Trigonometry
Abhijeet Adhikary
Notebook no :~ 2
Trigonometry A
fundamental Ratio
perpendicular hypotenuse
since
-_¥%%n
=
-1nsec• =
¥
=
since 01
a
B Bare
cos • =
nByp%ˢ,enme= 71 / Seco =
Irs
=
%
tano =
perpendicular
-
I /Coto =
=
#no
Base
B
important identities
① sin 20 1- COS 20 =
I [5in
'
0=2 -
COSZO
,
COP@ =
I -
sin 20 ]
② sect0 -
tanto =
1
③ correct@ -
cot 20 =
I
[
1h20 TCOPO = 1
SIMO + cosh @ = I -
25m20 .
cos 20
]
51h60 + cos 60 = 9- -
3. sin 20 .
COP@
concept of reciprocal
?⃝
sell 0 -
tame = 1
1sec -0 -
tano) (Seco -1 Lang ) = 2
{ 92 -
b
≥
= Ca -
b) cats )}
-
g- (Seco -1 land ) = 5
I
 then
Seco -
land =
115
② cosec 20 -
co -120--1
(cosec 0 -
Coto) .
/Coleco + Coto ) =
9-
( g-
eoseeo -1*01-0--2
]
then Coleco -
Coto =
I
/z
g.
(seeA- 1) •
COVA =
?
[
da -
Ean ' a- = 9-
= tan 2A .
Cot
?
A
Sera -
a- =
cannot }
=
tent" ✗
¥ñA
= a- { ""
A=¥n* }
Q prove that (secotcoseco) (since + coso ) =
see 0 .
Coleco +2 .
=
#
+
¥no) ( smo + coso )
=
%÷÷•am•+|•¥mo+%%%%→
Seco .
coseco +2
=
%%%n%I
=
cone-ismy.gg?;ggso.s#ffF-so--sec0nEno=coscco]
B 3(Sino -
coso)
"
-161 no -10505 + 4 (sink -110560 )
⑨ 13
⑨ 10 ⑨ 5 ⑨ none
of
there
✓
AE
ut
put 0=0
310 -
1)
"
+ 6
(0+15+410+1)
= 3 + 6 + 4
= 13
Note : -
sina.am@ cold are at then put 0--00 or 90°
Y keno or to (f) nt then put 0=450
SECO >
and cosec 0--35
g find the value
of [%.tt?qanyg-
" ' n' •
] =
←put 0--480
-4¥, -1¥,
-12
:]
=
9=2--1-3-2 + I
=
¥2-1 I
=
3- ← En
ˢt
72
Q Y tano -1 Seco = 1.5.
040<90
-
the Sino =
?
Ahh , tano -1sec@ =
1.5--3/2 - ①
Ago =
1413
Seco -
tan
0=2/3 - ②
• * ""• " " • i÷%
adding both
Sino =
5)↳
AE
-2sec 0 =
%
11T jam -19
⑧
snmpitysif.A-o.n.tt??I-n(A)2SecACBz2cosecA② SECA ② cose.CA
M-EE-sa-i-Y.in?---sinn-iEiEE#--
=
ˢ'ñA+;n¥%?%¥ʳ°#
=
T.IN?i::-osn--i--:..:i::;:'--s2g-A--2cosecA
8kt
falu) =
# CSINKNTCOSKN),
where NER and he ≥ 9- then
f-yen ) -
f-•
In )= ?
④
ty ④1-2 ② to ⑧ 43
Ant fuln> =
1-ylsinhn-c.us"u) T
eluk
b- (sink + cos %)
=
4- ( 1- 2SMZr.com) -
% ( c- 351PM .
coin
=
ty ( 1- 2h1mn . 10PM) -1-611
-
3. sink .
core
)
=
ty
-
tfn
-
↳ +ts2n
=
4--1-6
=
¥ = ✗
try
=
II
9 g- ✗ + B. =
Ia and Pty =
✗ then tana =
?
