If you could permanently trade places with someone,
whom would you choose? Explain.
                         Wednesday
                       October 17, 2012              Jordan


              Ayanna           Bryan       Ricardo Adrianette
                                  Leslie     Remy Philicia
                                        Christy
                                 Emily            Jessica
                                Ixza      Jaileen
                               Samira
                                  Alexis     Donovan Jeffrey
                                                  Leon
                                Diana      Alejandra
                                                   David
                                  Kathy     Michael
                                  Carlos Yamilee
                                  Edward
                                   Kareena                    Jose


                                             Lilah
Reading ­ Rescue Dogs (p. 112)
Talk About It
In what situations
do you hear
about dogs
coming to the
rescue? What
abilities do dogs
have that make
them useful for      Picture Prompt ­ Look at the picture
                     and respond in writing.
rescue work?
smell      sight

             touch
hearing
           overall keen sense
digging    taste
athletic     running
A fragrance is a sweet or pleasant smell.

A celebration is a special event.

If you have a variety of apples, you have
different kinds of apples.

Something that is moistened is made slightly
wet.
Cooperation takes place when everyone
works together on a task.

When something is canceled, it is called off.

A theory is a possible explanation that has
not been proven true.
If something is transformed, it is changed.
Reading ­ It's A Dog's Life (p. 114)
Thesaurus
A Thesaurus is a tool
that can help you
find synonyms for a
particular word. For
example, the word
fragrance may
have the following          The freshly painted
synonyms listed:            store had a strange
aroma, perfume, or          (fragrance, aroma,
scent.                      odor).
cause ­ makes something
happen (an effect)
                               When the
effect ­ what happens due to
                               If Joshua
the cause                      practice..
                               Since Da
                               boxes of 
common key words:
                               When Da
                               fire...
• because
                               Because 
• since                        broken... 
• so
• as a result
• which led to
Cause               Effect
Ms. Toni drops     Sparky picks up
    things.        the things that
                    Ms. Toni drops
    Ms. Toni       Sparky licks the
   prepares          envelopes.
  invitations.

 Ms. Toni goes        Sparky
  for a walk       accompanies
  downtown.            her.

Ms. Toni takes a
                   Sparky is quiet.
      nap.
                    Ms. Toni pets
Ms. Toni can't
                    and brushes
    sleep.
                       Sparky.
"Late for School"

    Panicked, Emilio ran toward school. He had overslept because his
alarm clock had not gone off. He didn't see the bus. He must've
missed it due to sleeping late. He had to walk to school since his
parents weren't home. "They must've already left for work," Emilio
thought. Since he had to walk, it took Emilio twice as long as usual to
arrive at school. When he finally reached his destination,Emilio
realized it was Saturday!

Fill in the table below. Write clue words in the oval.
Cause                         Effect                               because

Alarm clock did not go off.   He overslept.
                              He missed the bus.


His parents left for work.
                              Trip took twice as long as normal.
Reading ­ Pipiolo and the Roof Dogs (p. 116)
Genre
Fantasy tells a story
about characters
and events that
could not exist in
real life.
Read to Find Out
How does Pipiolo
change the lives of
the roof dogs?
adobe: sun­dried brick, used as a building
material.
aromas: agreeable odors or smells.
savior: a person or animal who saves
someone from harm, danger, or destruction.
Cause               Effect
 Lupe's house      Pipiolo is free to
does not have      walk with Lupe
  a flat roof.        to school.

Pipiolo stays up     He is tired
    all night.     during the day.

Pipiolo runs out
                   The driver slams
 in front of the
                    on his brakes.
      truck.
                    El Presidente
 The roof dogs         calls an
disappear from      emergency
San Pablo Etla.     meeting and
                   cancels school.
Class Assignment
Write a poem about a pet you
had, known, or read about that
did something extraordinary.
Use ABCB rhyme pattern for
each stanza. Go back to page
108 for review. Use loose­leaf.
Class Assignment
Complete questions 1­5 on page
133 in your classwork notebook.
Write the questions and answer
using complete sentences.
Work will be graded!
Reading Homework
Use your Cause and Effect Chart
to help you summarize Pipiolo
and the Roof Dogs. In your own
words, tell how Pipiolo changed
the lives of the roof dogs.

