“The human understanding, on account of its
own nature, readily supposes a greater order
and uniformity in things than it finds. And ...
it devises parallels and correspondences and
relations which are not there.”
—Francis Bacon, 1620
Wednesday, 10 November 2010
“The human understanding, on account of its
own nature, readily supposes a greater order
and uniformity in things than it finds. And ...
it devises parallels and correspondences and
relations which are not there.”
—Francis Bacon, 1620
Is what we see reallythere?
Wednesday, 10 November 2010
October 2010
Hadley Wickham, Dianne Cook,
Heike Hofmann, Andreas Buja
Graphical inference
for infovis
Wednesday, 10 November 2010
Which one of these plots is not like the others?
Which of these plots just doesn’t belong?
Wednesday, 10 November 2010
7 of those plots were plots of random
(null) data. 1 plot was the real data.
If you correctly picked the true
plot from the null plots then we
have evidence that it really is
different.
In fact, we have rigorous statistical
evidence that there is a difference, just
using Sesame Street skills!
Wednesday, 10 November 2010
1. The statistical justice system
2. Line up protocol
3. Rorschach protocol
4. Future work
Wednesday, 10 November 2010
http://www.flickr.com/photos/joegratz/117048243
Hypothesis testing?
Wednesday, 10 November 2010
http://www.flickr.com/photos/joegratz/117048243
The statistical justice system
Hypothesis testing?
Wednesday, 10 November 2010
Ho: null hypothesis
Ha: alternative hypothesis
Defence
Prosecution
Wednesday, 10 November 2010
Ho: null hypothesis
Ha: alternative hypothesis
Defence
Prosecution
Null distribution Innocents
Wednesday, 10 November 2010
Ho: null hypothesis
Ha: alternative hypothesis
Defence
Prosecution
Reject the null
Fail to reject the null
Guilty
Not guilty
Null distribution Innocents
Wednesday, 10 November 2010
Ho: null hypothesis
Ha: alternative hypothesis
Defence
Prosecution
Reject the null
Fail to reject the null
Guilty
Not guilty
Null distribution Innocents
p-value Probability that a truly
innocent dataset
would look as guilty
as the suspect
Wednesday, 10 November 2010
Line up
Wednesday, 10 November 2010
believe believe
case
caseclosely
closely descendants
descendants few few
long long modified
modified variations
variations very
very view view
believe believe
case
caseclosely
closely descendants
descendants few few
long long modified
modified variations
variations very
very view view
believe believe
case
caseclosely
closely descendants
descendants few few
long long modified
modified variations
variations very
very view view
believe believe
case
caseclosely
closely descendants
descendants few few
long long modified
modified variations
variations very
very view view
believe believe
case
caseclosely
closely descendants
descendants few few
long long modified
modified variations
variations very
very view view
Five tag clouds of selected words from the 1st (red) and 6th (blue)
editions of Darwin’s “Origin of Species”. Four of the tag clouds were
generated under the null hypothesis of no difference between editions,
and one is the true data. Can you spot it?
Wednesday, 10 November 2010
believe believe
case
caseclosely
closely descendants
descendants few few
long long modified
modified variations
variations very
very view view
believe believe
case
caseclosely
closely descendants
descendants few few
long long modified
modified variations
variations very
very view view
believe believe
case
caseclosely
closely descendants
descendants few few
long long modified
modified variations
variations very
very view view
believe believe
case
caseclosely
closely descendants
descendants few few
long long modified
modified variations
variations very
very view view
believe believe
case
caseclosely
closely descendants
descendants few few
long long modified
modified variations
variations very
very view view
Five tag clouds of selected words from the 1st (red) and 6th (blue)
editions of Darwin’s “Origin of Species”. Four of the tag clouds were
generated under the null hypothesis of no difference between editions,
and one is the true data. Can you spot it?
Wednesday, 10 November 2010
Protocol
Generate n-1 decoys
(null datasets)
Plot the decoys + the real data
(randomly positioned)
Show to an impartial observer.
Can they spot the real data?
If so, you have evidence for true difference
(p-value = 1/n)
Wednesday, 10 November 2010
E. L. Scott, C. D. Shane, and M. D. Swanson. Comparison of the synthetic and actual distribution of galaxies on a
photographic plate. Astrophysical Journal, 119:91–112, Jan. 1954.
Wednesday, 10 November 2010
A. M. Noll. Human or machine: A subjective comparison of Piet Mondrian’s “composition with lines” (1917) and a computer-
generated picture. The Psychological Record, 16:1–10, 1966.
Wednesday, 10 November 2010
vs. classical tests
Of course, if we know what we’re looking
for, we can always develop an algorithm
or numerical test.
The advantage of visual inference is that
works for very general tasks, including
when you don’t know exactly what you’re
looking for.
Wednesday, 10 November 2010
ower of the test
!