⑧ 216in B. + teeny) ⑨ tan B +
teeny ② Ian Btztany
⑧ ztanp -1
teeny
✓
let assume ✗ =p = 43° ,
y = O
'
SOI ✗ =
Is
-
B
then tana = tanui
=
2
NOW let Chellethe option which outcome will be 1
in
option ⑨ Ian Bttuny
=
tan WE + land
= I +0
=
9-
# Angle units
conversion
f) %
=
¥
degree f) Radian 17
2° 2
'
1
'
= 57°
[90+0]>[180-0]
90°
I quadrant
-
quadrant
[ao
-0]
sin,
coseco are all ☒ ne
trice :P
ve
180
'
o
AU student take coffee
☒ quadrant ☒ quadrant I ¥ Fps ¥
(2701-07,1360-0) 9- St
tano >
101-0 -_ W Coto ,secO= ue
↓
[180+03,1270-0]
270
Reduction =
formula
gsinl.RO)
sin (90+30)
COS ( 1509
COS (90+60)
& tan CBS)
Lancao -145
)
=
COS 30
'
=) -
51h60 = -
Lotus
"
=
B12 -53/2 = -
9-
glanciso) 9 tonnes
=
tncao -160 ) =
ten / 180+307 (4^+1)^72
=
-
C. 0€60 = + teen 30
'
= -
Fg
=
£3
Cn
-11 )Ñ 2nA
Ossining
)
A sin /7AM
;) M -
"
%
=
-
Smitty
= -5312
since-03 =
-
Sino ¥
Sin C- 30) =
-
81h30
COS C-D) = COSO
= -
I / 2
tan to > = -
tano
see C- A) = Seco
cosec c- 0 ) =
-
cosec @
cot C- 03 = -
Coto
formula
sin IATB) = sina.COSB-COSA.sn B
sin /A- B) = sin A. COSB -
sin B- COSA
COSIATB
) = COSA . COSB -
SINA.SI NB
cos CA -
B) = COSA .
COSB -151nA .
Sin B
tan /ATB) =
tan A.+ tan B lancet
-
B) =
tana -
tan B
_ÑaB Élan B.
B Sinti ? 9 costs ?
=
Sin (450-30)
= SIN 45° .
10535 -
bin300 ,
COS 45
'
= cos 45 . cos 307 sin 45 :S /Bo
=
+
¥ :
-
fz✗Bz -
¥ ✗
±
=
En
-
Es
=
Era -1¥
=
v⇐ =%÷
2 V2
g. tank ?
= Lan / 45-30 )
←¥
=
¥÷:::::÷;÷/-¥
=
9=-1-1
:÷
.
§ COS C- 300] •
COS 60 -1 Since -3007 . 81h60
COS 300° • COS 60° -
81hrs00 .
sin 60
'
= cos
(300+00)
= COS 360°
= 9-
Q
if A- + B. = 45°
,
then Cittern A) • Litton B) =
?
④ =0 ⑧ I
⑧2 ⑨ noneafthere
5°F
A+B=UF ,
A-
-45:B
=
[ I + tan 145-
B) ] . [ I 1- KMB] =
¥B-11 -
tomb
"
÷::::÷÷::::÷
:/
=
+1-+1%13,3×4 _i→n• ]
formic
1. sin ( Atb) •
Sin CA -
B) = SINZA -
SinZB
2. COS CAT B) .
COS /A -
B) =
COPA -
SIN B
3. SIN AT SMB =
2. sin
AIZB .
Cos
AIB
4. 51nA -
SMB =
2 .
Cos
A¥ .
Sin
A
5. COSA + COS B =
2. COS
A B
◦
COS
A
6- COSA -
COS B = -
25in
c¥
.
sin
¥0
B.
917*5%1%-4 0=+13 029-0--7.5 >
then final
ˢ%?%_%¥→= ?
SOI 2 COS
(70%500) ◦
sm(7÷s•)
=
2 cos /
700¥00
)
.
$0s
¥4
5ᵗʰ
2%7%-30
• Sin
(70-2-30)
2 cos
30-12-70 .
