VI. PROTEIN (POLI PEPTIDA)
• Berasal dr kata protos/proteus
• Sbg zat utama dalam pembentukan dan pertumbuhan
• Komponen utama sel
• Enzim: suatu protein yg berfungsi sbg biokatalis. Contoh protein:
eritrosit, antigen dll
• Tumbuhan membentuk protein dr CO2, H2O dan senyawa N
• Komponen rata2 protein adalah C 50%, H 7%, O2 23%, N 16%, S 0-
3% dan P 0-3%
• Hidrolisis oleh asam/enzim akan menghasilkan asam amino
• Terdapat 20 jenis asam amino yg membentuk protein, dan diikat
oleh ikatan peptida
• Protein: suatu polipeptida yg mempunyai bobot molekul yg sgt
bervariasi, dari 5000 hingga lebih 1 juta
• Protein ada yg mudah larut dlm air (hidrofilik), seperti
putih telur mudah larut dan bereaksi, ada yang sukar larut
dan bereaksi dalam air (hidrofobik), spt kuku, rambut, dll.
• Ikatan Peptida: sbg ikatan amida yang di bentuk oleh gugus
α-amino dari suatu asam amino dan gugus karboksilat dr
asam amino lainnya
• Asam2 amino dlm peptida di sebut sbg unit
peptida atau residu asam amino
• Suatu peptida yg di bentuk dr 2 residu asam
amino di sebut dipeptida, apabila 3 di sebut
tripeptida, dst.
• Polipeptida adalah suatu peptida dengan banyak
residu asam amino.
Peranan Protein
1. Katalis, enzim merpkan protein katalis yg mampu meningkatkan
laju reaksi sampai 1012
2. Transportasi dan penyimpanan, byk ion dan molekul kecil yg di
angkut dlm darah/sel dgn cara berikatan dgn protein pengangkut.
Contoh, hemoglobin pengangkut O2, protein ferritin dpt
membawa dan menyimpan Fe
3. Fungsi mekanik, protein sbg pembentuk struktur. Contoh protein
kolagen menguatkan kulit, gigi serta tulang. Membran yg
mengililingi sel jg merupakan protein pembentuk struktur
4. Pergerakan, kontraksi otot terjadi karena adanya interaksi protein
filamen, yaitu aktin dan miosin. Miosin jg memiliki aktivitas enzim
yg dpt memudahkan perubahan ATP menjadi mekanik
5. Pelindung, Antibodi merupakan protein
6. Proses informasi, rangsangan luar sperti intensitas cahaya di
deteksi oleh protein ttt yg meneruskan sinyal ke dalam sel. Contoh
rodopsin yg terdpt dlm membran retina
H2N
H
H
C C
O
OH
Carboxyl
group
H2N
H
CH3
C C
O
OH
Amino
group
H2N
H
H
C
O
C N C
C
H
H
CH3
OH
O
Peptide
bond
+ H2O
+
FORMATION OF A DIPEPTIDE BY WAY OF A PEPTIDE BOND
. A peptide bond is a covalent bond formed
between the carboxyl group of one amino acid
and the amino group of a second amino acid
• This is a condensation reaction
• Formed between the carboxyl group of one
amino acid and the amino group of another
• Water is eliminated
• Energetically very unfavorable
For example, a pentapeptide:
H
H H H H H H
O O O H H O H H O
N C C N N
C C C C
H CH3
CH2
OH
N-terminus
N C C
CH2
C
O
OH
CH2
N C C
CH
CH3
H3C
CH2
OH
H H O
N C C
H H O
N C C
H H O
N C C
CH2
SH
OH
C-terminus
POLYPEPTIDE CHAIN
Glisin Alanin As.
