Last Name
First Name
Matrikelnummer / student ID no.
Examination
Advanced Fluid Dynamics - Summer Semester 2021
24.09.2021
Duration: 120 min
Allowed: Use of a calculator is allowed. Also allowed are: pen(s), a small dictionary
(without added notes, remarks etc.) and a snack / drink if needed.
Not allowed: Any documents, class notes, books, handwritten or printed information,
notes, worked problems, old exams etc. