמעותי , מיתרת הלקוחות מבוטח באמצעות החברה לביטוח אשראי. ליום 31 בדצמבר 2013 וליום 31 בדצמבר 2012 לקבוצה יש גם הפרשה כללית לירידת ערך בגין יתרות לקוחות. הנהלת החברה עוקבת באופן שוטף אחר חובות הלקוחות ובדוחות הכספיים נכללות הפרשות לחובות מסופקים המשקפות בצורה נאותה, לפי הערכת ההנהלה, את ההפסד הגלום בחובות שגבייתם מוטלת בספק.
  • 160.
    באורים לדוחות הכספייםליום 31 בדצמבר 2013 השקעות בערבון מוגבל 41 באור 24 - מכשירים פיננסיים (המשך) ג. סיכון נזילות להלן מועדי הפירעון החוזיים של התחייבויות פיננסיות בשנים הבאות, כולל פירעון קרן ואומדן תשלומי ריבית עתידיים, לא מהוונים. ליום 31 בדצמבר 2013 תזרים עד 1 הערך בספרים מזומנים חוזי שנים 1-2 שנים 2-5 שנים אלפי ₪ אלפי ₪ אלפי ₪ אלפי ₪ אלפי ₪ התחייבויות פיננסיות - - 29,310 29,310 הלוואות ואשראי לזמן קצר 29,212 - - 710,463 710,463 ספקים 710,463 - - 164,639 164,639 זכאים 164,639 - - 904,412 904,412 סך הכל 904,314 ליום 31 בדצמבר 2012 תזרים עד 1 הערך בספרים מזומנים חוזי שנים 1-2 שנים 2-5 שנים אלפי ₪ אלפי ₪ אלפי ₪ אלפי ₪ אלפי ₪ התחייבויות פיננסיות - - 48,803 48,803 הלוואות ואשראי לזמן קצר 48,393 - - 685,948 685,948 ספקים 685,948 - - 128,487 128,487 זכאים 128,487 התחייבויות לתאגידים בנקאים - 3,571 10,614 14,185 כולל חלויות שוטפות 13,915 - 3,571 873,852 877,423 סך הכל 876,743
  • 161.
    באורים לדוחות הכספייםליום 31 בדצמבר 2013 השקעות בערבון מוגבל 42 באור 24 - מכשירים פיננסיים (המשך) ד. סיכוני מדד ומטבע חוץ 1. חשיפת הקבוצה לסיכוני מדד ומטבע חוץ ליום 31 בדצמבר 2013 מטבע פעילות - מטבע פעילות - ש"ח מטבע חוץ צמוד פריטים צמוד למדד לא צמוד לא צמוד למטבע חוץ לא כספים סה"כ אלפי ₪ אלפי ₪ אלפי ₪ אלפי ₪ אלפי ₪ אלפי ₪ נכסים 328,059 - 17,590 27,073 מזומנים ושווי מזומנים - 283,396 688,481 - 48,472 27,568 לקוחות - 612,441 27,662 16,594 1,089 2,390 חייבים ויתרות חובה - 7,589 5,464 מס הכנסה - - - - 5,464 390,107 מלאי - - - - 390,107 7,067 - 154,722 (148,983) - השקעות אחרות 1,328 293 הטבות לעובדים - - - - 293 1,144,497 רכוש קבוע - - - - 1,144,497 977,057 נכסים בלתי מוחשיים - - - - 977,057 38,806 הוצאות נדחות - - - - 38,806 34,795 נכסי מיסים נידחים - - - - 34,795 התחיבויות (29,212) - - ( הלוואות ואשראי לזמן קצר - - ( 29,212 (710,463) - (146,722) (43,950) ( ספקים - ( 519,791 (223,976) (59,337) (74) (14,480) ( זכאים אחרים - ( 150,085 (9,473) ( מס הכנסה - - - - ( 9,473 התחיבויות לתאגידים בנקאים - - - - - (342,514) ( התחיבויות אחרות - - - - ( 342,514 (4,450) ( הטבות לעובדים - - - - ( 4,450 (69,327) ( מיסים נדחים - - - - ( 69,327 עודף (גרעון) נכסים על 2,252,873 2,122,512 75,077 (179,594) 233,550 התחייבויות 1,328
  • 162.
    באורים לדוחות הכספייםליום 31 בדצמבר 2013 השקעות בערבון מוגבל 43 באור 24 - מכשירים פיננסיים (המשך) ד. סיכוני מדד ומטבע חוץ (המשך) 1. חשיפת הקבוצה לסיכוני מדד ומטבע חוץ (המשך) דוח בסיסי הצמדה ליום 31 בדצמבר 2012 מטבע פעילות - מטבע פעילות - ש"ח מטבע חוץ צמוד פריטים צמוד למדד לא צמוד לא צמוד למטבע חוץ לא כספים סה"כ אלפי ₪ אלפי ₪ אלפי ₪ אלפי ₪ אלפי ₪ אלפי ₪ נכסים 60,265 - 10,960 32,895 מזומנים ושווי מזומנים - 16,410 676,445 - 48,612 24,874 לקוחות - 602,959 37,896 25,278 1,067 7,838 חייבים ויתרות חובה - 3,713 7,416 מס הכנסה - - - - 7,416 406,724 מלאי - - - - 406,724 13,670 - 228,353 (228,353) 12,187 השקעות אחרות 1,483 1,127,990 רכוש קבוע - - - - 1,127,990 1,025,654 נכסים בלתי מוחשיים - - - - 1,025,654 37,669 הוצאות נדחות - - - - 37,669 30,441 נכסי מיסים נידחים - - - - 30,441 התחייבויות (58,938) - (8,435) (33,488) ( הלוואות ואשראי לזמן קצר - ( 17,015 (685,948) - (173,005) (34,695) ( ספקים - ( 478,248 (189,169) (60,682) (884) (12,325) ( זכאים אחרים - ( 115,278 (11,813) ( מס הכנסה ( 11,813 (3,370) - ( התחיבויות לתאגידים בנקאים - - ( 3,370 (357,104) ( התחיבויות אחרות - - - - ( 357,104 (4,537) ( הטבות לעובדים - - - - ( 4,537 (69,847) ( מיסים נדחים - - - - ( 69,847 עודף (גרעון) נכסים על 2,043,444 2,157,189 106,668 (246,624) 24,728 התחייבויות 1,483
  • 163.
    באורים לדוחות הכספייםליום 31 בדצמבר 2013 השקעות בערבון מוגבל 44 באור 24 - מכשירים פיננסיים (המשך) ד. סיכוני מדד ומטבע חוץ (המשך) 2. ניתוח רגישות התחזקות הש"ח כנגד המטבעות הבאים לתאריך 31 בדצמבר ועליה במדד המחירים לצרכן, הייתה מגדילה (מקטינה) את ההון העצמי ואת הרווח או ההפסד בסכומים המוצגים להלן. ניתוח זה נעשה בהנחה שכל שאר המשתנים, ובמיוחד שעורי הריבית, נשארו קבועים. הניתוח לגבי שנת 2012 נעשה בהתאם לאותו בסיס. ליום 31 בדצמבר 2013 הון רווח (הפסד) אלפי ₪ אלפי ₪ 10 10 עליה במדד המחירים לצרכן ב-% 1 עליה בשער החליפין של: 78 78 דולר ארה"ב ב- % 1 51 51 לירה שטרלינג ב - % 1 (6) (6) אירו ב- % 1 (79) (79) דולר אוסטרלי ב- % 1 ליום 31 בדצמבר 2012 הון רווח (הפסד) אלפי ₪ אלפי ₪ 11 11 עליה במדד המחירים לצרכן ב-% 1 עליה בשער החליפין של: 1,394 1,394 דולר ארה"ב ב- % 1 26 26 לירה שטרלינג ב - % 1 (15) (15) אירו ב- % 1 (30) (30) דולר אוסטרלי ב- % 1 להחלשות הש"ח בשיעורים דומים כנגד המטבעות האמורים ולירידה במדד המחירים לצרכן בשיעור דומה לתאריך 31 בדצמבר הייתה השפעה זהה, אם כי בכיוון הפוך, ובאותם סכומים, בהנחה שכל שאר המשתנים נשארו קבועים. 3. להלן פירוט המכשירים הפיננסיים הנגזרים של הקבוצה: ליום 31 בדצמבר 2013 מועד מועד מטבע מטבע ערך נקוב תחילת פקיעה / שווי הוגן תאור הנגזר לקניה למכיר ה אלפי ₪ עסקה מימוש אלפי ₪ פ ורוורד – הגנה על חוב ד ולר 44 1/2014 12/2013 לספק אוסטרלי ₪ 16,134 פורוורד – הגנה על חוב (28) 1-2/2014 3/2013 לספק אירו ₪ 2,416 18,550 16 אופציה על שערי חליפין דולר ₪ (90,246) 10/2013 3-9/2014 1,258 71,696 1,274 ליום 31 בדצמבר 2012 מועד מועד מטבע מטבע ערך נקוב תחילת פקיעה / שווי הוגן תאור הנגזר לקניה למכיר ה אלפי ₪ עסקה מימוש אלפי ₪ פ ורוורד – הגנה על חוב ד ולר (102) 1/2013 12/2012 לספק אוסטרלי ₪ 35,221 פורוורד – הגנה על חוב (449) 1-8/2013 7-12/2012 לספק דולר ₪ 36,583 71,804 (551)
  • 164.
    באורים לדוחות הכספייםליום 31 בדצמבר 2013 השקעות בערבון מוגבל 45 באור 24 - מכשירים פיננסיים (המשך) ד. סיכוני מדד ומטבע חוץ (המשך) 4. להלן נתונים לגבי מדד המחירים לצרכן ושערי חליפין: 31 בדצמבר % השינוי 2011 2012 2013 2012 2013 מדד המחירים לצרכן - בנקודות 2.17 1.63 1.82 105.7 107.6 שער החליפין של דולר ארה"ב 7.66 (2.30) (7.02) (שקל חדש= 1 דולר) 3.733 3.471 שער החליפין של הלירה שטרלינג 7.26 2.46 (4.89) (שקל חדש= 1 ליש"ט) 6.037 5.742 שער החליפין של הפרנק השוויצרי 7.23 0.36 (4.42) (שקל חדש = 1 פרנק) 4.077 3.897 שער החליפין של האירו 4.22 (0.35) (2.82) (שקל חדש = 1 אירו) 4.921 4.782 שער החליפין של דולר אוסטרלי 7.37 (0.18) (19.82) (שקל חדש= 1 דולר) 3.870 3.103
  • 165.
    באורים לדוחות הכספייםליום 31 בדצמבר 2013 השקעות בערבון מוגבל 46 באור 24 - מכשירים פיננסיים (המשך) ה. סיכון שיעורי ריבית 1. סוג ריבית להלן פירוט בדבר סוג הריבית של המכשירים הפיננסיים נושאי הריבית של הקבוצה: ליום 31 בדצמבר 2012 2013 הערך בספרים הערך בספרים אלפי ₪ אלפי ₪ מכשירים בריבית קבועה נכסים פיננסיים 13,818 695 התחייבויות פיננסיות - - 13,818 695 מכשירים בריבית משתנה 8,521 נכסים פיננסיים 272,545 (62,308) ( התחייבויות פיננסיות ( 29,212 (53,787) (243,333) 2. ניתוח רגישות השווי ההוגן לגבי מכשירים בריבית קבועה נכסים והתחייבויות בריבית קבועה של הקבוצה אינם נמדדים בשווי הוגן דרך רווח והפסד, וכן הקבוצה אינה מייעדת נגזרים כמכשירים מגדרים בהתאם למודל של חשבונאות גידור של שווי הוגן. לכן, לשינוי בשעורי הריבית לתאריך המאזן, לא צפויה כל השפעה על הרווח או ההפסד בגין שינויים בערך הנכסים וההתחייבויות בריבית קבועה. 3. ניתוח רגישות תזרים מזומנים לגבי מכשירים בשיעורי ריבית משתנים שינוי של 1% בשיעורי הריבית במועד הדיווח, היה מגדיל או מקטין את ההון העצמי ואת הרווח או ההפסד בסכומים המוצגים להלן. ניתוח זה נעשה בהנחה שיתר המשתנים, ובמיוחד שערי מטבע חוץ, נשארו קבועים. הניתוח לגבי שנת 2012 נעשה בהתאם לאותו בסיס. ליום 31 בדצמבר 2013 רווח או הפסד הון גידול בריבית קיטון בריבית גידול בריבית קיטון בריבית אלפי ₪ אלפי ₪ אלפי ₪ אלפי ₪ (13) 13 (13) מכשירים בריבית משתנה 13 (13) 13 (13) רגישות תזרים המזומנים (נטו) 13 ליום 31 בדצמבר 2012 רווח או הפסד הון גידול בריבית קיטון בריבית גידול בריבית קיטון בריבית אלפי ₪ אלפי ₪ אלפי ₪ אלפי ₪ 9 (9) 9 ( מכשירים בריבית משתנה ( 9 9 (9) 9 ( רגישות תזרים המזומנים (נטו) ( 9
  • 166.
    באורים לדוחות הכספייםליום 31 בדצמבר 2013 השקעות בערבון מוגבל 47 באור 25 - רווח למניה לשנה שנסתיימה ביום 31 בדצמבר 2012 2013 הרווח ששימש בחישוב הרווח 356,886 הבסיסי והמדולל למניה (אלפי ₪) 376,428 כמות המניות ששימשה בחישוב 110,644 הרווח הבסיסי והמדולל למניה (אלפים) 110,644 באור 26 - מידע על מגזרי פעילות על בסיס מאוחד א. לקבוצה מגזרים ברי דיווח בהתאם לתחומי פעילותה כמפורט להלן: 1. תחום קולינארי - בתחום זה הקבוצה מפתחת, מייצרת ו/או מוכרת, משווקת ומפיצה מגוון רחב של מוצרים ממותגים. העיקריים שבהם כוללים בין השאר פסטה, מרקים, תבשילים, עזרי אפיה, רטבים, שקדי מרק ושימורים. 2. תחום החטיפים ודגני הבוקר - בתחום זה הקבוצה מפתחת, מייצרת ו/או מוכרת, משווקת ומפיצה מגוון רחב של מוצרים ממותגים. המוצרים בתחום פעילות זה כוללים מוצרי חטיפים (חטיפי חיטה, חטיפי בוטנים, חטיפי תפוחי - אדמה וחטיפי תירס וכו') דגני בוקר וחטיפי בריאות. 3. תחום המאפה והמשקאות - בתחום זה הקבוצה מפתחת, מייצרת ו/או מוכרת, משווקת ומפיצה מגוון רחב של מוצרים ממותגים. המוצרים בתחום פעילות זה כוללים את מוצרי המאפים המלוחים (כגון קרקרים ולחמית), המאפים המתוקים (עוגות ועוגיות), תרכיזים לשתיה, שוקו וקפה נמס. 4. תחום המזון המוכן - בתחום זה הקבוצה מפתחת, מייצרת ו/או מוכרת, משווקת ומפיצה מגוון רחב של מוצרים קפואים ומצוננים ממותגים, שהעיקריים שבהם כוללים מוצרי מאפה קפואים הנאפים בנקודות המכירה, שניצלים, המבורגרים, נקניקיות וארוחות מוכנות על בסיס של תחליפי בשר וכן מוצרים המכילים ירקות, סלטים מוכנים וארוזים (סלטי חומוס, חצילים, טחינה וכיוצ"ב). 5. תחום המזון לתינוקות - בתחום זה, פעילות הקבוצה מתבצעת באמצעות שותפות מטרנה, שמפתחת, מייצרת ו/או מוכרת, ומשווקת מגוון רחב של מוצרי מזון לתינוקות הכוללים בעיקר תחליפי חלב אם, דייסות, מחיות, ביסקוויטים ופסטות לפעוטות. 6. פעילויות אחרות - בתחום זה, נכללות פעילויות שונות שאינן נכללות בתחומי הפעילויות שתוארו לעיל. גלידות, מזון לבעלי חיים, מוצרים קנויים אחרים וכן (Nestea) העיקריות שבהן כוללות, בין השאר, תה קר המדובר בפעילויות שאינן מהותיות לפעילות .USA ואסם UK פעילות חברות הבנות אסמים חבילות שי, אסם הקבוצה ואינן עונות על הסף הכמותי להצגה בדוחות הכספים כמגזרים ברי דיווח. החברה מתמחרת את עסקאותיה הבין חברתיות לפי מחירי שוק מקובלים ללקוחות חיצוניים בגין מוצרים דומים. תוצאות עסקאות אלה מבוטלות, במסגרת ההתאמות, לצורך עריכת דוחות כספיים מאוחדים. תוצאות המגזר נמדדים על בסיס הרווח כפי שנכלל בדיווחים אשר נסקרים באופן סדיר על ידי מקבל ההחלטות התפעולי הראשי.
  • 167.
    באורים לדוחות הכספייםליום 31 בדצמבר 2013 השקעות בערבון מוגבל 48 באור 26 - מידע על מגזרי פעילות על בסיס מאוחד (המשך) לשנה שנסתיימה ביום 31 בדצמבר 2013 חטיפים ודגני מאפה מזון מזון התאמה קולינארי בוקר ומשקאות מוכן תינוקות אחר למאוחד מאוחד אלפי ₪ אלפי ₪ אלפי ₪ אלפי ₪ אלפי ₪ אלפי ₪ אלפי ₪ אלפי ₪ 4,190,047 - 995,592 358,644 920,486 541,065 651,098 מכירות לחיצוניים 723,162 - (64,522) - - 11,080 4,840 16,186 מכירות למגזרים אחרים 32,416 4,190,047 (64,522) 995,592 358,644 931,566 545,905 667,284 סה"כ מכירות המגזר 755,578 עלויות מיוחסות - 3,661,489 - 896,174 296,493 853,967 456,766 503,429 מחיצוניים 654,660 עלויות מיוחסות - - (64,522) 64,484 - ממגזרים אחרים - - - 38 3,661,489 (64,522) 960,658 296,493 854,005 456,766 503,429 סה"כ עלויות מיוחסות 654,660 528,558 - 34,934 62,151 77,561 89,139 163,855 תוצאות המגזר 100,918 ( הוצאות שלא הוקצו, נטו ( 2,885 ( עלויות מימון, נטו ( 22,761 ( מיסים על הכנסה ( 126,484 רווח לתקופה 376,428 148,681 26,860 6,522 48,710 16,855 23,249 פחת והפחתות 26,485 לשנה שנסתיימה ביום 31 בדצמבר 2012 חטיפים ודגני מאפה מזון מזון התאמה קולינארי בוקר ומשקאות מוכן תינוקות אחר למאוחד מאוחד אלפי ₪ אלפי ₪ אלפי ₪ אלפי ₪ אלפי ₪ אלפי ₪ אלפי ₪ אלפי ₪ 4,091,593 - 947,236 355,058 905,783 523,219 652,688 מכירות לחיצוניים 707,609 - (56,859) - - 9,446 6,117 10,018 מכירות למגזרים אחרים 31,278 4,091,593 (56,859) 947,236 355,058 915,229 529,336 662,706 סה"כ מכירות המגזר 738,887 עלויות מיוחסות - 3,580,050 - 847,442 295,830 843,226 457,985 493,527 מחיצוניים 642,040 עלויות מיוחסות - - (56,859) 56,766 - ממגזרים אחרים - - - 93 3,580,050 (56,859) 904,208 295,830 843,319 457,985 493,527 סה"כ עלויות מיוחסות 642,040 511,543 - 43,028 59,228 71,910 71,351 169,179 תוצאות המגזר 96,847 ( הוצאות שלא הוקצו, נטו ( 7,550 ( עלויות מימון, נטו ( 29,638 ( מיסים על הכנסה ( 117,013 רווח לתקופה 357,342 150,875 26,658 6,440 51,217 17,285 22,673 פחת והפחתות 26,602
  • 168.
    באורים לדוחות הכספייםליום 31 בדצמבר 2013 השקעות בערבון מוגבל 49 באור 26 - מידע על מגזרי פעילות על בסיס מאוחד (המשך) לשנה שנסתיימה ביום 31 בדצמבר 2011 חטיפים ודגני מאפה מזון מזון התאמה קולינארי בוקר ומשקאות מוכן תינוקות אחר למאוחד מאוחד אלפי ₪ אלפי ₪ אלפי ₪ אלפי ₪ אלפי ₪ אלפי ₪ אלפי ₪ אלפי ₪ 3,960,877 - 887,843 369,249 877,792 484,788 647,797 מכירות לחיצוניים 693,408 - (51,455) - - 12,323 4,613 8,214 מכירות למגזרים אחרים 26,305 3,960,877 (51,455) 887,843 369,249 890,115 489,401 656,011 סה"כ מכירות המגזר 719,713 עלויות מיוחסות - 3,457,581 - 788,780 303,639 838,153 422,337 480,807 מחיצוניים 623,865 עלויות מיוחסות - - (51,455) 51,372 - ממגזרים אחרים - - - 83 3,457,581 (51,455) 840,152 303,639 838,236 422,337 480,807 סה"כ עלויות מיוחסות 623,865 503,296 - 47,691 65,610 51,879 67,064 175,204 תוצאות המגזר 95,848 ( הוצאות שלא הוקצו, נטו ( 4,018 ( עלויות מימון, נטו ( 31,634 ( מיסים על הכנסה ( 126,664 רווח לתקופה 340,980 147,883 26,149 6,078 50,244 17,540 22,268 פחת והפחתות 25,604
  • 169.
    באורים לדוחות הכספייםליום 31 בדצמבר 2013 השקעות בערבון מוגבל 50 באור 26 - מידע על מגזרי פעילות על בסיס מאוחד (המשך) ב. גילויים ברמת הישות 1. מידע בדבר מוצרים לשנה שנסתיימה ביום 31 בדצמבר 2011 2012 2013 אלפי ₪ אלפי ₪ אלפי ₪ 719,713 738,887 מזון קולינארי 755,578 512,610 511,317 חטיפים 514,788 143,401 151,389 דגני בוקר 152,496 489,401 529,336 מאפה ומשקאות 545,905 890,115 915,229 מזון מוכן 931,566 369,249 355,058 מזון לתינוקות 358,644 836,388 890,377 אחרים (*) 931,070 3,960,877 4,091,593 סה"כ 4,190,047 (*) בתוך מסגרת זו אין אף קבוצת מוצרים ששיעור הכנסותיה מהווה 10% או יותר מסך הכנסות התאגיד. 2. מידע על בסיס אזורים גיאוגרפיים ארץ מושבה של החברה הינה ישראל והחברה פועלת ומפיקה את הכנסותיה בישראל, אירופה וארה"ב. בהצגת המידע על בסיס מגזרים גיאוגרפיים, הכנסות המגזר מבוססות על המיקום הגיאוגרפי של הלקוחות. הנכסים מבוססים על המיקום הגיאוגרפי של הנכסים. לשנה שנסתיימה ביום 31 בדצמבר 2011 2012 2013 אלפי ₪ אלפי ₪ אלפי ₪ הכנסות מחיצוניים 3,320,925 3,423,047 ישראל 3,560,200 279,887 300,252 אמריקה 277,918 351,599 356,596 אירופה 340,670 8,466 11,698 שאר העולם 11,260 3,960,877 4,091,593 מאוחד 4,190,048 ליום 31 בדצמבר 2012 2013 אלפי ₪ אלפי ₪ נכסים לא שוטפים 1,860,473 ישראל 1,872,496 203,011 אמריקה 181,664 127,829 אירופה 106,200 2,191,313 מאוחד 2,160,360
  • 170.
    באורים לדוחות הכספייםליום 31 בדצמבר 2013 השקעות בערבון מוגבל 51 באור 27 - הון וקרנות א. נתונים נומינליים ליום 31 בדצמבר 2013 ו- 2012 רשום מונפק ונפרע שקל חדש שקל חדש 110,644,444 מניות רגילות בנות 1 שקל חדש ערך נקוב 150,000,000 המניות רשומות למסחר בבורסה לניירות ערך בתל-אביב. ב. קרן תרגום של פעילות חוץ קרן התרגום כוללת את כל הפרשי מטבע החוץ הנובעים מתרגום דוחות כספיים של פעילויות חוץ וכן מתרגום התחייבויות המגדרות השקעות בפעילות חוץ. הרכב הקרן בגין תרגום פעילות חוץ הינו כדלקמן: ליום 31 בדצמבר 2012 2013 (1,988) ( טבעול ( 1993 ) בע"מ ( 17,971 (9,209) (10,584) OSEM U.K. LTD (837) (3,817) OSEM U.S.A INC (12,034) ( סה"כ ( 32,372 ג. דיבידנדים הדיבידנדים הבאים הוכרזו ושולמו על ידי החברה: לשנה שנסתיימה ביום 31 בדצמבר 2012 2013 אלפי ₪ אלפי ₪ 150,000 1.356 ש"ח למניה רגילה 150,000 ביום 13 במרץ 2014 הוכרז דיבידנד נוסף בסך 150 מיליון ₪.
  • 171.