Aspartat
Serin Fenilalanin
Valin
Tirosin Sistein
H
H H H H H H
O O O H H O H H O
N C C N N
C C C C
H CH3 CH2
OH
N-terminus
N C C
CH2
C
O
OH
CH2
N C C
CH
CH3
H3C
CH2
OH
H H O
N C C
H H O
N C C
H H O
N C C
CH2
SH
OH
C-terminus
H2N
H
H
C C
O
OH
Carboxyl
group
H2N
H
CH3
C C
O
OH
Amino
group
H2N
H
H
C
O
C N C
C
H
H
CH3
OH
O
Peptide
bond
+ H2O
H2N Gly Ala Ser Asp
N-terminus
2
1 3 5
4 6 7 8
Phe Val Tyr Cys
C-terminus
COOH
+
SUMMARY OF PROTEIN STRUCTURE
Urutan Asam Amino Dlm Peptida
• Dua dipeptida yg berlainan dpt di bentuk
dr dua asam amino yg berlainan. Misalnya
glisin dan alanin dpt membentuk dua
dipeptida, dgn kependekan Gly-Ala dan
Ala-Gly
 Ikatan peptida terbentuk dari : COOH asam amino pertama
dengan NH2 dari asam amino berikutnya.
NH2 – CH - COOH NH2 – CH – COOH
H CH3
(Glisin) (Alanin)
O
- C – NH –
O
NH2 – CH – C - NH – CH – COOH Glisilalanin (Gly-Ala)
H CH3
NH2 – CH – COOH
CH3
NH2 – CH - COOH
H
+
Alanin Glisin
NH2 – CH – C
CH3
NH – CH - COOH
H
-
O
Alanin-glisin (Ala-Gly)
Asam Amino
• merupakan unit penyusun
protein
• Struktur:
satu atom C sentral yang
mengikat secara kovalent:
– gugus amino,
– gugus karboksil,
– satu atom H dan
– rantai samping (gugus R)
H2N
Amino
group
C
Side chain
R
H
C
O
OH
Carboxyl
group
Non-ionized form
STRUCTUR ASAM AMINO
Struktur Asam Amino
• Gugus R  rantai samping yang berbeda-beda pada
setiap jenis asam amino
• Gugus R yang berbeda-beda tersebut menentukan:
-. Struktur
-. Ukuran
-. Muatan elektrik
-. Sifat kelarutan di dalam air
Asam amino standar
• Asam amino yang menyusun
protein organisme ada 20 macam
disebut sebagai asam amino
standar
• Diketahui asam amino ke 21
disebut selenosistein (jarang
ditemukan) Terdapat di beberapa
enzim seperti gluthatione
peroxidase
• Selenenosistein mempy kode
genetik: UGA  biasa utk stop
kodon  tjd pd mRNA dgn
struktur 2nd yg banyak.
20 Amino
Acids
Note:
Variable
R Group
Asam amino
Klasifikasi Asam amino
• Diklasifikasikan berdasar gugus R (rantai samping)
• Biasanya sifat-sifat seperti: hidrofobik/hidrofilik,
polar/non polar, ada/tidaknya gugus terionisasi
AROMATIK
POLAR
ACIDIC (-)
BASIC (+)
NON
POLAR
Asam amino non polar
• Memiliki gugus R alifatik (hydrocarbon grup alkyl:
cabang alkana) atau aromatik (cincin benzena:
kecuali tirosin)
• Alanin, valin, leusin, isoleusin dan prolin,
phenyalanin, metionin dan triptopan
Asam amino dengan gugus R aromatik
• Fenilalanin, tirosin dan triptofan
• Bersifat relatif non polar  hidrofobik
• Tirosin  gugus hidroksil , triptofan  cincin indol
• Sehingga mampu membentuk ikatan hidrogen 
penting untuk menentukan struktur enzim
• Asam amino aromatik mampu menyerap sinar UV
λ 280 nm  sering digunakan utk menentukan
kadar protein
Asam amino polar
• Memiliki gugus R yang tidak bermuatan memiliki gugus
fungsi acids, amides, alcohols, and amines
• Serin, Sistein, Aspargin dan Glutamin
• Bersifat hidrofilik  mudah larut dalam air (paling tidak
satu atom bereaksi dgn air)
• Cenderung terdapat di bagian luar protein
• Sistein berbeda dgn yg lain, karena ggs R terionisasi pada
pH tinggi (pH = 8.3) sehingga dapat mengalami oksidasi
dengan sistein membentuk ikatan disulfide
• (-S-S-)  Sistein (tdk tmsk dlm a.a. standar karena selalu
tjd dari 2 buah molekul sistein dan tidak dikode oleh DNA)
Asam amino dengan gugus R bermuatan positif
• Lisin, arginin, dan histidin
• Mempunyai gugus yg bsft basa pd rantai sampingnya
• Bersifat polar  terletak di permukaan protein dapat
mengikat air.