Cos
70-2-30
=
:::%ˢ
.ie?--:::#::e:::--Lan0
= tan 20
= tan 15°
-
.
tartly =
tan (45-30)
=
V3 =
ff÷,
formula
since =
25in 012.0592
SM20-2EfYnz@sin2O-2SlnQ.C0SOS1n4O-2S1n20.c
0520 COS 20 =
9--1*2-0
COS 20 = COSZO - SIRO
,
or 1- 25m20
2ttan20tan-O-2tY7a-n2@N0IAsinO.s
in /60-0) .
Sin /60+0) =
lysin 30
Eg . Sin 20 ✗ 51h40
'
✗ sin so
=
Lysin
3×20
=
tysln 60
'
-
-
EAT
2
COS 0 .
Cos (60-0) . Cos (60-10) =
l-y.CO530
3 tan 0 .
tan (60-0) . tan (60+0) = tan 30
g find teen 6° . tank? tan 66° . Ian 78° =
?
SOI teen 6° ✗ tan 66
.
✗ tank
.
✗ Ianto
'
✗
t¥¥y.
✗
¥4,4.
am
term
internat of
tan "
i±aneÉ✗.iq#::IixIeg-I;:IIeinIiIEn
" "°
=
;÷::✗÷÷:
=
¥%:✗T%%→
=
9- ✓
" "
±
.g%E%EEn
:-
-
111050<-2
coseco> 1 or coseco≤ -2 [coseco ≠ -4-1,17]
Seco ≥ a- or Seco ≤ -2
[ see @ ≠ ¢-7,17]
-
Okano ! -10
-
0
Ufo < •
9 find the
orange af y :(Sinn -1232+1
501 =
(1-9,1)+212+9
=([ +1,379+2
=
(9- > 9) +2
=
12 ,
10)
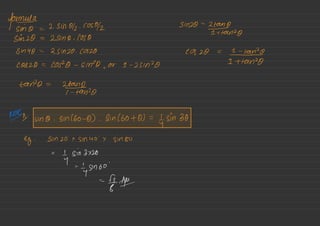
Note : -
y=
acosotibsino range ?
Y C-
1- tart , Ftw)
Eg
i
g-
-281nA -13080
SOI YE (-7+32,55+32)
y c-
(FB >
Fs
)
g find the
range of y=
17 -15s inn -112 can
ye 171TEur ; Ft )
yc-i-t-f-ra.ro)
Yt 171-(-1%13)
YE ( 4,307

Trigonometry .pdf

  • 1.
  • 2.
    Trigonometry A fundamental Ratio perpendicularhypotenuse since -_¥%%n = -1nsec• = ¥ = since 01 a B Bare cos • = nByp%ˢ,enme= 71 / Seco = Irs = % tano = perpendicular - I /Coto = = #no Base B important identities ① sin 20 1- COS 20 = I [5in ' 0=2 - COSZO , COP@ = I - sin 20 ] ② sect0 - tanto = 1 ③ correct@ - cot 20 = I [ 1h20 TCOPO = 1 SIMO + cosh @ = I - 25m20 . cos 20 ] 51h60 + cos 60 = 9- - 3. sin 20 . COP@
  • 3.
    concept of reciprocal ?⃝ sell0 - tame = 1 1sec -0 - tano) (Seco -1 Lang ) = 2 { 92 - b ≥ = Ca - b) cats )} - g- (Seco -1 land ) = 5 I then Seco - land = 115 ② cosec 20 - co -120--1 (cosec 0 - Coto) . /Coleco + Coto ) = 9- ( g- eoseeo -1*01-0--2 ] then Coleco - Coto = I /z
  • 4.
    g. (seeA- 1) • COVA= ? [ da - Ean ' a- = 9- = tan 2A . Cot ? A Sera - a- = cannot } = tent" ✗ ¥ñA = a- { "" A=¥n* } Q prove that (secotcoseco) (since + coso ) = see 0 . Coleco +2 . = # + ¥no) ( smo + coso ) = %÷÷•am•+|•¥mo+%%%%→ Seco . coseco +2 = %%%n%I = cone-ismy.gg?;ggso.s#ffF-so--sec0nEno=coscco]
  • 5.