Power
0.0
0.2
0.4
0.6
0.8
1.0
0.0
0.2
0.4
0.6
0.8
1.0
sigma = 12
!15 !10 !5 0 5 10 15
sigma = 5
!15 !10 !5 0 5 10 15
samplesize=100samplesize=300
power_curve
Theoretical test
Visual test
lower_CL
upper_CL
Recent work shows that power only
a little worse than classical test
Wednesday, 10 November 2010
Plot Task
Choropleth
map
Is there a spatial trend?
Treemap
Is the distribution in higher
level categories the same?
Scatterplot
Are the two variables
independent?
Time series
Is there a trend in mean or
variability?
Wednesday, 10 November 2010
Wednesday, 10 November 2010
Wednesday, 10 November 2010
Wednesday, 10 November 2010
Once we’ve seen the plot,
we’re no longer impartial
Wednesday, 10 November 2010
Code
# Support package written in R
# http://github.com/ggobi/nullabor
# Provides reference implementation of ideas
library(nullabor)
library(ggplot2)
qplot(angle * 180 / pi, r, data = threept) %+%
lineup(null_model(r ~ poly(angle, 2)), n = 10) +
facet_wrap(~ .sample, ncol = 5)
Wednesday, 10 November 2010
Rorschach
Wednesday, 10 November 2010
Rorschach
We’re surprisingly bad at appreciating the
amount of variation in random data.
Showing only null plots is a good way to
calibrate our intuition.
We also plan on using these plots as an
empirical tool to understand what features
people pick up on. Anecdotally,
undergrads focus too much on outliers
Wednesday, 10 November 2010
result
count
0
20
40
60
80
100
0
20
40
60
80
100
0
20
40
60
80
100
1
4
7
0.0 0.2 0.4 0.6 0.8 1.0
2
5
8
0.0 0.2 0.4 0.6 0.8 1.0
3
6
9
0.0 0.2 0.4 0.6 0.8 1.0
Wednesday, 10 November 2010
Future work
Wednesday, 10 November 2010
Future work
How can visual inference be integrated
into visualisation software at a
fundamental level?
How does training impact results? How do
novices vs. experts differ?
What patterns do people pick up on?
What are the alternatives that people
respond to?
Wednesday, 10 November 2010
Questions?
Wednesday, 10 November 2010
Wednesday, 10 November 2010
This work is licensed under the Creative
Commons Attribution-Noncommercial 3.0 United
States License. To view a copy of this license,
visit http://creativecommons.org/licenses/by-nc/
3.0/us/ or send a letter to Creative Commons,
171 Second Street, Suite 300, San Francisco,
California, 94105, USA.
Wednesday, 10 November 2010

Graphical inference

  • 1.
    “The human understanding,on account of its own nature, readily supposes a greater order and uniformity in things than it finds. And ... it devises parallels and correspondences and relations which are not there.” —Francis Bacon, 1620 Wednesday, 10 November 2010
  • 2.
    “The human understanding,on account of its own nature, readily supposes a greater order and uniformity in things than it finds. And ... it devises parallels and correspondences and relations which are not there.” —Francis Bacon, 1620 Is what we see reallythere? Wednesday, 10 November 2010
  • 3.
    October 2010 Hadley Wickham,Dianne Cook, Heike Hofmann, Andreas Buja Graphical inference for infovis Wednesday, 10 November 2010
  • 4.
    Which one ofthese plots is not like the others? Which of these plots just doesn’t belong? Wednesday, 10 November 2010
  • 5.
    7 of thoseplots were plots of random (null) data. 1 plot was the real data. If you correctly picked the true plot from the null plots then we have evidence that it really is different. In fact, we have rigorous statistical evidence that there is a difference, just using Sesame Street skills! Wednesday, 10 November 2010
  • 6.
    1. The statisticaljustice system 2. Line up protocol 3. Rorschach protocol 4. Future work Wednesday, 10 November 2010
  • 7.
  • 8.
    http://www.flickr.com/photos/joegratz/117048243 The statistical justicesystem Hypothesis testing? Wednesday, 10 November 2010
  • 9.
    Ho: null hypothesis Ha:alternative hypothesis Defence Prosecution Wednesday, 10 November 2010
  • 10.
    Ho: null hypothesis Ha:alternative hypothesis Defence Prosecution Null distribution Innocents Wednesday, 10 November 2010
  • 11.
    Ho: null hypothesis Ha:alternative hypothesis Defence Prosecution Reject the null Fail to reject the null Guilty Not guilty Null distribution Innocents Wednesday, 10 November 2010
  • 12.
    Ho: null hypothesis Ha:alternative hypothesis Defence Prosecution Reject the null Fail to reject the null Guilty Not guilty Null distribution Innocents p-value Probability that a truly innocent dataset would look as guilty as the suspect Wednesday, 10 November 2010
  • 13.
