VAT DYES
Properties
• Vat dyes are insoluble in water
• They are converted to their soluble “leuco” state by means of
sodium hydrosulphite (reducing agent) in the presence of caustic
soda
• “Leuco” compound have substantivity to cotton
• Vat dye have excellent washing and light fastness
• Vat dyes are expensive compared with the other classes of dye
Classification based on Method of Application
• IK
– Have optimum affinity at low temperature i.e. at 25 – 300C
– Require minimum addition of caustic soda and sodium hydrosulphite
• IW
– Are exhausted at moderate temperature i.e. at 40 – 500C
– Requires moderate caustic soda
– Requires moderate concentration of exhausting agent for better
exhaustion
• IN
– Have maximum affinity for cellulose at 50 - 600C
– Requires relatively high concentration of caustic soda in the dyeing bath
– The exhaustion of the dye bath is achieved even without the addition of
common salt
– Require retarding agents during dyeing
Classification based on Method of Application
• IN-Special
– Require relatively high concentration of caustic soda, sodium
hydrosulphite,
– Require high vatting and dyeing temperature
Group Vatting
Temperature
(0C)
Dyeing
Temperature
(0C)
Caustic soda
(g/l)
Hydros (g/l) Common salt
(g/l)
IK 50 25-30 1.0 – 3.0 1.0 -5.0 6.0 – 50
IW 50 40 – 50 1.0 – 5.0 1.0 – 6.5 3.0 – 25
IN 50 – 60 50 – 60 1.5 – 10 1.5 – 10 None
IN-Special Dyeing require special condition
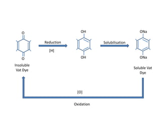
Application/ Mechanism of Vat dyeing
• Vatting
– Conversion of insoluble commercial vat dye powder into its soluble
sodium salt
• Dyeing
– Application of reduced and dissolved vat dye to the fibre from an
alkaline reducing bath in presence of exhausting or retarding agent
• Oxidation
– The conversion of soluble salt of leuco vat dye absorbed by the fibre
into insoluble form by aerial or chemical oxidation
• After treatment
– Treating with soap solution to get good fastness properties
O
O
ONa
ONa
Reduction Solubilisation
Insoluble
Vat Dye
Soluble Vat
Dye
OH
OH
Oxidation
[H]
[O]
• Vatting
– The conversion of insoluble vat dyes into their soluble form involves
the following steps
• Reduction of insoluble vat dye into weakly acidic leuco form
• Neutralizing the leuco vat dye with sodium hydroxide to give water
soluble sodium salt of leuco-vat dye
– The reduction followed by solubilising is called vatting
– To keep the dye in soluble sodium salt form, a sufficient excess of both
caustic soda and hydrosulphite soda is required to be maintained in
the bath
– Chance of sodium hydrosulphite to get decomposed to form acid
• In expose to air
• With increase in temperature
• Dyeing
– This is the application of the dye to the textile material
– The get exhausted inside the textile material
– Have the following steps
• Adsorption
• Absorption or penetration
• Oxidation
– The dyed goods are subjected to an oxidation for conversion of soluble
sodium leuco-vat dye into insoluble vat dye
• Aerial oxidation
• Chemical oxidation (Hydrogen peroxide, sodium dichromate in
presence of acetic acid etc.)
– The oxidation treatment has to carried out under mild condition (i.e.
at low temperature and minimum time) to prevent oxidation of
cellulose
– Due to over-oxidation change in tone may occur
• After Treatment
– Dye particles in the residual liquor are also oxidized and get loosely
deposited on the fabric surface
– These dye particles are not firmly fixed to the fibre and are therefore
responsible for poor rubbing fastness properties
– During soaping the loosely held dye particles are removed and held in
suspension to prevent them depositing back on the material
– The soaping treatment is carried out at boil
– The soaping treatment is done with soap and soda ash followed by
washing treatment for 20 – 30 minutes
Dyeing Auxiliaries
• Reducing Agent
– The most important reducing agent for Vat dyeing is sodium
hydrosulphite (Na2S2O4)
• Alkali
– The most important is caustic soda (NaOH). Solubilising agent.
• Electrolyte
– Neutral salts e.g. common salt (NaCl) can increase the substantivity of
leuco dyes for the fibre

Vat dye

  • 1.
  • 2.
    Properties • Vat dyesare insoluble in water • They are converted to their soluble “leuco” state by means of sodium hydrosulphite (reducing agent) in the presence of caustic soda • “Leuco” compound have substantivity to cotton • Vat dye have excellent washing and light fastness • Vat dyes are expensive compared with the other classes of dye
  • 3.
    Classification based onMethod of Application • IK – Have optimum affinity at low temperature i.e. at 25 – 300C – Require minimum addition of caustic soda and sodium hydrosulphite • IW – Are exhausted at moderate temperature i.e. at 40 – 500C – Requires moderate caustic soda – Requires moderate concentration of exhausting agent for better exhaustion • IN – Have maximum affinity for cellulose at 50 - 600C – Requires relatively high concentration of caustic soda in the dyeing bath – The exhaustion of the dye bath is achieved even without the addition of common salt – Require retarding agents during dyeing
  • 4.
    Classification based onMethod of Application • IN-Special – Require relatively high concentration of caustic soda, sodium hydrosulphite, – Require high vatting and dyeing temperature Group Vatting Temperature (0C) Dyeing Temperature (0C) Caustic soda (g/l) Hydros (g/l) Common salt (g/l) IK 50 25-30 1.0 – 3.0 1.0 -5.0 6.0 – 50 IW 50 40 – 50 1.0 – 5.0 1.0 – 6.5 3.0 – 25 IN 50 – 60 50 – 60 1.5 – 10 1.5 – 10 None IN-Special Dyeing require special condition
  • 5.
    Application/ Mechanism ofVat dyeing • Vatting – Conversion of insoluble commercial vat dye powder into its soluble sodium salt • Dyeing – Application of reduced and dissolved vat dye to the fibre from an alkaline reducing bath in presence of exhausting or retarding agent • Oxidation – The conversion of soluble salt of leuco vat dye absorbed by the fibre into insoluble form by aerial or chemical oxidation • After treatment – Treating with soap solution to get good fastness properties
  • 6.
  • 7.
    • Vatting – Theconversion of insoluble vat dyes into their soluble form involves the following steps • Reduction of insoluble vat dye into weakly acidic leuco form • Neutralizing the leuco vat dye with sodium hydroxide to give water soluble sodium salt of leuco-vat dye – The reduction followed by solubilising is called vatting – To keep the dye in soluble sodium salt form, a sufficient excess of both caustic soda and hydrosulphite soda is required to be maintained in the bath – Chance of sodium hydrosulphite to get decomposed to form acid • In expose to air • With increase in temperature
  • 8.
    • Dyeing – Thisis the application of the dye to the textile material – The get exhausted inside the textile material – Have the following steps • Adsorption • Absorption or penetration
  • 9.
    • Oxidation – Thedyed goods are subjected to an oxidation for conversion of soluble sodium leuco-vat dye into insoluble vat dye • Aerial oxidation • Chemical oxidation (Hydrogen peroxide, sodium dichromate in presence of acetic acid etc.) – The oxidation treatment has to carried out under mild condition (i.e. at low temperature and minimum time) to prevent oxidation of cellulose – Due to over-oxidation change in tone may occur
  • 10.
    • After Treatment –Dye particles in the residual liquor are also oxidized and get loosely deposited on the fabric surface – These dye particles are not firmly fixed to the fibre and are therefore responsible for poor rubbing fastness properties – During soaping the loosely held dye particles are removed and held in suspension to prevent them depositing back on the material – The soaping treatment is carried out at boil – The soaping treatment is done with soap and soda ash followed by washing treatment for 20 – 30 minutes
  • 11.
    Dyeing Auxiliaries • ReducingAgent – The most important reducing agent for Vat dyeing is sodium hydrosulphite (Na2S2O4) • Alkali – The most important is caustic soda (NaOH). Solubilising agent. • Electrolyte – Neutral salts e.g. common salt (NaCl) can increase the substantivity of leuco dyes for the fibre