FOUR
The First Law of Thermodynamics
4.1FE

B

4.2FE

A

4.3FE

C

Because the container is insulated we assume the heat transfer is zero. For a rigid container:
Q  electric  v 
W
mc T

    
( 400 0 60) 10 10.085(T2 
20). T2  
29 C
Table B.2 was used to find cv .
4.4FE

A

For a rigid container the boundary work is zero:

q w   2  1 2961 
u u u
2553.6 
407 kJ/kg
where we used v2  1 and interpolated for
v

u2 in Table C.3 as follows:

v2 v1 
0.4625 
2961 kJ/kg
 u2 
T2 400
C 
4.5FE

C

For this adiabatic process we use
(k  / k
1)

 
p
 = m(u2  
W
 
u 
and T2  1  2 
T
293  0.2857 
6
488.9 K
p1 

  v (T2  1 )  
W mc
T
2 0.717 
(489 
293)  kJ
281
4.6FE

C

This is an adiabatic process so that





Then

 = m(u2 u   v (T2  1 ) 
W
  W mc


T

         .  
( 10 100 10 50) (5 60) 2 717 T
T 313.8 
C



V2

1 0.287  ln 0.5 
373
74.2 kJ .
V1
The minus sign indicates that heat is rejected.
Q 
W mRT ln

4.7FE

D

4.8FE

D

 mcv   
W
T 5 0.717  
100 358.5 kJ

4.9FE

A

p2 = p1 = 400 kPa. Use Table C.3 for this superheated steam:

V1
1 0.7726 
0.7726 m 3 .

V

2

V 1  
2 0.05 
0.6726 m 3 and v2 
0.6726 m 3 / kg.

Interpolate at 400 kPa and 0.6726 m3/kg:

0.7726 
0.6726
T2 400 
(400 
300)  
315 C
0.7726 
0.6548
4.10FE D

Use Table C.3 at 315 and interpolate to find h2:
C

Q  
m h 1 (3098 
3273)  kJ
175

31
4.11FE A

Use Tables C.3 and C.2 with W = 0:

Q  (u3  2 )  
m
u
1 (1245 
2829) = 1584 kJ
We interpolated at 315 in Table C.3 to find u2 = 2829 kJ/kg and used v2 = v3 =
C
0.672 m3/kg which is in the quality region. Then using Table C.2,
x3 = 0.3963 and u3 = 1245 kJ/kg.
4.12FE D

If T = const,

Q 
W mRT ln
4.13FE C

p1
100
 
10 0.287  
333 ln

1987 kJ
p2
800

For p = const,

q h2  1 
h 3273 
604.7 
2668 kJ/kg
4.14FE C

For p = const,
Q  (h2  1 ).
m
h

170   h2 
1 (
3108).

h2 
3278 and T2  
402 C

We interpolated at 320 in Table C.3 to find h1 and then to find T2.
C
4.15FE D

For p = const,

W  ( v2  1 )   
mp
v
1 400 (0.7749 
0.6784) 
38.6 kJ
We interpolated in Table C.3 to find v1 and

v2 and the two temperatures.

4.16FE D

In Table C.3 we observe that u =2949 kJ/kg is between p = 1.6 MPa and 1.8 MPa but
closer to 1.6 MPa so the closest answer is 1.7 MPa.

4.17FE C

Interpolate in Table C.3 and find h = 3459 kJ/kg.

4.18FE C

Use a central difference for accuracy:
 3213.6 
h
2960.7
cp 


2.53 kJ/kg 
蚓

T
400 
300

4.19FE C

We use q because the mass is not known:

q  p (T2  1 ) 
c
T
2.254  
300 676.2 kJ/kg
4.20FE B

The copper gains heat and the water losses an equal amount of heat:

mc c p ,c (T2   w c p , w (30  2 ).
0) m
T
4.21FE B

20 
0.38  2  
T 10 4.18   2 ). T2 
(30 T
25.4
C

First the ice melts and then the ice water heats up:

mi ( i  p , w  i )  w c p , w  w .
h c
T
m
T

10 
[333 
4.18(T2   
0)] 60 4.18   2 ) .
(20 T
4.22FE C

For process 1:

Q = W =100 = a.

For process 2:

b = 40 + 60 = 100.

W or 100      .
100 40 100 60 c
Q 

32

c 
80

T2 = 5.85蚓
4.23FE B

For the T = const process:
v
0.8
w1-2 RT1 ln 2 
0.287 
278.7 
ln

166.4 kJ/kg
v1
0.1
We used pv = RT to find T1 = (800)(0.1)/0.287 = 278.7
C.

4.24FE C

For the adiabatic process:

 3-1  v (T1  3 ) 
w
c
T
0.717(278.7 
121.3)  kJ/kg
113
k
1

0.4
 
v
0.1
where T3  1  1  
T
278.7   
  121.3 K .
v
0.8
 
3 

4.25FE D

The net heat transfer is equal to the net work. The work for the 2-3 process is zero.
Therefore, using the results from the above two problems, the net q is

qnet w1-2 w2-3  3-1 = 166.4 
w
113 = 53 kJ/kg
4.26FE A
k k
1/

4.27FE D

 
p
T2  1  2 
T
p
1 

4.28FE B

For the Q = 0 process:

293  0.2857 
8
530.7 K or 258 .
C

W  mcv (T2  1 )  

T
2 0.717 
(622 
373)  358 kJ

k k
1/

 
p
where T2  1  2 
T
p
1 
4.29FE A

  0.2857 
373 6
622.3 K .

100 400
 

Q  p  or 
mc T
  15        T
0.3  60 (10 20 3 1.2) 1.00 
 3600

  
T 14.3 C
We assumed a p = const process since there are openings where air is allowed to escape
or enter.

4.30FE D
4.31FE D

This term includes the flow work rate term due to the pressure force moving due to the
velocity.

4.32FE B
4.33FE C

4.34FE D

V 2  12
V
202  2
200
0  p  2
c T
.
1.00 
T
.
   .
T 19.8 C
2
2
1000
The factor 1000 is needed to convert J to kJ since cp includes the kJ unit.
h2 h1 
3500.9 kJ/kg.
T2 = 508
C

p2  MPa. Interpolate in Table C.3 at 0.8 MPa and find
0.8

33
k
1/1

4.35FE D

 
p
T2  1  2 
T
p
1 

4.36FE B

p
 1
m A1V1  1 A1V1 .
RT1

4.37FE D

The heat that leaves the steam enters the cooling water:

  0.2857 
293 8
530.7 K or 258 .
C

100
2
  2 1
 0.1 V
0.287 
293

V1 
53.5 m/s

 h mw
ms  s c p  w
T
Use hfg from Table C.2:

10 
2373  
400 4.18  T .

4.38FE C

   .
T 14.2 C

Assume p = const in the tube:

  T 100 1.00 (25 20) 500 kJ/min
Q mc p      
4.39FE C

For liquid:

p
100
 m  4 6000  
WP    
23.6 kW

1000
4.40FE B

The enthalpy of the fluid when it enters the tank is assumed equal to the enthalpy
of the fluid in the pipe on the upstream side of a valve connecting the tank and pipe.

4.41FE C

Q1  c1 A1 1 1
h
T t

and Q2  c 2 A2  2 2 . But, Q2  1 , h2  h1 ,  2 1 , and A2 A1.
h
T t
Q
2
T
T

So,

t2 Q2 h1 A1 1 1
T
t

 . t2  1  s
20
t1 Q1h2 A2  2 2
T
2

4.42FE C

 q

q  B or k A
A

TA2  A1
T
T 
T
 B B 2 B1
k
LA
LB

or

If LB LA / 2 and TB1  TA1 and TB 2  TA2
2
2

TA2  A1 2(TA2  A1 )
T
T

LA
2 LA

and 1 = 1 so C is the answer.

34

TA2  A1 TB 2  B1
T
T

LA
4LB

then
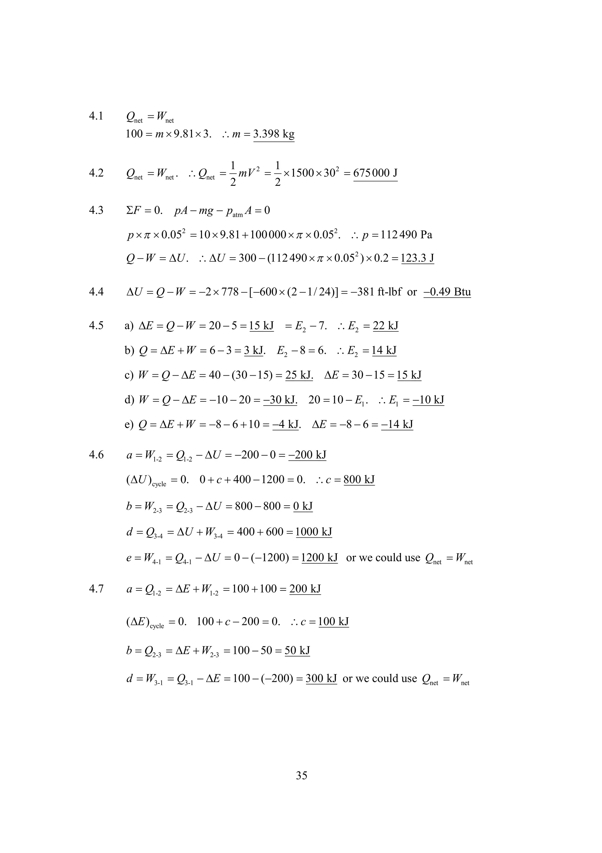
4.1

Qnet  net
W
100 m 
9.81  m 
3.
3.398 kg

4.2

1
1
Qnet  net . Qnet  mV 2  
W
1500  2 
30
675000 J
2
2

4.3

 0.
F

pA  patm A 
mg
0

p  2  
 0.05 10 9.81  000   2.  p  490 Pa
100
 0.05
112
Q   .   
W
U
U 300 (112 490   2 )  
 0.05
0.2 123.3 J
4.4

        24)]  ft-lbf or 
U Q W
2 778 [ 600 (2 1/
381
0.49 Btu

4.5

a)    20   kJ E2  E2  kJ
E Q W
5 15
7.
22
b) Q   6   kJ. E2   E2  kJ
E W
3 3
8 6.
14
c) W   E 40   25 kJ.     kJ
Q 
(30 15)
E 30 15 15
d) W   E    kJ. 20   1 . E1  kJ
Q 
10 20
30
10 E
10
e) Q       kJ.     kJ
E W
8 6 10
4
E
8 6
14

4.6

a  1-2  1-2  U    kJ
W
Q

200 0
200
( )cycle 0. 0   
U
c 400 1200  c 
0.
800 kJ
b  2-3  2-3  U    kJ
W
Q
 800 800 0
d  3-4   3-4 400  
Q
U W
600 1000 kJ

e  4-1  4-1  U  
W
Q

0 ( 1200) 
1200 kJ or we could use Qnet  net
W
4.7

a  1-2   1-2   200 kJ
Q
E W
100 100
( )cycle  100  
E
0.
c 200  c  kJ
0.
100
b  2-3   2-3    kJ
Q
E W
100 50 50
d  3-1  3-1  E  
W
Q
 100 ( 200) 
300 kJ or we could use Qnet  net
W

35
4.8

First, find the initial pressure in the cylinder:
W
60 
9.81
p  patm 
 000  000 Pa
100
119
A
 2
0.1
Now, apply the 1st law adding the work of the pressure force and the work to
compress the spring:
1
Q   .
W
U
Q  pA   Kx 2 ) 
(
h
U
2
1
 200 
U
(119 000   2 
 0.1 0.05   000  2 )  J
50
0.05
49
2

4.9

W1-2   6     000 J.
VI t
5 (20 60) 36
Q1-2  1-2  2-1 W2-1   )cycle 0. Q2-1  1-2  kJ
W
Q
( U
W
36

4.10

Q    000       600 J or 377.6 kJ
U W
400
12 3 (6 60 60) 377

4.11

Q  U   300 000      84 000 J or  kJ
 W 
12 10 (30 60) 
84

4.12

Q   
U W 8000      /1055 
110 15 (2 60 60)
3260 Btu
w e t f t 15 cne s tBus
hr h a o 05 ovr Jo t .
e e cr
t
’

4.13

The only transfer of energy across the boundary of the system is via the
electrical wires leading to the refrigerator. The 1st law is

Q   .    ) 2 
W
U
U
W
( VI t
0.746   2686 kJ
(30 60)
V
0.3
(u2  1 ) 
u
(3655.3 
2621.9) 
1505 kJ
v
0.206

4.14

Q W   
m u

4.15

a) Q W   
m u

V
(u2  1 )
u
v
0.2
1000 
{u2 
[669.9 
0.8(2567.4 
669.9)]}
0.0011 
0.8(.3157 
.0011)

u2 
3452 kJ/kg and v2 
0.2528 m 3 /kg . We must find where in Table C.3
this state exists. After checking the table we interpolate for the following:
p2  MPa, v2 
1.5
0.2528, u2 
3216 : T2   
556 C
686
C
 T2 
p2  MPa, v2 
2.0
0.2528, u2 
3706 : T2   
826 C
b) TK solution:
Rule Sheet
;This is a closed, constant-volume system so no work is done and the first law is
Q = m * (u2 -u1)
; First law
V1 = m * v1
; Definition of specific volume
v2 = v1 ; For a constant-volume system
; Steam tables based on NBS/NRC Steam Tables by Lester Haar, ; John S. Gallagher, and George S.
Kell, Hemisphere Publishing Corp., 1984.
; STEAM8SI.TKW

36
Variable Sheet
Input

Name

Output

Unit

`

600

0.8

0.253

1000
0.2

4.16

T1
p1
h1
s1
v1
x1
phase1
u1

159

T2
p2
h2
s2
v2
x2
phase2
u2

688
1750
3890
7.99

Q
m
V1

2340
5.79
0.253

C
kPa
kJ/kg
kJ/(kg*K)
m^3/kg

'SAT
2190

kJ/kg
C
kPa
kJ/kg
kJ/(kg*K)
m^3/kg

'mngless
'SH
3450

0.791

kJ/kg
kJ
kg
m^3

Comment
Thermal Sciences, Potter & Scott
*STEAM8SI.TKW Steam, 1-8 States, SI Units
P4-15.tkw Problem 4.15
Temperature
Pressure
Enthalpy
Entropy
Specific Volume
Quality
Phase
Internal energy
Temperature (starting guess needed)
Pressure
Enthalpy
Entropy
Specific Volume Transfer value to input)
Quality
Phase
Internal energy
*THUNITS.TKW Units for thermo
Heat transfer
Mass of steam
Volume

a L t fsf dh m s We s T ble C.1E:
) e siti t as
’ r n e
. ue a

v1 
0.016 
0.5(203 
0.016) 
101.5 ft 3 /lbm. m 

V
2


0.0197 lbm
v 101.5

The 1st law is Q W m(u2  1 ) or 8 
0.0197(u2  1 ) :
u
u

u1 
87.99 
0.5(961.9) 
568.9 Btu/lbm . u2 
975 Btu/lbm
This is less than u g so that state 2 is in the wet region with v2 
101.5 ft 3 /lbm.
This requires trial-and error:
At T2  F :
140

101.5 0.016 x2 (122.9 
0.016). x2 
0.826
975  
108 948.2 x2 .

37

x2 
0.914
At T2  F :
150

vg 
96.99.

slightly superheat

975  
118 941.3 x2 .

x2 
0.912

State 2 lies between 140 F and 150 F . Since the quality is insensitive to the
internal energy, we find T2 such that v2 
101.5 ft 3 /lbm:
101.5 
96.99
T2  
150
  F
10 148
122.88 
96.99
A temperature slightly less than this provides the answer: T2  F .
147
b) TK solution:
Rule Sheet
;This is a closed, constant-volume system so no work is done and the first law is
Q = m * (u2 -u1)
; First law
V1 = m * v1
; Definition of specific volume
v2 = v1
; For a constant-volume system
; Steam tables based on NBS/NRC Steam Tables by Lester Haar, ; John S. Gallagher, and George
S. Kell, Hemisphere Publishing Corp., 1984.
; STEAM8SI.TKW
Variable Sheet
Input Name Output
Unit
Comment
`
Thermal Sciences, Potter & Scott
*STEAM8E.TKW Steam, 1-8 States, English units
P4-16.tkw
Problem 4.16
120
T1
F
Temperature
p1
1.69
psi
Pressure
h1
601
B/lbm
Enthalpy
s1
1.05
B/(lbm*R) Entropy
v1
101
ft^3/lbm
Specific Volume
0.5
x1
Quality
phase1 'SAT
Phase

101

8

2

T2
p2
h2
s2
v2
x2
phase2
Q
m
u2
u1
V1

144
3.21
1030
1.73

F
psi
B/lbm
B/(lbm*R)
ft^3/lbm

0.913
'SAT

0.0197
975
569

B
lbm
B/lbm
B/lbm
ft^3

Temperature (starting guess needed)
Pressure
Enthalpy
Entropy
Specific Volume
Quality
Phase
*thunits.tkw Units for thermodynamics
Heat transfer
Mass of steam
Internal energy
Internal energy
Initial volume

38
V 100 / 1728


0.01633 lbm
v
3.544
120 
144
100
Q m(u2  1 )  
u
W 0.01633{1371.5 
[312.3 
0.95(796)]} 
(7.208 
)
778
1728

6.28 Btu

4.17 v1 
0.0179 
0.95(3.73 
0.0179) 
3.544. m 

4.18

First, find the mass: m 

V 1 0.004


0.0302 kg . The 1st law is Q  m(u2  1 )
W
u
v1
0.1325

which takes the form

40 
1500 
0.03019( v2 
0.1325) 
0.0302(u2 
2598) or 124.4  v2 
45.3
0.0302u2
The above equation has two variables but the steam tables represent the 2nd equation.
'
This requires trial-and-error (let u2 be the u2 from the above equation):
'
At T2 
600, p2  : v2 
1.5
.2668, u2 
3294. u2 
3720 

'
At T2 
780, p2  : v2 
1.5
.3230, u2 
3622. u2 
3636  T2  
785 C
'
At T2 
800, p2  : v2 
1.5
.3292, u2 
3627. u2 
3720 


4.19

100 /1728
a) Q m(h2  1 ) 
h
{1531.5 
[312.7 
0.95(878.5)]} 
6.27 Btu
3.544

b) TK solution:
Rule Sheet
;This is a closed system, so the first law, Q =m* (u2 - u1 + INT pdv), at constant pressure
becomes
; Q = m * (u2 - u1 + p1 * (v2 - v1) = m * (u2 - u1 + p2*v2 - p1 *v1) or
Q = m * (h2 - h1)
v1 = V1/m
; Definition of v1
; Steam tables based on NBS/NRC Steam Tables by Lester Haar, ; John S. Gallagher, ;and George
S. Kell, Hemisphere Publishing Corp., 1984. ; STEAM8E.TKW
Variable Sheet
Input Name
`

120

0.95
1000
120

T1
p1
h1
s1
v1
x1
phase1
T2
p2

Output

341
1150
1.53
3.54
'SAT

Unit

Comment
Thermal Sciences, Potter & Scott
*STEAM8E.TKW Steam, 1-8 States, English units
P4-19.tkw Problem 4.19
F
Temperature
psi
Pressure
B/lbm
Enthalpy
B/(lbm*R) Entropy
ft^3/lbm
Specific Volume
Quality
Phase
F
Temperature
psi
Pressure

39
h2
s2
v2
x2
phase2

100

4.20

1530
B/lbm
1.9
B/(lbm*R)
7.2
ft^3/lbm
'mngless
'SH

Q
V1
m

6.28

B
in^3
lbm

0.0163

Enthalpy
Entropy
Specific Volume
Quality
Phase
*THUNITS.TKW Units for thermo
Heat transfer
Initial volume
Mass of steam

0.004
40 
(h2 
2797).
h2 4120 kJ/kg .
0.1325
At p2  MPa we interpolate T2 787
1.5
C.
b) TK solution:

a) Q m .
h

Rule Sheet
;This is a closed system, so the first law, Q =m* (u2 - u1 + INT pdv) constant pressure becomes
; Q = m * (u2 - u1 + p1 * (v2 - v1) = m * (u2 - u1 + p2*v2 - p1 *v1) or Q = m * (h2 - h1)
v1 = V1/m
; Definition of v1
; Steam tables based on NBS/NRC Steam Tables by Lester Haar, ; John S. Gallagher, and George
S. Kell, Hemisphere Publishing Corp., 1984.
; STEAM8SI.TKW
Variable Sheet
Input

Name

Output

Unit

`

200
1500

4

1500

40

T1
p1
h1
s1
v1
x1
phase1
V1
m
T2
p2
h2
s2
v2
x2
phase2
Q

2800
6.45
0.132
'mngless
'SH
0.0302
785
4120
8.28
0.324
'mngless
'SH

C
kPa
kJ/kg
kJ/(kg*K)
m^3/kg

L
kg
C
kPa
kJ/kg
kJ/(kg*K)
m^3/kg

kJ

Comment
Thermal Sciences, Potter & Scott
*STEAM8SI.TKW Steam, 1-8 States, SI Units
P4-20.tkw Problem 4.20
Temperature
Pressure
Enthalpy
Entropy
Specific Volume
Quality
Phase
Initial volume
Mass of steam
Temperature (starting guess is needed)
Pressure
Enthalpy
Entropy
Specific Volume
Quality
Phase
*THUNITS.TKW Units for thermo
Heat transfer

40
4.21

From Table D.1 we find h1  
62 0.8(190.3) 214.2 kJ/kg. Then

q h2  1 .
h
80 h2 
214.2.
h2 294.2 kJ/kg
We interpolate at p2 0.4 MPa in Table D.3:
294.2 
291.8
T2 
(10)  
50 52.5
C
301.5 
291.8
4.22

a) Q m(h2  1 ) 2(3278 
h
209) 
6138 kJ
b) Q m(h2  1 ) 2(4044 
h
3278) 
1531 kJ
c) TK solution:
Rule Sheet
;This is a closed system, so the first law, Q =m* (u2 - u1 + INT pdv), at constant pressure becomes
Q = m * (u2 - u1 + p1 * (v2 - v1) = m * (u2 - u1 + p2*v2 - p1 *v1) for each process or
Q12 = m * (h2 - h1)
; for the process 1-2
Q23 = m * (h3 - h2)
; for the process 2-3
; Steam tables based on NBS/NRC Steam Tables by Lester Haar, John S. Gallagher, and George S.
Kell, Hemisphere Publishing Corp., 1984.
; STEAM8SI.TKW
Variable Sheet
Input

Name

Output

Unit

`

50
100

400
100

750
100

T1
p1
h1
s1
v1
x1
phase1
T2
p2
h2
s2
v2
x2
phase2
T3
p3
h3
s3
v3
x3
phase3

209
0.704
0.00101
'mngless
'CL

3280
8.54
3.1
'mngless
'SH

4040
9.45
4.71
'mngless
'SH

C
kPa
kJ/kg
kJ/(kg*K)
m^3/kg

C
kPa
kJ/kg
kJ/(kg*K)
m^3/kg

C
kPa
kJ/kg
kJ/(kg*K)
m^3/kg

Comment
Thermal Sciences, Potter & Scott
*STEAM8SI.TKW Steam, 1-8 States, SI Units
P4-22.tkw Problem 4.22
Temperature
Pressure
Enthalpy
Entropy
Specific Volume
Quality
Phase
Temperature
Pressure
Enthalpy
Entropy
Specific Volume
Quality
Phase
Temperature
Pressure
Enthalpy
Entropy
Specific Volume
Quality
Phase

41
2

4.23

m
Q12
Q23

6140
1530

*THUNITS.TKW Units for thermo
Mass of steam
Heat transfer, process 1-2
Heat transfer, process 2-3

kg
kJ
kJ

h1 
1008 
0.8(1796) 
2445. v1 
0.0012 
0.8(0.06668 
0.0012) 
0.5359
V1
1.2
T
m


22.39 kg
v1
0.05359
a)
Q m(h2  1 )
h
(b)
3000 22.39(h2 
2445). h2 2579
h2 2579 

 T2 234 C
p2  MPa 
3

1 (a)
v

b) Q m(h2  1 ) . 30 000 22.39(h2 
h
2445). h2 
3785
h2 
3785 

 T2 645 C
p2  MPa 
3
4.24

v1 
0.0012 
0.9(0.1274 
0.0012) 
0.1148 m 3 /kg and
v2  
3 0.1148 
0.3444 m 3 /kg

u1 
850.6 
0.9(2595.3 
850.6) 2421 kJ/kg
Interpolate in Table C.3:
v2 
0.3444 
0.3444 
0.2608
0.8 
(0.2) 
0.617 MPa
  p2 
T2 
200 C 
0.3520 
0.2608
T 200 
C
0.617 
0.6
Also, 2
(2638.9 
2630.6) 2638 kJ/kg
 u2 2638.9 
0.8 
0.6
p2 
0.617 
To find the heat transfer we must know the work. It is found by using graph paper
and plotting p vs. v and graphically integrating. The work is twice the area since
m = 2 kg. Doing this, we find

W 2  456 kJ.
228
4.25

Q m (u2  1 )  2(2638 
u
W
2421) 
456 
890 kJ

 3489 
h
3076.5
a) c p 

2.06 kJ/kg 
K

T
200

 3488.1 
h
3074.3
b) c p 

2.07 kJ/kg 
K

T
200
 2821.4 
h
2151
c) c p 


13.4 kJ/kg 
K

T
50

42
d) TK solution:
Rule Sheet
; cp = the slope of a constant pressure line on an hT diagram or approximately.
;cp = (h2 - h1)/(T2 - T1) ; where states 1 and 2 are close together, say T1 = 398C and T1 = 402C
; at 10 kPa. Likewise, we define states 3 and 4 at these temperatures on a 100-kpa line and
;states 5 and 6 at these temperatures ona 30,000-kPa line.. Then
cp1 = (h2 - h1) / (T2-T1) ; at 10 kPa, 400 kPa
cp2 = (h4 - h3) / (T4 - T3) ; at 100 kPa, 400 kPa
cp3 = (h6 - h5 ) / (T6 - T5) ; at 30000 kPa, 400 kPa
; Steam tables based on NBS/NRC Steam Tables by Lester Haar, ; John S. Gallagher, and ;George
S. Kell, Hemisphere Publishing Corp., 1984. ; STM8SI.tkw
Variable Sheet
Input Name Output
`

398
10

402
10

398
100

402
100

398

T1
p1
h1
s1
v1
x1
phase1
T2
p2
h2
s2
v2
x2
phase2
T3
p3
h3
s3
v3
x3
phase3
T4
p4
h4
s4
v4
x4
phase4
T5

3280
9.6
31
'mless
'SH

3280
9.61
31.2
'mless
'SH

3270
8.54
3.09
'mnless
'SH

3280
8.55
3.11
'mless
'SH

Unit

C
kPa
kJ/kg
kJ/(kg*K)
m^3/kg

C
kPa
kJ/kg
kJ/(kg*K)
m^3/kg

C
kPa
kJ/kg
kJ/(kg*K)
m^3/kg

C
kPa
kJ/kg
kJ/(kg*K)
m^3/kg

C

Comment
Thermal Sciences, Potter & Scott
*STEAM8SI.TKW Steam, 1-8 States, SI Units
P4-25.tkw Problem 4.25
Temperature
Pressure
Enthalpy
Entropy
Specific Volume
Quality
Phase
Temperature
Pressure
Enthalpy
Entropy
Specific Volume
Quality
Phase
Temperature
Pressure
Enthalpy
Entropy
Specific Volume
Quality
Phase
Temperature
Pressure
Enthalpy
Entropy
Specific Volume
Quality
Phase
Temperature

43
30000 p5
h5
s5

kPa
2120 kJ/kg
4.43 kJ/(kg*K)
0.0026
v5
m^3/kg
9
x5
'mless
phase5 'SH
402 T6
C
30000 p6
kPa
h6
2180 kJ/kg
s6
4.51 kJ/(kg*K)
v6
0.0029 m^3/kg
x6
'mless
phase6 'SH
cp1
cp2
cp3

4.26

2.07
2.07
13.9

Pressure
Enthalpy
Entropy
Specific Volume

Quality
Phase
Temperature
Pressure
Enthalpy
Entropy
Specific Volume
Quality
Phase
*THUNITS.TKW Units for thermo
kJ/(kg*K) Approx cp at 10 kPa, 400 C
kJ/(kg*K) Approx cp at 100 kPa, 400 C
kJ/(kg*K) Approx cp at 30000 kPa, 400 C

 1373.9 
u
1219.3
a) cv 

0.386 Btu/lbm-
R

T
400
 1373.7 
u
1218.6
b) cv 

0.388 Btu/lbm-
R

T
400
 1156.5 
u
960.7
c) cv 


1.96 Btu/lbm-
R

T
100

4.27

 117.6 
h
126.4
a) c p 


0.22 Btu/lbm-
R

T
120 
80
 115.5 
u
107.6
cv 


0.20 Btu/lbm-
R

T
120 
80

b) TK solution:
Rule Sheet
; cp = the slope of a constant-pressure line on an hT diagram or approximately:
; cp = (h2 - h1)/(T2 - T1) ; where states 1 and 2 are close together, say T1 = 98 F and T2 = 102 F
; at 30 psia. Then cp = (h2 - h1) / (T2-T1) ; at 30 psia, 100 F
; cv = the slope of a constant-volume line on a uT diagram or approximately
;cv = (u4 - u3) / (T4 - T3) where states 3 and 4 are close together, say T3 = 98 F and T4 = 102 F at
the specific volume of the state of 30 psia, 100 F: 1.89 ft^3/lbm. Then
cv = (u4 - u3) / (T4 - T3)
;*R1348e.tkw, R134a, 1-8 States, English units
; R134a tables based on 'Thermodynamic Properties of HFC-134a' DuPont Technical Information,
which is based upon the Modified Benedict-Webb-Rubin equation of state.
R1348E.tkw

44
Variable Sheet
Input

Name

Output

Unit

`

98
30

102
30

98

1.89

102

1.89

T1
p1
h1
s1
v1
x1
phase1
T2
p2
h2
s2
v2
x2
phase2
T3
p3
h3
s3
v3
x3
phase3
u3
T4
p4
h4
s4
v4
x4
phase4
u4
cp
cv

4.28

122
0.257
1.88
'mngless
'SH

123
0.259
1.9
'mngless
'SH
29.9
122
0.257
'mngless
'SH
111.98
30.1
123
0.258
'mngless
'SH
112.74
0.213
0.189

F
psi
B/lbm
B/(lbm*R)
ft^3/lbm

F
psi
B/lbm
B/(lbm*R)
ft^3/lbm

F
psi
B/lbm
B/(lbm*R)
ft^3/lbm

B/lbm
F
psi
B/lbm
B/(lbm*R)
ft^3/lbm

Comment
Thermal Sciences, Potter & Scott
*R1348e.tkw, R134a, 1-8 States, English
P4-27.tkw Problem 4.27
Temperature
Pressure
Enthalpy
Entropy
Specific Volume
Quality
Phase
Temperature
Pressure
Enthalpy
Entropy
Specific Volume
Quality
Phase
Temperature
Pressure
Enthalpy
Entropy
Specific Volume
Quality
Phase
Temperature
Pressure
Enthalpy
Entropy
Specific Volume
Quality
Phase

B/lbm
B/(lbm*R)
B/(lbm*R)

*THUNITS.TKW Units for thermo
Constant-pressure specific heat
Constant-volume specific heat

a)   p (T2  1 ) 
h c
T
1.006(700 
300) 402.4 kJ/kg
700

b)   (0.946 
h
0.213   T 
10 3
0.031   T 2 )dT 417.7 kJ/kg
10 6
300

c) Using the gas table F.1 we find  h2  1 713.3 
h
h
300.2 413.1 kJ/kg
45
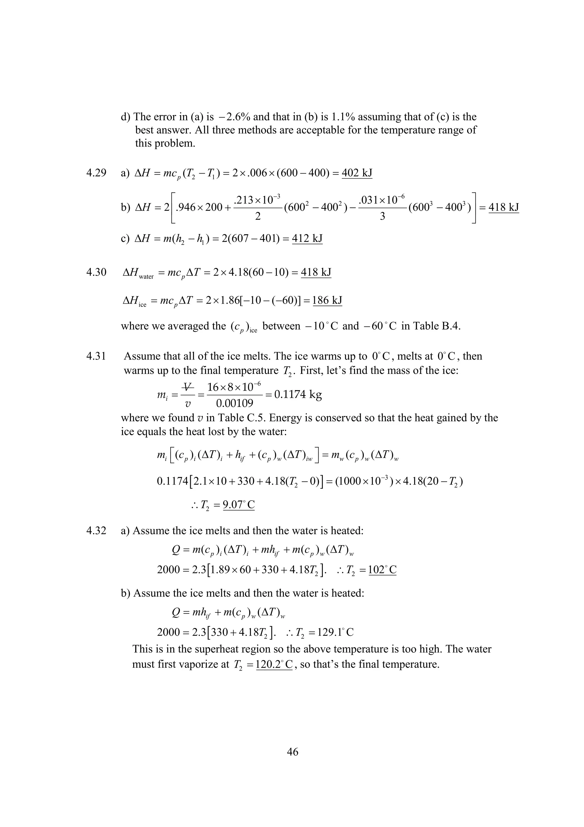
d) The error in (a) is 
2.6% and that in (b) is 1.1% assuming that of (c) is the
best answer. All three methods are acceptable for the temperature range of
this problem.
4.29

a)  mc p (T2  1 ) 2 
H
T
.006 
(600 
400) 402 kJ


.213  
10 3
.031  
10 6
b)  2   
H
.946 200
(6002  2 ) 
400
(6003  3 )  418 kJ
400 
2
3


c)  m(h2  1 ) 2(607 
H
h
401) 412 kJ

4.30

 water mc p  2 
H
T
4.18(60  418 kJ
10)
 ice mc p  2 
H
T
1.86[   kJ
10 ( 60)] 186
where we averaged the (c p )ice between   and   in Table B.4.
10 C
60 C

4.31

Assume that all of the ice melts. The ice warms up to 0 , melts at 0 , then
C
C
warms up to the final temperature T2 . Fr, t f dh m so t ice:
it e si t as fh
s l’ n e
e

6
V 16  
8 10
mi  

0.1174 kg
v
0.00109
where we found v in Table C.5. Energy is conserved so that the heat gained by the
ice equals the heat lost by the water:
mi  p )i ( )i  if  c p ) w (  )iw  mw (c p ) w (  ) w
(c
T
h (
T 

T


0.1174    
2.1 10 330 4.18(T2   (1000   ) 
0) 
10 3 4.18(20  2 )
T
T2 
9.07
C
4.32

a) Assume the ice melts and then the water is heated:
Q m(c p )i ( )i  if  (c p ) w (  ) w
T
mh m
T
2000 2.3    T2  T2  
1.89 60 330 4.18 .
102 C

b) Assume the ice melts and then the water is heated:
Q mhif  (c p ) w ( ) w
m
T
2000 2.3  T2  T2 
330 4.18 .
129.1
C
This is in the superheat region so the above temperature is too high. The water
must first vaporize at T2 
as e n m a r
120.2 ,o ht t f at pr ue
C s t ’ h i le e t .

46
4.33

First, the temperature of the ice is raised, then the ice is melted, then the
temperature is raised to the boiling point, then the water is vaporized, then it is
superheated. This requires the following:
T

Q mc p ( )i    p ( )w  fg  (h2  g )
T
m h mc T
mh
m
h

 
10 0.486   
32 143 1.0(250   
32) 945 (1334 
1164)

2

=14,900 Btu
where for ice c p 
0.47 
0.001T and we used an average

1

temperature of 16  .
C
4.34

v

The heat gained by the ice cubes is lost by the cola. The mass of the ice is
mc 4       0.0734 kg
2 2 5 10 6 917
a) Assume all of the ice melts:
mi c p ( )i  i   i c p (  ) w mc (c p )c (  )c
T
m h m
T
T
0.0734(2.0    T2 ) 2   
20 330 4.18
10 3 4.18 
1000(20  2 ). T2  
T
16.1 C
b) Assume that all of the ice does not melt:
mi c p ( )i x mc (c p )c ( )c
T
h
T
0.0734   x  
2.0 20
330 0.25   
10 3 1000 
4.18 
20. x 
0.0561 kg
0.0561
 
100 76.4%
0.0734

4.35

The heat lost by the copper is gained by the water:
mc (c p )c ( )c mw (c p ) w ( ) w
T
T
Use an average value of c p for copper from Table B.4:
5
0.39 
(300  2 ) 20   
T
10 3 1000 
4.18 T2 
(
0). T2 
6.84
C

4.36

The heat lost by the copper is gained by the water:
mc (c p )c (  )c mw (c p ) w (  ) w
T
T

  v (T2  1 ) 4 
u c
T
0.717(400 
100) 
860 kJ
4.37

The heat lost by the iron is gained by the copper:
mc (c p )c ( )c mi (c p )i ( )i
T
T
50  T2  
0.39
100 0.45(200  2 ). T2 
T
139.5
C

4.38

  p (T2  1 ) 4 
h c
T
1.00(400 
100) 
1200 kJ
  v (T2  1 ) 4 
u c
T
0.717(400 
100) 
860 kJ

47
4.39

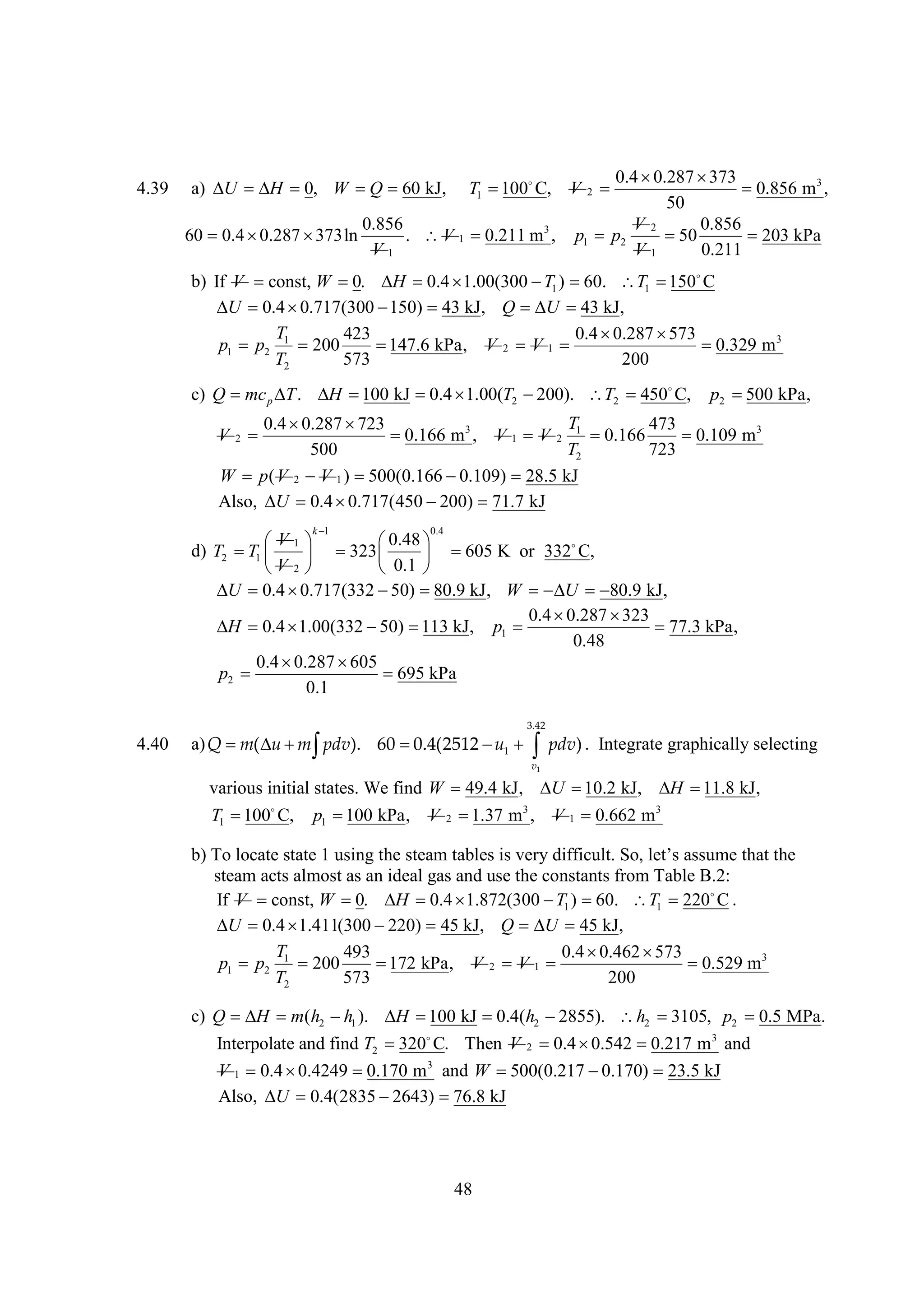
a)   0, W   kJ,
U
H
Q 60
60 0.4 
0.287 
373ln

T1  
100 C,

0.4 
0.287 
373

0.856 m3 ,
50
V2
0.856
p1 p2

50
203 kPa
V1
0.211

V

0.856
. V 1 
0.211 m3 ,
V1

2

b) If V const, W    
0.
H 0.4 1.00(300  1 ) 
T
60. T1  
150 C
 0.4 
U
0.717(300 
150) 43 kJ, Q  43 kJ,
U
T
423
0.4 
0.287 
573
p1 p2 1 200

147.6 kPa, V 2 V 1 

0.329 m 3
T2
573
200
c) Q mc p  .   kJ  
T
H 100
0.4 1.00(T2 
200). T2  
450 C,

p2 
500 kPa,

T
0.4 
0.287 
723
473


0.166 m3 , V 1 V 2 1 
0.166

0.109 m3
500
T2
723
W p ( V 2 V 1 ) 
500(0.166 
0.109) 28.5 kJ
Also,  0.4 
U
0.717(450 
200) 
71.7 kJ

V

2

k
1

0.4

V
0.48
 1
 
d) T2  1      
T
323
605 K or 332
C,
V2
0.1 


 0.4 
U
0.717(332  
50) 80.9 kJ, W  U 

80.9 kJ,
0.4 
0.287 
323
 0.4 
H
1.00(332   kJ, p1 
50) 113

77.3 kPa,
0.48
0.4 
0.287 
605
p2 

695 kPa
0.1
3.42

4.40

a) Q  (    ). 60 
m u m pdv
0.4(2512  1   ) . Integrate graphically selecting
u
pdv
v1

various initial states. We find W 49.4 kJ,  
U 10.2 kJ,  
H 11.8 kJ,
T1  
100 C,

p1  kPa,
100

V

2


1.37 m3 ,

V 1 0.662 m3

b) To locate state 1 using the t mt l ivr d f u . ol’asm t th
s a a e s e ii l S , t s eh t
e
bs
y fc t
es u
a e
steam acts almost as an ideal gas and use the constants from Table B.2:
If V const, W    
0.
H 0.4 1.872(300  1 ) 
T
60. T1 220 .
C
 0.4 
U
1.411(300 
220) 45 kJ, Q  45 kJ,
U
T
493
0.4 
0.462 
573
p1 p2 1 200
 kPa, V 2 V 1 
172
0.529 m3
T2
573
200
c) Q  m(h2  1 ).   kJ  h2 
H
h
H 100
0.4(
2855). h2 
3105, p2  MPa.
0.5
Interpolate and find T2  
320 C. Then V 2  
0.4 0.542 
0.217 m3 and
V 1 0.4 
0.4249 
0.170 m3 and W 
500(0.217 
0.170) 23.5 kJ
Also,  0.4(2835 
U
2643) 
76.8 kJ

