Распознавание изображения в условиях зашумленности Дипломная работа Выполнил студент 155 гр. Потолицын Александр Михайлович Научный руководитель: Зав. Кафедрой, д.т.н., профессор Никитенков Владимир Леонидович Сыктывкарский Государственный Университет Математический факультет Кафедра прикладной математики Сыктывкар, 2009г
Определение изображения Определим входящее изображение как  функцию  , где  x  и  y  – пространственные координаты,  f  - интенсивность яркости в этой точке. Эта функция всегда дискретна на цифровых компьютерах, т.е.  , где  - множество натуральных чисел, включающее ноль.
Исходное изображение
Этап  I:  детекция краёв Предполагаем, что область с номером это область с большим количеством контрастов вида «чёрный / белый» Строим свёртку изображения для обнаружения мест со значительным градиентом Строим графики изменения величины градиента Выбираем наиболее удачные участки
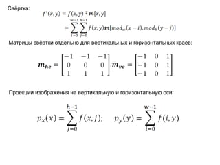
Свёртка: ;  Матрицы свёртки отдельно для вертикальных и горизонтальных краев: Проекции изображения на вертикальную и горизонтальную оси:
Сглаженный график градиента
Вертикальные края и график градиента
Полоса это некоторый прямоугольник:
Выбор потенциальных областей
Результат выбора
Двухфазное выделение пластин на полосах Фаза  I: Аналогична описанным выше шагам нахождения горизонтальный полос, только теперь «полосы» вертикальны Фаза  II: Имеет место уже после выпрямления пластин. Здесь проводится анализ производной графика проекции отдельно полосы.
Итог первой фазы выделения
Примеры фрагментов с номерами
Выпрямление номера основывается на предположении о существовании длинных тёмных линий вблизи номера. Используется так называемый  RANSAC  алгоритм.
 
Уточнение ( Вторая фаза выделения пластины ) Необходимо найти самый «лучший» переход вида «чёрный-к-белому» и «белый-к-чёрному». Для этого мы строим производную дискретной функции графика проекции отдельного фрагмента и исследуем её на наибольшее и наименьшее значение.
,
 
Примеры выпрямленных и уточнённых пластин
Выбор лучшего кандидата 1. Выделить возможные кандидаты в номерные пластины. 2. Отсортировать их в соответствии с их стоимостью ( определённой основными эвристиками ) 3. Взять первую пластину из списка с наибольшей стоимостью 4. Сегментировать и проанализировать её глубоким анализом (затратная операция) 5. Если глубокий анализ даёт отрицательный результат, то возвращаемся к п.3
Оценка кандидата: Высота полосы в пикселях. Пластины с меньшей высотой предпочтительнее - это наибольший из всех пиков вертикальной проекции снимка, соответствующий исследуемой полосе. Полосы с большим количеством вертикальных краев предпочтительнее Эвристика подобная предыдущей, но она учитывает не только наибольшее значение, но и площадь под графиком между координатами полосы . Эти точки определяют вертикальное положение оцениваемой полосы. Оценка пропорций пластины. Предполагаем, что оптимальное соотношение высоты к ширине 1:5.
Глубокий анализ Бинаризация пластины Сегментация пластины на отдельные символы Извлечение полезной информации о символах Статистический анализ и как результат принятие или отсев кандидата
Бинаризация изображения Бинаризация посредством глобального порога Бинаризация посредством локального порога Локальные бинаризации Бернсена или Ниблека
Разбиение на символы по интенсивности изображения
Результат успешной бинаризации и выделения компонент связности из чёрно-белой пластины
Статистический анализ кандидатов , H(b) –  гистограмма  яркости пластины , , и - значения ярчайшего и темнейшего пикселей кандидата
Текущее состояни В результате работы всех вышеописанных алгоритмов мы имеем некоторый набор кластеров чёрных и белых пикселей, теперь перед нами встаёт проблема оптического распознавания  символов. Т.е. вместо набора кластеров нам необходимо получить текстовое представление имеющейся информации. Решением этой проблемы будет заниматься нейронная сеть.
