CHEM 120: Introduction to
CHEM 120: Introduction to
Inorganic Chemistry
Inorganic Chemistry
Instructor: Upali Siriwardane (Ph.D., Ohio State
University)
CTH 311, Tele: 257-4941, e-mail:
upali@chem.latech.edu
Office hours: 10:00 to 12:00 Tu & Th ; 8:00-
9:00 and 11:00-12:00 M,W,& F
Chapters Covered and Test dates
Chapters Covered and Test dates
• Tests will be given in regular class periods from 9:30-10:45 a.m. on
the following days:
September 22, 2004 (Test 1): Chapters 1 & 2
• October 6, 2004(Test 2): Chapters 3, & 4
• October 20, 2004 (Test 3): Chapter 5 & 6
• November 3, 2004 (Test 4): Chapter 7 & 8
• November 15, 2004 (Test 5): Chapter 9 & 10
• November 17, 2004 MAKE-UP: Comprehensive test (Covers all
chapters
• Grading:
• [( Test 1 + Test 2 + Test3 + Test4 + Test5)] x.70 + [ Homework + quiz average] x 0.30 = Final Average
• 5
Chapter 4: Structure and
properties of ionic and covalent
compounds
We now put atoms and ions together
to form compounds
Chapter 4. Structure and Properties
of Ionic and Covalent Compounds
1. Classify compounds as ionic, covalent, or polar covalent bonds.
2. Write the formulas of compounds when provided with the name of the
compound.
3. Name common inorganic compounds using standard conventions and
recognize the common names of frequently used substances.
4. Predict the differences in physical state, melting and boiling points,
solid-state structure, and solution chemistry that result from
differences in bonding.
5. Draw Lewis structures for covalent compounds and polyatomic ions.
6. Describe the relationship between stability and bond energy.
7. Predict the geometry of molecules and ions using the octet rule and
Lewis structure.
8. Understand the role that molecular geometry plays in determining the
solubility and melting and boiling points of compounds.
9. Use the principles of VSEPR theory and molecular geometry to
predict relative melting points, boiling points, and solubilities of
compounds.
Start learning the formulas and
the names and charges of the
ions found in table
• Why have we been so interested in where
the electrons are in an atom? And what is
the importance of valence electrons?
• Valence e’s are involved in_______--the no
of valence e’s has an important influence on
______ of bonds formed. The filled inner
core does not directly affect bond
formation.
Compound
• Bonds are formed by a transfer of ________
from one atom to another or by a ______
_________ between 2 atoms.
Lewis (dot) Symbols
Lewis (dot) symbols
• Introduced by G. N. Lewis
• Useful for representative (sp block) elements only
• Group no. = no of valence e-’s (no of dots)
Lewis symbols for A groups
• The elements’ symbol represents the inner
core of electrons. Put a dot for each valence
electron around the symbol.
• Remember that the no. of valence electrons
for the A groups is equal to ?
• Each unpaired electron may be used in bond
formation
Remember the octet rule from
chapter 3
• So the ions formed by the elements in:
• IA
• IIA
• IIIA
• VA
• VIA
• VIIIA
Ionic bonding
• Extra stability has been noted for the noble
gas configuration (8 e-s in valence shell)--
(for A elements)
• Ionic bonding
• Each atom in the ionic bond
• Ionic compounds are formed between
• And
• When forming an ionic bond each atom in
the bond attains a noble gas configuration
by a “complete” transfer of
• An ionic bond is the electrostatic force that
holds ions together in an ionic compound
• An ionic bond is a very strong bond; ionic
cmpds have high m and b pts.
Typical ionic reactions with
Lewis structures
+ -
Na + F Na F
What about Li and S?
+ 2-
Li + S 2 Li S
2
What about Ca and O
• Formula is
What about Ca and N?
• Formula is
Covalent bonding
• Not all bonds are ionic.
• ________ bonds are bonds in which two (or
more) electrons are ______ by two atoms.
• One shared electron pair is
• A reminder:
• Only valence electrons are involved in
bonding. Group No. = # valence e-s for A
elements.
• Covalent bonds are formed
• Each atom in bond attains noble gas
configuration by sharing of e- pairs (H2
bond only has 2 e-’s)
Covalent bond formation
• Look at formation of H2 molecule.
• H.
+ .
H ----> H:H (H-H)
1s1
1s1
bond formed by overlap
of 1s orbitals
What about F2 or Cl2?
____ _____ - pairs of valence electrons not
involved in covalent bond formation
Lewis structure - representation of covalent
bonding in which lone pairs are shown as
pairs of dots and bonding pairs are (usually)
shown as lines
Cl Cl
2 Cl Cl Cl
or
Lone
pairs
Bonding
pairs
Usual
representation
Polar covalent bonding and
electronegativity
• Not all covalent bonds are formed btn the
same 2 atoms (as H2, homonuclear
diatomic: _______sharing of e-’s in bond)
Polar covalent bonds
• What about the bond in H-F?
• It is known that F is more likely to attract
e-’s to itself than H, leading to an unequal
sharing of the e- pair.
