Graduate Final Project
CAD/CAM THEORY AND APPLICATIONS
(Design of a Multi-Element Wing)
- Rishabh Verma
PURDUE SCHOOL OF ENGINEERING AND TECHNOLOGY
INDIANA UNIVERSITY PURDUE UNIVERSITY INDIANAPOLIS
Objective-
To model a rear wing for a race car, with modification to a Multi-Element wing profile with
and without a Gurney flap; on a CAD modelling software. Specific analysis on the
downforce, angleof attack and drag force created by the various airfoilconfigurations.
Theory of Airfoils -
A fixed-wing aircraft's wings, horizontal, and vertical stabilizers are built with airfoil-shaped
cross sections, as arehelicopter rotor blades. Airfoils are also found in propellers, fans,
compressors and turbines. Sails arealso airfoils, and the underwater surfaces of sailboats,
such as the centerboard and keel, are similar in cross-section and operate on the same
principles as airfoils. Swimming and flying creatures and even many plants and sessile
organisms employ airfoils/hydrofoils: common examples being bird wings, the bodies of
fish, and the shape of sand dollars. An airfoil-shaped wing can create downforceon an
automobile or other motor vehicle, improving traction.
Any object with an angle of attack in a moving fluid, such as a flat plate, a building, or the
deck of a bridge, will generate an aerodynamic force(called lift) perpendicular to the flow.
Airfoils are more efficient lifting shapes, able to generate more lift (up to a point), and to
generate lift with less drag.
A lift and drag curveobtained in wind tunnel testing is shown on the right. The curve
represents an airfoil with a positive camber so some lift is produced at zero angle of attack.
With increased angle of attack, lift increases in a roughly linear relation, called the slope of
the lift curve. At about 18 degrees this airfoil stalls, and lift falls off quickly beyond that. The
drop in lift can be explained by the action of the upper-surfaceboundary layer, which
separates and greatly thickens over the upper surfaceat and past the stall angle. The
thickened boundary layer's displacement thickness changes the airfoil's effective shape, in
particular it reduces its effective camber, which modifies the overall flow field so as to
reduce the circulation and the lift. The thicker boundary layer also causes a large increase in
pressuredrag, so that the overall drag increases sharply near and past the stall point.
Airfoil design is a major facet of aerodynamics. Various airfoils servedifferentflight
regimes. Asymmetric airfoils can generate lift at zero angle of attack, while a symmetric
airfoil may better suit frequent inverted flight as in an aerobatic airplane. In the region of
the ailerons and near a wingtip a symmetric airfoil can be used to increasethe range of
angles of attack to avoid spin–stall. Thus a large range of angles can be used without
boundary layer separation. Subsonic airfoils have a round leading edge, which is naturally
insensitive to the angle of attack. The cross section is not strictly circular, however: the
radius of curvatureis increased beforethe wing achieves maximum thickness to minimize
the chanceof boundary layer separation. This elongates the wing and moves the point of
maximum thickness back fromthe leading edge.
Supersonic airfoils are much more angular in shapeand can have a very sharp leading edge,
which is very sensitive to angle of attack. A supercriticalairfoil has its maximum thickness
close to the leading edge to have a lot of length to slowly shock the supersonic flow back to
subsonic speeds. Generally such transonic airfoils and also the supersonic airfoils havea
low camber to reducedrag divergence. Modern aircraftwings may have different airfoil
sections along the wing span, each one optimized for the conditions in each section of the
wing.
Movable high-lift devices, flaps and sometimes slats, are fitted to airfoils on almost every
aircraft. A trailing edge flap acts similarly to an aileron; however, it, as opposed to an
aileron, can be retracted partially into the wing if not used.
A laminar flow wing has a maximum thickness in the middle camber line. Analyzing the
Navier–Stokes equations in the linear regime shows thata negative pressuregradientalong
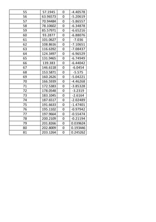
the flow has the same effect as reducing the speed. So with the maximum camber in the
middle, maintaining a laminar flow over a larger percentage of the wing at a higher cruising
speed is possible. However, somesurfacecontamination will disruptthe laminar flow,
making it turbulent. For example, with rain on the wing, the flow will be turbulent. Under
certain conditions, insect debris on the wing will causethe loss of small regions of laminar
flow as well. Before NASA's research in the 1970s and 1980stheaircraftdesign community
understood fromapplication attempts in the WW II era that laminar flow wing designs were
not practical using common manufacturing tolerances and surfaceimperfections. That
belief changed after new manufacturing methods were developed with composite
materials (e.g., graphite fiber) and machined metal methods wereintroduced. NASA's
research in the 1980s revealed the practicality and usefulness of laminar flow wing designs
and opened the way for laminar flow applications on modern practical aircraftsurfaces,
fromsubsonic general aviation aircraftto transonic large transportaircraft, to supersonic
designs.
Gurney Flaps - The Gurney Flap is a small tab projecting fromthe trailing edge of a wing.
Typically it is set at a right angle to the pressuresidesurfaceof the airfoil, and projects 1%
to 2% of the wing chord. This trailing edge device can improvethe performanceof a simple
airfoil to nearly the samelevel as a complex high-performancedesign.
The device operates by increasing pressureon the pressureside, decreasing pressureon
the suction side, and helping the boundary layer flow stay attached all the way to the
trailing edge on the suction side of the airfoil. Common applications occur in auto racing,
helicopter horizontalstabilizers, and aircraftwhere high lift is essential, such as banner-
towing airplanes.
Modelling Software Used – SolidWorks –
SolidWorks is a solid modeler, and utilizes a parametric feature-based approach to create
models and assemblies. The softwareis written on Parasolid-kernel.
Parameters refer to constraints whosevalues determine the shapeor geometry of the
model or assembly. Parameters can be either numeric parameters, such as line lengths or
circle diameters, or geometric parameters, such as tangent, parallel, concentric, horizontal
or vertical, etc. Numeric parameters can be associated with each other through the useof
relations, which allows them to capture design intent.
Design intent is how the creator of the partwants it to respond to changes and updates.