    נספח – רשימתחברות הקבוצה פרטים על חברות מוחזקות ליום 31 בדצמבר 2013 השקעות בערבון מוגבל 52 מדינת התאגדות החזקה במניות המקנות במישרין ובעקיפין חלק ברווחים ובזכויות ההצבעה % חברות מאוחדות - אסם תעשיות מזון בע"מ ישראל 100.0 אסמים ( 1954 ) בע"מ ישראל 100.0 גבעול בע"מ ישראל 100.0 בריטניה 100.0 OSEM U.K. LTD. ארה"ב 100.0 OSEM U.S.A. INC. מגדנות הבית בע"מ ישראל 100.0 נגה גלידות בע"מ ישראל 100.0 נגה גלידות שותפות מוגבלת ישראל 100.0 אסמים חבילות שי בע"מ ישראל 74.0 טבעול ( 1993 ) בע"מ ישראל 100.0 בית השיטה - עסיס, תעשיות מזון שותפות מוגבלת ישראל 100.0 בית השיטה - עסיס, תעשיות מזון בע"מ ישראל 100.0 מטרנה תעשיות מזון שותפות מוגבלת * ישראל 51.0 מטרנה החזקות בע"מ * ישראל 51.0 הולנד 100.0 TIVALL EUROPE B.V ארה"ב 100.0 TRIBE MEDITERRANEAN FOODS INC. טבעול תעשיות מזון בע"מ (לשעבר סלטי צבר תעשיות מזון ( 1985 ) בע"מ) ישראל 100.0 קבוצת אסם סחר (שותפות מוגבלת) ישראל 100.0 הולנד 100.0 TIVALL HOLLAND B.V. שבדיה 100.0 TIVALL SWEDEN A.B. צ'כיה 100.0 TIVALL CZ S.R.O. אסמי מאפים בע"מ ישראל 100.0 תאגיד מחזור יצרנים בישראל בע"מ ישראל 8.3 חברות לא פעילות - אסטיב בע"מ ישראל 100.0 לופ פרומין בע"מ ישראל 100.0 עיטור אסם בע"מ ישראל 100.0 אסם אינטרנשיונל פודס בע"מ ישראל 100.0 עלי דגן בע"מ ישראל 100.0 נסטלה פורינה ישראל חיות מחמד (שותפות מוגבלת) ישראל 100.0 ביקר מן (מאפה) בע"מ ישראל 100.0 מגן בית מאפה וקפה בע"מ ישראל 100.0 . (*) מאחר וקיימת אופציית מכר של המיעוט הרי שההצגה החשבונאית מתייחסת להחזקה של 100%
  • 172.
    אסם השקעות בע"מ מידע נפרד מתוך הדוחות הכספיים המאוחדים המיוחס לחברה עצמה ליום 31 בדצמבר 2013 (תקנה 9 ג')
  • 173.
    תוכן העניינים השקעותבערבון מוגבל מידע נפרד המובא לפי תקנה 9ג' לתקנות ניירות ערך (דוחות תקופתיים ומיידים), התש"ל - 1970 נתונים כספיים מתוך הדוחות הכספיים המאוחדים המיוחסים לחברה עצמה ליום 31 בדצמבר 2013 עמוד דין וחשבון מיוחד של רואי החשבון המבקרים 2 3 - נתונים על המצב הכספי 5 נתוני רווח והפסד 6 נתונים על הרווח הכולל 7 נתונים על תזרימי המזומנים 8 מידע נוסף 9
  • 174.
    ך (דוחות "ל- 1970 רונה שבהן יותנו היא הן הינה כ - וחיהן הינו הסתיימה ומצאו לנו רים. הביקורת רת כוללת בחינה של ירקטוריון אי החשבון הבחינות 03 684 03 684 www.kpm ון 8000 סימיליה 8444 mg.co.il טרנט ות ניירות ער קנה 9ג' לתקנ יידיים), התש השנים שהאחר ל החברה. אחר נפרד לפי תק תקופתיים ומי אחת משלוש ה ן וההנהלה של ר ההשקעה בה ל הקבוצה ברוו אחרונה שבהן שדוחותיהם הו החשבון האח מידע כספי ת ערך (דוחות ו- 2012 ולכל א ת הדירקטוריון י המאזני אשר מה, וחלקה של ש השנים שהא שבון אחרים ש על דוחות רואי תנו לתכנן את מהותית. ביקור רת כוללת גם ב שו על ידי הדי תנו ודוחות רוא סומך ח מגדל המ רחוב הא תל אביב השקעות בערב המבקרים על ל - 1970 לתקנות ניירות בדצמבר 2013 ד הינו באחריות רתנו. פי שיטת השווי ו 2012- בהתאמ כל אחת משלוש על ידי רואי חש רות, מבוססת ע לה נדרש מאית צגה מוטעית מ הנפרד. ביקור שמעותיים שנעש ורים שביקורת ד ערוך, מכל ואי החשבון ה יים), התש"לפי תקנה 9ג' ה") לימים 31 ב ע הכספי הנפרד תבסס על ביקור המטופלות לפ דצמבר 2013 אלפי ש"ח לכ חברות בוקרו ע בגין אותן חבר פי תקנים אל ספי הנפרד הצ במידע הכספי אומדנים המש הנפרד. אנו סבו הנפרד המובא להלן- "החברה ר 2013 . המידע ספי הנפרד בהת רות מוחזקות "ח לימים 31 ב ש"ח וכ- 9,165 ים של אותן ח מים שנכללים ב ם בישראל. על ין במידע הכס טים הכלולים ב הנפרד ושל הא מידע הכספי ה חרים, המידע תקופתיים ומיי הכספי הנפר ידיים), התש". ל – 1970 טלפ פקס אינט כספיים של חב 427,8 אלפי ש" 14,417 אלפי ש דוחות הכספיי תייחסת לסכומ קורת מקובלים ל ביטחון שאי סכומים ובפרט המידע הכספי ההצגה של המ תנו. ואי חשבון אח ת ערך (דוחות ת פו יות, אר 609 אם לתקני ביק ידה סבירה ש ת התומכות בס שמו בעריכת ה הערכת נאותות אות לחוות דעת דוחות של רו לתקנות ניירות ה עפ"י פקודת השותפ KPMG Internat חייקין KPMG מילניום רבעה 17 , תא דוא 61006 בון מוגבל קורתנו ועל ה אות תקנה 9ג' ל קין, שותפות רשומה tional - ה הישראלית ב יב רשום בשוו יץ. סומך חי י הנה החברה קואופרט לכבוד בעלי המניות ת של אסם ה מיוחד של רו פתיים ומיידי המידע הכספי ה קעות בע"מ (ל ום 31 בדצמבר על המידע הכס את הדוחות הכ פי ש"ח וכ- 860 לפי ש"ח, כ- 7 צמבר 2013 . הד , ככל שהיא מת יקורתנו בהתא טרה להשיג מי מית של ראיות שבונאיים שיוש ל החברה וכן ה פקים בסיס נא תבסס על ביק בהתאם להורא 20 א.נ., הנדון: דוח תקופ ביקרנו את ה של אסם הש הסתיימה ביו לחוות דיעה ע לא ביקרנו א 431,830 אלפ כ- 11,590 אל ביום 31 בדצ וחוות דעתנו, ערכנו את בי ולבצעה במט בדיקה מדגמ הכללים החש וההנהלה של האחרים מספ לדעתנו, בהת המהותיות, ב סומך חייקין רואי חשבון 13 במרס 014
  • 175.
    השקעות בערבון מוגבל 3 מידע נפרד המובא לפי תקנה 9ג' לתקנות ניירות ערך (דוחות תקופתיים ומיידים), התש"ל - 1970 ליום 31 בדצמבר 2013 להלן נתונים כספיים מתוך הדוחות הכספיים המאוחדים של הקבוצה ליום 31 בדצמבר 2013 , המפורסמים במסגרת הדוחות התקופתיים (להלן: "דוחות מאוחדים"), המיוחסים לחברה עצמה (להלן: "מידע כספי נפרד"), המוצגים בהתאם לתקנה 9ג (להלן: "התקנה") והתוספת העשירית לתקנות ניירות ערך (דוחות תקופתיים ומיידים) התש"ל - 1970 (להלן: "התוספת העשירית") בעניין מידע כספי נפרד של התאגיד. יש לקרוא את המידע הכספי הנפרד ביחד עם הדוחות המאוחדים. במידע כספי נפרד זה - חברות מוחזקות הינן חברות מאוחדות כהגדרתן בביאור 1ב' בדוחות המאוחדים. התוספת העשירית קובעת, בין היתר, כי המידע הכספי הנפרד יפורט כדלקמן: 1. מידע בדבר סכומי הנכסים וההתחייבויות הכלולים בדוחות המאוחדים המיוחסים לחברה עצמה (למעט בגין חברות מוחזקות), תוך פירוט לפי סוגי הנכסים וההתחייבויות. כמו כן, מידע בדבר סכום נטו, בהתבסס על הדוחות המאוחדים, המיוחס לבעלי החברה עצמה, של סך הנכסים בניכוי סך ההתחייבויות, בגין חברות מוחזקות, לרבות מוניטין. 2. מידע בדבר סכומי ההכנסות וההוצאות הכלולים בדוחות המאוחדים, בפילוח בין רווח או הפסד ורווח כולל אחר, המיוחסים לחברה עצמה (למעט בגין חברות מוחזקות), תוך פירוט לפי סוגי ההכנסות וההוצאות. כמו כן, מידע בדבר סכום נטו, בהתבסס על הדוחות המאוחדים המיוחס לבעלי החברה עצמה, של סך ההכנסות בניכוי סך ההוצאות בגין תוצאות פעילות של חברות מוחזקות, לרבות ירידת ערך מוניטין. 3. פירוט סכומי תזרימי המזומנים הכלולים בדוחות המאוחדים המיוחסים לחברה עצמה (למעט בגין חברות מוחזקות), כשהם לקוחים מתוך הדוח על תזרימי המזומנים המאוחד, בפילוח לפי תזרים מפעילות שוטפת, פעילות השקעה ופעילות מימון ופירוט מרכיביהם. לצורך מידע כספי נפרד זה, יתרת המזומנים ושווי המזומנים המשויכים לחברה עצמה כוללת מזומנים ושווי מזומנים שעברו בינה לבין חברות מוחזקות שלה. 4. כל מידע מהותי נוסף, העשוי להשפיע על קבלת החלטות כלכליות של משקיע, ככל שמידע זה לא נכלל בדוחות המאוחדים באופן המתייחס במפורש לחברה עצמה. לכל הפחות, מידע נוסף זה יכלול: גילוי בדבר המזומנים ושווי המזומנים, גילוי בדבר נכסים והתחייבויות פיננסיות, גילוי בדבר הכנסות והוצאות מיסים וגילוי בדבר מיסים נדחים, בהתאם להוראות התקנה. בנוסף, יש לכלול תיאור של מכלול הקשרים, ההתקשרויות והעסקאות המהותיות בין החברה לחברות מוחזקות שלה, בין אם הוכרו ונמדדו בדוחות הכספיים המאוחדים וקיבלו ביטוי במסגרת הנתונים המפורטים בסעיפים ( 1) עד ( 3) לעיל ובין אם לאו. המדיניות החשבונאית שפורטה בביאור 3 בדוחות המאוחדים, בדבר עיקרי המדיניות החשבונאית, יושמה לצורך הצגת מידע כספי נפרד, לרבות האופן בו סווגו הנתונים הכספיים במסגרת הדוחות המאוחדים, בשינויים המתחייבים מהאמור לעיל.
  • 176.
    מידע כספי נפרדליום 31 בדצמבר 2013 השקעות בערבון מוגבל 4 נתונים על המצב הכספי ליום 31 בדצמבר 2012 מידע 2013 נוסף אלפי ש"ח אלפי ש"ח נכסים מזומנים ושווי מזומנים 5,067 218,379 1 15,600 10,692 חייבים ויתרות חובה 2 מס הכנסה 5,846 978 3 מלאי 120,225 106,810 השקעות אחרות 13,670 1,328 2 סה"כ נכסים שוטפים 160,408 338,187 1,522,274 יתרה בגין חברות מוחזקות 1,623,899 70,476 61,898 הלוואות לחברות מוחזקות 2 662,783 רכוש קבוע 684,218 568,037 נכסים בלתי מוחשיים 538,709 17,235 הוצאות מראש 12,763 2,840,805 סה"כ נכסים בלתי שוטפים 2,921,487 סה"כ נכסים 3,001,213 3,259,674 דן פרופר - יושב ראש הדירקטוריון איציק צאיג - מנהל כללי פנחס קימלמן - משנה למנכ"ל - כספים תאריך אישור המידע הכספי הנפרד: 13 במרץ 2014
  • 177.
    השקעות בערבון מוגבל 5 ליום 31 בדצמבר 2012 מידע 2013 נוסף אלפי ש"ח אלפי ש"ח התחייבויות 17,015 - 2 הלוואות ואשראי לזמן קצר 319,152 316,000 2 ספקים 220,346 301,363 2 זכאים אחרים 556,513 617,363 סה"כ התחייבויות שוטפות 357,104 342,514 התחייבויות בגין רכישת חלק המיעוט בחברות מוחזקות 4,105 4,331 הטבות לעובדים 40,733 43,722 3 מסים נדחים 401,942 390,567 סה"כ התחייבויות שאינן שוטפות 958,455 1,007,930 סה"כ התחייבויות הון 176,772 176,772 הון מניות 444,212 444,212 פרמיה על מניות (48,015) (68,353) קרנות הון 1,469,789 1,699,113 יתרת עודפים 2,042,758 2,251,744 סה"כ הון 3,001,213 סה"כ התחייבויות והון 3,259,674
  • 178.
    מידע כספי נפרדליום 31 בדצמבר 2013 השקעות בערבון מוגבל 6 נתוני רווח והפסד מידע לשנה שנסתיימה ביום 31 בדצמבר 2011 2012 נוסף 2013 אלפי ₪ אלפי ₪ אלפי ₪ מכירות 1,093,859 1,331,697 1,351,197 עלות המכירות 581,723 721,879 712,087 רווח גולמי 512,136 609,818 639,110 187,337 261,098 הוצאות מכירה, שווק והפצה 277,693 הוצאות הנהלה וכלליות 69,268 87,299 99,478 רווח תפעולי לפני הכנסות אחרות 255,531 261,421 261,939 13,295 8,658 הכנסות אחרות, נטו 12,080 רווח תפעולי 268,826 270,079 274,019 (34,682) (23,347) ( הוצאות מימון ( 16,367 11,311 6,364 הכנסות מימון 15,404 (23,371) (16,983) ( הוצאות מימון, נטו ( 963 165,893 167,769 רווח מחברות מוחזקות 176,993 רווח לפני מסים על הכנסות 411,348 420,865 450,049 70,296 63,979 74,064 מסים על הכנסה 3 341,052 356,886 רווח לתקופה 375,985
  • 179.
    מידע כספי נפרדליום 31 בדצמבר 2013 השקעות בערבון מוגבל 7 נתונים על הרווח הכולל לשנה שנסתיימה ביום 31 בדצמבר 2011 2012 2013 אלפי ₪ אלפי ₪ אלפי ₪ רווחים (הפסדים) אקטוארים (12,550) 6,454 מתכנית להטבה מוגדרת 3,818 מס הכנסה בגין מרכיבים 3,138 (1,614) ( אחרים של רווח כולל ( 1,012 (9,412) 4,840 סך הכל רווח (הפסד) כולל אחר לתקופה 2,806 4,058 2,308 ( רווח כולל אחר בגין חברות מוחזקות ( 19,805 341,052 356,886 רווח לתקופה 375,985 335,698 364,034 סך הכל רווח כולל לתקופה 358,986
  • 180.
    מידע כספי נפרדליום 31 בדצמבר 2013 השקעות בערבון מוגבל 8 נתונים על תזרימי מזומנים לשנה שנסתיימה ביום 31 בדצמבר 2013 לשנה שנסתיימה ביום 31 בדצמבר 2011 2012 2013 אלפי ₪ אלפי ₪ אלפי ₪ תזרימי מזומנים מפעילות שוטפת 341,052 356,886 רווח לתקופה 375,985 התאמות : (165,893) (167,769) ( חלק החברה ברווחי חברות מוחזקות ( 176,993 48,921 58,008 פחת 57,663 הפחתה של נכסים בלתי מוחשיים 27,149 27,753 והוצאות מראש 27,747 (1,309) 130 ( הפסד (רווח) ממכירת רכוש קבוע, נטו ( 126 23,371 16,983 עלויות מימון, נטו 963 70,296 63,979 הוצאות מסים על הכנסה 74,064 3,388 1,675 ( שינויים בנגזרים ( 4,642 620 (8,596) שינוי במלאי 13,415 76,426 25,508 שינוי בלקוחות וחייבים אחרים 4,940 25,900 69,417 שינוי בספקים וזכאים אחרים 109,896 (78) (174) שינוי בהטבות לעובדים 4,044 (50,178) (81,036) ( מס הכנסה ששולם ( 101,746 399,665 362,764 מזומנים נטו שנבעו מפעילות שוטפת 385,210 תזרימי מזומנים מפעילות השקעה 1,396 46 תמורה ממכירת רכוש קבוע 745 - - החזר השקעה בחברות מוחזקות 8,861 5,008 11,258 מזומנים נטו מפעילות השקעה בגין חברות מוחזקות 10,152 (31,679) (53,767) ( רכישת רכוש קבוע ( 80,573 (4,459) (5,313) ( השקעה בנכסים לא מוחשיים והוצאות מראש ( 206 2,108 2,639 ריבית שהתקבלה 1,581 (278) 13,288 השקעה בהשקעות אחרות 12,735 61,259 65,425 דיבידנד שהתקבל מחברות מוחזקות 69,520 33,355 33,576 מזומנים נטו שנבעו מפעילות השקעה 22,815 תזרימי מזומנים מפעילות מימון (7,104) (26,244) ( ריבית ששולמה ( 2,149 (112,787) (239,600) ( פרעון התחייבויות אחרות ( 30,904 ( פירעון הלוואות לזמן ארוך - - ( 37,500 1,818 15,197 ( אשראי מתאגידים בנקאיים ומאחרים, נטו ( 11,834 (300,000) (150,000) ( דיבידנד ששולם ( 150,000 (455,573) (400,647) ( מזומנים נטו ששימשו לפעילות מימון ( 194,887 (22,553) (4,307) שינוי במזומנים ושווי מזומנים 213,138 31,679 9,331 מזומנים ושווי מזומנים לתחילת תקופה 5,067 205 43 השפעת תנודות בשער החליפין על יתרות המזומנים 174 9,331 5,067 מזומנים ושווי מזומנים לסוף תקופה 218,379
  • 181.
    מידע כספי נפרדליום 31 בדצמבר 2013 השקעות בערבון מוגבל 9 מידע נוסף לדוחות הכספיים ליום 31 בדצמבר 2013 1. מזומנים ושווי מזומנים ליום 31 בדצמבר 2012 2013 אלפי ₪ אלפי ₪ בשקל חדש 3,356 215,668 538 בדולר ארה"ב 1,575 693 באירו 624 374 בליש"ט 443 106 במטבע אחר 69 5,067 218,379 סה"כ מזומנים ושווי מזומנים 2. מכשירים פיננסיים א. סיכוני מדד ומטבע חוץ ליום 31 בדצמבר 2013 רבית שקל חדש צמוד % צמוד למדד לא צמוד למטבע חוץ סה"כ אלפי ₪ אלפי ₪ אלפי ₪ אלפי ₪ נכסים 5,508 - חייבים ויתרות חובה (*) - 5,508 1,328 - - 1,328 השקעות אחרות (*) 4 61,898 - 49,401 12,497 הלוואות לחברות מוחזקות 2-5 התחיבויות הלוואות ואשראי לזמן קצר - - - - (316,000) (94,720) ( ספקים - ( 221,280 (250,020) - ( זכאים אחרים - ( 250,020 (497,286) (94,720) (416,391) 13,825 ליום 31 בדצמבר 2012 רבית שקל חדש צמוד % צמוד למדד לא צמוד למטבע חוץ סה"כ אלפי ₪ אלפי ₪ אלפי ₪ אלפי ₪ נכסים 2,500 - חייבים ויתרות חובה (*) - 2,500 13,670 - 12,187 1,483 השקעות אחרות (*) 0-4 70,476 - 48,251 22,225 הלוואות לחברות מוחזקות 2-5 התחייבויות (17,015) - (17,015) - הלוואות ואשראי לזמן קצר 3.00 (319,152) (119,616) ( ספקים - ( 199,536 (168,295) - ( זכאים אחרים - ( 168,295 (417,816) (119,616) (321,908) 23,708 (*) חייבים ויתרות חובה והשקעות אחרות מסווגים בנכסים שוטפים, ממומשים במסגרת המחזור התפעולי של החברה.
  • 182.
    מידע כספי נפרדליום 31 בדצמבר 2013 השקעות בערבון מוגבל 10 מידע נוסף לדוחות הכספיים ליום 31 בדצמבר 2013 ב. סיכון נזילות להלן מועדי הפירעון החוזיים של התחייבויות פיננסיות בשנים הבאות, כולל פירעון קרן ואומדן תשלומי ריבית עתידיים, לא מהוונים. ליום 31 בדצמבר 2013 תזרים עד 1 הערך בספרים מזומנים חוזי שנים 1-2 שנים 2-5 שנים אלפי ₪ אלפי ₪ אלפי ₪ אלפי ₪ אלפי ₪ התחייבויות פיננסיות הלוואות ואשראי לזמן קצר - - - - - ספקים - - 316,000 316,000 316,000 זכאים - - 250,020 250,020 250,020 סך הכל - - 566,020 566,020 566,020 ליום 31 בדצמבר 2012 תזרים עד 1 הערך בספרים מזומנים חוזי שנים 1-2 שנים 2-5 שנים אלפי ₪ אלפי ₪ אלפי ₪ אלפי ₪ אלפי ₪ התחייבויות פיננסיות - - 17,015 17,015 הלוואות ואשראי לזמן קצר 17,015 ספקים - - 319,152 319,152 319,152 זכאים - - 168,295 168,295 168,295 - - 504,462 סך הכל 504,462 504,462 ג. סיכוני מדד ומטבע חוץ להלן פירוט המכשירים הפיננסיים הנגזרים של החברה: ליום 31 בדצמבר 2013 מועד מועד מטבע מטבע ערך נקוב תחילת פקיעה / שווי הוגן תאור הנגזר לקניה למכירה אלפי ₪ עסקה מימוש אלפי ₪ פורוורד – הגנה על חוב דולר 44 1/2014 12/2013 לספק אוסטרלי ₪ 16,134 פורוורד – הגנה על חוב (28) 1-2/2014 3/2013 לספק דולר ₪ 2,416 16 18,550 ליום 31 בדצמבר 2012 מועד מועד מטבע מטבע ערך נקוב תחילת פקיעה / שווי הוגן תאור הנגזר לקניה למכירה אלפי ₪ עסקה מימוש אלפי ₪ פורוורד – הגנה על חוב דולר (102) 1/2013 12/2012 לספק אוסטרלי ₪ 35,221 פורוורד – הגנה על חוב (449) 1-8/2013 7-12/2012 לספק דולר ₪ 36,583 (551) 71,804
  • 183.
    מידע כספי נפרדליום 31 בדצמבר 2013 השקעות בערבון מוגבל 11 מידע נוסף לדוחות הכספיים ליום 31 בדצמבר 2013 3. מיסים על הכנסה א. מסים נדחים בגין הפרשים זמנים חופשה הטבות והבראה לעובדים רכוש קבוע אחרים סך הכל אלפי ₪ אלפי ₪ אלפי ₪ אלפי ₪ אלפי ₪ (31,990) 1,073 (45,798) 2,683 10,052 יתרה ליום 1 בינואר 2012 (7,129) 769 (7,768) (44) ( שינויים שנזקפו לרווח והפסד ( 86 (1,614) - - ( שינויים שנזקפו לרווח כולל אחר - ( 1,614 (40,733) 1,842 (53,566) 1,025 9,966 יתרה ליום 31 בדצמבר 2012 (1,977) 3,075 (9,825) שינויים שנזקפו לרווח והפסד 1,133 3,640 (1,012) - - ( שינויים שנזקפו לרווח כולל אחר - ( 1,012 (43,722) 4,917 (63,391) 1,146 13,606 יתרה ליום 31 בדצמבר 2013 ב. מסים על הכנסה הכלולים בדוח רווח והפסד: לשנה שנסתיימה ביום 31 בדצמבר 2011 2012 2013 אלפי ₪ אלפי ₪ אלפי ₪ מסים שוטפים 52,312 56,850 72,087 שינוי במסים נדחים 5,478 7,129 ( שוטף ( 646 שינוי שיעורי המס 12,506 - 2,623 70,296 63,979 74,064 4. קשרים, התקשרויות ועסקאות מהותיות עם חברות המוחזקות א. ערבויות פיננסיות קיימות ערבויות הדדיות לבנקים, בלתי מוגבלות בסכום בין החברה ובין חלק מחברות המוחזקות שבהן מחזיקה החברה 100% משיעור הבעלות בהון המניות ובזכויות ההצבעה. ב. הלוואות 1. החברה מעמידה לעיתים הלוואות לזמן קצר לחברות מוחזקות. נכון ליום הדיווח עמדה יתרת ההלוואות 24,632 אלפי ₪). - נטו לחברות מוחזקות על 6,100 אלפי ₪ ( 2012 2. החברה העמידה הלוואות לזמן ארוך לחברות מוחזקות. נכון לתאריך המאזן יתרת ההלוואות ושטרי ההון 70,476 אלפי ₪). - לזמן ארוך לחברות המוחזקות הינה 61,898 אלפי ₪ ( 2012 5,691 ו- 11,308 אלפי ₪ , 2012 ו- 2011 הינם בסך 5,412 , הכנסות המימון נטו בגין חברות מוחזקות בשנים 2013 בהתאמה.
