Design and Construction “CE Board Exam Nov. 2008″
A three-hinged arch is shown in the figure.
1. Which of the following most nearly gives the vertical reaction at A in KiloNewtons:
A. 31
B. 36
C. 28
D. 23
2. Which of the following most nearly gives the total reaction at the hinge in KiloNewtons:
A. 45.2
B. 85.6
C. 54.1
D. 32.3
3. Which of the following most nearly gives the total reaction at B in KiloNewtons:
A. 32.3
B. 45.2
C. 85.6
D. 54.1
Solution:
Design and Construction “CE Board Exam Nov. 2008″
Concrete beam 8meters long and spaced 4m center-to-center are used to support a concrete slab 115 mm thick.
The beams have effective depth of 650 mm measured from the slab surface, bw=300mm, and are reinforced for
tension only with six 28-mm-diameter bars. The beams are to be analyzed as T-beams. Steel yield strength
fy=350MPa and concrete strength fc=21MPa.
1. Which of the following most nearly give the width of slab effective as T-beam, in millimeters?
A. 2000
B. 2140
C. 4000
D. 3250
2. Which of the following most nearly give the depth of compression block in millimeters?
A. 36.2
B. 45.2
C. 56.3
D. 62.4
3. Which of the following most nearly give the nominal moment capacity of the beam in KiloNewton-Meter.
A. 563
B. 784
C. 952
D. 817
SOLUTION
Design and Construction “CE Board Exam Nov. 2008″
Steel column 3.6m long and hinged at both ends is used to carry an axial load of 800kN. The column is subject to end
moments about its strong axis (single curvature) with M1 = 90%M2. The frame is braced against joint translation and
is not subjected to any transverse loading. Fy =248MPa, E=200GPa.
The properties of the section are as follows:
A=0.013 m2
rb=94 mm
Sx=0.00099 m2
K=1.0
1. Which of the following most nearly gives the computed (actual) axial stress of the column in MegaPascals.
A. 57
B. 75
C. 62
D. 68
2. Which of the following most nearly gives the allowable axial compressive stress of the column in MegaPascals.
A. 114
B. 120
C. 133
D. 148
3. From a separate calculation with Fb = 149MPa, which of the following most nearly gives the maximum moment
that the column can carry, in KiloNewton-Meter.
A. 85.6
B. 75.4
C. 71.4
D. 78.8
SOLUTION
Design and Construction “CE Board Exam Nov. 2008″
June 9th, 2010 admin No comments
The implementing rules of PD 1594 defines an unbalanced bi as a bid containing one or more pay items that are 30%
higher than the unit allowable government estimate (AGE) in respect to major items whereas other pay items are
priced lower than the unit AGE. AGE is defined as one-half the sum of the AAE and the average of all responsive bids.
For purposes of determining the average of all responsive bids, bids higher than 120% of the AAE or lower than 60%
of the AAE shall not be considered. Major items are defined as pay items representing at least 20% of the AAE or
those indicated or specified in the instruction to bidders. The responsive bids for a government project with 8 bid
items are as follows (all cost figures are in thousands of pesos):
Qty Total AAE Bidder A Bidder B Bidder C
Item 1 100 1,000 1,000 1,250 750
Item 2 100 20,000 22,000 16,000 19,000
Item 3 500 5,000 4,000 6,100 5,100
Item 4 60 6,000 6,000 4,800 5,600
Item 5 1,000 3,000 2,900 3,300 2,800
Item 6 400 1,600 1,000 1,600 2,100
Item 7 3,000 3,000 2,500 2,400 3,200
Item 8 20 25,000 31,000 20,000 26,000
1. Which of the following most nearly gives the total AAE in thousand pesos:
A. 64,600
B. 54,800
C. 48,000
D. 71,000
2. Which of the following give the complete list of major item?
A. Item 8
B. Items 2,4 & 8
C. Items 2,3,4, & 8
D. Items 2 & 8
3. Which of the following gives the complete list of unbalanced bids?
A. Bidders A, B, C
B. Bidders A, C
C. Bidders A
D. All are balanced bids
Solution:
Item Qty AAE Bidder A Bidder B Bidder C
Ave. of
responsive bids
AGE 130% of
AGE
1 100 1,000 1,000 1,250 750 875 937.50
2 100 20,000 22,000 16,000 19,000 19000 19500 25,350
3 500 5,000 4,000 6,100 5,100 4550 4775
4 60 6,000 6,000 4,800 5,600 5467 5733.3
5 1,000 3,000 2,900 3,300 2,800 3000 3000
6 400 1,600 1,000 1,600 2,100 1300 1450
7 3,000 3,000 2,500 2,400 3,200 2700 2850
8 20 25,000 31,000 20,000 26,000 23000 24000 31200
Note: bids inside shaded boxes are not responsive bids.
Unbalanced bids are those with bids higher than 130% of the AGE in respect to major items, while other items are
priced lower than the unit AGE.
Since no bid goes higher than 130% of AGE for items 2 & 8 (which are the major items), all bids are balance.
Design and Construction “CE Board Exam Nov. 2008″
June 9th, 2010 admin No comments
The area in the first quadrant is bounded by the curve shown in the figure.
1. Which of the following most nearly gives the area in square units?
A. 2330
B. 2130
C. 2230
D. 2030
2. Which of the following most nearly gives the location of the centroid of the area from the y-axis?
A. 52
B. 48
C. 42
D. 58
3. Which of the following most nearly gives the location of the centroid of the area from the x-axis?
A. 20
B. 10
C. 15
D. 25
Solution:
Design and Construction “CE Board Exam Nov. 2008″
June 9th, 2010 admin No comments
Bill of quantity is to be prepared for guardhouse 3.6 m in height with one door opening only and a height of 2.1m as
shown. Assume density of steel equal to 7860 kg/m3
. CHB is 200 mm x 400 mm and 150 mm thick.
1. Which of the following most nearly gives the total length of 12mm bars in meters:
A. 72
B. 65
C. 86
D. 58
2. Which of the following most nearly gives the weight of 12mm bars in Kilogram per meters:
A. 0.89
B. 0.75
C. 0.93
D. 0.63
3. Which of the following most nearly gives the total weight of 12mm bars in Kilograms:
A. 44
B. 58
C. 77
D. 64
Solution:
Design and Construction “CE Board Exam Nov. 2008″
A 4-m single span beam having a cross-section of 300mm x 500 mm carries a uniformly distributed load throughout
its span. The beam is 80% stress grade Apitong with allowable bending stress of 16.5 MegaPascals, allowable shearing
stress of 1.73 MPa and modulus of elasticity of 7.31 GigaPascals. Allowable deflection is 1/240 of the span.
1. Which of the following most nearly gives the value of the uniform load without exceeding the allowable bending
stress of the beam, in KiloNewton per Meter.
A. 118
B. 103
C. 132
D. 124
2. Which of the following most nearly gives the value of the uniform load without exceeding the allowable shearing
stress of the beam, in KiloNewton per Meter.
A. 63
B. 54
C. 87
D. 75
3. Which of the following most nearly gives the value of the uniform load without exceeding the allowable
deflection, in KiloNewton per Meter.
A. 102
B. 98
C. 124
D. 114
Solution:
Hydraulics “CE Board Exam Nov. 2008″
A group of friction piles is shown in figure. The total load on the pile less the soil displaced by the footing is 1800kN.
The clay is 16m thick. Ground water table is located 2m below the clay surface.
1. Compute for the effective pressure the mid height of the consolidating clay layer, in kPa.
A. 186.4
B. 174.8
C. 147.6
D. 163.5
2. Compute for the compression index of the clay.
A. 0.297
B. 0.245
C. 0.325
D. 0.288
3. What is the approximate settlement of the foundation?
A. 150 mm
B. 168 mm
C. 214 mm
D. 198 mm
Solution:
Hydraulics “CE Board Exam Nov. 2008″
A test is set-up as shown. A cylindrical mold 4” in diameter is filled with silt to height H1 = 0.2 ft, whose coefficient of
permeability k1 = 6.1 x 10-4
ft/min.
A second coaxial mold is placed on top of the first mold whose inside diameter is d=1.5” and whose height is H2 = 0.30
ft. Its thickness is negligible. The inside of this second mold is filled with the same silt, but the annular ring outside the
small tube and outer tube is filled with sand whose coefficient of permeability is k2 = 2.5 x 10-3
ft/min.The test set-up
is a permeameter of constant head. Water is placed in the mold and maintained at a level h=1.4ft. above the level of
the outlet. It may be considered that the system consists of a fictitious soil of thickness H=H1 + H2 and coefficient of
permeability kf.
The following general equations may be useful:
kv eq = H/[(H1/kv1) + (H2/kv2) + … + (Hn/kvn)]
kv eq = (1/H)[kh1H1 + kh2H2 + … + khnHn]
1. What is the total flow of water in ft3
/min?
A. 2.148 x 10-4
B. 3.521 x 10-4
C. 2.554 x 10-4
D. 2.874 x 10-4
2. What is the equivalent coefficient of permeability, kf, in ft/min?
A. 1.045 x 10-3
B. 1.563 x 10-3
C. 1.874 x 10-3
D. 1.245 x 10-3
3. What is the total amount of water that percolated after 30minutes?D. 325.32 cm3
A. 217.12 cm3
B. 187.54 cm3
C. 256.32 cm3
D. 325.32 cm3
Solution:
Hydraulics “CE Board Exam Nov. 2008″
June 7th, 2010 admin No comments
A cut slope was excavated in a saturated clay. The slope
made an angle of 60° with the horizontal. When slope
failure occurs, distance BC is 8m. Given: Stability
number, m=0.185: γ=17 kN/m3
; cu = 20kPa.
1. What is the stability factor?
A. 6.32
B. 5.41
C. 4.57
D. 9.36
2. Determine the critical depth of cut in meters.
A. 7.52
B. 6.36
C. 6.87
D. 5.21
3. What is the angle of failure plane in degrees?
A. 19.5
B. 25.4
C. 22.5
D. 28.6
Solution:
Hydraulics “CE Board Exam Nov. 2008″
A 4-meter thick sand layer is overlying a very thick dense
clay layer. The water table is 2.5m below the ground (sand)
surface. The sand have void ratio of 52% and the degree of
saturation above water table is 37%. The clay has
moisture content of 42%. Assume specific gravity of
solids for both sand and clay equal to 2.65.
1. Compute for the value of the unit weight of sand above water table.
A. 18.8 kN/m3
B. 18.3 kN/m3
C. 19.3 kN/m3
D. 17.5 kN/m3
2. Compute for the value of the total stress at a depth of 10m from the ground surface, in kPa.
A. 174.5
B. 181.4
C. 196.3
D. 186.7
3. Compute for the value of the effective stress at a depth of 10m from the ground surface, in kPa.
A. 98.6
B. 132.4
C. 124.5
D. 107.8
Solution:
Hydraulics “CE Board Exam Nov. 2008″
A triaxial test was conducted on a cohesionless soil. At failure plane, the normal stress is 500kPa and the shearing
stress is 300kPa.
1. What is the nearest value to the angle of internal friction of the soil?
A. 31°
B. 33°
C. 29°
D. 27°
2. What is the nearest value to the angle of failure plane?
A. 60.5°
B. 62.5°
C. 58.5°
D. 59.5°
3. What is the nearest value to the maximum principal stress in kPa?
A. 1280
B. 1240
C. 1030
D. 1150
Hydraulics “CE Board Exam Nov. 2008″
Water flows on a straight 150m pipe, 600mm in diameter. The velocity of flow is 2.5m/s. Pipe thickness is 20mm. Bulk
modulus of elasticity of water is 2.2 x 109
Pa. Modulus of elasticity of pipe material is 1.4 x 1011
Pa.
1. What is the composite modulus of elasticity of water?
A. 5.24 x 109
Pa
B. 4.67 x 109
Pa
C. 1.85 x 109
Pa
D. 1.49 x 109
Pa
2. Determine the celerity of pressure wave of water.
A. 1,365 m/s
B. 1,458 m/s
C. 1,056 m/s
D. 1,223 m/s
3. Determine the water hammer pressure assuming instantaneous closure.
A. 3,425 kPa
B. 3,057 kPa
C. 2,875 kPa
D. 3,254 kPa
Solution:
Hydraulics “CE Board Exam Nov. 2008″
A parallel pipe system is shown in the figure. The pressure head at A is 76m and the pressure head at B is 52m.
Hazen Williams coefficient for all pipes C1 = 120.
1. Determine the nearest value to the flow in Line 1 in m3
/s.
A. 0.103
B. 0.056
C. 0.214
D. 0.038
2. Determine the nearest value to the flow in Line 2 in m3
/s.
A. 0.214
B. 0.038
C. 0.056
D. 0.103
3. Determine the nearest value to the total flow in m3
/s.
A. 0.181
B. 0.164
C. 0.197
D. 0.214
Hydraulics “CE Board Exam Nov. 2008″
June 7th, 2010 admin No comments
Two pressurized tanks A & B are connected at the bottom by 140mm-diameter short pipe as shown in figure. The
coefficients of velocity and contraction of the short pipe are 0.92 and 0.86, respectively.
1. What is the flow through the pipe in m3
/s?
A. 0.214
B. 0.115
C. 0.187
D. 0.231
2. What is the head lost in meters?
A. 0.85
B. 0.53
C. 1.71
D. 1.32
3. What is the power lost in horsepower?
A. 2.59
B. 1.93
C. 2.98
D. 1.45
Solution:
Hydraulics “CE Board Exam Nov. 2008″
An open-top cylindrical tank 1 meter in diameter is 2.80m tall. The tank floats in water with a draft of 2.30 meters.
Unit weight of lead is 110 kN/m3
.
1. What is the weight of tank in KiloNewtons?
A. 19.54
B. 21.57
C. 15.24
D. 17.72
2. How much lead (in KiloNewtons) must be fastened to the outside bottom of the tank in order make it completely
submerged in water?
A. 100m
B. 120m
C. 150m
D. 80m
3. How much lead (in KiloNewtons) must be place inside the tank in order make it completely submerged in water?
A. 4.87
B. 4.21
C. 3.85
D. 3.24
Design and Construction “CE Board Exam Nov. 2008″
The implementing rules of PD 1594 defines an unbalanced bi as a bid containing one or more pay items that are 30%
higher than the unit allowable government estimate (AGE) in respect to major items whereas other pay items are
priced lower than the unit AGE. AGE is defined as one-half the sum of the AAE and the average of all responsive bids.
For purposes of determining the average of all responsive bids, bids higher than 120% of the AAE or lower than 60%
of the AAE shall not be considered. Major items are defined as pay items representing at least 20% of the AAE or
those indicated or specified in the instruction to bidders. The responsive bids for a government project with 8 bid
items are as follows (all cost figures are in thousands of pesos):
Qty Total AAE Bidder A Bidder B Bidder C
Item 1 100 1,000 1,000 1,250 750
Item 2 100 20,000 22,000 16,000 19,000
Item 3 500 5,000 4,000 6,100 5,100
Item 4 60 6,000 6,000 4,800 5,600
Item 5 1,000 3,000 2,900 3,300 2,800
Item 6 400 1,600 1,000 1,600 2,100
Item 7 3,000 3,000 2,500 2,400 3,200
Item 8 20 25,000 31,000 20,000 26,000
1. Which of the following most nearly gives the total AAE in thousand pesos:
A. 64,600
B. 54,800
C. 48,000
D. 71,000
2. Which of the following give the complete list of major item?
A. Item 8
B. Items 2,4 & 8
C. Items 2,3,4, & 8
D. Items 2 & 8
3. Which of the following gives the complete list of unbalanced bids?
A. Bidders A, B, C
B. Bidders A, C
C. Bidders A
D. All are balanced bids
Solution:
Item Qty AAE Bidder A Bidder B Bidder C
Ave. of
responsive bids
AGE 130% of
AGE
1 100 1,000 1,000 1,250 750 875 937.50
2 100 20,000 22,000 16,000 19,000 19000 19500 25,350
3 500 5,000 4,000 6,100 5,100 4550 4775
4 60 6,000 6,000 4,800 5,600 5467 5733.3
5 1,000 3,000 2,900 3,300 2,800 3000 3000
6 400 1,600 1,000 1,600 2,100 1300 1450
7 3,000 3,000 2,500 2,400 3,200 2700 2850
8 20 25,000 31,000 20,000 26,000 23000 24000 31200
Note: bids inside shaded boxes are not responsive bids.
Unbalanced bids are those with bids higher than 130% of the AGE in respect to major items, while other items are
priced lower than the unit AGE.
Since no bid goes higher than 130% of AGE for items 2 & 8 (which are the major items), all bids are balance
Mathematics “CE Board Exam Nov. 2008″
Given the following road cross-section notes in cut:
Station 1000+100
2.75 1.00 0.50
9.45 0.00 4.50
Station 1000+220
2.50 1.25 0.80
8.50 0.00 6.00
Width of roadway is 8m.
1. Determine the area of cut at Station 1000+100 in square meter.
A. 13.475
B. 12.586
C. 15.663
D. 10.685
2. Determine the area of cut at Station 1000+220 square meter.
A. 12.586
B. 10.685
C. 13.475
D. 15.663
3. Determine the volume of cut using the end-area method in cubic meter.
A. 1,856.36
B. 1,748.25
C. 1,625.36
D. 1,997.58
Solution:
Station 1000 + 100
A = ½ [4(2.75)+1(9.45)+1(4.5)+4(0.5)] = 13.475 m2
Mathematics “CE Board Exam Nov. 2008″
A closed traverse ABCD has the following data:
Line Length Bearing
AB 122.00 N 30° E
BC 149.00 N 60° E
CD 241.00 S 10° E
DA 159.00 N 70° W
1. Determine the corrected bearing of side BC using compass rule.
A. N 59° 11’E
B. N 59° 11’E
C. N 60° 12’E
D. N 60° 49’E
2. Determine the corrected bearing of side CD using the compass rule.
A. 149.632 m
B. 148.368 m
C. 149.547 m
D. 148.453 m
3. Determine the corrected length of side BC using the compass rule.
A. 242.067 m
B. 241.852 m
C. 240.148 m
D. 239.933 m
Solution:
Line Length Bearing Lat Dep
AB 122.00 N 30° E 105.655 61.000
BC 149.00 N 60° E 74.500 129.038
CD 241.00 S 10° E -237.339 -41.849
DA 159.00 N 70° W 54.381 -149.411
Perimeter 671 Error -2.802 -1.223
Compass rule:
The correction to be applied to the latitude (or departure) of any course is to the total absolute correction in latitude
(or departure) as the length of the course is to the perimeter of the traverse.
Side CL
Corrected
Latitude
CD
Corrected
Departure
Corrected
Length
Corrected Bearing
AB 0.510 106.165 0.222 61.222 122.552 N 29°58’15° E
BC 0.622 75.122 0.271 129.309 149.547 N 59°50’43° E
CD 1.007 -236.332 0.439 -41.410 239.933 S 9°56’18° W
DA 0.664 55.045 0.290 -149.121 158.957 N 59°44’21° E
Mathematics “CE Board Exam Nov. 2008″
A telephone company have a production capacity of 500,000 units per month. At its present capacity of 350,000 units
per month, the company have a total monthly income of P350,000,000. The company has a fixed cost of P100,000,000
per month and a variable cost of P200 per unit.
1. What is the present profit or loss in millions of pesos?
A. 200
B. 210
C. 180
D. 190
2. What is the break-even quantity?
A. 135,000
B. 125,000
C. 155,000
D. 165,000
3. If the production is increased to 80% of its capacity, what is the profit or loss in millions of pesos?
A. 220
B. 250
C. 200
D. 190
Solution:
Mathematics “CE Board Exam Nov. 2008″
The following data of road accident versus driver’s age form a quadratic equation:
Age of Driver Accident per year
20 250
40 150
60 200
1. Find the coefficient a of x2
.
A. 0.1875
B. 0.1575
C. 0.2125
D. 0.1765
2. Find the coefficient b of x.
A. -14.75
B. -15.25
C. -17.75
D. -16.25
3. Find the number of accidents per year for an age of 30.
A. 154.75
B. 254.25
C. 189.65
D. 181.25
Solution:
Mathematics “CE Board Exam Nov. 2008″
A 50-kg block is being pushed horizontally with a constant force F such that its acceleration is 1 m/s2
. The coefficient
of friction between the block and the surface is 0.40. The block has an initial velocity of 5 m/s.
1. What is the magnitude of the constant force F in Newtons?
A. 265.8
B. 246.2
C. 212.2
D. 302.7
2. What is the distance travelled by the block after 10 seconds?
A. 100m
B. 120m
C. 150m
D. 80m
3. What is the velocity by the block after 5 seconds?
A. 12 m/s
B. 15 m/s
C. 8 m/s
D. 10 m/s
Solution:
Mathematics “CE Board Exam Nov. 2008″
Evaluate the following integrals:
Mathematics “CE Board Exam Nov. 2008″
Line A has a slope of 04 and passes through (-25, – 10). Line B has x-intercept of 10 and y-intercept of 25.
1. Determine the distance of line A to point (8, -3).
A. 35.85
B. 33.71
C. 30.21
D. 28.54
2. Determine the point of intersection of lines A and B.
A. (-90, 240)
B. (-90, 250)
C. (-80, 250)
D. (-80, 240)
3. Determine the equation of a line perpendicular to line B and passing through (-20, 10).
A. 2x – 5y – 90 = 0
B. 2x + 5y + 90 = 0
C. 2x + 5y – 90 = 0
D. 2x – 5y + 90 = 0
Mathematics “CE Board Exam Nov. 2008″
Answer the following problems:
1. Find the equation of the line parallel to 2x + y = 3 and normal to the curve y = x4
A. 8x + 4y + 9 = 0
B. 8x – 4y + 9 = 0
C. 32x + 16y – 17 = 0
D. 16x – 32y – 17 = 0
2. Find the angle of intersection of the curve x + xy = 1 and y3 = (x + 1)2.
A. 100m
B. 120m
C. 150m
D. 80m
3. Find the value of the second derivative of the curve y = x2
ex
at x = -1.
A. -0.368
B. -0.421
C. -0.587
D. -0.699
Solution:
Mathematics “CE Board Exam Nov. 2008″
June 2nd, 2010 admin 1 comment
The perimeter of a triangle is 102 cm and its area is 431.1554 square centimeters. Find the maximum radius of a
circle that can be inscribed in this triangle.
A. 7.63 cm
B. 12.45 cm
C. 9.54 cm
D. 8.45 cm
Solution:
The maximum radius of the inscribed circle for this condition is given by the formula:
At = rs
s = semi-perimeter = 102/2 = 51 cm
At = area of triangle = 34.772
431.1554 = r(51)
r = 8.454 cm
Mathematics “CE Board Exam Nov. 2008″
If a = 4 cos x + 6 sin x and b = 6 sin x – 4 cos x, what is the value of a2
+ b2
?
A. 32+40 sin2
x
B. 16+2- sin2
x
C. 40+32 sin2
x
D. 20+16 sin2
x
Solution:
Mathematics “CE Board Exam Nov. 2008″
Two interior angles of a triangle measure 48° and 62°. If the perimeter of this triangle is 84cm, find the longest side
of the triangle.
A. 28.91cm
B. 34.56cm
C. 30.76cm
D. 24.33cm
Solution:
Mathematics “CE Board Exam Nov. 2008″
Salt is poured into a conical tank 100cm in diameter on top and 70cm high. If the volume of salt is 30,000 cm3
, what
is the depth of salt in the tank?
A. 45.21cm
B. 38.29cm
C. 31.25cm
D. 52.45cm
Solution:
Mathematics “CE Board Exam Nov. 2008″
The lower and upper bases of a frustum of a pyramid measure 18cm x 18cm and 10cm x 10cm, respectively. If its
lateral surface area is 448cm2
, find the altitude of the pyramid.
A. 9.36cm
B. 8cm
C. 6.72cm
D. 6.93cm
Solution:
Mathematics “CE Board Exam Nov. 2008″
What is the surface area of a sphere having a volume of 1904 cubic meters?
A. 856.3 m2
B. 742 m2
C. 624.7 m2
D. 1056.2 m2
Solution:
Design and Construction “CE Board Exam May 2008″
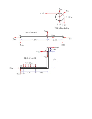
A load of 6 KiloNewtons is supported as shown. They pulley weighs 2 KiloNewtons.
1. Which of the following most nearly gives the reaction at C in KiloNewtons:
A. 8
B. 10
C. 9
D. 11
2. Which of the following most nearly gives the reaction at B in KiloNewtons:
A. 30
B. 32
C. 41
D. 36
3. Which of the following most nearly gives the angle that the reaction at B make with the horizontal:
A. 21.5°
B. 29.6°
C. 24.8°
D. 22.4°
Design and Construction “CE Board Exam May 2008″
May 21st, 2010 admin No comments
A three-span continuous beam is shown. The provisions of the 1992 National Structural Code of the Philippine
relevant to this problem are also given in the second figure.
1. Which of the following most nearly gives the factored uniform load, in kiloNewtons per meter:
A.6.32
B.5.65
C.7.45
D.4.58
2. Which of the following most nearly gives the ultimate (factored) bending moment at G, inkiloNewton-meters:
A.24.8
B.21.9
C.27.7
D.32.2
3. Which of the following most nearly gives the ultimate (factored) bending moment at I, in kiloNewton-meters:
A.16.5
B.14.9
C.12.4
D. 18.7
Solution:
Design and Construction “CE Board Exam May 2008″
It is required to analyze the indeterminate truss shown. By superposition. The product AE = 10,000 where A is the
cross-sectional area in m2
and E is the modulus of elasticity in Pascals.
1. Which of the following most nearly gives the relative displacement of joints B and D if member BD is removed, in
meters?
A.0.012
B.0.004
C.0.005
D.0.008
2. Which of the following most nearly gives the relative displacement of joints B and D due to two unit loads (1 N)
acting at joints B and D acting towards each other, if member BD is removed.
A.0.001m
B.0.003m
C.0.004m
D.0.002m
3. Which of the following most nearly gives the value of the force on member BD in Newtons?
A.6.4
B.7.3
C.9.5
D. 7.9
Solution:
Design and Construction “CE Board Exam May 2008″
It is required to construct the influence line for the beam shown.
1. Which of the following most nearly gives the ordinate of the influence line for the vertical reaction at A at a point
4m from A:
A. 0.33
B. 0.67
C. -0.33
D. -0.67
2. Which of the following most nearly gives the ordinate of the influence line for the shear at D at a point 4m from
A:
A. 0.67
B. -0.33
C. -0.67
D. 0.33
3. Which of the following most nearly gives the ordinate of the influence line for the moment at D at a point 4m
from A:
A. -0.67
B. 0.67
C. 0.33
D. -0.33
Solution:

2008 - NOV.pdf

  • 1.
    Design and Construction“CE Board Exam Nov. 2008″ A three-hinged arch is shown in the figure. 1. Which of the following most nearly gives the vertical reaction at A in KiloNewtons: A. 31 B. 36 C. 28 D. 23 2. Which of the following most nearly gives the total reaction at the hinge in KiloNewtons: A. 45.2 B. 85.6 C. 54.1 D. 32.3 3. Which of the following most nearly gives the total reaction at B in KiloNewtons: A. 32.3 B. 45.2 C. 85.6 D. 54.1 Solution:
  • 2.
    Design and Construction“CE Board Exam Nov. 2008″ Concrete beam 8meters long and spaced 4m center-to-center are used to support a concrete slab 115 mm thick. The beams have effective depth of 650 mm measured from the slab surface, bw=300mm, and are reinforced for tension only with six 28-mm-diameter bars. The beams are to be analyzed as T-beams. Steel yield strength fy=350MPa and concrete strength fc=21MPa. 1. Which of the following most nearly give the width of slab effective as T-beam, in millimeters? A. 2000 B. 2140 C. 4000 D. 3250 2. Which of the following most nearly give the depth of compression block in millimeters? A. 36.2 B. 45.2 C. 56.3 D. 62.4 3. Which of the following most nearly give the nominal moment capacity of the beam in KiloNewton-Meter. A. 563 B. 784 C. 952 D. 817
  • 3.
    SOLUTION Design and Construction“CE Board Exam Nov. 2008″ Steel column 3.6m long and hinged at both ends is used to carry an axial load of 800kN. The column is subject to end moments about its strong axis (single curvature) with M1 = 90%M2. The frame is braced against joint translation and is not subjected to any transverse loading. Fy =248MPa, E=200GPa. The properties of the section are as follows: A=0.013 m2 rb=94 mm Sx=0.00099 m2 K=1.0
  • 4.
    1. Which ofthe following most nearly gives the computed (actual) axial stress of the column in MegaPascals. A. 57 B. 75 C. 62 D. 68 2. Which of the following most nearly gives the allowable axial compressive stress of the column in MegaPascals. A. 114 B. 120 C. 133 D. 148 3. From a separate calculation with Fb = 149MPa, which of the following most nearly gives the maximum moment that the column can carry, in KiloNewton-Meter. A. 85.6 B. 75.4 C. 71.4 D. 78.8
  • 5.
  • 6.
    Design and Construction“CE Board Exam Nov. 2008″ June 9th, 2010 admin No comments The implementing rules of PD 1594 defines an unbalanced bi as a bid containing one or more pay items that are 30% higher than the unit allowable government estimate (AGE) in respect to major items whereas other pay items are priced lower than the unit AGE. AGE is defined as one-half the sum of the AAE and the average of all responsive bids. For purposes of determining the average of all responsive bids, bids higher than 120% of the AAE or lower than 60% of the AAE shall not be considered. Major items are defined as pay items representing at least 20% of the AAE or those indicated or specified in the instruction to bidders. The responsive bids for a government project with 8 bid items are as follows (all cost figures are in thousands of pesos): Qty Total AAE Bidder A Bidder B Bidder C Item 1 100 1,000 1,000 1,250 750 Item 2 100 20,000 22,000 16,000 19,000 Item 3 500 5,000 4,000 6,100 5,100 Item 4 60 6,000 6,000 4,800 5,600 Item 5 1,000 3,000 2,900 3,300 2,800 Item 6 400 1,600 1,000 1,600 2,100 Item 7 3,000 3,000 2,500 2,400 3,200 Item 8 20 25,000 31,000 20,000 26,000 1. Which of the following most nearly gives the total AAE in thousand pesos: A. 64,600 B. 54,800 C. 48,000 D. 71,000 2. Which of the following give the complete list of major item? A. Item 8 B. Items 2,4 & 8 C. Items 2,3,4, & 8 D. Items 2 & 8 3. Which of the following gives the complete list of unbalanced bids? A. Bidders A, B, C B. Bidders A, C C. Bidders A D. All are balanced bids Solution:
  • 7.
    Item Qty AAEBidder A Bidder B Bidder C Ave. of responsive bids AGE 130% of AGE 1 100 1,000 1,000 1,250 750 875 937.50 2 100 20,000 22,000 16,000 19,000 19000 19500 25,350 3 500 5,000 4,000 6,100 5,100 4550 4775 4 60 6,000 6,000 4,800 5,600 5467 5733.3 5 1,000 3,000 2,900 3,300 2,800 3000 3000 6 400 1,600 1,000 1,600 2,100 1300 1450 7 3,000 3,000 2,500 2,400 3,200 2700 2850 8 20 25,000 31,000 20,000 26,000 23000 24000 31200 Note: bids inside shaded boxes are not responsive bids. Unbalanced bids are those with bids higher than 130% of the AGE in respect to major items, while other items are priced lower than the unit AGE. Since no bid goes higher than 130% of AGE for items 2 & 8 (which are the major items), all bids are balance. Design and Construction “CE Board Exam Nov. 2008″ June 9th, 2010 admin No comments The area in the first quadrant is bounded by the curve shown in the figure. 1. Which of the following most nearly gives the area in square units? A. 2330 B. 2130 C. 2230 D. 2030 2. Which of the following most nearly gives the location of the centroid of the area from the y-axis? A. 52 B. 48 C. 42 D. 58 3. Which of the following most nearly gives the location of the centroid of the area from the x-axis? A. 20 B. 10 C. 15 D. 25
  • 8.
    Solution: Design and Construction“CE Board Exam Nov. 2008″ June 9th, 2010 admin No comments Bill of quantity is to be prepared for guardhouse 3.6 m in height with one door opening only and a height of 2.1m as shown. Assume density of steel equal to 7860 kg/m3 . CHB is 200 mm x 400 mm and 150 mm thick.
  • 9.
    1. Which ofthe following most nearly gives the total length of 12mm bars in meters: A. 72 B. 65 C. 86 D. 58 2. Which of the following most nearly gives the weight of 12mm bars in Kilogram per meters: A. 0.89 B. 0.75 C. 0.93 D. 0.63 3. Which of the following most nearly gives the total weight of 12mm bars in Kilograms: A. 44 B. 58 C. 77 D. 64 Solution:
  • 10.
    Design and Construction“CE Board Exam Nov. 2008″ A 4-m single span beam having a cross-section of 300mm x 500 mm carries a uniformly distributed load throughout its span. The beam is 80% stress grade Apitong with allowable bending stress of 16.5 MegaPascals, allowable shearing stress of 1.73 MPa and modulus of elasticity of 7.31 GigaPascals. Allowable deflection is 1/240 of the span. 1. Which of the following most nearly gives the value of the uniform load without exceeding the allowable bending stress of the beam, in KiloNewton per Meter. A. 118 B. 103 C. 132 D. 124 2. Which of the following most nearly gives the value of the uniform load without exceeding the allowable shearing stress of the beam, in KiloNewton per Meter. A. 63 B. 54 C. 87 D. 75 3. Which of the following most nearly gives the value of the uniform load without exceeding the allowable deflection, in KiloNewton per Meter.
  • 11.
    A. 102 B. 98 C.124 D. 114 Solution: Hydraulics “CE Board Exam Nov. 2008″
  • 12.
    A group offriction piles is shown in figure. The total load on the pile less the soil displaced by the footing is 1800kN. The clay is 16m thick. Ground water table is located 2m below the clay surface. 1. Compute for the effective pressure the mid height of the consolidating clay layer, in kPa. A. 186.4 B. 174.8 C. 147.6 D. 163.5 2. Compute for the compression index of the clay. A. 0.297 B. 0.245 C. 0.325 D. 0.288 3. What is the approximate settlement of the foundation? A. 150 mm B. 168 mm C. 214 mm D. 198 mm Solution:
  • 13.
    Hydraulics “CE BoardExam Nov. 2008″ A test is set-up as shown. A cylindrical mold 4” in diameter is filled with silt to height H1 = 0.2 ft, whose coefficient of permeability k1 = 6.1 x 10-4 ft/min. A second coaxial mold is placed on top of the first mold whose inside diameter is d=1.5” and whose height is H2 = 0.30 ft. Its thickness is negligible. The inside of this second mold is filled with the same silt, but the annular ring outside the small tube and outer tube is filled with sand whose coefficient of permeability is k2 = 2.5 x 10-3 ft/min.The test set-up is a permeameter of constant head. Water is placed in the mold and maintained at a level h=1.4ft. above the level of the outlet. It may be considered that the system consists of a fictitious soil of thickness H=H1 + H2 and coefficient of permeability kf. The following general equations may be useful: kv eq = H/[(H1/kv1) + (H2/kv2) + … + (Hn/kvn)] kv eq = (1/H)[kh1H1 + kh2H2 + … + khnHn]
  • 14.
    1. What isthe total flow of water in ft3 /min? A. 2.148 x 10-4 B. 3.521 x 10-4 C. 2.554 x 10-4 D. 2.874 x 10-4 2. What is the equivalent coefficient of permeability, kf, in ft/min? A. 1.045 x 10-3 B. 1.563 x 10-3 C. 1.874 x 10-3 D. 1.245 x 10-3 3. What is the total amount of water that percolated after 30minutes?D. 325.32 cm3 A. 217.12 cm3 B. 187.54 cm3 C. 256.32 cm3 D. 325.32 cm3
  • 15.
    Solution: Hydraulics “CE BoardExam Nov. 2008″ June 7th, 2010 admin No comments A cut slope was excavated in a saturated clay. The slope made an angle of 60° with the horizontal. When slope failure occurs, distance BC is 8m. Given: Stability number, m=0.185: γ=17 kN/m3 ; cu = 20kPa.
  • 16.
    1. What isthe stability factor? A. 6.32 B. 5.41 C. 4.57 D. 9.36 2. Determine the critical depth of cut in meters. A. 7.52 B. 6.36 C. 6.87 D. 5.21 3. What is the angle of failure plane in degrees? A. 19.5 B. 25.4 C. 22.5 D. 28.6 Solution: Hydraulics “CE Board Exam Nov. 2008″ A 4-meter thick sand layer is overlying a very thick dense clay layer. The water table is 2.5m below the ground (sand) surface. The sand have void ratio of 52% and the degree of saturation above water table is 37%. The clay has moisture content of 42%. Assume specific gravity of solids for both sand and clay equal to 2.65.
  • 17.
    1. Compute forthe value of the unit weight of sand above water table. A. 18.8 kN/m3 B. 18.3 kN/m3 C. 19.3 kN/m3 D. 17.5 kN/m3 2. Compute for the value of the total stress at a depth of 10m from the ground surface, in kPa. A. 174.5 B. 181.4 C. 196.3 D. 186.7 3. Compute for the value of the effective stress at a depth of 10m from the ground surface, in kPa. A. 98.6 B. 132.4 C. 124.5 D. 107.8 Solution:
  • 18.
    Hydraulics “CE BoardExam Nov. 2008″ A triaxial test was conducted on a cohesionless soil. At failure plane, the normal stress is 500kPa and the shearing stress is 300kPa.
  • 19.
    1. What isthe nearest value to the angle of internal friction of the soil? A. 31° B. 33° C. 29° D. 27° 2. What is the nearest value to the angle of failure plane? A. 60.5° B. 62.5° C. 58.5° D. 59.5° 3. What is the nearest value to the maximum principal stress in kPa? A. 1280 B. 1240 C. 1030 D. 1150 Hydraulics “CE Board Exam Nov. 2008″ Water flows on a straight 150m pipe, 600mm in diameter. The velocity of flow is 2.5m/s. Pipe thickness is 20mm. Bulk modulus of elasticity of water is 2.2 x 109 Pa. Modulus of elasticity of pipe material is 1.4 x 1011 Pa. 1. What is the composite modulus of elasticity of water? A. 5.24 x 109 Pa B. 4.67 x 109 Pa C. 1.85 x 109 Pa
  • 20.
    D. 1.49 x109 Pa 2. Determine the celerity of pressure wave of water. A. 1,365 m/s B. 1,458 m/s C. 1,056 m/s D. 1,223 m/s 3. Determine the water hammer pressure assuming instantaneous closure. A. 3,425 kPa B. 3,057 kPa C. 2,875 kPa D. 3,254 kPa Solution: Hydraulics “CE Board Exam Nov. 2008″ A parallel pipe system is shown in the figure. The pressure head at A is 76m and the pressure head at B is 52m. Hazen Williams coefficient for all pipes C1 = 120. 1. Determine the nearest value to the flow in Line 1 in m3 /s. A. 0.103
  • 21.
    B. 0.056 C. 0.214 D.0.038 2. Determine the nearest value to the flow in Line 2 in m3 /s. A. 0.214 B. 0.038 C. 0.056 D. 0.103 3. Determine the nearest value to the total flow in m3 /s. A. 0.181 B. 0.164 C. 0.197 D. 0.214 Hydraulics “CE Board Exam Nov. 2008″ June 7th, 2010 admin No comments Two pressurized tanks A & B are connected at the bottom by 140mm-diameter short pipe as shown in figure. The coefficients of velocity and contraction of the short pipe are 0.92 and 0.86, respectively.
  • 22.
    1. What isthe flow through the pipe in m3 /s? A. 0.214 B. 0.115 C. 0.187 D. 0.231 2. What is the head lost in meters? A. 0.85 B. 0.53 C. 1.71 D. 1.32 3. What is the power lost in horsepower? A. 2.59 B. 1.93 C. 2.98 D. 1.45 Solution:
  • 23.