• The covalent bond in which there is unequal
sharing:
H F F
H
Polar covalent bond or polar bond is a covalent bond
with greater electron density around one of the two
atoms
electron rich
region
electron poor
region e-
rich
e-
poor
+
-
9.5
H Cl
Cl Cl
+ -
Na Cl
Continuum of bond polarity
•(Nearly) complete e-
transfer = ionic
bond
•Unequal sharing of e- pair = polar
covalent bond.
e-s are polarized toward Cl
•Equal sharing of e- pair = nonpolar
covalent bond
Electronegativity
• Electronegativity:
• .
• Eneg is a relative concept. Elements with
Lanthanides 1.1-1,3
Actinides 1.3-1.5
Electronegativity differences
• 0.2 - 0.5 will be a ________________ bond
• 0.5 - 1.6 will be a ________________ bond
• > 1.6 will be a ________________ bond
Electronegativity differences
• In general the _______ the difference in
eneg btn the 2 atoms in the bond, the ____
______ the bond.
• If the difference is zero,
bond (equal sharing of electron pair(s)
(H2, Cl2, O2, F2, N2)
• If the difference is >0 and <1.9, have a
:
HCl (3.0 - 2.1); HF (4.0-2.1);
OH (3.5-2.1)
• If the difference is > 1.9, have
NaCl (3.0-0.9); CaO (3.5-
1.0)
Classify as ionic or covalent
• NaCl
• CO
• ICl
• H2
• Which bond is the most polar (most ionic),
which the least polar (most covalent)?
• Li-F Be-F B-F C-F N-F O-F F-
F
• Classify the following bonds as ionic,
polar covalent, or covalent.
A) the CC bond in
H3CCH3
• B) the KI bond in KI
• C) the NB bond in H3NBCl3
• D) the CF bond in CF4
Chemical formulas
• Express composition of molecules (smallest
unit of covalent cmpds) and ionic
compounds in chemical symbols
– H2O, NaCl
Writing formulas for ionic cmpds
• Compounds are neutral overall. Therefore
– NaCl is array of Na+
and Cl-
ions
– Na2S is array of Na+
and S2-
ions
Predict the formulas for the cmpd
formed btn
• Potassium and chlorine
• Magnesium and bromine
• Magnesium and nitrogen
Symbol Name Symbol Name
H+
Hydrogen ion H-
Hydride ion
Li+
Lithium ion F-
Fluoride ion
Na+
Sodium ion Cl-
Chloride ion
K+
Potassium ion Br-
Bromide ion
Be2+
Beryllium ion I-
Iodide ion
Mg2+
Magnesium
ion O2-
Oxide ion
Ca2+
calcium ion S2-
Sulfide ion
Ba2+
barium ion N3-
Nitride ion
Zn2+
zinc ion P3-
Phosphide ion
Formula Name Formula Name
NO3
-
nitrate CO3
2-
carbonate
NO2
-
nitrite SO4
2-
sulfate
CN-
cyanide SO3
2-
sulfite
MnO4
-
permanganate PO4
3-
phosphate
OH-
hydroxide PO3
3-
phosphite
O2
2-
peroxide ClO4
-
perchlorate
HCO3
-
hydrogen carbonate ClO3
-
chlorate
HSO4
-
hydrogen sulfate ClO2
-
chlorite
HSO3
-
hydrogen sulfite ClO-
hypochlorite
HPO4
2-
hydrogen phosphate CrO4
2-
chromate
H2
PO4
-
dihydrogen phosphate C2
H3
O-
2 acetate
Symbol (Stock system) Common Symbol (Stock system) Common
Cu+
copper(I) cuprous Hg2
2+
mercury(I) mercurous
Cu2+
copper(II) cupric Hg2+
mercury(II) mercuric
Fe2+
iron(II) ferrous Pb2+
lead(II) plumbous
Fe3+
iron(III) ferric Pb4+
lead(IV) plumbic
Sn2+
tin(II) stannous Co2+
cobalt(II) cobaltous
Sn4+
tin(IV) stannic Co3+
cobalt(III) cobaltic
Cr2+
chromium(II) chromous Ni2+
nickel(II) nickelous
Cr3+
chromium(III) chromic Ni4+
nickel(IV) nickelic
Mn2+
manganese(II) manganous Au+
gold(I) aurous
Mn3+
manganese(III) manganic Au3+
gold(III) auric
Polyatomic ions Table
• Just have to memorize
• NH4
+
ammonium ion
• CO3
2-
carbonate ion
• CN-
cyanide ion
• HCO3
-
hydrogen (or bi) carbonate ion
• OH-
hydroxide
• NO3
-
nitrate ion
• NO2
-
nitrite ion
• PO4
3-
phosphate ion
• SO4
2-
sulfate ion
• HSO4
-
hydrogen sulfate ion
• SO3
2-
sulfite ion
• CH3COO-
(C2H3O2
-
) acetate ion
• These polyatomic ions also form ionic
cmpds when they are reacted with a metal
or a nonmetal in the case of the ammonium
ion (or with each other as ammonium
sulfate). These polyatomic species act as a
• So the formula for the cmpd formed btn the
ammonium ion and sulfur would be:
•
•
• and between calcium and the phosphate ion:
•
• Ionic cmpds do not exist in discrete pairs of
ions. Instead, in the solid state, they exist as
a three dimensional array--crystal lattice --
of cations and anions--are neutral overall,
Given name, write formula
• potassium oxide
• magnesium acetate
Naming ionic cmpds
• Name the cation and anion but drop the
word ion from both. This includes the
polyatomic ions.