    Line up Wednesday, 10November 2010
  • 14.
    believe believe case caseclosely closely descendants descendantsfew few long long modified modified variations variations very very view view believe believe case caseclosely closely descendants descendants few few long long modified modified variations variations very very view view believe believe case caseclosely closely descendants descendants few few long long modified modified variations variations very very view view believe believe case caseclosely closely descendants descendants few few long long modified modified variations variations very very view view believe believe case caseclosely closely descendants descendants few few long long modified modified variations variations very very view view Five tag clouds of selected words from the 1st (red) and 6th (blue) editions of Darwin’s “Origin of Species”. Four of the tag clouds were generated under the null hypothesis of no difference between editions, and one is the true data. Can you spot it? Wednesday, 10 November 2010
  • 15.
    believe believe case caseclosely closely descendants descendantsfew few long long modified modified variations variations very very view view believe believe case caseclosely closely descendants descendants few few long long modified modified variations variations very very view view believe believe case caseclosely closely descendants descendants few few long long modified modified variations variations very very view view believe believe case caseclosely closely descendants descendants few few long long modified modified variations variations very very view view believe believe case caseclosely closely descendants descendants few few long long modified modified variations variations very very view view Five tag clouds of selected words from the 1st (red) and 6th (blue) editions of Darwin’s “Origin of Species”. Four of the tag clouds were generated under the null hypothesis of no difference between editions, and one is the true data. Can you spot it? Wednesday, 10 November 2010
  • 16.
    Protocol Generate n-1 decoys (nulldatasets) Plot the decoys + the real data (randomly positioned) Show to an impartial observer. Can they spot the real data? If so, you have evidence for true difference (p-value = 1/n) Wednesday, 10 November 2010
  • 17.
    E. L. Scott, C. D.Shane, and M. D. Swanson. Comparison of the synthetic and actual distribution of galaxies on a photographic plate. Astrophysical Journal, 119:91–112, Jan. 1954. Wednesday, 10 November 2010
  • 18.
    A. M. Noll. Humanor machine: A subjective comparison of Piet Mondrian’s “composition with lines” (1917) and a computer- generated picture. The Psychological Record, 16:1–10, 1966. Wednesday, 10 November 2010
  • 19.
    vs. classical tests Ofcourse, if we know what we’re looking for, we can always develop an algorithm or numerical test. The advantage of visual inference is that works for very general tasks, including when you don’t know exactly what you’re looking for. Wednesday, 10 November 2010
  • 20.
    ower of thetest ! Power 0.0 0.2 0.4 0.6 0.8 1.0 0.0 0.2 0.4 0.6 0.8 1.0 sigma = 12 !15 !10 !5 0 5 10 15 sigma = 5 !15 !10 !5 0 5 10 15 samplesize=100samplesize=300 power_curve Theoretical test Visual test lower_CL upper_CL Recent work shows that power only a little worse than classical test Wednesday, 10 November 2010
  • 21.
    Plot Task Choropleth map Is therea spatial trend? Treemap Is the distribution in higher level categories the same? Scatterplot Are the two variables independent? Time series Is there a trend in mean or variability? Wednesday, 10 November 2010
  • 22.
  • 23.
  • 24.
  • 25.
    Once we’ve seenthe plot, we’re no longer impartial Wednesday, 10 November 2010
  • 26.
    Code # Support packagewritten in R # http://github.com/ggobi/nullabor # Provides reference implementation of ideas library(nullabor) library(ggplot2) qplot(angle * 180 / pi, r, data = threept) %+% lineup(null_model(r ~ poly(angle, 2)), n = 10) + facet_wrap(~ .sample, ncol = 5) Wednesday, 10 November 2010
  • 27.
  • 28.
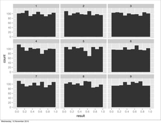
    Rorschach We’re surprisingly badat appreciating the amount of variation in random data. Showing only null plots is a good way to calibrate our intuition. We also plan on using these plots as an empirical tool to understand what features people pick up on. Anecdotally, undergrads focus too much on outliers Wednesday, 10 November 2010
  • 29.
    result count 0 20 40 60 80 100 0 20 40 60 80 100 0 20 40 60 80 100 1 4 7 0.0 0.2 0.40.6 0.8 1.0 2 5 8 0.0 0.2 0.4 0.6 0.8 1.0 3 6 9 0.0 0.2 0.4 0.6 0.8 1.0 Wednesday, 10 November 2010
  • 30.
  • 31.
    Future work How canvisual inference be integrated into visualisation software at a fundamental level? How does training impact results? How do novices vs. experts differ? What patterns do people pick up on? What are the alternatives that people respond to? Wednesday, 10 November 2010
  • 32.
  • 33.
  • 34.
    This work islicensed under the Creative Commons Attribution-Noncommercial 3.0 United States License. To view a copy of this license, visit http://creativecommons.org/licenses/by-nc/ 3.0/us/ or send a letter to Creative Commons, 171 Second Street, Suite 300, San Francisco, California, 94105, USA. Wednesday, 10 November 2010