TERPENOIDS
CONTENTS
• DEFINITION OF TERPENOID
• ISOLATION OF TERPENOIDS
• ISOPRENE RULE
• CLASSIFICATION
• GENERAL METHODS OF STRUCTURAL ELUCIDATION
• STRUCTURAL ELUCIDATION
 CITRAL
 MENTHOL
TERPENOIDS
• Terpenoids are hydrocarbons of plant origin of the general formula
(C5H8)n as well as their oxygenated, hydrogenated and
dehydrogenated derivatives.
Examples of terpenoids
Geraniol, Citronellol,
Farnesol
Limonene, Citral Eugenol
PHYSICAL PROPERTIES
• Terpenoids are colourless liquid
• Soluble in organic solvents and insoluble in water.
• Most of the terpenoids are optically active.
• Volatile in nature.
• Boiling point 150 – 1800 C
CHEMICAL PROPERTIES
• They are unsaturated compounds.
• They undergo addition reaction with hydrogen, halogen, halogen
acids to form addition products like NOCl, NOBr and hydrates.
• They undergo polymerization and dehydrogenation in the ring.
• On thermal decomposition, terpenoid gives isoprene as one of the
product.
ISOLATION OF TERPENOIDS
i) Isolation of essential oils from plantparts
• a) Steam distillation method
• b) Solvent extraction
• c) Maceration
• d) Adsorption in purified fats/Enfluerage
ii) Separation of terpenoid from essential oils
a) Chemical methods
b) Physical methods
They are separated by fractional distillation. T h e t e r p e n o i d hydrocarbons
distill over first followed by the oxygenated derivatives. More recently different
chromatographic techniques have been used both for isolation and separation of
terpenoids.
I) ISOLATION OF ESSENTIALOILS
a) STEAM DISTILLATION
b) SOLVENT EXTRACTION
• Solvents like hexane and ethanol is used to isolate essential oils.
• It is used for the plant parts have low amount of essential oil .
• Plant material are treated with the solvent, it produces a waxy
aromatic compound called a "concrete.“
• Then it mixed with alcohol, the oil particles are released.
• Then it passess through a condenser then it separated out.
• This oil is used in perfume industry or for aromatherapy purposes
c) MACERATION
Advantage: More plant’s essence is captured.
• In this method the plant material is converted into moderately
coarse powder.
• Plant material is placed in a closed vessel.
• To this solvent is added.
• The mixture is allowed to stand for 1 week, then the liquid
is strained.
• Solid residue is pressed to recover any remaining liquid.
• Strained and expressed liquids are mixed
d) ENFLEURAGE
• The fat is warmed to 500C on glass plates.
• Then the fat is covered with flower petals and it kept for several
days until it saturated with essential oils.
• Then the old petals are replaced by fresh petals ,it repeated.
• After removing the petals, the fat is treated with ethanol when all the
oils present in fat are dissolved in ethanol.
• The alcoholic distillate is then fractionally distilled under reduced
pressure to remove the solvent.
• Recently the fat is replaced by coconut charcoal, due to greater
stability and higher adsorptive capacity.
ROSE PETALS ENFLUERAGE
II) SEPARATION OF TERPENOID FROM
ESSENTIAL OILS
a) CHEMICAL METHOD:
• Essential oils containing terpenoid hydrocarbon + nitrosyl chloride
in chloroform form crystalline adduct of hydrocarbons.
• Essential oil containing alcohols
• Terpenoid containing aldehyde and ketone treated with NaHSO3,
phenyl hydrazine or semicarbazone. After separation it is
decomposed to get terpenois.
b) PHYSICAL METHOD
• Chromatography
• Fractional distillation
ISOPRENE RULE
• In 1887, Wallach proposed the isoprene rule.
• “It states that the skeleton structures of all terpenoids are built
up of isoprene units or 2-methyl 1,3-butadiene”.
