Write a paragraph that ends with the sentence "I hope
never to be that frightened again!"
                            Friday
                        October 19, 2012            Adrianette
                                           Jordan
            Ayanna                Emily
                                         Christy
                                 Leslie        Ixza
                                        Jose         Lilah
                                            Bryan
                     Ricardo      Jessica
                               Samira               Jaileen
                                   Alexis Donovan Philicia
                                              Kathy
                                 Carlos
                                  Edward Michael
  Yamilee                                           David
                                      Kareena
                                  Diana
                                            Alejandra       Remy
                                JeffreyLeon
Morning Work

DO NOW:
Write the x2
Times Table ten
times.
Reading ­ Rescue Dogs (p. 112)
Talk About It
In what situations
do you hear
about dogs
coming to the
rescue? What
abilities do dogs
have that make
them useful for      Picture Prompt ­ Look at the picture
                     and respond in writing.
rescue work?
smell      sight

             touch
hearing
           overall keen sense
digging    taste
athletic     running
A fragrance is a sweet or pleasant smell.

A celebration is a special event.

If you have a variety of apples, you have
different kinds of apples.

Something that is moistened is made slightly
wet.
Cooperation takes place when everyone
works together on a task.

When something is canceled, it is called off.

A theory is a possible explanation that has
not been proven true.
If something is transformed, it is changed.
Reading ­ It's A Dog's Life (p. 114)
Thesaurus
A Thesaurus is a tool
that can help you
find synonyms for a
particular word. For
example, the word
fragrance may
have the following          The freshly painted
synonyms listed:            store had a strange
aroma, perfume, or          (fragrance, aroma,
scent.                      odor).
cause ­ makes something
happen (an effect)
                               When the
effect ­ what happens due to
                               If Joshua
the cause                      practice..
                               Since Da
                               boxes of 
common key words:
                               When Da
                               fire...
• because
                               Because 
• since                        broken... 
• so
• as a result
• which led to
Cause               Effect
Ms. Toni drops     Sparky picks up
    things.        the things that
                    Ms. Toni drops
    Ms. Toni       Sparky licks the
   prepares          envelopes.
  invitations.

 Ms. Toni goes        Sparky
  for a walk       accompanies
  downtown.            her.

Ms. Toni takes a
                   Sparky is quiet.
      nap.
                    Ms. Toni pets
Ms. Toni can't
                    and brushes
    sleep.
                       Sparky.
"Late for School"

    Panicked, Emilio ran toward school. He had overslept because his
alarm clock had not gone off. He didn't see the bus. He must've
missed it due to sleeping late. He had to walk to school since his
parents weren't home. "They must've already left for work," Emilio
thought. Since he had to walk, it took Emilio twice as long as usual to
arrive at school. When he finally reached his destination,Emilio
realized it was Saturday!

Fill in the table below. Write clue words in the oval.
Cause                         Effect                               because

Alarm clock did not go off.   He overslept.
                              He missed the bus.


His parents left for work.
                              Trip took twice as long as normal.
Reading ­ Pipiolo and the Roof Dogs (p. 116)
Genre
Fantasy tells a story
about characters
and events that
could not exist in
real life.
Read to Find Out
How does Pipiolo
change the lives of
the roof dogs?
adobe: sun­dried brick, used as a building
material.
aromas: agreeable odors or smells.
savior: a person or animal who saves
someone from harm, danger, or destruction.
Cause               Effect
 Lupe's house      Pipiolo is free to
does not have      walk with Lupe
  a flat roof.        to school.

Pipiolo stays up     He is tired
    all night.     during the day.

Pipiolo runs out
                   The driver slams
 in front of the
                    on his brakes.
      truck.
                    El Presidente
 The roof dogs         calls an
disappear from      emergency
San Pablo Etla.     meeting and
                   cancels school.
Class Assignment
Write a poem about a pet you
had, known, or read about that
did something extraordinary.
Use ABCB rhyme pattern for
each stanza. Go back to page
108 for review. Use loose­leaf.
Reading ­ Doggone Work (p. 134)
Genre
Nonfiction Articles
present facts about
real people, living
things, places, or
events.
Text Features
Charts organize
information and       • relays            • stamina
make it easy to       • characteristics   • retrieve
read.
Relays are fresh teams or supplies
that replace others.
Characteristics are special
qualities or features that belong
to and help identify a person or
thing.
If you have stamina, you can
endure tough conditions even
though you are tired.
To retrieve an object, you must
find it and return it.
Class Assignment
Complete questions 1­5 on page
133 in your classwork notebook.
Write the questions and answer
using complete sentences.
Work will be graded!
Reading ­ Write About an Experience with an
Animal (p. 138)
Unimportant
Details
Delete unimportant
details that do not tell
about your topic. Also
delete details that may
tell something about
your topic but are not
really important.
Experience/Details Chart
Experience          Details
                    • gray parrot, red
                      tail, yellow eyes
                    • for 3 years, never
My parrot             talked
finally talked to   • last night began
me.                   talking
                    • was using my
                      name
                    • I answered
4 Excellent              3 Good                   2 Fair                    1 Poor