48
4.41

Q   mRT ln
U W

4.42

m

p1
20
2 
(53.5 / 778)  ln
560

176.7 Btu
p2
200

p
pV
200 
2
800

0.596 kg. T2  1 2 
T
323

1292 K
RT
2.077 
323
p1
200

Q W mcv  0.596 
T
3.116(1292 
323) 
1800 kJ

4.43

Q m(h2  1 )
h
h2 
1832


1551F
 T2 
p2 60 psia 
h2 
1939 
b) 1000 2.0(h2 
1439). h2 
1939 kJ/kg.
1741
F
 T2 
p2  psia 
60
a) 1000 2.0(h2 
1332). h2 
1832 kJ/kg.

c) TK solution:
Rule Sheet
;*P4-43.tkw Problem 4.43
;This is a closed system, so the first law, Q =m* (u2 - u1 + INT pdv) constant pressure becomes
; Q = m * (u2 - u1 + p1 * (v2 - v1) = m * (u2 - u1 + p2*v2 - p1 *v1) or, for part (a),
Q = m * (h2 - h1)
;Similarly, for part (b):
Q = m * (h4 - h3)
; Steam tables based on NBS/NRC Steam Tables by Lester Haar, ; John S. Gallagher, ;and
George S. Kell, Hemisphere Publishing Corp., 1984. ; STM8E.tkw

Input Name
`

600 T1
60 p1
h1
s1
v1
u1
x1
phase1
T2
60 p2
h2
s2
v2
u2

Output

1330
1.82
10.4
1220
'mngless
'SH

1830

Variable Sheet
Unit
Comment
Thermal Sciences, Potter & Scott
*Stm8e.tkw Steam, 1-8 States, English
P4-43.tkw Problem 4.43
F
Temperature
psi
Pressure
B/lbm
Enthalpy
B/(lbm*R) Entropy
ft^3/lbm Specific Volume
B/lbm
Internal Energy
Quality
Phase
F
Final temperature, part (a)
psi
Pressure
B/lbm
Enthalpy
B/(lbm*R) Entropy
ft^3/lbm Specific Volume
B/lbm
Internal Energy

49
x2
phase2
815 T3
60 p3
h3
s3
v3
u3
x3
phase3
T4
60 p4
h4
s4
v4
u4
x4
phase4

1440
1.91
12.6
1300
'mngless
'SH
1740
1940
2.2
21.7
1700
'mngless
'SH

1000 Q
2
m

4.44

Q mc p (T2  1 ) ,
T

Quality
Phase
F
Temperature
psi
Pressure
B/lbm
Enthalpy
B/(lbm*R) Entropy
ft^3/lbm Specific Volume
B/lbm
Internal Energy
Quality
Phase
F
Final temperature, part (b)
psi
Pressure
B/lbm
Enthalpy
B/(lbm*R) Entropy
ft^3/lbm Specific Volume
B/lbm
Internal Energy
Quality
Phase
*THUNITS.TKW Units for thermo
B
Heat transfer
lbm
Mass of steam

m

p1 V 1
400 
0.2


1.021 kg
RT1
0.287 
273

a) 50 
1.021  T2 
1.0(
0). T2 49
C
b) 50 
1.021  T2 
1.0(
200). T2 249
C
4.45

4.46

p1 V 1 800 
8000  
10 6
Q W mcv (T2  1 ). m 
T

0.05978 kg
RT1
0.287 
373
p
200
a) Q 0.05978 
0.717(93.2 
373) 
11.99 kJ where T2  1 2 
T
373

93.2 K
p1
800
p
3000
b) Q 
T
373

1399 K
0.05978 
0.717(1399 
373) 43.98 kJ where T2  1 2 
p1
800
We assume a quasiequilibrium process with q = 0 so that
k k
1/

 
p
10
 000 
T2  1  2   
T
373

1390 K

p
 100 
1 
q   . w v (T2  1 ) 
w
u
c
T
0.717(1390 
373)  kJ/kg
729
0.4 / 1.4

50
n n
1/

4.47

 
p
100
 
For the polytropic process T2  1  2    
T
373
276.7 K
p
600
 
1 
p v  1v1 R(T2  1 ) 0.287(276.7 
p
T
373)
w 2 2



138.2 kJ/kg
1
n
1
n
1
1.2
0.2 /1.2

q  v  
c T w 0.745(276.7 
373) 
138.2 
66.5 kJ/kg
4.48

100   
(3 5 2.4)
Q mc p (T2  1 ) 
T

1.00(27  
10) 753 kJ
0.287 
283

4.49

Q  m .
W
u

pA  paddle mcv (T2  1 )
h W
T

The pressure is found from a force balance on the piston:
W
175
p  patm 

14.7 
18.18 psia
A
 2
4
The mass is found from the ideal-gas law:
p1 V 1 (18.18 
144)   2  /1728
 4 10
m


0.0255 lbm
RT1
53.3 
560
The temperature at state 2 is
p V 2 (18.18 
144)   2  /1728
 4 15
T2  2

 R
840
mR
0.0255 
53.5
Finally,

Wpaddle 
18.18   2  /12 
 4 5
0.0255 
0.171  
778 (840 
560) 
1331 ft-lbf
4.50

a) v1 
.0011 
.5(.4625 
.0011) 
0.2318 m 3 /kg

u1 
604.3 
.5(2553.6 
604.3) 
1579 kJ/kg
0.15
Q W m(u2  1 ). 800 
u
(u2 
1579). u2 2815 kJ/kg
0.2318
Now, search Table C.3 for the location of state 2. It takes a couple interpolations:
u2 
2815 
314 and p2 
C
1.14 MPa
 T2 
v2 
0.2318 
We used:
p2 
1.0

248 and u2 
C
2707 kJ/kg
 T2 
v2 
0.2318 
p2 
1.5


489 and u2 
C
3102 kJ/kg
 T2 
v2 
0.2318 

p
(a)

(b)
1
v

51
b) Use some values from part (a):

0.15
Q W m(u2  1 ). 200 
u
(u2 
1579). u2 
1888 kJ/kg
0.2318
Try several guesses for T2 . We tried T2   and T2   . Finally
150 C
160 C
u2 
1888 
154 and p2 
C
0.533 MPa
T 
v2 
0.2318  2
4.51

60  
144 3
a) m 
0.9925 lbm. Q W m(u2  1 ) 
u
0.9925(u2 
83.5)
53.3 
490

u2 285 Btu/lbm and T2 
1595R or 1135F
600  
144 3
b) m 

3.80 lbm. Q W m(u2  1 ) 
u
3.80(u2 
244)
53.3 
1280

u2 297 Btu/lbm and T2 
1655R or 1195F
4.52

a) Q mc p   
T 5 1.00(313  
20) 1465 kJ
V2
293  
2 586 K or 313  .
C
V1
b) Q W mcv   
T 5 0.717(313  
20) 1050 kJ

where we used T2  1
T

p2
293  
2 586 K or 313  .
C
p1
p
1
mRT ln 1  
5 0.287 
293ln  kJ
291
p2
2

where we used T2  1
T
c) Q  mRT ln
W

V2
V1

d) Q mc p   
T 5 1.00(586 
293) 
1465 kJ
4.53

0.5
m

1.35 kg, h1 
604.7  
.8 2133.8 2312 kJ/kg
.00108 
.8(0.4625 
.00108)

a) Q m(h2  1 ) 
h
1.35(3485 
2312) 
1584 kJ
b) Q m(h2  1 ) 
h
1.35(3870 
2312) 2104 kJ where h2 is found by interpolation.
c) TK solution:
Rule Sheet
This is a closed system, so the first law, Q =m* (u2 - u1 + INT pdv) at constant pressure becomes
Q = m * (u2 - u1 + p1 * (v2 - v1) = m * (u2 - u1 + p2*v2 - p1 *v1) or
Q = m * (h2 - h1)
v1 = V1/m
; Definition of v1
W = m * p1* (v2 - v1) ; from w = INT pdv for a constant pressure process
; Steam tables based on NBS/NRC Steam Tables by Lester Haar, John S. Gallagher, and George S.
Kell, Hemisphere Publishing Corp., 1984.
; STM8SI.tkw

52
Variable Sheet
Input

Name

Output

Unit

`

0.8
0.5
675
400

4.54

144

Q
m
W

400

T1
p1
h1
s1
v1
x1
phase1
V1
T2
p2
h2
s2
v2
x2
phase2

2110
1.35
390

2310
5.87
0.37

C
kPa
kJ/kg
kJ/(kg*K)
m^3/kg

'SAT

3870
8.64
1.09
'mngless
'SH

m^3
C
kPa
kJ/kg
kJ/(kg*K)
m^3/kg

kJ
kg
kJ

Comment
Thermal Sciences, Potter & Scott
*STEAM8SI.TKW Steam, 1-8 States, SI Units
P4-53.tkw
Problem 4.53(b)
Temperature
Pressure
Enthalpy
Entropy
Specific Volume
Quality
Phase
Initial volume
Temperature
Pressure
Enthalpy
Entropy
Specific Volume
Quality
Phase
*THUNITS.TKW Units for thermo
Heat transfer
Mass of steam
Work

0.005
1.495
1.688
mf 
4.713 kg, mg 

1.688 kg. x1 

0.2637
0.001061
0.8857
1.688 
4.713

v1  2 
v 0.001061 
0.2637(0.8857 
0.001961) 
0.234 m 3 / kg

u1 
504.5 
0.2637(2025) 
1038 kJ/kg
a) Find u2 in Table C.2: Q m(u2  1 ) 
u
6.401(2578 
1038) 
9850 kJ
b)

T2   
400 C
2953 and Q  (u2  1 ) 
m
u
6.401(2953 
1038)  260 kJ
12
 u2 
v2 
0.234 

c)

p2  MPa 
0.8
2530 and Q  (u2  1 ) 
m
u
6.401(2530 
1038) 
9550 kJ
 u2 
v2 
0.234 

4.55

Q mc p  . 10 4 
T
0.171  T .  

T 14.62F and  4 
H
0.24 
14.62 
14.04 Btu

4.56

Q  mRT ln
W

p1
p
200
p1 V 1 ln 1 200 
(8000   ) ln
10 6

2.22 kJ
p2
p2
800

53
k k
1/

4.57

 
p
a) T2  1  2 
T
p
1 

0.4 /1.4

15000 

473 

 400 


1332 K or 1059
C

W  v   
mc T
2 0.717(1059 
200) 
1230 kJ
k k
1/

 
p
15000 

b) T2  1  2  623 
T

1755 K or 1482
C

p
 400 
1 
W  v   
mc T
2 0.717(1482 
200) 
1620 kJ
0.4 /1.4

k k
1/

4.58

 
p V 1 100   2 
p
 0.3 0.8
T1  1


394 K and T2  1  2 
T
mR
0.2 
0.287
p
1 

  0.2857 
394 50
1205 K

W  v (T2  1 )  
mc
T
0.2 0.717(1205 
394)  kJ
116
4.59

15 100   
10 75 150
a) Q mc p  . 400 
T
1000  

0.24  T .  49.4F

T
60
53.3 
530

15 100   
10 75 150
b) Q mcv  . 400 
T
1000  

0.171  T .  

T 69.4
F
60
53.3 
530
c) Probably the constant pressure assumption since there are air passages under the doors
and through the air vents so the volume is not constant. The passages allow the pressure
to be essentially constant.
4.60

200 
2
Q  mcv  . 200 
W
T

0.717(T2 
100). T2 
174.7 
C
0.287 
373
mRT 3.737 
0.287 
447.7
p2 

240 kPa where m = 3.737 kg.
V2
2

4.61

Maximum increase would be for an insulated container so that Q = 0:
Q  mc p  .   
W
T
( 2 10 9.81)    
10 10 3 1000  T .  4.69

T
C

4.62

Q  paddle ) mc p 
( W
T
400 
0.1
a) Q 

1.00(1092 
273)    /1000 
10 100 45
373.1 kJ
0.287 
273
V2
where we used T2  1
T
273  
4 1092 K . The factor of 1000 in the above
V1
equation changed J to kJ.

54
400 
0.1
b) Q 

1.00(2292 
573)    /1000 
10 100 45
373.1 kJ
0.287 
573
V2
where we used T2  1
T
  2292 K
573 4
V1
4.63

0.8 
53.3 
1260
V1

6.218 ft 3
60 
144
V1
V3
6.218
 
60 144(10 
6.218)  
0.8 53.3 
1260 ln

7150 kJ
10
7150
 net 
W

9.19 Btu
778

a) Wnet  1-2 W2-3  3-1 p1 ( V 2 V 1 ) 
W
W
mRT ln

Qnet

b) Wnet  1-2 W2-3  3-1 p1 ( V 2 V 1 )  v (T1  3 )
W
W
mc
T

 
60 144(10 
6.218)  
0.8 0.171(1042 
1260) 
9480 kJ
9480
Qnet  net 
W

12.2 Btu
778
k
1
0.4
V
6.218 
 1

where we used T3  1   
T
1260 
1042 K.
 
V
 3
 10 
4.64

The temperatures and V 3 are
100 
0.08
800 
0.08
T1 
278.7 K. T2  3 
T
2230 K
0.1 
0.287
0.1 
0.287
p
800
V 3 V 2 2 0.8

0.64 m3
p3
100
p
Wnet W1-2  2-3  3-1 mRT ln 2 p1 ( V 1 V 3 )
W
W
p3
 
0.1 0.287 
2230 ln
For a cycle Qnet  net 
W
77.1 kJ

4.65

800

100(0.08 
0.64) 
77.1 kJ
100

a) Wnet  1-2 W2-3  3-4 W4-1  1 ( v2  1 )  3 ( v4  3 )
W
W
mp
v
mp
v


10.04 
4000(0.04978 
0.00125) 
47.39(0.00125 
0.04978) 1930 kJ

V2
0.5
where we used m 


10.04 kg.
v2
0.04978
Qnet  net 
W
1930 kJ

55
b) TK solution
Rule Sheet
;For this cycle of a closed system, assume that all processes are frictionless. Then
Qnet = Wnet ; = W12 + W23 + W34 + W 41 =m * (INT pdv + 0 + INT pdv + 0) and
Wnet = m * (p1 * (v2 - v1) + p3 * (v4 - v3)) ; for the two constant pressure processes
m = V2 / v2
v3 = v2
v4 = v1
; Steam tables based on NBS/NRC Steam Tables by Lester Haar, John S. Gallagher, and
; George S. Kell, Hemisphere Publishing Corp., 1984.
STM8si.tkw
Input

Name
`

4000
0

4000
1

80
0.0498
80
0.00125
0.5

T1
p1
v1
x1
phase1
T2
p2
v2
x2
phase2
T3
p3
v3
phase3
T4
p4
v4
phase4
V2
m
Qnet
Wnet

Variable Sheet
Output
Unit
Comment
Thermal Sciences, Potter & Scott
*Stm8si.tkw, Steam, 1-8 States, SI Units
P4-65.tkw Problem 4.65
250
C
Temperature
kPa
Pressure
0.00125 m^3/kg Specific Volume
Quality
'SAT
Phase
250
C
Temperature (starting guess needed)
kPa
Pressure
0.0498
m^3/kg Specific Volume (transfer value to input)
Quality
'SAT
Phase
*THUNITS.tkw
Units for thermo
C
47.4
kPa
m^3/kg Specific volume (transfer value to input)
'SAT
C
47.4
kPa
m^3/kg Specific volume (transfer value to input)
'SAT
m^3
Volume at state 2
10
kg
Mass of steam
1930
kJ
Net heat transfer for the cycle
1930
kJ
Net work for the cycle
k
1

4.66

100 
0.02
V
 1
0.02 
T3 
232.3 K. T1  3   232.3 
T
583.5 K
 
0.03 
0.287
V
0.002 
 3

0.4

V2
 v (T1  3 )
mc
T
V3
0.02



0.03  0.287 
583.5ln

0.717(583.5 
232.3)  4.014 kJ


0.002



Wnet  1-2 W2-3  3-1 mRT ln
W
W

56
4.67

4.68

A1
 2
5
 
100
25 m/s
A2
 2
10

V2  1
V

0.02
 1 1
m AV1  A2V2 . V2 

0.0025 m/s
2
1000 
(800 
0.01 
0.001)
L
0.60
t  
240 s or 4 min
V 0.0025

A1
 2
1
 
150

37.5 fps
A2
2 
4 0.5

4.69

V2  1
V

4.70

4000
 1 1
m AV1 
  ) 
(10 10 4 150 3.65 kg/s
0.287 
573


m
3.65
V2 

 m/s
195
400
 A2

4
2
  )
(50 10
0.287 
373
4.71

a) The continuity equation with one inlet is
dm
d
AV1  c.v. V
1 1
dt
dt
where V is the volume of the tank. Then, using   v1 ,
1/
1

d  A1V1  2 
0.05 20



0.0409 kg/m 3 
s
dt
V v1
10 
0.3843
b) TK solution:
Rule Sheet
; State 1: State of entering steam in the pipe; State 2: State of steam in the tank. A mass
;balance on the tank is: Rate of mass flow in = rate of mass increase in the tank. This is
mdot1 = dm2%dt ; where dm2%dt = dm2/dt
mdot1 = A1* V1/ v1
A1 = pi() * d1^2/4
drho%dt = dm2%dt/Volume2
; Steam tables based on NBS/NRC Steam Tables by Lester Haar, John S. Gallagher, and
; George S. Kell, Hemisphere Publishing Corp., 1984.
Stm8si.tkw

Variable Sheet
Input

Name

Output

Unit

Comment
Engineering Thermo, Jones & Dugan
*Stm8si.tkw Steam, 1-8 States, SI Units
P4-71.tkw Problem 4.71

`

57
400
800

20
10
10

4.72

T1
p1
v1
x1
phase1
T2
p2
v2
x2
phase2
mdot1
A1
V1
d1
Volume2
dm2%dt
drho%dt

  m3
m1 m2 .

C
kPa
m^3/kg

C
kPa
m^3/kg

0.384
'mngless
'SH

0.409
0.00785

Temperature in inlet pipe
Pressure in inlet pipe
Specific Volume in inlet pipe
Quality
Phase
Temperature
Pressure
Specific Volume
Quality
Phase
Mass flow rate in
Cross-sectinal area of pipe
Velocity in pipe
Diamter of pipe
Volume of tank
Rate of iuncreas of mass in tank
Rate of increase of density in tank

kg/s
m^2
m/s
cm
m^3
kg/s
kg/(m^3*s)

0.409
0.0409

2000
150
  2 
 .04 125
  2  
 .05 40 m2
.287 
623
.287 
423

 6.64 kg/s, V2 
m2 

6.64

450
  2
 0.05
0.287 
473

4.73


255 m/s


m
15
Vavg 


1.442 fps
 62.4   24
A
4 1/
 
m  V dA
 y2
15  max  2
V
1

h
 h
h


4
62.4  Vmax
4
 dy 


h

 y3 
4 1/
  48 
y
62.4  Vmax 
4
 2  
 3 

 3h h


Vmax 2.16 fps
4.74

1
1
4.95

a) m  A1V1 
  2 
 0.25 30 4.95 kg/s, V2 

109 m/s
v1
0.5951
2 
 0.1252 / 1.08
b) TK solution:
Rule Sheet
;For steady flow, mdot1 = 2 * mdot2, with state 1 in large pipe, state 2 in each smaller one.
A1 * V1 / v1 = 2 * A2 * V2 / v2
A1 = pi() * d1^2/4
A2 = pi() * d2^2 /4
mdot2 = A2 * V2 / v2
; Steam tables based on NBS/NRC Steam Tables by Lester Haar, John S. Gallagher, and
; George S. Kell, Hemisphere Publishing Corp., 1984.
Stm8si.tkw

58
Variable Sheet
Input

Name

Output

Unit

`
250
400

30
50
200
200

25

T1
p1
h1
s1
v1
x1
phase1
V1
d1
T2
p2
h2
s2
v2
x2
phase2
V2
d2
A1
A2
mdot2

2960
7.38
0.595
'mngless
'SH

2870
7.51
1.08
'mngless
'SH
109

0.196
0.0491
4.95

C
kPa
kJ/kg
kJ/(kg*K)
m^3/kg

m/s
cm
C
kPa
kJ/kg
kJ/(kg*K)
m^3/kg

m/s
cm
m^2
m^2
kg/s

Comment
Thermal Sciences, Potter & Scott
*Stm8si.tkw Steam, 1-8 States, SI Units
Temperature
Pressure
Enthalpy
Entropy
Specific Volume
Quality
Phase
Velocity in large pipe
Diameter of large pipe
Temperature
Pressure
Enthalpy
Entropy
Specific Volume
Quality
Phase
Velocity in each small pipe
Diameter of each small pipe
*THUNITS.TKW Units for thermo
Area of large pipe
Area of each small pipe
Flow rate in each small pipe

4.75

1
1
10
2.18

m  A1V1 
  
800 2.18 lbm/sec, V1 
 fps
182
v1
25.43 144
(2 / 144) / 1.1583

4.76

a) V

d
d
1
1
AV1  2 A2V2 . 10


  2 
 0.04 20
  2
 0.06 10
1 1
dt
dt
0.1996
0.3066
d


0.01348 kg/m3 
s
dt

b) TK solution:
Rule Sheet
; State 1 is defined as the state of steam in the entrance.pipe. State 2 is defined as the
; state of steam in the exit pipe. m is the mass of steam in the tank at a specified instant.
; A mass balance on the tank is therefore dm/dt = mdot1 - mdot2 or
dm%dt = A1* V1 /v1 - A2* V2 / v2
A1 = pi() * d1^2/4
A2 = pi() * d2^2/4
drho%dt = dm%dt/Volumet

59
; Steam tables based on NBS/NRC Steam Tables by Lester Haar, John S. Gallagher, and
; George S. Kell, Hemisphere Publishing Corp., 1984.
Stm8si.tkw
Variable Sheet
Input

Name

Output

Unit

`

600
2000

400
1000

20
8
10
10
12

4.77

T1
p1
v1
x1
phase1
T2
p2
v2
x2
phase2
A1
V1
d1
Volumet
A2
V2
d2
dm%dt
drho%dt

0.2
'mngless
'SH

0.307
'mngless
'SH
0.00503

0.0113

0.135
0.0135

C
kPa
m^3/kg

C
kPa
m^3/kg

m^2
m/s
cm
m^3
m^2
m/s
cm
kg/s
kg/(m^3*s)

Comment
Thermal Sciences, Potter & Scott
*Stm8si.tkw Steam, 1-8 States, SI Units
P4-76.tkw
Problem 4.76
Temperature in inlet pipe
Pressure in inlet pipe
Specific Volume in inlet pipe
Quality
Phase
Temperature in exit pipe
Pressure in exit pipe
Specific Volume
Quality
Phase
Cross-sectinal area of pipe
Velocity in pipe
Diamter of pipe
Volume of tank

Rate of iuncreas of mass in tank
Rate of increase of density in tank

Use Eq. 4.58 with   :
1
2
0.006

r2
AV1 A2V2 . 
0.0062   Vmax 
0.8
1
1
2
0
 0.006


2 r
1.6
 dr. Vmax  m/s


 1 1
m AV1 
1000  
 0.0062  
0.8 0.0905 kg/s
4.78

1
1
 1 4
 
m  2(1  2 )2  r dr 
r
10 4
1000      10  
4 

0.314 kg/s
0
2
 4

0.314 
1000  
 0.00252  2 . V2  m/s
V
16
4.79

60 
144  2
2
 1 1
m AV1 

 2.526 lbm/sec
100
53.3 
560 144
70 
144  2
2
 A2V2 

V2 . V2 
116.3 fps.
2
53.3 
760 144

60
If we neglect  , Q p (T2  1 ) 
T
2.526 
0.24(300 
100) 
121.2 Btu/sec
KE  mc

V 2  12
V
116.32  2
100
Note:  m 2
KE 
2.526 
4453 ft-lbf/sec or 5.72 Btu/sec
2
2
4.80

a) Across a valve   . From Table D.2 at 0.8 MPa we find h1 
h 0
93.42 :

h2 h1 
93.42 
3.46 x2 (221.3).  x2 
0.4065
u2  f x2 (u g  f ) 
u
u
3.41 
0.4065(206.1 
3.41) 
85.8 kJ/kg
b) TK solution:
Rule Sheet
;This is a throttling process. w = 0. Assume q = 0 and change in ke is negligible. Therefore,
h2 = h1 ; from the first law.
; R134a tables based on 'Thermodynamic Properties of HFC-134a'
; DuPont Technical Information, which is based upon the Modified
; Benedict-Webb-Rubin equation of state.
R1348si.tkw
h2 = u2 + p2 * v2
Variable Sheet
Input

Name

Output

Unit

`

30
800

T1
p1
h1
s1
v1
x1
phase1

T2
60
p2
93.602 h2
s2
v2
x2
phase2
u2

4.81

93.602
0.34761
0.00084403
'mngless
'CLQ
-36.91

0.39624
0.12501
0.40047
'SAT
86.101

C
kPa
kJ/kg
kJ/(kg*K)
m^3/kg

C
kPa
kJ/kg
kJ/(kg*K)
m^3/kg

kJ/kg

Comment
Thermal Sciences, Potter & Scott
*R1348si.tkw, R134a, 1-8 States, SI units
P4-80.tkw
Problem 4.80
Temperature
Pressure
Enthalpy
Entropy
Specific Volume
Quality
Phase
Temperature
Pressure
Enthalpy (transfer value to input)
Entropy
Specific Volume
Quality
Phase
Internal energy
*THUNITS.TKW Units for thermo

Neglecting kinetic energy changes and using h1 h f 
1344 kJ/kg (from Table C.1),

p2 0.6 MPa. h2 h1 
1344 
670.6 x2 (2086.3).  x2 
0.3228
u2  f x2 (u g  f ) 
u
u
669.9 
0.3228(2567.4 
669.9) 
1282 kJ/kg

61
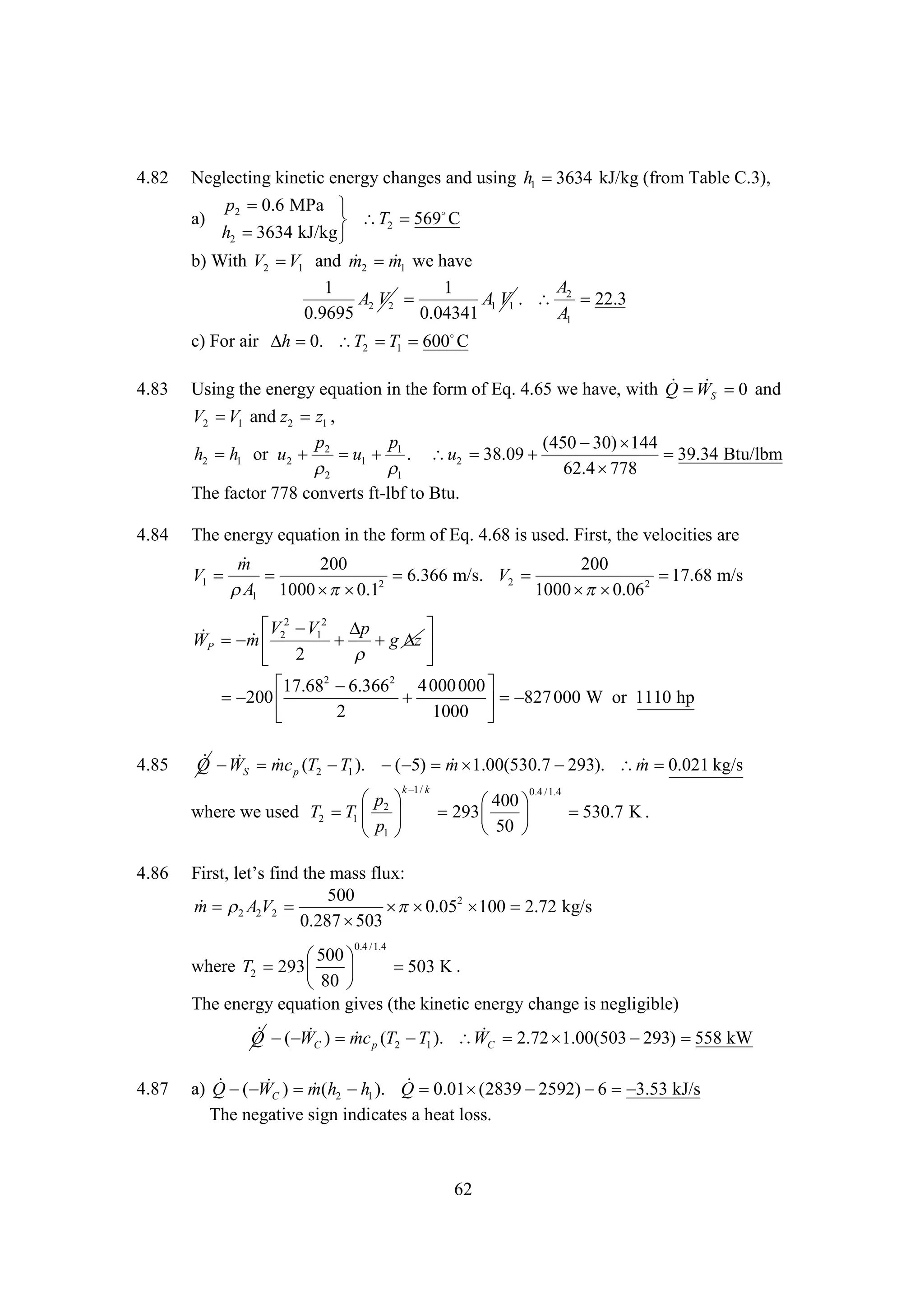
4.82

Neglecting kinetic energy changes and using h1 
3634 kJ/kg (from Table C.3),
a)

p2 0.6 MPa 
569
C
 T2 
h2 
3634 kJ/kg 

 
b) With V2  1 and m2 m1 we have
V
A
1
1
A2 V2 
A1 V1 .  2 22.3
0.9695
0.04341
A1
c) For air   T2  1  
h 0.
T 600 C
4.83

4.84

 W
Using the energy equation in the form of Eq. 4.65 we have, with Q    and
0
S
V2  1 and z2 z1 ,
V
p
p
(450  
30) 144
h2 h1 or u2  2  1  1 . u2 
u
38.09 

39.34 Btu/lbm


62.4 
778
2
1
The factor 778 converts ft-lbf to Btu.

The energy equation in the form of Eq. 4.68 is used. First, the velocities are

m
200
200
V1 

6.366 m/s. V2 

17.68 m/s
2
 1 1000  
A
 0.1
1000   2
 0.06

 2  12 

V V
p

WP  2
m
 g  
z

 2

2
2

4 000 000 
17.68 
6.366
 
200


 827 000 W or 1110 hp
2
1000 

4.85

 W

 0.021 kg/s
Q   mc p (T2  1 ).   m 
T
( 5)  1.00(530.7 
293). m 
S
k k
1/

 
p
where we used T2  1  2 
T
p
1 

4.86

0.4 /1.4

400
 
293  
50 


530.7 K .

Fr, t f dh m s f x
it e si t asl :
s l’ n e
u
500
 2
m  A2V2 
  2  2.72 kg/s
 0.05 100
0.287 
503
0.4 /1.4

500
 
where T2 293  

503 K .
80 
The energy equation gives (the kinetic energy change is negligible)
 ( W


Q ) mc p (T2  1 ). WC 2.72 
T
1.00(503 
293) 
558 kW
C

4.87

( W


a) Q ) m(h2  1 ). Q 0.01 
h
(2839 
2592)  
6
3.53 kJ/s
C
The negative sign indicates a heat loss.

62
b) TK solution:
Rule Sheet
Qdot = mdot * (h2 - h1) + Wdot ; First law for steady flow through compressor with negligible
; changes in kinetic and potential energy.
; Steam tables based on NBS/NRC Steam Tables by Lester Haar, John S. Gallagher, and
; George S. Kell, Hemisphere Publishing Corp., 1984.
Stm8si.tkw
Variable Sheet
Input

Name

Output

Unit

`
50

1
200
800

0.01
-6

4.88

T1
p1
h1
x1
phase1
T2
p2
h2
x2
phase2
Qdot
mdot
Wdot

12.3
2590

C
kPa
kJ/kg

'SAT

2840
'mngless
'SH
-3.52

C
kPa
kJ/kg

kJ/s
kg/s
kW

Comment
Thermal Sciences, Potter & Scott
*Stm8si.tkw Steam, 1-8 States, SI Units
Temperature
Pressure
Enthalpy
Quality
Phase
Temperature
Pressure
Enthalpy
Quality
Phase
*THUNITS.TKW Units for thermo
Rate of heat addition, i.e., heat is removed
Mass flow rate
Power output

We use the energy equation in the form of Eq. 4.68:
p p
(2000   
2) 144
  1  2000 
)   2
( WP m 




 2594 ft-lbf/sec or 4.72 hp
 1/ v  3600  1/ 0.01623 

4.89

Use Eq. 4.58 with   :
2
1
A2V2 AV1 0.1 m3 /s
1
0.1
0.1
V1 

50.93 m/s and V2 

12.73 m/s
2

0.025
 2
0.05
The volume flow rate is the product AV . Assuming a 100% efficient pump for
minimum power,
 2  12 p2 p1 
V V

) m  2
( WP


 
 2


12.732 
50.932 4000  
200
 
0.1 1000 


 258.4 kW or 346 hp
1000
1000 
 2
T e os n “00 i t dnm nt o t k ec nrye cne s t k
h cnt t10”nh eo i o fh i t ee t m ovr W o W.
a
e
ar e ni
g r
t

63
4.90

Assume a 100% efficient turbine:
 2  12
V V
p p1 
0
300

WT  AV1  2
 1
 2

20

6000 kW
 1000  
 2
 
1000


We neglected the kinetic energy change because information was not given and
because it is most often negligible. Since the pressure is in kPa the work rate is in kW.

4.91

Assume a 100% efficient turbine with the pressure of zero gage on the surface of the
backwater and at the turbine outlet:
 2  12

V V
p p1

WT  AV1  2
 1
 2
g ( z2  1 ) 
z
 2




    240 W or 39.24 kW
100 9.81 ( 40) 39

4.92

Assume a 100% efficient turbine with the pressure of zero gage on the surface of the
backwater and at the turbine outlet:
 2  12

V V
p p1

WT  AV1  2
 1
 2
g ( z2  1 ) 
z
 2





1000    9.81  21200 W or 21.2 kW
(0.6 1.2) 1.5 
( 2) 

4.93

3414
W
 10

a) Q   m(h2  1 ). Q  000 
h

30(1131 
1512).
T
3600
 1954 Btu/sec
Q 
b) TK solution:
Rule Sheet
Wdot = mdot * (h1 - h2) + Qdot ; First law for steady flow with no changes in potential or
; kinetic energy
;*Stm8e.tkw Steam, 1-8 States, English units
; Steam tables based on NBS/NRC Steam Tables by Haar, Gallagher,
; and Kell, Hemisphere Publishing Corp., 1984. See Comment sheet.

Input

Name
`

1000
800

5

T1
p1
h1
v1
x1
phase1
T2
p2
h2

Variable Sheet
Output
Unit
Comment
Thermal Sciences, Potter & Scott
*Stm8e.tkw Steam, 1-8 States, English units
F
Temperature
psi
Pressure
1510
B/lbm
Enthalpy
1.05
ft^3/lbm Specific Volume
'mngless
Quality
'SH
Phase
162
F
Temperature
psi
Pressure
1130
B/lbm
Enthalpy

64
1

10
30

4.94

4.95

v2
x2
phase2
Wdot
mdot
Qdot

73.5

ft^3/lbm

'SAT
MW
lbm/s
B/s

-1950

Specific Volume
Quality
Phase
*THUNITS.TKW Units for thermo
Power output
Mass flow rate
Heat is removed at a rate of 1950 B/s

1000
 m(
WT h2  1 ) 
h
(1116.1 
1623.8) 
8462 Btu/sec or 11,970 hp
60

m
1000 / 60
V

230 fps
A  2 /173.75
2
where we used  v.
1/
h1 
3445.2 kJ/kg, h2 h f x2 h fg 251.4 
0.9(2358.3) 2374 kJ/kg

 m(
WT h2  1 ) 
h
6(2374 
3445) 
6430 kW

m
6
V2 


82.2 m/s
2
A 
0.4 /[0.001 
0.9(7.649 
0.001)]

4.96

4.97

600
  2
 0.05 100
0.287 
373
 A2V2 AV1 . V2 

18.17 m/s
2
1 1
140
2
 
 0.2
0.287 
253
600
 1 1
m AV1 
  2  4.402 kg/s
 0.05 100
0.287 
373

V 2  12 
V
18.17 2  2 
100
 m
WT  c p (T2  1 )  2
T

4.402   
1.00( 20 100) 



 539 kW
2 
2
1000 


T eat “00 it dnm nt o t k ec nrye cne s t k
h f o 10”n h eo i o fh i t ee t m ovr W o W.
cr
e
ar e ni
g r
t
800
 1 1
m AV1 
  2 
 0.05 20 0.9257 kg/s
0.287 
473
 
Q mc (T  )   0.9257 
T W
1.0(200   
20) ( 400)  kJ/s
233
p

2

1

S

The negative sign indicates a heat loss, as expected.
4.98

450
 
Q mc p (T2  1 )   
T WS
  2   
 .06 150 1.0 (20 100)  
500
70.5 kJ/s
.287 
373

65
4.99

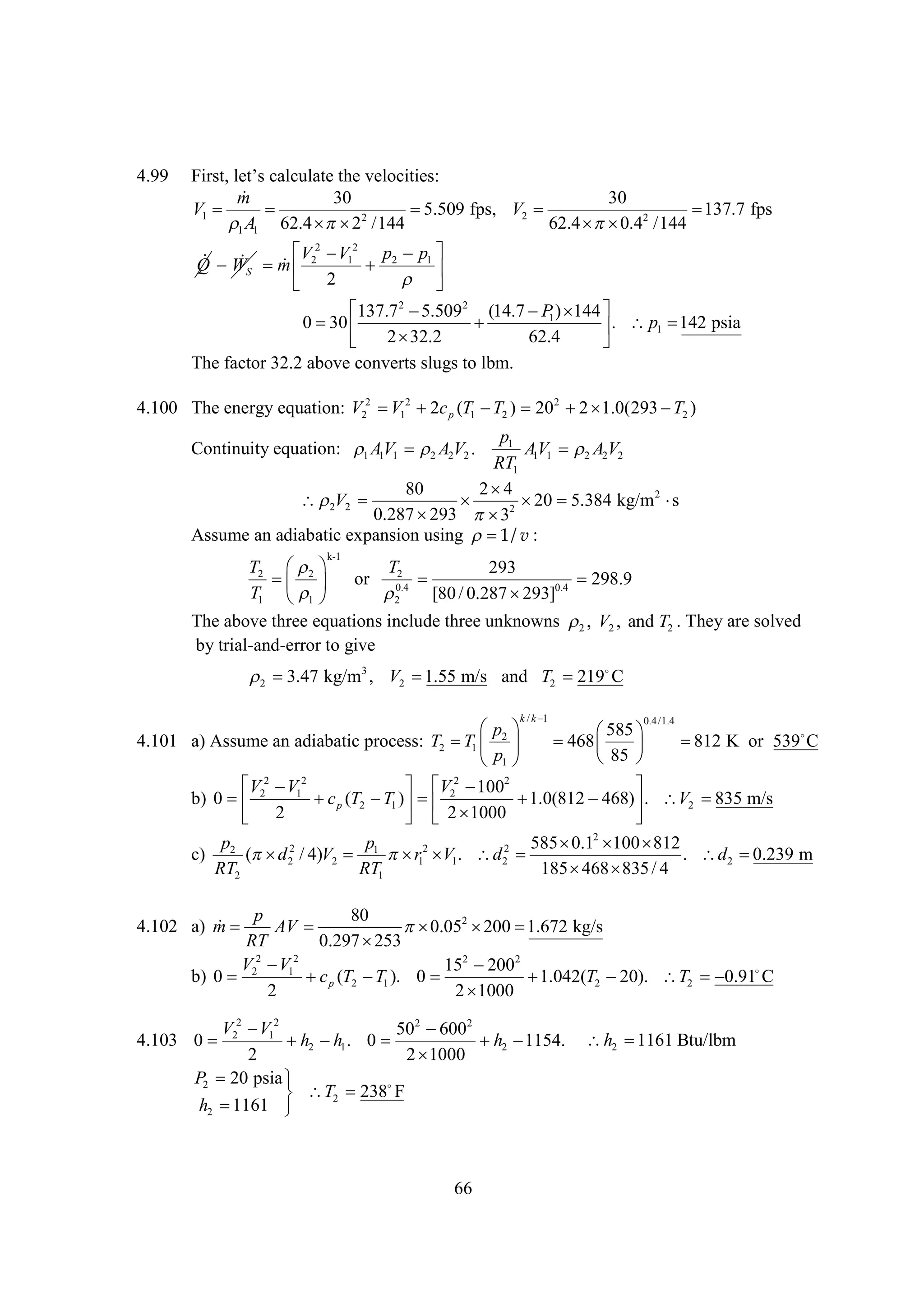
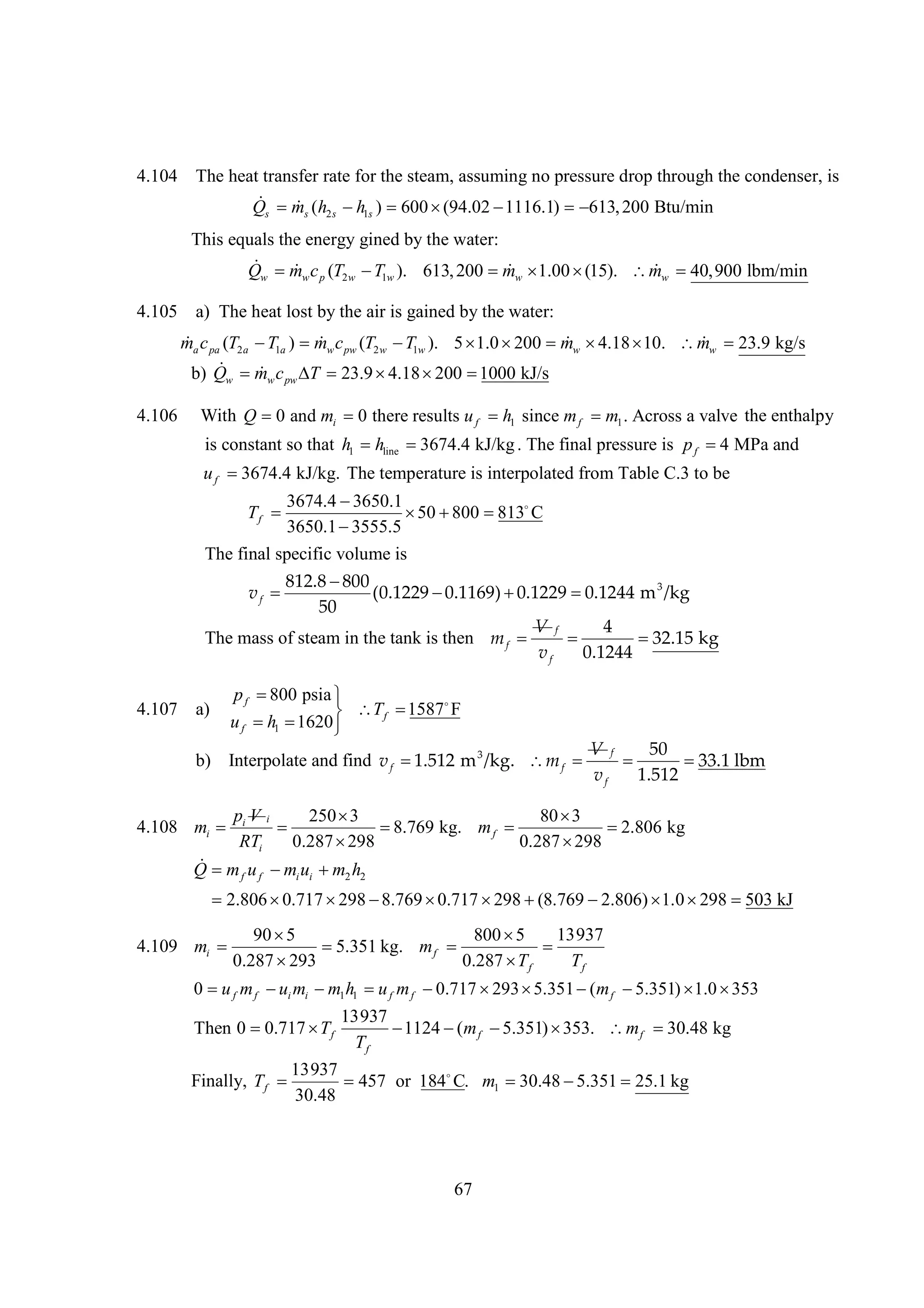
Fr, t cl leh vl ie:
it e s a u tt e ci
s l’ c a e o ts

m
30
30
V1 


5.509 fps, V2 

137.7 fps
2
A1 62.4   /144
 2
62.4   2 /144
 0.4
1
2 V2
   V  1 p2 p1 
Q WS m 2

 
 2

137.7 2 
5.5092 (14.7  1 )  
P 144
0 
30

.
142
  p1  psia
32.2
62.4
 2

The factor 32.2 above converts slugs to lbm.

