Embed presentation
Download to read offline





























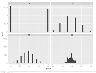
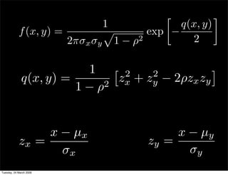
This document contains notes from a statistics course on March 24, 2009. It discusses: 1. A help session being moved to a different time and location. 2. A recap of the central limit theorem, including asking students to write down their understanding of it. 3. Continuing the proof of the central limit theorem and discussing alternative expressions and a fuller proof.



