                                                                      I need to write more       I have not paid
                                              I explained my main
                     I used important details                         clearly and be sure I      enough attention to
Content                                       idea, but I need to add
                     and information.                                 keep the purpose in        what I am supposed to
                                              more information.
                                                                      mind.                      write.

                                              Sometimes my writing
                     I was careful to                                  My writing may seem
                                              moves away from the                                 I need to organize my
                     organize the ideas                                more like a list than like
Organization                                  main point or details                               ideas so that my writing
                     logically and                                     a paragraph with ideas
                                              get in the way of the                               is clear.
                     effectively.                                      that go together.
                                              main point.

                                              My sentences are well
                     My sentences are not                                My writing is not
                                              written, but I did not try                         I need to write
Sentence             all the same. I used                                smooth, and I repeat
                                              different kinds of                                 complete sentences.
                     different sentences.                                myself at times.
                                              sentences.

                                              I may have made a
                                                                       Sometimes you cant        My mistakes in spelling
                                              mistake in grammar,
                                                                       read my writing, and I    and grammar keep my
                     My writing is neat and   spelling, or
Grammar & Spelling                                                     need to be more           reader from
                     almost perfect.          punctuation, but you
                                                                       careful about spelling    understanding what I
                                              can still understand
                                                                       and mechanics.            mean
                                              what I mean.
                     I tried to use interesting                                                  I need to choose a
                                                                       I need to use words
                     words or descriptions to At times I could have                              variety of words and
Word Choice                                                            that are strong and
                     make pictures in the       chosen better words.                             be sure that they are
                                                                       effective.
                     readers mind.                                                               just right.
giant
enormous
            massive
     fat
            large




 colossal   huge

            gigantic
helpful
Sense of smell
 smart
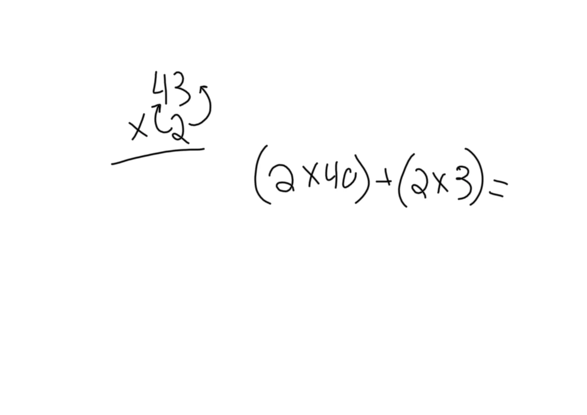
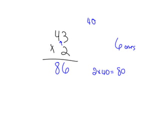
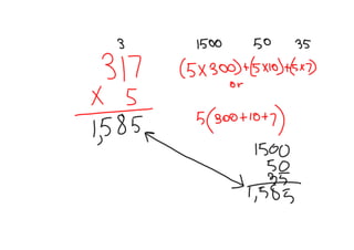
Math ­ Use Partial Products and the Distributive
Property (p. 113)
Distributive Property:
To multiply a sum by
a number, you can
multiply each
addend by the
same number and
add the products.
Math ­ Power Practice
DO NOW:

Complete the
Multiplication
Record Sheet.
Math ­ The Distributive Property (p. 119)
Distributive Property:
To multiply a sum by
a number, you can
multiply each
addend by the
same number and
add the products.
Math ­ Estimate Products (p. 125)
When a problem asks for
about how many, you
can use estimation,
rounding, and/or
compatible numbers.
Compatible numbers are
numbers in a problem
that are easy to compute
mentally.
Math ­ Multiply by One­Digit Numbers (p. 131)
ELA ­ Proper Adjectives (p. 266)
  A proper adjective is formed
  from a proper noun. A proper
  noun names a certain person,
  place, thing, or idea.

  We listened to Hawaiian songs.
ELA ­ Proper Adjectives (p. 266)

  A proper adjective begins with
  a capital letter.