4.100 The energy equation: V22  12  c p (T1  2 ) 202  
V
2
T
2 1.0(293  2 )
T

p1
AV1  A2V2
1
2
RT1
80
2
4
V2 

 
20 5.384 kg/m 2 
s
2
0.287 
293  2
3
Assume an adiabatic expansion using  v :
1/
Continuity equation: AV1  A2V2 .
1 1
2

k-1

T2  2 

T2
293

298.9
  or 0.4 
T1  1 


[80 / 0.287  0.4
293]
2
The above three equations include three unknowns , V2 , and T2 . They are solved
2
by trial-and-error to give


3.47 kg/m3 , V2 
1.55 m/s and T2 219
C
2
k /k
1

 
p
4.101 a) Assume an adiabatic process: T2  1  2 
T
p
1 

0.4 /1.4

585
 
  
468
85 


812 K or 539
C

 2  12
 2  2

V V
V 100
b) 0 2
 p (T2  1 )  2
c
T 

1.0(812 
468)  V2 
.
835 m/s
1000
 2
 2 

p
p
585  2  
0.1 100 812
c) 2 ( d 22 / 4)V2  1 12  1 . d22 

r V
. d2 
0.239 m
RT2
RT1
185   / 4
468 835
p
80

4.102 a) m  AV 
 2  
0.05 200 1.672 kg/s
RT
0.297 
253
V22  12
V
152  2
200
b) 0 
 p (T2  1 ). 0 
c
T

1.042(T2 
20). T2  
0.91 C
2
2
1000

V 2  12
V
502  2
600
4.103 0  2
 2  1. 0 
h h
2 
h 1154.
2
2
1000
P2 20 psia 

 T2 238 F
h2 
1161 

66

h2 
1161 Btu/lbm
4.104

The heat transfer rate for the steam, assuming no pressure drop through the condenser, is
 
Q m (h  ) 600 
h
(94.02 
1116.1)  200 Btu/min
613,
s

s

2s

1s

This equals the energy gined by the water:
 
 40,900 lbm/min
Qw mw c p (T2 w  1w ). 613, 200    
T
mw 1.00 (15). mw 
4.105

a) The heat lost by the air is gained by the water:



ma c pa (T2 a  1a ) mw c pw (T2 w  1w ). 5   mw 
T
T
1.0 200  4.18 
10. mw 23.9 kg/s
 
b) Q m c  23.9 
T
4.18  
200 1000 kJ/s
w

4.106

w pw

With Q 0 and mi 0 there results u f h1 since m f m1 . Across a valve the enthalpy
is constant so that h1 hline 
3674.4 kJ/kg . The final pressure is p f  MPa and
4
uf 
3674.4 kJ/kg. The temperature is interpolated from Table C.3 to be
3674.4 
3650.1
Tf 
   
50 800 813 C
3650.1 
3555.5

The final specific volume is
812.8 
800
vf 
(0.1229 
0.1169) 
0.1229 
0.1244 m 3 /kg
50
V f
4
The mass of steam in the tank is then m f 


32.15 kg
vf
0.1244

4.107

a)

pf 
800 psia 
1587
F
 T f 
uf  1 
h 1620 

b) Interpolate and find v f 
1.512 m 3 /kg. m f 

V f
50


33.1 lbm
vf
1.512

pVi
250 
3
80 
3
4.108 mi  i


8.769 kg. m f 

2.806 kg
RTi
0.287 
298
0.287 
298

Q m u  u  h
m
m
f

f

i i

2 2

2.806 
0.717  
298 8.769 
0.717  
298 (8.769 
2.806)   
1.0 298 503 kJ

13937
90 
5
800 
5
4.109 mi 

5.351 kg. m f 

0.287 
293
0.287  f
T
Tf
0  f m f  i mi  1 h1  f m f 
u
u
m
u
0.717  
293 5.351  m f 
(
5.351)  
1.0 353

Then 0 
0.717  f
T

13937

1124  m f 
(
5.351) 
353. m f 
30.48 kg
Tf

13937
Finally, T f 
457 or 184 m1 
C.
30.48 
5.351 25.1 kg
30.48

67
4.110 Since Q  and mi  , u f h1 
0
0
0.24  
530 0.171T f . T f   or 284F
744 R
p f V f 12  
144 10
mf 


4.36 lbm
RT f
53.3 
744
k k
1/

0.4 /1.4
p f Tf
p
f 
 95 
4.111 a)

. Tf  i    
T
303
127
146
  K or  C
V i pi RTi
piTi
2000 

pi 
T
303
b) For V 
const p2 p1  2   
95
227 kPa
T1
127

V f p f RT f

800 
4
4.112 mi  f 0.02   kg. mi 
m
300 6

36.8 kg. m f 
30.8 kg
0.287 
303
k
1
0.4
m
 f 
30.8
 
a) T f  i      282 or 9
T
303
C
m
36.8
 
 i 
m RT
30.8 
0.287 
282
b) p f  f f 

624 kPa
V f
4
1/ k 
1

T
f 
c) m f mi  
T
i 

2.5

253
 

36.8   23.44 kg
303
 

 
m 13.36 0.02  t 60.  

t 11.13 min
1.8
0.2
4.113 mi 
158.9
C


1726 kg . a) T 
0.001043 1.694
1
1
b) m f 


911.4 kg.  
m 814.5 kg
0.001101 0.3157
0.5
1.5
 d
c) m f 

458.9 kg. Q  (um)  2 m2  f m2  2 m2
h  u  h 
0.001101 0.3157
dt
10000
10 000 (u f  2 )m2 . m2 
h  

1.878 kg/min
2567 
2757

1.878 
t 1725.9 
458.9.  
t 675 min
4.114 a) Assume steady state with the heat sink area equal to the transistor area:
 Q  Q
Q  Q2 
1
3

Tj  
T
4
4

  j  )   j  sur )
h A (T T  A (T T
1
0.5 
h
A
Tj 
325
4
1
   Tj        Tj  4 )
15 10 4 (
325) 0.5 5.67 10 8 10 4 (
300
1
0.5 
15  
10 4
4
2.835   Tj 
10 12
0.003Tj  
2 0

68
By trial and error,
Tj = 568 K (295 >> 125
C)
C

The transistor exceeds its maximum allowable temperature of 125
C
b)

  A (T 4 T 4
Qrad     j  surr )        4  4 ) 
0.5 5.67 10 8 10 4 (568 300
0.27 W
0.27
fraction 

0.27
1

4.115 Assume the temperature to be uniform at any instant, negligible radiation, and
constant properties.
Air

T = 20
C
h = 8 W/m2·K
3 cm
7.5 cm

h
L
Bi  c
k

a)

where Lc is the effective length and is defined as Volume/Surfce area. For the
pancake,


(0.075)2 
(0.003)
4

LC 

0.0015 m

2
2 
(0.075)  
 0.0075 
0.003
4

Thus,
h  8
L
0.0015
Bi  c 

0.048  0.1

k
0.25

The lumped capacitance assumption is valid.
b) Energy balance:

 out = Estored
E
 s   )  V
h A (T T
c

h
A
dT
dT
or

 s dt
dt
T 
T
V
c

Let  T  . Then,
=
T
h
A
h
A
d
T 
T

 s dt. ln

 s 
t

V
c
Ti  
T
V
c
V T 
c
T
500 
3000 
0.0015 25 
20
t

ln


ln

647 s
h s Ti  
A
T
8
80 
20

69
4.115 Assume steady-state, one-dimensional conduction, with negligible contact
resistance and constant properties.
1
1
1
1
Roconv 


0.07 
C/W, Riconv 


0.21 
C/W
ho w 20.8 
A
0.6
hi w 8 
A
0.6
t panel
0.005
R panel 


0.07 
C/W
k panel  panel 0.12 
A
0.6
t plaster
0.015
R plaster 


0.015 
C/W
k plaster  plaster 0.17 
A
0.6
t
t
0.2
0.2
Rstud  stud


312.5 
C/W, Rins  ins 

11.91 
C/W
k stud stud 0.16 
A
0.06
kins ins 0.03 
A
0.56
tsiding
0.025
Rsidings 


0.443 
C/W
ksiding siding 0.094 
A
0.6
R  ins
R
Rtotal Roconv  panel  plaster  stud
R
R
 sidings  iconv
R
R
Rstud ins
R
T
20 
5
15
  