• Histidin mempunyai muatan mendekati netral (pd
gugus imidazol) dibanding
– lisin  gugus amino
– arginin  gugus guanidino (plg basa)
• Krn histidin dpt terionisasi pada pH mendekati pH
fisioligis  sering berperan dlm reaksi ensimatis yg
melibatkan pertukaran proton
Asam amino dengan gugus R
bermuatan negatif
• Aspartat dan glutamat
• Mempunyai gugus karboksil pada rantai
sampingnya  bermuatan (-) / acid pada pH 7
Asam amino non standar
• Merupakan asam amino
diluar 20 mcm as. Amino
standar
• Terjadi karena modifikasi
yang terjadi setelah
suatu asam amino
standar menjadi protein.
• Kurang lebih 300 asam
amino non standar
dijumpai pada sel
modifikasi Serin yang
mengalami fosforilasi
oleh protein kinase
Sifat Asam Amino
1. Larut dalam air
2. Tidak larut dlm pelarut organik : eter, aseton dan
kloroform
3. Dlm air (pH netral), gugus COOH akan melepaskan
H+ dan NH2 akan menerima H+ shg membentuk
ion dg muatan + dan – (dipolar) yg dinamakan “
zwitter ion “.
34
Asam Amino sbg Asam dan Basa
• Zwitterion memiliki muatan + dan –
• Zwitterion : bersifat netral
NH2–CH2–COOH H3N+–CH2–COO–
glycine Zwitterion dari glycine
• Memiliki muatan berbeda pada lauran pH berbeda
Klasifikasi Protein
1. Protein Serat
molekul protein ini terdiri dari beberapa
rantai polipeptida yg memanjang dan
dihubungkan satu dengan lain oleh beberapa
ikatan silang hingga merupakan bentuk serat
atau serabut yg stabil
merupakan bentuk protein yg tidak larut yg
ditemukan dlm kulit, rambut, jaringan pengikat,
dan tulang. Dapat dibagi:
a. Kolagen yaitu protein pokok dari jaringan
pengikat, tulang, gigi, dan tendon.
b. Keratin yaitu protein pokok dari kulit, kuku,
sayap, dan rambut.
2. Protein Bujur Telur (Globular) yaitu protein
yg bentuknya bujur telur atau bulat
lonjong, umumnya larut dlm air.
Pada umumnya gugur R yg polar terletak di
sebelah luar rantai polipeptida, sedang yg
hidrofobik terletak di sebelah dalam
molekul protein.
Pada umumnya larut dlm air, larutan asam,
basa dan dalam etanol
Golongan ini dibagi dlm beberapa jenis, yaitu:
a. Albumin, dpt diidentifikasi krn larut dlm air dan
larutan garam. Terdapat dlm darah (protein
serum) dan putih telur (albumin telur)
b. Globulin, tdk larut dlm air, ttp larut dlm larutan
asam encer. Ɣ-Globulin adalah campuran
protein yg dpt diisolasi dr serum darah dan
mengandung antibodi
c. Histon dan Protamin adalah protein basa yg
larut dlm air. Dibanding dgn protein yg lain,
histon dan protamin dpt menghasilkan
kosentrasi asam amino yg besar.
Protamin mengandung Arginin 70-80% dr
kadar seluruh as. amino. Histon di bedakan dr
protamin dr bayaknya jenis asam amino yg di
kandung. Histon dan Protamin biasa di
temukan bergabung dengan asam nukleat
3. Protein Gabungan
Adalah protein yg bergabung dengan
senyawa bukan protein. Misalnya protein
dalam hemoglobin bergabung dengan besi
yg mengandung heme bukan protein.