  Spanish guitars           French horn
ELA ­ Proper Adjectives (p. 266)
  You can change many proper
  nouns into proper adjectives.
  Sometimes you need to
  change the spelling of proper
  nouns to change them into
  proper adjectives.
ELA ­ Proper Adjectives (p. 266)
    Here are the most common
    spelling changes:
        Proper Noun          Ending   Proper Adjective
       Japan          ­ese            Japanese
       Africa         ­n              African
       Egypt                          Egyptian
                      ­ian
       Italy                          Italian
       England        ­ish            English
Directions: Name the proper adjectives. There may be more than
one in each sentencte.
1. Cuban music has an interesting sound.
2. Spanish melodies are often used in
   Mexican music.
3. African rhythms can also be heard in
   some Caribbean songs.
4. You might even hear a French melody.
5. Many cultures have influenced Latin
   American music.
Scholastic Book Order ­ November




        Don't forget to put your order in !!!
Homework Summary for Friday, October 19, 2012

No Homework Friday

Have a nice weekend!
Range:

     Mode:




6
    Median:

     Mean:
    Reward
    10 Pizza Party
    8­9 Wheel of Fun
    7 BrainPOP
    6 Silent Reading
    4­5 Silent Snack
    2­3 Class Work
    1 No Snack
Attachments