For example, you would want the hole at the top of a beverage can to stay at the top
surface, regardless of the height or size of the can. SolidWorks allows the user to specify
that the hole is a feature on the top surface, and will then honor their design intent no
matter what height they later assign to the can.
Features refer to the building blocks of the part. They are the shapes and operations that
constructthe part. Shape-based features typically begin with a 2D or 3D sketch of shapes
such as bosses, holes, slots, etc. This shapeis then extruded or cut to add or remove
material fromthe part. Operation-based features arenot sketch-based, and include
features such as fillets, chamfers, shells, applying draftto the faces of a part, etc.
Building a model in SolidWorks usually starts with a 2D sketch (although 3D sketches are
available for power users). Thesketch consists of geometry such as points, lines, arcs,
conics (except the hyperbola), and splines. Dimensions areadded to the sketch to define
the sizeand location of the geometry. Relations are used to define attributes such as
tangency, parallelism, perpendicularity, and concentricity. The parametric nature of
SolidWorks means that the dimensions and relations drivethe geometry, not the other way
around. The dimensions in the sketch can be controlled independently, or by relationships
to other parameters inside or outside of the sketch.
In an assembly, the analog to sketch relations are mates. Just as sketch relations define
conditions such as tangency, parallelism, and concentricity with respect to sketch
geometry, assembly mates define equivalent relations with respect to the individual parts
or components, allowing the easy construction of assemblies. SolidWorks also includes
additional advanced mating features such as gear and cam follower mates, which allow
modeled gear assemblies to accurately reproducethe rotational movement of an actual
gear train.
Analysis Software – OpenFOAM-
OpenFOAM(for "Open sourceField Operation and Manipulation") is a C++ toolbox for the
development of customized numerical solvers, and pre-/post-processing utilities for the
solution of continuum mechanics problems, including computational fluid dynamics (CFD).
OpenFOAMsolvers include:
 Simulation of burning Methane.
 Basic CFD solvers
 Incompressibleflow with RANS and LES capabilities
 Compressibleflow solvers with RANS and LES capabilities
 Buoyancy-driven flow solvers
 DNS and LES
 Multiphase flow solvers
 Particle-tracking solvers
 Solvers for combustion problems
 Solvers for conjugateheat transfer
 Molecular dynamics solvers
 Direct Simulation Monte Carlo solvers
 Electromagnetics solvers
 Solid dynamics solvers
 In addition to the standard solvers, OpenFOAM's syntaxlends itself to the easy
creation of customsolvers.
OpenFOAMutilities aresubdivided into:
 Mesh utilities
 Mesh generation: they generate computational grids starting either
froman input file (blockMesh), or froma generic geometry specified as
STL file, which is meshed automatically with hex-dominant grids
(snappyHexMesh)
 Mesh conversion: they convertgrids generated using other tools to the
OpenFOAMformat
 Mesh manipulation: they performspecific operations on the mesh such
as localized refinement, definition of regions, and others
 Parallel processing utilities: they providetools to decompose,
reconstructand re-distribute the computational caseto perform
parallel calculations
 Pre-processing utilities: tools to preparethe simulation cases
 Post-processing utilities: tools to process the results of simulation
cases, including a plugin to interface OpenFOAMand ParaView.
 Surfaceutilities
 Thermophysicalutilities
Advantages-
 Friendly syntaxfor partial differential equations.
 Fully documented sourcecode.
 Unstructured polyhedralgrid capabilities.
 Automatic parallelization of applications written using OpenFOAMhigh-level syntax.
 Wide range of applications and models ready to use.
 Commercial supportand training provided by the developers.
 No license costs.
Modelling – (SolidWorks Coordinates for Basic Airfoil modelling)
-Attached STL Files
Coordinates for
Airfoil
No. X - Y- Z-
1 203.2736 0 -0.24526
2 202.9728 0 -0.3812
3 202.0718 0 -0.78638
4 200.5747 0 -1.45288
5 198.4882 0 -2.36789
6 195.8222 0 -3.51373
7 192.5891 0 -4.86847
8 188.8047 0 -6.40669
9 184.4877 0 -8.09935
10 179.6597 0 -9.91575
11 174.3456 0 -11.8226
12 168.5739 0 -13.7857
13 162.3755 0 -15.7704
14 155.7847 0 -17.7422
15 148.8389 0 -19.6669
16 141.5784 0 -21.5118
17 134.0458 0 -23.2453
18 126.2864 0 -24.8386
19 118.3484 0 -26.2648
20 110.2813 0 -27.5001
21 102.1373 0 -28.524
22 93.96943 0 -29.3201
23 85.8327 0 -29.8757
24 77.65796 0 -30.1634
25 69.4629 0 -30.0313
26 61.47308 0 -29.4624
27 53.75453 0 -28.4836
28 46.37085 0 -27.1307
29 39.38158 0 -25.449
30 32.84139 0 -23.4905
31 26.79924 0 -21.3124
32 21.29719 0 -18.9754
33 16.37142 0 -16.5417
34 12.05118 0 -14.0722
35 8.359648 0 -11.6261
36 5.313883 0 -9.25779
37 2.925064 0 -7.01609
38 1.199693 0 -4.94162
39 0.139395 0 -3.0673
40 -0.25847 0 -1.41569
41 0 0 0
42 0.884733 0 1.134466
43 2.362403 0 1.95011
44 4.414723 0 2.45872
45 7.020357 0 2.677566
No. X - Y- Z-
46 10.1539 0 2.628595
47 13.78773 0 2.338629
48 17.89217 0 1.838554
49 22.43633 0 1.16271
50 27.38831 0 0.347675
51 32.71683 0 -0.56693
52 38.39058 0 -1.54087
53 44.3803 0 -2.53289
54 50.65735 0 -3.50134
55 57.1945 0 -4.40578
56 63.96573 0 -5.20619
57 70.94484 0 -5.86557
58 78.10602 0 -6.34878
59 85.57971 0 -6.65216
60 93.2877 0 -6.88076
61 101.0627 0 -7.036
62 108.8616 0 -7.10651
63 116.6392 0 -7.08437
64 124.3497 0 -6.96529
65 131.9465 0 -6.74949
66 139.383 0 -6.44042
67 146.6118 0 -6.0454
68 153.5871 0 -5.575
69 160.2626 0 -5.04221
70 166.5939 0 -4.46268
71 172.5383 0 -3.85328
72 178.0548 0 -3.2319
73 183.1045 0 -2.6164
74 187.6517 0 -2.02489
75 191.6633 0 -1.47401
76 195.1102 0 -0.97942
77 197.9664 0 -0.55474
78 200.2109 0 -0.21194
79 201.8266 0 0.039624
80 202.8009 0 0.193446
81 203.1264 0 0.245262
Velocity Vs X-directionvector plots for Stall Angle, Basic Airfoil
Design: with & without Gurney Flap
(OpenFoam Result Images)
Results
Run no. Date File Name Airspeed Drag Force Lift Force A A AR Rho Alpha Cd CL L/D
f/s in sq sq ft lb-sec2
/ ft4
deg
1 First Run 0 Degree 45 5.25 -197.76 454.15 3.153 5.91 2.38E-03 0.0 0.016 -0.604 37.669
2 AOA -3 degree 45 6.97 -293.23 454.15 3.153 5.91 2.38E-03 -3.0 0.021 -0.895 42.070
3 AOA -5 degree 45 7.72 -340.36 454.15 3.153 5.91 2.38E-03 -5.0 0.024 -1.039 44.088
4 AOA -6 degree 45 10.97 -339.88 454.15 3.153 5.91 2.38E-03 -6.0 0.033 -1.038 30.983
5 AOA -10 degree 45 18.31 -403.05 454.15 3.153 5.91 2.38E-03 -10.0 0.056 -1.230 22.013
6 AOA -11 degree 45 23.60 -370.72 454.15 3.153 5.91 2.38E-03 -11.0 0.072 -1.132 15.708
7 AOA -12 degree 45 23.05 -417.76 454.15 3.153 5.91 2.38E-03 -12.0 0.070 -1.275 18.124
8 AOA -14 degree 45 27.44 -451.47 454.15 3.153 5.91 2.38E-03 -14.0 0.084 -1.378 16.453
9 AOA -15 degree 45 31.56 -398.03 454.15 3.153 5.91 2.38E-03 -15.0 0.096 -1.215 12.612
10 AOA -16 degree 45 33.58 -435.41 454.15 3.153 5.91 2.38E-03 -16.0 0.103 -1.329 12.966
11 AOA -17 degree 45 41.64 -464.96 454.15 3.153 5.91 2.38E-03 -17.0 0.127 -1.419 11.166
12 AOA -17.10 45 38.8 -437.21 454.15 3.153 5.91 2.38E-03 -17.1 0.118 -1.335 11.268
13 AOA -17.25 45 48.51 -392.22 454.15 3.153 5.91 2.38E-03 -17.3 0.148 -1.197 8.085
14 AOA -18 degree 45 47.43 -389.01 454.15 3.153 5.91 2.38E-03 -18.0 0.145 -1.188 8.202
15 AOA -19 degree 45 44.85 -441.67 454.15 3.153 5.91 2.38E-03 -19.0 0.137 -1.348 9.848
16 AOA -21 degree 45 77.20 -336.04 454.15 3.153 5.91 2.38E-03 -21.0 0.236 -1.026 4.353
17 AOA with Gurney -0 45 11.47 -411.6 454.15 3.153 5.91 2.38E-03 0.0 0.035 -1.256 35.885
18 AOA with Gurney -5 45 21.78 -497.17 454.15 3.153 5.91 2.38E-03 -5.0 0.066 -1.518 22.827
19 AOA with Gurney-8 45 32.49 -519.27 454.15 3.153 5.91 2.38E-03 -8.0 0.099 -1.585 15.982
20 AOA with Gurney -10 45 35.02 -553.30 454.15 3.153 5.91 2.38E-03 -10.0 0.107 -1.689 15.800
21 AOA with Gurney -11 45 44.48 -470.28 454.15 3.153 5.91 2.38E-03 -11.0 0.136 -1.436 10.573
22 AOA with Gurney -12 45 44.30 -551.07 454.15 3.153 5.91 2.38E-03 -12.0 0.135 -1.682 12.440
23 AOA with Gurney -13 45 51.0 -571.7 454.15 3.153 5.91 2.38E-03 -13.0 0.156 -1.745 11.207
24 AOA with Gurney -14 45 52.5 -577.3 454.15 3.153 5.91 2.38E-03 -14.0 0.160 -1.762 10.998
25 AOA with Gurney -14.5 45 54.48 -538.57 454.15 3.153 5.91 2.38E-03 -14.5 0.166 -1.644 9.886
26 AOA with Gurney -15.1 45 59.2 -530.9 454.15 3.153 5.91 2.38E-03 -15.1 0.181 -1.621 8.969
27 AOA with Gurney -16 45 62.8 -534.0 454.15 3.153 5.91 2.38E-03 -16 0.192 -1.630 8.508
28 AOA with Gurney -17 45 62.9 -565.4 454.15 3.153 5.91 2.38E-03 -17 0.192 -1.726 8.991
29 AOA with Gurney -18 45 88.5 -450.1 454.15 3.153 5.91 2.38E-03 -18 0.270 -1.374 5.089
30 AOA with Gurney -19 45 82.8 -490.3 454.15 3.153 5.91 2.38E-03 -19 0.253 -1.497 5.924
31 AOA with Gurney -21 45 116.9 -379.6 454.15 3.153 5.91 2.38E-03 -21 0.357 -1.159 3.247
32 AOA with Gurney -23 45 138.0 -419.5 454.15 3.153 5.91 2.38E-03 -23 0.421 -1.281 3.040
Conclusions –
 The original airfoil stalls at 17.25 degrees, and Airfoilwith Gurney stalls at 14.5
degree. The cut plots of air velocity vs x- direction, shows thelarge wake of low
velocity air at the bottom surfaceof the wing. Also, Drag numbers suddenly increase,
whereas the lift numbers plummet for the specific attack angles.
 Velocity Vs X-direction plots for the two wing setup shows the velocity of air around
the airfoil, depicted with different colors. As the wing reaches initial stall, there is a
small green patch at the frontand the lower back surfaceof the airfoil, as the attack
angle increases and the wing reaches full stall, the green wakewidens with blue
areas showing even lower velocities. The wing stalls with a wide blue-green wake,
with the wing suffering frominduced drag.
 As seen fromthe History Table, as the angle of attack reaches full stall for the wing,
the lift coefficient drops as a result of large adversepressuregradientin the lower
back part, which in-turn creates a positive Cp at the top surface; the magnitude of lift
seen during stall, is mostly due to the front edge of the wing wherethe flow is still
attached. Whereas, the drag forceon the airfoil suddenly increases during stall due
to the aberrantincrease in the induced drag. Dueto decreasein the wind velocity
and the sudden change in its direction, a region of suction is formed, which coupled
with friction drag results into a high drag coefficient.
Velocity Vs X-direction vector plots for Stall Angle, Multi-
Element Airfoil Design: with & without Gurney Flap
(OpenFoam Result Images)
Results-
Runno. FileName Airspeed DragForce Drag LiftForce Lift A A AR Rho Alpha Cd CL L/D
f/s N Lbs N Lbs insq sqft lb-sec2
/ft4 deg
1 AOA2-Element0degree 146.65 9.38 2.10112 -503.08 -112.69 490.98 3.409 4.54 0.002377 0 0.024114 -1.29329 -53.6333
2 AOA2-Element-5degree 146.65 16.35 3.6624 -640.25 -143.416 490.98 3.409 4.54 0.002377 -5 0.042032 -1.64591 -39.159
3 AOA2-Element-9degree 146.65 39.86 8.92864 -677.62 -151.787 490.98 3.409 4.54 0.002377 -9 0.10247 -1.74198 -17
4 AOA2-Element-10degree 146.65 43.16 9.66784 -685.9 -153.642 490.98 3.409 4.54 0.002377 -10 0.110953 -1.76327 -15.892
5 AOA2-Element-11degree 146.65 50.29 11.26496 -693.19 -155.275 490.98 3.409 4.54 0.002377 -11 0.129282 -1.78201 -13.7839
6 AOA2-Element-12degree 146.65 56.4 12.6336 -698.83 -156.538 490.98 3.409 4.54 0.002377 -12 0.14499 -1.79651 -12.3906
7 AOA2-Element-13degree 146.65 62.53 14.00672 -691.51 -154.898 490.98 3.409 4.54 0.002377 -13 0.160748 -1.77769 -11.0589
8 AOA2-Element-14degree 146.65 67.23 15.05952 -658.48 -147.5 490.98 3.409 4.54 0.002377 -14 0.172831 -1.69278 -9.79444
9 AOA2-Element-15degree 146.65 76.49 17.13376 -648.33 -145.226 490.98 3.409 4.54 0.002377 -15 0.196636 -1.66669 -8.47601
10 AOA2-Element-18degree 146.65 98.96 22.16704 -562.37 -125.971 490.98 3.409 4.54 0.002377 -18 0.2544 -1.44571 -5.6828
11 AOA2-Element-20degree 146.65 127.25 28.504 -518.46 -116.135 490.98 3.409 4.54 0.002377 -20 0.327126 -1.33282 -4.07434
12 AOA2-ElementwithGurney0Deg 146.65 16.23 3.63552 -683.01 -152.994 490.98 3.409 4.54 0.002377 0 0.041723 -1.75584 -42.0832
13 AOA2-ElementwithGurney-2 146.65 21.28 4.76672 -718.13 -160.861 490.98 3.409 4.54 0.002377 -2 0.054705 -1.84612 -33.7467
14 AOA2-ElementwithGurney-5 146.65 42.38 9.49312 -744.9 -166.858 490.98 3.409 4.54 0.002377 -5 0.108948 -1.91494 -17.5767
15 AOA2-ElementwithGurney-6 146.65 48.14 10.78336 -733.69 -164.347 490.98 3.409 4.54 0.002377 -6 0.123755 -1.88612 -15.2408
16 AOA2-ElementwithGurney-7 146.65 54.07 12.11168 -759.53 -170.135 490.98 3.409 4.54 0.002377 -7 0.139 -1.95255 -14.0472
17 AOA2-ElementwithGurney-8 146.65 54.54 12.21696 -780.69 -174.875 490.98 3.409 4.54 0.002377 -8 0.140208 -2.00695 -14.3141
18 AOA2-ElementwithGurney-9 146.65 67.89 15.20736 -789.68 -176.888 490.98 3.409 4.54 0.002377 -9 0.174527 -2.03006 -11.6318
19 AOA2-ElementwithGurney-9.8 146.65 70 15.68 -761.62 -170.603 490.98 3.409 4.54 0.002377 -9.8 0.179952 -1.95792 -10.8803
20 AOA2-ElementwithGurney-10 146.65 69.69 15.61056 -775.09 -173.62 490.98 3.409 4.54 0.002377 -10 0.179155 -1.99255 -11.122
21 AOA2-ElementwithGurney-10.5 146.65 77.74 17.41376 -742.12 -166.235 490.98 3.409 4.54 0.002377 -10.5 0.199849 -1.9078 -9.54618
22 AOA2-ElementwithGurney-12 146.65 89.19 19.97856 -683.6 -153.126 490.98 3.409 4.54 0.002377 -12 0.229284 -1.75736 -7.66454
23 AOA2-ElementwithGurney-15 146.65 124.09 27.79616 -574.79 -128.753 490.98 3.409 4.54 0.002377 -15 0.319003 -1.47763 -4.63204
24 AOA2-ElementwithGurney-20 146.65 219.54 49.17696 -548.22 -122.801 490.98 3.409 4.54 0.002377 -20 0.56438 -1.40933 -2.49713
Conclusion-
 The Most Effective Angle of attack for the 2-element airfoil with
downforce of 156.538lbs is -12deg; and a gurney flap modification gives a
downforce of 176.88lbs at -9deg. All the airfoils have a Span of 1.2meters.
 There is a significant increase in the downforce numbers from the basic
airfoil to a 2-element wing with a gurney flap.
 The drag numbers doesn’t increase significantly, to diminish downforce
improvement. Hence, a two element wing with a gurney flap has been
designed.
 Results could be extrapolated according to the specific Aspect Ratio.

Verma Graduate Project CAD-CAM

  • 1.
    Graduate Final Project CAD/CAMTHEORY AND APPLICATIONS (Design of a Multi-Element Wing) - Rishabh Verma PURDUE SCHOOL OF ENGINEERING AND TECHNOLOGY INDIANA UNIVERSITY PURDUE UNIVERSITY INDIANAPOLIS
  • 2.
    Objective- To model arear wing for a race car, with modification to a Multi-Element wing profile with and without a Gurney flap; on a CAD modelling software. Specific analysis on the downforce, angleof attack and drag force created by the various airfoilconfigurations. Theory of Airfoils - A fixed-wing aircraft's wings, horizontal, and vertical stabilizers are built with airfoil-shaped cross sections, as arehelicopter rotor blades. Airfoils are also found in propellers, fans, compressors and turbines. Sails arealso airfoils, and the underwater surfaces of sailboats, such as the centerboard and keel, are similar in cross-section and operate on the same principles as airfoils. Swimming and flying creatures and even many plants and sessile organisms employ airfoils/hydrofoils: common examples being bird wings, the bodies of fish, and the shape of sand dollars. An airfoil-shaped wing can create downforceon an automobile or other motor vehicle, improving traction. Any object with an angle of attack in a moving fluid, such as a flat plate, a building, or the deck of a bridge, will generate an aerodynamic force(called lift) perpendicular to the flow. Airfoils are more efficient lifting shapes, able to generate more lift (up to a point), and to generate lift with less drag. A lift and drag curveobtained in wind tunnel testing is shown on the right. The curve represents an airfoil with a positive camber so some lift is produced at zero angle of attack. With increased angle of attack, lift increases in a roughly linear relation, called the slope of the lift curve. At about 18 degrees this airfoil stalls, and lift falls off quickly beyond that. The drop in lift can be explained by the action of the upper-surfaceboundary layer, which separates and greatly thickens over the upper surfaceat and past the stall angle. The thickened boundary layer's displacement thickness changes the airfoil's effective shape, in particular it reduces its effective camber, which modifies the overall flow field so as to reduce the circulation and the lift. The thicker boundary layer also causes a large increase in pressuredrag, so that the overall drag increases sharply near and past the stall point. Airfoil design is a major facet of aerodynamics. Various airfoils servedifferentflight regimes. Asymmetric airfoils can generate lift at zero angle of attack, while a symmetric airfoil may better suit frequent inverted flight as in an aerobatic airplane. In the region of the ailerons and near a wingtip a symmetric airfoil can be used to increasethe range of angles of attack to avoid spin–stall. Thus a large range of angles can be used without
  • 3.
    boundary layer separation.Subsonic airfoils have a round leading edge, which is naturally insensitive to the angle of attack. The cross section is not strictly circular, however: the radius of curvatureis increased beforethe wing achieves maximum thickness to minimize the chanceof boundary layer separation. This elongates the wing and moves the point of maximum thickness back fromthe leading edge. Supersonic airfoils are much more angular in shapeand can have a very sharp leading edge, which is very sensitive to angle of attack. A supercriticalairfoil has its maximum thickness close to the leading edge to have a lot of length to slowly shock the supersonic flow back to subsonic speeds. Generally such transonic airfoils and also the supersonic airfoils havea low camber to reducedrag divergence. Modern aircraftwings may have different airfoil sections along the wing span, each one optimized for the conditions in each section of the wing. Movable high-lift devices, flaps and sometimes slats, are fitted to airfoils on almost every aircraft. A trailing edge flap acts similarly to an aileron; however, it, as opposed to an aileron, can be retracted partially into the wing if not used. A laminar flow wing has a maximum thickness in the middle camber line. Analyzing the Navier–Stokes equations in the linear regime shows thata negative pressuregradientalong the flow has the same effect as reducing the speed. So with the maximum camber in the middle, maintaining a laminar flow over a larger percentage of the wing at a higher cruising speed is possible. However, somesurfacecontamination will disruptthe laminar flow, making it turbulent. For example, with rain on the wing, the flow will be turbulent. Under certain conditions, insect debris on the wing will causethe loss of small regions of laminar flow as well. Before NASA's research in the 1970s and 1980stheaircraftdesign community understood fromapplication attempts in the WW II era that laminar flow wing designs were not practical using common manufacturing tolerances and surfaceimperfections. That belief changed after new manufacturing methods were developed with composite materials (e.g., graphite fiber) and machined metal methods wereintroduced. NASA's research in the 1980s revealed the practicality and usefulness of laminar flow wing designs and opened the way for laminar flow applications on modern practical aircraftsurfaces, fromsubsonic general aviation aircraftto transonic large transportaircraft, to supersonic designs. Gurney Flaps - The Gurney Flap is a small tab projecting fromthe trailing edge of a wing. Typically it is set at a right angle to the pressuresidesurfaceof the airfoil, and projects 1% to 2% of the wing chord. This trailing edge device can improvethe performanceof a simple airfoil to nearly the samelevel as a complex high-performancedesign. The device operates by increasing pressureon the pressureside, decreasing pressureon the suction side, and helping the boundary layer flow stay attached all the way to the trailing edge on the suction side of the airfoil. Common applications occur in auto racing,
  • 4.