Bagian bukan protein dalam protein
gabungan di sebut gugus prostetik. Contoh
lain adalah nukleoprotein, mukoprotein,
lipoprotein
Sifat-Sifat Protein
1. Ionisasi
- Protein dpt larut dlm air dan mmpunyai muatan positif dan
negatif
- Dlm basa (-) dan asam (+)
- Titik Isolistrik muatan seimbang
- pH diatas isolistrik muatan (-), dibawah (+)
- Untuk mengendapkan dgn logam (Ag+, Ca++, Zn++
Hg++, Fe++,Cu++ dan Pb++) pH di atas isolistrik,
sedangkan ion negatif (ion salisilat, triklorasetat, pikrat, tanat,
dan sulfosalisilat) pH di bawah isolistrik
2. Denaturasi
• Perubahan konformasi alamiah protein menjadi suatu
konformasi yg tdk menentu, disebut Denaturasi
• Konformasi protein berubah oleh perubahan suhu, pH, ion2
logam menyebabkan aktivitas biokimianya berkurang
• Bersifat reversibel, kadang2 tidak
• Protein mengalami koagulasi pd suhu 50oC atau lebih
• Protein yg terdenaturasi pd titik isolistriknya,
msh dpt larut pd pH di luar titik isolistrik
• Denaturasi di sebabkan oleh pH, suhu tinggi,
logam berat, gerakan mekanik, alkohol,
aseton, eter dan deterjen
3. Viskositas
• Adalah tahanan yg terjadi oleh adanya gesekan antara molekul2
di dlm zat cair yg mengalir
• Viskositas protein dlm air lbh besar dr air sebagai pelarut
• Alat utk mengukur Viskometer Ostwald
• Protein mmpunyai viskositas/kekentalan yg lbh besar dr air
4. Kristalisasi
• Proses kristalisasi protein tidak sama, ada yg mudah dan sulit
• Beberapa enzim (pepsin, tripsin, katalase, dan urease) mudah
dikristalkan, tetapi albumin pd serum atau telur sulit
mengalami kristal
• Kristalisasi dgn penambahan garam amonium sulfat atau NaCl
pd titik isolistrik atau penambahan aseton atau alkohol
• Kristalisasi adalah usaha utk menurunkan kelarutan.
5. Sistim Koloid
• Protein yg dpt menembus membran atau kertas
perkamen adalah protein yg dpt mengkristal dan disebut
kristaloid dan yg tdk dpt disebut koloid.
• Pengertian koloid dihubngkan dengan besarnya molekul
atau bobot molekul yg besar.
• Sistem koloid adalah sistem yg heterogen, terdiri dr 2 fase
yaitu partikel kecil yg terdispersi dan medium atau
pelarutnya
• Partikel koloid mmpunyai ukuran 1 – 100mμ
Hidrolisis protein
• Protein tereduksi menjadi peptida yang
lebih sederhana dan asam amino
- Membutuhkan asam/basa, air dan panas
(6M HCl, 110o, 16-72 jam, air)
• Serupa dengan pemecahan protein oleh
enzym
• Terjadi dlm sel untuk menghslkan asam amino
untuk sintesa protein dan jaringan lain

VI. Protein & Peptida.ppt

  • 1.
    VI. PROTEIN (POLIPEPTIDA) • Berasal dr kata protos/proteus • Sbg zat utama dalam pembentukan dan pertumbuhan • Komponen utama sel • Enzim: suatu protein yg berfungsi sbg biokatalis. Contoh protein: eritrosit, antigen dll • Tumbuhan membentuk protein dr CO2, H2O dan senyawa N • Komponen rata2 protein adalah C 50%, H 7%, O2 23%, N 16%, S 0- 3% dan P 0-3% • Hidrolisis oleh asam/enzim akan menghasilkan asam amino • Terdapat 20 jenis asam amino yg membentuk protein, dan diikat oleh ikatan peptida
  • 2.
    • Protein: suatupolipeptida yg mempunyai bobot molekul yg sgt bervariasi, dari 5000 hingga lebih 1 juta • Protein ada yg mudah larut dlm air (hidrofilik), seperti putih telur mudah larut dan bereaksi, ada yang sukar larut dan bereaksi dalam air (hidrofobik), spt kuku, rambut, dll. • Ikatan Peptida: sbg ikatan amida yang di bentuk oleh gugus α-amino dari suatu asam amino dan gugus karboksilat dr asam amino lainnya
  • 3.