  • 184.
    מידע כספי נפרדליום 31 בדצמבר 2013 השקעות בערבון מוגבל 12 מידע נוסף לדוחות הכספיים ליום 31 בדצמבר 2013 ג. הסכמים למתן שירותים 1. החברה מספקת לחברות הקבוצה שירותי מטה ושירותי רכש מרכזיים. החברה רשמה הכנסות בגין 104,274 ו- 95,980 אלפי ₪, בהתאמה. , 2012 ו- 2011 בסך של 111,231 , שירותים אלו בשנים 2013 2. החברה כמו כל שאר חברות הקבוצה משתתפת בהוצאות של אחת מהחברות המוחזקות המבצעת את 2012 ו- 2011 בסך של , שירותי הפצה והסחר. החברה רשמה הוצאות בגין שירותים אלו בשנים 2013 211,890 ו- 162,341 אלפי ₪, בהתאמה. , 202,590 3. החברה מקבלת מחברה מוחזקת דמי שימוש בגין שימוש בנכסים שבבעלותה. החברה רשמה הכנסות אלו 16,369 ו- 16,985 אלפי ₪, בהתאמה. , 2012 ו- 2011 בסך 16,498 , בשנים 2013 4. יתרת חו"ז נטו הנובעת מהתחשבנות מול החברות המוחזקות ליום 31 בדצמבר 2013 הינה 122,882 אלפי 72,270 אלפי ₪). ₪ לזכות החברות המוחזקות (ליום 31 בדצמבר 2012 ד. שינוי מבנה הקבוצה החליטה על שינוי במבנה החברות שבמסגרתו מפעל המאפה של בונז'ור ( 1986 ) בע"מ (להלן- "בונז'ור") מוזג לתוך כלל מערך הייצור של אסם השקעות (להלן - "אסם"). מאחר ובונ'זור הוחזקה באמצעות עלי דגן בע"מ (להלן- "עלי דגן") ומגן בית מאפה וקפה בע"מ (להלן- "מגן בית מאפה"), בוצעו שני מהלכים מקדמיים טרם מהלך מיזוג בונז'ור לתוך אסם כמיזוג חברות אם ובת כדלקמן: 1. בשלב הראשון, מגן בית מאפה העבירה את כל החזקותיה במניות בונז'ור לידי בונז'ור, בפטור ממס בהתאם לסעיף 104 ג' לפקודת מס הכנסה (נוסח חדש), התשכ"א 1961- (להלן "הפקודה") ובהתאם להוראות חוק החברות, התשנ"ט 1999- (להלן "חוק החברות"). 2. בשלב השני, עלי דגן העבירה את כל החזקותיה במניות בונז'ור לידי אסם, בפטור ממס לפי סעיף 104 ג' לפקודה ובהתאם להוראות חוק החברות. 3. בשלב השלישי ומיד בסמוך לאחר העברות המתוארות בסעיפים 1 ו- 2 לעיל, מוזגה בונז'ור לתוך אסם בהתאם לסעיף 103 ב' לפקודה באופן בו העבירה בונז'ור את כל נכסיה התחייבויותיה ללא תמורה, תוך חיסולה של בונז'ור ללא פירוק. 4. שינוי המבנה הותנה בין היתר בקבלת אישור מראש מרשות המסים לביצוע שינוי המבנה כאמור לעיל בפטור ממס ובאישור מרכז השקעות. בימים 26 בינואר 2012 ו- 26 ביולי 2012 התקבלו האישורים מרשות המסים . לשינוי המבנה בפטור ממס, אישור מרכז השקעות התקבל בדצמבר 2012 5. תוצאות השנים 2012 ו- 2013 כוללות את תוצאות מפעל המאפה של בונז'ור ( 1986 ) בע"מ, שמוזג לתוך מערך הייצור של החברה. ה. דיבידנד 65,425 אלפי ₪). - בשנת 2013 , קיבלה החברה דיבידנד מחברות בנות בסך 69,520 אלפי ₪ ( 2012 למידע נוסף בדבר חברות מוחזקות ראה באור 10 בדוחות המאוחדים, בדבר חברות מאוחדות.
  • 185.
    אסם השקעות בע"מ חלק ד': פרטים נוספים על התאגיד ושאלון ממשל תאגידי
  • 186.
    אסם השקעות בע"מוחברות בנות חלק רביעי - פרטים נוספים על התאגיד תוכן עניינים מספר תקנה עמוד 8ב(ט) 2-3 9ד - 9 3 10 ג - 10 3 11 4 12 4 13 4 14 4 20 4 21 5-8 21 א 9 22 9-12 24 א - 24 13-14 24 ב 15 25 א 16 26 16-22 26 א 22-27 26 ב - 27 28 28 28 29 (א) - 29 (ג) 28 29 א 29 1
  • 187.
    אסם השקעות בע"מוחברות בנות דו"ח תקופתי לשנת 2013 חלק רביעי - פרטים נוספים על התאגיד שם התאגיד: אסם השקעות בע"מ מס' חברה ברשם: 52-002606-3 כתובת: רח' רימון 2, א.ת. חמ"ן ת.ד. 934 , שהם 60850 טלפון: 03-7205050 פקסימיליה: 03-7205095 2 תאריך המאזן: 31.12.2013 תאריך הדו"ח: 13.3.2013 תקופת הדו"ח: 1.1.2013-31.12.2013 -------------------------------------------------------------------------------------------------------- תקנה 8ב (ט): הערכת שווי מהותית מאד שביצע התאגיד הערכת שווי מהותית מאד 1. זיהוי נושא הערכה: מוניטין מטרנה 2. עיתוי הערכה: 31.12.2013 3. שווי נושא הערכה סמוך לפני מועד הערכה: 451,045 אלפי ש"ח 4. שווי נושא הערכה שנקבע בהתאם להערכה: 451,045 אלפי ש"ח 5. זיהוי המעריך ואפיונו שם המעריך: עינת שפרלינג (משרד רו"ח ארנסט יאנג) בכלכלה וניהול בטכניון חיפה. (BA) השכלה: תואר ראשון באוניברסיטת (MBA) תואר שני במינהל עסקים ת"א. רואת חשבון מוסמכת. נסיון בביצוע הערכות שווי לצרכנים חשבונאיים בתאגידים מדווחים ובהיקפים דומים לאלה של ההערכה המדווחת או העולים על היקפים אלה: למעלה מ- 15 שנות ניסיון תלות במזמין הערכה: אין הסכמי שיפוי עם מעריך השווי: האחריות הכספית הכוללת של המעריך בקשר לביצוע הערכה זו מוגבלת לסך של 40 אלף ש"ח, למעט במקרה של זדון מצידו. 6. מודל הערכה שמעריך השווי פעל לפיו: שיטת המכפיל 7(א) שיעור ההיוון: לא רלוונטי 7(ב) שיעור הצמיחה: לא רלוונטי 7(ג) אחוז ערך הגרט מסך השווי שנקבע בהערכה (Terminal Value) לא רלוונטי 7(ד) סטית תקן: לא רלוונטי 7(ה) מחירים שישמשו בסיס להשוואה: לא רלוונטי 7(ו) מספר בסיסי ההשוואה: לא רלוונטי הערכות שווי מהותיות 1. זיהוי נושא הערכה: מוניטין טבעול ( 1993 ) בע"מ 2. עיתוי הערכה: 31.12.2013 3. שווי נושא הערכה סמוך לפני מועד הערכה: 297,026 אלפי ש"ח 4. שווי נושא הערכה שנקבע בהתאם להערכה: 297,026 אלפי ש"ח 5. זיהוי המעריך ואפיונו: הערכה עצמית של התאגיד DCF : 6. מודל הערכה שמעריך השווי פעל לפיו 7(א) שיעור ההיוון: 8.25% ריאלי לאחר מס 7(ב) שיעור הצמיחה: 2.5% ריאלי
  • 188.
    7(ג) אחוז ערךהגרט מסך השווי שנקבע בהערכה 3 (Terminal Value) 77% 7(ד) סטית תקן: לא רלוונטי 7(ה) מחירים שישמשו בסיס להשוואה: לא רלוונטי 7(ו) מספר בסיסי ההשוואה: לא רלוונטי 1. זיהוי נושא הערכה: התחייבות בגין אופציית מכר למיעוט במטרנה 2. עיתוי הערכה: 31.12.2013 3. שווי נושא הערכה סמוך לפני מועד הערכה: 326,002 אלפי ש"ח 4. שווי נושא הערכה שנקבע בהתאם להערכה: 319,743 אלפי ש"ח 5. זיהוי המעריך ואפיונו שם המעריך: עינת שפרלינג (משרד רו"ח ארנסט יאנג) בכלכלה וניהול בטכניון חיפה. (BA) השכלה: תואר ראשון באוניברסיטת (MBA) תואר שני במינהל עסקים ת"א. רואת חשבון מוסמכת. ניסיון בביצוע הערכות שווי לצרכנים חשבונאיים בתאגידים מדווחים ובהיקפים דומים לאלה של ההערכה המדווחת או העולים על היקפים אלה: למעלה מ- 15 שנות ניסיון תלות במזמין הערכה: אין הסכמי שיפוי עם מעריך השווי: האחריות הכספית הכוללת של המעריך בקשר לביצוע הערכה זו מוגבלת לסך של 40 אלף ש"ח, למעט במקרה של זדון מצידו. DCF : 6. מודל הערכה שמעריך השווי פעל לפיו 7(א) שיעור ההיוון: 8.25% במונחים ריאליים לאחר מס 7(ב) שיעור הצמיחה: 1% ריאלי 7(ג) אחוז ערך הגרט מסך השווי שנקבע בהערכה (Terminal Value) לא רלוונטי 7(ד) סטית תקן: לא רלוונטי 7(ה) מחירים שישמשו בסיס להשוואה: לא רלוונטי 7(ו) מספר בסיסי ההשוואה: לא רלוונטי תקנה 9: דו"חות כספיים הדו"חות הכספיים המבוקרים בצירוף חוות דעת רואה החשבון נכללים במסגרת הדו"ח התקופתי שפרק זה מהווה חלק הימנו (להלן: "הדו"חות הכספיים"). תקנה 9ג: דו"ח כספי נפרד של התאגיד הדו"חות הכספיים המבוקרים בצירוף חוות דעת רואה החשבון נכללים במסגרת הדו"ח התקופתי שפרק זה מהווה חלק הימנו. תקנה 9ד: דו"ח מצבת התחייבויות לפי מועדי פירעון ראו דיווח מיידי שפרסם התאגיד (ת 126- ) במקביל לדוח תקופתי זה. תקנה 10 : דו"ח הדירקטוריון על מצב עניני התאגיד דו"ח הדירקטוריון נכלל במסגרת הדו"ח התקופתי שפרק זה מהווה חלק הימנו. תקנה 10 א: תמצית דו"חות רווח והפסד רבעוניים . נכלל במסגרת דו"ח הדירקטוריון כאמור בתקנה 10 תקנה 10 ג: שימוש בתמורת ניירות ערך תוך התייחסות ליעדי התמורה עפ"י התשקיף בתקופת הדו"ח לא הוצעו ניירות ערך בתשקיף.
  • 189.
    תקנה 11 :רשימת השקעות מהותיות בחברות בת ובחברות קשורות לתאריך המאזן 4 שם החברה מס' המניה בבורסה סוג מניה מספר מניות סה"כ ע"נ עלות באלפי ₪ ערך מאזני באלפי ₪ שיעור ההחזקה במישרין או בעקיפין (**) אסם תעשיות מזון בע"מ - - - רגילה יסוד 1,758,595 9 175.93 0.009 4,521 (*)523,564 100% טבעול ( 1993 ) בע"מ - - - רגילה 100% 730,081 190,605 1,043 1,043 (*) מאחר ומדובר בשליטה במישרין או בעקיפין בשיעור של 100% , הוצג מלא הערך המאזני ולא רק החלק הישיר באחזקת החברה. (**) שעור החזקה בהון ובהצבעה. תקנה 12 : שינויים בהשקעות מהותיות בחברות בנות בתקופת הדו"ח ."—" תקנה 13 : הכנסות של חברות בנות וקשורות מהותיות (לא כולל שותפויות וחברות לא פעילות) והכנסות התאגיד מהן לתאריך המאזן שם החברה רווח לפני מס באלפי ₪ רווח אחרי מס באלפי ₪ דיבידנד באלפי ₪ דמי ניהול באלפי ₪ ריבית באלפי ₪ אסם תעשיות מזון בע"מ - - - - - - - - - 62,227 82,842 טבעול ( 1993 ) בע"מ (339) - - - - - - 41,525 46,457 תקנה 14 : רשימת קבוצות של יתרות הלוואות שניתנו לתאריך המאזן, אם מתן הלוואות היה אחד מעיסוקיו העיקריים של התאגיד מתן הלוואות איננו אחד מעיסוקיו העיקריים של התאגיד. תקנה 20 : מסחר בבורסה - ני"ע שנרשמו למסחר - מועדי וסיבות הפסקת מסחר למיטב ידיעת התאגיד לא בוצעה הפסקת מסחר בניירות הערך של התאגיד.
  • 190.
    5 תקנה 21: תגמולים לבעלי עניין ולנושאי משרה בכירה תגמולים לנושאי משרה ובעלי עניין כפי שהוכרו בדוחות הכספיים לשנת הדו"ח שם תפקיד היקף משרה שיעור החזקה בהון התאגיד שכר (II) יסוד תנאים (III) סוציאליים (IV) מענק כספי אופציות פנטום שנזקפו בשנת (V) 2013 גמול (VI) דירקטורים סה"כ שכר יסוד, תנאים סוציאליים, מענקים, אופציות פנטום שנזקפו בשנת 2013 וגמול דירקטורים פיצוי חד פעמי בגין עלויות והפסדים בשנת 2011 עליית ערך עקב שיערוך של אופציות פנטום חסומות שניתנו בשנים (VII) קודמות 1ד) 1,489,307 )540,000 1ג) 5,221,604 ) 1ב) 1,446,751 )963,811 1,264,627 צאיג איציק מנהל כללי ( 1א) מלאה 1,546,415 לוטן עמרי מנכ"ל חטיבת מזון 836,848 2,954,184 2ג) 207,048 ) 2ב) 551,122 )976,096 מוכן ( 2א) מלאה 1,219,918 אימבר מאיר משנה למנכל תפעול 1,546,448 3,217,055 3ב) 774,461 )543,666 878,414 3א) מלאה 1,020,514 ) קלימי זאב מנכ"ל נגה גלידות 1,251,661 3,153,254 4ב) 735,441 )296,400 981,413 4א) מלאה 1,140,000 ) קימלמן פנחס משנה למנכל 1,544,220 3,051,069 5ב) 774,466 )538,549 717,518 לכספים ( 5א) מלאה 1,020,536 פרופר דן יו"ר הדירקטוריון 6ד) 3,728,922 ) 6ג) 110,090 )1,102,736 922,509 6ב) 1,593,587 ) 6א) מלאה 0.08% ) פינקלשטיין אברהם יועץ לנושא כשרות 7ג) 624,981 )133,412 7ב) 29,964 )461,605 / דירקטור ( 7א) 1.86% הערות כלליות: מדיניות תגמול - ביום 3.9.2013 אושרה מדיניות התגמול של נושאי משרה בתאגיד (להלן: "מדיניות .i התגמול") לאחר שנתקבל אישור וועדת התגמול, הדירקטוריון ואסיפת בעלי מניות התאגיד. לפרטים אודות הליך אישור המדיניות ולנוסח מדיניות התגמול ראו דוח מיידי של התאגיד מיום 29.7.2013 (מספר אסמכתא .(2013-01-103278 שכר יסוד - שכר היסוד מבוסס על שכרו החודשי של נושא המשרה. .ii תנאים סוציאליים - התנאים הסוציאליים השונים כוללים משכורת 13 , אחזקת רכב, הוצאות טלפון, .iii ארוחות, עיתונים, שי לחגים, בדיקות רפואיות, קצבת ביגוד, זכויות סוציאליות והפרשות סוציאליות ונלוות כמקובל. מענקים (בונוסים) - בנוסף לרכיב השכר של מנהלים בקבוצת אסם (המבוסס על שכר בסיס, הטבות ורכיבים .iv נוספים) מוענקים למנהלים בקבוצה מענקים המבוססים על תכנית מענקים כללית של התאגיד בהתאם לעקרונות מדיניות התגמול. על פי הוראות מדיניות התגמול תשלום המענק מבוסס על תנאי סף של עמידה בשיעור של 75% מיעד הרווח התפעולי השנתי של התאגיד לשנת הדוח על בסיס דוחות כספיים שנתיים מאוחדים (תנאי אשר התקיים בפועל בשנת הדוח) וכן על עמידה ביעדי קבוצת אסם לשנת הדוח ועל עמידה של המנהלים השונים ביעדי היחידות העסקיות/אגפים המנוהלים על ידם לשנת הדוח. לפרטים נוספים לזכאות למענקים, אופן החישוב וסוגי היעדים השונים ראו פרק ג' למדיניות התגמול. יעדי קבוצת אסם לצרכי תשלום הבונוס למנהלים בכירים בקבוצת אסם בגין שנת 2013 מבוססים על תכנית Real Organic ) העבודה השנתית של קבוצת אסם לשנת 2013 והם מורכבים מחמישה יעדים: (א) גידול ריאלי שמשקלו 30% בחישוב (Organic Growth) שמשקלו 10% בחישוב הבונוס; (ב) צמיחה אורגאנית (Growth Free ) שמשקלו 40% בחישוב הבונוס; (ד) תזרים מזומנים (Operating Profit 1) הבונוס; (ג) רווחיות תפעולית שמשקלו 10% בחישוב הבונוס; (Market Share) שמשקלו 10% בחישוב הבונוס; ו-(ה) נתח שוק (Cash Flow (להלן ביחד: "היעדים של קבוצת אסם"); בהתאם לתוצאות התאגיד (במאוחד) לשנת 2013 , שיעור העמידה . המשוקלל ביעדי קבוצת אסם כאמור עמד על 106%
  • 191.
    הסכום בעמודה זו(עמודת "מענק כספי") מורכב מהבונוס כפי שהוכר בדוחות הכספיים של התאגיד לשנת הדוח. המענקים המפורטים לעיל לכל אחד מנושאי המשרה בתאגיד אושרו בוועדת התגמול ובדירקטוריון בהתאם לעמידה ביעדים כאמור, ובהתאם למדיניות התגמול. תכנית מענקים לעידוד ושימור עובדים ("תכנית אופציות פנטום") - ביום 29.5.2008 אישר דירקטוריון .v התאגיד תוכנית מענקים לעידוד ושימור מנהלים בקבוצת אסם (שאינם בעלי שליטה או קרובים להם, ( ושאינם דירקטורים בתאגיד), שתוקנה על ידי הדירקטוריון ביום 27.8.2009 לתקופה של 3 שנים ( 2008-2010 ("תכנית 2008 "). בנוסף ביום 25.5.2011 אישר דירקטוריון התאגיד תוכנית מענקים נוספת לעידוד ושימור מנהלים בקבוצת אסם שאינם בעלי שליטה או קרובים להם, ושאינם דירקטורים בתאגיד), לתקופה של 3 שנים ( 2011-2013 ) ("תכנית 2011 "). על פי תנאי כל אחת מהתכניות כאמור העניק התאגיד "אופציות פנטום" למספר מנהלים בכירים בתאגיד כך שהמענק שיתן התאגיד (אם וככל שיתן) יתבסס על הפער בין המחיר הממוצע של מניית התאגיד במשך 2 חודשים לפני מועד הענקת האופציה ובין המחיר הממוצע של מניית התאגיד במשך 2 חודשים לפני מועד מימוש האופציה. תקופת ההבשלה של כל "אופציה" (תקופת עומדת על שלוש שנים מחודש מאי בכל אחת משנות תכנית 2008 ועל שלוש שנים מחודש יוני בכל (vesting אחת משנות תכנית 2011 . ערך האופציה בכל אחת מהתכניות כאמור חושב על בסיס נוסחת המודל הבינומי ועל ידי מעריך שווי חיצוני. במסגרת מדיניות התגמול של הקבוצה נקבעה תקרה ולפיה שווי אופציות הפנטום המחולקות החל משנת 2013 לא יעלה על פי 2 משווי ההטבה במועד ההקצאה, צמוד למדד המחירים לצרכן, על פי מדד הבסיס ביום ההקצאה. תכנית אופציות הפנטום עולה בקנה אחד עם תנאי מדיניות התגמול. הסכום בעמודה זו מבטא את ההוצאה שנזקפה והוכרה בדוחות הכספיים בגין אופציות פנטום אך אינו כולל עליית ערך עקב שיערוך של אופציות פאנטום חסומות שניתנו בשנים קודמות. תשלום גמול דירקטורים - בהתאם להחלטות וועדת הביקורת והדירקטוריון ובהתאם להחלטת האסיפה .vi הכללית של התאגיד מיום 2.9.1997 לפיהן זכאים כל חברי הדירקטוריון של התאגיד לגמול השתתפות וגמול שנתי בשיעורם המקסימאלי על פי תקנות החברות (כללים בדבר גמול והוצאות לדירקטורים מקרב הציבור) התשמ"ח 1998- משלם התאגיד לחברי הדירקטוריון גמול בגין כהונתם כדירקטורים בתאגיד, בסכום השווה לשיעור המקסימאלי על פי תקנות החברות - כללים בדבר גמול והוצאות לדירקטורים מקרב הציבור; ביום 29 במאי 2008 אישר דירקטוריון התאגיד, לאחר שנתקבל אישור ועדת הביקורת, לעדכן את גמולם של הדירקטורים החיצוניים בתאגיד החל מחודש יולי 2008 , בהתאם לתיקון מיום 6 למרץ 2008 לתקנות החברות (כללים בדבר גמול והוצאות לדירקטור חיצוני), תש"ס- 2000 , וגמול הדירקטורים (שאינם דירקטורים חיצוניים) עודכן בהתאם. בהתאם להחלטת ועדת הביקורת, חברי דירקטוריון שמועסקים בתאגיד (למעט נותני שירותים) לא יהיו זכאים לגמול ישיבות. סכום גמול הדירקטורים הכולל לשנת הדוח, לדירקטורים שאינם מפורטים בטבלה לעיל (לרבות הדח"צים) ובהתאם לאמור לעיל עמד על 1,202,394 ש"ח. הסכום בעמודה זו מבטא הוצאה שנזקפה והוכרה בדוחות הכספיים בגין עליית ערך עקב שיערוך של .vii אופציות פנטום חסומות שניתנו בשנים קודמות ואינו מבטא מענק שניתן בשנת הדו"ח. ביטוח דירקטורים ונושאי משרה - ראו תקנה 22 להלן. .viii 6 הערות לטבלה: איציק צאיג: 1א) מר צאיג משמש כמנכ"ל התאגיד החל מיום 2.4.2012 . תנאי הסכם העסקתו של מר צאיג כמנכ"ל התאגיד, כפי ) שאושרו בוועדת הביקורת ובדירקטוריון התאגיד, קובעים כי תקופת העסקתו תהיה עד לגיל הפרישה החוקי של מר צאיג, וכי ההסכם ניתן לסיום בכל עת ללא סיבה או עילה כלשהי בהודעה מוקדמת בת 90 יום על ידי התאגיד או בהודעה מוקדמת בת 120 יום על ידי המנכ"ל, ובמקרה שמי מהצדדים יבקש לסיים ההסכם קודם למועד סיומו בהודעה מוקדמת יהיה המנכ"ל זכאי לשכר חודשי וליתר תנאי העסקתו לתקופה של 6 חודשים ממועד סיום עבודתו. על פי ההסכם, זכאי המנכ"ל ל- 13 משכורות בשנה, למענקים (בונוסים) על פי תכנית המענקים השנתית של התאגיד וכפי שיאושר על ידי דירקטוריון התאגיד מעת לעת ולאופציות פנטום על פי תכנית אופציות הפנטום של התאגיד כפי שתהיה מעת לעת וכפי שתאושר על ידי הדירקטוריון. על פי ההסכם זכאי המנכ"ל גם לתנאים נלווים כגון רכב ואחזקת רכב (כולל גילום מס), הוצאות טלפון, ארוחות, עיתונים, שי לחגים, בדיקות רפואיות, קצבת ביגוד, זכויות סוציאליות והפרשות סוציאליות ונלוות כמקובל (לפרטים נוספים אודות תנאי העסקתו של מר צאיג כמנכ"ל התאגיד ראו גם דוח מיידי מיום 25.3.2012 מס' אסמכתא .(2012-01-077394
  • 192.
    1ב) היעדים ששימשובקביעת המענק למר צאיג הינם היעדים של קבוצת אסם. תשלום המענק למר צאיג אושר ) בוועדת התגמול ובדירקטוריון והוא כפוף לאישור אסיפת בעלי מניות התאגיד שתזומן בהתאם להוראות הדין. 1ג) בהתאם להחלטותיהם של ועדת התגמול, הדירקטוריון ואסיפת בעלי המניות של התאגיד, הוענקו למר צאיג, ) בגין שנת 2013 ובהתאם לתכנית אופציות פנטום, אופציות פנטום בסכום השווה במועד ההענקה ל- 12 משכורות חודשיות של המנכ"ל, היינו סך של 1,565,052 ש"ח. לפרטים נוספים אודות אישור הענקת אופציות .( הפנטום למנכ"ל - ראו דוח מיידי של התאגיד מיום 26.5.2013 (מס' אסמכתא 2013-01-071026 1ד) פיצוי חד-פעמי בגין עלויות והפסדים בשנת 2011 : בהתאם להחלטותיהם של ועדת התגמול, הדירקטוריון ) ואסיפת בעלי המניות של התאגיד, אושר תשלום פיצוי חד פעמי למנכ"ל, בסך של 540 אלפי ש"ח נוכח הוצאות עלויות והפסדים שנגרמו לו מחמת סיומה המוקדם (לבקשת התאגיד) של כהונתו כמנכ"ל נסטלה –ניו זילנד ושובו ארצה בשנת 2011 לטובת העסקתו בחברה. לפרטים נוספים ראו דוח מיידי של התאגיד מיום 7 .( 26.5.2013 (מס' אסמכתא 2013-01-071026 עמרי לוטן: 2א) עמרי לוטן החל העסקתו בחברה בשנת 2008 ועד ליום 1.2.2014 שימש כמנכ"ל חטיבת מזון מוכן. תנאי ) העסקתו של מר עמרי לוטן היו על פי הסכם העסקתו מיום 27.5.2008 , והם כללו שכר חודשי, תנאים סוציאליים, השתתפות באחזקת רכב וטלפון, השתתפות בהוצאות בתפקיד, זכאות למענק שנתי בסך של עד שש משכורות בהתאם ליעדים מדידים שיוגדרו. תנאי ההתקשרות עימו לא קבעו את משך ההתקשרות. בהתייחס לזכאות לסיים ההתקשרות, נקבע כי מר לוטן זכאי ל- 6 חודשי הסתגלות ובנוסף ל- 3 חודשי הודעה מוקדמת בהם יהיה חייב לעבוד. ביום 29.5.2008 אישר דירקטוריון התאגיד כי כל זמן שמקום מגוריו של עמרי לוטן בכפר ורדים, יעמיד התאגיד לרשותו דירת מגורים במרכז הארץ לחלק מימות השבוע. 2ב) כולל סכום של 123,085 ₪ בגין דמי החזקת דירת מגורים במרכז הארץ על פי תנאי הסכם העסקתו של מר ) לוטן - ראו הערה לעיל לעניין תנאי העסקתו של מר לוטן. 2ג) בחישוב המענק למר לוטן ניתן משקל של 30% לעמידה ביעדים של קבוצת אסם ומשקל של 70% לעמידה ) , ביעדים שנקבעו לחטיבת המזון המוכן. שיעור העמידה המשוקלל בסך היעדים של מר לוטן עמד על 103% ו לעיל) ומעמידה של 102% ביעדי חטיבת המזון IV המורכב מעמידה של 106% ביעדי קבוצת אסם (ראו הערה המוכן. מאיר אימבר: 3א) מאיר אימבר מועסק בתאגיד משנת 2003 ומשמש כמשנה למנכ"ל לתפעול ומנהל אגף התפעול. תנאי העסקתו ) של מר מאיר אימבר הינם על פי הסכם העסקתו מיום 16.6.2003 , והם כוללים שכר חודשי, תנאים סוציאליים, השתתפות באחזקת רכב וטלפון, השתתפות בהוצאות בתפקיד. למר אימבר זכאות לבונוס שנתי בהתאם למדיניות התאגיד ולאופציות פנטום כמקובל לגבי מנהלים בכירים בתאגיד. תנאי ההתקשרות אינם קובעים את משך ההתקשרות. 3ב) בחישוב המענק למר אימבר ניתן משקל של 50% לעמידה ביעדים של קבוצת אסם ומשקל של 50% לעמידה ) ביעדים שנקבעו לאגף התפעול. שיעור העמידה המשוקלל בסך היעדים של מר אימבר עמד על 111% , המורכב לעיל) ומעמידה של 116% ביעדי אגף תפעול. IV מעמידה של 106% ביעדי קבוצת אסם (ראו הערה זאב קלימי: 4א) זאב קלימי מועסק בתאגיד משנת 2009 ומשמש כמנכ"ל נגה גלידות שותפות מוגבלת ("נגה גלידות"). תנאי ) העסקתו של מר זאב קלימי הינם על פי הסכם העסקתו מיום 12.1.2009 , והם כוללים את הגדרת תפקידו, שכרו החודשי, תנאים סוציאליים, השתתפות באחזקת רכב וטלפון, השתתפות בהוצאות בתפקיד וכן זכאות לבונוס יעד של שש משכורות. בנוסף נקבע כי מר קלימי יהיה זכאי לאופציות פנטום כמקובל לגבי מנהלים בכירים. תנאי ההתקשרות אינם קובעים את משך ההתקשרות. בהתייחס לזכאות לסיים ההתקשרות, נקבעה הודעה מוקדמת של 6 חודשים אם יתבצע שינוי ארגוני בתאגיד, ובתנאים אחרים 3 חודשים. 4ב) בחישוב המענק למר קלימי ניתן משקל של 30% לעמידה ביעדים של קבוצת אסם ומשקל של 70% לעמידה ) ביעדים שנקבעו לנגה גלידות. שיעור העמידה המשוקלל בסך היעדים של מר קלימי עמד על 52% , המורכב לעיל) ומעמידה של 29% ביעדי נגה גלידות. IV מעמידה של 106% ביעדי קבוצת אסם (ראו הערה
  • 193.
    8 פנחס קימלמן: 5א) פנחס קימלמן מועסק בתאגיד משנת 1988 . פנחס קימלמן משמש כמשנה למנכ"ל לכספים ומנהל אגף ) הכספים. תנאי העסקתו של מר פנחס קימלמן הינם על פי הסכם העסקתו מחודש מרץ 1988 והם כוללים שכר חודשי, תנאים סוציאליים, השתתפות באחזקת רכב וטלפון, השתתפות בהוצאות בתפקיד. למר קימלמן זכאות לבונוס שנתי בהתאם למדיניות התאגיד ולאופציות פנטום כמקובל לגבי מנהלים בכירים בתאגיד. תנאי ההתקשרות אינם קובעים את משך ההתקשרות. 5ב) בחישוב המענק למר קימלמן ניתן משקל של 50% לעמידה ביעדים של קבוצת אסם ומשקל של 50% לעמידה ) ביעדים שנקבעו לאגף הכספים. שיעור העמידה המשוקלל בסך היעדים של מר קימלמן עמד על 110% המורכב לעיל) ומעמידה של 114% ביעדי אגף הכספים. IV מעמידה של 106% ביעדי קבוצת אסם (ראו הערה דן פרופר 6א) ביום 1.5.2006 אישרה האסיפה הכללית של התאגיד את תנאי העסקתו של מר דן פרופר כיו"ר דירקטוריון ) התאגיד לתקופה של 5 שנים החל מיום 1.4.2006 . ביום 19.10.2010 אישרה האסיפה הכללית של התאגיד את תנאי העסקתו כיו"ר דירקטוריון התאגיד לתקופה של 3 שנים נוספות החל מיום 1.4.2011 (עד ליום 31.3.2014 ) עם אפשרות להארכת תקופת ההעסקה בשנתיים נוספות עד ליום 31.3.2016 , בכפוף לאישור הדירקטוריון. ביום 21.11.2013 אישר דירקטוריון התאגיד (לאחר שנתקבל אישור ועדת התגמול), את הארכת כהונתו של מר דן פרופר בתפקיד יו"ר דירקטוריון התאגיד עד ליום 31.3.2016 , ללא שינוי בתנאי העסקתו. על פי תנאי העסקתו צמוד שכרו החודשי של מר דן פרופר לשיעור שהוא לפחות שיעור העלייה הממוצע בשכר של ארבעים עובדים המקבלים את השכר הגבוה ביותר בתאגיד אך למעט אלה מבין אותם ארבעים שהם בעלי עניין ("קבוצת ההשוואה"); כמו כן, במסגרת תנאי העסקתו נקבע מנגנון תשלום מענק, לפיו בכל שנה בה יינתן על ידי התאגיד בונוס לשישה מנהלים בכירים או יותר מתוך קבוצת ההשוואה, מר דן פרופר זכאי לבונוס המחושב לפי סכום הבונוס הממוצע שנקבע לאותם עובדים מתוך קבוצת ההשוואה להם נקבע הבונוס, כשהוא מחולק בשכר הממוצע של אותם עובדים ב- 12 החודשים האחרונים, באופן שהמנה המתקבלת מוכפלת בשכרו הממוצע של מר דן פרופר ב- 12 החודשים האחרונים. מובהר כי במסגרת החישוב לצורך המענק האמור, נכללים מענקים הנובעים ממימוש אופציות פנטום שמומשו בעבר ו/או שתמומשנה בעתיד; כמו כן, זכאי מר דן פרופר לגמול שנתי בגין כהונתו כדירקטור בתאגיד; לרכב; לתנאים סוציאליים נלווים; וכן לכיסוי ביטוח דירקטורים ונושאי משרה כפי שיהיה בתאגיד מעת לעת. על פי תנאי ההתקשרות, ככל ומר פרופר יסיים את תפקידו לפני תום תקופת ההעסקה (או תקופת ההארכה) מסיבות שאינן בשליטתו, ישלם לו התאגיד (בנוסף לתשלום פיצויי פיטורין), את כל יתרת עלות השכר אשר תגיע לו עבור יתרת התקופה עד לתום תקופת ההעסקה (או תקופת ההארכה). לפרטים אודות תנאי ההתקשרות ראו גם דו"ח מיידי של התאגיד .( מיום 21.9.2010 (מס' אסמכתא – 2010-01-628209 6ב) שיעור החזקה בהון התאגיד למועד הדו"ח. ) 6ג) המענק הינו בגין שנת 2013 בהתאם למנגנון החישוב המפורט לעיל. ) לעיל. (VI) 6ג) גמול דירקטורים – ראו הערה כללית ) אברהם פינקלשטיין: 7א) אברהם פינקלשטיין הועסק בתאגיד החל משנת 1988 ועד חודש אפריל 2010 . החל מאפריל 2010 , ועם הפסקת ) כהונתו כסמנכ"ל מינהל, החל מר פינקלשטיין לספק לתאגיד ולחברות נוספות בקבוצה שירותים בענייני כשרות וייעוץ בענייני יחסי עבודה, בהיקף עבודה של יומיים בשבוע (ואף מעבר לכך, אם וככל שיידרש, וללא , תמורה נוספת). תקופת ההתקשרות עם מר פינקלשטיין נקבעה לתקופה של 3 שנים החל מחודש מאי 2010 כאשר כל צד (התאגיד ומר פינקלשטיין) רשאי להביא את ההתקשרות לידי סיום בהודעה מראש בת 90 ימים; התמורה ששולמה למר פינקלשטיין בגין השירותים כאמור הייתה בנוסף לגמול אשר מר פינקלשטיין זכאי לעיל). ביום 1.5.2013 אישרה אסיפת בעלי VI לקבל בתוקף כהונתו כדירקטור בתאגיד (ראו הערה כללית מניות התאגיד (לאחר שנתקבל אישור ועדת התגמול ודירקטוריון התאגיד), את הארכת תקופת ההתקשרות עם מר פינקלשטיין ב- 3 שנים נוספות, עד ליום 30.4.2016 (להלן: "תקופת ההארכה"), באופן שבתקופת ההארכה ימשיך מר פינקלשטיין לספק לתאגיד ולחברות הקבוצה, תוך הפחתה מסוימת לתנאי התגמול להם הוא היה זכאי עד לתחילת תקופת ההארכה, שירותים בענייני כשרות ובמשך 6 החודשים הראשונים לתקופת ההסכם המוארכת הוא אף ייעץ בסוגיות יחסי עבודה, אם וככל שנדרש לכך ללא תמורה נוספת (לפרטים .( נוספים אודות תנאי ההתקשרות ראו גם דוח מיידי מיום 30.4.2013 מס' אסמכתא 2013-01-011017 7ב) – דמי יועץ כמפורט לעיל. ) לעיל. (VI) 7ג) גמול דירקטורים – ראו הערה כללית )
  • 194.
    9 תקנה 21א: בעל השליטה בתאגיד תאגיד רב לאומי שמניותיו נסחרות בבורסה לניירות ערך של שוויץ ,NESTLE S.A. בעלת השליטה בתאגיד הינה (להלן: "נסטלה"). יצוין כי עד לחודש נובמבר 2011 היה לנסטלה הסכם עם ה"ה דן פרופר וגד פרופר, אשר החזיקו במהלך אותה תקופה, כל אחד מהם ביחד עם בני משפחתו, בכ- 4.99% מהון המניות ומזכויות ההצבעה בתאגיד, באמצעות חברות שונות. ביום 15.11.2011 הודיעה נסטלה לתאגיד כי בוטלו כל ההסדרים שהיו בינה לבין ה"ה דן פרופר וגד פרופר, לפיהם הם נדרשו להצביע במניותיהם באסיפות בעלי מניות של התאגיד ביחד עם נסטלה ו/או במטרה לתמוך בהחלטה כלשהי לטובת נסטלה ו/או לנקוט בכל פעולה על מנת לקדם את האינטרסים של נסטלה. על פי הודעת נסטלה כאמור, אין בהודעה המתוארת לעיל בכדי לגרוע מהתחייבותה דאז של נסטלה כלפי ה"ה דן פרופר וגד פרופר להצביע בעד מינויים כדירקטורים בתאגיד בתנאים שנקבעו וכן שלא לקבל החלטות מסוימות שעניינן פגיעה בזכויות מיעוט בתאגיד כפי שדווח בעבר על ידי התאגיד. ראו גם דוח מיידי מיום 15.11.2011 (מס' אסמכתא 01-327141-2011 ) אשר הפרטים הכלולים בו מובאים על דרך ההפניה. ביום 1.2.2012 מכר מר גד פרופר את מלוא אחזקותיו בהון התאגיד וביום 27.11.2013 מכר מר דן פרופר את מרבית אחזקותיו בהון התאגיד. למיטב ידיעת התאגיד, נכון למועד הדוח, , מר דן פרופר מחזיק ב- 93,122 מניות התאגיד. תקנה 22 : עסקאות עם בעל שליטה עסקאות עם בעל שליטה או שלבעל השליטה יש בהן עניין אישי ו/או חברות קשורות לה, (להלן (Nestle S.A) להלן פרטים, למיטב ידיעת התאגיד, בדבר כל עסקה עם בעל השליטה בפירוט תקנה זו "נסטלה") או שלבעל השליטה בתאגיד יש עניין אישי באישורה, אשר התאגיד ו/או חברות בשליטתו ("הקבוצה") התקשרו בה בשנת הדו"ח או במועד מאוחר לשנת הדו"ח ועד למועד הגשת דוח זה, או שהיא עדיין בתוקף במועד הדו"ח: 4) לחוק החברות ) עסקאות לפי סעיף 270 עסקת מטרנה: ביום 12.9.2008 התקשר התאגיד בהסכם עם מעבדות מטרנה בע"מ ("מעבדות מטרנה") לפיהם רכש התאגיד 51% מהרכוש הקבוע, המוניטין וההון החוזר על פעילות המזון לתינוקות של מעבדות מטרנה המרוכזת תחת המותג "מטרנה", באופן שהתאגיד ומעבדות מטרנה הקימו שותפות שבה מחזיק התאגיד 51% (והיתרה מוחזקת על ידי מעבדות מטרנה), ובאופן שהתאגיד ומעבדות מטרנה מעמידים לרשות השותפות את הרכוש הקבוע, המוניטין וההון החוזר; במקביל רכשה נסטלה ממעבדות מטרנה 51% מהידע והמותגים של מטרנה, באופן שאלו ביחד עם הידע והמותגים של נסטלה מועמדים לרשות השותפות תמורת דמי שימוש ("עסקת מטרנה"). לפרטים נוספים אודות מתווה העסקה ותנאיה ראו דיווחים מיידיים של התאגיד מיום 23.10.2007 . ומיום 14.9.2009 ביום 27.1.2009 אישרה האסיפה הכללית של התאגיד את עסקת מטרנה, לאחר שנתקבל אישור ועדת הביקורת והדירקטוריון. לפרטים נוספים ראו דיווחים מיידיים של התאגיד מיום 30.11.2008 , מיום 11.12.2008 ומיום . 27.1.2009 . לפרטים נוספים אודות מתווה העסקה ותנאיה ראו דיווחים מיידיים של התאגיד מיום 22.12.2009 ביום 26 ביולי 2011 החליטה וועדת הביקורת של התאגיד לקצוב את תקופת ההתקשרות בהסכם זה, לתקופה של המאוחר מבין חמש עשרה שנה מחודש דצמבר 2009 או מועד מימוש אופציה שניתנה לנסטלה לרכוש את יתרת הקניין הרוחני של מטרנה ממעבדות מטרנה, ואישרה כי המשך ההתקשרות בהסכם זה לתקופה כאמור העולה על . 3 שנים הינו סביר בנסיבות העניין. לפרטים ראו דיווח מיידי מיום 27.7.2011 מיום 1.2.2009 : ביום 27.1.2009 אישרה האסיפה "Foodtech" - ו "Tribe" הסכם בעניין הקניין הרוחני של הכללית של התאגיד, לאחר שנתקבל אישור ועדת הביקורת והדירקטוריון, את ההתקשרות בהסכם למכירת הקניין הרוחני של טרייב ופודטק (ידע וסימני מסחר) שרכשה חברת הבת טבעול (באמצעות תאגידים בשליטתה) לנסטלה ו/או חברות קשורות לה, במחיר של כ- 15.6 מליון דולר ארה"ב תמורת הקניין הרוחני של טרייב, ובמחיר של כ- 9.4 מליון דולר ארה"ב תמורת הקניין הרוחני של פודטק. בהתאם לתנאי ההסכם, לאחר מכירת הקניין הרוחני לנסטלה, מעמידה נסטלה את הקניין הרוחני האמור לרשותה של טבעול לצרכי פעילותה בצפון אמריקה (ביחד עם ידע של נסטלה בתחום הסלטים המצוננים ותחליפי הבשר) תמורת תמלוגים בשיעור של 2.5% מהמכירות נטו של חברת הבת של טבעול בארה"ב. תקופת ההסכם הראשונה נקבעה ל- 10 שנים וההסכם יתחדש באופן אוטומטי לתקופות נוספות בנות 5 שנים כל תקופה. ההסכם כולל הוראות נוספות בדבר שימוש בקניין הרוחני של טבעול, סלטי צבר ונסטלה, במדינות אחרות, והכל כמפורט בדוח . מיידי על עסקה בין חברה לבין בעל שליטה בה מיום 11.12.2008 ביום 26 ביולי 2011 החליטה וועדת הביקורת של התאגיד לקצוב את תקופת ההתקשרות בהסכם זה לתקופה של 15 שנים החל מחודש פברואר 2009 , ואישרה כי המשך ההתקשרות בהסכם זה לתקופה כאמור העולה על 3 שנים . הינו סביר בנסיבות העניין. לפרטים ראו דיווח מיידי מיום 27.7.2011
  • 195.
    של נסטלה: ביום31.12.2007 אישרה האסיפה הכללית של התאגיד, לאחר Globe - הסכם התקשרות בפרויקט ה שנתקבל אישור ועדת הביקורת והדירקטוריון, התקשרות עם נסטלה בהסכם לפיו ישתלב התאגיד בפרויקט עולמי של נסטלה, המספק שירותי מחשוב (חומרה ותוכנה) במאפיינים מתקדמים ובזמן אמת (GLOBE - (פרויקט ה לתאגידים בקבוצת נסטלה, לרבות הטמעה ושילוב של מגוון שירותים ומערכות בתחום המחשוב המשולבות בתאגיד לפי דרישתה, ובכלל כך, מערכות תכנון, תיעדוף והקצאת מוצרים ללקוחות ואופטימיזציה בתכנון הייצור והתאמתו לביקוש, שדרוג רמת המחשוב בתאגיד, קידום ההיבטים הניהוליים בה, יצירת סטנדרטיזציה עולמית בין כל מערכות המחשב (חומרה ותוכנה) עם חברות בקבוצת נסטלה, יצירת סטנדרטיזציה עולמית לתשתית התייעלות מערכי התאגיד ופעליה ,(Best Practices) מערכות מידע בקבוצה, יישום תהליכי עבודה אופטימאליים וכן היבטים נוספים. התמורה המשולמת על ידי התאגיד הינה בגין חלקה היחסי Best Practices - עקב יישום ה בכלל הוצאות הפיתוח והשירותים כאמור הניתנים על ידי פרויקט הגלוב, כאשר מוסכם בין התאגיד ונסטלה כי Net Proceeds of ) של התאגיד NPS - במידה ושיעור הוצאות המחשוב בשנה מסוימת יעלה על שיעור של 1.5% מה היינו, הכנסותיה ברוטו מהמכירות המאוחדות, בניכוי מע"מ, החזרות והנחות מסחריות), אזי ההפרש – Sale יתווסף להוצאות המחשוב של השנים הבאות, בתוספת ריבית, ובתנאי שבכל אחת מהשנים הבאות לא יעלה המהווה את שיעור ההוצאות ,NPS - התשלום השנתי בגין הוצאות המחשוב של התאגיד על שיעור של 1.5% מה הממוצע של הוצאות המחשוב של התאגיד בארבעת השנים שלפני מועד אישור העסקה. ההתקשרות נקבעה לתקופה בלתי מוגבלת בזמן ובלבד שכל אחד מהצדדים רשאי לסיימה בהודעה מוקדמת של 6 חודשים מראש. ביום 26 ביולי 2011 החליטה וועדת הביקורת של התאגיד לקצוב את תקופת ההתקשרות בהסכם זה לתקופה של 20 שנה החל מחודש דצמבר 2007 , ואישרה כי המשך ההתקשרות בהסכם זה לתקפה כאמור העולה על 3 שנים הינו . סביר בנסיבות העניין. לפרטים ראו דיווח מיידי מיום 27.7.2011 הסכם מיום 26.11.2002 בקשר עם שכירות ומתן שירותים למרכז מחקר לפיתוח חטיפים: ביום 17.12.2002 אישרה האסיפה הכללית של התאגיד, לאחר שנתקבל אישור ועדת הביקורת והדירקטוריון, הסכם, לפיו בין היתר, לצורך הקמת מרכז מחקר לפיתוח חטיפים של נסטלה, במבנה מיוחד שהוקם על ידי התאגיד לבקשת נסטלה ולשימושה במתחם מפעל שדרות של התאגיד, התקשרה נסטלה עם התאגיד בהסכם שכירות לקרקע ולמבנה מרכז הפיתוח וכן בהסכם למתן שירותים למרכז הפיתוח. ההסכם קובע, בין היתר, כי: נסטלה תשכור בשכירות בלתי מוגנת על פי חוקי הגנת הדייר את המבנה המשמש למרכז המחקר, וכן את שטח החצר עבורו (כפי שהוגדר בהסכם) לתקופה של 15 שנים עם אפשרות הארכה; דמי השכירות ישולמו בדולרים ארה"ב; השוכר אינו רשאי להפסיק את השכירות ואת תשלומי דמי השכירות לפני שהוחזרה לתאגיד כל השקעתו במבנה. הצדדים התקשרו גם בהסכם שירותים לפיו, בין היתר: התאגיד יספק לנסטלה שירותים ומוצרים שונים לצרכי הפעילות השוטפת של האתר, ככל שיהיה ביכולתו לספק שירותים אלו; שירותים ומוצרים אשר יירכשו על ידי התאגיד עבור נסטלה מספקים חיצוניים תשלם נסטלה את עלותם המלאה לפי חשבונות הספק; עבור שירותים ומוצרים אשר יסופקו לנסטלה ישירות על ידי התאגיד, תשולם עלותם המלאה; עבור שירותים משותפים לנסטלה ולמפעל תשלם נסטלה את חלקה היחסי לפי השטח הבנוי העומד לרשות נסטלה לעומת השטח הכולל הבנוי של המפעל. ביום 26 ביולי 2011 החליטה וועדת הביקורת של התאגיד לקצוב את תקופת ההתקשרות בהסכם זה לתקופת שכירות של 15 שנה מחודש נובמבר 2002 עם אופציה לנסטלה להארכה לתקופה של 9 שנים נוספות, ואישרה כי המשך ההתקשרות בהסכם זה לתקופה כאמור העולה על 3 שנים הינו סביר בנסיבות העניין, לפרטים ראו דיווח . מיידי מיום 27.7.2011 הסכם רישיון כללי מיום 1.1.2001 בין התאגיד לבין נסטלה: ביום 22.5.2001 אישרה האסיפה הכללית של התאגיד, לאחר שנתקבל אישור ועדת הביקורת והדירקטוריון, הסכם לפיו בין היתר, מעניקה נסטלה לתאגיד זכות שימוש בסימני מסחר (כפי שהוגדרו בין הצדדים) בידע ובפטנטים של נסטלה בטריטוריה של מדינת ישראל בקשר עם מוצרים שונים ובכלל כך, מוצרי קפה ומשקאות, מזון לחיות מחמד וממתקים וכן מוצרים נוספים כפי שיוגדרו בין הצדדים. במסגרת ההסכם אסם עושה שימוש בזכויות האמורות גם בשוק הכשר בחו"ל בהיקפים שוליים. תמורת זכות השימוש משלם התאגיד לנסטלה תמלוגים בשיעור של 4% ממכירות נטו של המוצרים הרלוונטיים. ההסכם קובע תנאים נוספים לשימוש בסימני המסחר, בידע ובפטנטים. ההסכם נקבע לתקופה של 10 שנים ולאחר מכן יתחדש אוטומאטית לתקופות נוספות של 5 שנים. ביום 26 ביולי 2011 החליטה וועדת הביקורת לקצוב את תקופת ההתקשרות בהסכם זה לתקופה של 15 שנה מחודש ינואר 2001 , ואישרה כי המשך ההתקשרות בהסכם זה לתקופה כאמור העולה על 3 שנים הינו סביר 10 . בנסיבות העניין. לפרטים ראו דיווח מיידי מיום 27.7.2011 תאגיד קשור לנסטלה הנמצא בבעלות משותפת של ) CPW הסכם רישיון כללי מיום 1.1.2001 בין התאגיד לבין העוסק בפיתוח וייצור דגני בוקר): ביום 22.5.2001 אישרה האסיפה הכללית General Mills נסטלה ושל חברת מעניקה לתאגיד CPW , של התאגיד, לאחר שנתקבל אישור ועדת הביקורת והדירקטוריון, הסכם לפיו בין היתר בטריטוריה של מדינת ישראל CPW זכות שימוש בסימני מסחר (כפי שהוגדרו בין הצדדים) בידע ובפטנטים של תמלוגים בשיעור של 5% ממכירות נטו CPW בקשר עם מוצרי דגני בוקר. תמורת זכות השימוש משלם התאגיד ל של המוצרים הרלוונטיים. ההסכם קובע תנאים נוספים לשימוש בסימני המסחר, בידע ובפטנטים. ההסכם נחתם לתקופה שהסתיימה ביום 31.12.2008 ולאחר מכן מתחדש אוטומאטית לתקופות נוספות של 5 שנים. ביום 26 ביולי 2011 החליטה וועדת הביקורת לקצוב את תקופת ההתקשרות בהסכם זה לתקופה של 15 שנה מחודש ינואר 2001 , ואישרה כי המשך ההתקשרות בהסכם זה לתקופה כאמור העולה על 3 שנים הינו סביר . בנסיבות העניין. לפרטים ראו דיווח מיידי מיום 27.7.2011
  • 196.