Подача информации на сеть распознавания
Характеристики сети Использована аналоговая нейронная сеть прямого распространения с динамическими связями для обучения с «учителем», с многократным просмотром обучающей выборки ( многослойный перцептрон ) 42 скрытых слоя 800 входящих и 22 выходящих сигнала Обучение на искусственно созданном множестве символов, охватывающем всевозможные искажения входящих символов
Программная реализация
Численный эксперимент:  Размытие по Гауссу ;
Примеры размытия
СПИСОК ИСПОЛЬЗОВАННОЙ ЛИТЕРАТУРЫ  Алгоритмы. Построение и анализ. /  Т. Кормен, Ч. Лейзерсон, Р. Ривест и др. 1296  a с. Изд. Вильямс, 2007. ISBN 5-8459-0857-4, 0-07-013151-1. Д. Форсайт, Ж. Понс.  Компьютерное зрение. Современный подход. . 928 с. Изд.  Вильямс, 2004. ISBN 5-8459-0542-7, 0-13-085198-1 С. Рассел, П. Норвиг. Искусственный интеллект. Современный подход. 1408 с.  Изд. Вильямс, 2007. ISBN   5-8459-0887-2, 0-13-790395-2 978-5-8459-0887-1 В.Н. Вапник,  А.Я. Червоненкис. Теория распознавания образов. 415 с. М.: Наука, 1974. Ondrej Martinsky. Algorithmic and mathematical principles of automatic number plate recognition systems. B. SC. Thesis. BRNO University of Technogoly. BRNO, 2007. С . К . Chow,  T. Kaneko. Automatic Boundary Detection of the Left Ventricle from   Cincangiograms. // Biomed. Res., vol. 5. pp. 388-410,1972 . Д. Рутковская. Нейронные сети, генетические алгоритмы и нечёткие системы. 452 с. Изд. Горячая линия-Телеком ,  2004. А.Д. Закревский. Логика распознавания. Изд. 2. 144 с. Изд. Едиториал УРСС, 2003.
Спасибо за внимание

распознавание автомобильного номера в условиях зашумлённости»

  • 1.
    Распознавание изображения вусловиях зашумленности Дипломная работа Выполнил студент 155 гр. Потолицын Александр Михайлович Научный руководитель: Зав. Кафедрой, д.т.н., профессор Никитенков Владимир Леонидович Сыктывкарский Государственный Университет Математический факультет Кафедра прикладной математики Сыктывкар, 2009г
  • 2.
    Определение изображения Определимвходящее изображение как функцию , где x и y – пространственные координаты, f - интенсивность яркости в этой точке. Эта функция всегда дискретна на цифровых компьютерах, т.е. , где - множество натуральных чисел, включающее ноль.
  • 3.
  • 4.
    Этап I: детекция краёв Предполагаем, что область с номером это область с большим количеством контрастов вида «чёрный / белый» Строим свёртку изображения для обнаружения мест со значительным градиентом Строим графики изменения величины градиента Выбираем наиболее удачные участки
  • 5.
    Свёртка: ; Матрицы свёртки отдельно для вертикальных и горизонтальных краев: Проекции изображения на вертикальную и горизонтальную оси:
  • 6.
  • 7.
    Вертикальные края играфик градиента
  • 8.
    Полоса это некоторыйпрямоугольник:
  • 9.
  • 10.
  • 11.
    Двухфазное выделение пластинна полосах Фаза I: Аналогична описанным выше шагам нахождения горизонтальный полос, только теперь «полосы» вертикальны Фаза II: Имеет место уже после выпрямления пластин. Здесь проводится анализ производной графика проекции отдельно полосы.
  • 12.
  • 13.
  • 14.
    Выпрямление номера основываетсяна предположении о существовании длинных тёмных линий вблизи номера. Используется так называемый RANSAC алгоритм.
  • 15.
  • 16.
    Уточнение ( Втораяфаза выделения пластины ) Необходимо найти самый «лучший» переход вида «чёрный-к-белому» и «белый-к-чёрному». Для этого мы строим производную дискретной функции графика проекции отдельного фрагмента и исследуем её на наибольшее и наименьшее значение.
  • 17.
  • 18.
  • 19.
    Примеры выпрямленных иуточнённых пластин
  • 20.
    Выбор лучшего кандидата1. Выделить возможные кандидаты в номерные пластины. 2. Отсортировать их в соответствии с их стоимостью ( определённой основными эвристиками ) 3. Взять первую пластину из списка с наибольшей стоимостью 4. Сегментировать и проанализировать её глубоким анализом (затратная операция) 5. Если глубокий анализ даёт отрицательный результат, то возвращаемся к п.3
  • 21.
    Оценка кандидата: Высотаполосы в пикселях. Пластины с меньшей высотой предпочтительнее - это наибольший из всех пиков вертикальной проекции снимка, соответствующий исследуемой полосе. Полосы с большим количеством вертикальных краев предпочтительнее Эвристика подобная предыдущей, но она учитывает не только наибольшее значение, но и площадь под графиком между координатами полосы . Эти точки определяют вертикальное положение оцениваемой полосы. Оценка пропорций пластины. Предполагаем, что оптимальное соотношение высоты к ширине 1:5.
  • 22.
    Глубокий анализ Бинаризацияпластины Сегментация пластины на отдельные символы Извлечение полезной информации о символах Статистический анализ и как результат принятие или отсев кандидата
  • 23.
    Бинаризация изображения Бинаризацияпосредством глобального порога Бинаризация посредством локального порога Локальные бинаризации Бернсена или Ниблека
  • 24.
    Разбиение на символыпо интенсивности изображения
  • 25.
    Результат успешной бинаризациии выделения компонент связности из чёрно-белой пластины
  • 26.
    Статистический анализ кандидатов, H(b) – гистограмма яркости пластины , , и - значения ярчайшего и темнейшего пикселей кандидата
  • 27.
    Текущее состояни Врезультате работы всех вышеописанных алгоритмов мы имеем некоторый набор кластеров чёрных и белых пикселей, теперь перед нами встаёт проблема оптического распознавания символов. Т.е. вместо набора кластеров нам необходимо получить текстовое представление имеющейся информации. Решением этой проблемы будет заниматься нейронная сеть.
  • 28.
    Подача информации насеть распознавания
  • 29.
    Характеристики сети Использованааналоговая нейронная сеть прямого распространения с динамическими связями для обучения с «учителем», с многократным просмотром обучающей выборки ( многослойный перцептрон ) 42 скрытых слоя 800 входящих и 22 выходящих сигнала Обучение на искусственно созданном множестве символов, охватывающем всевозможные искажения входящих символов
  • 30.
  • 31.
    Численный эксперимент: Размытие по Гауссу ;
  • 32.
  • 33.
    СПИСОК ИСПОЛЬЗОВАННОЙ ЛИТЕРАТУРЫ Алгоритмы. Построение и анализ. / Т. Кормен, Ч. Лейзерсон, Р. Ривест и др. 1296 a с. Изд. Вильямс, 2007. ISBN 5-8459-0857-4, 0-07-013151-1. Д. Форсайт, Ж. Понс. Компьютерное зрение. Современный подход. . 928 с. Изд. Вильямс, 2004. ISBN 5-8459-0542-7, 0-13-085198-1 С. Рассел, П. Норвиг. Искусственный интеллект. Современный подход. 1408 с. Изд. Вильямс, 2007. ISBN   5-8459-0887-2, 0-13-790395-2 978-5-8459-0887-1 В.Н. Вапник, А.Я. Червоненкис. Теория распознавания образов. 415 с. М.: Наука, 1974. Ondrej Martinsky. Algorithmic and mathematical principles of automatic number plate recognition systems. B. SC. Thesis. BRNO University of Technogoly. BRNO, 2007. С . К . Chow, T. Kaneko. Automatic Boundary Detection of the Left Ventricle from Cincangiograms. // Biomed. Res., vol. 5. pp. 388-410,1972 . Д. Рутковская. Нейронные сети, генетические алгоритмы и нечёткие системы. 452 с. Изд. Горячая линия-Телеком , 2004. А.Д. Закревский. Логика распознавания. Изд. 2. 144 с. Изд. Едиториал УРСС, 2003.
  • 34.