CH2= C-CH=CH2
CH3
• The isoprene rule derived from the following facts:
a) The empirical formula of almost all terpenoids is C5H8.
all terpenoids gives isoprene as one
on destructive distillation yields
b) The thermal decomposition of
of the products. Eg: Rubber
isoprene as the product.
• The isoprene rule has been confirmed by
the following facts:
i) Isoprene, when heated to 2800C yield a (dipentene).
ii) Isoprene may be polymerized to yield a rubber like product
n C5 H8 Polymerisation (C5 H8)n
Rubber (Polyterpenoid)
SPECIAL ISOPRENE RULE
• This rule proposed by Ingold in 1925.
• According to this rule “the isoprene units in terpenoids are joined by
head to tail linkage or 1,4- linkage ( The branched end of isoprene
unit was considered as head and other end as the tail).
Violations of isoprene rule
• Carbon content of certain terpenoids are not a multiple of five.
• Eg: Cryptone, a naturally occurring ketonic terpenoid contains nine
carbon atoms , it cannot be divided into two isoprene units.
Cryptone
• In certain terpenoids isoprene rule is violated.
• Eg: Lavandulol is composed of two isoprene units are linked
through C3 and C4.
CLASSIFICATION OF TERPENOIDS
The terpenoids have general formula (C5H8)n . Based on the
value of ‘n’ the terpenoids are classified into following:
 Terpenoids are classified based on the number of rings present
in the terpenoids.
• Acyclic terpenoids
• Monocyclic terpenoids
• Bicyclic terpenoids
• Tricyclic terpenoidsc
• Tetracyclic terpenoids
1) MONOTERPENOIDS
i) Acyclic monoterpenoids
ii) Monocyclic monoterpenoids
iii) Bicyclic monoterpenoids
The size of the first ring (six membered) in terpenoid is same in all
these terpenoids but the size of second ring is varies. On the basis of
the size of second ring, bicyclic monoterpenoids are further divided
into three classes.
a) It containing 6+3-membered rings (Eg: Carane)
b) It containing 6+4- membered rings (Pinane)
c) Contining 6+5-membered rings
Bornane derivatives – Camphane
Norbornane derivative – Isocamphane,
Fenchane,Isobornylane
α-pinene Camphor
2) SESQUI TERPENOIDS
i) Acyclic sequiterpenoid
Eg: Farnesol
ii) Monocyclic sesquiterpenoid
Bisabolene Zinziberene
iii) Bicyclic sesquiterpenoids
Cadinene
iv) Tricyclic sesquiterpenoids
Cedrol Cedrene
3) DITERPENOIDS
i) Acyclic diterpenoids
Phytol
ii) Monocyclic diterpenoids
VitaminA
iii) Dicyclic diterpenoid
Eg: Agathic acid
iv) Tricyclic diterpenoid
Abietic acid
4) TRITERPENOID
i)Acyclic triterpenoid
Squalene
ii) Tricyclic triterpenoid
Eg:Ambrein
iii) Tetracyclic triterpenoid
Lanosterol
iv) Pentacyclic triterpenoid
Amyrin
GENERAL METHODS OF STRUCTURAL
ELUCIDATION OF TERPENOIDS
1. Analytical method
2. Synthetic method
3. Physical method
4. Molecular rearrangement
5. Synthesis
1) ANALYTICAL METHOD
a) Molecular formula
b) Nature of the oxygen atom
c) Unsaturation
d) Number of rings
e) Oxidative degradation products
f) Dehydrogenation
a) Molecular Formula
• Qualitative method
• Quantitative method
• Mass spectroscopy
ROH + ( CH3CO)2O ROCOCH3 + CH3COOH
Acetate
NATURE OF OXYGENATOM
i) Hydroxyl group
Nature of hydroxyl group is revealed by the rate of esterification.
Primary alcohols undergo esterification more readily than secondary and
tertiary alcohols.
ii) Carbonyl group:
Carbonyl group : Aldehyde or Ketone
.
iii) –CH2CO- groups:
Terpenoids form oximes with nitrous acid and benzylidene derivative
with benzaldehyde
iii) Carboxyl group
• If terpenoid soluble in NH3 and gives effervescence with NaHCO3,
it indicate the presence of –COOH group.
• Number of –COOH group is estimated by titration against a
standard alkali.
•
•
Whether the –COOH group is attached to a 10, 20 or
30 carbon atom is ascertained from the esterification of acids in the
following order.
Tertiary ˂ secondary ˂ Primary
iv) C- alkyl group
The important C- alkyl group is C- CH3 group.
It is determined by Kuhn-Roth method
c) Unsaturation
• It is determined by the formation of addition products with reagents
like hydrogen, halogen, halogen acids, per acids and nitrosyl
chloride.
Eg: Cadinene undergo hydrogenation to form tetrahydro
cadinene, it indicate that cadinene contains 2 double bond.
d) Number of rings
The number of rings is determined from the following table showing
the relation between general formula of compound and types of
compounds.
The molecular formula of citral is C10H16O, it contain 2 double bonds and
one oxygen atom as carbonyl group.
Molecular formula of parent hydrocarbon is C10H16O ≡ C10H16 + 4H (for
2 double bond) + 2H (for carbonyl oxygen) ≡C10H22.
The molecular formula C10H22 corresponds to Cn H2n+2 (general formula
of acyclic terpenoid), so citral is an acyclic terpenoid
e) Oxidative degradation products
Ozone:
Terpenoid react with ozone to form ozonide it undergo decomposition
either hydrolysis or catalytic reduction yields carbonyl compounds.
Nitric acid
react with nitric acid to form aromatic acid and aliphatic
Terpenoids
acid.
f) Dehydration
•Terpenoid containing alcoholic or ketonic groups are heated with
dehydrating agents (potassium bisulphate, zinc chloride) to form
simple aromatic compound with loss of water.
g) Dehydrogenation
α-terpeneol to dipentene.
2) SYNTHETIC METHOD
1) Catalytic Hydrogenation
• When aromatic compounds undergo catalytic hydrogenation to form
synthetic terpenoids.
• Eg: Menthol is prepared from thymol an aromatic compound by
catalytic hydrogenation
2) Grignard reactions
• In grignard reagent, methy or isopropyl groups are introduced into
compound having carbonyl groups to synthesise large number of
terpenoids.
3) Reformatsky reactions
• In this reaction - halogen substituted ester is treated with a carbonyl
compound to form - hydroxyl ester. It is then treated with dil.acid
yield - hydroxyl acid which further coverted to an unsaturated acid
or a hydrocarbon.
3) PHYSICAL METHOD
• UV spectroscopy:
• It is used for the detection of conjugation in terpenoids
• IR spectroscopy:
• Used for detecting the presence of a hydroxyl group, an oxo
group.
• Used for distinguish between cis and trans isomer.
• Used for quantitative measurements (determination of no: of
methyl group).
• NMR spectroscopy:
• Used for identifying double bonds and determing the nature of endgroups in
terpenoid.
• No . of rings present in terpenoid
• Orientation of methyl group in terpenoid
• Presence of –OH group
4) MOLECULAR REARRANGEMENT
• Molecular rearrangement is used when the degradation reaction gives
various products.
5) SYNTHESIS
• Structure elucidated by the above physical and analytical method is confirmed by its
synthesis.
CITRAL
•It is an inactive oil with lemon like smell .
•Principle source being the lemon grass oil which has 60-80% of citral.
STRUCTURAL ELUCIDATION OF CITRAL
• Constitution of citral
a) Molecular formula: C10H16O
b) Presence of two double bond:
Citral is treated with bromine or hydrogen, it forms citral
tetrabromide. It indicate the presence of two double bond.
C10H16O Br2 C10H16O.Br4
Citral on ozonolysis yield acetone, laevulaldehyde and gyoxal. It
indicate that citral is an acyclic compound containing two double bond.
c) Presence of an aldehyde group:
Formation of an oxime with hydroxylamine indicates the
presence of an oxo group in citral.
• Citral on reduction with Na/Hg it gives an alcohol called geraniol
with
and on oxidation with silver oxide to yield a Geranic acid
same number of carbon atom as citral.
• Indicate that oxo group in citral is an aldehyde group.
d) Citral as an acyclic compound:
• Formation of above products shows that citral is an acyclic
compound containing two double bonds.
• Corresponding saturated hydrocarbon of citral (molecular Formula
C10H22) corresponds to the general formula CnH2n+2 for acyclic
compounds, indicating that citral must be an acyclic compound.
e) Carbon skeleton of citral
• Citral is heated with potassium hydrogen sulphate, it gives p-
cymene (known compound).
•Formation of p-cymene and product obtained from the ozonolysis
reveals that C-skeleton (I) of citral is formed by the joining of two
isoprene units in the head to tail fashion.
•Formation of p-cymene also reveals the position of methyl and
isopropyl group in citral.
KHSO4
Oxidation :
• Citral undergo oxidation with KMnO4 followed by chromic acid yield
acetone, oxalic acid and laevulic acid. These reactions are only
explained if the citral has structure (II).
Support for the structure (II)
• Verley found that citral on boiling with aqueous potassium
carbonate yielded 6-methyl hept-5-ene-2-one and
acetaldehyde.
• The formation of these can only be explained on the basis of
proposed structure of citral (II) if it undergoes cleavage at α,β-
double bond.
• Further methylheptenone undergo oxidation yields acetone and
laevulic acid.These can be only explained on the basis of
structure (II).
Confirmation synthesis of citral by
Barbier-Bouveault-Tiemann’s synthesis
• In this synthesis methyl heptenone is converted to geranic ester by
using Reformatsky’s reaction. Geranic ester is then converted to
citral by distilling a mixture of calcium salts of geranic and formic
acids.
Isomerism of citral
• Two geometrical isomers occur in nature
• Two isomers are differ in the arrangement of aldehyde group about
double bond in 2,3 position. One is cis-citral or Neral and other is
trans- citral or geranial.
MENTHOL
(-)-Menthol constitutes 50-60% 0f peppermint oil (Mentha piperita).
Used as antiseptic and as flavouring agents.
STRUCTURAL ELUCIDATIONOF
MENTHOL
1)Molecular formula: C10H20O
2)Menthol forms esters readily with acids it means that it possess an
alcoholic group.
Menthol then oxidized to yield ketone, menthone (C10H18O) it
indicate that the alcoholic group is secondary in nature.
3) On dehydration followed by dehydrogenation it yields p-cymene. It
indicate the presence of p-cymene skeleton (p-menthane skeleton) in
two compounds.
4) Menthone on oxidation with KMnO4 yields ketoacid C10H18O3.
It possess one keto group and one carboxyl group and is called
ketomenthylic acid.
• It readily oxidized to 3-methyladipic acid. These reactions can be
explained by considering the following structure of menthol.
• Menthol was converted to p-Cymene [1-methyl-4-
isopropylbenzene], which was also obtained by dehydrogenation of
pulegone.
• Pulegone on reduction yields menthone which on further reduction
gives menthol.
SYNTHESIS
• Finally the structure of menthone and menthol have been confirmed
by the synthesis given by Kotz and Hese from m-cresol.
REFERENCE
• “Organic chemistry of natural products” ; volume I; GURUDEEP
AND CHATWAL; page no: 1.1 – 1.155
• “ Organic chemistry of natural products” volume : I; O.P
AGARWAL;
Page no: 312-433

terpenoidpptt-171110062616 [Autosaved] final.pptx

  • 2.
  • 3.
    CONTENTS • DEFINITION OFTERPENOID • ISOLATION OF TERPENOIDS • ISOPRENE RULE • CLASSIFICATION • GENERAL METHODS OF STRUCTURAL ELUCIDATION • STRUCTURAL ELUCIDATION  CITRAL  MENTHOL
  • 4.
    TERPENOIDS • Terpenoids arehydrocarbons of plant origin of the general formula (C5H8)n as well as their oxygenated, hydrogenated and dehydrogenated derivatives.
  • 5.
    Examples of terpenoids Geraniol,Citronellol, Farnesol Limonene, Citral Eugenol
  • 6.
    PHYSICAL PROPERTIES • Terpenoidsare colourless liquid • Soluble in organic solvents and insoluble in water. • Most of the terpenoids are optically active. • Volatile in nature. • Boiling point 150 – 1800 C
  • 7.
    CHEMICAL PROPERTIES • Theyare unsaturated compounds. • They undergo addition reaction with hydrogen, halogen, halogen acids to form addition products like NOCl, NOBr and hydrates. • They undergo polymerization and dehydrogenation in the ring. • On thermal decomposition, terpenoid gives isoprene as one of the product.
  • 8.
    ISOLATION OF TERPENOIDS i)Isolation of essential oils from plantparts • a) Steam distillation method • b) Solvent extraction • c) Maceration • d) Adsorption in purified fats/Enfluerage ii) Separation of terpenoid from essential oils a) Chemical methods b) Physical methods They are separated by fractional distillation. T h e t e r p e n o i d hydrocarbons distill over first followed by the oxygenated derivatives. More recently different chromatographic techniques have been used both for isolation and separation of terpenoids.
  • 9.
    I) ISOLATION OFESSENTIALOILS a) STEAM DISTILLATION
  • 10.
    b) SOLVENT EXTRACTION •Solvents like hexane and ethanol is used to isolate essential oils. • It is used for the plant parts have low amount of essential oil . • Plant material are treated with the solvent, it produces a waxy aromatic compound called a "concrete.“ • Then it mixed with alcohol, the oil particles are released. • Then it passess through a condenser then it separated out. • This oil is used in perfume industry or for aromatherapy purposes
  • 12.
    c) MACERATION Advantage: Moreplant’s essence is captured. • In this method the plant material is converted into moderately coarse powder. • Plant material is placed in a closed vessel. • To this solvent is added. • The mixture is allowed to stand for 1 week, then the liquid is strained. • Solid residue is pressed to recover any remaining liquid. • Strained and expressed liquids are mixed
  • 14.
    d) ENFLEURAGE • Thefat is warmed to 500C on glass plates. • Then the fat is covered with flower petals and it kept for several days until it saturated with essential oils. • Then the old petals are replaced by fresh petals ,it repeated. • After removing the petals, the fat is treated with ethanol when all the oils present in fat are dissolved in ethanol. • The alcoholic distillate is then fractionally distilled under reduced pressure to remove the solvent. • Recently the fat is replaced by coconut charcoal, due to greater stability and higher adsorptive capacity.
  • 15.
  • 16.
    II) SEPARATION OFTERPENOID FROM ESSENTIAL OILS a) CHEMICAL METHOD: • Essential oils containing terpenoid hydrocarbon + nitrosyl chloride in chloroform form crystalline adduct of hydrocarbons. • Essential oil containing alcohols
  • 17.
    • Terpenoid containingaldehyde and ketone treated with NaHSO3, phenyl hydrazine or semicarbazone. After separation it is decomposed to get terpenois.
  • 18.
    b) PHYSICAL METHOD •Chromatography • Fractional distillation
  • 19.
    ISOPRENE RULE • In1887, Wallach proposed the isoprene rule. • “It states that the skeleton structures of all terpenoids are built up of isoprene units or 2-methyl 1,3-butadiene”. CH2= C-CH=CH2 CH3
  • 20.
    • The isoprenerule derived from the following facts: a) The empirical formula of almost all terpenoids is C5H8. all terpenoids gives isoprene as one on destructive distillation yields b) The thermal decomposition of of the products. Eg: Rubber isoprene as the product.
  • 21.
    • The isoprenerule has been confirmed by the following facts: i) Isoprene, when heated to 2800C yield a (dipentene). ii) Isoprene may be polymerized to yield a rubber like product n C5 H8 Polymerisation (C5 H8)n Rubber (Polyterpenoid)
  • 22.
    SPECIAL ISOPRENE RULE •This rule proposed by Ingold in 1925. • According to this rule “the isoprene units in terpenoids are joined by head to tail linkage or 1,4- linkage ( The branched end of isoprene unit was considered as head and other end as the tail).
  • 23.
    Violations of isoprenerule • Carbon content of certain terpenoids are not a multiple of five. • Eg: Cryptone, a naturally occurring ketonic terpenoid contains nine carbon atoms , it cannot be divided into two isoprene units. Cryptone
  • 24.
    • In certainterpenoids isoprene rule is violated. • Eg: Lavandulol is composed of two isoprene units are linked through C3 and C4.
  • 25.
    CLASSIFICATION OF TERPENOIDS Theterpenoids have general formula (C5H8)n . Based on the value of ‘n’ the terpenoids are classified into following:
  • 26.
     Terpenoids areclassified based on the number of rings present in the terpenoids. • Acyclic terpenoids • Monocyclic terpenoids • Bicyclic terpenoids • Tricyclic terpenoidsc • Tetracyclic terpenoids
  • 27.
  • 28.
    ii) Monocyclic monoterpenoids iii)Bicyclic monoterpenoids The size of the first ring (six membered) in terpenoid is same in all these terpenoids but the size of second ring is varies. On the basis of the size of second ring, bicyclic monoterpenoids are further divided into three classes.
  • 29.
    a) It containing6+3-membered rings (Eg: Carane) b) It containing 6+4- membered rings (Pinane)
  • 30.
    c) Contining 6+5-memberedrings Bornane derivatives – Camphane Norbornane derivative – Isocamphane, Fenchane,Isobornylane
  • 31.
  • 32.
    2) SESQUI TERPENOIDS i)Acyclic sequiterpenoid Eg: Farnesol ii) Monocyclic sesquiterpenoid Bisabolene Zinziberene
  • 33.
    iii) Bicyclic sesquiterpenoids Cadinene iv)Tricyclic sesquiterpenoids Cedrol Cedrene
  • 34.
    3) DITERPENOIDS i) Acyclicditerpenoids Phytol ii) Monocyclic diterpenoids VitaminA
  • 35.
    iii) Dicyclic diterpenoid Eg:Agathic acid iv) Tricyclic diterpenoid Abietic acid
  • 36.
    4) TRITERPENOID i)Acyclic triterpenoid Squalene ii)Tricyclic triterpenoid Eg:Ambrein
  • 37.
  • 38.
  • 39.
    GENERAL METHODS OFSTRUCTURAL ELUCIDATION OF TERPENOIDS 1. Analytical method 2. Synthetic method 3. Physical method 4. Molecular rearrangement 5. Synthesis
  • 40.
    1) ANALYTICAL METHOD a)Molecular formula b) Nature of the oxygen atom c) Unsaturation d) Number of rings e) Oxidative degradation products f) Dehydrogenation
  • 41.
    a) Molecular Formula •Qualitative method • Quantitative method • Mass spectroscopy
  • 42.
    ROH + (CH3CO)2O ROCOCH3 + CH3COOH Acetate NATURE OF OXYGENATOM i) Hydroxyl group
  • 43.
    Nature of hydroxylgroup is revealed by the rate of esterification. Primary alcohols undergo esterification more readily than secondary and tertiary alcohols. ii) Carbonyl group:
  • 44.
    Carbonyl group :Aldehyde or Ketone .
  • 45.
    iii) –CH2CO- groups: Terpenoidsform oximes with nitrous acid and benzylidene derivative with benzaldehyde
  • 46.
    iii) Carboxyl group •If terpenoid soluble in NH3 and gives effervescence with NaHCO3, it indicate the presence of –COOH group. • Number of –COOH group is estimated by titration against a standard alkali. • • Whether the –COOH group is attached to a 10, 20 or 30 carbon atom is ascertained from the esterification of acids in the following order. Tertiary ˂ secondary ˂ Primary
  • 47.
    iv) C- alkylgroup The important C- alkyl group is C- CH3 group. It is determined by Kuhn-Roth method
  • 48.
    c) Unsaturation • Itis determined by the formation of addition products with reagents like hydrogen, halogen, halogen acids, per acids and nitrosyl chloride. Eg: Cadinene undergo hydrogenation to form tetrahydro cadinene, it indicate that cadinene contains 2 double bond.
  • 49.
    d) Number ofrings The number of rings is determined from the following table showing the relation between general formula of compound and types of compounds.
  • 50.
    The molecular formulaof citral is C10H16O, it contain 2 double bonds and one oxygen atom as carbonyl group. Molecular formula of parent hydrocarbon is C10H16O ≡ C10H16 + 4H (for 2 double bond) + 2H (for carbonyl oxygen) ≡C10H22. The molecular formula C10H22 corresponds to Cn H2n+2 (general formula of acyclic terpenoid), so citral is an acyclic terpenoid
  • 51.
    e) Oxidative degradationproducts Ozone: Terpenoid react with ozone to form ozonide it undergo decomposition either hydrolysis or catalytic reduction yields carbonyl compounds. Nitric acid react with nitric acid to form aromatic acid and aliphatic Terpenoids acid.
  • 52.
    f) Dehydration •Terpenoid containingalcoholic or ketonic groups are heated with dehydrating agents (potassium bisulphate, zinc chloride) to form simple aromatic compound with loss of water.
  • 53.
  • 54.
    2) SYNTHETIC METHOD 1)Catalytic Hydrogenation • When aromatic compounds undergo catalytic hydrogenation to form synthetic terpenoids. • Eg: Menthol is prepared from thymol an aromatic compound by catalytic hydrogenation
  • 55.
    2) Grignard reactions •In grignard reagent, methy or isopropyl groups are introduced into compound having carbonyl groups to synthesise large number of terpenoids.
  • 56.
    3) Reformatsky reactions •In this reaction - halogen substituted ester is treated with a carbonyl compound to form - hydroxyl ester. It is then treated with dil.acid yield - hydroxyl acid which further coverted to an unsaturated acid or a hydrocarbon.
  • 57.
    3) PHYSICAL METHOD •UV spectroscopy: • It is used for the detection of conjugation in terpenoids • IR spectroscopy: • Used for detecting the presence of a hydroxyl group, an oxo group. • Used for distinguish between cis and trans isomer. • Used for quantitative measurements (determination of no: of methyl group).
  • 58.
    • NMR spectroscopy: •Used for identifying double bonds and determing the nature of endgroups in terpenoid. • No . of rings present in terpenoid • Orientation of methyl group in terpenoid • Presence of –OH group 4) MOLECULAR REARRANGEMENT • Molecular rearrangement is used when the degradation reaction gives various products. 5) SYNTHESIS • Structure elucidated by the above physical and analytical method is confirmed by its synthesis.
  • 59.
    CITRAL •It is aninactive oil with lemon like smell . •Principle source being the lemon grass oil which has 60-80% of citral.
  • 60.
    STRUCTURAL ELUCIDATION OFCITRAL • Constitution of citral a) Molecular formula: C10H16O b) Presence of two double bond: Citral is treated with bromine or hydrogen, it forms citral tetrabromide. It indicate the presence of two double bond. C10H16O Br2 C10H16O.Br4
  • 61.
    Citral on ozonolysisyield acetone, laevulaldehyde and gyoxal. It indicate that citral is an acyclic compound containing two double bond. c) Presence of an aldehyde group: Formation of an oxime with hydroxylamine indicates the presence of an oxo group in citral.