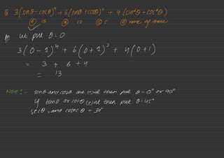
    B 3(Sino - coso) " -161no -10505 + 4 (sink -110560 ) ⑨ 13 ⑨ 10 ⑨ 5 ⑨ none of there ✓ AE ut put 0=0 310 - 1) " + 6 (0+15+410+1) = 3 + 6 + 4 = 13 Note : - sina.am@ cold are at then put 0--00 or 90° Y keno or to (f) nt then put 0=450 SECO > and cosec 0--35
  • 6.
    g find thevalue of [%.tt?qanyg- " ' n' • ] = ←put 0--480 -4¥, -1¥, -12 :] = 9=2--1-3-2 + I = ¥2-1 I = 3- ← En ˢt 72 Q Y tano -1 Seco = 1.5. 040<90 - the Sino = ? Ahh , tano -1sec@ = 1.5--3/2 - ① Ago = 1413 Seco - tan 0=2/3 - ② • * ""• " " • i÷% adding both Sino = 5)↳ AE -2sec 0 = %
  • 7.
    11T jam -19 ⑧ snmpitysif.A-o.n.tt??I-n(A)2SecACBz2cosecA②SECA ② cose.CA M-EE-sa-i-Y.in?---sinn-iEiEE#-- = ˢ'ñA+;n¥%?%¥ʳ°# = T.IN?i::-osn--i--:..:i::;:'--s2g-A--2cosecA
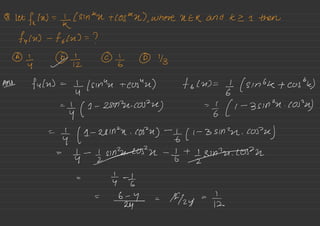
  • 8.
    8kt falu) = # CSINKNTCOSKN), whereNER and he ≥ 9- then f-yen ) - f-• In )= ? ④ ty ④1-2 ② to ⑧ 43 Ant fuln> = 1-ylsinhn-c.us"u) T eluk b- (sink + cos %) = 4- ( 1- 2SMZr.com) - % ( c- 351PM . coin = ty ( 1- 2h1mn . 10PM) -1-611 - 3. sink . core ) = ty - tfn - ↳ +ts2n = 4--1-6 = ¥ = ✗ try = II
  • 9.
    9 g- ✗+ B. = Ia and Pty = ✗ then tana = ? ⑧ 216in B. + teeny) ⑨ tan B + teeny ② Ian Btztany ⑧ ztanp -1 teeny ✓ let assume ✗ =p = 43° , y = O ' SOI ✗ = Is - B then tana = tanui = 2 NOW let Chellethe option which outcome will be 1 in option ⑨ Ian Bttuny = tan WE + land = I +0 = 9-
  • 10.
    # Angle units conversion f)% = ¥ degree f) Radian 17 2° 2 ' 1 ' = 57°
  • 11.
    [90+0]>[180-0] 90° I quadrant - quadrant [ao -0] sin, coseco areall ☒ ne trice :P ve 180 ' o AU student take coffee ☒ quadrant ☒ quadrant I ¥ Fps ¥ (2701-07,1360-0) 9- St tano > 101-0 -_ W Coto ,secO= ue ↓ [180+03,1270-0] 270 Reduction = formula
  • 12.
    gsinl.RO) sin (90+30) COS (1509 COS (90+60) & tan CBS) Lancao -145 ) = COS 30 ' =) - 51h60 = - Lotus " = B12 -53/2 = - 9- glanciso) 9 tonnes = tncao -160 ) = ten / 180+307 (4^+1)^72 = - C. 0€60 = + teen 30 ' = - Fg = £3 Cn -11 )Ñ 2nA Ossining ) A sin /7AM ;) M - " % = - Smitty = -5312
  • 13.
    since-03 = - Sino ¥ SinC- 30) = - 81h30 COS C-D) = COSO = - I / 2 tan to > = - tano see C- A) = Seco cosec c- 0 ) = - cosec @ cot C- 03 = - Coto formula sin IATB) = sina.COSB-COSA.sn B sin /A- B) = sin A. COSB - sin B- COSA COSIATB ) = COSA . COSB - SINA.SI NB cos CA - B) = COSA . COSB -151nA . Sin B tan /ATB) = tan A.+ tan B lancet - B) = tana - tan B _ÑaB Élan B.