    helicopter horizontalstabilizers, andaircraftwhere high lift is essential, such as banner- towing airplanes. Modelling Software Used – SolidWorks – SolidWorks is a solid modeler, and utilizes a parametric feature-based approach to create models and assemblies. The softwareis written on Parasolid-kernel. Parameters refer to constraints whosevalues determine the shapeor geometry of the model or assembly. Parameters can be either numeric parameters, such as line lengths or circle diameters, or geometric parameters, such as tangent, parallel, concentric, horizontal or vertical, etc. Numeric parameters can be associated with each other through the useof relations, which allows them to capture design intent. Design intent is how the creator of the partwants it to respond to changes and updates. For example, you would want the hole at the top of a beverage can to stay at the top surface, regardless of the height or size of the can. SolidWorks allows the user to specify that the hole is a feature on the top surface, and will then honor their design intent no matter what height they later assign to the can. Features refer to the building blocks of the part. They are the shapes and operations that constructthe part. Shape-based features typically begin with a 2D or 3D sketch of shapes such as bosses, holes, slots, etc. This shapeis then extruded or cut to add or remove material fromthe part. Operation-based features arenot sketch-based, and include features such as fillets, chamfers, shells, applying draftto the faces of a part, etc. Building a model in SolidWorks usually starts with a 2D sketch (although 3D sketches are available for power users). Thesketch consists of geometry such as points, lines, arcs, conics (except the hyperbola), and splines. Dimensions areadded to the sketch to define the sizeand location of the geometry. Relations are used to define attributes such as tangency, parallelism, perpendicularity, and concentricity. The parametric nature of SolidWorks means that the dimensions and relations drivethe geometry, not the other way around. The dimensions in the sketch can be controlled independently, or by relationships to other parameters inside or outside of the sketch. In an assembly, the analog to sketch relations are mates. Just as sketch relations define conditions such as tangency, parallelism, and concentricity with respect to sketch geometry, assembly mates define equivalent relations with respect to the individual parts or components, allowing the easy construction of assemblies. SolidWorks also includes
  • 5.
    additional advanced matingfeatures such as gear and cam follower mates, which allow modeled gear assemblies to accurately reproducethe rotational movement of an actual gear train. Analysis Software – OpenFOAM- OpenFOAM(for "Open sourceField Operation and Manipulation") is a C++ toolbox for the development of customized numerical solvers, and pre-/post-processing utilities for the solution of continuum mechanics problems, including computational fluid dynamics (CFD). OpenFOAMsolvers include:  Simulation of burning Methane.  Basic CFD solvers  Incompressibleflow with RANS and LES capabilities  Compressibleflow solvers with RANS and LES capabilities  Buoyancy-driven flow solvers  DNS and LES  Multiphase flow solvers  Particle-tracking solvers  Solvers for combustion problems  Solvers for conjugateheat transfer  Molecular dynamics solvers  Direct Simulation Monte Carlo solvers  Electromagnetics solvers  Solid dynamics solvers  In addition to the standard solvers, OpenFOAM's syntaxlends itself to the easy creation of customsolvers. OpenFOAMutilities aresubdivided into:  Mesh utilities  Mesh generation: they generate computational grids starting either froman input file (blockMesh), or froma generic geometry specified as STL file, which is meshed automatically with hex-dominant grids (snappyHexMesh)  Mesh conversion: they convertgrids generated using other tools to the OpenFOAMformat  Mesh manipulation: they performspecific operations on the mesh such as localized refinement, definition of regions, and others
  • 6.
     Parallel processingutilities: they providetools to decompose, reconstructand re-distribute the computational caseto perform parallel calculations  Pre-processing utilities: tools to preparethe simulation cases  Post-processing utilities: tools to process the results of simulation cases, including a plugin to interface OpenFOAMand ParaView.  Surfaceutilities  Thermophysicalutilities Advantages-  Friendly syntaxfor partial differential equations.  Fully documented sourcecode.  Unstructured polyhedralgrid capabilities.  Automatic parallelization of applications written using OpenFOAMhigh-level syntax.  Wide range of applications and models ready to use.  Commercial supportand training provided by the developers.  No license costs. Modelling – (SolidWorks Coordinates for Basic Airfoil modelling) -Attached STL Files Coordinates for Airfoil No. X - Y- Z- 1 203.2736 0 -0.24526 2 202.9728 0 -0.3812 3 202.0718 0 -0.78638 4 200.5747 0 -1.45288 5 198.4882 0 -2.36789 6 195.8222 0 -3.51373 7 192.5891 0 -4.86847 8 188.8047 0 -6.40669 9 184.4877 0 -8.09935 10 179.6597 0 -9.91575 11 174.3456 0 -11.8226 12 168.5739 0 -13.7857 13 162.3755 0 -15.7704 14 155.7847 0 -17.7422 15 148.8389 0 -19.6669
  • 7.
    16 141.5784 0-21.5118 17 134.0458 0 -23.2453 18 126.2864 0 -24.8386 19 118.3484 0 -26.2648 20 110.2813 0 -27.5001 21 102.1373 0 -28.524 22 93.96943 0 -29.3201 23 85.8327 0 -29.8757 24 77.65796 0 -30.1634 25 69.4629 0 -30.0313 26 61.47308 0 -29.4624 27 53.75453 0 -28.4836 28 46.37085 0 -27.1307 29 39.38158 0 -25.449 30 32.84139 0 -23.4905 31 26.79924 0 -21.3124 32 21.29719 0 -18.9754 33 16.37142 0 -16.5417 34 12.05118 0 -14.0722 35 8.359648 0 -11.6261 36 5.313883 0 -9.25779 37 2.925064 0 -7.01609 38 1.199693 0 -4.94162 39 0.139395 0 -3.0673 40 -0.25847 0 -1.41569 41 0 0 0 42 0.884733 0 1.134466 43 2.362403 0 1.95011 44 4.414723 0 2.45872 45 7.020357 0 2.677566 No. X - Y- Z- 46 10.1539 0 2.628595 47 13.78773 0 2.338629 48 17.89217 0 1.838554 49 22.43633 0 1.16271 50 27.38831 0 0.347675 51 32.71683 0 -0.56693 52 38.39058 0 -1.54087 53 44.3803 0 -2.53289 54 50.65735 0 -3.50134
  • 8.
    55 57.1945 0-4.40578 56 63.96573 0 -5.20619 57 70.94484 0 -5.86557 58 78.10602 0 -6.34878 59 85.57971 0 -6.65216 60 93.2877 0 -6.88076 61 101.0627 0 -7.036 62 108.8616 0 -7.10651 63 116.6392 0 -7.08437 64 124.3497 0 -6.96529 65 131.9465 0 -6.74949 66 139.383 0 -6.44042 67 146.6118 0 -6.0454 68 153.5871 0 -5.575 69 160.2626 0 -5.04221 70 166.5939 0 -4.46268 71 172.5383 0 -3.85328 72 178.0548 0 -3.2319 73 183.1045 0 -2.6164 74 187.6517 0 -2.02489 75 191.6633 0 -1.47401 76 195.1102 0 -0.97942 77 197.9664 0 -0.55474 78 200.2109 0 -0.21194 79 201.8266 0 0.039624 80 202.8009 0 0.193446 81 203.1264 0 0.245262
  • 9.