  • 62.
    • Citral onreduction with Na/Hg it gives an alcohol called geraniol with and on oxidation with silver oxide to yield a Geranic acid same number of carbon atom as citral. • Indicate that oxo group in citral is an aldehyde group.
  • 63.
    d) Citral asan acyclic compound: • Formation of above products shows that citral is an acyclic compound containing two double bonds. • Corresponding saturated hydrocarbon of citral (molecular Formula C10H22) corresponds to the general formula CnH2n+2 for acyclic compounds, indicating that citral must be an acyclic compound. e) Carbon skeleton of citral • Citral is heated with potassium hydrogen sulphate, it gives p- cymene (known compound).
  • 64.
    •Formation of p-cymeneand product obtained from the ozonolysis reveals that C-skeleton (I) of citral is formed by the joining of two isoprene units in the head to tail fashion. •Formation of p-cymene also reveals the position of methyl and isopropyl group in citral.
  • 65.
  • 66.
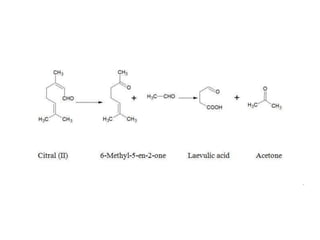
    Oxidation : • Citralundergo oxidation with KMnO4 followed by chromic acid yield acetone, oxalic acid and laevulic acid. These reactions are only explained if the citral has structure (II).
  • 67.
    Support for thestructure (II) • Verley found that citral on boiling with aqueous potassium carbonate yielded 6-methyl hept-5-ene-2-one and acetaldehyde. • The formation of these can only be explained on the basis of proposed structure of citral (II) if it undergoes cleavage at α,β- double bond. • Further methylheptenone undergo oxidation yields acetone and laevulic acid.These can be only explained on the basis of structure (II).
  • 69.
    Confirmation synthesis ofcitral by Barbier-Bouveault-Tiemann’s synthesis • In this synthesis methyl heptenone is converted to geranic ester by using Reformatsky’s reaction. Geranic ester is then converted to citral by distilling a mixture of calcium salts of geranic and formic acids.
  • 71.
    Isomerism of citral •Two geometrical isomers occur in nature • Two isomers are differ in the arrangement of aldehyde group about double bond in 2,3 position. One is cis-citral or Neral and other is trans- citral or geranial.
  • 72.
    MENTHOL (-)-Menthol constitutes 50-60%0f peppermint oil (Mentha piperita). Used as antiseptic and as flavouring agents.
  • 73.
    STRUCTURAL ELUCIDATIONOF MENTHOL 1)Molecular formula:C10H20O 2)Menthol forms esters readily with acids it means that it possess an alcoholic group. Menthol then oxidized to yield ketone, menthone (C10H18O) it indicate that the alcoholic group is secondary in nature.
  • 74.
    3) On dehydrationfollowed by dehydrogenation it yields p-cymene. It indicate the presence of p-cymene skeleton (p-menthane skeleton) in two compounds.
  • 75.
    4) Menthone onoxidation with KMnO4 yields ketoacid C10H18O3. It possess one keto group and one carboxyl group and is called ketomenthylic acid. • It readily oxidized to 3-methyladipic acid. These reactions can be explained by considering the following structure of menthol.
  • 77.
    • Menthol wasconverted to p-Cymene [1-methyl-4- isopropylbenzene], which was also obtained by dehydrogenation of pulegone. • Pulegone on reduction yields menthone which on further reduction gives menthol.
  • 78.
    SYNTHESIS • Finally thestructure of menthone and menthol have been confirmed by the synthesis given by Kotz and Hese from m-cresol.
  • 79.
    REFERENCE • “Organic chemistryof natural products” ; volume I; GURUDEEP AND CHATWAL; page no: 1.1 – 1.155 • “ Organic chemistry of natural products” volume : I; O.P AGARWAL; Page no: 312-433