    Hydraulics “CE BoardExam Nov. 2008″ An open-top cylindrical tank 1 meter in diameter is 2.80m tall. The tank floats in water with a draft of 2.30 meters. Unit weight of lead is 110 kN/m3 . 1. What is the weight of tank in KiloNewtons? A. 19.54
  • 24.
    B. 21.57 C. 15.24 D.17.72 2. How much lead (in KiloNewtons) must be fastened to the outside bottom of the tank in order make it completely submerged in water? A. 100m B. 120m C. 150m D. 80m 3. How much lead (in KiloNewtons) must be place inside the tank in order make it completely submerged in water? A. 4.87 B. 4.21 C. 3.85 D. 3.24
  • 25.
    Design and Construction“CE Board Exam Nov. 2008″
  • 26.
    The implementing rulesof PD 1594 defines an unbalanced bi as a bid containing one or more pay items that are 30% higher than the unit allowable government estimate (AGE) in respect to major items whereas other pay items are priced lower than the unit AGE. AGE is defined as one-half the sum of the AAE and the average of all responsive bids. For purposes of determining the average of all responsive bids, bids higher than 120% of the AAE or lower than 60% of the AAE shall not be considered. Major items are defined as pay items representing at least 20% of the AAE or those indicated or specified in the instruction to bidders. The responsive bids for a government project with 8 bid items are as follows (all cost figures are in thousands of pesos): Qty Total AAE Bidder A Bidder B Bidder C Item 1 100 1,000 1,000 1,250 750 Item 2 100 20,000 22,000 16,000 19,000 Item 3 500 5,000 4,000 6,100 5,100 Item 4 60 6,000 6,000 4,800 5,600 Item 5 1,000 3,000 2,900 3,300 2,800 Item 6 400 1,600 1,000 1,600 2,100 Item 7 3,000 3,000 2,500 2,400 3,200 Item 8 20 25,000 31,000 20,000 26,000 1. Which of the following most nearly gives the total AAE in thousand pesos: A. 64,600 B. 54,800 C. 48,000 D. 71,000 2. Which of the following give the complete list of major item? A. Item 8 B. Items 2,4 & 8 C. Items 2,3,4, & 8 D. Items 2 & 8 3. Which of the following gives the complete list of unbalanced bids? A. Bidders A, B, C B. Bidders A, C C. Bidders A D. All are balanced bids Solution:
  • 27.
    Item Qty AAEBidder A Bidder B Bidder C Ave. of responsive bids AGE 130% of AGE 1 100 1,000 1,000 1,250 750 875 937.50 2 100 20,000 22,000 16,000 19,000 19000 19500 25,350 3 500 5,000 4,000 6,100 5,100 4550 4775 4 60 6,000 6,000 4,800 5,600 5467 5733.3 5 1,000 3,000 2,900 3,300 2,800 3000 3000 6 400 1,600 1,000 1,600 2,100 1300 1450 7 3,000 3,000 2,500 2,400 3,200 2700 2850 8 20 25,000 31,000 20,000 26,000 23000 24000 31200 Note: bids inside shaded boxes are not responsive bids. Unbalanced bids are those with bids higher than 130% of the AGE in respect to major items, while other items are priced lower than the unit AGE. Since no bid goes higher than 130% of AGE for items 2 & 8 (which are the major items), all bids are balance Mathematics “CE Board Exam Nov. 2008″ Given the following road cross-section notes in cut: Station 1000+100 2.75 1.00 0.50 9.45 0.00 4.50 Station 1000+220 2.50 1.25 0.80 8.50 0.00 6.00 Width of roadway is 8m. 1. Determine the area of cut at Station 1000+100 in square meter. A. 13.475 B. 12.586 C. 15.663 D. 10.685 2. Determine the area of cut at Station 1000+220 square meter.
  • 28.
    A. 12.586 B. 10.685 C.13.475 D. 15.663 3. Determine the volume of cut using the end-area method in cubic meter. A. 1,856.36 B. 1,748.25 C. 1,625.36 D. 1,997.58 Solution: Station 1000 + 100 A = ½ [4(2.75)+1(9.45)+1(4.5)+4(0.5)] = 13.475 m2
  • 29.
    Mathematics “CE BoardExam Nov. 2008″ A closed traverse ABCD has the following data: Line Length Bearing AB 122.00 N 30° E BC 149.00 N 60° E CD 241.00 S 10° E DA 159.00 N 70° W 1. Determine the corrected bearing of side BC using compass rule. A. N 59° 11’E B. N 59° 11’E C. N 60° 12’E D. N 60° 49’E 2. Determine the corrected bearing of side CD using the compass rule. A. 149.632 m B. 148.368 m C. 149.547 m D. 148.453 m 3. Determine the corrected length of side BC using the compass rule. A. 242.067 m B. 241.852 m C. 240.148 m D. 239.933 m Solution: Line Length Bearing Lat Dep AB 122.00 N 30° E 105.655 61.000 BC 149.00 N 60° E 74.500 129.038 CD 241.00 S 10° E -237.339 -41.849 DA 159.00 N 70° W 54.381 -149.411 Perimeter 671 Error -2.802 -1.223 Compass rule: The correction to be applied to the latitude (or departure) of any course is to the total absolute correction in latitude (or departure) as the length of the course is to the perimeter of the traverse.
  • 30.
    Side CL Corrected Latitude CD Corrected Departure Corrected Length Corrected Bearing AB0.510 106.165 0.222 61.222 122.552 N 29°58’15° E BC 0.622 75.122 0.271 129.309 149.547 N 59°50’43° E CD 1.007 -236.332 0.439 -41.410 239.933 S 9°56’18° W DA 0.664 55.045 0.290 -149.121 158.957 N 59°44’21° E Mathematics “CE Board Exam Nov. 2008″
  • 31.
    A telephone companyhave a production capacity of 500,000 units per month. At its present capacity of 350,000 units per month, the company have a total monthly income of P350,000,000. The company has a fixed cost of P100,000,000 per month and a variable cost of P200 per unit. 1. What is the present profit or loss in millions of pesos? A. 200 B. 210 C. 180 D. 190 2. What is the break-even quantity? A. 135,000 B. 125,000 C. 155,000 D. 165,000 3. If the production is increased to 80% of its capacity, what is the profit or loss in millions of pesos? A. 220 B. 250 C. 200 D. 190 Solution: Mathematics “CE Board Exam Nov. 2008″ The following data of road accident versus driver’s age form a quadratic equation: Age of Driver Accident per year 20 250 40 150 60 200
  • 32.