• Na2S
• Ca3N2
Name
• Na3PO4
• NH4Cl
• K2S
Cations with more than one
charge
• Cu+
copper(I); Cu2+
copper(II)
• So Cu2O is
and
• CuO is
Given name, write formula
• Ammonium chloride
• potassium cyanide
• silver oxide
• Magnesium chloride
• Sodium sulfate
• Iron(II) chloride
To name covalent cmpds
• Name the parts as for ionic cmpds (CO:
carbon and oxide) but tell how many of
each kind of atom by use of Greek prefixies.
(Table 4.4)
• The mono- (for 1) may be omitted for the
first element
• Prefix meaning
• Mono- 1
• Di- 2
• Tri- 3
• Tetra- 4
• Penta- 5
• Hexa- 6
• Hepta- 7
• Octa- 8
• Nona- 9
• Deca- 10
• CO
•
• CO2
• P4S10
•
• Boron trichloride
• Water H2O Ammonia NH3
Write formula
• Diboron trichloride
• Sulfur trioxide
• Potassium sulfide
Covalent cmpds
• Remember covalent cmpds--
• A _________ is the smallest unit of a covalent
cmpd that retains the characteristics of the cmpd.
Molecule - two or more atoms in a definite
arrangement held together by chemical bonds.
(H2O, Cl2) [Cl2 is considered a molecule but not a
cmpd]
• Molecular cmpds exist as
Comparison of properties of ionic
and covalent cmpds
• Physical state:
• Ionic cmpds are
• Molecular cmpds can be
Comparison continued
• Melting (___________) and
boiling (_________) pts
• In general the melting and boiling temps are
much _______for ionic cmpds than for
molecular (covalent) cmpds. The ionic bond
is very strong and requires a lot of (heat)
energy to break the bond. The bond btn
molecular species is not as strong.
Comparison continued
• Structure in solid state:
• Ionic solids--
• Covalent solids--
Comparison continued
• In aqueous (H2O) solution:
• Ionic cmpds dissociate into the
• Many covalent cmpds when dissolved in
water retain their structure and molecular
identity
• Learn the names, formulas, charges, etc for
those ions highlighted in table 4.3.
• HCO3
-
: you should learn as bicarbonate
Writing Lewis structures for
covalent species
• These rules are for covalently bonded cmpds
only (btn 2 or more nonmetals)
• Do not use them for ionic cmpds.
• 1. Count the total no. of valence electrons (the
group no. is equal to the no. of valence
electrons).
• if the species is an anion, increase the no. of
valence electrons by the charge on the ion
• if the species is a cation, subtract the charge
of the cation from the total no. of valence
electrons.
• 2.Count the total no. of atoms, excluding H,
in the molecule or ion. Multiply that no. by 8.
• Exception: multiply the no. of H’s by 2.
• This tells you how many electrons you would
need if you were putting 8 electrons around
all atoms without any sharing of electrons
(and 2 around all H’s).
• 3. Subtract the no. of e-’s calculated in step 1
from the no. in step 2. This gives you the no.
of e-’s that must be shared to get an octet
around all atoms in the molecule.
• 4. no. of e-’s that must be shared /2 gives you
the no. of bonds.
• 5. subtract the no. of e-’s that are shared (from
step 3) from the total no. of valence e-’s. This
gives you the no. of unshared e-’s.
• If you divide the no. of unshared e-’s by 2 you
get the no. of lone pairs.
• Write the skeletal structure and fill in with
the info you came up with. After you’ve put
in the # bonds calculated, fill in the octets.
• H (and F) form only one bond. Therefore
they can only be terminal atoms in a
structure.
• So you can not have
• C---H---C
• It has to be H---C--C
• Examples
• CH4
• PCl3
• SO3
2-
• NO3
-
• CN-
• COBr2 (C is bonded to O and Br atoms)
• SO2
• H3O+
(hydronium ion
• N3
-
Draw Lewis structure of CO2
i) Valence electrons: 4 + 2 x 6 = 16 ( 8 pairs)
ii) Central atom C; O -- C -- O
iii) Give octet to carbon
--
O -- C -- O
--
Try to fill octet to O
iv) Count electrons:
4 bond pairs = 4 pairs
4 lone pairs = 4 pairs
8 electron pairs
Multiple bonds
• In general a triple bond (N2) is ________
than a double bond (O2) which is
________than a single bond (F2).
• Bond order: BO of 1--single bond, BO of
2-- -double bond, BO of 3 --triple bond.
• The stronger the bond,
Terminology used in describing Lewis structures of molecule
Bond pairs: An electron pair shared by two atoms in a bond.
Lone pair: An electron pair found solely on a single atom.
Single covalent bond -
Bond between two atoms when they shared 1 pair
Double covalent bond –
Bond between two atoms when they shared 2 pairs.
Triple covalent bond –
Bond between two atoms when they shared 3 pairs.
Lewis Structure, Stability, Multiple Bonds, and Bond Energies
Bond order
The stability of a covalent compound is related to the bond energy.
The magnitude of the bond energy increases and the bond length
decreases in the order: single bond > double bond > triple bond.
