Solving Inequalities Ch 6 lesson 1
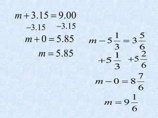
Review Solve for m
 
Inequalities Fill in the correct sign  -7  +6 +3  -5 -12  -15 -3x  -7x
What’s the Deal? In today’s lesson we will solve inequalities and graph them using a number line.
Solving Inequalities  Imagine the < or > signs get replaced by an = sign. Then just add, subtract, multiply, or divide by the same number on both sides. Two special signs Greater than or equal to Less than or equal to
Back to the first slide This should look similar to your first equation.  The  greater than  sign replaces the equal sign.
Work the algebra problem just like you would with the = sign Subtract 3.15 from both sides The answer shows that any number greater than 5.85 will make a true statement.
Check the work Since 10 is greater than 5.85. Let’s use it to check our work. Replacing 10 for m, we find a true statement. We could have picked any number greater than 5.85. 10 is just easy to use.
Fun with graphing We can use a number line to show all the numbers that work for  m .
Number Line -6  -4  -2  0  +2  +4  +6
Use of closed circles Greater than or equal to includes the number and everything higher. Less than or equal to includes the number and everything of lesser value. Use a closed circle on the number line. Use a closed circle on the number line.
Use of open circles Greater than does NOT include the number just every one right up to it. Less than does NOT include the number, just everything up to it. Use a closed circle on the number line. Use a closed circle on the number line. > <
Graph  m  >5.85 Start with the number line Put an open circle on 5.85 Fill in everything to greater than 5.85. -6  -4  -2  0  +2  +4  +6
That’s too much work Let’s find a little easier way to graph the inequality.
Graph  m  >5.85 Start with the number line You only need to mark 5.85 Put an open circle on 5.85 Fill in everything to greater than 5.85.
Try one. Solve for x and graph the inequality. c + 7 < -11
Solution c + 7 – 7 < -11 – 7 c + 0 < -18 -18
Greater than or equal to has a closed circle. Graph   -3
Check your work. Could 10 be a solution for x? -3 Ten is part of the graphed solution +10
Summary Solving inequalities is similar to solving other algebraic equations. Use open circles for greater than (>) or less than (<). Use closed circles to show  less-than-or equal-to  and  greater-than-or-equal-to .
Assignment: pg. 280 :15 – 29;   36-37; 43, 45

Solving Inequalities01

  • 1.
  • 2.
  • 3.
  • 4.
    Inequalities Fill inthe correct sign -7 +6 +3 -5 -12 -15 -3x -7x
  • 5.
    What’s the Deal?In today’s lesson we will solve inequalities and graph them using a number line.
  • 6.
    Solving Inequalities Imagine the < or > signs get replaced by an = sign. Then just add, subtract, multiply, or divide by the same number on both sides. Two special signs Greater than or equal to Less than or equal to
  • 7.
    Back to thefirst slide This should look similar to your first equation. The greater than sign replaces the equal sign.
  • 8.
    Work the algebraproblem just like you would with the = sign Subtract 3.15 from both sides The answer shows that any number greater than 5.85 will make a true statement.
  • 9.
    Check the workSince 10 is greater than 5.85. Let’s use it to check our work. Replacing 10 for m, we find a true statement. We could have picked any number greater than 5.85. 10 is just easy to use.
  • 10.
    Fun with graphingWe can use a number line to show all the numbers that work for m .
  • 11.
    Number Line -6 -4 -2 0 +2 +4 +6
  • 12.
    Use of closedcircles Greater than or equal to includes the number and everything higher. Less than or equal to includes the number and everything of lesser value. Use a closed circle on the number line. Use a closed circle on the number line.
  • 13.
    Use of opencircles Greater than does NOT include the number just every one right up to it. Less than does NOT include the number, just everything up to it. Use a closed circle on the number line. Use a closed circle on the number line. > <
  • 14.
    Graph m >5.85 Start with the number line Put an open circle on 5.85 Fill in everything to greater than 5.85. -6 -4 -2 0 +2 +4 +6
  • 15.
    That’s too muchwork Let’s find a little easier way to graph the inequality.
  • 16.
    Graph m >5.85 Start with the number line You only need to mark 5.85 Put an open circle on 5.85 Fill in everything to greater than 5.85.
  • 17.
    Try one. Solvefor x and graph the inequality. c + 7 < -11
  • 18.
    Solution c +7 – 7 < -11 – 7 c + 0 < -18 -18
  • 19.
    Greater than orequal to has a closed circle. Graph -3
  • 20.
    Check your work.Could 10 be a solution for x? -3 Ten is part of the graphed solution +10
  • 21.
    Summary Solving inequalitiesis similar to solving other algebraic equations. Use open circles for greater than (>) or less than (<). Use closed circles to show less-than-or equal-to and greater-than-or-equal-to .
  • 22.
    Assignment: pg. 280:15 – 29; 36-37; 43, 45