Embed presentation
Download to read offline


















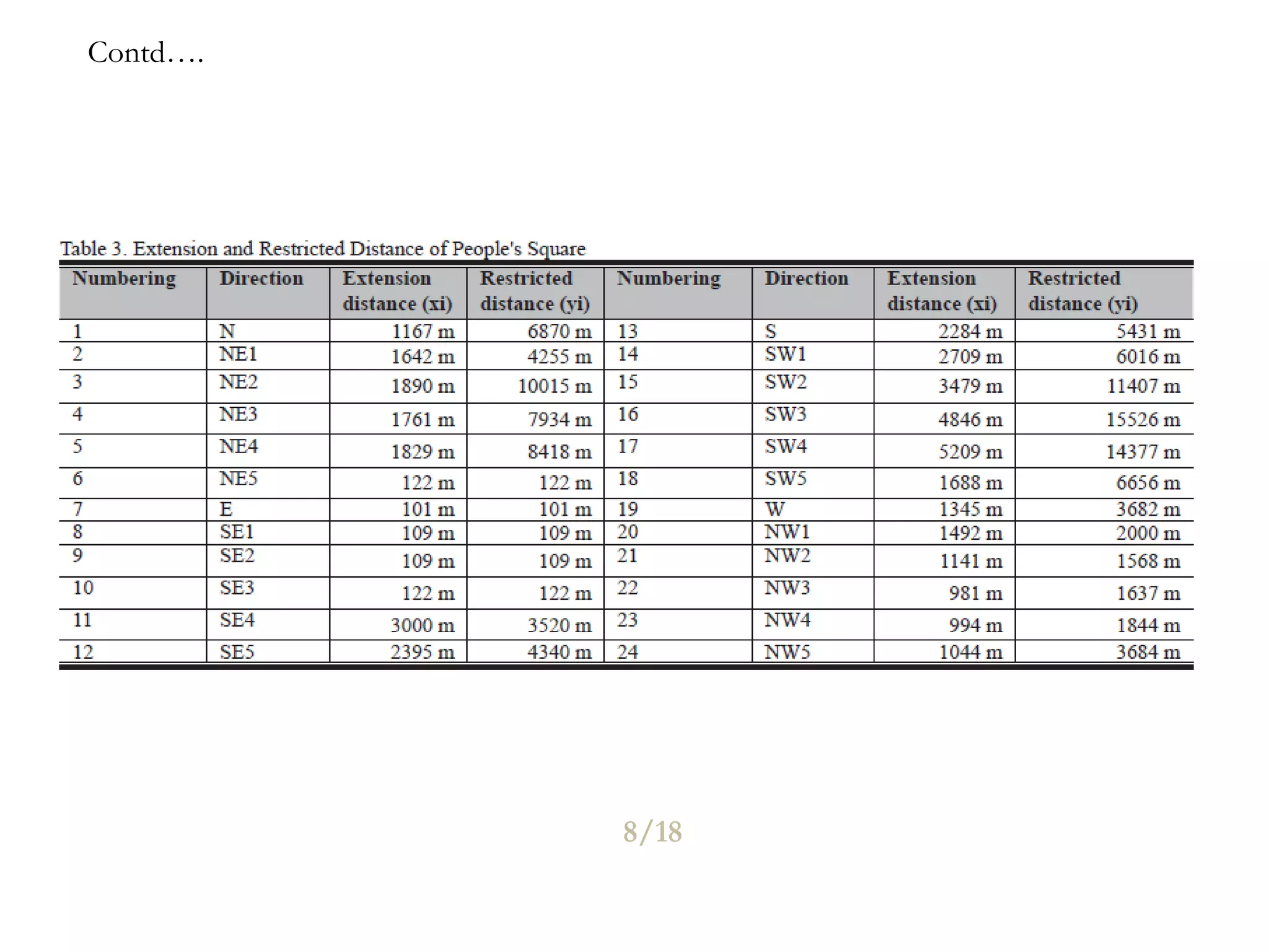
This document discusses threshold analysis and multivariable analysis techniques for urban planning. It defines threshold analysis as a method that identifies tangible and intangible limitations on a city's development. The document outlines the 9-step process for threshold analysis and provides an example case study of People's Square in Shanghai. It also discusses multivariable analysis as a way to analyze multiple independent variables that influence a dependent variable. The document gives examples of using these techniques for land suitability analysis and determining optimal routes.

