    הסכם רישיון ביןנגה גלידות שותפות מוגבלת (תאגיד בבעלות מלאה של התאגיד, להלן: "נגה") לבין נסטלה מיום 25.2.1997 כפי שאושר מחדש ביום 1 בנובמבר 2011 : על פי ההסכם, בין היתר, נסטלה מעניקה לנגה זכות שימוש בסימני מסחר (כפי שהוגדרו בין הצדדים) ובידע ובפטנטים של נסטלה בטריטוריה של מדינת ישראל בקשר עם מוצרי גלידה. תמורת זכות השימוש משלמת נגה לנסטלה תמלוגים בשיעור של 3% ממכירות נטו של המוצרים הרלוונטיים. ההסכם קובע תנאים נוספים לשימוש בסימני המסחר ובידע. ההסכם המקורי נחתם לתקופה ראשונה של 10 שנים, ולאחר מכן מתחדש אוטומאטית לתקופות נוספות של 5 שנים. ביום 1 בנובמבר 2011 אישרה אסיפה הכללית של התאגיד, לאחר שנתקבל אישור וועדת הביקורת והדירקטוריון, את המשך ההתקשרות של נגה בהסכם. על פי תנאי ההתקשרות שאושרו מחדש כאמור המשך ההתקשרות בהסכם זה הינו לתקופה של 5 שנים החל מיום 26 בפברואר 2012 , ולעניין זה קבעה וועדת הביקורת כי תקופת ההתקשרות . בהסכם זה כאמור לעיל, הינה סבירה בנסיבות העניין. ראו גם דיווח מיידי של התאגיד מיום 10 באוקטובר 2011 הסכם סיוע טכני בין התאגיד לבין נסטלה מיום 29.5.1998 : ביום 2.7.1998 אישרה האסיפה הכללית של התאגיד, לאחר שנתקבל אישור וועדת הביקורת והדירקטוריון, את ההתקשרות בהסכם כאמור לפיו, בין היתר, הוסכם כי שהינה זרוע המו"פ של נסטלה וחברה בבעלותה המלאה) תעניק לתאגיד סיוע ,Nestec Ltd. נסטלה (באמצעות טכני ספציפי וכן סיוע טכני כללי, כדלקמן: סיוע טכני ספציפי בגין מוצרים ספציפיים לצורך מכירתם בטריטוריה של מדינת ישראל – הכולל סיוע טכנולוגי, מדעי ומקצועי ליצור המוצרים כאמור בתמורה ל- 2.5% מסך המכירות של אותם המוצרים; סיוע טכני כללי – הכולל סיוע טכני, לרבות, סיוע בייצור, סיוע הנדסי, אבטחת איכות, הפצה ושיווק, פיננסים, חשבונאות, עיבוד נתונים, אירגון רכש, ביטוח ואספקטים תפעוליים ואדמיניסטרטיביים אחרים. בתמורה לסיוע הטכני הכללי משלם התאגיד לנסטלה סכום של מיליון פרנקים שוויצרים בשנה. בנוסף, בהתאם לתנאי ההתקשרות, עבור ידע שתבקש נסטלה לרכוש מהתאגיד, אם וכאשר תבקש, תשלם נסטלה סכום של 2.5% ממחזור המכירות של המוצרים שבהם תעשה נסטלה שימוש בידע של התאגיד. תמורת שימוש במותגי התאגיד תשלם נסטלה 1.5% נוספים ממחזור המכירות של מוצרים שבהם יעשה שימוש במותגים. ההסכם המקורי נקבע לתקופה ראשונה של 7 שנים ולאחר מכן יתחדש אוטומאטית לתקופות נוספות של 7 שנים כל אחת. ביום 1 בנובמבר 2011 אישרה האסיפה הכללית של התאגיד, לאחר שנתקבל אישור וועדת הביקורת והדירקטוריון, את המשך ההתקשרות של התאגיד עם נסטלה בהסכם זה, באופן שעל פי תנאי ההתקשרות כאמור המשך ההתקשרות בהסכם זה הינו לתקופה של 7 שנים החל מיום 29 במאי 2012 , אלא אם צד להסכם הודיע על רצונו, בכל עת, לסיים את ההתקשרות בהודעה מוקדמת של 12 חודשים. לעניין זה, וועדת הביקורת של התאגיד קבעה כי תקופת ההתקשרות בהסכם זה כאמור לעיל, הינה סבירה בנסיבות העניין. ראו גם דיווח מיידי של התאגיד מיום 11 . 10 באוקטובר 2011 4) לחוק החברות: ) עסקאות שאינן לפי סעיף 270 הסכם בין טבעול אירופה ובין נסטלה גרמניה: ביום 27.1.2009 נחתם הסכם בין נסטלה גרמניה (חברה קשורה לנסטלה) לבין טבעול אירופה (חברה בבעלות מלאה של טבעול), אשר אינו עולה כדי עסקה חריגה כהגדרת המונח בחוק החברות, על פיו מעמידה נסטלה גרמניה לטבעול אירופה, חברה בת של התאגיד, שירותי מכירה של מוצרים בשם טבעול אירופה ועבורה ברחבי גרמניה ואוסטריה (בהתאם ליעדים שהוגדרו על ידי הצדדים). ההתקשרות נקבעה לתקופה בלתי מוגבלת והיא ניתנת לסיום בהודעה מוקדמת בת ששה חודשים. טבעול אירופה התחייבה לשלם לנסטלה גרמניה תשלום חד פעמי בגין הכשרת עובדים וכן עמלה בשיעור של כ- 5% עד 7% מהמכירות (שיעור העמלה של 7% ירד עד ל 5% ככל שהמכירות יגדלו). ביטוח: א. ביום 19.10.2010 אישרה האסיפה הכללית של התאגיד, לאחר שנתקבל אישור ועדת הביקורת והדירקטוריון, את התקשרות התאגיד בפוליסת ביטוח אחריות דירקטורים ונושאי משרה לתקופה של 12 חודשים החל מיום 1.4.2011 . במסגרת האישור הוסמך מנכ"ל התאגיד לחדש (בין אם על ידי הארכה ובין אם על ידי התקשרות בפוליסה אחרת), מעת לעת ולפי שיקול דעתו, את פוליסת הביטוח בתנאים דומים ו/או בתנאים זהים כפי שיהיו מקובלים ומותאמים לצרכי התאגיד ונושאי המשרה בעת חידוש הביטוח ובתנאים מטיבים לתאגיד, באופן שהתאגיד רשאי להתקשר עם המבטח, בפוליסה לתקופות ביטוח נוספות עד ליום 31.3.2016 ובלבד שפרמיית הביטוח השנתית שתשולם על ידי התאגיד לא תתייקר בשיעור העולה על יותר מ- 25% מתשלום הפרמיה השנתית המשולמת בתקופת הביטוח הקודמת במועד האישור כאמור לעיל, וגבולות האחריות לא יעלו ביותר מ- 25% ביחד לגבולות האחריות הנוכחיים, ובכפוף לכך שדירקטוריון התאגיד וועדת הביקורת שלו יאשרו כי אין הבדלים מהותיים בתנאי ההתקשרות לעומת השנה הקודמת; ב. ביום 24.3.2010 אישר דירקטוריון התאגיד, לאחר שנתקבל אישור וועדת הביקורת, את השתתפות התאגיד בפוליסה לביטוח אחריות נושאי משרה שרכשה ותרכוש מעת לעת נסטלה ביחס לדירקטורים ונושאי משרה בחברות קבוצת נסטלה ובכלל כך בתאגיד ובחברות בשליטתו, בכיסוי ביטוחי כשכבת ביטוח נוספת המתווספת לביטוח הדירקטורים ונושאי המשרה שרכש התאגיד על חשבונה (ראו לעיל). בשנת הדוח ולמועד דוח זה עמדה שכבת הביטוח הנוספת על תקרה של 150 מיליון דולר ארה"ב. ההשתתפות כאמור סווגה כעסקה מזכה והינה ללא תשלום פרמיה כלשהי על ידי התאגיד וללא חובת השתתפות עצמית; ג. ביום 24.3.2010 אישר דירקטוריון התאגיד לאחר שנתקבל אישור וועדת הביקורת, את התקשרות התאגיד, מעת לעת, עם מגדל חברה לביטוח בע"מ ("מגדל"), כעסקה שאינה עולה כעסקה חריגה כהגדרת המונח בחוק החברות, לרכישת פוליסות ביטוח לביטוחים המרכזיים לחברה ולחברות הבנות שלה, באופן שמגדל, כמבטחת ראשית, תתקשר בין היתר עם מבטח משנה למתן ביטוח משנה למגדל בהיקף שלא יעלה על כ- 40% מתיק הביטוח כאמור, ובאופן שזה עשוי להתקשר בעצמו עם תאגיד קשור של נסטלה, למתן כיסוי ביטוחי בתיק הביטוח (לגבי חלק מהכיסוי שביחס אליו יתקשר מבטח המשנה כאמור).
  • 197.
    חברה בבעלות מלאהשל ) UK עם נסטלה: על פי תנאי ההסכם רוכשת אסם UK הסכם התקשרות של אסם התאגיד) מנסטלה מוצרי מזון המיובאים לאנגליה על ידי נסטלה, לצורך הפצתם בשוק האתני באנגליה. למועד . הדו"ח מתבצעת רכישת המוצרים כאמור כנגד תשלום אשר ככלל כולל מחירי העברה של נסטלה בתוספת 12% רכישת המוצרים מתבצעת בהיקפים שאינם מהותיים לקבוצת אסם. תקופת ההסכם הראשונית נקבעה עד ליום 1.6.2013 ולאחר מכן חודש ההסכם אוטומטית ל- 3 שנים וימשיך להתחדש לתקופות נוספות של 3 שנים אלא אם הובא לידי סיום בהודעה של 6 חודשים מראש. ביום 31.3.2011 אישר דירקטוריון התאגיד את ההתקשרות וכן אישר את ההתקשרות החל משנת 2007 , כעסקה אשר אינה מהווה "עסקה חריגה" כהגדרת המונח בחוק החברות. . ביום 21.11.2013 החליטה ועדת הביקורת לאשר ולאשרר את כדאיות ההתקשרות והמשכה עד ליום 31.5.2016 הגדרת "עסקה זניחה": ביום 31 באוגוסט 2011 אימץ דירקטוריון התאגיד "נוהל לאישור עסקאות זניחות" בהתאם לתקנה 41 (א)( 6) לתקנות ניירות ערך (דוחות כספיים שנתיים) התש"ע 2010- , לאחר שנתקבלה המלצת וועדת הביקורת, אשר במסגרתו הוגדרו עסקאות כמפורט בתמצית להלן אשר ייחשבו כ"עסקאות זניחות": (א) העסקה אינה עסקה חריגה (כהגדרת המונח בחוק החברות, התשנ"ט 1999- ) ואינה מסווגת על ידי התאגיד כאירוע החייב בדיווח בהתאם להוראות תקנה 36 לתקנות ניירות ערך (דוחות תקופתיים ומיידיים), התש"ל 1970- ; (ב) העסקה עומדת בשני הפרמטרים הבאים: ( 1) העסקה הינה בשיעור של פחות מ- 0.5% מאמת המידה רלוונטית להלן (אמת מידה אחת או יותר, אם וככל שרלוונטי לעסקה); ובנוסף ( 2) היקף העסקה אינה עולה על סך של 8,000,000 ₪, כשסכום זה מותאם לשיעור העלייה במדד המחירים לצרכן ביחס למדד שפורסם ביום 15 ביולי 2011 , והכל לפי הנמוך מבין השניים. בכל עסקה כאמור שיבחן סיווגה כעסקה זניחה, תחושב אחת או יותר מאמות המידה רלוונטיות לעסקה המסוימת כמפורט להלן, על בסיס הדוחות הכספיים השנתיים המאוחדים האחרונים של התאגיד: (א) ברכישת מוצרים (לרבות מוצרים מוגמרים, מוצרי תפזורת ו/או חומרי גלם) המשמשים את הקבוצה – היקף הרכישה מול סך מחזור המכירות השנתי כמשתקף בדוחות הכספיים; (ב) במכירת מוצרי הקבוצה – היקף המכירה מול סך מחזור המכירות השנתי כמשתקף בדוחות הכספיים; (ג) ברכישה או מכירה של שירותים – היקף העסקה מול סך מחזור המכירות השנתי כמשתקף בדוחות הכספיים. (ד) ברכישת נכס קבוע ("נכס שאינו שוטף") – היקף העסקה מול סך כל הנכסים בדוח על המצב הכספי הכלול 12 בדוחות הכספיים (ה) במכירת נכס קבוע ("נכס שאינו שוטף") – הרווח/ההפסד מהעסקה מול הרווח/ההפסד השנתי שמשתקף בדוחות הכספיים. (ו) בקבלת התחייבות כספית - היקף העסקה מול סך ההתחייבויות בדוח על המצב הכספי הכלול בדוחות הכספיים. . ראו גם דיווח מיידי של התאגיד מיום 31 באוגוסט 2011
  • 198.
    13 תקנה 24: החזקות בעלי עניין להלן פירוט, למיטב ידיעת התאגיד, של ניירות הערך המוחזקים על ידי בעלי עניין ונושאי משרה בכירה בתאגיד, או בחברה מוחזקת של התאגיד שפעילותה מהותית לתאגיד, סמוך לתאריך הדו"ח: שם בעל העניין מס' תעודת זהות/מס' חברה ברשם שם הנייר מספר הנייר ע"נ מוחזק בתאריך 31.12.2013 שיעור ההחזקה באחוזים בהון, בהצבעה ובסמכות למנות דירקטורים (*) (1) NESTLE S.A. 63.68% 70,460,032 אסם השקעות 304014 CH‐550‐0067293‐5 ( חברה בשליטת דן פרופר** ( 2 0.08% 93,122 אסם השקעות 304014 ( דורית ויצחק ירקוני** וחברות בשליטה משפחתית ( 3 4.95% 5,479,155 אסם השקעות 304014 אלישבע פינקלשטיין וחברות בשליטת אלישבע ( ואברהם פינקלשטיין** ( 4 1.86% 2,061,081 אסם השקעות 304014 אסם תעשיות מזון בע"מ 0.00% 12 51-045071-1 אסם השקעות 304014 * כולל 5,439,017 מניות שרכשה נסטלה ביום 27.11.2013 מחברות באחזקת משפחת דן פרופר. ** ה"ה דן פרופר, יצחק ירקוני ואברהם פינקלשטיין מכהנים כדירקטורים בתאגיד (ראו להלן פירוט אחזקותיהם).
  • 199.
    תקנה 24 (המשך):מניות וניירות ערך המירים המוחזקים על ידי בעלי עניין בתאגיד, בחברת בת או בחברה קשורה (המשך) חלק מהמניות מוחזקות NESTLE S.A. 1) חברת ) באמצעות החברה לרישומים 14 70,460,032 מניות 2) דנפרו השקעות בע"מ באמצעות החברה לרישומים 93,122 מניות ) 3) יותמר אחזקות בע"מ 329,166 מניות ) יר-דוראל בע"מ 2,574,995 מניות יר-דנה בע"מ 2,574,994 מניות 4) א.א. פ.ק.ד. השקעות בע"מ באמצעות החברה לרישומים 338,686 מניות ) א.א. פינקלשטיין נכסים בע"מ באמצעות החברה לרישומים 1,716,671 מניות אלישבע פינקלשטיין באמצעות החברה לרישומים 5,724 מניות להלן שיעורי ההחזקות בחברות לעיל המחזיקות מניות בתאגיד כפי שהם ידועים לתאגיד: דנפרו השקעות בע"מ: פרופר דן 99.99999% פרופר סוזן 0.00001% יותמר אחזקות בע"מ: ירקוני דורית 99% ירקוני יצחק 1% יר-דוראל בע"מ: ירקוני דורית 99.9% בן הרוש ירקוני דוראל 0.1% יר-דנה בע"מ: ירקוני דורית 99.9% ירקוני דנה 0.1% א.א.פ.ק.ד. השקעות בע"מ: פינקלשטיין אלישבע 99% פינקלשטיין אברהם 1% א.א. פינקלשטיין נכסים בע"מ: פינקלשטיין אלישבע 99.98% פינקלשטיין אברהם 2% תקנה 24 א: הון רשום, מונפק וניירות ערך המירים ההון הרשום של התאגיד הינו 150,000,000 מניות רגילות שוות זכויות בע.נ. של 1 ש"ח כ"א. ההון המונפק של התאגיד הינו 110,644,444 מניות. אין לתאגיד ניירות ערך המירים.
  • 200.
    15 תקנה 24ב: מרשם בעלי המניות של התאגיד מס' שם בעל המניה ת.ז./ח.פ. כמות מניות (*)59,488,875 CH‐550‐0067‐293‐5 NESTLE S.A. .1 12 51‐045071‐ 2. אסם תעשיות מזון בע"מ 1 677,372 3. רפאל וילמרסדורף 001428663 1,144,448 51‐285310‐ 4. איתן ורפאל השקעות ( 1999 ) בע"מ 2 1,144,446 51‐285310‐ 5. תמר ורפאל נכסים בע"מ 2 1,144,448 6. אלישע ורפאל אחזקות בע"מ 51-285313-6 677,372 7. פנינה צימרמן 051259000 2,574,995 51‐261924‐ 8. לוק אורנה בע"מ 8 2,574,994 51‐261884‐ 9. לוק-רון בע"מ 4 2,574,994 51‐261882‐ 10 . יר-דנה בע"מ 8 2,574,995 51‐261880‐ 11 . יר-דוראל בע"מ 2 329,166 51‐270299‐ 12 . יותמר אחזקות בע"מ 4 329,166 51‐270298‐ 13 . נ. קולן אחזקות בע"מ 6 (*)35,406,146 14 . חברה לרישומים של בנק לאומי לישראל בע"מ 51-00986-4 18 15 . יהודה בר לב 64837123 89 16 . נוימן דוד 8332884 5 17 . גטניו כלנית 057082810 1 18 . קרמר משה 059761759 1 19 . לבנת רז 55088645 1 20 . אמ"מ ג. השקעות ופיננסים בע"מ 51-160044-7 1 21 . זקצר רם 025382979 56 22 . אהרון אליאס 072829518 2,084 23 . מוזלה חברה להשקעות בע"מ 51-158053-2 27 24 . ניקולאי אמסיוניק 310419841 417 25 . סביון טל 038506499 201 1356148‐ 26 . סביון נירה 5 114 27 . פנצר נתן 08037392 סה"כ מניות 110,644,444 10,971,157 מניות מתוך סך המניות המוחזקות ע"י החברה לרישומים של בנק לאומי לישראל בע"מ מוחזקות עבור (*) .NESTLE S.A
  • 201.
    תקנה 25 א:המען הרשום, כתובת, דאר אלקטרוני ומספרי הטלפון המען הרשום של התאגיד הינו רח' רימון 2, א.ת. חמן, ת.ד. 934 שהם 60850 מס' הטלפון: 03-7205050 מס' הפקס: 03-7205095 16 ALBERTO.PESSAH@IL.NESTLE.COM : כתובת דואר אלקטרוני תקנה 26 : הדירקטורים של התאגיד להלן הדירקטורים המכהנים בדירקטוריון התאגיד נכון לתאריך הדו"ח: 1) דן פרופר ) 007131766 מספר ת.ז.: 1941 שנת לידה: מענו: רח' הזורע , כפר 89 שמריהו נתינות: ישראלית חברותו בועדות דירקטוריון: לא דח"צ: לא דירקטור בלתי תלוי: לא בעל מיומנות חשבונאית ופיננסית: כן האם הוא עובד של התאגיד, חברה בת, חברה כן, יו"ר קבוצת אסם קשורה או של בעל עניין: תאריך שבו החלה כהונתו כדירקטור בתאגיד: 23/9/1981 טכניון, מהנדס כימאי וטכנולוג מזון. B.Sc : השכלה עיסוקו בחמש השנים האחרונות ותאגידים נוספים בהם הוא מכהן כדירקטור: . יו"ר דירקטוריון התאגיד החל מ- 1.4.2006 דירקטור בחברות הבאות: חברות משפחתיות, חברות בנות מקבוצת אסם, צ'ק פוינט, טבע תעשיות פרמצבטיות בע"מ. האם הוא בן משפחה של בעל עניין אחר בתאגיד: כן, אחיו של גד פרופר. 2) גד פרופר ) 007131774 מספר ת.ז.: 1944 שנת לידה: מענו: רח' השלום , רמת השרון 7נתינות: ישראלית חברותו בועדות דירקטוריון: לא דח"צ: לא דירקטור בלתי תלוי: לא בעל מיומנות חשבונאית ופיננסית: כן האם הוא עובד של התאגיד, חברה בת, חברה לא קשורה או של בעל עניין: תאריך שבו החלה כהונתו כדירקטור בתאגיד: 1981 כלכלה BA ; מנהל עסקים אוניברסיטת ת"א MBA : השכלה אוניברסיטת ירושלים. עיסוקו בחמש השנים האחרונות ותאגידים נוספים בהם הוא מכהן כדירקטור: מנכ"ל אסם אינטרנשיונל פודס בע"מ, מנכ"ל נסטלה פורינה. דירקטור בחברות משפחתיות, חברות בנות מקבוצת אסם, ,OSEM USA ויתניה בע"מ, יו"ר לוריאל ישראל בע"מ, יו"ר יו"ר סיקלטק בע"מ, גאון החזקות. ,OSEM UK יו"ר האם הוא בן משפחה של בעל ענין אחר בתאגיד: כן, אחיו של דן פרופר.
  • 202.