    • Asam2 aminodlm peptida di sebut sbg unit peptida atau residu asam amino • Suatu peptida yg di bentuk dr 2 residu asam amino di sebut dipeptida, apabila 3 di sebut tripeptida, dst. • Polipeptida adalah suatu peptida dengan banyak residu asam amino.
  • 4.
    Peranan Protein 1. Katalis,enzim merpkan protein katalis yg mampu meningkatkan laju reaksi sampai 1012 2. Transportasi dan penyimpanan, byk ion dan molekul kecil yg di angkut dlm darah/sel dgn cara berikatan dgn protein pengangkut. Contoh, hemoglobin pengangkut O2, protein ferritin dpt membawa dan menyimpan Fe 3. Fungsi mekanik, protein sbg pembentuk struktur. Contoh protein kolagen menguatkan kulit, gigi serta tulang. Membran yg mengililingi sel jg merupakan protein pembentuk struktur
  • 5.
    4. Pergerakan, kontraksiotot terjadi karena adanya interaksi protein filamen, yaitu aktin dan miosin. Miosin jg memiliki aktivitas enzim yg dpt memudahkan perubahan ATP menjadi mekanik 5. Pelindung, Antibodi merupakan protein 6. Proses informasi, rangsangan luar sperti intensitas cahaya di deteksi oleh protein ttt yg meneruskan sinyal ke dalam sel. Contoh rodopsin yg terdpt dlm membran retina
  • 7.
    H2N H H C C O OH Carboxyl group H2N H CH3 C C O OH Amino group H2N H H C O CN C C H H CH3 OH O Peptide bond + H2O + FORMATION OF A DIPEPTIDE BY WAY OF A PEPTIDE BOND
  • 8.
    . A peptidebond is a covalent bond formed between the carboxyl group of one amino acid and the amino group of a second amino acid • This is a condensation reaction • Formed between the carboxyl group of one amino acid and the amino group of another • Water is eliminated • Energetically very unfavorable
  • 9.
    For example, apentapeptide:
  • 10.
    H H H HH H H O O O H H O H H O N C C N N C C C C H CH3 CH2 OH N-terminus N C C CH2 C O OH CH2 N C C CH CH3 H3C CH2 OH H H O N C C H H O N C C H H O N C C CH2 SH OH C-terminus POLYPEPTIDE CHAIN Glisin Alanin As. Aspartat Serin Fenilalanin Valin Tirosin Sistein
  • 11.
    H H H HH H H O O O H H O H H O N C C N N C C C C H CH3 CH2 OH N-terminus N C C CH2 C O OH CH2 N C C CH CH3 H3C CH2 OH H H O N C C H H O N C C H H O N C C CH2 SH OH C-terminus H2N H H C C O OH Carboxyl group H2N H CH3 C C O OH Amino group H2N H H C O C N C C H H CH3 OH O Peptide bond + H2O H2N Gly Ala Ser Asp N-terminus 2 1 3 5 4 6 7 8 Phe Val Tyr Cys C-terminus COOH + SUMMARY OF PROTEIN STRUCTURE
  • 12.
    Urutan Asam AminoDlm Peptida • Dua dipeptida yg berlainan dpt di bentuk dr dua asam amino yg berlainan. Misalnya glisin dan alanin dpt membentuk dua dipeptida, dgn kependekan Gly-Ala dan Ala-Gly
  • 13.
     Ikatan peptidaterbentuk dari : COOH asam amino pertama dengan NH2 dari asam amino berikutnya. NH2 – CH - COOH NH2 – CH – COOH H CH3 (Glisin) (Alanin) O - C – NH – O NH2 – CH – C - NH – CH – COOH Glisilalanin (Gly-Ala) H CH3
  • 14.
    NH2 – CH– COOH CH3 NH2 – CH - COOH H + Alanin Glisin NH2 – CH – C CH3 NH – CH - COOH H - O Alanin-glisin (Ala-Gly)
  • 15.