    Velocity Vs X-directionvectorplots for Stall Angle, Basic Airfoil Design: with & without Gurney Flap (OpenFoam Result Images)
  • 10.
    Results Run no. DateFile Name Airspeed Drag Force Lift Force A A AR Rho Alpha Cd CL L/D f/s in sq sq ft lb-sec2 / ft4 deg 1 First Run 0 Degree 45 5.25 -197.76 454.15 3.153 5.91 2.38E-03 0.0 0.016 -0.604 37.669 2 AOA -3 degree 45 6.97 -293.23 454.15 3.153 5.91 2.38E-03 -3.0 0.021 -0.895 42.070 3 AOA -5 degree 45 7.72 -340.36 454.15 3.153 5.91 2.38E-03 -5.0 0.024 -1.039 44.088 4 AOA -6 degree 45 10.97 -339.88 454.15 3.153 5.91 2.38E-03 -6.0 0.033 -1.038 30.983 5 AOA -10 degree 45 18.31 -403.05 454.15 3.153 5.91 2.38E-03 -10.0 0.056 -1.230 22.013 6 AOA -11 degree 45 23.60 -370.72 454.15 3.153 5.91 2.38E-03 -11.0 0.072 -1.132 15.708 7 AOA -12 degree 45 23.05 -417.76 454.15 3.153 5.91 2.38E-03 -12.0 0.070 -1.275 18.124 8 AOA -14 degree 45 27.44 -451.47 454.15 3.153 5.91 2.38E-03 -14.0 0.084 -1.378 16.453 9 AOA -15 degree 45 31.56 -398.03 454.15 3.153 5.91 2.38E-03 -15.0 0.096 -1.215 12.612 10 AOA -16 degree 45 33.58 -435.41 454.15 3.153 5.91 2.38E-03 -16.0 0.103 -1.329 12.966 11 AOA -17 degree 45 41.64 -464.96 454.15 3.153 5.91 2.38E-03 -17.0 0.127 -1.419 11.166 12 AOA -17.10 45 38.8 -437.21 454.15 3.153 5.91 2.38E-03 -17.1 0.118 -1.335 11.268 13 AOA -17.25 45 48.51 -392.22 454.15 3.153 5.91 2.38E-03 -17.3 0.148 -1.197 8.085 14 AOA -18 degree 45 47.43 -389.01 454.15 3.153 5.91 2.38E-03 -18.0 0.145 -1.188 8.202 15 AOA -19 degree 45 44.85 -441.67 454.15 3.153 5.91 2.38E-03 -19.0 0.137 -1.348 9.848 16 AOA -21 degree 45 77.20 -336.04 454.15 3.153 5.91 2.38E-03 -21.0 0.236 -1.026 4.353 17 AOA with Gurney -0 45 11.47 -411.6 454.15 3.153 5.91 2.38E-03 0.0 0.035 -1.256 35.885 18 AOA with Gurney -5 45 21.78 -497.17 454.15 3.153 5.91 2.38E-03 -5.0 0.066 -1.518 22.827 19 AOA with Gurney-8 45 32.49 -519.27 454.15 3.153 5.91 2.38E-03 -8.0 0.099 -1.585 15.982 20 AOA with Gurney -10 45 35.02 -553.30 454.15 3.153 5.91 2.38E-03 -10.0 0.107 -1.689 15.800 21 AOA with Gurney -11 45 44.48 -470.28 454.15 3.153 5.91 2.38E-03 -11.0 0.136 -1.436 10.573 22 AOA with Gurney -12 45 44.30 -551.07 454.15 3.153 5.91 2.38E-03 -12.0 0.135 -1.682 12.440 23 AOA with Gurney -13 45 51.0 -571.7 454.15 3.153 5.91 2.38E-03 -13.0 0.156 -1.745 11.207 24 AOA with Gurney -14 45 52.5 -577.3 454.15 3.153 5.91 2.38E-03 -14.0 0.160 -1.762 10.998 25 AOA with Gurney -14.5 45 54.48 -538.57 454.15 3.153 5.91 2.38E-03 -14.5 0.166 -1.644 9.886 26 AOA with Gurney -15.1 45 59.2 -530.9 454.15 3.153 5.91 2.38E-03 -15.1 0.181 -1.621 8.969 27 AOA with Gurney -16 45 62.8 -534.0 454.15 3.153 5.91 2.38E-03 -16 0.192 -1.630 8.508 28 AOA with Gurney -17 45 62.9 -565.4 454.15 3.153 5.91 2.38E-03 -17 0.192 -1.726 8.991 29 AOA with Gurney -18 45 88.5 -450.1 454.15 3.153 5.91 2.38E-03 -18 0.270 -1.374 5.089 30 AOA with Gurney -19 45 82.8 -490.3 454.15 3.153 5.91 2.38E-03 -19 0.253 -1.497 5.924 31 AOA with Gurney -21 45 116.9 -379.6 454.15 3.153 5.91 2.38E-03 -21 0.357 -1.159 3.247 32 AOA with Gurney -23 45 138.0 -419.5 454.15 3.153 5.91 2.38E-03 -23 0.421 -1.281 3.040
  • 12.