     1314158

10.19.12 classwork friday

  • 1.
    Write a paragraphthat ends with the sentence "I hope never to be that frightened again!" Friday October 19, 2012 Adrianette Jordan Ayanna Emily Christy Leslie Ixza Jose Lilah Bryan Ricardo Jessica Samira Jaileen Alexis Donovan Philicia Kathy Carlos Edward Michael Yamilee David Kareena Diana Alejandra Remy JeffreyLeon
  • 2.
    Morning Work DO NOW: Writethe x2 Times Table ten times.
  • 3.
    Reading ­ RescueDogs (p. 112) Talk About It In what situations do you hear about dogs coming to the rescue? What abilities do dogs have that make them useful for Picture Prompt ­ Look at the picture and respond in writing. rescue work?
  • 4.
    smell sight touch hearing overall keen sense digging taste athletic running
  • 5.
    A fragrance isa sweet or pleasant smell. A celebration is a special event. If you have a variety of apples, you have different kinds of apples. Something that is moistened is made slightly wet.
  • 6.
    Cooperation takes placewhen everyone works together on a task. When something is canceled, it is called off. A theory is a possible explanation that has not been proven true.
  • 7.
    If something istransformed, it is changed.
  • 8.
    Reading ­ It'sA Dog's Life (p. 114) Thesaurus A Thesaurus is a tool that can help you find synonyms for a particular word. For example, the word fragrance may have the following The freshly painted synonyms listed: store had a strange aroma, perfume, or (fragrance, aroma, scent. odor).
  • 10.
    cause ­ makessomething happen (an effect) When the effect ­ what happens due to If Joshua the cause practice.. Since Da boxes of  common key words: When Da fire... • because Because  • since broken...  • so • as a result • which led to
  • 11.
    Cause Effect Ms. Toni drops Sparky picks up things. the things that Ms. Toni drops Ms. Toni Sparky licks the prepares envelopes. invitations. Ms. Toni goes Sparky for a walk accompanies downtown. her. Ms. Toni takes a Sparky is quiet. nap. Ms. Toni pets Ms. Toni can't and brushes sleep. Sparky.
  • 12.
    "Late for School" Panicked, Emilio ran toward school. He had overslept because his alarm clock had not gone off. He didn't see the bus. He must've missed it due to sleeping late. He had to walk to school since his parents weren't home. "They must've already left for work," Emilio thought. Since he had to walk, it took Emilio twice as long as usual to arrive at school. When he finally reached his destination,Emilio realized it was Saturday! Fill in the table below. Write clue words in the oval. Cause Effect because Alarm clock did not go off. He overslept. He missed the bus. His parents left for work. Trip took twice as long as normal.
  • 13.
    Reading ­ Pipioloand the Roof Dogs (p. 116) Genre Fantasy tells a story about characters and events that could not exist in real life. Read to Find Out How does Pipiolo change the lives of the roof dogs?
  • 14.
    adobe: sun­dried brick,used as a building material. aromas: agreeable odors or smells. savior: a person or animal who saves someone from harm, danger, or destruction.
  • 16.
    Cause Effect Lupe's house Pipiolo is free to does not have walk with Lupe a flat roof. to school. Pipiolo stays up He is tired all night. during the day. Pipiolo runs out The driver slams in front of the on his brakes. truck. El Presidente The roof dogs calls an disappear from emergency San Pablo Etla. meeting and cancels school.
  • 17.
    Class Assignment Write apoem about a pet you had, known, or read about that did something extraordinary. Use ABCB rhyme pattern for each stanza. Go back to page 108 for review. Use loose­leaf.
  • 18.
    Reading ­ DoggoneWork (p. 134) Genre Nonfiction Articles present facts about real people, living things, places, or events. Text Features Charts organize information and • relays • stamina make it easy to • characteristics • retrieve read.
  • 19.
    Relays are freshteams or supplies that replace others. Characteristics are special qualities or features that belong to and help identify a person or thing.
  • 20.
    If you havestamina, you can endure tough conditions even though you are tired. To retrieve an object, you must find it and return it.
  • 21.
    Class Assignment Complete questions1­5 on page 133 in your classwork notebook. Write the questions and answer using complete sentences. Work will be graded!
  • 22.
    Reading ­ WriteAbout an Experience with an Animal (p. 138) Unimportant Details Delete unimportant details that do not tell about your topic. Also delete details that may tell something about your topic but are not really important.
  • 24.
    Experience/Details Chart Experience Details • gray parrot, red tail, yellow eyes • for 3 years, never My parrot talked finally talked to • last night began me. talking • was using my name • I answered
  • 29.
    4 Excellent 3 Good 2 Fair 1 Poor I need to write more I have not paid I explained my main I used important details clearly and be sure I enough attention to Content idea, but I need to add and information. keep the purpose in what I am supposed to more information. mind. write. Sometimes my writing I was careful to My writing may seem moves away from the I need to organize my organize the ideas more like a list than like Organization main point or details ideas so that my writing logically and a paragraph with ideas get in the way of the is clear. effectively. that go together. main point. My sentences are well My sentences are not My writing is not written, but I did not try I need to write Sentence all the same. I used smooth, and I repeat different kinds of complete sentences. different sentences. myself at times. sentences. I may have made a Sometimes you cant My mistakes in spelling mistake in grammar, read my writing, and I and grammar keep my My writing is neat and spelling, or Grammar & Spelling need to be more reader from almost perfect. punctuation, but you careful about spelling understanding what I can still understand and mechanics. mean what I mean. I tried to use interesting I need to choose a I need to use words words or descriptions to At times I could have variety of words and Word Choice that are strong and make pictures in the chosen better words. be sure that they are effective. readers mind. just right.
  • 30.
    giant enormous massive fat large colossal huge gigantic
  • 31.
  • 33.
    Math ­ UsePartial Products and the Distributive Property (p. 113) Distributive Property: To multiply a sum by a number, you can multiply each addend by the same number and add the products.
  • 39.
    Math ­ PowerPractice DO NOW: Complete the Multiplication Record Sheet.
  • 40.
    Math ­ TheDistributive Property (p. 119) Distributive Property: To multiply a sum by a number, you can multiply each addend by the same number and add the products.
  • 41.
    Math ­ EstimateProducts (p. 125) When a problem asks for about how many, you can use estimation, rounding, and/or compatible numbers. Compatible numbers are numbers in a problem that are easy to compute mentally.
  • 42.
    Math ­ Multiplyby One­Digit Numbers (p. 131)
  • 46.
    ELA ­ ProperAdjectives (p. 266) A proper adjective is formed from a proper noun. A proper noun names a certain person, place, thing, or idea. We listened to Hawaiian songs.
  • 47.
    ELA ­ ProperAdjectives (p. 266) A proper adjective begins with a capital letter. Spanish guitars French horn
  • 48.
    ELA ­ ProperAdjectives (p. 266) You can change many proper nouns into proper adjectives. Sometimes you need to change the spelling of proper nouns to change them into proper adjectives.
  • 49.
    ELA ­ ProperAdjectives (p. 266) Here are the most common spelling changes: Proper Noun Ending Proper Adjective Japan ­ese Japanese Africa ­n African Egypt Egyptian ­ian Italy Italian England ­ish English
  • 50.
    Directions: Name theproper adjectives. There may be more than one in each sentencte. 1. Cuban music has an interesting sound. 2. Spanish melodies are often used in Mexican music. 3. African rhythms can also be heard in some Caribbean songs. 4. You might even hear a French melody. 5. Many cultures have influenced Latin American music.
  • 51.
    Scholastic Book Order­ November Don't forget to put your order in !!!
  • 52.
    Homework Summary forFriday, October 19, 2012 No Homework Friday Have a nice weekend!
  • 53.
    Range: Mode: 6 Median: Mean: Reward 10 Pizza Party 8­9 Wheel of Fun 7 BrainPOP 6 Silent Reading 4­5 Silent Snack 2­3 Class Work 1 No Snack
  • 54.
    Attachments 1314158