Bond Energy order: single < double < triple
Bond length order: single (1) < double (2) < triple (3)
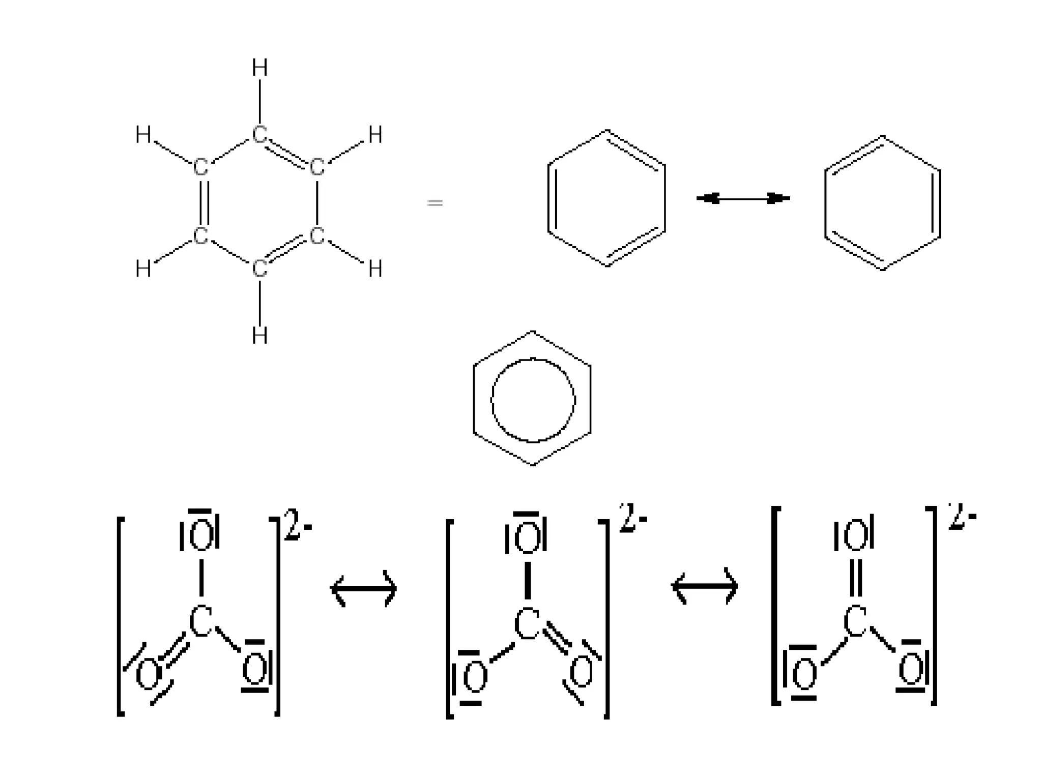
Resonance
• Resonance structure –1 of 2 or more Lewis
structures for a molecule (ion) that can’t be
represented with a single structure
• Resonance – use of
• Each resonance structure contributes to the
actual structure
– no single structure is a complete description
– positions of atoms must be the same in each,
only electrons are moved around
– actual structure is an “average”
• Draw resonance structures for SO3 and N3
-
.
Exceptions to Octet Rule
There are three classes of exceptions to the octet rule.
1) Molecules with an odd number of electrons;
2) Molecules in which one atom has less than an octet;
3) Molecules in which one atom has more than an
octet.
Let’s do Lewis structures for
• CO2 (CS2)
• O3 (SO2)
• I3
-
3D structure of species
• Electrostatic forces in ionic bonds is
_____________. But species with covalent
bonds have electron pairs concentrated btn
2 atoms and is ..
• We use VESPR theory to predict the shape
of the covalently bound species.
VSEPR theory
VSEPR
• Most stable geometry is one in which
electron pairs (electron clouds) are as
Shapes of molecules (3D)
• The geometry is determined by the atoms present
in the species. See atoms that are bonded to other
atoms. Don’t “see” lone pairs but they influence
geometry
• I. Diatomics (2 atoms only): always ________
• H2, HCl, CO X----X
• II. Polyatomic (3 or more atoms) species:
Use VSEPR model to predict
shapes
Steps in applying VSEPR
• 1. Do Lewis structure
• 2. Count total e- pairs (clouds) around
central atom (A). Multiple bonds count as
one electron pair (cloud). In reality multiple
bonds are bigger than single bonds (electron
clouds larger).
• 3. Separate e- pairs into bonded pairs (B)
and lone pairs (E)
• 4. Apply table that I give you.
• 5. Remember that lone pairs of e-’s are
invisible, but their presence affects the
final molecular geometry!!!!!
• Lone e- pair-lone e-pairs are more repulsive
than bonded pair-lone pair repulsions or
bonded pair-bonded pair repulsions.
VSEPR: valence shell electron pair
repulsion
• 2 electron clouds around a central atom (A)
2 electron clouds
Three electron clouds
Three electron clouds
Four electron clouds
Table 4.5 (changed)
• # e # bonded #lone pairs geom angle
clouds pairs pairs
• 2
• 3
• 3
• 4
• 4
• 4
Predict geometry
• H2S
• SO2
• CO2
• CF4
• H2CO
• ClO3
-
• ClO2
-
Polar vs nonpolar cmpds
• A molecule is polar if its centers of positive and
negative charges do not coincide. If a molecule is
polar we say that it acts as a dipole. In an electric
field nonpolar molecules (positive and negative
centers coincide) do not align with the field but
polar molecules do.
• Next we will see why this happens and the
implications.