  • 14.
    B Sinti ?9 costs ? = Sin (450-30) = SIN 45° . 10535 - bin300 , COS 45 ' = cos 45 . cos 307 sin 45 :S /Bo = + ¥ : - fz✗Bz - ¥ ✗ ± = En - Es = Era -1¥ = v⇐ =%÷ 2 V2 g. tank ? = Lan / 45-30 ) ←¥ = ¥÷:::::÷;÷/-¥ = 9=-1-1 :÷ .
  • 15.
    § COS C-300] • COS 60 -1 Since -3007 . 81h60 COS 300° • COS 60° - 81hrs00 . sin 60 ' = cos (300+00) = COS 360° = 9- Q if A- + B. = 45° , then Cittern A) • Litton B) = ? ④ =0 ⑧ I ⑧2 ⑨ noneafthere 5°F A+B=UF , A- -45:B = [ I + tan 145- B) ] . [ I 1- KMB] = ¥B-11 - tomb " ÷::::÷÷::::÷ :/ = +1-+1%13,3×4 _i→n• ]
  • 16.
    formic 1. sin (Atb) • Sin CA - B) = SINZA - SinZB 2. COS CAT B) . COS /A - B) = COPA - SIN B 3. SIN AT SMB = 2. sin AIZB . Cos AIB 4. 51nA - SMB = 2 . Cos A¥ . Sin A 5. COSA + COS B = 2. COS A B ◦ COS A 6- COSA - COS B = - 25in c¥ . sin ¥0
  • 17.
    B. 917*5%1%-4 0=+13 029-0--7.5> then final ˢ%?%_%¥→= ? SOI 2 COS (70%500) ◦ sm(7÷s•) = 2 cos / 700¥00 ) . $0s ¥4 5ᵗʰ 2%7%-30 • Sin (70-2-30) 2 cos 30-12-70 . Cos 70-2-30 = :::%ˢ .ie?--:::#::e:::--Lan0 = tan 20 = tan 15° - . tartly = tan (45-30) = V3 = ff÷,
  • 18.
    formula since = 25in 012.0592 SM20-2EfYnz@sin2O-2SlnQ.C0SOS1n4O-2S1n20.c 0520COS 20 = 9--1*2-0 COS 20 = COSZO - SIRO , or 1- 25m20 2ttan20tan-O-2tY7a-n2@N0IAsinO.s in /60-0) . Sin /60+0) = lysin 30 Eg . Sin 20 ✗ 51h40 ' ✗ sin so = Lysin 3×20 = tysln 60 ' - - EAT
  • 19.
    2 COS 0 . Cos(60-0) . Cos (60-10) = l-y.CO530 3 tan 0 . tan (60-0) . tan (60+0) = tan 30 g find teen 6° . tank? tan 66° . Ian 78° = ? SOI teen 6° ✗ tan 66 . ✗ tank . ✗ Ianto ' ✗ t¥¥y. ✗ ¥4,4. am term internat of tan " i±aneÉ✗.iq#::IixIeg-I;:IIeinIiIEn " "° = ;÷::✗÷÷: = ¥%:✗T%%→ = 9- ✓
  • 20.
    " " ± .g%E%EEn :- - 111050<-2 coseco> 1or coseco≤ -2 [coseco ≠ -4-1,17] Seco ≥ a- or Seco ≤ -2 [ see @ ≠ ¢-7,17] - Okano ! -10 - 0 Ufo < • 9 find the orange af y :(Sinn -1232+1 501 = (1-9,1)+212+9 =([ +1,379+2 = (9- > 9) +2 = 12 , 10)
  • 21.
    Note : - y= acosotibsinorange ? Y C- 1- tart , Ftw) Eg i g- -281nA -13080 SOI YE (-7+32,55+32) y c- (FB > Fs ) g find the range of y= 17 -15s inn -112 can ye 171TEur ; Ft ) yc-i-t-f-ra.ro) Yt 171-(-1%13) YE ( 4,307