    Asam Amino • merupakanunit penyusun protein • Struktur: satu atom C sentral yang mengikat secara kovalent: – gugus amino, – gugus karboksil, – satu atom H dan – rantai samping (gugus R)
  • 16.
  • 17.
  • 18.
    • Gugus R rantai samping yang berbeda-beda pada setiap jenis asam amino • Gugus R yang berbeda-beda tersebut menentukan: -. Struktur -. Ukuran -. Muatan elektrik -. Sifat kelarutan di dalam air
  • 19.
    Asam amino standar •Asam amino yang menyusun protein organisme ada 20 macam disebut sebagai asam amino standar • Diketahui asam amino ke 21 disebut selenosistein (jarang ditemukan) Terdapat di beberapa enzim seperti gluthatione peroxidase • Selenenosistein mempy kode genetik: UGA  biasa utk stop kodon  tjd pd mRNA dgn struktur 2nd yg banyak.
  • 20.
  • 21.
    Asam amino Klasifikasi Asamamino • Diklasifikasikan berdasar gugus R (rantai samping) • Biasanya sifat-sifat seperti: hidrofobik/hidrofilik, polar/non polar, ada/tidaknya gugus terionisasi AROMATIK POLAR ACIDIC (-) BASIC (+) NON POLAR
  • 22.
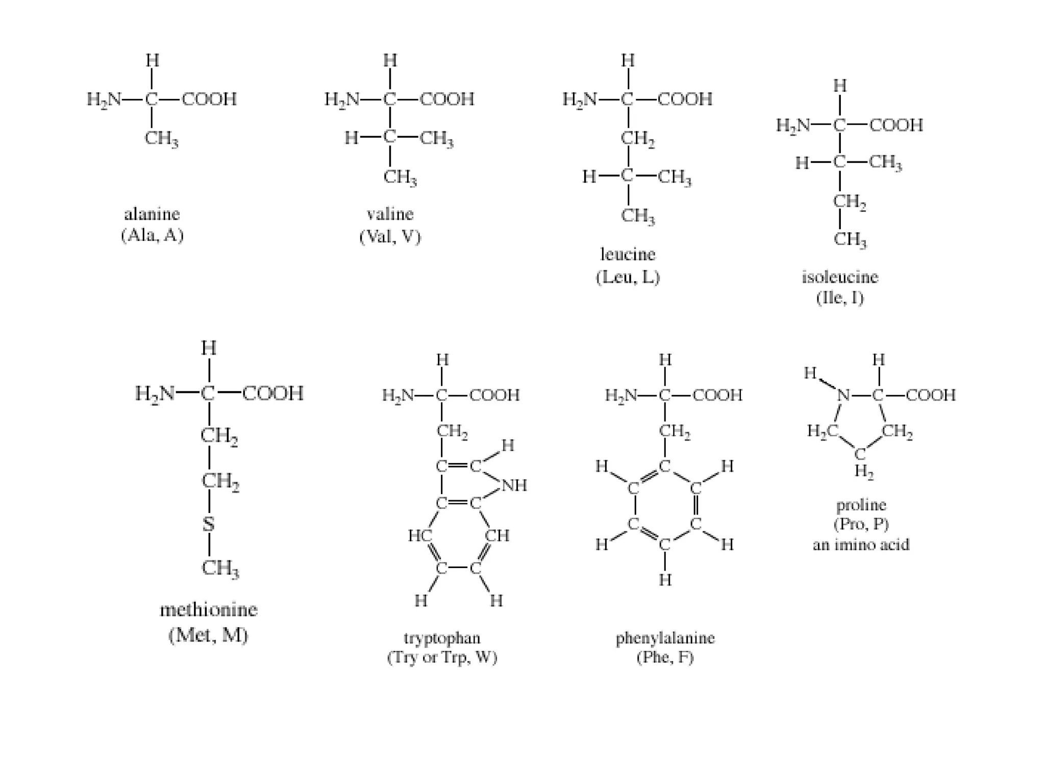
    Asam amino nonpolar • Memiliki gugus R alifatik (hydrocarbon grup alkyl: cabang alkana) atau aromatik (cincin benzena: kecuali tirosin) • Alanin, valin, leusin, isoleusin dan prolin, phenyalanin, metionin dan triptopan
  • 24.