    Conclusions –  Theoriginal airfoil stalls at 17.25 degrees, and Airfoilwith Gurney stalls at 14.5 degree. The cut plots of air velocity vs x- direction, shows thelarge wake of low velocity air at the bottom surfaceof the wing. Also, Drag numbers suddenly increase, whereas the lift numbers plummet for the specific attack angles.  Velocity Vs X-direction plots for the two wing setup shows the velocity of air around the airfoil, depicted with different colors. As the wing reaches initial stall, there is a small green patch at the frontand the lower back surfaceof the airfoil, as the attack angle increases and the wing reaches full stall, the green wakewidens with blue areas showing even lower velocities. The wing stalls with a wide blue-green wake, with the wing suffering frominduced drag.  As seen fromthe History Table, as the angle of attack reaches full stall for the wing, the lift coefficient drops as a result of large adversepressuregradientin the lower back part, which in-turn creates a positive Cp at the top surface; the magnitude of lift seen during stall, is mostly due to the front edge of the wing wherethe flow is still attached. Whereas, the drag forceon the airfoil suddenly increases during stall due to the aberrantincrease in the induced drag. Dueto decreasein the wind velocity and the sudden change in its direction, a region of suction is formed, which coupled with friction drag results into a high drag coefficient.
  • 13.
    Velocity Vs X-directionvector plots for Stall Angle, Multi- Element Airfoil Design: with & without Gurney Flap (OpenFoam Result Images)
  • 14.
    Results- Runno. FileName AirspeedDragForce Drag LiftForce Lift A A AR Rho Alpha Cd CL L/D f/s N Lbs N Lbs insq sqft lb-sec2 /ft4 deg 1 AOA2-Element0degree 146.65 9.38 2.10112 -503.08 -112.69 490.98 3.409 4.54 0.002377 0 0.024114 -1.29329 -53.6333 2 AOA2-Element-5degree 146.65 16.35 3.6624 -640.25 -143.416 490.98 3.409 4.54 0.002377 -5 0.042032 -1.64591 -39.159 3 AOA2-Element-9degree 146.65 39.86 8.92864 -677.62 -151.787 490.98 3.409 4.54 0.002377 -9 0.10247 -1.74198 -17 4 AOA2-Element-10degree 146.65 43.16 9.66784 -685.9 -153.642 490.98 3.409 4.54 0.002377 -10 0.110953 -1.76327 -15.892 5 AOA2-Element-11degree 146.65 50.29 11.26496 -693.19 -155.275 490.98 3.409 4.54 0.002377 -11 0.129282 -1.78201 -13.7839 6 AOA2-Element-12degree 146.65 56.4 12.6336 -698.83 -156.538 490.98 3.409 4.54 0.002377 -12 0.14499 -1.79651 -12.3906 7 AOA2-Element-13degree 146.65 62.53 14.00672 -691.51 -154.898 490.98 3.409 4.54 0.002377 -13 0.160748 -1.77769 -11.0589 8 AOA2-Element-14degree 146.65 67.23 15.05952 -658.48 -147.5 490.98 3.409 4.54 0.002377 -14 0.172831 -1.69278 -9.79444 9 AOA2-Element-15degree 146.65 76.49 17.13376 -648.33 -145.226 490.98 3.409 4.54 0.002377 -15 0.196636 -1.66669 -8.47601 10 AOA2-Element-18degree 146.65 98.96 22.16704 -562.37 -125.971 490.98 3.409 4.54 0.002377 -18 0.2544 -1.44571 -5.6828 11 AOA2-Element-20degree 146.65 127.25 28.504 -518.46 -116.135 490.98 3.409 4.54 0.002377 -20 0.327126 -1.33282 -4.07434 12 AOA2-ElementwithGurney0Deg 146.65 16.23 3.63552 -683.01 -152.994 490.98 3.409 4.54 0.002377 0 0.041723 -1.75584 -42.0832 13 AOA2-ElementwithGurney-2 146.65 21.28 4.76672 -718.13 -160.861 490.98 3.409 4.54 0.002377 -2 0.054705 -1.84612 -33.7467 14 AOA2-ElementwithGurney-5 146.65 42.38 9.49312 -744.9 -166.858 490.98 3.409 4.54 0.002377 -5 0.108948 -1.91494 -17.5767 15 AOA2-ElementwithGurney-6 146.65 48.14 10.78336 -733.69 -164.347 490.98 3.409 4.54 0.002377 -6 0.123755 -1.88612 -15.2408 16 AOA2-ElementwithGurney-7 146.65 54.07 12.11168 -759.53 -170.135 490.98 3.409 4.54 0.002377 -7 0.139 -1.95255 -14.0472 17 AOA2-ElementwithGurney-8 146.65 54.54 12.21696 -780.69 -174.875 490.98 3.409 4.54 0.002377 -8 0.140208 -2.00695 -14.3141 18 AOA2-ElementwithGurney-9 146.65 67.89 15.20736 -789.68 -176.888 490.98 3.409 4.54 0.002377 -9 0.174527 -2.03006 -11.6318 19 AOA2-ElementwithGurney-9.8 146.65 70 15.68 -761.62 -170.603 490.98 3.409 4.54 0.002377 -9.8 0.179952 -1.95792 -10.8803 20 AOA2-ElementwithGurney-10 146.65 69.69 15.61056 -775.09 -173.62 490.98 3.409 4.54 0.002377 -10 0.179155 -1.99255 -11.122 21 AOA2-ElementwithGurney-10.5 146.65 77.74 17.41376 -742.12 -166.235 490.98 3.409 4.54 0.002377 -10.5 0.199849 -1.9078 -9.54618 22 AOA2-ElementwithGurney-12 146.65 89.19 19.97856 -683.6 -153.126 490.98 3.409 4.54 0.002377 -12 0.229284 -1.75736 -7.66454 23 AOA2-ElementwithGurney-15 146.65 124.09 27.79616 -574.79 -128.753 490.98 3.409 4.54 0.002377 -15 0.319003 -1.47763 -4.63204 24 AOA2-ElementwithGurney-20 146.65 219.54 49.17696 -548.22 -122.801 490.98 3.409 4.54 0.002377 -20 0.56438 -1.40933 -2.49713
  • 17.
    Conclusion-  The MostEffective Angle of attack for the 2-element airfoil with downforce of 156.538lbs is -12deg; and a gurney flap modification gives a downforce of 176.88lbs at -9deg. All the airfoils have a Span of 1.2meters.  There is a significant increase in the downforce numbers from the basic airfoil to a 2-element wing with a gurney flap.  The drag numbers doesn’t increase significantly, to diminish downforce improvement. Hence, a two element wing with a gurney flap has been designed.  Results could be extrapolated according to the specific Aspect Ratio.