Use your Homework notebook.
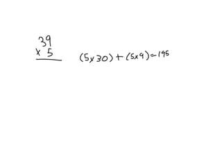
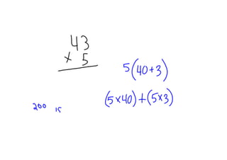
Math ­ Use Partial Products and the Distributive
Property (p. 113)
Distributive Property:
To multiply a sum by
a number, you can
multiply each
addend by the
same number and
add the products.
Math ­ Power Practice
DO NOW:

Complete the
Multiplication
Record Sheet.
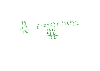
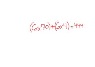
Math ­ The Distributive Property (p. 119)
Distributive Property:
To multiply a sum by
a number, you can
multiply each
addend by the
same number and
add the products.
Find each step mentally using the Distributive
Property. Show the steps that you used.
Math Homework
Independent Practice 3­10 on
page 121

Problem Solving 11­15 on page
122.
Spelling
   1. clear    11. blurt
   2. nerve    12. thirst
   3. squirt   13. spur
   4. verse    14. engineer
   5. surf     15. jeer
   6. lurk     16. sneer
   7. year     17. dreary
   8. stern    18. squirm
   9. spurts   19. swerve
   10. lurch   20. yearns
Spelling

 Review:
 • Write a story about a
   dog or other animal
   that has special skills.
 • Use what you know
   from any experiences
   that you have had
   with dogs or other       Homework
   animals.                 • Study for exam
 • Use six spelling words.    tomorrow
ELA ­ Demonstrative Adjectives (p. 264)
 A demonstrative adjective comes before
 a noun. Demonstrative adjectives tell
 which one or which ones.

This and these are demonstrative
adjectives that point out nearby people or
things.

That and those are demonstrative
adjectives that point out people or things
far away.
Language Arts
Homework
Extra Practice, page 331,
exercises 1­25
Scholastic Book Order ­ November




        Don't forget to put your order in !!!
Homework Summary ­ Wednesday, October 17, 2012

Reading
• Use your Cause and Effect Chart to help you summarize Pipiolo and the
  Roof Dogs. In your own words, tell how Pipiolo changed the lives of the
  roof dogs.

Math
• Independent Practice 3­10 on page 121
• Problem Solving 11­15 on page 122.