Molecules are subjected to electric field
Polar molecules align with field
Nonpolar molecules are not affected
Polar molecules
• I. Diatomics, A-B
• a.If A = B have homonuclear diatomic;
has
• b. A ≠ B have heteronuclear diatomic
II. Polyatomic species are more complicated.
• Let’s look at VSEPR cases considered.
• General rule (my rule):
Which of these are polar?
• H2S
• SO2
• CO2
• CF4
• AlCl3
• CHCl3
• SCl2
Properties based on electronic
structure and molecular geometry
• Intramolecular forces: within a molecule--
bonds
• Intermolecular forces: between molecules--
these determine important properties as
melting and boiling points and solubility
Solubility
• Like dissolves like:
• Polar cmpds dissolve in polar solvents
as ionic and polar cmpds (HCl)
in water
• Nonpolar cmpds dissolve in nonpolar
solvents: oils in CCl4
Melting and boiling points
• Stronger the intermolecular forces the
higher the melting and boiling points
• In general for cmpds of similar weight:
polar moleculaes have stonger forces than
nonpolar cmpds
• In general for similar structure the greater
the mass the stronger the forces
Which have higher melting
(boiling pts)
• CO and NO
• F2 and Br2
• CH3CH2OH and CH3CH3

Structure and properties of ionic and covalent compounds.ppt

  • 1.
    CHEM 120: Introductionto CHEM 120: Introduction to Inorganic Chemistry Inorganic Chemistry Instructor: Upali Siriwardane (Ph.D., Ohio State University) CTH 311, Tele: 257-4941, e-mail: upali@chem.latech.edu Office hours: 10:00 to 12:00 Tu & Th ; 8:00- 9:00 and 11:00-12:00 M,W,& F
  • 2.
    Chapters Covered andTest dates Chapters Covered and Test dates • Tests will be given in regular class periods from 9:30-10:45 a.m. on the following days: September 22, 2004 (Test 1): Chapters 1 & 2 • October 6, 2004(Test 2): Chapters 3, & 4 • October 20, 2004 (Test 3): Chapter 5 & 6 • November 3, 2004 (Test 4): Chapter 7 & 8 • November 15, 2004 (Test 5): Chapter 9 & 10 • November 17, 2004 MAKE-UP: Comprehensive test (Covers all chapters • Grading: • [( Test 1 + Test 2 + Test3 + Test4 + Test5)] x.70 + [ Homework + quiz average] x 0.30 = Final Average • 5
  • 3.
    Chapter 4: Structureand properties of ionic and covalent compounds We now put atoms and ions together to form compounds
  • 4.
    Chapter 4. Structureand Properties of Ionic and Covalent Compounds 1. Classify compounds as ionic, covalent, or polar covalent bonds. 2. Write the formulas of compounds when provided with the name of the compound. 3. Name common inorganic compounds using standard conventions and recognize the common names of frequently used substances. 4. Predict the differences in physical state, melting and boiling points, solid-state structure, and solution chemistry that result from differences in bonding. 5. Draw Lewis structures for covalent compounds and polyatomic ions. 6. Describe the relationship between stability and bond energy. 7. Predict the geometry of molecules and ions using the octet rule and Lewis structure. 8. Understand the role that molecular geometry plays in determining the solubility and melting and boiling points of compounds. 9. Use the principles of VSEPR theory and molecular geometry to predict relative melting points, boiling points, and solubilities of compounds.
  • 5.
    Start learning theformulas and the names and charges of the ions found in table
  • 6.
    • Why havewe been so interested in where the electrons are in an atom? And what is the importance of valence electrons? • Valence e’s are involved in_______--the no of valence e’s has an important influence on ______ of bonds formed. The filled inner core does not directly affect bond formation.
  • 7.
    Compound • Bonds areformed by a transfer of ________ from one atom to another or by a ______ _________ between 2 atoms.
  • 8.
  • 9.
    Lewis (dot) symbols •Introduced by G. N. Lewis • Useful for representative (sp block) elements only • Group no. = no of valence e-’s (no of dots)
  • 10.
    Lewis symbols forA groups • The elements’ symbol represents the inner core of electrons. Put a dot for each valence electron around the symbol. • Remember that the no. of valence electrons for the A groups is equal to ? • Each unpaired electron may be used in bond formation
  • 11.
    Remember the octetrule from chapter 3 • So the ions formed by the elements in: • IA • IIA • IIIA • VA • VIA • VIIIA
  • 13.
    Ionic bonding • Extrastability has been noted for the noble gas configuration (8 e-s in valence shell)-- (for A elements) • Ionic bonding • Each atom in the ionic bond
  • 14.
    • Ionic compoundsare formed between • And • When forming an ionic bond each atom in the bond attains a noble gas configuration by a “complete” transfer of
  • 15.
    • An ionicbond is the electrostatic force that holds ions together in an ionic compound • An ionic bond is a very strong bond; ionic cmpds have high m and b pts.
  • 16.
    Typical ionic reactionswith Lewis structures + - Na + F Na F
  • 17.
    What about Liand S? + 2- Li + S 2 Li S 2
  • 18.
    What about Caand O • Formula is
  • 19.
    What about Caand N? • Formula is
  • 20.
    Covalent bonding • Notall bonds are ionic. • ________ bonds are bonds in which two (or more) electrons are ______ by two atoms. • One shared electron pair is
  • 22.
    • A reminder: •Only valence electrons are involved in bonding. Group No. = # valence e-s for A elements. • Covalent bonds are formed • Each atom in bond attains noble gas configuration by sharing of e- pairs (H2 bond only has 2 e-’s)
  • 23.
    Covalent bond formation •Look at formation of H2 molecule. • H. + . H ----> H:H (H-H) 1s1 1s1 bond formed by overlap of 1s orbitals
  • 24.
  • 25.
    ____ _____ -pairs of valence electrons not involved in covalent bond formation Lewis structure - representation of covalent bonding in which lone pairs are shown as pairs of dots and bonding pairs are (usually) shown as lines Cl Cl 2 Cl Cl Cl or Lone pairs Bonding pairs Usual representation
  • 26.
    Polar covalent bondingand electronegativity • Not all covalent bonds are formed btn the same 2 atoms (as H2, homonuclear diatomic: _______sharing of e-’s in bond)
  • 27.
    Polar covalent bonds •What about the bond in H-F? • It is known that F is more likely to attract e-’s to itself than H, leading to an unequal sharing of the e- pair. • The covalent bond in which there is unequal sharing:
  • 28.
    H F F H Polarcovalent bond or polar bond is a covalent bond with greater electron density around one of the two atoms electron rich region electron poor region e- rich e- poor + - 9.5
  • 29.
    H Cl Cl Cl +- Na Cl Continuum of bond polarity •(Nearly) complete e- transfer = ionic bond •Unequal sharing of e- pair = polar covalent bond. e-s are polarized toward Cl •Equal sharing of e- pair = nonpolar covalent bond
  • 30.
    Electronegativity • Electronegativity: • . •Eneg is a relative concept. Elements with
  • 31.
  • 32.
    Electronegativity differences • 0.2- 0.5 will be a ________________ bond • 0.5 - 1.6 will be a ________________ bond • > 1.6 will be a ________________ bond
  • 33.
    Electronegativity differences • Ingeneral the _______ the difference in eneg btn the 2 atoms in the bond, the ____ ______ the bond. • If the difference is zero, bond (equal sharing of electron pair(s) (H2, Cl2, O2, F2, N2)
  • 34.
    • If thedifference is >0 and <1.9, have a : HCl (3.0 - 2.1); HF (4.0-2.1); OH (3.5-2.1) • If the difference is > 1.9, have NaCl (3.0-0.9); CaO (3.5- 1.0)
  • 35.
    Classify as ionicor covalent • NaCl • CO • ICl • H2
  • 36.
    • Which bondis the most polar (most ionic), which the least polar (most covalent)? • Li-F Be-F B-F C-F N-F O-F F- F
  • 37.
    • Classify thefollowing bonds as ionic, polar covalent, or covalent. A) the CC bond in H3CCH3 • B) the KI bond in KI • C) the NB bond in H3NBCl3 • D) the CF bond in CF4
  • 38.
    Chemical formulas • Expresscomposition of molecules (smallest unit of covalent cmpds) and ionic compounds in chemical symbols – H2O, NaCl
  • 39.
    Writing formulas forionic cmpds • Compounds are neutral overall. Therefore – NaCl is array of Na+ and Cl- ions – Na2S is array of Na+ and S2- ions
  • 40.
    Predict the formulasfor the cmpd formed btn • Potassium and chlorine • Magnesium and bromine • Magnesium and nitrogen
  • 42.
    Symbol Name SymbolName H+ Hydrogen ion H- Hydride ion Li+ Lithium ion F- Fluoride ion Na+ Sodium ion Cl- Chloride ion K+ Potassium ion Br- Bromide ion Be2+ Beryllium ion I- Iodide ion Mg2+ Magnesium ion O2- Oxide ion Ca2+ calcium ion S2- Sulfide ion Ba2+ barium ion N3- Nitride ion Zn2+ zinc ion P3- Phosphide ion
  • 43.
    Formula Name FormulaName NO3 - nitrate CO3 2- carbonate NO2 - nitrite SO4 2- sulfate CN- cyanide SO3 2- sulfite MnO4 - permanganate PO4 3- phosphate OH- hydroxide PO3 3- phosphite O2 2- peroxide ClO4 - perchlorate HCO3 - hydrogen carbonate ClO3 - chlorate HSO4 - hydrogen sulfate ClO2 - chlorite HSO3 - hydrogen sulfite ClO- hypochlorite HPO4 2- hydrogen phosphate CrO4 2- chromate H2 PO4 - dihydrogen phosphate C2 H3 O- 2 acetate
  • 44.
    Symbol (Stock system)Common Symbol (Stock system) Common Cu+ copper(I) cuprous Hg2 2+ mercury(I) mercurous Cu2+ copper(II) cupric Hg2+ mercury(II) mercuric Fe2+ iron(II) ferrous Pb2+ lead(II) plumbous Fe3+ iron(III) ferric Pb4+ lead(IV) plumbic Sn2+ tin(II) stannous Co2+ cobalt(II) cobaltous Sn4+ tin(IV) stannic Co3+ cobalt(III) cobaltic Cr2+ chromium(II) chromous Ni2+ nickel(II) nickelous Cr3+ chromium(III) chromic Ni4+ nickel(IV) nickelic Mn2+ manganese(II) manganous Au+ gold(I) aurous Mn3+ manganese(III) manganic Au3+ gold(III) auric
  • 45.
    Polyatomic ions Table •Just have to memorize • NH4 + ammonium ion • CO3 2- carbonate ion • CN- cyanide ion • HCO3 - hydrogen (or bi) carbonate ion • OH- hydroxide
  • 46.
    • NO3 - nitrate ion •NO2 - nitrite ion • PO4 3- phosphate ion • SO4 2- sulfate ion • HSO4 - hydrogen sulfate ion • SO3 2- sulfite ion • CH3COO- (C2H3O2 - ) acetate ion
  • 47.
    • These polyatomicions also form ionic cmpds when they are reacted with a metal or a nonmetal in the case of the ammonium ion (or with each other as ammonium sulfate). These polyatomic species act as a
  • 48.
    • So theformula for the cmpd formed btn the ammonium ion and sulfur would be: • • • and between calcium and the phosphate ion: •
  • 49.
    • Ionic cmpdsdo not exist in discrete pairs of ions. Instead, in the solid state, they exist as a three dimensional array--crystal lattice -- of cations and anions--are neutral overall,
  • 50.
    Given name, writeformula • potassium oxide • magnesium acetate
  • 51.
    Naming ionic cmpds •Name the cation and anion but drop the word ion from both. This includes the polyatomic ions. • Na2S • Ca3N2
  • 52.
  • 53.
    Cations with morethan one charge • Cu+ copper(I); Cu2+ copper(II) • So Cu2O is and • CuO is
  • 54.
    Given name, writeformula • Ammonium chloride • potassium cyanide • silver oxide • Magnesium chloride • Sodium sulfate • Iron(II) chloride
  • 55.
    To name covalentcmpds • Name the parts as for ionic cmpds (CO: carbon and oxide) but tell how many of each kind of atom by use of Greek prefixies. (Table 4.4) • The mono- (for 1) may be omitted for the first element
  • 56.
    • Prefix meaning •Mono- 1 • Di- 2 • Tri- 3 • Tetra- 4 • Penta- 5 • Hexa- 6 • Hepta- 7 • Octa- 8 • Nona- 9 • Deca- 10
  • 57.
    • CO • • CO2 •P4S10 • • Boron trichloride • Water H2O Ammonia NH3
  • 58.
    Write formula • Diborontrichloride • Sulfur trioxide • Potassium sulfide
  • 59.
    Covalent cmpds • Remembercovalent cmpds-- • A _________ is the smallest unit of a covalent cmpd that retains the characteristics of the cmpd. Molecule - two or more atoms in a definite arrangement held together by chemical bonds. (H2O, Cl2) [Cl2 is considered a molecule but not a cmpd] • Molecular cmpds exist as
  • 60.
    Comparison of propertiesof ionic and covalent cmpds • Physical state: • Ionic cmpds are • Molecular cmpds can be
  • 61.
    Comparison continued • Melting(___________) and boiling (_________) pts • In general the melting and boiling temps are much _______for ionic cmpds than for molecular (covalent) cmpds. The ionic bond is very strong and requires a lot of (heat) energy to break the bond. The bond btn molecular species is not as strong.
  • 62.
    Comparison continued • Structurein solid state: • Ionic solids-- • Covalent solids--
  • 63.
    Comparison continued • Inaqueous (H2O) solution: • Ionic cmpds dissociate into the • Many covalent cmpds when dissolved in water retain their structure and molecular identity
  • 64.
    • Learn thenames, formulas, charges, etc for those ions highlighted in table 4.3. • HCO3 - : you should learn as bicarbonate
  • 65.
    Writing Lewis structuresfor covalent species • These rules are for covalently bonded cmpds only (btn 2 or more nonmetals) • Do not use them for ionic cmpds. • 1. Count the total no. of valence electrons (the group no. is equal to the no. of valence electrons). • if the species is an anion, increase the no. of valence electrons by the charge on the ion
  • 66.
    • if thespecies is a cation, subtract the charge of the cation from the total no. of valence electrons. • 2.Count the total no. of atoms, excluding H, in the molecule or ion. Multiply that no. by 8. • Exception: multiply the no. of H’s by 2. • This tells you how many electrons you would need if you were putting 8 electrons around all atoms without any sharing of electrons (and 2 around all H’s).
  • 67.
    • 3. Subtractthe no. of e-’s calculated in step 1 from the no. in step 2. This gives you the no. of e-’s that must be shared to get an octet around all atoms in the molecule. • 4. no. of e-’s that must be shared /2 gives you the no. of bonds. • 5. subtract the no. of e-’s that are shared (from step 3) from the total no. of valence e-’s. This gives you the no. of unshared e-’s. • If you divide the no. of unshared e-’s by 2 you get the no. of lone pairs.
  • 68.
    • Write theskeletal structure and fill in with the info you came up with. After you’ve put in the # bonds calculated, fill in the octets. • H (and F) form only one bond. Therefore they can only be terminal atoms in a structure. • So you can not have • C---H---C • It has to be H---C--C
  • 69.
    • Examples • CH4 •PCl3 • SO3 2- • NO3 - • CN- • COBr2 (C is bonded to O and Br atoms) • SO2 • H3O+ (hydronium ion • N3 -
  • 70.