Q 
 
16.67 W
312.5 
11.91
Rtotal 0.07 
0.9
0.07 
0.015 

0.443 
0.21
312.5 
11.91

4.117 Neglect radiation.
Tair, h

D2, D1

lpipe
Rpipe

Rair

Tinside

Tair


T
 T
a) Q  inside air 
R pipe  air
R

Tinside  air
T
200 
10


9.98 kW
ln r2 / r1
1
ln 4 / 3.75
1


 16.5 2 .04  

7 30
2 l k 2 r2  2 7 

 l h

Tinside  air
T
200 
10


536 W
ln 4 / 3.75
ln 9 / 4
1
R pipe  insulation  air
R
R


2 7 
 16.5 2 7 
 0.055 2 0.09  

7 30


b) Q 


 Q
% reduction  1  insulation


Q



 536 


94%
 100  1 

 100 
 9980 


70
4.118 Assume the system to be at steady state.
r2 = 3.5 cm
r1 = 2.5 cm

Q total = 500W

1 cm

Ti = 400oC
Rcond

Tamb
Rconv

T
T
T 
T

Qtot  i amb . Rcond  i amb  conv
R

Rcond  conv
R
Qtot
T T
1  1   i  amb
1
1 

     2 
4 1 r2   Qtot
k r
4 h 
r
1 1
1
1


r1 r2
0.025 0.035
k


8.23 W/m 
K
20
1
 i  amb


T T
1  4 400  
4


   2 
4
0.0352  
100
 500
4 h 
r
 Qtot

71

thermal science Ch 04

  • 1.
    FOUR The First Lawof Thermodynamics 4.1FE B 4.2FE A 4.3FE C Because the container is insulated we assume the heat transfer is zero. For a rigid container: Q  electric  v  W mc T      ( 400 0 60) 10 10.085(T2  20). T2   29 C Table B.2 was used to find cv . 4.4FE A For a rigid container the boundary work is zero: q w   2  1 2961  u u u 2553.6  407 kJ/kg where we used v2  1 and interpolated for v u2 in Table C.3 as follows: v2 v1  0.4625  2961 kJ/kg  u2  T2 400 C  4.5FE C For this adiabatic process we use (k  / k 1)   p  = m(u2   W   u  and T2  1  2  T 293  0.2857  6 488.9 K p1     v (T2  1 )   W mc T 2 0.717  (489  293)  kJ 281 4.6FE C This is an adiabatic process so that   Then  = m(u2 u   v (T2  1 )  W   W mc   T          .   ( 10 100 10 50) (5 60) 2 717 T T 313.8  C  V2  1 0.287  ln 0.5  373 74.2 kJ . V1 The minus sign indicates that heat is rejected. Q  W mRT ln 4.7FE D 4.8FE D  mcv    W T 5 0.717   100 358.5 kJ 4.9FE A p2 = p1 = 400 kPa. Use Table C.3 for this superheated steam: V1 1 0.7726  0.7726 m 3 . V 2 V 1   2 0.05  0.6726 m 3 and v2  0.6726 m 3 / kg. Interpolate at 400 kPa and 0.6726 m3/kg: 0.7726  0.6726 T2 400  (400  300)   315 C 0.7726  0.6548 4.10FE D Use Table C.3 at 315 and interpolate to find h2: C Q   m h 1 (3098  3273)  kJ 175 31
  • 2.
    4.11FE A Use TablesC.3 and C.2 with W = 0: Q  (u3  2 )   m u 1 (1245  2829) = 1584 kJ We interpolated at 315 in Table C.3 to find u2 = 2829 kJ/kg and used v2 = v3 = C 0.672 m3/kg which is in the quality region. Then using Table C.2, x3 = 0.3963 and u3 = 1245 kJ/kg. 4.12FE D If T = const, Q  W mRT ln 4.13FE C p1 100   10 0.287   333 ln  1987 kJ p2 800 For p = const, q h2  1  h 3273  604.7  2668 kJ/kg 4.14FE C For p = const, Q  (h2  1 ). m h 170   h2  1 ( 3108). h2  3278 and T2   402 C We interpolated at 320 in Table C.3 to find h1 and then to find T2. C 4.15FE D For p = const, W  ( v2  1 )    mp v 1 400 (0.7749  0.6784)  38.6 kJ We interpolated in Table C.3 to find v1 and v2 and the two temperatures. 4.16FE D In Table C.3 we observe that u =2949 kJ/kg is between p = 1.6 MPa and 1.8 MPa but closer to 1.6 MPa so the closest answer is 1.7 MPa. 4.17FE C Interpolate in Table C.3 and find h = 3459 kJ/kg. 4.18FE C Use a central difference for accuracy:  3213.6  h 2960.7 cp    2.53 kJ/kg  蚓  T 400  300 4.19FE C We use q because the mass is not known: q  p (T2  1 )  c T 2.254   300 676.2 kJ/kg 4.20FE B The copper gains heat and the water losses an equal amount of heat: mc c p ,c (T2   w c p , w (30  2 ). 0) m T 4.21FE B 20  0.38  2   T 10 4.18   2 ). T2  (30 T 25.4 C First the ice melts and then the ice water heats up: mi ( i  p , w  i )  w c p , w  w . h c T m T 10  [333  4.18(T2    0)] 60 4.18   2 ) . (20 T 4.22FE C For process 1: Q = W =100 = a. For process 2: b = 40 + 60 = 100. W or 100      . 100 40 100 60 c Q  32 c  80 T2 = 5.85蚓
  • 3.
    4.23FE B For theT = const process: v 0.8 w1-2 RT1 ln 2  0.287  278.7  ln  166.4 kJ/kg v1 0.1 We used pv = RT to find T1 = (800)(0.1)/0.287 = 278.7 C. 4.24FE C For the adiabatic process:  3-1  v (T1  3 )  w c T 0.717(278.7  121.3)  kJ/kg 113 k 1 0.4   v 0.1 where T3  1  1   T 278.7      121.3 K . v 0.8   3  4.25FE D The net heat transfer is equal to the net work. The work for the 2-3 process is zero. Therefore, using the results from the above two problems, the net q is qnet w1-2 w2-3  3-1 = 166.4  w 113 = 53 kJ/kg 4.26FE A k k 1/ 4.27FE D   p T2  1  2  T p 1  4.28FE B For the Q = 0 process: 293  0.2857  8 530.7 K or 258 . C W  mcv (T2  1 )    T 2 0.717  (622  373)  358 kJ  k k 1/   p where T2  1  2  T p 1  4.29FE A   0.2857  373 6 622.3 K . 100 400    Q  p  or  mc T   15        T 0.3  60 (10 20 3 1.2) 1.00   3600     T 14.3 C We assumed a p = const process since there are openings where air is allowed to escape or enter. 4.30FE D 4.31FE D This term includes the flow work rate term due to the pressure force moving due to the velocity. 4.32FE B 4.33FE C 4.34FE D V 2  12 V 202  2 200 0  p  2 c T . 1.00  T .    . T 19.8 C 2 2 1000 The factor 1000 is needed to convert J to kJ since cp includes the kJ unit. h2 h1  3500.9 kJ/kg. T2 = 508 C p2  MPa. Interpolate in Table C.3 at 0.8 MPa and find 0.8 33
  • 4.
    k 1/1 4.35FE D   p T2 1  2  T p 1  4.36FE B p  1 m A1V1  1 A1V1 . RT1 4.37FE D The heat that leaves the steam enters the cooling water:   0.2857  293 8 530.7 K or 258 . C 100 2   2 1  0.1 V 0.287  293 V1  53.5 m/s  h mw ms  s c p  w T Use hfg from Table C.2: 10  2373   400 4.18  T .  4.38FE C    . T 14.2 C Assume p = const in the tube:   T 100 1.00 (25 20) 500 kJ/min Q mc p       4.39FE C For liquid: p 100  m  4 6000   WP     23.6 kW  1000 4.40FE B The enthalpy of the fluid when it enters the tank is assumed equal to the enthalpy of the fluid in the pipe on the upstream side of a valve connecting the tank and pipe. 4.41FE C Q1  c1 A1 1 1 h T t and Q2  c 2 A2  2 2 . But, Q2  1 , h2  h1 ,  2 1 , and A2 A1. h T t Q 2 T T So, t2 Q2 h1 A1 1 1 T t   . t2  1  s 20 t1 Q1h2 A2  2 2 T 2 4.42FE C  q  q  B or k A A TA2  A1 T T  T  B B 2 B1 k LA LB or If LB LA / 2 and TB1  TA1 and TB 2  TA2 2 2 TA2  A1 2(TA2  A1 ) T T  LA 2 LA and 1 = 1 so C is the answer. 34 TA2  A1 TB 2  B1 T T  LA 4LB then
  • 5.
    4.1 Qnet  net W 100m  9.81  m  3. 3.398 kg 4.2 1 1 Qnet  net . Qnet  mV 2   W 1500  2  30 675000 J 2 2 4.3  0. F pA  patm A  mg 0 p  2    0.05 10 9.81  000   2.  p  490 Pa 100  0.05 112 Q   .    W U U 300 (112 490   2 )    0.05 0.2 123.3 J 4.4         24)]  ft-lbf or  U Q W 2 778 [ 600 (2 1/ 381 0.49 Btu 4.5 a)    20   kJ E2  E2  kJ E Q W 5 15 7. 22 b) Q   6   kJ. E2   E2  kJ E W 3 3 8 6. 14 c) W   E 40   25 kJ.     kJ Q  (30 15) E 30 15 15 d) W   E    kJ. 20   1 . E1  kJ Q  10 20 30 10 E 10 e) Q       kJ.     kJ E W 8 6 10 4 E 8 6 14 4.6 a  1-2  1-2  U    kJ W Q  200 0 200 ( )cycle 0. 0    U c 400 1200  c  0. 800 kJ b  2-3  2-3  U    kJ W Q  800 800 0 d  3-4   3-4 400   Q U W 600 1000 kJ e  4-1  4-1  U   W Q  0 ( 1200)  1200 kJ or we could use Qnet  net W 4.7 a  1-2   1-2   200 kJ Q E W 100 100 ( )cycle  100   E 0. c 200  c  kJ 0. 100 b  2-3   2-3    kJ Q E W 100 50 50 d  3-1  3-1  E   W Q  100 ( 200)  300 kJ or we could use Qnet  net W 35
  • 6.
    4.8 First, find theinitial pressure in the cylinder: W 60  9.81 p  patm   000  000 Pa 100 119 A  2 0.1 Now, apply the 1st law adding the work of the pressure force and the work to compress the spring: 1 Q   . W U Q  pA   Kx 2 )  ( h U 2 1  200  U (119 000   2   0.1 0.05   000  2 )  J 50 0.05 49 2 4.9 W1-2   6     000 J. VI t 5 (20 60) 36 Q1-2  1-2  2-1 W2-1   )cycle 0. Q2-1  1-2  kJ W Q ( U W 36 4.10 Q    000       600 J or 377.6 kJ U W 400 12 3 (6 60 60) 377 4.11 Q  U   300 000      84 000 J or  kJ  W  12 10 (30 60)  84 4.12 Q    U W 8000      /1055  110 15 (2 60 60) 3260 Btu w e t f t 15 cne s tBus hr h a o 05 ovr Jo t . e e cr t ’ 4.13 The only transfer of energy across the boundary of the system is via the electrical wires leading to the refrigerator. The 1st law is Q   .    ) 2  W U U W ( VI t 0.746   2686 kJ (30 60) V 0.3 (u2  1 )  u (3655.3  2621.9)  1505 kJ v 0.206 4.14 Q W    m u 4.15 a) Q W    m u V (u2  1 ) u v 0.2 1000  {u2  [669.9  0.8(2567.4  669.9)]} 0.0011  0.8(.3157  .0011) u2  3452 kJ/kg and v2  0.2528 m 3 /kg . We must find where in Table C.3 this state exists. After checking the table we interpolate for the following: p2  MPa, v2  1.5 0.2528, u2  3216 : T2    556 C 686 C  T2  p2  MPa, v2  2.0 0.2528, u2  3706 : T2    826 C b) TK solution: Rule Sheet ;This is a closed, constant-volume system so no work is done and the first law is Q = m * (u2 -u1) ; First law V1 = m * v1 ; Definition of specific volume v2 = v1 ; For a constant-volume system ; Steam tables based on NBS/NRC Steam Tables by Lester Haar, ; John S. Gallagher, and George S. Kell, Hemisphere Publishing Corp., 1984. ; STEAM8SI.TKW 36
  • 7.
    Variable Sheet Input Name Output Unit ` 600 0.8 0.253 1000 0.2 4.16 T1 p1 h1 s1 v1 x1 phase1 u1 159 T2 p2 h2 s2 v2 x2 phase2 u2 688 1750 3890 7.99 Q m V1 2340 5.79 0.253 C kPa kJ/kg kJ/(kg*K) m^3/kg 'SAT 2190 kJ/kg C kPa kJ/kg kJ/(kg*K) m^3/kg 'mngless 'SH 3450 0.791 kJ/kg kJ kg m^3 Comment Thermal Sciences,Potter & Scott *STEAM8SI.TKW Steam, 1-8 States, SI Units P4-15.tkw Problem 4.15 Temperature Pressure Enthalpy Entropy Specific Volume Quality Phase Internal energy Temperature (starting guess needed) Pressure Enthalpy Entropy Specific Volume Transfer value to input) Quality Phase Internal energy *THUNITS.TKW Units for thermo Heat transfer Mass of steam Volume a L t fsf dh m s We s T ble C.1E: ) e siti t as ’ r n e . ue a v1  0.016  0.5(203  0.016)  101.5 ft 3 /lbm. m  V 2   0.0197 lbm v 101.5 The 1st law is Q W m(u2  1 ) or 8  0.0197(u2  1 ) : u u u1  87.99  0.5(961.9)  568.9 Btu/lbm . u2  975 Btu/lbm This is less than u g so that state 2 is in the wet region with v2  101.5 ft 3 /lbm. This requires trial-and error: At T2  F : 140 101.5 0.016 x2 (122.9  0.016). x2  0.826 975   108 948.2 x2 . 37 x2  0.914
  • 8.
    At T2 F : 150 vg  96.99. slightly superheat 975   118 941.3 x2 . x2  0.912 State 2 lies between 140 F and 150 F . Since the quality is insensitive to the internal energy, we find T2 such that v2  101.5 ft 3 /lbm: 101.5  96.99 T2   150   F 10 148 122.88  96.99 A temperature slightly less than this provides the answer: T2  F . 147 b) TK solution: Rule Sheet ;This is a closed, constant-volume system so no work is done and the first law is Q = m * (u2 -u1) ; First law V1 = m * v1 ; Definition of specific volume v2 = v1 ; For a constant-volume system ; Steam tables based on NBS/NRC Steam Tables by Lester Haar, ; John S. Gallagher, and George S. Kell, Hemisphere Publishing Corp., 1984. ; STEAM8SI.TKW Variable Sheet Input Name Output Unit Comment ` Thermal Sciences, Potter & Scott *STEAM8E.TKW Steam, 1-8 States, English units P4-16.tkw Problem 4.16 120 T1 F Temperature p1 1.69 psi Pressure h1 601 B/lbm Enthalpy s1 1.05 B/(lbm*R) Entropy v1 101 ft^3/lbm Specific Volume 0.5 x1 Quality phase1 'SAT Phase 101 8 2 T2 p2 h2 s2 v2 x2 phase2 Q m u2 u1 V1 144 3.21 1030 1.73 F psi B/lbm B/(lbm*R) ft^3/lbm 0.913 'SAT 0.0197 975 569 B lbm B/lbm B/lbm ft^3 Temperature (starting guess needed) Pressure Enthalpy Entropy Specific Volume Quality Phase *thunits.tkw Units for thermodynamics Heat transfer Mass of steam Internal energy Internal energy Initial volume 38
  • 9.
    V 100 /1728   0.01633 lbm v 3.544 120  144 100 Q m(u2  1 )   u W 0.01633{1371.5  [312.3  0.95(796)]}  (7.208  ) 778 1728  6.28 Btu 4.17 v1  0.0179  0.95(3.73  0.0179)  3.544. m  4.18 First, find the mass: m  V 1 0.004   0.0302 kg . The 1st law is Q  m(u2  1 ) W u v1 0.1325 which takes the form 40  1500  0.03019( v2  0.1325)  0.0302(u2  2598) or 124.4  v2  45.3 0.0302u2 The above equation has two variables but the steam tables represent the 2nd equation. ' This requires trial-and-error (let u2 be the u2 from the above equation): ' At T2  600, p2  : v2  1.5 .2668, u2  3294. u2  3720   ' At T2  780, p2  : v2  1.5 .3230, u2  3622. u2  3636  T2   785 C ' At T2  800, p2  : v2  1.5 .3292, u2  3627. u2  3720   4.19 100 /1728 a) Q m(h2  1 )  h {1531.5  [312.7  0.95(878.5)]}  6.27 Btu 3.544 b) TK solution: Rule Sheet ;This is a closed system, so the first law, Q =m* (u2 - u1 + INT pdv), at constant pressure becomes ; Q = m * (u2 - u1 + p1 * (v2 - v1) = m * (u2 - u1 + p2*v2 - p1 *v1) or Q = m * (h2 - h1) v1 = V1/m ; Definition of v1 ; Steam tables based on NBS/NRC Steam Tables by Lester Haar, ; John S. Gallagher, ;and George S. Kell, Hemisphere Publishing Corp., 1984. ; STEAM8E.TKW Variable Sheet Input Name ` 120 0.95 1000 120 T1 p1 h1 s1 v1 x1 phase1 T2 p2 Output 341 1150 1.53 3.54 'SAT Unit Comment Thermal Sciences, Potter & Scott *STEAM8E.TKW Steam, 1-8 States, English units P4-19.tkw Problem 4.19 F Temperature psi Pressure B/lbm Enthalpy B/(lbm*R) Entropy ft^3/lbm Specific Volume Quality Phase F Temperature psi Pressure 39
  • 10.
    h2 s2 v2 x2 phase2 100 4.20 1530 B/lbm 1.9 B/(lbm*R) 7.2 ft^3/lbm 'mngless 'SH Q V1 m 6.28 B in^3 lbm 0.0163 Enthalpy Entropy Specific Volume Quality Phase *THUNITS.TKW Unitsfor thermo Heat transfer Initial volume Mass of steam 0.004 40  (h2  2797). h2 4120 kJ/kg . 0.1325 At p2  MPa we interpolate T2 787 1.5 C. b) TK solution: a) Q m . h Rule Sheet ;This is a closed system, so the first law, Q =m* (u2 - u1 + INT pdv) constant pressure becomes ; Q = m * (u2 - u1 + p1 * (v2 - v1) = m * (u2 - u1 + p2*v2 - p1 *v1) or Q = m * (h2 - h1) v1 = V1/m ; Definition of v1 ; Steam tables based on NBS/NRC Steam Tables by Lester Haar, ; John S. Gallagher, and George S. Kell, Hemisphere Publishing Corp., 1984. ; STEAM8SI.TKW Variable Sheet Input Name Output Unit ` 200 1500 4 1500 40 T1 p1 h1 s1 v1 x1 phase1 V1 m T2 p2 h2 s2 v2 x2 phase2 Q 2800 6.45 0.132 'mngless 'SH 0.0302 785 4120 8.28 0.324 'mngless 'SH C kPa kJ/kg kJ/(kg*K) m^3/kg L kg C kPa kJ/kg kJ/(kg*K) m^3/kg kJ Comment Thermal Sciences, Potter & Scott *STEAM8SI.TKW Steam, 1-8 States, SI Units P4-20.tkw Problem 4.20 Temperature Pressure Enthalpy Entropy Specific Volume Quality Phase Initial volume Mass of steam Temperature (starting guess is needed) Pressure Enthalpy Entropy Specific Volume Quality Phase *THUNITS.TKW Units for thermo Heat transfer 40
  • 11.
    4.21 From Table D.1we find h1   62 0.8(190.3) 214.2 kJ/kg. Then q h2  1 . h 80 h2  214.2. h2 294.2 kJ/kg We interpolate at p2 0.4 MPa in Table D.3: 294.2  291.8 T2  (10)   50 52.5 C 301.5  291.8 4.22 a) Q m(h2  1 ) 2(3278  h 209)  6138 kJ b) Q m(h2  1 ) 2(4044  h 3278)  1531 kJ c) TK solution: Rule Sheet ;This is a closed system, so the first law, Q =m* (u2 - u1 + INT pdv), at constant pressure becomes Q = m * (u2 - u1 + p1 * (v2 - v1) = m * (u2 - u1 + p2*v2 - p1 *v1) for each process or Q12 = m * (h2 - h1) ; for the process 1-2 Q23 = m * (h3 - h2) ; for the process 2-3 ; Steam tables based on NBS/NRC Steam Tables by Lester Haar, John S. Gallagher, and George S. Kell, Hemisphere Publishing Corp., 1984. ; STEAM8SI.TKW Variable Sheet Input Name Output Unit ` 50 100 400 100 750 100 T1 p1 h1 s1 v1 x1 phase1 T2 p2 h2 s2 v2 x2 phase2 T3 p3 h3 s3 v3 x3 phase3 209 0.704 0.00101 'mngless 'CL 3280 8.54 3.1 'mngless 'SH 4040 9.45 4.71 'mngless 'SH C kPa kJ/kg kJ/(kg*K) m^3/kg C kPa kJ/kg kJ/(kg*K) m^3/kg C kPa kJ/kg kJ/(kg*K) m^3/kg Comment Thermal Sciences, Potter & Scott *STEAM8SI.TKW Steam, 1-8 States, SI Units P4-22.tkw Problem 4.22 Temperature Pressure Enthalpy Entropy Specific Volume Quality Phase Temperature Pressure Enthalpy Entropy Specific Volume Quality Phase Temperature Pressure Enthalpy Entropy Specific Volume Quality Phase 41
  • 12.
    2 4.23 m Q12 Q23 6140 1530 *THUNITS.TKW Units forthermo Mass of steam Heat transfer, process 1-2 Heat transfer, process 2-3 kg kJ kJ h1  1008  0.8(1796)  2445. v1  0.0012  0.8(0.06668  0.0012)  0.5359 V1 1.2 T m   22.39 kg v1 0.05359 a) Q m(h2  1 ) h (b) 3000 22.39(h2  2445). h2 2579 h2 2579    T2 234 C p2  MPa  3 1 (a) v b) Q m(h2  1 ) . 30 000 22.39(h2  h 2445). h2  3785 h2  3785    T2 645 C p2  MPa  3 4.24 v1  0.0012  0.9(0.1274  0.0012)  0.1148 m 3 /kg and v2   3 0.1148  0.3444 m 3 /kg u1  850.6  0.9(2595.3  850.6) 2421 kJ/kg Interpolate in Table C.3: v2  0.3444  0.3444  0.2608 0.8  (0.2)  0.617 MPa   p2  T2  200 C  0.3520  0.2608 T 200  C 0.617  0.6 Also, 2 (2638.9  2630.6) 2638 kJ/kg  u2 2638.9  0.8  0.6 p2  0.617  To find the heat transfer we must know the work. It is found by using graph paper and plotting p vs. v and graphically integrating. The work is twice the area since m = 2 kg. Doing this, we find W 2  456 kJ. 228 4.25 Q m (u2  1 )  2(2638  u W 2421)  456  890 kJ  3489  h 3076.5 a) c p   2.06 kJ/kg  K  T 200  3488.1  h 3074.3 b) c p   2.07 kJ/kg  K  T 200  2821.4  h 2151 c) c p    13.4 kJ/kg  K  T 50 42
  • 13.
    d) TK solution: RuleSheet ; cp = the slope of a constant pressure line on an hT diagram or approximately. ;cp = (h2 - h1)/(T2 - T1) ; where states 1 and 2 are close together, say T1 = 398C and T1 = 402C ; at 10 kPa. Likewise, we define states 3 and 4 at these temperatures on a 100-kpa line and ;states 5 and 6 at these temperatures ona 30,000-kPa line.. Then cp1 = (h2 - h1) / (T2-T1) ; at 10 kPa, 400 kPa cp2 = (h4 - h3) / (T4 - T3) ; at 100 kPa, 400 kPa cp3 = (h6 - h5 ) / (T6 - T5) ; at 30000 kPa, 400 kPa ; Steam tables based on NBS/NRC Steam Tables by Lester Haar, ; John S. Gallagher, and ;George S. Kell, Hemisphere Publishing Corp., 1984. ; STM8SI.tkw Variable Sheet Input Name Output ` 398 10 402 10 398 100 402 100 398 T1 p1 h1 s1 v1 x1 phase1 T2 p2 h2 s2 v2 x2 phase2 T3 p3 h3 s3 v3 x3 phase3 T4 p4 h4 s4 v4 x4 phase4 T5 3280 9.6 31 'mless 'SH 3280 9.61 31.2 'mless 'SH 3270 8.54 3.09 'mnless 'SH 3280 8.55 3.11 'mless 'SH Unit C kPa kJ/kg kJ/(kg*K) m^3/kg C kPa kJ/kg kJ/(kg*K) m^3/kg C kPa kJ/kg kJ/(kg*K) m^3/kg C kPa kJ/kg kJ/(kg*K) m^3/kg C Comment Thermal Sciences, Potter & Scott *STEAM8SI.TKW Steam, 1-8 States, SI Units P4-25.tkw Problem 4.25 Temperature Pressure Enthalpy Entropy Specific Volume Quality Phase Temperature Pressure Enthalpy Entropy Specific Volume Quality Phase Temperature Pressure Enthalpy Entropy Specific Volume Quality Phase Temperature Pressure Enthalpy Entropy Specific Volume Quality Phase Temperature 43
  • 14.
    30000 p5 h5 s5 kPa 2120 kJ/kg 4.43kJ/(kg*K) 0.0026 v5 m^3/kg 9 x5 'mless phase5 'SH 402 T6 C 30000 p6 kPa h6 2180 kJ/kg s6 4.51 kJ/(kg*K) v6 0.0029 m^3/kg x6 'mless phase6 'SH cp1 cp2 cp3 4.26 2.07 2.07 13.9 Pressure Enthalpy Entropy Specific Volume Quality Phase Temperature Pressure Enthalpy Entropy Specific Volume Quality Phase *THUNITS.TKW Units for thermo kJ/(kg*K) Approx cp at 10 kPa, 400 C kJ/(kg*K) Approx cp at 100 kPa, 400 C kJ/(kg*K) Approx cp at 30000 kPa, 400 C  1373.9  u 1219.3 a) cv   0.386 Btu/lbm- R  T 400  1373.7  u 1218.6 b) cv   0.388 Btu/lbm- R  T 400  1156.5  u 960.7 c) cv    1.96 Btu/lbm- R  T 100 4.27  117.6  h 126.4 a) c p    0.22 Btu/lbm- R  T 120  80  115.5  u 107.6 cv    0.20 Btu/lbm- R  T 120  80 b) TK solution: Rule Sheet ; cp = the slope of a constant-pressure line on an hT diagram or approximately: ; cp = (h2 - h1)/(T2 - T1) ; where states 1 and 2 are close together, say T1 = 98 F and T2 = 102 F ; at 30 psia. Then cp = (h2 - h1) / (T2-T1) ; at 30 psia, 100 F ; cv = the slope of a constant-volume line on a uT diagram or approximately ;cv = (u4 - u3) / (T4 - T3) where states 3 and 4 are close together, say T3 = 98 F and T4 = 102 F at the specific volume of the state of 30 psia, 100 F: 1.89 ft^3/lbm. Then cv = (u4 - u3) / (T4 - T3) ;*R1348e.tkw, R134a, 1-8 States, English units ; R134a tables based on 'Thermodynamic Properties of HFC-134a' DuPont Technical Information, which is based upon the Modified Benedict-Webb-Rubin equation of state. R1348E.tkw 44
  • 15.
    Variable Sheet Input Name Output Unit ` 98 30 102 30 98 1.89 102 1.89 T1 p1 h1 s1 v1 x1 phase1 T2 p2 h2 s2 v2 x2 phase2 T3 p3 h3 s3 v3 x3 phase3 u3 T4 p4 h4 s4 v4 x4 phase4 u4 cp cv 4.28 122 0.257 1.88 'mngless 'SH 123 0.259 1.9 'mngless 'SH 29.9 122 0.257 'mngless 'SH 111.98 30.1 123 0.258 'mngless 'SH 112.74 0.213 0.189 F psi B/lbm B/(lbm*R) ft^3/lbm F psi B/lbm B/(lbm*R) ft^3/lbm F psi B/lbm B/(lbm*R) ft^3/lbm B/lbm F psi B/lbm B/(lbm*R) ft^3/lbm Comment Thermal Sciences,Potter & Scott *R1348e.tkw, R134a, 1-8 States, English P4-27.tkw Problem 4.27 Temperature Pressure Enthalpy Entropy Specific Volume Quality Phase Temperature Pressure Enthalpy Entropy Specific Volume Quality Phase Temperature Pressure Enthalpy Entropy Specific Volume Quality Phase Temperature Pressure Enthalpy Entropy Specific Volume Quality Phase B/lbm B/(lbm*R) B/(lbm*R) *THUNITS.TKW Units for thermo Constant-pressure specific heat Constant-volume specific heat a)   p (T2  1 )  h c T 1.006(700  300) 402.4 kJ/kg 700 b)   (0.946  h 0.213   T  10 3 0.031   T 2 )dT 417.7 kJ/kg 10 6 300 c) Using the gas table F.1 we find  h2  1 713.3  h h 300.2 413.1 kJ/kg 45
  • 16.
    d) The errorin (a) is  2.6% and that in (b) is 1.1% assuming that of (c) is the best answer. All three methods are acceptable for the temperature range of this problem. 4.29 a)  mc p (T2  1 ) 2  H T .006  (600  400) 402 kJ   .213   10 3 .031   10 6 b)  2    H .946 200 (6002  2 )  400 (6003  3 )  418 kJ 400  2 3   c)  m(h2  1 ) 2(607  H h 401) 412 kJ 4.30  water mc p  2  H T 4.18(60  418 kJ 10)  ice mc p  2  H T 1.86[   kJ 10 ( 60)] 186 where we averaged the (c p )ice between   and   in Table B.4. 10 C 60 C 4.31 Assume that all of the ice melts. The ice warms up to 0 , melts at 0 , then C C warms up to the final temperature T2 . Fr, t f dh m so t ice: it e si t as fh s l’ n e e  6 V 16   8 10 mi    0.1174 kg v 0.00109 where we found v in Table C.5. Energy is conserved so that the heat gained by the ice equals the heat lost by the water: mi  p )i ( )i  if  c p ) w (  )iw  mw (c p ) w (  ) w (c T h ( T   T  0.1174     2.1 10 330 4.18(T2   (1000   )  0)  10 3 4.18(20  2 ) T T2  9.07 C 4.32 a) Assume the ice melts and then the water is heated: Q m(c p )i ( )i  if  (c p ) w (  ) w T mh m T 2000 2.3    T2  T2   1.89 60 330 4.18 . 102 C b) Assume the ice melts and then the water is heated: Q mhif  (c p ) w ( ) w m T 2000 2.3  T2  T2  330 4.18 . 129.1 C This is in the superheat region so the above temperature is too high. The water must first vaporize at T2  as e n m a r 120.2 ,o ht t f at pr ue C s t ’ h i le e t . 46
  • 17.
    4.33 First, the temperatureof the ice is raised, then the ice is melted, then the temperature is raised to the boiling point, then the water is vaporized, then it is superheated. This requires the following: T Q mc p ( )i    p ( )w  fg  (h2  g ) T m h mc T mh m h   10 0.486    32 143 1.0(250    32) 945 (1334  1164) 2 =14,900 Btu where for ice c p  0.47  0.001T and we used an average 1 temperature of 16  . C 4.34 v The heat gained by the ice cubes is lost by the cola. The mass of the ice is mc 4       0.0734 kg 2 2 5 10 6 917 a) Assume all of the ice melts: mi c p ( )i  i   i c p (  ) w mc (c p )c (  )c T m h m T T 0.0734(2.0    T2 ) 2    20 330 4.18 10 3 4.18  1000(20  2 ). T2   T 16.1 C b) Assume that all of the ice does not melt: mi c p ( )i x mc (c p )c ( )c T h T 0.0734   x   2.0 20 330 0.25    10 3 1000  4.18  20. x  0.0561 kg 0.0561   100 76.4% 0.0734 4.35 The heat lost by the copper is gained by the water: mc (c p )c ( )c mw (c p ) w ( ) w T T Use an average value of c p for copper from Table B.4: 5 0.39  (300  2 ) 20    T 10 3 1000  4.18 T2  ( 0). T2  6.84 C 4.36 The heat lost by the copper is gained by the water: mc (c p )c (  )c mw (c p ) w (  ) w T T   v (T2  1 ) 4  u c T 0.717(400  100)  860 kJ 4.37 The heat lost by the iron is gained by the copper: mc (c p )c ( )c mi (c p )i ( )i T T 50  T2   0.39 100 0.45(200  2 ). T2  T 139.5 C 4.38   p (T2  1 ) 4  h c T 1.00(400  100)  1200 kJ   v (T2  1 ) 4  u c T 0.717(400  100)  860 kJ 47
  • 18.
    4.39 a)  0, W   kJ, U H Q 60 60 0.4  0.287  373ln T1   100 C, 0.4  0.287  373  0.856 m3 , 50 V2 0.856 p1 p2  50 203 kPa V1 0.211 V 0.856 . V 1  0.211 m3 , V1 2 b) If V const, W     0. H 0.4 1.00(300  1 )  T 60. T1   150 C  0.4  U 0.717(300  150) 43 kJ, Q  43 kJ, U T 423 0.4  0.287  573 p1 p2 1 200  147.6 kPa, V 2 V 1   0.329 m 3 T2 573 200 c) Q mc p  .   kJ   T H 100 0.4 1.00(T2  200). T2   450 C, p2  500 kPa, T 0.4  0.287  723 473   0.166 m3 , V 1 V 2 1  0.166  0.109 m3 500 T2 723 W p ( V 2 V 1 )  500(0.166  0.109) 28.5 kJ Also,  0.4  U 0.717(450  200)  71.7 kJ V 2 k 1 0.4 V 0.48  1   d) T2  1       T 323 605 K or 332 C, V2 0.1     0.4  U 0.717(332   50) 80.9 kJ, W  U   80.9 kJ, 0.4  0.287  323  0.4  H 1.00(332   kJ, p1  50) 113  77.3 kPa, 0.48 0.4  0.287  605 p2   695 kPa 0.1 3.42 4.40 a) Q  (    ). 60  m u m pdv 0.4(2512  1   ) . Integrate graphically selecting u pdv v1 various initial states. We find W 49.4 kJ,   U 10.2 kJ,   H 11.8 kJ, T1   100 C, p1  kPa, 100 V 2  1.37 m3 , V 1 0.662 m3 b) To locate state 1 using the t mt l ivr d f u . ol’asm t th s a a e s e ii l S , t s eh t e bs y fc t es u a e steam acts almost as an ideal gas and use the constants from Table B.2: If V const, W     0. H 0.4 1.872(300  1 )  T 60. T1 220 . C  0.4  U 1.411(300  220) 45 kJ, Q  45 kJ, U T 493 0.4  0.462  573 p1 p2 1 200  kPa, V 2 V 1  172 0.529 m3 T2 573 200 c) Q  m(h2  1 ).   kJ  h2  H h H 100 0.4( 2855). h2  3105, p2  MPa. 0.5 Interpolate and find T2   320 C. Then V 2   0.4 0.542  0.217 m3 and V 1 0.4  0.4249  0.170 m3 and W  500(0.217  0.170) 23.5 kJ Also,  0.4(2835  U 2643)  76.8 kJ 48
  • 19.
    4.41 Q  mRT ln U W 4.42 m p1 20 2  (53.5 / 778)  ln 560  176.7 Btu p2 200 p pV 200  2 800  0.596 kg. T2  1 2  T 323  1292 K RT 2.077  323 p1 200 Q W mcv  0.596  T 3.116(1292  323)  1800 kJ 4.43 Q m(h2  1 ) h h2  1832  1551F  T2  p2 60 psia  h2  1939  b) 1000 2.0(h2  1439). h2  1939 kJ/kg. 1741 F  T2  p2  psia  60 a) 1000 2.0(h2  1332). h2  1832 kJ/kg. c) TK solution: Rule Sheet ;*P4-43.tkw Problem 4.43 ;This is a closed system, so the first law, Q =m* (u2 - u1 + INT pdv) constant pressure becomes ; Q = m * (u2 - u1 + p1 * (v2 - v1) = m * (u2 - u1 + p2*v2 - p1 *v1) or, for part (a), Q = m * (h2 - h1) ;Similarly, for part (b): Q = m * (h4 - h3) ; Steam tables based on NBS/NRC Steam Tables by Lester Haar, ; John S. Gallagher, ;and George S. Kell, Hemisphere Publishing Corp., 1984. ; STM8E.tkw Input Name ` 600 T1 60 p1 h1 s1 v1 u1 x1 phase1 T2 60 p2 h2 s2 v2 u2 Output 1330 1.82 10.4 1220 'mngless 'SH 1830 Variable Sheet Unit Comment Thermal Sciences, Potter & Scott *Stm8e.tkw Steam, 1-8 States, English P4-43.tkw Problem 4.43 F Temperature psi Pressure B/lbm Enthalpy B/(lbm*R) Entropy ft^3/lbm Specific Volume B/lbm Internal Energy Quality Phase F Final temperature, part (a) psi Pressure B/lbm Enthalpy B/(lbm*R) Entropy ft^3/lbm Specific Volume B/lbm Internal Energy 49
  • 20.
    x2 phase2 815 T3 60 p3 h3 s3 v3 u3 x3 phase3 T4 60p4 h4 s4 v4 u4 x4 phase4 1440 1.91 12.6 1300 'mngless 'SH 1740 1940 2.2 21.7 1700 'mngless 'SH 1000 Q 2 m 4.44 Q mc p (T2  1 ) , T Quality Phase F Temperature psi Pressure B/lbm Enthalpy B/(lbm*R) Entropy ft^3/lbm Specific Volume B/lbm Internal Energy Quality Phase F Final temperature, part (b) psi Pressure B/lbm Enthalpy B/(lbm*R) Entropy ft^3/lbm Specific Volume B/lbm Internal Energy Quality Phase *THUNITS.TKW Units for thermo B Heat transfer lbm Mass of steam m p1 V 1 400  0.2   1.021 kg RT1 0.287  273 a) 50  1.021  T2  1.0( 0). T2 49 C b) 50  1.021  T2  1.0( 200). T2 249 C 4.45 4.46 p1 V 1 800  8000   10 6 Q W mcv (T2  1 ). m  T  0.05978 kg RT1 0.287  373 p 200 a) Q 0.05978  0.717(93.2  373)  11.99 kJ where T2  1 2  T 373  93.2 K p1 800 p 3000 b) Q  T 373  1399 K 0.05978  0.717(1399  373) 43.98 kJ where T2  1 2  p1 800 We assume a quasiequilibrium process with q = 0 so that k k 1/   p 10  000  T2  1  2    T 373  1390 K  p  100  1  q   . w v (T2  1 )  w u c T 0.717(1390  373)  kJ/kg 729 0.4 / 1.4 50
  • 21.
    n n 1/ 4.47   p 100  For the polytropic process T2  1  2     T 373 276.7 K p 600   1  p v  1v1 R(T2  1 ) 0.287(276.7  p T 373) w 2 2    138.2 kJ/kg 1 n 1 n 1 1.2 0.2 /1.2 q  v   c T w 0.745(276.7  373)  138.2  66.5 kJ/kg 4.48 100    (3 5 2.4) Q mc p (T2  1 )  T  1.00(27   10) 753 kJ 0.287  283 4.49 Q  m . W u pA  paddle mcv (T2  1 ) h W T The pressure is found from a force balance on the piston: W 175 p  patm   14.7  18.18 psia A  2 4 The mass is found from the ideal-gas law: p1 V 1 (18.18  144)   2  /1728  4 10 m   0.0255 lbm RT1 53.3  560 The temperature at state 2 is p V 2 (18.18  144)   2  /1728  4 15 T2  2   R 840 mR 0.0255  53.5 Finally, Wpaddle  18.18   2  /12   4 5 0.0255  0.171   778 (840  560)  1331 ft-lbf 4.50 a) v1  .0011  .5(.4625  .0011)  0.2318 m 3 /kg u1  604.3  .5(2553.6  604.3)  1579 kJ/kg 0.15 Q W m(u2  1 ). 800  u (u2  1579). u2 2815 kJ/kg 0.2318 Now, search Table C.3 for the location of state 2. It takes a couple interpolations: u2  2815  314 and p2  C 1.14 MPa  T2  v2  0.2318  We used: p2  1.0  248 and u2  C 2707 kJ/kg  T2  v2  0.2318  p2  1.5  489 and u2  C 3102 kJ/kg  T2  v2  0.2318  p (a) (b) 1 v 51
  • 22.
    b) Use somevalues from part (a): 0.15 Q W m(u2  1 ). 200  u (u2  1579). u2  1888 kJ/kg 0.2318 Try several guesses for T2 . We tried T2   and T2   . Finally 150 C 160 C u2  1888  154 and p2  C 0.533 MPa T  v2  0.2318  2 4.51 60   144 3 a) m  0.9925 lbm. Q W m(u2  1 )  u 0.9925(u2  83.5) 53.3  490 u2 285 Btu/lbm and T2  1595R or 1135F 600   144 3 b) m   3.80 lbm. Q W m(u2  1 )  u 3.80(u2  244) 53.3  1280 u2 297 Btu/lbm and T2  1655R or 1195F 4.52 a) Q mc p    T 5 1.00(313   20) 1465 kJ V2 293   2 586 K or 313  . C V1 b) Q W mcv    T 5 0.717(313   20) 1050 kJ where we used T2  1 T p2 293   2 586 K or 313  . C p1 p 1 mRT ln 1   5 0.287  293ln  kJ 291 p2 2 where we used T2  1 T c) Q  mRT ln W V2 V1 d) Q mc p    T 5 1.00(586  293)  1465 kJ 4.53 0.5 m  1.35 kg, h1  604.7   .8 2133.8 2312 kJ/kg .00108  .8(0.4625  .00108) a) Q m(h2  1 )  h 1.35(3485  2312)  1584 kJ b) Q m(h2  1 )  h 1.35(3870  2312) 2104 kJ where h2 is found by interpolation. c) TK solution: Rule Sheet This is a closed system, so the first law, Q =m* (u2 - u1 + INT pdv) at constant pressure becomes Q = m * (u2 - u1 + p1 * (v2 - v1) = m * (u2 - u1 + p2*v2 - p1 *v1) or Q = m * (h2 - h1) v1 = V1/m ; Definition of v1 W = m * p1* (v2 - v1) ; from w = INT pdv for a constant pressure process ; Steam tables based on NBS/NRC Steam Tables by Lester Haar, John S. Gallagher, and George S. Kell, Hemisphere Publishing Corp., 1984. ; STM8SI.tkw 52
  • 23.
    Variable Sheet Input Name Output Unit ` 0.8 0.5 675 400 4.54 144 Q m W 400 T1 p1 h1 s1 v1 x1 phase1 V1 T2 p2 h2 s2 v2 x2 phase2 2110 1.35 390 2310 5.87 0.37 C kPa kJ/kg kJ/(kg*K) m^3/kg 'SAT 3870 8.64 1.09 'mngless 'SH m^3 C kPa kJ/kg kJ/(kg*K) m^3/kg kJ kg kJ Comment Thermal Sciences,Potter & Scott *STEAM8SI.TKW Steam, 1-8 States, SI Units P4-53.tkw Problem 4.53(b) Temperature Pressure Enthalpy Entropy Specific Volume Quality Phase Initial volume Temperature Pressure Enthalpy Entropy Specific Volume Quality Phase *THUNITS.TKW Units for thermo Heat transfer Mass of steam Work 0.005 1.495 1.688 mf  4.713 kg, mg   1.688 kg. x1   0.2637 0.001061 0.8857 1.688  4.713 v1  2  v 0.001061  0.2637(0.8857  0.001961)  0.234 m 3 / kg u1  504.5  0.2637(2025)  1038 kJ/kg a) Find u2 in Table C.2: Q m(u2  1 )  u 6.401(2578  1038)  9850 kJ b) T2    400 C 2953 and Q  (u2  1 )  m u 6.401(2953  1038)  260 kJ 12  u2  v2  0.234  c) p2  MPa  0.8 2530 and Q  (u2  1 )  m u 6.401(2530  1038)  9550 kJ  u2  v2  0.234  4.55 Q mc p  . 10 4  T 0.171  T .    T 14.62F and  4  H 0.24  14.62  14.04 Btu 4.56 Q  mRT ln W p1 p 200 p1 V 1 ln 1 200  (8000   ) ln 10 6  2.22 kJ p2 p2 800 53
  • 24.
    k k 1/ 4.57   p a)T2  1  2  T p 1  0.4 /1.4 15000   473    400   1332 K or 1059 C W  v    mc T 2 0.717(1059  200)  1230 kJ k k 1/   p 15000   b) T2  1  2  623  T  1755 K or 1482 C  p  400  1  W  v    mc T 2 0.717(1482  200)  1620 kJ 0.4 /1.4 k k 1/ 4.58   p V 1 100   2  p  0.3 0.8 T1  1   394 K and T2  1  2  T mR 0.2  0.287 p 1    0.2857  394 50 1205 K W  v (T2  1 )   mc T 0.2 0.717(1205  394)  kJ 116 4.59 15 100    10 75 150 a) Q mc p  . 400  T 1000    0.24  T .  49.4F  T 60 53.3  530 15 100    10 75 150 b) Q mcv  . 400  T 1000    0.171  T .    T 69.4 F 60 53.3  530 c) Probably the constant pressure assumption since there are air passages under the doors and through the air vents so the volume is not constant. The passages allow the pressure to be essentially constant. 4.60 200  2 Q  mcv  . 200  W T  0.717(T2  100). T2  174.7  C 0.287  373 mRT 3.737  0.287  447.7 p2   240 kPa where m = 3.737 kg. V2 2 4.61 Maximum increase would be for an insulated container so that Q = 0: Q  mc p  .    W T ( 2 10 9.81)     10 10 3 1000  T .  4.69  T C 4.62 Q  paddle ) mc p  ( W T 400  0.1 a) Q   1.00(1092  273)    /1000  10 100 45 373.1 kJ 0.287  273 V2 where we used T2  1 T 273   4 1092 K . The factor of 1000 in the above V1 equation changed J to kJ. 54
  • 25.
    400  0.1 b) Q  1.00(2292  573)    /1000  10 100 45 373.1 kJ 0.287  573 V2 where we used T2  1 T   2292 K 573 4 V1 4.63 0.8  53.3  1260 V1  6.218 ft 3 60  144 V1 V3 6.218   60 144(10  6.218)   0.8 53.3  1260 ln  7150 kJ 10 7150  net  W  9.19 Btu 778 a) Wnet  1-2 W2-3  3-1 p1 ( V 2 V 1 )  W W mRT ln Qnet b) Wnet  1-2 W2-3  3-1 p1 ( V 2 V 1 )  v (T1  3 ) W W mc T   60 144(10  6.218)   0.8 0.171(1042  1260)  9480 kJ 9480 Qnet  net  W  12.2 Btu 778 k 1 0.4 V 6.218   1  where we used T3  1    T 1260  1042 K.   V  3  10  4.64 The temperatures and V 3 are 100  0.08 800  0.08 T1  278.7 K. T2  3  T 2230 K 0.1  0.287 0.1  0.287 p 800 V 3 V 2 2 0.8  0.64 m3 p3 100 p Wnet W1-2  2-3  3-1 mRT ln 2 p1 ( V 1 V 3 ) W W p3   0.1 0.287  2230 ln For a cycle Qnet  net  W 77.1 kJ 4.65 800  100(0.08  0.64)  77.1 kJ 100 a) Wnet  1-2 W2-3  3-4 W4-1  1 ( v2  1 )  3 ( v4  3 ) W W mp v mp v  10.04  4000(0.04978  0.00125)  47.39(0.00125  0.04978) 1930 kJ  V2 0.5 where we used m    10.04 kg. v2 0.04978 Qnet  net  W 1930 kJ 55
  • 26.
    b) TK solution RuleSheet ;For this cycle of a closed system, assume that all processes are frictionless. Then Qnet = Wnet ; = W12 + W23 + W34 + W 41 =m * (INT pdv + 0 + INT pdv + 0) and Wnet = m * (p1 * (v2 - v1) + p3 * (v4 - v3)) ; for the two constant pressure processes m = V2 / v2 v3 = v2 v4 = v1 ; Steam tables based on NBS/NRC Steam Tables by Lester Haar, John S. Gallagher, and ; George S. Kell, Hemisphere Publishing Corp., 1984. STM8si.tkw Input Name ` 4000 0 4000 1 80 0.0498 80 0.00125 0.5 T1 p1 v1 x1 phase1 T2 p2 v2 x2 phase2 T3 p3 v3 phase3 T4 p4 v4 phase4 V2 m Qnet Wnet Variable Sheet Output Unit Comment Thermal Sciences, Potter & Scott *Stm8si.tkw, Steam, 1-8 States, SI Units P4-65.tkw Problem 4.65 250 C Temperature kPa Pressure 0.00125 m^3/kg Specific Volume Quality 'SAT Phase 250 C Temperature (starting guess needed) kPa Pressure 0.0498 m^3/kg Specific Volume (transfer value to input) Quality 'SAT Phase *THUNITS.tkw Units for thermo C 47.4 kPa m^3/kg Specific volume (transfer value to input) 'SAT C 47.4 kPa m^3/kg Specific volume (transfer value to input) 'SAT m^3 Volume at state 2 10 kg Mass of steam 1930 kJ Net heat transfer for the cycle 1930 kJ Net work for the cycle k 1 4.66 100  0.02 V  1 0.02  T3  232.3 K. T1  3   232.3  T 583.5 K   0.03  0.287 V 0.002   3  0.4 V2  v (T1  3 ) mc T V3 0.02    0.03  0.287  583.5ln  0.717(583.5  232.3)  4.014 kJ   0.002   Wnet  1-2 W2-3  3-1 mRT ln W W 56
  • 27.