Spelling
• Study for exam tomorrow

Language Arts
• Extra Practice, page 331, exercises 1­25
Attachments



     1314158

10.17.12 classwork wednesday

  • 1.
    If you couldpermanently trade places with someone, whom would you choose? Explain. Wednesday October 17, 2012 Jordan Ayanna Bryan Ricardo Adrianette Leslie Remy Philicia Christy Emily Jessica Ixza Jaileen Samira Alexis Donovan Jeffrey Leon Diana Alejandra David Kathy Michael Carlos Yamilee Edward Kareena Jose Lilah
  • 2.
    Reading ­ RescueDogs (p. 112) Talk About It In what situations do you hear about dogs coming to the rescue? What abilities do dogs have that make them useful for Picture Prompt ­ Look at the picture and respond in writing. rescue work?
  • 3.
    smell sight touch hearing overall keen sense digging taste athletic running
  • 4.
    A fragrance isa sweet or pleasant smell. A celebration is a special event. If you have a variety of apples, you have different kinds of apples. Something that is moistened is made slightly wet.
  • 5.
    Cooperation takes placewhen everyone works together on a task. When something is canceled, it is called off. A theory is a possible explanation that has not been proven true.
  • 6.
    If something istransformed, it is changed.
  • 7.
    Reading ­ It'sA Dog's Life (p. 114) Thesaurus A Thesaurus is a tool that can help you find synonyms for a particular word. For example, the word fragrance may have the following The freshly painted synonyms listed: store had a strange aroma, perfume, or (fragrance, aroma, scent. odor).
  • 9.
    cause ­ makessomething happen (an effect) When the effect ­ what happens due to If Joshua the cause practice.. Since Da boxes of  common key words: When Da fire... • because Because  • since broken...  • so • as a result • which led to
  • 10.
    Cause Effect Ms. Toni drops Sparky picks up things. the things that Ms. Toni drops Ms. Toni Sparky licks the prepares envelopes. invitations. Ms. Toni goes Sparky for a walk accompanies downtown. her. Ms. Toni takes a Sparky is quiet. nap. Ms. Toni pets Ms. Toni can't and brushes sleep. Sparky.
  • 11.
    "Late for School" Panicked, Emilio ran toward school. He had overslept because his alarm clock had not gone off. He didn't see the bus. He must've missed it due to sleeping late. He had to walk to school since his parents weren't home. "They must've already left for work," Emilio thought. Since he had to walk, it took Emilio twice as long as usual to arrive at school. When he finally reached his destination,Emilio realized it was Saturday! Fill in the table below. Write clue words in the oval. Cause Effect because Alarm clock did not go off. He overslept. He missed the bus. His parents left for work. Trip took twice as long as normal.
  • 12.
    Reading ­ Pipioloand the Roof Dogs (p. 116) Genre Fantasy tells a story about characters and events that could not exist in real life. Read to Find Out How does Pipiolo change the lives of the roof dogs?
  • 13.
    adobe: sun­dried brick,used as a building material. aromas: agreeable odors or smells. savior: a person or animal who saves someone from harm, danger, or destruction.
  • 15.
    Cause Effect Lupe's house Pipiolo is free to does not have walk with Lupe a flat roof. to school. Pipiolo stays up He is tired all night. during the day. Pipiolo runs out The driver slams in front of the on his brakes. truck. El Presidente The roof dogs calls an disappear from emergency San Pablo Etla. meeting and cancels school.
  • 16.
    Class Assignment Write apoem about a pet you had, known, or read about that did something extraordinary. Use ABCB rhyme pattern for each stanza. Go back to page 108 for review. Use loose­leaf.
  • 17.
    Class Assignment Complete questions1­5 on page 133 in your classwork notebook. Write the questions and answer using complete sentences. Work will be graded!
  • 18.
    Reading Homework Use yourCause and Effect Chart to help you summarize Pipiolo and the Roof Dogs. In your own words, tell how Pipiolo changed the lives of the roof dogs. Use your Homework notebook.
  • 19.
    Math ­ UsePartial Products and the Distributive Property (p. 113) Distributive Property: To multiply a sum by a number, you can multiply each addend by the same number and add the products.
  • 25.
    Math ­ PowerPractice DO NOW: Complete the Multiplication Record Sheet.
  • 26.
    Math ­ TheDistributive Property (p. 119) Distributive Property: To multiply a sum by a number, you can multiply each addend by the same number and add the products.
  • 28.
    Find each stepmentally using the Distributive Property. Show the steps that you used.
  • 36.
    Math Homework Independent Practice3­10 on page 121 Problem Solving 11­15 on page 122.
  • 37.
    Spelling 1. clear 11. blurt 2. nerve 12. thirst 3. squirt 13. spur 4. verse 14. engineer 5. surf 15. jeer 6. lurk 16. sneer 7. year 17. dreary 8. stern 18. squirm 9. spurts 19. swerve 10. lurch 20. yearns
  • 38.
    Spelling Review: •Write a story about a dog or other animal that has special skills. • Use what you know from any experiences that you have had with dogs or other Homework animals. • Study for exam • Use six spelling words. tomorrow
  • 39.
    ELA ­ DemonstrativeAdjectives (p. 264) A demonstrative adjective comes before a noun. Demonstrative adjectives tell which one or which ones. This and these are demonstrative adjectives that point out nearby people or things. That and those are demonstrative adjectives that point out people or things far away.
  • 40.
    Language Arts Homework Extra Practice,page 331, exercises 1­25
  • 41.
    Scholastic Book Order­ November Don't forget to put your order in !!!
  • 42.
    Homework Summary ­Wednesday, October 17, 2012 Reading • Use your Cause and Effect Chart to help you summarize Pipiolo and the Roof Dogs. In your own words, tell how Pipiolo changed the lives of the roof dogs. Math • Independent Practice 3­10 on page 121 • Problem Solving 11­15 on page 122. Spelling • Study for exam tomorrow Language Arts • Extra Practice, page 331, exercises 1­25
  • 43.
    Attachments 1314158