    17 3) אברהםפינקלשטיין ) 06235857 מספר ת.ז.: 1943 שנת לידה: מענו: רח' שמידמן ב', בני ברק 9נתינות: ישראלית חברותו בועדות דירקטוריון: לא דח"צ: לא דירקטור בלתי תלוי: לא בעל מיומנות חשבונאית ופיננסית: לא האם הוא עובד של התאגיד, חברה בת, חברה לא. קשורה או של בעל עניין: תאריך שבו החלה כהונתו כדירקטור בתאגיד: 1987 Jewish Technological חינוך ומינהל, אוניברסיטת MA : השכלה מינהל עסקים, אוניברסיטת לונג איילנד. ;(JTS) Seminar עיסוקו בחמש השנים האחרונות ותאגידים נוספים בהם הוא מכהן כדירקטור: סמנכ"ל משאבי אנוש עד מרץ 2009 וסמנכ"ל למינהל בתאגיד עד אפריל 2010 . עוסק במתן שירותים, לתאגיד ולקבוצת אסם לענייני כשרות וייעוץ בענייני יחסי עבודה. דירקטור בחברות משפחתיות, חברות בנות מקבוצת אסם, בנק מסד בע"מ, חברת הליבו-מכונים לאבחון בע"מ, דח"צ בחברת ביטוח איילון, חבר הנאמנים במכללת תלפיות, דח"צ ב"מגן זהב" קרן פנסיה, דח"צ ב"פסגה" – קרן לניהול פנסיה. האם הוא בן משפחה של בעל עניין אחר בתאגיד: לא 4) יצחק ירקוני ) 007845795 מספר ת.ז.: 1944 שנת לידה: מענו: בן ציון ישראלי 2, גבעתיים נתינות: ישראלית חברותו בועדות דירקטוריון: לא דח"צ: לא דירקטור בלתי תלוי: לא בעל מיומנות חשבונאית ופיננסית: לא האם הוא עובד של התאגיד, חברה בת, חברה לא קשורה או של בעל עניין: תאריך שבו החלה כהונתו כדירקטור בתאגיד: 1987 השכלה: תיכונית עיסוקו בחמש השנים האחרונות ותאגידים נוספים בהם הוא מכהן כדירקטור: עיצוב גראפי ותקשורת חזותית. דירקטור בחברות משפחתיות. האם הוא בן משפחה של בעל עניין אחר בתאגיד: לא 5) אלי זהר ) 07073406 מספר ת.ז.: 1940 שנת לידה: מענו: רח' מגל , סביון 30 נתינות: ישראלית חברותו בועדות דירקטוריון: לא דח"צ: לא דירקטור בלתי תלוי: לא בעל מיומנות חשבונאית ופיננסית: לא. בעל כשירות מקצועית האם הוא עובד של התאגיד, חברה בת, חברה לא קשורה או של בעל עניין: תאריך שבו החלה כהונתו כדירקטור בתאגיד: 20/8/1996 אוניברסיטה העברית LL.B השכלה: תואר עיסוקו בחמש השנים האחרונות ותאגידים נוספים בהם הוא מכהן כדירקטור: עורך דין ויו"ר משרד עו"ד גולדפרב- זליגמן ושות', יו"ר תיאטרון גשר, יו"ר המועצה הישראלית לקולנוע. דירקטור בחברת סיינטיפיק אינווסטמנט. האם הוא בן משפחה של בעל עניין אחר בתאגיד: לא
  • 203.
    18 6) גביהייק ) מספר ת.ז.: 52058385 שנת לידה: 1954 מענו: רח' סמדר 32 א', שיכון ותיקים, רמת גן נתינות: ישראלית חברותו בועדות דירקטוריון: ועדת ביקורת, ועדה לבחינת הדוחות הכספיים של התאגיד, ועדת תגמול. דח"צ: לא דירקטור בלתי תלוי: לא בעל מיומנות חשבונאית ופיננסית: לא. בעל כשירות מקצועית. האם הוא עובד של התאגיד, חברה בת, חברה לא קשורה או של בעל עניין: תאריך שבו החלה כהונתו כדירקטור בתאגיד: 20/8/1996 משפטים, אוניברסיטת קנט, אנגליה. LL.B (honor) : השכלה עיסוקו בחמש השנים האחרונות ותאגידים נוספים בהם הוא מכהן כדירקטור: עריכת דין. דירקטור בחברות הבאות: קבוצת דוידוף בע"מ וחברות פרטיות בבעלות משפחתית. האם הוא בן משפחה של בעל עניין אחר בתאגיד: לא 7) ד"ר ליאורה מרידור ) מספר ת.ז.: 5173000 שנת לידה: 1947 מענו: בן מימון 17 , ירושלים נתינות: ישראלית חברותו בועדות דירקטוריון: ועדת ביקורת, ועדה לבחינת הדוחות הכספיים של התאגיד, ועדת תגמול. דח"צ: כן דח"צ מומחה: לא דירקטור בלתי תלוי: לא בעל מיומנות חשבונאית ופיננסית: כן האם הוא עובד של התאגיד, חברה בת, חברה לא קשורה או של בעל עניין: תאריך שבו החלה כהונתו כדירקטור בתאגיד: 5/11/2007 (ביום 3.9.2013 ) החליטה האסיפה הכללית למנות את ד"ר ליאורה מרידור לתקופת כהונה שלישית ונוספת בת 3 שנים כדירקטורית חיצונית בתאגיד, החל מתום תקופת כהונתה הסטטוטורית השניה קרי, ביום 5.11.2013 השכלה: תואר ראשון במתמטיקה ופיזיקה, אוניברסיטה עברית י-ם, תואר שני במתמטיקה, אוניברסיטה עברית י-ם, תואר דוקטור לכלכלה, אוניברסיטה עברית י-ם, פוסט דוקטורט .MIT בכלכלה עיסוקה בחמש השנים האחרונות ותאגידים נוספים בהם היא מכהנת כדירקטור: .( ייעוץ עיסקי ופיננסי - מרידור ניהול וייעוץ (משנת 2002 דירקטור בחברות הבאות: גילת מערכות לווייניות בע"מ, אלרוב (ישראל) בע"מ. האם הוא בן משפחה של בעל עניין אחר בתאגיד: לא
  • 204.
    19 8) יקיירושלמי ) מספר ת.ז.: 8494965 שנת לידה: 1942 מענו: כפר חוגלה, עמק חפר נתינות: ישראלית חברותו בועדות דירקטוריון: ועדת ביקורת, ועדה לבחינת הדוחות הכספיים של התאגיד, ועדת תגמול. דח"צ: כן דח"צ מומחה: לא דירקטור בלתי תלוי: לא בעל מיומנות חשבונאית ופיננסית: כן האם הוא עובד של התאגיד, חברה בת, חברה קשורה או של בעל עניין: לא תאריך שבו החלה כהונתו כדירקטור בתאגיד: 8/7/2008 ביום 5.7.2011 החליטה האסיפה הכללית למנות את מר יקי ירושלמי לתקופת כהונה נוספת בת 3 שנים כדירקטור חיצוני בתאגיד, החל מתום תקופת כהונתו הסטטוטורית הנוכחית, ביום 8.7.2011 ועד ליום 8.7.2014 השכלה: הנדסאי עיסוקו בחמש השנים האחרונות ותאגידים נוספים בהם הוא מכהן כדירקטור: יו"ר ומנכ"ל קבוצת מפעלי נייר אמריקאיים ישראליים בע"מ. דירקטור בחברות הבאות: ויולה ישראל, מדרשת רופין, אורמט טכנולוגיות, מדע טק חיפה, או פי סי רותם האם הוא בן משפחה של בעל עניין אחר בתאגיד: לא 9) יוסי אלשיך ) מספר ת.ז.: 007743933 שנת לידה: 1936 מענו: רח' יעקב מרידור מס' 19 תל אביב תל ברוך צפון נתינות: ישראלית חברותו בועדות דירקטוריון: ועדת ביקורת, ועדה לבחינת הדוחות הכספיים של התאגיד דח"צ: לא דח"צ מומחה: לא דירקטור בלתי תלוי: כן בעל מיומנות חשבונאית ופיננסית: כן האם הוא עובד של התאגיד, חברה בת, חברה לא קשורה או של בעל עניין: תאריך שבו החלה כהונתו כדירקטור בתאגיד: 16.10.2012 כלכלה ומגשר מוסמך. BA : השכלה עיסוקו בחמש השנים האחרונות ותאגידים נוספים בהם הוא מכהן כדירקטור: יועץ כלכלי ופיננסי ודירקטור בתעשיות לכיש בע"מ. דירקטור בחברות: וויטווטר בע"מ; יובנק בע"מ; שיכון ובינוי בע"מ; עתידים; מדרשת שדה בוקר; יו"ר ועדת השקעות ב"עמיתים" קרנות ופנסיה הוותיקות. האם הוא בן משפחה של בעל עניין אחר בתאגיד: לא
  • 205.
    20 Doreswamy (Nandu)(10) 2546827IND : מספר דרכון שנת לידה: 1958 Chemin de pomey 22A, 1800 Vevey : מענו INDIAN : נתינות חברותו בועדות דירקטוריון: לא דח"צ: לא דירקטור בלתי תלוי: לא בעל מיומנות חשבונאית ופיננסית: כן האם הוא עובד של התאגיד, חברה בת, חברה קשורה או של בעל עניין: כן, מנהל בנסטלה שוויץ, בעלת השליטה בתאגיד תאריך שבו החלה כהונתו כדירקטור בתאגיד: 1.11.2011 Electrical Engineering, Indian Institute of Technology, : השכלה Dehli; Post Graduate in Management, Indian Institute of Management Ahmedabad. עיסוקו בחמש השנים האחרונות ותאגידים נוספים בהם הוא מכהן כדירקטור: Global Business head of Infant Nutrition (2009); Deputy Executive Vice President Nestle S.A. Head of Nestle Nutrition (2010); and Executive Vice President as from 1st October 2011. Member of several Boards within the Nestle Group of companies. האם הוא בן משפחה של בעל עניין אחר בתאגיד: לא Richard Sykes (11) GBR 761323571 : מספר דרכון שנת לידה: 1957 מענו Chemin de L`Ecouralaz 4, 1803 Charodonne, Switzerland : נתינות: בריטית חברותו בועדות דירקטוריון: לא דח"צ: לא דירקטור בלתי תלוי: לא בעל מיומנות חשבונאית ופיננסית: לא. בעל כשירות מקצועית. האם הוא עובד של התאגיד, חברה בת, חברה כן, מנהל בנסטלה שוויץ, בעלת השליטה בתאגיד קשורה או של בעל עניין: תאריך שבו החלה כהונתו כדירקטור בתאגיד: 27/12/2001 BA (Hons) Law CNAA; LLM - London; BAR FINALS - : השכלה inns of court school of law. עיסוקו בחמש השנים האחרונות ותאגידים נוספים בהם הוא מכהן כדירקטור: General Counsel Zone AOA Nestle S.A., Switzerland (Since 2003); Member of several Boards within the Nestle Group of companies. האם הוא בן משפחה של בעל עניין אחר בתאגיד: לא
  • 206.
    21 Pierre Streit(12) X3448188 : מספר דרכון שנת לידה: 1953 מענו Ch. De la Plantaz 85 CH-1095 LUTRY Switzerland : נתינות: שוויצרית חברותו בועדות דירקטוריון: לא דח"צ: לא דירקטור בלתי תלוי: לא בעל מיומנות חשבונאית ופיננסית: כן האם הוא עובד של התאגיד, חברה בת, חברה כן, מנהל בנסטלה שוויץ, בעלת השליטה בתאגיד קשורה או של בעל עניין: תאריך שבו החלה כהונתו כדירקטור בתאגיד: 31/12/2008 BA in Business administration (University of Lausanne); : השכלה PED (IMD); MCR (IMD). עיסוקו בחמש השנים האחרונות ותאגידים נוספים בהם הוא מכהן כדירקטור: Controller Z-AOA (since Oct. 1st 2008); CFO Nestle Mexico (2004-2008), Member of several Boards within the Nestle Group of companies. האם הוא בן משפחה של בעל עניין אחר בתאגיד: לא Jean‐Daniel Luthi (13) 4220814X : מספר דרכון שנת לידה: 1945 Chemin du Miroir 10, CH-1090 La Croix (Lutry) VD, : מענו Switzerland נתינות: שוויצרית חברותו בועדות דירקטוריון: לא דח"צ: לא דירקטור בלתי תלוי: לא בעל מיומנות חשבונאית ופיננסית: כן האם הוא עובד של התאגיד, חברה בת, חברה קשורה או של בעל עניין: מנהל לשעבר בנסטלה שוויץ, בעלת השליטה בתאגיד. תאריך שבו החלה כהונתו כדירקטור בתאגיד: 28/12/2000 High Commercial School Lausanne Switzerland : השכלה IMD Lausanne Switzerland. עיסוקו בחמש השנים האחרונות ותאגידים נוספים בהם הוא מכהן כדירקטור: 2007-2008 – Nestle S.A. Special Projects. Board Memberships:Supervisory Board Member for PT Nestle Indonesia. האם הוא בן משפחה של בעל עניין אחר בתאגיד: לא Roger Stettler (14) X3412372 : מספר דרכון שנת לידה: 1957 מענו Chemin de Bellevue 7, 1026 Echandens, Switzerland : נתינות: שוויצרית חברותו בועדות דירקטוריון: לא דח"צ: לא דירקטור בלתי תלוי: לא בעל מיומנות חשבונאית ופיננסית: כן האם הוא עובד של התאגיד, חברה בת, חברה כן, מנהל בנסטלה שוויץ, בעלת השליטה בתאגיד. קשורה או של בעל עניין:
  • 207.
    תאריך שבו החלהכהונתו כדירקטור בתאגיד: 26/4/2010 CH Diploma, Commercial and Administration, : השכלה Professional School, Ecole Superior de commerce, Lausanne, Core Leadership Programme in London. עיסוקו בחמש השנים האחרונות ותאגידים נוספים בהם הוא מכהן כדירקטור: 2008-2010 - Senior Vice President Head of Group Control. 2010 - Vice President Regional Management Zone Asia- Oceania-Africa. Member of several Boards within the Nestle Group of companies. 22 האם הוא בן משפחה של בעל עניין אחר בתאגיד: לא תקנה 26 א: נושאי משרה בכירה של התאגיד להלן נושאי המשרה הבכירה של התאגיד נכון לתאריך הדו"ח: 1) איציק צאיג ) מספר ת.ז.: 53228839 שנת לידה: 1956 . התפקיד בתאגיד: מנכ"ל התאגיד החל מיום 2.4.2012 התפקיד שהוא ממלא בחברה בת של התאגיד או בבעל ענין בו: דירקטור בחברות בנות של התאגיד. האם הוא בן משפחה של נושא משרה בכירה אחר או של בעל עניין: לא האם הוא בעל ענין בתאגיד: לא השכלה: מוסמך מינהל עסקים אוניברסיטת ת"א. ניסיונו ועיסוקו בחמש השנים האחרונות: משנה למנכ"ל ומנכ"ל חטיבת אסם ישראל; 2008-2011 - מנכ"ל נסטלה ניו-זילנד; 2005-2008 - מנכ"ל קבוצת אסם סחר. תאריך תחילת כהונתו כמנכ"ל התאגיד: 2.4.2012 2) עמרי לוטן ) 056223779 מספר ת.ז.: 1960 שנת לידה: התפקיד בתאגיד: משנה למנהל כללי, מנכ"ל חטיבת מזון מוכן. התפקיד שהוא ממלא בחברה בת של התאגיד או דירקטור בחברות בנות מקבוצת אסם בבעל ענין בו: האם הוא בן משפחה של נושא משרה בכירה אחר או של בעל עניין: לא האם הוא בעל ענין בתאגיד: לא מדעי המדינה/פסיכולוגיה, אוניברסיטת ת"א. B.A : השכלה רוטרדם. 'Erasmus מינהל עסקים, אוניברסיטת M.A ניסיונו ועיסוקו בחמש השנים האחרונות: מנכ"ל טבעול, מנכ"ל פלסטרו. דירקטור בחברות בנות מקבוצת אסם. תאריך תחילה וסיום כהונתו: החל מיום 1.2.2008 ועד ליום 1.2.2014
  • 208.
    23 3) פנחסקימלמן ) 056812571 מספר ת.ז.: 1961 שנת לידה: התפקיד בתאגיד: משנה למנכ"ל לכספים ואחראי על ניהול סיכונים. התפקיד שהוא ממלא בחברה בת של התאגיד או דירקטור בחברות בנות מקבוצת אסם. בבעל ענין בו: האם הוא בן משפחה של נושא משרה בכירה אחר או של בעל עניין: לא האם הוא בעל ענין בתאגיד: לא בחשבונאות וכלכלה, B.A , השכלה: רואה חשבון האוניברסיטה העברית. מינהל עסקים אוניברסיטת בר-אילן. M.A ניסיונו ועיסוקו בחמש השנים האחרונות: משנה למנכ"ל לכספים באסם, יו"ר פורום סמנכ"לי כספים בהתאחדות התעשיינים, חבר מועצה במוסד הישראלי לתקינה חשבונאית, חבר הנהלה בקרן הדדית של המעסיקים מטעם התאחדות התעשיינים; חבר בוועד הפועל של איגוד החברות הציבוריות תאריך תחילת כהונתו: 1998 4) מאיר אימבר ) מספר ת.ז.: 52637220 שנת לידה: 1954 התפקיד בתאגיד: משנה מנכ"ל לתפעול. התפקיד שהוא ממלא בחברה בת של התאגיד או בבעל ענין בו: דירקטור בחברות בנות מקבוצת אסם. האם הוא בן משפחה של נושא משרה בכירה אחר או של בעל עניין: לא האם הוא בעל ענין בתאגיד: לא מהנדס תעשיה וניהול, טכניון חיפה. BSc : השכלה אנגליה. Brunel מנהל עסקים, אוניברסיטת MBA ניסיונו ועיסוקו בחמש השנים האחרונות: משנה למנכ"ל לתפעול בתאגיד. תאריך תחילת כהונתו: 1.1.2004 5) דודי מנביץ ) 54099775 מספר ת.ז.: 1956 שנת לידה: התפקיד בתאגיד: משנה למנכ"ל לפיתוח עסקי וניהול פרויקטים. התפקיד שהוא ממלא בחברה בת של התאגיד או דירקטור בחברות בנות מקבוצת אסם. בבעל ענין בו: האם הוא בן משפחה של נושא משרה בכירה אחר או של בעל עניין: לא האם הוא בעל ענין בתאגיד: לא השכלה: בוגר כלכלה ומנהל עסקים אוניברסיטת בר-אילן. ניסיונו ועיסוקו בחמש השנים האחרונות: מנכ"ל סלטי צבר, מנכ"ל קבוצת אסם סחר. . תאריך תחילה וסיום כהונתו: 15.7.2008 ועד ליום 22.9.2013
  • 209.
    24 6) עופרגרין ) מספר ת.ז.: 057081887 שנת לידה: 1961 התפקיד בתאגיד: מנכ"ל קבוצת אסם סחר; במרץ 2013 ולאחר מועד הדוח מונה מר עופר גרין למשנה למנכ"ל קבוצת אסם. התפקיד שהוא ממלא בחברה בת של התאגיד או בבעל ענין בו: דירקטור במטרנה החזקות בע"מ האם הוא בן משפחה של נושא משרה בכירה אחר או של בעל עניין: לא האם הוא בעל ענין בתאגיד: לא השכלה: בוגר לימודים כלליים, אוניברסיטת אובורן, אלבמה, ארה"ב; מוסמך מינהל עסקים, אוניברסיטת בן גוריון/בוסטון. ניסיונו ועיסוקו בחמש השנים האחרונות: מנכ"ל ישראייר; מנהל יחידה עסקית שופרסל בקבוצת אסם סחר. תאריך תחילת כהונתו: 15.3.2011 7) רני שגיב ) מספר ת.ז.: 052343928 שנת לידה: 1954 התפקיד בתאגיד: סמנכ"ל שרשרת אספקה התפקיד שהוא ממלא בחברה בת של התאגיד או לא בבעל ענין בו: האם הוא בן משפחה של נושא משרה בכירה אחר או של בעל עניין: לא האם הוא בעל ענין בתאגיד: לא השכלה: מוסמך מינהל עסקים, האוניברסיטה העברית. ניסיונו ועיסוקו בחמש השנים האחרונות: סמנכ"ל שרשרת אספקה בתאגיד. תאריך תחילת כהונתו: 2.1.2005 8) ברק שטרוזברג ) מספר ת.ז.: 029504487 שנת לידה: 1972 התפקיד בתאגיד: סמנכ"ל משאבי אנוש. התפקיד שהוא ממלא בחברה בת של התאגיד או לא בבעל ענין בו: האם הוא בן משפחה של נושא משרה בכירה אחר או של בעל עניין: לא האם הוא בעל ענין בתאגיד: לא במדע המדינה באוניברסיטה עברית; BA : השכלה חשבונאות, בי"ס למנהל עסקים; BA במדיניות ציבורית, אונ' עברית. MBA ניסיונו ועיסוקו בחמש השנים האחרונות: סגן הממונה על השכר במשרד האוצר. תאריך תחילת כהונתו: 1.1.2013
  • 210.
    25 9) אוריבן שי ) מספר ת.ז.: 029480951 1972 שנת לידה: התפקיד בתאגיד: מנכ"ל תחומי החטיפים, מאפה, משקאות ודגני בוקר. התפקיד שהוא ממלא בחברה בת של התאגיד או לא בבעל ענין בו: האם הוא בן משפחה של נושא משרה בכירה אחר או של בעל עניין: לא האם הוא בעל ענין בתאגיד: לא ניהול ומדעי המחשב, אוניברסיטת ת"א. BA : השכלה ניסיונה ועיסוקה בחמש השנים האחרונות: משנה למנכ"ל ומנהל החטיבה העסקית של פרוקטר & גמבל ישראל. מנכ"ל חטיבת הבריאות של פרוקטר & גמבל באירופה, המזרח התיכון ואפריקה. תאריך תחילת כהונתו: 15.10.2012 10 ) איילת ליפשיץ ) מספר ת.ז.: 57981417 שנת לידה: 1962 התפקיד בתאגיד: סמנכ"ל שיווק ופיתוח עסקי. בנוסף, מיום 15.8.2012 מנהלת פעילות דגני בוקר. התפקיד שהיא ממלאת בחברה בת של התאגיד או בבעל ענין בו: לא האם היא בת משפחה של נושא משרה בכירה אחר או של בעל עניין: לא האם היא בעלת ענין בתאגיד: לא מדעי החברה, אוניברסיטת תל אביב. B.A : השכלה תקשורת ומינהל עסקים, אוניברסיטת ירושלים. MBA ניסיונה ועיסוקה בחמש השנים האחרונות: סמנכ"ל שווק ופיתוח עסקי בקבוצת אסם ומנהלת BBDO פעילות דגני בוקר בתאגיד. מנכ"לית בחברת .CONSULTING תאריך תחילת כהונתה: 15.6.2009 11 ) אילנה כחלון ) מספר ת.ז.: 54009667 שנת לידה: 1956 התפקיד בתאגיד: מבקרת פנים התפקיד שהיא ממלאת בחברה בת של התאגיד או בבעל ענין בו: מבקרת פנימית של התאגיד ותאגידים בשליטתו של התאגיד. האם היא בת משפחה של נושא משרה בכירה אחר או של בעל עניין: לא האם היא בעלת ענין בתאגיד: לא השכלה: רואת חשבון, בוגרת כלכלה וראיית חשבון באוניברסיטת בר- אילן. ניסיונה ועיסוקה בחמש השנים האחרונות: מבקרת פנים בתאגיד תאריך תחילת כהונתה: 1.3.2008
  • 211.
    26 12 )יריב ארדון ) מספר ת.ז.: 022302871 1966 שנת לידה: התפקיד בתאגיד: מנהל התחום המקצועי (צריכה מחוץ לבית) התפקיד שהוא ממלא בחברה בת של התאגיד או לא בבעל ענין בו: האם הוא בן משפחה של נושא משרה בכירה אחר או של בעל עניין: לא האם הוא בעל ענין בתאגיד: לא השכלה: בוגר כלכלה חקלאית בפקולטה לחקלאות של האוניברסיטה העברית. ניסיונו ועיסוקו בחמש השנים האחרונות: מנהל חטיבת המכירות בחוגלה קימברלי, מנהל חטיבת הפרסונל קייר בחוגלה קימברלי, מנהל חטיבת מוצרי הצריכה בחוגלה קימברלי ומשנה למנכ"ל בטמפו משקאות. תאריך תחילת כהונתו: 2.1.2011 13 ) זאב קלימי ) מספר ת.ז.: 56076888 שנת לידה: 1959 . 2009 התפקיד בתאגיד: מנכ"ל נגה גלידות שותפות מוגבלת מינואר התפקיד שהוא ממלא בחברה בת של התאגיד או לא בבעל ענין בו: האם הוא בן משפחה של נושא משרה בכירה אחר או של בעל עניין: לא האם הוא בעל ענין בתאגיד: לא השכלה: הנדסאי תעשיה וניהול, מדרשת רופין; מינהל עסקים, אוניברסיטת דרבי. BA מינהל עסקים, אוניברסיטה עברית. MBA ניסיונו ועיסוקו בחמש השנים האחרונות: מנכ"ל נגה גלידות שותפות מוגבלת, מנכ"ל חברת הסחר של קוקה קולה, מנכ"ל טרה. תאריך תחילת כהונתו: 15.3.2011 14 ) חגית אדלר ) מספר ת.ז.: 023099377 שנת לידה: 1968 התפקיד בחברה: מנכ"ל בונז'ור התפקיד שהיא ממלאת בחברה בת של התאגיד או בבעל ענין בו: דירקטור בחברה בת של התאגיד. האם היא בת משפחה של נושא משרה בכירה אחר או של בעל עניין: לא האם היא בעלת ענין בתאגיד: לא מדעי החיים, אוניברסיטת תל אביב; B.A : השכלה מינהל מערכות בריאות, אוניברסיטת תל אביב. M.H.A ניסיונה ועיסוקה בחמש השנים האחרונות: מנהלת חטיבת מאפה ומשקאות, דירקטור בחברה בת של התאגיד. תאריך תחילת כהונתה: 1.1.2013
  • 212.