    1. Find thecoefficient a of x2 . A. 0.1875 B. 0.1575 C. 0.2125 D. 0.1765 2. Find the coefficient b of x. A. -14.75 B. -15.25 C. -17.75 D. -16.25 3. Find the number of accidents per year for an age of 30. A. 154.75 B. 254.25 C. 189.65 D. 181.25 Solution: Mathematics “CE Board Exam Nov. 2008″ A 50-kg block is being pushed horizontally with a constant force F such that its acceleration is 1 m/s2 . The coefficient of friction between the block and the surface is 0.40. The block has an initial velocity of 5 m/s. 1. What is the magnitude of the constant force F in Newtons? A. 265.8
  • 33.
    B. 246.2 C. 212.2 D.302.7 2. What is the distance travelled by the block after 10 seconds? A. 100m B. 120m C. 150m D. 80m 3. What is the velocity by the block after 5 seconds? A. 12 m/s B. 15 m/s C. 8 m/s D. 10 m/s Solution: Mathematics “CE Board Exam Nov. 2008″ Evaluate the following integrals:
  • 34.
    Mathematics “CE BoardExam Nov. 2008″ Line A has a slope of 04 and passes through (-25, – 10). Line B has x-intercept of 10 and y-intercept of 25. 1. Determine the distance of line A to point (8, -3). A. 35.85 B. 33.71 C. 30.21 D. 28.54 2. Determine the point of intersection of lines A and B. A. (-90, 240) B. (-90, 250) C. (-80, 250) D. (-80, 240) 3. Determine the equation of a line perpendicular to line B and passing through (-20, 10). A. 2x – 5y – 90 = 0 B. 2x + 5y + 90 = 0
  • 35.
    C. 2x +5y – 90 = 0 D. 2x – 5y + 90 = 0
  • 37.
    Mathematics “CE BoardExam Nov. 2008″ Answer the following problems: 1. Find the equation of the line parallel to 2x + y = 3 and normal to the curve y = x4 A. 8x + 4y + 9 = 0 B. 8x – 4y + 9 = 0 C. 32x + 16y – 17 = 0 D. 16x – 32y – 17 = 0 2. Find the angle of intersection of the curve x + xy = 1 and y3 = (x + 1)2. A. 100m B. 120m C. 150m D. 80m 3. Find the value of the second derivative of the curve y = x2 ex at x = -1. A. -0.368 B. -0.421 C. -0.587 D. -0.699 Solution:
  • 40.
    Mathematics “CE BoardExam Nov. 2008″ June 2nd, 2010 admin 1 comment The perimeter of a triangle is 102 cm and its area is 431.1554 square centimeters. Find the maximum radius of a circle that can be inscribed in this triangle. A. 7.63 cm B. 12.45 cm C. 9.54 cm D. 8.45 cm Solution: The maximum radius of the inscribed circle for this condition is given by the formula: At = rs s = semi-perimeter = 102/2 = 51 cm At = area of triangle = 34.772 431.1554 = r(51) r = 8.454 cm Mathematics “CE Board Exam Nov. 2008″ If a = 4 cos x + 6 sin x and b = 6 sin x – 4 cos x, what is the value of a2 + b2 ? A. 32+40 sin2 x B. 16+2- sin2 x C. 40+32 sin2 x D. 20+16 sin2 x Solution:
  • 41.
    Mathematics “CE BoardExam Nov. 2008″ Two interior angles of a triangle measure 48° and 62°. If the perimeter of this triangle is 84cm, find the longest side of the triangle. A. 28.91cm B. 34.56cm C. 30.76cm D. 24.33cm Solution:
  • 42.
    Mathematics “CE BoardExam Nov. 2008″ Salt is poured into a conical tank 100cm in diameter on top and 70cm high. If the volume of salt is 30,000 cm3 , what is the depth of salt in the tank? A. 45.21cm B. 38.29cm C. 31.25cm D. 52.45cm Solution:
  • 43.
    Mathematics “CE BoardExam Nov. 2008″ The lower and upper bases of a frustum of a pyramid measure 18cm x 18cm and 10cm x 10cm, respectively. If its lateral surface area is 448cm2 , find the altitude of the pyramid. A. 9.36cm B. 8cm C. 6.72cm D. 6.93cm Solution:
  • 44.
    Mathematics “CE BoardExam Nov. 2008″ What is the surface area of a sphere having a volume of 1904 cubic meters? A. 856.3 m2 B. 742 m2 C. 624.7 m2 D. 1056.2 m2 Solution: Design and Construction “CE Board Exam May 2008″ A load of 6 KiloNewtons is supported as shown. They pulley weighs 2 KiloNewtons.
  • 45.
    1. Which ofthe following most nearly gives the reaction at C in KiloNewtons: A. 8 B. 10 C. 9 D. 11 2. Which of the following most nearly gives the reaction at B in KiloNewtons: A. 30 B. 32 C. 41 D. 36 3. Which of the following most nearly gives the angle that the reaction at B make with the horizontal: A. 21.5° B. 29.6° C. 24.8° D. 22.4°
  • 47.
    Design and Construction“CE Board Exam May 2008″ May 21st, 2010 admin No comments A three-span continuous beam is shown. The provisions of the 1992 National Structural Code of the Philippine relevant to this problem are also given in the second figure.
  • 48.
    1. Which ofthe following most nearly gives the factored uniform load, in kiloNewtons per meter: A.6.32 B.5.65 C.7.45 D.4.58 2. Which of the following most nearly gives the ultimate (factored) bending moment at G, inkiloNewton-meters: A.24.8 B.21.9 C.27.7 D.32.2 3. Which of the following most nearly gives the ultimate (factored) bending moment at I, in kiloNewton-meters: A.16.5 B.14.9 C.12.4 D. 18.7 Solution:
  • 49.
    Design and Construction“CE Board Exam May 2008″ It is required to analyze the indeterminate truss shown. By superposition. The product AE = 10,000 where A is the cross-sectional area in m2 and E is the modulus of elasticity in Pascals.
  • 50.
    1. Which ofthe following most nearly gives the relative displacement of joints B and D if member BD is removed, in meters? A.0.012 B.0.004 C.0.005 D.0.008 2. Which of the following most nearly gives the relative displacement of joints B and D due to two unit loads (1 N) acting at joints B and D acting towards each other, if member BD is removed. A.0.001m B.0.003m C.0.004m D.0.002m 3. Which of the following most nearly gives the value of the force on member BD in Newtons? A.6.4 B.7.3 C.9.5 D. 7.9 Solution:
  • 51.
    Design and Construction“CE Board Exam May 2008″ It is required to construct the influence line for the beam shown.
  • 52.
    1. Which ofthe following most nearly gives the ordinate of the influence line for the vertical reaction at A at a point 4m from A: A. 0.33 B. 0.67 C. -0.33 D. -0.67 2. Which of the following most nearly gives the ordinate of the influence line for the shear at D at a point 4m from A: A. 0.67 B. -0.33 C. -0.67 D. 0.33 3. Which of the following most nearly gives the ordinate of the influence line for the moment at D at a point 4m from A: A. -0.67 B. 0.67 C. 0.33 D. -0.33 Solution: