Tryptophan
Tryptophan
Shirin hosseini
PHD Candidate in Nutrition, Shahid Beheshti University
of Medical Sciences, Tehran, Iran
Professor: Dr Hamid Zand
Tryptophan
It is an essential amino acid that is made from plant or animal sources .
Tryptophan is essential for the production of the B vitamin , niacin .
Tryptophan is important to the functions of many organs in the body .
It is used by the brain to produce serotonin , a necessary neurotransmitter
that transfers nerve impulses form one cell to another . Consequently ,
tryptophan helps to depression and insomnia and to stabilize moods .
• Aromatic
Phenylalanine, tyrosine, and tryptophan
All can participate in
hydrophobic interactions.
Tyrosine and tryptophan are
significantly more polar than
phenylalanine, because of
the tyrosine hydroxyl group
and the nitrogen of the
tryptophan indole ring.
nonpolar (hydrophobic)
nonpolar (hydrophobic)
• Measurement of light absorption by a
spectrophotometer is used to detect and identify
molecules and to measure their concentration in
solution.
Physiological metabolism of tryptophan
The concentration of free Try in
serum parallels in many instances
the concentration of Try in brain
which, in turn, parallels the
synthesis rate of brain serotonin
Unlike other amino acids, tryptophan
circulates in blood and plasma mainly
(90%) bound to albumin . Only 10 – 20%
of tryptophan is present as free form in
the plasma .
Tryptophan is transported into the
brain by a transporter located in
capillaries of the blood-brain
barrier (BBB) .
TRYPTOPHAN (Try)is the only
amino acid circulating in plasma
which is bound
to serum proteins
five amino acids are both ketogenic and glucogenic
ketogenic and glucogenic
tryptophan tyrosine isoleucine
phenylalanine threonine
Dr. Ashok Kumar J
Tryptophan Synthesis
The biosynthetic pathways
for the aromatic amino
acids, are more complex
All amino acids are derived from
intermediates in glycolysis, the
citric acid cycle, or the pentose
phosphate pathway
Nitrogen enters these
pathways by way of
glutamate and
glutamine
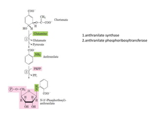
Biosynthesis of chorismate, an intermediate in
the synthesis of aromatic amino acids in bacteria and plants.
1-2-keto-3-deoxy-D-arabinoheptulosonate 7-
phosphate synthase
2-dehydroquinate synthase
3-3-dehydroquinate dehydratase
4-shikimate dehydrogenase
5-shikimate kinase
6-5-enolpyruvylshikimate 3-phosphate synthase
7-chorismate synthase
1.anthranilate synthase
2.anthranilate phosphoribosyltransferase
3.N-(5'-phosphoribosyl)-anthranilat isomerase
4.indole-3-glycerol phosphate synthase
5.tryptophan synthase
1- An aldol cleavage produces indole and
glyceraldehyde 3-phosphate; this reaction does
not require PLP.
2- Dehydration of serine forms a PLP-
aminoacrylate intermediate.
• In steps 3 and 4 this condenses with indole, and
• 5 the product is hydrolyzed to release tryptophan.
Intermediate channeling of this type may be a
feature of the entire pathway from chorismate to
tryptophan. Enzyme active sites catalyzing
different steps (sometimes not sequential steps) of
the pathway to tryptophan are found on single
polypeptides in some species of fungi and bacteria,
but are separate proteins in others
STEP 01
Tryptophan synthase catalyzes a multistep reaction
with several types of chemical rearrangements
STEP 02
The second part of the reaction requires
pyridoxal phosphate
STEP 03
Indole formed in the first part is not released by
the enzyme, but instead moves through a channel
from the α subunit active site to the β subunit
active site, where it condenses with a Schiff base
intermediate derived from serine and PLP
STEP 04
Phosphoribosyl pyrophosphate
is a precursor of tryptophan
Among the essential amino acids, the
aromatic amino acids (phenylalanine,
tyrosine, and tryptophan) form by a
pathway in which chorismate occupies a
key branch point
Amino Acid Biosynthesis Is under
Allosteric Regulation
The most responsive regulation of amino acid
synthesis takes place through feedback
inhibition of the first reaction in a sequence by
the end product of the pathway
This first reaction is usually irreversible and
catalyzed by an allosteric enzyme
Additional regulation takes place after the
pathway branches at chorismate. For example,
the enzymes catalyzing the first two steps of the
tryptophan branch are subject to allosteric
inhibition by tryptophan
01
02
03
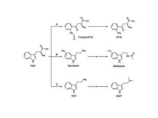
Tryptophan Catabolism
Tryptophan breakdown is the
most complex of all the
pathways of amino
These amino acids donate
some of their carbons (red) to
acetyl-CoA
TITLE GOES HERE
This i a sample text. You
simply add your own text here.
Some of the intermediates in
tryptophan catabolism are precursors
for the synthesis of other biomolecules
TITLE GOES HERE
This is a sample text. You
simply add your own text here.
Including nicotinate, a precursor of
NAD and NADP in animals; serotonin, a
neurotransmitter in vertebrates; and
indole acetate, a growth factor in plants
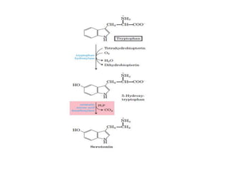
Serotonin, an important neurotransmitter, is derived from
tryptophan in a two-step pathway
Serotonin
Dr. Ashok Kumar J
Phenylketonuria
Tetrahydrobiopterin is also required for the
formation of L-3,4-dihydroxyphenylalanine
(Ldopa) and 5-hydroxytryptophan—
precursors of the neurotransmitters
norepinephrine and serotonin, respectively—
and in phenylketonuria of this type, these
precursors must be supplied in the diet
Supplementing the diet with
tetrahydrobiopterin itself is
ineffective because it is unstable and
does not cross the blood-brain barrier
The treatment in this case is
more complex than restricting
the intake of phenylalanine
and tyrosine
Phenylketonuria can also be
caused by a defect in the
enzyme that catalyzes the
regeneration of
tetrahydrobiopterin
aaaaaaaaaaaaaaaaa
Serotonin Catabolism
Serotonin rate-limiting step
pellagra
In a few places, including the
Deccan Plateau in India,
pellagra still occurs,
especially among the poor.
Niacin deficiency, which
affects all the NAD(P)-
dependent dehydrogenases,
causes the serious human
disease pellagra (Italian for
“rough skin”)
Pellagra is still found among alcoholics, whose
intestinal absorption of niacin is much reduced,
and whose caloric needs are often met with
distilled spirits that are virtually devoid of
vitamins, including niacin
These diseases are characterized
by the “three Ds”: dermatitis,
diarrhea, and dementia, followed
in many cases by death
Indoleamine 2,3-dioxygenase (IDO)
Indoleamine 2,3-dioxygenase
(IDO) is an enzyme that
degrades the essential amino
acid tryptophan
IDO-expressing cells are
widely distributed in
primary and secondary
lymphoid organs.
Most human tumors
constitutively express IDO.
1
2
3
4
The concept that cells expressing IDO can
suppress T-cell responses and promote
tolerance is a relatively new paradigm in
immunology.
many human tumor cell lines and
primary human tumors, comprising
various histologies, were found to
contain a significant proportion of
tumor cells expressing IDO
T lymphocytes undergo proliferation
arrest when exposed to tryptophan
shortage, which can be provoked by
indoleamine 2,3-dioxygenase (IDO)
IDO can suppress antitumor immunity. IDO might
have a role in enabling tumors to escape the
immune system
T cells could exit the
arrested state only if a
second round of T cell
receptor signaling was
provided in the presence
of tryptophan
These data reveal a novel
mechanism by which
antigen-presenting cells can
regulate T cell activation via
tryptophan catabolism
1 2
This immunosuppressive effect of
IDO could be substantially
reversed – that is, tumor growth
could be inhibited – by
concomitant administration of
the IDO inhibitor 1MT.
The antitumor effect of 1MT
was found to be completely
dependent on the presence of
an intact immune system,
supporting the hypothesis that
IDO functions by disabling the
host immune response.
IDO produces various downstream metabolites,
some of which are toxic to T cells in vitro,
therefore, it is possible that tumor and host cells
could be differentially susceptible to toxic effects
of IDO that are distinct from, or in addition to,
the depletion of tryptophan.
Although expression of IDO by tumor cells
could be highly effective at suppressing the
local activation of T cells (inside the tumor
itself), this would still leave intact the wider
priming response that occurs outside the
tumor
To address this problem, it would be
advantageous for the tumor to recruit host
APCs expressing IDO
Indoleamine 2,3-dioxygenase (IDO; red arrows)
expressed by the tumor cells themselves could
create a localized milieu of immunosuppression
in the tumor (right), either by suppressing
effector function and T-cell proliferation in the
tumor or by directly killing infiltrating T cells
using toxic metabolites of tryptophan.
Alternatively, host dendritic cells
expressing IDO could pick up tumor-
derived antigen (green spheres) and
migrate to tumor-draining lymph nodes,
in which they would present antigen to
naive T cells (left).
The consequences of the priming of
naive T cells by IDO-expressing antigen-
presenting cells (APCs) are currently
unknown, but could include T-cell
deletion, a failure of clonal expansion,
or perhaps even the biasing of some
cells towards a regulatory phenotype
Blood Journal
Aromatic Amino Acids Are Precursors
of Many Plant Substances
• Tryptophan is also the precursor of the plant
growth hormone indole-3-acetate, or auxin,
which has been implicated in the regulation of
a wide range of biological processes in plants.
Alkaloids of the Indole Group
Tryptophan decarboxylase
Catalyzes the formation of
tryptamine from L-
tryptophan .
Indole alkaloids are
biosynthetically derived from
Tryptophan amino acid .
Tryptamine is a key
precursor of a wide range of
terpenoid-derived indole
alkaloids in plants.
Alkaloids of
the Indole
Group
Maryam Yasser
Maryam Yasser
Maryam Yasser
Most potent psychedelic known to
man, we are born with it in our
system.
Produced from pineal gland during
near death experiences(NDEs),
during birth and when you dream
Brain forms impenetrable shield, “Blood-Brain
barrier” to prevent crossing of toxins to brain
tissue but allow DMT to cross it, according to
Japanese scientist .
Structurally, It resembles
neurotransmitter “Serotonin” which
responsible for most of our thoughts,
feelings and reactions .
Maryam Yasser
Maryam Yasser
Thank you

Tryptophan1

  • 1.
    Tryptophan Tryptophan Shirin hosseini PHD Candidatein Nutrition, Shahid Beheshti University of Medical Sciences, Tehran, Iran Professor: Dr Hamid Zand
  • 2.
    Tryptophan It is anessential amino acid that is made from plant or animal sources . Tryptophan is essential for the production of the B vitamin , niacin . Tryptophan is important to the functions of many organs in the body . It is used by the brain to produce serotonin , a necessary neurotransmitter that transfers nerve impulses form one cell to another . Consequently , tryptophan helps to depression and insomnia and to stabilize moods .
  • 4.
  • 5.
    All can participatein hydrophobic interactions. Tyrosine and tryptophan are significantly more polar than phenylalanine, because of the tyrosine hydroxyl group and the nitrogen of the tryptophan indole ring. nonpolar (hydrophobic) nonpolar (hydrophobic)
  • 7.
    • Measurement oflight absorption by a spectrophotometer is used to detect and identify molecules and to measure their concentration in solution.
  • 8.
    Physiological metabolism oftryptophan The concentration of free Try in serum parallels in many instances the concentration of Try in brain which, in turn, parallels the synthesis rate of brain serotonin Unlike other amino acids, tryptophan circulates in blood and plasma mainly (90%) bound to albumin . Only 10 – 20% of tryptophan is present as free form in the plasma . Tryptophan is transported into the brain by a transporter located in capillaries of the blood-brain barrier (BBB) . TRYPTOPHAN (Try)is the only amino acid circulating in plasma which is bound to serum proteins
  • 9.
    five amino acidsare both ketogenic and glucogenic ketogenic and glucogenic tryptophan tyrosine isoleucine phenylalanine threonine
  • 11.
  • 14.
    Tryptophan Synthesis The biosyntheticpathways for the aromatic amino acids, are more complex All amino acids are derived from intermediates in glycolysis, the citric acid cycle, or the pentose phosphate pathway Nitrogen enters these pathways by way of glutamate and glutamine
  • 17.
    Biosynthesis of chorismate,an intermediate in the synthesis of aromatic amino acids in bacteria and plants. 1-2-keto-3-deoxy-D-arabinoheptulosonate 7- phosphate synthase 2-dehydroquinate synthase 3-3-dehydroquinate dehydratase 4-shikimate dehydrogenase 5-shikimate kinase 6-5-enolpyruvylshikimate 3-phosphate synthase 7-chorismate synthase
  • 18.
  • 19.
  • 20.
    1- An aldolcleavage produces indole and glyceraldehyde 3-phosphate; this reaction does not require PLP. 2- Dehydration of serine forms a PLP- aminoacrylate intermediate.
  • 21.
    • In steps3 and 4 this condenses with indole, and • 5 the product is hydrolyzed to release tryptophan.
  • 22.
    Intermediate channeling ofthis type may be a feature of the entire pathway from chorismate to tryptophan. Enzyme active sites catalyzing different steps (sometimes not sequential steps) of the pathway to tryptophan are found on single polypeptides in some species of fungi and bacteria, but are separate proteins in others STEP 01 Tryptophan synthase catalyzes a multistep reaction with several types of chemical rearrangements STEP 02 The second part of the reaction requires pyridoxal phosphate STEP 03 Indole formed in the first part is not released by the enzyme, but instead moves through a channel from the α subunit active site to the β subunit active site, where it condenses with a Schiff base intermediate derived from serine and PLP STEP 04
  • 23.
    Phosphoribosyl pyrophosphate is aprecursor of tryptophan Among the essential amino acids, the aromatic amino acids (phenylalanine, tyrosine, and tryptophan) form by a pathway in which chorismate occupies a key branch point
  • 24.
    Amino Acid BiosynthesisIs under Allosteric Regulation The most responsive regulation of amino acid synthesis takes place through feedback inhibition of the first reaction in a sequence by the end product of the pathway This first reaction is usually irreversible and catalyzed by an allosteric enzyme Additional regulation takes place after the pathway branches at chorismate. For example, the enzymes catalyzing the first two steps of the tryptophan branch are subject to allosteric inhibition by tryptophan 01 02 03
  • 25.
    Tryptophan Catabolism Tryptophan breakdownis the most complex of all the pathways of amino These amino acids donate some of their carbons (red) to acetyl-CoA TITLE GOES HERE This i a sample text. You simply add your own text here.
  • 27.
    Some of theintermediates in tryptophan catabolism are precursors for the synthesis of other biomolecules TITLE GOES HERE This is a sample text. You simply add your own text here. Including nicotinate, a precursor of NAD and NADP in animals; serotonin, a neurotransmitter in vertebrates; and indole acetate, a growth factor in plants
  • 29.
    Serotonin, an importantneurotransmitter, is derived from tryptophan in a two-step pathway Serotonin
  • 31.
  • 32.
    Phenylketonuria Tetrahydrobiopterin is alsorequired for the formation of L-3,4-dihydroxyphenylalanine (Ldopa) and 5-hydroxytryptophan— precursors of the neurotransmitters norepinephrine and serotonin, respectively— and in phenylketonuria of this type, these precursors must be supplied in the diet Supplementing the diet with tetrahydrobiopterin itself is ineffective because it is unstable and does not cross the blood-brain barrier The treatment in this case is more complex than restricting the intake of phenylalanine and tyrosine Phenylketonuria can also be caused by a defect in the enzyme that catalyzes the regeneration of tetrahydrobiopterin
  • 33.
  • 34.
  • 36.
  • 41.
    pellagra In a fewplaces, including the Deccan Plateau in India, pellagra still occurs, especially among the poor. Niacin deficiency, which affects all the NAD(P)- dependent dehydrogenases, causes the serious human disease pellagra (Italian for “rough skin”) Pellagra is still found among alcoholics, whose intestinal absorption of niacin is much reduced, and whose caloric needs are often met with distilled spirits that are virtually devoid of vitamins, including niacin These diseases are characterized by the “three Ds”: dermatitis, diarrhea, and dementia, followed in many cases by death
  • 42.
  • 43.
    Indoleamine 2,3-dioxygenase (IDO) isan enzyme that degrades the essential amino acid tryptophan IDO-expressing cells are widely distributed in primary and secondary lymphoid organs. Most human tumors constitutively express IDO.
  • 44.
    1 2 3 4 The concept thatcells expressing IDO can suppress T-cell responses and promote tolerance is a relatively new paradigm in immunology. many human tumor cell lines and primary human tumors, comprising various histologies, were found to contain a significant proportion of tumor cells expressing IDO T lymphocytes undergo proliferation arrest when exposed to tryptophan shortage, which can be provoked by indoleamine 2,3-dioxygenase (IDO) IDO can suppress antitumor immunity. IDO might have a role in enabling tumors to escape the immune system
  • 45.
    T cells couldexit the arrested state only if a second round of T cell receptor signaling was provided in the presence of tryptophan These data reveal a novel mechanism by which antigen-presenting cells can regulate T cell activation via tryptophan catabolism
  • 46.
    1 2 This immunosuppressiveeffect of IDO could be substantially reversed – that is, tumor growth could be inhibited – by concomitant administration of the IDO inhibitor 1MT. The antitumor effect of 1MT was found to be completely dependent on the presence of an intact immune system, supporting the hypothesis that IDO functions by disabling the host immune response.
  • 47.
    IDO produces variousdownstream metabolites, some of which are toxic to T cells in vitro, therefore, it is possible that tumor and host cells could be differentially susceptible to toxic effects of IDO that are distinct from, or in addition to, the depletion of tryptophan.
  • 48.
    Although expression ofIDO by tumor cells could be highly effective at suppressing the local activation of T cells (inside the tumor itself), this would still leave intact the wider priming response that occurs outside the tumor To address this problem, it would be advantageous for the tumor to recruit host APCs expressing IDO
  • 49.
    Indoleamine 2,3-dioxygenase (IDO;red arrows) expressed by the tumor cells themselves could create a localized milieu of immunosuppression in the tumor (right), either by suppressing effector function and T-cell proliferation in the tumor or by directly killing infiltrating T cells using toxic metabolites of tryptophan. Alternatively, host dendritic cells expressing IDO could pick up tumor- derived antigen (green spheres) and migrate to tumor-draining lymph nodes, in which they would present antigen to naive T cells (left). The consequences of the priming of naive T cells by IDO-expressing antigen- presenting cells (APCs) are currently unknown, but could include T-cell deletion, a failure of clonal expansion, or perhaps even the biasing of some cells towards a regulatory phenotype
  • 50.
  • 53.
    Aromatic Amino AcidsAre Precursors of Many Plant Substances • Tryptophan is also the precursor of the plant growth hormone indole-3-acetate, or auxin, which has been implicated in the regulation of a wide range of biological processes in plants.
  • 54.
    Alkaloids of theIndole Group Tryptophan decarboxylase Catalyzes the formation of tryptamine from L- tryptophan . Indole alkaloids are biosynthetically derived from Tryptophan amino acid . Tryptamine is a key precursor of a wide range of terpenoid-derived indole alkaloids in plants. Alkaloids of the Indole Group
  • 58.
  • 59.
  • 60.
  • 61.
    Most potent psychedelicknown to man, we are born with it in our system. Produced from pineal gland during near death experiences(NDEs), during birth and when you dream Brain forms impenetrable shield, “Blood-Brain barrier” to prevent crossing of toxins to brain tissue but allow DMT to cross it, according to Japanese scientist . Structurally, It resembles neurotransmitter “Serotonin” which responsible for most of our thoughts, feelings and reactions .
  • 62.
  • 63.
  • 64.