    Asam amino dengangugus R aromatik • Fenilalanin, tirosin dan triptofan • Bersifat relatif non polar  hidrofobik • Tirosin  gugus hidroksil , triptofan  cincin indol • Sehingga mampu membentuk ikatan hidrogen  penting untuk menentukan struktur enzim • Asam amino aromatik mampu menyerap sinar UV λ 280 nm  sering digunakan utk menentukan kadar protein
  • 26.
    Asam amino polar •Memiliki gugus R yang tidak bermuatan memiliki gugus fungsi acids, amides, alcohols, and amines • Serin, Sistein, Aspargin dan Glutamin • Bersifat hidrofilik  mudah larut dalam air (paling tidak satu atom bereaksi dgn air) • Cenderung terdapat di bagian luar protein • Sistein berbeda dgn yg lain, karena ggs R terionisasi pada pH tinggi (pH = 8.3) sehingga dapat mengalami oksidasi dengan sistein membentuk ikatan disulfide • (-S-S-)  Sistein (tdk tmsk dlm a.a. standar karena selalu tjd dari 2 buah molekul sistein dan tidak dikode oleh DNA)
  • 28.
    Asam amino dengangugus R bermuatan positif • Lisin, arginin, dan histidin • Mempunyai gugus yg bsft basa pd rantai sampingnya • Bersifat polar  terletak di permukaan protein dapat mengikat air. • Histidin mempunyai muatan mendekati netral (pd gugus imidazol) dibanding – lisin  gugus amino – arginin  gugus guanidino (plg basa) • Krn histidin dpt terionisasi pada pH mendekati pH fisioligis  sering berperan dlm reaksi ensimatis yg melibatkan pertukaran proton
  • 30.
    Asam amino dengangugus R bermuatan negatif • Aspartat dan glutamat • Mempunyai gugus karboksil pada rantai sampingnya  bermuatan (-) / acid pada pH 7
  • 32.
    Asam amino nonstandar • Merupakan asam amino diluar 20 mcm as. Amino standar • Terjadi karena modifikasi yang terjadi setelah suatu asam amino standar menjadi protein. • Kurang lebih 300 asam amino non standar dijumpai pada sel modifikasi Serin yang mengalami fosforilasi oleh protein kinase
  • 33.
    Sifat Asam Amino 1.Larut dalam air 2. Tidak larut dlm pelarut organik : eter, aseton dan kloroform 3. Dlm air (pH netral), gugus COOH akan melepaskan H+ dan NH2 akan menerima H+ shg membentuk ion dg muatan + dan – (dipolar) yg dinamakan “ zwitter ion “.
  • 34.
    34 Asam Amino sbgAsam dan Basa • Zwitterion memiliki muatan + dan – • Zwitterion : bersifat netral NH2–CH2–COOH H3N+–CH2–COO– glycine Zwitterion dari glycine • Memiliki muatan berbeda pada lauran pH berbeda
  • 35.
    Klasifikasi Protein 1. ProteinSerat molekul protein ini terdiri dari beberapa rantai polipeptida yg memanjang dan dihubungkan satu dengan lain oleh beberapa ikatan silang hingga merupakan bentuk serat atau serabut yg stabil
  • 36.
    merupakan bentuk proteinyg tidak larut yg ditemukan dlm kulit, rambut, jaringan pengikat, dan tulang. Dapat dibagi: a. Kolagen yaitu protein pokok dari jaringan pengikat, tulang, gigi, dan tendon. b. Keratin yaitu protein pokok dari kulit, kuku, sayap, dan rambut.
  • 37.
    2. Protein BujurTelur (Globular) yaitu protein yg bentuknya bujur telur atau bulat lonjong, umumnya larut dlm air. Pada umumnya gugur R yg polar terletak di sebelah luar rantai polipeptida, sedang yg hidrofobik terletak di sebelah dalam molekul protein. Pada umumnya larut dlm air, larutan asam, basa dan dalam etanol
  • 38.