    Draw Lewis structureof CO2 i) Valence electrons: 4 + 2 x 6 = 16 ( 8 pairs) ii) Central atom C; O -- C -- O iii) Give octet to carbon -- O -- C -- O -- Try to fill octet to O iv) Count electrons: 4 bond pairs = 4 pairs 4 lone pairs = 4 pairs 8 electron pairs
  • 71.
    Multiple bonds • Ingeneral a triple bond (N2) is ________ than a double bond (O2) which is ________than a single bond (F2). • Bond order: BO of 1--single bond, BO of 2-- -double bond, BO of 3 --triple bond. • The stronger the bond,
  • 72.
    Terminology used indescribing Lewis structures of molecule Bond pairs: An electron pair shared by two atoms in a bond. Lone pair: An electron pair found solely on a single atom. Single covalent bond - Bond between two atoms when they shared 1 pair Double covalent bond – Bond between two atoms when they shared 2 pairs. Triple covalent bond – Bond between two atoms when they shared 3 pairs. Lewis Structure, Stability, Multiple Bonds, and Bond Energies Bond order The stability of a covalent compound is related to the bond energy. The magnitude of the bond energy increases and the bond length decreases in the order: single bond > double bond > triple bond. Bond Energy order: single < double < triple Bond length order: single (1) < double (2) < triple (3)
  • 73.
    Resonance • Resonance structure–1 of 2 or more Lewis structures for a molecule (ion) that can’t be represented with a single structure • Resonance – use of
  • 75.
    • Each resonancestructure contributes to the actual structure – no single structure is a complete description – positions of atoms must be the same in each, only electrons are moved around – actual structure is an “average”
  • 76.
    • Draw resonancestructures for SO3 and N3 - .
  • 77.
    Exceptions to OctetRule There are three classes of exceptions to the octet rule. 1) Molecules with an odd number of electrons; 2) Molecules in which one atom has less than an octet; 3) Molecules in which one atom has more than an octet.
  • 78.
    Let’s do Lewisstructures for • CO2 (CS2) • O3 (SO2) • I3 -
  • 79.
    3D structure ofspecies • Electrostatic forces in ionic bonds is _____________. But species with covalent bonds have electron pairs concentrated btn 2 atoms and is .. • We use VESPR theory to predict the shape of the covalently bound species.
  • 80.
  • 81.
    VSEPR • Most stablegeometry is one in which electron pairs (electron clouds) are as
  • 82.
    Shapes of molecules(3D) • The geometry is determined by the atoms present in the species. See atoms that are bonded to other atoms. Don’t “see” lone pairs but they influence geometry • I. Diatomics (2 atoms only): always ________ • H2, HCl, CO X----X
  • 83.
    • II. Polyatomic(3 or more atoms) species: Use VSEPR model to predict shapes
  • 84.
    Steps in applyingVSEPR • 1. Do Lewis structure • 2. Count total e- pairs (clouds) around central atom (A). Multiple bonds count as one electron pair (cloud). In reality multiple bonds are bigger than single bonds (electron clouds larger).
  • 85.
    • 3. Separatee- pairs into bonded pairs (B) and lone pairs (E) • 4. Apply table that I give you. • 5. Remember that lone pairs of e-’s are invisible, but their presence affects the final molecular geometry!!!!! • Lone e- pair-lone e-pairs are more repulsive than bonded pair-lone pair repulsions or bonded pair-bonded pair repulsions.
  • 86.
    VSEPR: valence shellelectron pair repulsion • 2 electron clouds around a central atom (A)
  • 87.
  • 88.
  • 89.
  • 90.
  • 91.
    Table 4.5 (changed) •# e # bonded #lone pairs geom angle clouds pairs pairs • 2 • 3 • 3 • 4 • 4 • 4
  • 92.
    Predict geometry • H2S •SO2 • CO2 • CF4 • H2CO • ClO3 - • ClO2 -
  • 93.
    Polar vs nonpolarcmpds • A molecule is polar if its centers of positive and negative charges do not coincide. If a molecule is polar we say that it acts as a dipole. In an electric field nonpolar molecules (positive and negative centers coincide) do not align with the field but polar molecules do. • Next we will see why this happens and the implications.
  • 94.
    Molecules are subjectedto electric field Polar molecules align with field Nonpolar molecules are not affected
  • 95.
    Polar molecules • I.Diatomics, A-B • a.If A = B have homonuclear diatomic; has • b. A ≠ B have heteronuclear diatomic
  • 96.
    II. Polyatomic speciesare more complicated. • Let’s look at VSEPR cases considered. • General rule (my rule):
  • 97.
    Which of theseare polar? • H2S • SO2 • CO2 • CF4 • AlCl3 • CHCl3 • SCl2
  • 98.
    Properties based onelectronic structure and molecular geometry • Intramolecular forces: within a molecule-- bonds • Intermolecular forces: between molecules-- these determine important properties as melting and boiling points and solubility
  • 99.
    Solubility • Like dissolveslike: • Polar cmpds dissolve in polar solvents as ionic and polar cmpds (HCl) in water • Nonpolar cmpds dissolve in nonpolar solvents: oils in CCl4
  • 100.
    Melting and boilingpoints • Stronger the intermolecular forces the higher the melting and boiling points • In general for cmpds of similar weight: polar moleculaes have stonger forces than nonpolar cmpds • In general for similar structure the greater the mass the stronger the forces
  • 101.
    Which have highermelting (boiling pts) • CO and NO • F2 and Br2 • CH3CH2OH and CH3CH3