    27 15 )איילת רוזן ) מספר ת.ז.: 69644110 שנת לידה: 1967 התפקיד בחברה: מנכ"לית חטיבת חדשנות. התפקיד שהיא ממלאת בחברה בת של התאגיד או לא בבעל ענין בו: האם היא בת משפחה של נושא משרה בכירה אחר או של בעל עניין: לא האם היא בעלת ענין בתאגיד: לא מינהל עסקים במכללה למינהל. M.A : השכלה ניסיונה ועיסוקה בחמש השנים האחרונות: מנהלת חטיבת חטיפים בתאגיד. תאריך תחילה וסיום כהונה: 1.1.2013 עד ליום 5.12.2013 16 ) ציפי המר ) מספר ת.ז.: 24415903 שנת לידה: 1969 התפקיד בחברה: מנהלת יחידת עסקים חדשים בתאגיד התפקיד שהיא ממלאת בחברה בת של התאגיד או לא בבעל ענין בו: האם היא בת משפחה של נושא משרה בכירה אחר או של בעל עניין: לא האם היא בעלת ענין בתאגיד: לא מינהל עסקים אוניברסיטה העברית MBA : השכלה ניסיונה ועיסוקה בחמש השנים האחרונות: מנהלת שווק מאפה בתאגיד; מנהלת תחום עסקי מטבח ובית חברת חוגלה קימברלי. תאריך תחילה כהונתה: 1.3.2014 17 ) זהבה מרטינוביץ ) מספר ת.ז.: 54656673 שנת לידה: 1956 התפקיד בחברה: מנהלת חטיבה קולינארית. התפקיד שהיא ממלאת בחברה בת של התאגיד או לא בבעל ענין בו: האם היא בת משפחה של נושא משרה בכירה אחר או של בעל עניין: לא האם היא בעלת ענין בתאגיד: לא אוניברסיטת ת"א. MBA : השכלה ניסיונה ועיסוקה בחמש השנים האחרונות: מנהלת שיווק חטיפים, מנהלת פעילות דגני בוקר באסם. תאריך תחילת כהונתה: 1.1.2013 18 ) נילי צור ) מספר ת.ז.: 22864615 שנת לידה: 1967 התפקיד בחברה: מנכ"ל חטיבת הפעילות הבינלאומיות התפקיד שהיא ממלאת בחברה בת של התאגיד או לא בבעל ענין בו: האם היא בת משפחה של נושא משרה בכירה אחר או של בעל עניין: לא האם היא בעלת ענין בתאגיד: לא כלכלה ומנהל עסקים אוניברסיטת תל אביב MBA : השכלה ניסיונה ועיסוקה בחמש השנים האחרונות: מנכ"לית חטיבת החטיפים ודגני בוקר בתאגיד, מנכ"לית סלטי צבר, מנכ"לית חטיבת המשקאות בנסטלה הודו) תאריך תחילת כהונה: 1.2.2014
  • 213.
    28 תקנה 26ב: מורשי חתימה עצמאיים של התאגיד למועד הדו"ח אין בתאגיד מורשי חתימה עצמאיים. תקנה 27 : רואה החשבון של התאגיד שם רואה החשבון: סומך חייקין - רואי חשבון מען משרדו: רח' הארבעה 17 , תל אביב. תקנה 28 : שינוי בתזכיר או בתקנון בתקופת הדוח לא חלו שינויים בתזכיר ובתקנון של התאגיד. תקנה 29 (א): המלצות והחלטות הדירקטורים ביום 9.6.2013 החליט דירקטוריון התאגיד לחלק לבעלי מניות התאגיד דיבידנד בסכום של 150 מיליון ש"ח. הדיבידנד חולק ביום 2.7.2013 . לפרטים נוספים ראו דוח מיידי של התאגיד מיום 9.6.2013 (מס' אסמכתא 2013- 01-059823 ) אשר הפרטים הכלולים בו מובאים בזאת על דרך ההפניה. תקנה 29 (ב): החלטות אסיפה כללית שנתקבלו שלא בהתאם להמלצות הדירקטוריון -- תקנה 29 (ג): החלטות אסיפה כללית מיוחדת 1. החלטת אסיפה כללית מיום 30.4.2013 א. אישור תשלום מענק שנתי למנכ"ל החברה, מר איציק צאיג בגין שנת 2012 - הוחלט לאשר מתן מענק כספי למנכ"ל החברה, מר איציק צאיג בסך של 568,882 ש"ח בגין שנת 2012 , כמפורט בדוח זימון האסיפה .( שפרסמה החברה ביום 19.3.2013 (מס' אסמכתא 2013-01-011017 ב. אישור המשך התקשרות ועדכון תנאי ההתקשרות עם הדירקטור (מר אברהם פינקלשטיין) בגין שירותיו כיועץ לנושאי כשרות ויחסי עבודה - הוחלט לאשר את המשך ההתקשרות ועדכון תנאי ההתקשרות עם הדירקטור מר אברהם פינקלשטיין בגין שירותיו כיועץ לחברה, כמפורט בדוח זימון האסיפה שפרסמה .( החברה ביום 19.3.2013 (מס' אסמכתא 2013-01-011017 2. החלטות אסיפה כללית מיום 9.7.2013 א. הקצאת אופציות "פאנטום" למנכ"ל החברה, מר איציק צאיג, בגין שנת 2013 - הוחלט לאשר הקצאת אופציות פאנטום למר איציק צאיג בשווי 12 משכורות חודשיות (היינו שווי של 1,565,052 ₪), בהתאם לתוכנית האופציות של החברה משנת 2011 , כמפורט בדוח זימון האסיפה שפרסמה החברה ביום 26.5.2013 .( (מס' אסמכתא 2013-01-071026 ₪ ב. תשלום פיצוי חד פעמי למר איציק צאיג, בגין שנת 2011 - הוחלט לאשר פיצוי חד פעמי בסך של 540,000 למר איציק צאיג לכיסוי חלקי של הוצאות, עלויות והפסדים שנגרמו לו ולבני משפחתו מחמת סיומה המוקדם של העסקתו כמנכ"ל תאגיד נסטלה בניו- זילנד (לבקשת החברה) ושובו ארצה לטובת העסקתו .( בחברה, כמפורט בדוח זימון האסיפה שפרסמה החברה ביום 26.5.2013 (מס' אסמכתא 2013-01-071026
  • 214.
    29 3. החלטותאסיפה כללית מיום 3.9.2013 א. אישור מדיניות תגמול לנושאי המשרה בחברה - הוחלט לאשר את מדיניות התגמול לנושאי המשרה בחברה כמפורט בנספח א' לדוח זימון האסיפה שפרסמה החברה ביום 29 ביולי 2013 (מס' אסמכתא 2013-01- .(103278 ב. מינוי מחדש של ד"ר ליאורה מרידור כדירקטורית חיצונית בחברה לתקופת כהונה נוספת (שלישית) - הוחלט למנות את ד"ר ליאורה מרידור לתקופת כהונה נוספת (שלישית) כדירקטורית חיצונית בחברה, החל . מתום תקופת כהונתה הסטטוטורית השניה, קרי, החל מיום 5 בנובמבר 2013 ד"ר ליאורה מרידור תמשיך להיות זכאית לאותם התנאים המוענקים לדירקטורים חיצוניים בחברה בהתאם להחלטות החברה, כמפורט בדוח זימון האסיפה שפרסמה החברה ביום 29.7.2013 (מס' .( אסמכתא 2013-01-103278 תקנה 29 א: החלטות התאגיד לפרטים אודות החלטות התאגיד בדבר ביטוח לנושאי משרה ראו תקנה 22 לפרק זה. שמות החותמים: תפקידם: תאריך: 1) דן פרופר יו"ר דירקטוריון ______________ ) 2) איציק צאיג מנכ"ל ______________ )
  • 215.
    שאלון ממשל תאגידי 1 במסגרת שאלון זה תשומת לב כי - 1) השאלון ערוך במתכונת שבה תשובה "נכון" לגבי כל אחת מן השאלות מהווה אינדיקציה חיובית לקיומו של ממשל תאגידי תקין, ולהיפך. תשובה "נכון" תסומן במשבצת הרלוונטית באמצעות –√ ותשובה "לא ) למען הסר ספק יובהר כי השאלון אינו בא למצות את כל היבטי הממשל התאגידי הרלוונטיים לתאגיד, אלא עוסק במספר היבטים בלבד; לצורך קבלת מידע נוסף (ולפי העניין), יש ;X - נכון" תסומן באמצעות לעיין בדיווחים השוטפים של התאגיד. 31.12 . שקדמו למועד פרסום הדוח התקופתי; אלא אם נאמר במפורש אחרת; .xx 1.1 ועד ליום .xx 2) "שנת הדיווח" משמעה מיום ) 3) לצד כל שאלה מצוינת המסגרת הנורמטיבית. במקרה שהשאלה מתייחסת להוראת חובה מצוין הדבר במפורש; ) 4) במקרה שתאגיד מבקש להוסיף מידע העשוי להיות חשוב למשקיע סביר בקשר עם תשובותיו בשאלון, יוכל לעשות כן במסגרת הערות סיום לשאלון, תוך הפניה מן השאלה הרלוונטית. ) עצמאות הדירקטוריון נכון לא נכון מסגרת נורמטיבית 1. בכל שנת הדיווח כיהנו בתאגיד שני דירקטורים חיצוניים או יותר. בשאלה זו ניתן לענות "נכון" אם תקופת הזמן בה לא כיהנו שני דירקטורים חיצוניים אינה עולה על 90 ימים, כאמור בסעיף 363 א.(ב)( 10 ) לחוק החברות, ואולם בכל תשובה שהיא (נכון/לא נכון) תצוין תקופת הזמן (בימים) בה לא כיהנו בתאגיד שני דירקטורים חיצוניים או יותר בשנת הדיווח (ובכלל זה גם תקופת כהונה שאושרה בדיעבד, תוך הפרדה בין הדירקטורים החיצונים השונים): דירקטור א': ליאורה מרידור. דירקטור ב': יקי ירושלמי. . מספר הדירקטורים החיצוניים המכהנים בתאגיד נכון למועד פרסום שאלון זה: 2 √ הוראת חובה סעיף 239 לחוק החברות .2 א. . מספר הדירקטורים הבלתי תלויים 1 המכהנים בתאגיד נכון למועד פרסום שאלון זה: 1 _____ _____ חוק החברות - סעיף 1 1 למעט "דירקטור חיצוני" כהגדרתו, בחוק החברות.
  • 216.
    2 ב. נכוןלמועד פרסום שאלון זה- - בתאגיד שיש בו בעל שליטה או מי שמחזיק בדבוקת שליטה (בסעיף זה - בעל שליטה) - שליש מבין חברי הדירקטוריון, לפחות, בלתי תלויים. - בתאגיד שאין בו בעל שליטה- רוב חברי הדירקטוריון בלתי תלויים. X לתוספת הראשונה (הוראות ממשל תאגידי מומלצות), ותקנה 10 (ב)( 9א) ו 48- (ג)( 9א) לתקנות הדוחות ג. התאגיד קבע בתקנון כי יכהן בו שיעור 2 /מספר מינימאלי של דירקטורים בלתי תלויים. אם תשובתכם הינה "נכון" יצוין- שיעור/מספר הדירקטורים הבלתי תלויים שנקבע בתקנון: _____. התאגיד עמד בפועל בהוראת התקנון בשנת הדיווח (לענין כהונת דירקטורים בלתי תלויים): כן לא במשבצת המתאימה). x (יש לסמן X 3. בשנת הדיווח נערכה בדיקה עם הדירקטורים החיצוניים (והדירקטורים הבלתי תלויים) ונמצא כי הם קיימו בשנת הדיווח את הוראת סעיף 240 (ב) ו- (ו) לחוק החברות לעניין היעדר זיקה של הדירקטורים החיצוניים (והבלתי תלויים) המכהנים בתאגיד וכן מתקיימים בהם התנאים הנדרשים לכהונה כדירקטור חיצוני (או בלתי תלוי). אם תשובתכם הינה נכון - יצוין הגורם שערך את הבדיקה האמורה: יועץ משפטי. √ 245 א. , סעיפים 240 (ב), 241 ו- 246 לחוק החברות 4. כל הדירקטורים אשר כיהנו בתאגיד במהלך שנת הדיווח, אינם כפופים 3 למנהל הכללי, במישרין או בעקיפין (למעט דירקטור שהוא נציג עובדים, אם קיימת בתאגיד נציגות לעובדים). אם תשובתכם הינה לא נכון (קרי, הדירקטור כפוף למנהל הכללי כאמור) - יצוין מספר הדירקטורים שלא עמדו . במגבלה האמורה: 0 √ חוק החברות - סעיף 3 לתוספת הראשונה (הוראות ממשל תאגידי מומלצות) . 2 בשאלון זה שיעור- מספר מסוים מתוך כל הדירקטורים. כך, לדוגמה, בתאגיד בו נקבע שיעור של שליש דירקטורים בלתי תלויים יצוין 1/3 3 לעניין שאלה זו - עצם כהונה כדירקטור בתאגיד מוחזק הנמצא בשליטת התאגיד, לא ייחשב ככפיפות, מאידך, כהונת דירקטור בתאגיד המכהן כנושא משרה (למעט דירקטור) ו/או עובד בתאגיד המוחזק שבשליטת התאגיד ייחשב ככפיפות לעניין שאלה זו.
  • 217.
    3 .5 כלהדירקטורים שהודיעו על קיומו של ענין אישי שלהם באישור עסקה שעל סדר יומה של הישיבה, לא נכחו בדיון ולא השתתפו בהצבעה כאמור (למעט דיון ו/או הצבעה בנסיבות המתקיימות לפי סעיף 278 (ב) לחוק החברות): אם תשובתכם הינה לא נכון – לא כן א. האם היה זה לשם הצגת נושא מסויים על ידו בהתאם להוראות סעיף 278 (א) סיפה: ב. יצוין שיעור הישיבות בהם דירקטורים כאמור נכחו בדיון ו/או השתתפו בהצבעה למעט בנסיבות כאמור בסק א.: ._____ √ הוראת חובה סעיף 278 לחוק החברות 6. בעל השליטה (לרבות קרובו ו/או מי מטעמו), שאינו דירקטור או נושא משרה בכירה אחר בתאגיד, לא נכח בישיבות הדירקטוריון שהתקיימו בשנת הדיווח. אם תשובתכם הינה לא נכון (קרי, בעל שליטה ו/או קרובו ו/או מי מטעמו שאינו חבר דירקטוריון ו/או נושא משרה בכירה בתאגיד נכח בישיבות הדירקטוריון כאמור) – יצוינו הפרטים הבאים לגבי נוכחות האדם הנוסף בישיבות הדירקטוריון כאמור: זהות: _____. תפקיד בתאגיד (ככל וקיים): _____. פירוט הזיקה לבעל השליטה (אם מי שנכח אינו בעל השליטה עצמו): _____. לא כן האם היה זה לשם הצגת נושא מסוים על ידו: במשבצת המתאימה) x (יש לסמן שיעור נוכחותו 4 בישיבות הדירקטוריון שהתקיימו בשנת הדיווח: _____. לשם הצגת נושא מסויים על ידו:_______, נוכחות אחרת: ________ - לא רלוונטי (בתאגיד אין בעל שליטה). √ סעיף 106 לחוק החברות 4 תוך הפרדה בין בעל השליטה לקרובו ו/או מי מטעמו
  • 218.
    4 כשירות וכישוריהדירקטורים נכון לא נכון מסגרת נורמטיבית 7. בתקנון התאגיד לא קיימת הוראה המגבילה את האפשרות לסיים מיידית את כהונתם של כלל הדירקטורים בתאגיד, שאינם דירקטורים חיצוניים (לעניין זה – קביעה ברוב רגיל אינה נחשבת מגבלה). אם תשובתכם הינה לא נכון (קרי, קיימת מגבלה כאמור) יצוין – √ סעיפים 85 ו- 222 לחוק החברות, סעיף 46 ב. לחוק ניירות ערך א. פרק הזמן שנקבע בתקנון לכהונת דירקטור: ___________. ב. הרוב הדרוש שנקבע בתקנון לסיום כהונתם של הדירקטורים: _____________. ג. מנין חוקי שנקבע בתקנון באסיפה הכללית לשם סיום כהונתם של הדירקטורים: __________________. ד. הרוב הדרוש לשינוי הוראות אלו בתקנון: ____________________. 8. כל הדירקטורים שכיהנו בתאגיד במהלך שנת הדיווח הצהירו עובר למועד זימון האסיפה הכללית שעל סדר יומה היה מינוים (לרבות מינויים מחדש), כי יש להם הכישורים הדרושים (תוך פירוטם) והיכולת להקדיש את הזמן הראוי לשם ביצוע תפקידם וכי לא מתקיימות לגביהם ההגבלות האמורות בסעיפים 226 ו- 227 לחוק החברות, ולעניין דירקטור בלתי תלוי מתקיים בהם גם האמור בפסקאות ( 1) ו-( 2) להגדרה דירקטור בלתי תלוי שבסעיף 1 לחוק החברות. אם תשובתכם הינה לא נכון - יצוינו שמות הדירקטורים שלא התקיים האמור לגביהם: _____. √ הוראת חובה סעיפים 224 א.ו- 224 ב. לחוק החברות 9. לתאגיד יש תוכנית הכשרה לדירקטורים חדשים, בתחום עסקי התאגיד ובתחום הדין החל על התאגיד והדירקטורים, וכן תכנית המשך להכשרת דירקטורים מכהנים, המותאמת, בין השאר, לתפקיד שהדירקטור ממלא בתאגיד. אם תשובתכם הינה נכון- יצוין האם התוכנית הופעלה בשנת הדיווח: לא כן במשבצת המתאימה) x (יש לסמן X חוק החברות - סעיף 4 (א) לתוספת הראשונה (הוראות ממשל תאגידי מומלצות)
  • 219.
    10 . יורהדירקטוריון (או אדם אחר שמינה הדירקטוריון) אחראי על הטמעת הוראות הממשל התאגידי החלות על התאגיד, ופעל לעדכון הדירקטורים בנושאים הקשורים בממשל תאגידי במהלך שנת הדיווח. אם הדירקטוריון מינה אדם אחר לתפקיד האחראי (חלף יור הדירקטוריון), נא ציינו את שמו ותפקידו: עוד אלברטו פסח, היועץ המשפטי ומזכיר החברה. 5 √ חוק החברות - סעיף 4 (ב) לתוספת הראשונה (הוראות ממשל תאגידי מומלצות) .11 א. בתאגיד נקבע מספר מזערי נדרש של דירקטורים בדירקטוריון שעליהם להיות בעלי מומחיות חשבונאית ופיננסית. √ . אם תשובתכם הינה נכון - יצוין המספר המזערי שנקבע: 2 הוראת חובה סעיף 92 (א)( 12 ) לחוק החברות ב. בכל שנת הדיווח כיהנו בתאגיד, בנוסף לדירקטור החיצוני בעל המומחיות החשבונאית ופיננסית, דירקטורים נוספים בעלי מומחיות חשבונאית ופיננסית במספר שאותו קבע הדירקטוריון. בשאלה זו ניתן לענות נכון אם תקופת הזמן בה לא כיהנו דירקטורים נוספים בעלי מומחיות חשבונאית ופיננסית אינה עולה על 60 ימים, ואולם בכל תשובה שהיא (נכון/לא נכון) תצוין תקופת הזמן (בימים) בה לא כיהנו בתאגיד דירקטורים כאמור: _____. √ הוראת חובה סעיף 219 (ד) לחוק החברות ג. מספר הדירקטורים שכיהנו בתאגיד במהלך שנת הדיווח: . בעלי כשירות חשבונאית ופיננסית: 9 . בעלי כשירות מקצועית: 3 במקרה שהיו שינויים במספר הדירקטורים כאמור בשנת הדיווח, יינתן הנתון של המספר הנמוך ביותר (למעט בתקופת זמן של 60 ימים מקרות השינוי) של דירקטורים מכל סוג שכיהנו בשנת הדיווח. _____ _____ 219 (ד), ,( סעיפים 92 (א)( 12 240 (א 1) לחוק החברות, ( תקנה 10 (ב)( 9)(א) ו 48- (ג)( 9 לתקנות הדוחות .12 א. במועד מינוי דירקטור חיצוני בשנת הדיווח, קוימה הוראת סעיף 239 (ד) לחוק החברות לענין גיוון הרכב הדירקטוריון משני המינים. לא רלוונטי (לא מונה דירקטור חיצוני בשנת הדיווח) √ הוראת חובה סעיף 239 (ד) לחוק החברות ב. בכל שנת הדיווח כלל הרכב הדירקטוריון חברים משני המינים. אם תשובתכם הינה לא נכון - יצוין פרק הזמן (בימים) בו לא התקיים האמור: _____. בשאלה זו ניתן לענות נכון אם תקופת הזמן בה לא כיהנו דירקטורים משני המינים אינה עולה על 60 ימים, ואולם בכל תשובה שהיא (נכון/לא נכון) תצוין תקופת הזמן (בימים) בה לא כיהנו בתאגיד דירקטורים משני המינים: _____. √ חוק החברות - סעיף 2 לתוספת הראשונה (הוראות ממשל תאגידי מומלצות) ג. מספר הדירקטורים מכל מין המכהנים בדירקטוריון התאגיד נכון למועד פרסום שאלון זה: . גברים: 13 , נשים: 1 _____ _____
  • 220.
    6 ישיבות הדירקטוריון(וכינוס אסיפה כללית) נכון לא נכון מסגרת נורמטיבית .13 א. מספר ישיבות הדירקטוריון שהתקיימו במהלך כל רבעון בשנת הדיווח: .2 :( רבעון ראשון (שנת 2013 . רבעון שני: 1 . רבעון שלישי: 2 . רבעון רביעי: 1 _____ _____ 98 ו- 224 א. , סעיפים 97 לחוק החברות ב. לצד כל אחד משמות הדירקטורים שכיהנו בתאגיד במהלך שנת הדיווח, יצוין שיעור השתתפותו בישיבות הדירקטוריון (בסק זה - לרבות ישיבות ועדות הדירקטוריון בהן הוא חבר, וכמצוין להלן) שהתקיימו במהלך שנת הדיווח (ובהתייחס לתקופת כהונתו): (יש להוסיף שורות נוספות לפי מספר הדירקטורים _____ _____ שם הדירקטור שיעור השתתפותו בישיבות הדירקטוריון שיעור השתתפותו בישיבות ועדת ביקורת (לגבי דירקטור החבר בוועדה זו) שיעור השתתפותו בישיבות הועדה לבחינת הדוחות כספיים (לגבי דירקטור החבר בוועדה זו) שיעור השתתפותו בישיבות ועדות דירקטוריון נוספות בהן הוא חבר (תוך ציון שם הועדה) --- --- ---- דן פרופר 100% ---- ---- ---- גד פרופר 100% ----- ----- ---- יצחק ירקוני 100% ---- ---- ---- אברהם פינקלשטיין 100% ----- ---- ---- 100% Richard Sykes ----- ----- ----- 83% Jean Daniel Luthi ---- ----- ---- 100% Pierre Streit ---- ---- ---- 100% Roger Stettler ---- ---- ---- 33% Nandu Nandkishore
  • 221.
    ---- ---- ----אלי זהר 66% 85% (ועדת תגמול) 85% 100% גבי הייק 100% 100% (ועדת תגמול) 100% 100% יקי ירושלמי 100% 100% (ועדת תגמול) 100% 100% ליאורה מרידור 100% ------ 100% 100% יוסי אלשיך 100% 7 .14 בשנת הדיווח קיים הדירקטוריון דיון אחד לפחות לעניין ניהול עסקי התאגיד בידי המנהל הכללי ונושאי המשרה הכפופים לו, בלא נוכחותם, לאחר שניתנה להם הזדמנות להביע את עמדתם. √ חוק החברות - סעיף 5 לתוספת הראשונה (הוראות ממשל תאגידי מומלצות) .15 בשנת הדיווח כונסה אסיפה שנתית (ולא יאוחר מתום חמישה עשר חודשים לאחר האסיפה השנתית האחרונה). √ הוראת חובה סעיף 60 לחוק החברות הפרדה בין תפקידי המנהל הכללי ויושב ראש הדירקטוריון נכון לא נכון מסגרת נורמטיבית .16 בכל שנת הדיווח כיהן בתאגיד יור דירקטוריון. בשאלה זו ניתן לענות נכון אם תקופת הזמן בה לא כיהן בתאגיד יור דירקטוריון אינה עולה על 60 ימים כאמור בסעיף 363 א.( 2) לחוק החברות), ואולם בכל תשובה שהיא (נכון/לא נכון) תצוין תקופת הזמן (בימים) בה לא כיהן בתאגיד יור דירקטוריון כאמור: _____. √ הוראת חובה סעיף 94 (א) לחוק החברות .17 בכל שנת הדיווח כיהן בתאגיד מנהל כללי. בשאלה זו ניתן לענות נכון אם תקופת הזמן בה לא כיהן בתאגיד מנכל אינה עולה על 90 ימים כאמור בסעיף 363 א.( 6) לחוק החברות, ואולם בכל תשובה שהיא (נכון/לא נכון) תצוין תקופת הזמן (בימים) בה לא כיהן בתאגיד מנכל כאמור: _____. √ הוראת חובה סעיף 119 לחוק החברות
  • 222.