    Golongan ini dibagidlm beberapa jenis, yaitu: a. Albumin, dpt diidentifikasi krn larut dlm air dan larutan garam. Terdapat dlm darah (protein serum) dan putih telur (albumin telur) b. Globulin, tdk larut dlm air, ttp larut dlm larutan asam encer. Ɣ-Globulin adalah campuran protein yg dpt diisolasi dr serum darah dan mengandung antibodi
  • 39.
    c. Histon danProtamin adalah protein basa yg larut dlm air. Dibanding dgn protein yg lain, histon dan protamin dpt menghasilkan kosentrasi asam amino yg besar. Protamin mengandung Arginin 70-80% dr kadar seluruh as. amino. Histon di bedakan dr protamin dr bayaknya jenis asam amino yg di kandung. Histon dan Protamin biasa di temukan bergabung dengan asam nukleat
  • 40.
    3. Protein Gabungan Adalahprotein yg bergabung dengan senyawa bukan protein. Misalnya protein dalam hemoglobin bergabung dengan besi yg mengandung heme bukan protein. Bagian bukan protein dalam protein gabungan di sebut gugus prostetik. Contoh lain adalah nukleoprotein, mukoprotein, lipoprotein
  • 41.
    Sifat-Sifat Protein 1. Ionisasi -Protein dpt larut dlm air dan mmpunyai muatan positif dan negatif - Dlm basa (-) dan asam (+) - Titik Isolistrik muatan seimbang - pH diatas isolistrik muatan (-), dibawah (+) - Untuk mengendapkan dgn logam (Ag+, Ca++, Zn++ Hg++, Fe++,Cu++ dan Pb++) pH di atas isolistrik, sedangkan ion negatif (ion salisilat, triklorasetat, pikrat, tanat, dan sulfosalisilat) pH di bawah isolistrik
  • 42.
    2. Denaturasi • Perubahankonformasi alamiah protein menjadi suatu konformasi yg tdk menentu, disebut Denaturasi • Konformasi protein berubah oleh perubahan suhu, pH, ion2 logam menyebabkan aktivitas biokimianya berkurang • Bersifat reversibel, kadang2 tidak • Protein mengalami koagulasi pd suhu 50oC atau lebih
  • 43.
    • Protein ygterdenaturasi pd titik isolistriknya, msh dpt larut pd pH di luar titik isolistrik • Denaturasi di sebabkan oleh pH, suhu tinggi, logam berat, gerakan mekanik, alkohol, aseton, eter dan deterjen
  • 44.
    3. Viskositas • Adalahtahanan yg terjadi oleh adanya gesekan antara molekul2 di dlm zat cair yg mengalir • Viskositas protein dlm air lbh besar dr air sebagai pelarut • Alat utk mengukur Viskometer Ostwald • Protein mmpunyai viskositas/kekentalan yg lbh besar dr air
  • 45.
    4. Kristalisasi • Proseskristalisasi protein tidak sama, ada yg mudah dan sulit • Beberapa enzim (pepsin, tripsin, katalase, dan urease) mudah dikristalkan, tetapi albumin pd serum atau telur sulit mengalami kristal • Kristalisasi dgn penambahan garam amonium sulfat atau NaCl pd titik isolistrik atau penambahan aseton atau alkohol • Kristalisasi adalah usaha utk menurunkan kelarutan.
  • 46.
    5. Sistim Koloid •Protein yg dpt menembus membran atau kertas perkamen adalah protein yg dpt mengkristal dan disebut kristaloid dan yg tdk dpt disebut koloid. • Pengertian koloid dihubngkan dengan besarnya molekul atau bobot molekul yg besar. • Sistem koloid adalah sistem yg heterogen, terdiri dr 2 fase yaitu partikel kecil yg terdispersi dan medium atau pelarutnya • Partikel koloid mmpunyai ukuran 1 – 100mμ
  • 47.
    Hidrolisis protein • Proteintereduksi menjadi peptida yang lebih sederhana dan asam amino - Membutuhkan asam/basa, air dan panas (6M HCl, 110o, 16-72 jam, air) • Serupa dengan pemecahan protein oleh enzym • Terjadi dlm sel untuk menghslkan asam amino untuk sintesa protein dan jaringan lain