    4.67 4.68 A1  2 5   100 25m/s A2  2 10 V2  1 V 0.02  1 1 m AV1  A2V2 . V2   0.0025 m/s 2 1000  (800  0.01  0.001) L 0.60 t   240 s or 4 min V 0.0025 A1  2 1   150  37.5 fps A2 2  4 0.5 4.69 V2  1 V 4.70 4000  1 1 m AV1    )  (10 10 4 150 3.65 kg/s 0.287  573  m 3.65 V2    m/s 195 400  A2  4 2   ) (50 10 0.287  373 4.71 a) The continuity equation with one inlet is dm d AV1  c.v. V 1 1 dt dt where V is the volume of the tank. Then, using   v1 , 1/ 1 d  A1V1  2  0.05 20    0.0409 kg/m 3  s dt V v1 10  0.3843 b) TK solution: Rule Sheet ; State 1: State of entering steam in the pipe; State 2: State of steam in the tank. A mass ;balance on the tank is: Rate of mass flow in = rate of mass increase in the tank. This is mdot1 = dm2%dt ; where dm2%dt = dm2/dt mdot1 = A1* V1/ v1 A1 = pi() * d1^2/4 drho%dt = dm2%dt/Volume2 ; Steam tables based on NBS/NRC Steam Tables by Lester Haar, John S. Gallagher, and ; George S. Kell, Hemisphere Publishing Corp., 1984. Stm8si.tkw Variable Sheet Input Name Output Unit Comment Engineering Thermo, Jones & Dugan *Stm8si.tkw Steam, 1-8 States, SI Units P4-71.tkw Problem 4.71 ` 57
  • 28.
    400 800 20 10 10 4.72 T1 p1 v1 x1 phase1 T2 p2 v2 x2 phase2 mdot1 A1 V1 d1 Volume2 dm2%dt drho%dt   m3 m1m2 . C kPa m^3/kg C kPa m^3/kg 0.384 'mngless 'SH 0.409 0.00785 Temperature in inlet pipe Pressure in inlet pipe Specific Volume in inlet pipe Quality Phase Temperature Pressure Specific Volume Quality Phase Mass flow rate in Cross-sectinal area of pipe Velocity in pipe Diamter of pipe Volume of tank Rate of iuncreas of mass in tank Rate of increase of density in tank kg/s m^2 m/s cm m^3 kg/s kg/(m^3*s) 0.409 0.0409 2000 150   2   .04 125   2    .05 40 m2 .287  623 .287  423  6.64 kg/s, V2  m2  6.64 450   2  0.05 0.287  473 4.73  255 m/s  m 15 Vavg    1.442 fps  62.4   24 A 4 1/   m  V dA  y2 15  max  2 V 1  h  h h  4 62.4  Vmax 4  dy   h  y3  4 1/   48  y 62.4  Vmax  4  2    3    3h h  Vmax 2.16 fps 4.74 1 1 4.95  a) m  A1V1    2   0.25 30 4.95 kg/s, V2   109 m/s v1 0.5951 2   0.1252 / 1.08 b) TK solution: Rule Sheet ;For steady flow, mdot1 = 2 * mdot2, with state 1 in large pipe, state 2 in each smaller one. A1 * V1 / v1 = 2 * A2 * V2 / v2 A1 = pi() * d1^2/4 A2 = pi() * d2^2 /4 mdot2 = A2 * V2 / v2 ; Steam tables based on NBS/NRC Steam Tables by Lester Haar, John S. Gallagher, and ; George S. Kell, Hemisphere Publishing Corp., 1984. Stm8si.tkw 58
  • 29.
    Variable Sheet Input Name Output Unit ` 250 400 30 50 200 200 25 T1 p1 h1 s1 v1 x1 phase1 V1 d1 T2 p2 h2 s2 v2 x2 phase2 V2 d2 A1 A2 mdot2 2960 7.38 0.595 'mngless 'SH 2870 7.51 1.08 'mngless 'SH 109 0.196 0.0491 4.95 C kPa kJ/kg kJ/(kg*K) m^3/kg m/s cm C kPa kJ/kg kJ/(kg*K) m^3/kg m/s cm m^2 m^2 kg/s Comment Thermal Sciences,Potter & Scott *Stm8si.tkw Steam, 1-8 States, SI Units Temperature Pressure Enthalpy Entropy Specific Volume Quality Phase Velocity in large pipe Diameter of large pipe Temperature Pressure Enthalpy Entropy Specific Volume Quality Phase Velocity in each small pipe Diameter of each small pipe *THUNITS.TKW Units for thermo Area of large pipe Area of each small pipe Flow rate in each small pipe 4.75 1 1 10 2.18  m  A1V1     800 2.18 lbm/sec, V1   fps 182 v1 25.43 144 (2 / 144) / 1.1583 4.76 a) V d d 1 1 AV1  2 A2V2 . 10     2   0.04 20   2  0.06 10 1 1 dt dt 0.1996 0.3066 d   0.01348 kg/m3  s dt b) TK solution: Rule Sheet ; State 1 is defined as the state of steam in the entrance.pipe. State 2 is defined as the ; state of steam in the exit pipe. m is the mass of steam in the tank at a specified instant. ; A mass balance on the tank is therefore dm/dt = mdot1 - mdot2 or dm%dt = A1* V1 /v1 - A2* V2 / v2 A1 = pi() * d1^2/4 A2 = pi() * d2^2/4 drho%dt = dm%dt/Volumet 59
  • 30.
    ; Steam tablesbased on NBS/NRC Steam Tables by Lester Haar, John S. Gallagher, and ; George S. Kell, Hemisphere Publishing Corp., 1984. Stm8si.tkw Variable Sheet Input Name Output Unit ` 600 2000 400 1000 20 8 10 10 12 4.77 T1 p1 v1 x1 phase1 T2 p2 v2 x2 phase2 A1 V1 d1 Volumet A2 V2 d2 dm%dt drho%dt 0.2 'mngless 'SH 0.307 'mngless 'SH 0.00503 0.0113 0.135 0.0135 C kPa m^3/kg C kPa m^3/kg m^2 m/s cm m^3 m^2 m/s cm kg/s kg/(m^3*s) Comment Thermal Sciences, Potter & Scott *Stm8si.tkw Steam, 1-8 States, SI Units P4-76.tkw Problem 4.76 Temperature in inlet pipe Pressure in inlet pipe Specific Volume in inlet pipe Quality Phase Temperature in exit pipe Pressure in exit pipe Specific Volume Quality Phase Cross-sectinal area of pipe Velocity in pipe Diamter of pipe Volume of tank Rate of iuncreas of mass in tank Rate of increase of density in tank Use Eq. 4.58 with   : 1 2 0.006  r2 AV1 A2V2 .  0.0062   Vmax  0.8 1 1 2 0  0.006  2 r 1.6  dr. Vmax  m/s   1 1 m AV1  1000    0.0062   0.8 0.0905 kg/s 4.78 1 1  1 4   m  2(1  2 )2  r dr  r 10 4 1000      10   4   0.314 kg/s 0 2  4 0.314  1000    0.00252  2 . V2  m/s V 16 4.79 60  144  2 2  1 1 m AV1    2.526 lbm/sec 100 53.3  560 144 70  144  2 2  A2V2   V2 . V2  116.3 fps. 2 53.3  760 144 60
  • 31.
    If we neglect , Q p (T2  1 )  T 2.526  0.24(300  100)  121.2 Btu/sec KE  mc V 2  12 V 116.32  2 100 Note:  m 2 KE  2.526  4453 ft-lbf/sec or 5.72 Btu/sec 2 2 4.80 a) Across a valve   . From Table D.2 at 0.8 MPa we find h1  h 0 93.42 : h2 h1  93.42  3.46 x2 (221.3).  x2  0.4065 u2  f x2 (u g  f )  u u 3.41  0.4065(206.1  3.41)  85.8 kJ/kg b) TK solution: Rule Sheet ;This is a throttling process. w = 0. Assume q = 0 and change in ke is negligible. Therefore, h2 = h1 ; from the first law. ; R134a tables based on 'Thermodynamic Properties of HFC-134a' ; DuPont Technical Information, which is based upon the Modified ; Benedict-Webb-Rubin equation of state. R1348si.tkw h2 = u2 + p2 * v2 Variable Sheet Input Name Output Unit ` 30 800 T1 p1 h1 s1 v1 x1 phase1 T2 60 p2 93.602 h2 s2 v2 x2 phase2 u2 4.81 93.602 0.34761 0.00084403 'mngless 'CLQ -36.91 0.39624 0.12501 0.40047 'SAT 86.101 C kPa kJ/kg kJ/(kg*K) m^3/kg C kPa kJ/kg kJ/(kg*K) m^3/kg kJ/kg Comment Thermal Sciences, Potter & Scott *R1348si.tkw, R134a, 1-8 States, SI units P4-80.tkw Problem 4.80 Temperature Pressure Enthalpy Entropy Specific Volume Quality Phase Temperature Pressure Enthalpy (transfer value to input) Entropy Specific Volume Quality Phase Internal energy *THUNITS.TKW Units for thermo Neglecting kinetic energy changes and using h1 h f  1344 kJ/kg (from Table C.1), p2 0.6 MPa. h2 h1  1344  670.6 x2 (2086.3).  x2  0.3228 u2  f x2 (u g  f )  u u 669.9  0.3228(2567.4  669.9)  1282 kJ/kg 61
  • 32.
    4.82 Neglecting kinetic energychanges and using h1  3634 kJ/kg (from Table C.3), a) p2 0.6 MPa  569 C  T2  h2  3634 kJ/kg    b) With V2  1 and m2 m1 we have V A 1 1 A2 V2  A1 V1 .  2 22.3 0.9695 0.04341 A1 c) For air   T2  1   h 0. T 600 C 4.83 4.84  W Using the energy equation in the form of Eq. 4.65 we have, with Q    and 0 S V2  1 and z2 z1 , V p p (450   30) 144 h2 h1 or u2  2  1  1 . u2  u 38.09   39.34 Btu/lbm   62.4  778 2 1 The factor 778 converts ft-lbf to Btu. The energy equation in the form of Eq. 4.68 is used. First, the velocities are  m 200 200 V1   6.366 m/s. V2   17.68 m/s 2  1 1000   A  0.1 1000   2  0.06  2  12   V V p  WP  2 m  g   z   2  2 2  4 000 000  17.68  6.366   200    827 000 W or 1110 hp 2 1000   4.85  W   0.021 kg/s Q   mc p (T2  1 ).   m  T ( 5)  1.00(530.7  293). m  S k k 1/   p where we used T2  1  2  T p 1  4.86 0.4 /1.4 400   293   50   530.7 K . Fr, t f dh m s f x it e si t asl : s l’ n e u 500  2 m  A2V2    2  2.72 kg/s  0.05 100 0.287  503 0.4 /1.4 500   where T2 293    503 K . 80  The energy equation gives (the kinetic energy change is negligible)  ( W   Q ) mc p (T2  1 ). WC 2.72  T 1.00(503  293)  558 kW C 4.87 ( W   a) Q ) m(h2  1 ). Q 0.01  h (2839  2592)   6 3.53 kJ/s C The negative sign indicates a heat loss. 62
  • 33.
    b) TK solution: RuleSheet Qdot = mdot * (h2 - h1) + Wdot ; First law for steady flow through compressor with negligible ; changes in kinetic and potential energy. ; Steam tables based on NBS/NRC Steam Tables by Lester Haar, John S. Gallagher, and ; George S. Kell, Hemisphere Publishing Corp., 1984. Stm8si.tkw Variable Sheet Input Name Output Unit ` 50 1 200 800 0.01 -6 4.88 T1 p1 h1 x1 phase1 T2 p2 h2 x2 phase2 Qdot mdot Wdot 12.3 2590 C kPa kJ/kg 'SAT 2840 'mngless 'SH -3.52 C kPa kJ/kg kJ/s kg/s kW Comment Thermal Sciences, Potter & Scott *Stm8si.tkw Steam, 1-8 States, SI Units Temperature Pressure Enthalpy Quality Phase Temperature Pressure Enthalpy Quality Phase *THUNITS.TKW Units for thermo Rate of heat addition, i.e., heat is removed Mass flow rate Power output We use the energy equation in the form of Eq. 4.68: p p (2000    2) 144   1  2000  )   2 ( WP m       2594 ft-lbf/sec or 4.72 hp  1/ v  3600  1/ 0.01623  4.89 Use Eq. 4.58 with   : 2 1 A2V2 AV1 0.1 m3 /s 1 0.1 0.1 V1   50.93 m/s and V2   12.73 m/s 2  0.025  2 0.05 The volume flow rate is the product AV . Assuming a 100% efficient pump for minimum power,  2  12 p2 p1  V V  ) m  2 ( WP      2  12.732  50.932 4000   200   0.1 1000     258.4 kW or 346 hp 1000 1000   2 T e os n “00 i t dnm nt o t k ec nrye cne s t k h cnt t10”nh eo i o fh i t ee t m ovr W o W. a e ar e ni g r t 63
  • 34.
    4.90 Assume a 100%efficient turbine:  2  12 V V p p1  0 300  WT  AV1  2  1  2  20  6000 kW  1000    2   1000   We neglected the kinetic energy change because information was not given and because it is most often negligible. Since the pressure is in kPa the work rate is in kW. 4.91 Assume a 100% efficient turbine with the pressure of zero gage on the surface of the backwater and at the turbine outlet:  2  12  V V p p1  WT  AV1  2  1  2 g ( z2  1 )  z  2         240 W or 39.24 kW 100 9.81 ( 40) 39 4.92 Assume a 100% efficient turbine with the pressure of zero gage on the surface of the backwater and at the turbine outlet:  2  12  V V p p1  WT  AV1  2  1  2 g ( z2  1 )  z  2      1000    9.81  21200 W or 21.2 kW (0.6 1.2) 1.5  ( 2)  4.93 3414 W  10  a) Q   m(h2  1 ). Q  000  h  30(1131  1512). T 3600  1954 Btu/sec Q  b) TK solution: Rule Sheet Wdot = mdot * (h1 - h2) + Qdot ; First law for steady flow with no changes in potential or ; kinetic energy ;*Stm8e.tkw Steam, 1-8 States, English units ; Steam tables based on NBS/NRC Steam Tables by Haar, Gallagher, ; and Kell, Hemisphere Publishing Corp., 1984. See Comment sheet. Input Name ` 1000 800 5 T1 p1 h1 v1 x1 phase1 T2 p2 h2 Variable Sheet Output Unit Comment Thermal Sciences, Potter & Scott *Stm8e.tkw Steam, 1-8 States, English units F Temperature psi Pressure 1510 B/lbm Enthalpy 1.05 ft^3/lbm Specific Volume 'mngless Quality 'SH Phase 162 F Temperature psi Pressure 1130 B/lbm Enthalpy 64
  • 35.
    1 10 30 4.94 4.95 v2 x2 phase2 Wdot mdot Qdot 73.5 ft^3/lbm 'SAT MW lbm/s B/s -1950 Specific Volume Quality Phase *THUNITS.TKW Unitsfor thermo Power output Mass flow rate Heat is removed at a rate of 1950 B/s 1000  m( WT h2  1 )  h (1116.1  1623.8)  8462 Btu/sec or 11,970 hp 60  m 1000 / 60 V  230 fps A  2 /173.75 2 where we used  v. 1/ h1  3445.2 kJ/kg, h2 h f x2 h fg 251.4  0.9(2358.3) 2374 kJ/kg  m( WT h2  1 )  h 6(2374  3445)  6430 kW  m 6 V2    82.2 m/s 2 A  0.4 /[0.001  0.9(7.649  0.001)] 4.96 4.97 600   2  0.05 100 0.287  373  A2V2 AV1 . V2   18.17 m/s 2 1 1 140 2    0.2 0.287  253 600  1 1 m AV1    2  4.402 kg/s  0.05 100 0.287  373  V 2  12  V 18.17 2  2  100  m WT  c p (T2  1 )  2 T  4.402    1.00( 20 100)      539 kW 2  2 1000    T eat “00 it dnm nt o t k ec nrye cne s t k h f o 10”n h eo i o fh i t ee t m ovr W o W. cr e ar e ni g r t 800  1 1 m AV1    2   0.05 20 0.9257 kg/s 0.287  473   Q mc (T  )   0.9257  T W 1.0(200    20) ( 400)  kJ/s 233 p 2 1 S The negative sign indicates a heat loss, as expected. 4.98 450   Q mc p (T2  1 )    T WS   2     .06 150 1.0 (20 100)   500 70.5 kJ/s .287  373 65
  • 36.
    4.99 Fr, t clleh vl ie: it e s a u tt e ci s l’ c a e o ts  m 30 30 V1    5.509 fps, V2   137.7 fps 2 A1 62.4   /144  2 62.4   2 /144  0.4 1 2 V2    V  1 p2 p1  Q WS m 2     2  137.7 2  5.5092 (14.7  1 )   P 144 0  30  . 142   p1  psia 32.2 62.4  2  The factor 32.2 above converts slugs to lbm. 4.100 The energy equation: V22  12  c p (T1  2 ) 202   V 2 T 2 1.0(293  2 ) T p1 AV1  A2V2 1 2 RT1 80 2 4 V2     20 5.384 kg/m 2  s 2 0.287  293  2 3 Assume an adiabatic expansion using  v : 1/ Continuity equation: AV1  A2V2 . 1 1 2 k-1 T2  2   T2 293  298.9   or 0.4  T1  1    [80 / 0.287  0.4 293] 2 The above three equations include three unknowns , V2 , and T2 . They are solved 2 by trial-and-error to give  3.47 kg/m3 , V2  1.55 m/s and T2 219 C 2 k /k 1   p 4.101 a) Assume an adiabatic process: T2  1  2  T p 1  0.4 /1.4 585      468 85   812 K or 539 C  2  12  2  2  V V V 100 b) 0 2  p (T2  1 )  2 c T   1.0(812  468)  V2  . 835 m/s 1000  2  2   p p 585  2   0.1 100 812 c) 2 ( d 22 / 4)V2  1 12  1 . d22   r V . d2  0.239 m RT2 RT1 185   / 4 468 835 p 80  4.102 a) m  AV   2   0.05 200 1.672 kg/s RT 0.297  253 V22  12 V 152  2 200 b) 0   p (T2  1 ). 0  c T  1.042(T2  20). T2   0.91 C 2 2 1000 V 2  12 V 502  2 600 4.103 0  2  2  1. 0  h h 2  h 1154. 2 2 1000 P2 20 psia    T2 238 F h2  1161  66 h2  1161 Btu/lbm
  • 37.
    4.104 The heat transferrate for the steam, assuming no pressure drop through the condenser, is   Q m (h  ) 600  h (94.02  1116.1)  200 Btu/min 613, s s 2s 1s This equals the energy gined by the water:    40,900 lbm/min Qw mw c p (T2 w  1w ). 613, 200     T mw 1.00 (15). mw  4.105 a) The heat lost by the air is gained by the water:    ma c pa (T2 a  1a ) mw c pw (T2 w  1w ). 5   mw  T T 1.0 200  4.18  10. mw 23.9 kg/s   b) Q m c  23.9  T 4.18   200 1000 kJ/s w 4.106 w pw With Q 0 and mi 0 there results u f h1 since m f m1 . Across a valve the enthalpy is constant so that h1 hline  3674.4 kJ/kg . The final pressure is p f  MPa and 4 uf  3674.4 kJ/kg. The temperature is interpolated from Table C.3 to be 3674.4  3650.1 Tf      50 800 813 C 3650.1  3555.5 The final specific volume is 812.8  800 vf  (0.1229  0.1169)  0.1229  0.1244 m 3 /kg 50 V f 4 The mass of steam in the tank is then m f    32.15 kg vf 0.1244 4.107 a) pf  800 psia  1587 F  T f  uf  1  h 1620  b) Interpolate and find v f  1.512 m 3 /kg. m f  V f 50   33.1 lbm vf 1.512 pVi 250  3 80  3 4.108 mi  i   8.769 kg. m f   2.806 kg RTi 0.287  298 0.287  298  Q m u  u  h m m f f i i 2 2 2.806  0.717   298 8.769  0.717   298 (8.769  2.806)    1.0 298 503 kJ 13937 90  5 800  5 4.109 mi   5.351 kg. m f   0.287  293 0.287  f T Tf 0  f m f  i mi  1 h1  f m f  u u m u 0.717   293 5.351  m f  ( 5.351)   1.0 353 Then 0  0.717  f T 13937  1124  m f  ( 5.351)  353. m f  30.48 kg Tf 13937 Finally, T f  457 or 184 m1  C. 30.48  5.351 25.1 kg 30.48 67
  • 38.
    4.110 Since Q and mi  , u f h1  0 0 0.24   530 0.171T f . T f   or 284F 744 R p f V f 12   144 10 mf    4.36 lbm RT f 53.3  744 k k 1/ 0.4 /1.4 p f Tf p f   95  4.111 a)  . Tf  i     T 303 127 146   K or  C V i pi RTi piTi 2000   pi  T 303 b) For V  const p2 p1  2    95 227 kPa T1 127 V f p f RT f 800  4 4.112 mi  f 0.02   kg. mi  m 300 6  36.8 kg. m f  30.8 kg 0.287  303 k 1 0.4 m  f  30.8   a) T f  i      282 or 9 T 303 C m 36.8    i  m RT 30.8  0.287  282 b) p f  f f   624 kPa V f 4 1/ k  1 T f  c) m f mi   T i  2.5 253    36.8   23.44 kg 303     m 13.36 0.02  t 60.    t 11.13 min 1.8 0.2 4.113 mi  158.9 C   1726 kg . a) T  0.001043 1.694 1 1 b) m f    911.4 kg.   m 814.5 kg 0.001101 0.3157 0.5 1.5  d c) m f   458.9 kg. Q  (um)  2 m2  f m2  2 m2 h  u  h  0.001101 0.3157 dt 10000 10 000 (u f  2 )m2 . m2  h    1.878 kg/min 2567  2757 1.878  t 1725.9  458.9.   t 675 min 4.114 a) Assume steady state with the heat sink area equal to the transistor area:  Q  Q Q  Q2  1 3 Tj   T 4 4    j  )   j  sur ) h A (T T  A (T T 1 0.5  h A Tj  325 4 1    Tj        Tj  4 ) 15 10 4 ( 325) 0.5 5.67 10 8 10 4 ( 300 1 0.5  15   10 4 4 2.835   Tj  10 12 0.003Tj   2 0 68
  • 39.
    By trial anderror, Tj = 568 K (295 >> 125 C) C The transistor exceeds its maximum allowable temperature of 125 C b)   A (T 4 T 4 Qrad     j  surr )        4  4 )  0.5 5.67 10 8 10 4 (568 300 0.27 W 0.27 fraction   0.27 1 4.115 Assume the temperature to be uniform at any instant, negligible radiation, and constant properties. Air T = 20 C h = 8 W/m2·K 3 cm 7.5 cm h L Bi  c k a) where Lc is the effective length and is defined as Volume/Surfce area. For the pancake,   (0.075)2  (0.003) 4 LC   0.0015 m  2 2  (0.075)    0.0075  0.003 4 Thus, h  8 L 0.0015 Bi  c   0.048  0.1  k 0.25 The lumped capacitance assumption is valid. b) Energy balance:  out = Estored E  s   )  V h A (T T c h A dT dT or   s dt dt T  T V c Let  T  . Then, = T h A h A d T  T   s dt. ln   s  t  V c Ti   T V c V T  c T 500  3000  0.0015 25  20 t  ln   ln  647 s h s Ti   A T 8 80  20 69
  • 40.
    4.115 Assume steady-state,one-dimensional conduction, with negligible contact resistance and constant properties. 1 1 1 1 Roconv    0.07  C/W, Riconv    0.21  C/W ho w 20.8  A 0.6 hi w 8  A 0.6 t panel 0.005 R panel    0.07  C/W k panel  panel 0.12  A 0.6 t plaster 0.015 R plaster    0.015  C/W k plaster  plaster 0.17  A 0.6 t t 0.2 0.2 Rstud  stud   312.5  C/W, Rins  ins   11.91  C/W k stud stud 0.16  A 0.06 kins ins 0.03  A 0.56 tsiding 0.025 Rsidings    0.443  C/W ksiding siding 0.094  A 0.6 R  ins R Rtotal Roconv  panel  plaster  stud R R  sidings  iconv R R Rstud ins R T 20  5 15    Q    16.67 W 312.5  11.91 Rtotal 0.07  0.9 0.07  0.015   0.443  0.21 312.5  11.91 4.117 Neglect radiation. Tair, h D2, D1 lpipe Rpipe Rair Tinside Tair  T  T a) Q  inside air  R pipe  air R Tinside  air T 200  10   9.98 kW ln r2 / r1 1 ln 4 / 3.75 1    16.5 2 .04    7 30 2 l k 2 r2  2 7    l h Tinside  air T 200  10   536 W ln 4 / 3.75 ln 9 / 4 1 R pipe  insulation  air R R   2 7   16.5 2 7   0.055 2 0.09    7 30  b) Q    Q % reduction  1  insulation   Q    536    94%  100  1    100   9980   70
  • 41.
    4.118 Assume thesystem to be at steady state. r2 = 3.5 cm r1 = 2.5 cm Q total = 500W 1 cm Ti = 400oC Rcond Tamb Rconv T T T  T  Qtot  i amb . Rcond  i amb  conv R  Rcond  conv R Qtot T T 1  1   i  amb 1 1        2  4 1 r2   Qtot k r 4 h  r 1 1 1 1   r1 r2 0.025 0.035 k   8.23 W/m  K 20 1  i  amb   T T 1  4 400   4      2  4 0.0352   100  500 4 h  r  Qtot 71