    18 . בתאגידבו מכהן יור הדירקטוריון גם כמנכל התאגיד ו/או מפעיל את סמכויותיו, כפל הכהונה אושר בהתאם להוראות סעיף 121 (ג) לחוק החברות. אם תשובתכם הינה נכון - נא הפנו לדיווח המיידי אודות האסיפה הכללית אשר אישרה את כפל הכהונה ו/או הפעלת הסמכויות כאמור: _____. 8 לא רלוונטי (ככל שלא מתקיים בתאגיד כפל כהונה כאמור). X ------ ------ הוראת חובה סעיפים 95 ו- 121 לחוק החברות .19 המנכל אינו קרוב של יור הדירקטוריון. אם תשובתכם הינה לא נכון (קרי, המנכל הנו קרוב של יור הדירקטוריון) – √ סעיפים 95 ו- 121 לחוק החברות א. תצוין הקרבה המשפחתית בין הצדדים: _____. _____ _____ ב. הכהונה אושרה בהתאם לסעיף 121 (ג) לחוק החברות: כן לא במשבצת המתאימה) x (יש לסמן _____ _____ .20 בעל שליטה או קרובו אינו מכהן כמנכל או כנושא משרה בכירה בתאגיד, למעט כדירקטור. לא רלוונטי (בתאגיד אין בעל שליטה). √ סעיף 106 לחוק החברות
  • 223.
    9 ועדת הביקורת נכון לא נכון מסגרת נורמטיבית .21 כל הדירקטורים החיצוניים היו חברים בועדת הביקורת במהלך שנת הדיווח. √ הוראת חובה סעיף 115 לחוק החברות .22 יור ועדת הביקורת הוא דירקטור חיצוני. √ הוראת חובה סעיף 115 לחוק החברות .23 בועדת הביקורת לא כיהן בשנת הדיווח - _____ _____ הוראת חובה סעיף 115 לחוק החברות א. בעל השליטה או קרובו. לא רלוונטי (בתאגיד אין בעל שליטה). √ ב. יור הדירקטוריון. √ ג. דירקטור המועסק על ידי התאגיד או על ידי בעל השליטה בתאגיד או בידי תאגיד בשליטתו. √ ד. דירקטור הנותן לתאגיד או לבעל השליטה בתאגיד או תאגיד בשליטתו שירותים דרך קבע. √ ה. דירקטור שעיקר פרנסתו על בעל השליטה. לא רלוונטי (בתאגיד אין בעל שליטה). √ .24 מי שאינו רשאי להיות חבר בוועדת ביקורת, ובכלל זה בעל שליטה או קרובו, לא נכח בשנת הדיווח בישיבות ועדת הביקורת, למעט בהתאם להוראות סעיף 115 (ה) לחוק החברות. √ הוראת חובה סעיף 115 (ה) לחוק החברות
  • 224.
    25 . מניןחוקי לדיון ולקבלת החלטות בכל ישיבות ועדת הביקורת שהתקיימו בשנת הדיווח היה רוב של חברי הועדה, כאשר רוב הנוכחים היו דירקטורים בלתי תלויים ואחד מהם לפחות היה דירקטור חיצוני. אם תשובתכם הינה לא נכון - יצוין שיעור הישיבות בהן לא התקיימה הדרישה כאמור : _____. 10 √ הוראת חובה סעיף 116 א. לחוק החברות .26 ועדת הביקורת קיימה בשנת הדיווח ישיבה אחת לפחות בנוכחות המבקר הפנימי ורואה החשבון המבקר, לפי העניין, ובלא נוכחות של נושאי משרה בתאגיד שאינם חברי הוועדה, לעניין ליקויים בניהול העסקי של התאגיד. √ הוראת חובה 1) לחוק החברות, ) סעיף 117 חוק החברות - סעיף 6 לתוספת הראשונה (הוראות ממשל תאגידי מומלצות) .27 בכל ישיבות ועדת הביקורת בה נכח מי שאינו רשאי להיות חבר הועדה, היה זה באישור יור הועדה ו/או לבקשת הועדה (לגבי היועץ המשפטי ומזכיר התאגיד שאינו בעל שליטה או קרובו). √ הוראת חובה סעיף 115 (ה) לחוק החברות תפקידי הועדה לבחינת הדוחות הכספיים (להלן - הועדה) בעבודתה המקדימה לאישור הדוחות הכספיים נכון לא נכון מסגרת נורמטיבית 28 . א. יצוין פרק הזמן (בימים) אותו קבע הדירקטוריון כזמן סביר להעברת המלצות הועדה לקראת ישיבת . הדירקטוריון בה יאושרו הדוחות התקופתיים או הרבעוניים: 3 _____ _____ הוראת חובה 3) לתקנות אישור הדוחות ) תקנה 2 הכספיים, ב. מספר הימים שחלפו בפועל בין מועד העברת ההמלצות לדירקטוריון למועד אישור הדוחות הכספיים: .3 :( דוח רבעון ראשון (שנת 2013 . דוח רבעון שני: 3 . דוח רבעון שלישי: 3 . דוח שנתי: 5 _____ _____ ג. מספר הימים שחלפו בין מועד העברת טיוטת הדוחות הכספיים לדירקטורים למועד אישור הדוחות הכספיים: .3 :( דוח רבעון ראשון (שנת 2013 . דוח רבעון שני: 3 דוח רבעון שלישי: 3 . דוח שנתי: 5
  • 225.
    29 . רואההחשבון המבקר של התאגיד הוזמן לכל ישיבות הועדה והדירקטוריון, והמבקר הפנימי קיבל הודעות על קיום הישיבות כאמור, בה נדונו הדוחות הכספיים של התאגיד המתייחסים לתקופות הנכללות בשנת הדיווח. 11 √ הוראת חובה סעיף 168 לחוק החברות, תקנה 2) לתקנות אישור הדוחות )2 הכספיים. 30 . בועדה התקיימו בכל שנת הדיווח ועד לפרסום הדוח השנתי, כל התנאים המפורטים להלן: _____ _____ הוראת חובה תקנה 3 לתקנות אישור הדוחות הכספיים. א. מספר חבריה לא פחת משלושה (במועד הדיון בועדה ואישור הדוחות כאמור). √ ב. התקיימו בה כל התנאים הקבועים בסעיף 115 (ב) ו-(ג) לחוק החברות (לענין כהונת חברי ועדת ביקורת). √ ג. יור הועדה הוא דירקטור חיצוני. √ ד. כל חבריה דירקטורים ורוב חבריה דירקטורים בלתי תלויים. √ ה. לכל חבריה היכולת לקרוא ולהבין דוחות כספיים ולפחות אחד מהדירקטורים הבלתי תלויים הוא בעל מומחיות חשבונאית ופיננסית. √ ו. חברי הוועדה נתנו הצהרה עובר למינוים. √ ז. המניין החוקי לדיון ולקבלת החלטות בוועדה היה רוב חבריה ובלבד שרוב הנוכחים היו דירקטורים בלתי תלויים ובהם דירקטור חיצוני אחד לפחות. √ אם תשובתכם הנה לא נכון לגבי אחד או יותר מסעיפי המשנה של שאלה זוצוין ביחס לאיזה דוח (תקופתי/רבעוני) לא התקיים התנאי האמור: _____. _____ _____
  • 226.
    12 רואה חשבוןמבקר נכון לא נכון מסגרת נורמטיבית .31 ועדת הביקורת (ו/או הועדה לבחינת הדוחות הכספיים) הניחה את דעתה, בסמוך לפני אישור הדוח התקופתי, כי היקף עבודתו של רואה החשבון המבקר ושכר טרחתו בשנת הדיווח, היו נאותים לשם ביצוע עבודת ביקורת וסקירה ראויים לדוחות הכספיים בשנת הדיווח. √ 5) לחוק החברות ) סעיף 117 .32 טרם מינויו של רואה החשבון המבקר, העבירה ועדת הביקורת (ו/או הועדה לבחינת הדוחות הכספיים) את המלצותיה לאורגן הרלוונטי בתאגיד, בקשר עם היקף עבודתו ותנאי העסקתו של רואה החשבון המבקר. לא רלוונטי (בשנת הדיווח לא מונה רואה חשבון מבקר). אם תשובתכם הינה נכון - יצוין האם האורגן הרלוונטי בתאגיד פעל על פי המלצות ועדת הביקורת (ו/או הועדה לבחינת הדוחות הכספיים): √ כן לא (במקרה שהתשובה היא לא, נא פרטו בהערות סיום לשאלון זה כיצד האורגן הרלוונטי (תוך ציון זהותו) הניח דעתו בקשר עם היקף עבודתו ושכרו של רואה החשבון המבקר). במשבצת המתאימה). x (יש לסמן 5) לחוק החברות ) √ סעיף 117 .33 ועדת הביקורת (ו/או הועדה לבחינת הדוחות הכספיים) בחנה בשנת הדיווח כי לא היתה מגבלה על עבודת רואה החשבון המבקר. √ חוק ניירות ערך ותקנותיו (לעניין דוחות מבוקרים כדין) .34 ועדת הביקורת (ו/או הועדה לבחינת הדוחות הכספיים) דנה בשנת הדיווח עם רואה החשבון המבקר בממצאי הביקורת והשלכותיהם. √ תקנה 2 לתקנות אישור הדוחות הכספיים, חוק החברות - סעיף 6 לתוספת הראשונה (הוראות ממשל תאגידי מומלצות) .35 ועדת הביקורת (ו/או הועדה לבחינת הדוחות הכספיים) הניחה את דעתה, טרם מינויו של רואה החשבון המבקר, בדבר התאמת כשירותו לביצוע ביקורת בתאגיד וזאת לאור אופי פעילות התאגיד ומורכבותו. לא רלוונטי (בשנת הדיווח לא מונה רואה חשבון מבקר). √ חוק ניירות ערך ותקנותיו (לעניין דוחות מבוקרים כדין) .36 נא פרטו את מספר השנים בהם מכהן השותף המטפל במשרד רואה החשבון המבקר בתפקידו (כרואה חשבון מבקר בתאגיד): 6 שנים. _____ _____ חוק ניירות ערך ותקנותיו (לעניין דוחות מבוקרים כדין)
  • 227.
    13 .37 רואההחשבון המבקר השתתף בשנת הדיווח בכל ישיבות הועדה לבחינת הדוחות הכספיים אליהן הוזמן. √ סעיף 168 (ב) לחוק החברות, תקנה 2 לתקנות אישור הדוחות הכספיים עסקאות עם בעלי עניין נכון לא נכון מסגרת נורמטיבית .38 התאגיד אימץ נוהל, שאושר בידי ועדת ביקורת, שעניינו עסקאות בעלי עניין על מנת להבטיח כי עסקאות כאמור יאושרו כדין. (*) הערה: התאגיד מצוי בשלבי גיבוש מתקדמים של נוהל עסקאות בעלי עניין. (*)X ,255 ,253 , סעיפים 117 270-278 לחוק החברות .39 בעל השליטה או קרובו (לרבות חברה שבשליטתו) אינו מועסק על- ידי התאגיד או נותן לו שירותי ניהול. אם תשובתכם הינה לא נכון (קרי, בעל השליטה או קרובו מועסק על ידי התאגיד או נותן לו שירותי ניהול) יצוין – - מספר הקרובים (לרבות בעל השליטה) המועסקים על-ידי התאגיד (לרבות חברות שבשליטתם ו/או באמצעות חברות ניהול): _____. - האם הסכמי העסקה ו/או שירותי הניהול כאמור אושרו בידי האורגים הקבועים בדין: כן לא במשבצת המתאימה) x (יש לסמן לא רלוונטי (בתאגיד אין בעל שליטה). _____. √ 4) לחוק החברות ) סעיף 270
  • 228.
    14 .40 למיטבידיעת התאגיד, לבעל השליטה אין עסקים נוספים בתחום פעילותו של התאגיד (בתחום אחד או יותר). אם תשובתכם הינה לא נכון – יצוין האם נקבע הסדר לתיחום פעילויות בין התאגיד ובעל השליטה בו: כן לא במשבצת המתאימה) x (יש לסמן לא רלוונטי (בתאגיד אין בעל שליטה). (*) הערה: בעל השליטה, קונצרן מזון בעל פעילות בינלאומית, אינו מנהל בישראל עסקים נוספים למעט בתחומים שאינם בתחום פעילותו של התאגיד (דוגמת: נספרסו, מים מינרלים מיובאים, מזון רפואי). (*)√ סעיף 254 לחוק החברות, סעיף 36 לחוק ניירות ערך (פרט חשוב למשקיע הסביר) יור הדירקטוריון: ___________ יור ועדת הביקורת: ___________ יור הועדה לבחינת הדוחות הכספיים: ___________ תאריך החתימה: ___________ doc. אכיפה מנהליתממשל תאגידי 2013 שאלון ממשל תאגידי לשנת 2013 - נקי N:LEGALCorporate
  • 229.
    אסם השקעות בעמ חלק ה': דוח שנתי בדבר אפקטיביות הבקרה הפנימית על הדיווח הכספי ועל הגילוי לפי תקנה 9ב(א) לשנת 2013
  • 230.
    מצורף בזאת דוחשנתי בדבר אפקטיביות הבקרה הפנימית על הדיווח הכספי ועל הגילוי לפי תקנה 9ב(א): ההנהלה, בפיקוח הדירקטוריון של חברת אסם השקעות בעמ (להלן – התאגיד), אחראית לקביעתה והתקיימותה של בקרה פנימית נאותה על הדיווח הכספי ועל הגילוי בתאגיד. לעניין זה, חברי ההנהלה הם: 1. איציק צאיג - מנהל כללי 2. פנחס קימלמן - משנה למנכל כספים 3. מאיר אימבר - משנה למנכל לתפעול 4. זאב קלימי - מנכל נגה גלידות 5. עופר גרין – משנה למנכל ומנכל קבוצת אסם סחר 6. רני שגיב - סמנכל שרשרת אספקה 7. אילת ליפשיץ - סמנכל שיווק ופיתוח עיסקי 8. יריב ארדון - מנהל התחום המקצועי 9. אורי בן שי - מנכל תחומי החטיפים, מאפה, משקאות ודגני בוקר 10 . זהבה מרטינוביץ - מנכל חטיבה קולינארית 11 . חגית אדלר - מנכל בונז'ור 12 . ברק שטרוזברג - סמנכל משאבי אנוש בקרה פנימית על הדיווח הכספי ועל הגילוי כוללת בקרות ונהלים הקיימים בתאגיד, אשר תוכננו בידי המנהל הכללי ונושא המשרה הבכיר ביותר בתחום הכספים או תחת פיקוחם, או בידי מי שמבצע בפועל את התפקידים האמורים, בפיקוח דירקטוריון התאגיד, אשר נועדו לספק מידה סבירה של ביטחון בהתייחס למהימנות הדיווח הכספי ולהכנת הדוחות בהתאם להוראות הדין, ולהבטיח כי מידע שהתאגיד נדרש לגלות בדוחות שהוא מפרסם על פי הוראות הדין נאסף, מעובד, מסוכם ומדווח במועד ובמתכונת הקבועים בדין. הבקרה הפנימית כוללת, בין היתר, בקרות ונהלים שתוכננו להבטיח כי מידע שהתאגיד נדרש לגלותו כאמור, נצבר ומועבר להנהלת התאגיד, לרבות למנכל ולנושא המשרה הבכיר ביותר בתחום הכספים או למי שמבצע בפועל את התפקידים האמורים, וזאת על מנת לאפשר קבלת החלטות במועד המתאים, בהתייחס לדרישת הגילוי. בשל המגבלות המבניות שלה, בקרה פנימית על הדיווח הכספי ועל הגילוי אינה מיועדת לספק ביטחון מוחלט שהצגה מוטעית או השמטת מידע בדוחות תימנע או תתגלה. ההנהלה, בפיקוח הדירקטוריון, ביצעה בדיקה והערכה של הבקרה הפנימית על הדיווח הכספי ועל הגילוי בתאגיד והאפקטיביות שלה. הערכת אפקטיביות הבקרה הפנימית על הדיווח הכספי והגילוי שביצעה ההנהלה בפיקוח הדירקטוריון כללה: מיפוי וזיהוי החשבונות, התהליכים העסקיים והחברות אשר החברה רואה אותם כמהותיים מאוד לדיווח הכספי והגילוי; בחינת בקרות מפתח ובדיקת אפקטיביות הבקרות; רכיבי בקרות על תהליך ,(Entity Level Controls) הבקרה הפנימית כללו בקרות ברמת הארגון ובקרות על (ITGC) עריכת וסגירת הדוחות הכספיים, בקרות כלליות על מערכות המידע תהליכים מהותיים מאוד לדיווח הכספי ולגילוי: מכירות שוק מקומי, מלאי, רכש ותשלום לספקים. בהתבסס על הערכת האפקטיביות שביצעה ההנהלה בפיקוח הדירקטוריון כמפורט לעיל, הדירקטוריון והנהלת התאגיד הגיעו למסקנה, כי הבקרה הפנימית על הדיווח הכספי ועל הגילוי בתאגיד ליום 31 בדצמבר 2013 היא אפקטיבית.
  • 231.
    הצהרות מנהלים: ((א) הצהרת מנהל כללי לפי תקנה 9 ב(ד)( 1 הצהרת מנהלים הצהרת מנהל כללי אני, איציק צאיג, מצהיר כי: 1 בחנתי את הדוח התקופתי של חברת אסם השקעות בעמ (להלן – התאגיד) לשנת 2013 . (להלן – הדוחות). 2. לפי ידיעתי, הדוחות אינם כוללים כל מצג לא נכון של עובדה מהותית ולא חסר בהם מצג של עובדה מהותית הנחוץ כדי שהמצגים שנכללו בהם, לאור הנסיבות שבהן נכללו אותם מצגים, לא יהיו מטעים בהתייחס לתקופת הדוחות. 3. לפי ידיעתי הדוחות הכספיים ומידע כספי אחר הכלול בדוחות משקפים באופן נאות, מכל הבחינות המהותיות, את המצב הכספי, תוצאות הפעולות ותזרימי המזומנים של התאגיד לתאריכים ולתקופות שאליהם מתייחסים הדוחות. 4. גיליתי לרואה החשבון המבקר של התאגיד, לדירקטוריון ולוועדת הביקורת של דירקטוריון התאגיד, בהתבסס על הערכתי העדכנית ביותר לגבי הבקרה הפנימית על הדיווח הכספי ועל הגילוי. א. את כל הליקויים המשמעותיים והחולשות המהותיות בקביעתה או בהפעלתה של הבקרה הפנימית על הדיווח הכספי ועל הגילוי העלולים באופן סביר להשפיע לרעה על יכולתו של התאגיד לאסוף, לעבד, לסכם או לדווח על מידע כספי באופן שיש בו להטיל ספק במהימנות הדיווח הכספי והכנת הדוחות הכספיים בהתאם להוראות הדין; וכן- ב. כל תרמית בין מהותית ובין שאינה מהותית, בה מעורב המנהל הכללי או מי שכפוף לו במישרין או מעורבים עובדים אחרים שיש להם תפקיד משמעותי בבקרה הפנימית על הדיווח הכספי ועל הגילוי. 5. אני, לבד או יחד עם אחרים בתאגיד: א. קבעתי בקרות ונהלים, או וידאתי קביעתם וקיומם של בקרות ונהלים תחת פיקוחי, המיועדים להבטיח שמידע מהותי המתייחס לתאגיד, לרבות חברות מאוחדות שלו כהגדרתן בתקנות ניירות ערך (דוחות כספיים שנתיים), התשע – 2010 , מובא לידיעתי על ידי אחרים בתאגיד ובחברות המאוחדות, בפרט במהלך תקופת ההכנה של הדוחות; וכן-. ב. קבעתי בקרות ונהלים, או וידאתי קביעתם וקיומם של בקרות ונהלים תחת פיקוחי, המיועדים להבטיח באופן סביר את מהימנות הדיווח הכספי והכנת הדוחות הכספיים בהתאם להוראות הדין, לרבות בהתאם לכללי חשבונאות מקובלים. ג. הערכתי את האפקטיביות של הבקרה הפנימית על הדיווח הכספי ועל הגילוי, והצגתי בדוח זה את מסקנות הדירקטוריון וההנהלה לגבי האפקטיביות של הבקרה הפנימית כאמור למועד הדוחות. אין באמור לעיל כדי לגרוע מאחריותי או מאחריות כל אדם אחר, על פי כל דין. 13 במרץ 2014 חתימה - איציק צאיג מנהל כללי
  • 232.
    ( (ב) הצהרתנושא המשרה הבכיר ביותר בתחום הכספים לפי תקנה 9ב(ד)( 2 הצהרת מנהלים הצהרת נושא המשרה הבכיר ביותר בתחום הכספים אני, פנחס קימלמן, מצהיר כי: 1. בחנתי את הדוחות הכספיים ומידע כספי אחר הכלול בדוחות של אסם השקעות בעמ (להלן- התאגיד ) לשנת 2013 (להלן – הדוחות). 2. לפי ידיעתי, הדוחות הכספיים והמידע הכספי האחר הכלול בדוחות אינם כוללים כל מצג לא נכון של עובדה מהותית ולא חסר בהם מצג של עובדה מהותית הנחוץ כדי שהמצגים שנכללו בהם, לאור הנסיבות בהן נכללו אותם מצגים, לא יהיו מטעים בהתייחס לתקופת הדוחות. 3. לפי ידיעתי, הדוחות הכספיים ומידע כספי אחר הכלול בדוחות משקפים באופן נאות, מכל הבחינות המהותיות, את המצב הכספי, תוצאות הפעולות ותזרימי המזומנים של התאגיד לתאריכים ולתקופות שאליהם מתייחסים הדוחות. 4. גיליתי לרואה החשבון של התאגיד, לדירקטוריון ולועדת הביקורת של דירקטוריון התאגיד, בהתבסס על הערכתי העדכנית ביותר לגבי הבקרה הפנימית על הדיווח הכספי ועל הגילוי: א. את כל הליקויים המשמעותיים והחולשות המהותיות בקביעתה או בהפעלתה של הבקרה הפנימית על הדיווח הכספי ועל הגילוי ככל שהיא מתייחסת לדוחות הכספיים ולמידע הכספי האחר הכלול בדוחות, העלולים באופן סביר להשפיע לרעה על יכולתו של התאגיד לאסוף, לעבד, לסכם או לדווח על מידע כספי באופן שיש בו להטיל ספק במהימנות הדיווח הכספי והכנת הדוחות הכספיים בהתאם להוראות הדין; וכן- ב. כל תרמית, בין מהותית ובין שאינה מהותית, בה מעורב המנהל הכללי או מי שכפוף לו במישרין או מעורבים עובדים אחרים שיש להם תפקיד משמעותי בבקרה הפנימית על הדיווח הכספי ועל הגילוי. 5. אני, לבד או ביחד עם אחרים בתאגיד: א. קבעתי בקרות ונהלים, או וידאתי קביעתם וקיומם של בקרות ונהלים תחת פיקוחי, המיועדים להבטיח שמידע מהותי המתייחס לתאגיד, לרבות חברות מאוחדות שלו כהגדרתן בתקנות ניירות ערך (דוחות כספיים שנתיים), התשע 2010- , ככל שהוא רלוונטי לדוחות הכספיים ולמידע כספי אחר הכלול בדוחות, מובא לידיעתי על ידי אחרים בתאגיד ובחברות המאוחדות, בפרט במהלך תקופת ההכנה של הדוחות; וכן:- ב. קבעתי בקרות ונהלים, או וידאתי קביעתם של בקרות ונהלים תחת פיקוחנו, המיועדים להבטיח באופן סביר את מהימנות הדיווח הכספי והכנת הדוחות הכספיים בהתאם להוראות הדין, לרבות בהתאם לכללי חשבונאות מקובלים; ג. הערכתי את האפקטיביות של הבקרה הפנימית על הדיווח הכספי ועל הגילוי, ככל שהיא מתייחסת לדוחות הכספיים ולמידע הכספי האחר הכלול בדוחות למועד הדוחות. מסקנותיי לגבי הערכתי כאמור הובאו בפני הדירקטוריון וההנהלה ומשולבות בדוח זה. אין באמור לעיל כדי לגרוע מאחריותי או מאחריות כל אם אחר, על פי כל דין. 13 במרץ 2014 חתימה – פנחס קימלמן משנה למנכל כספים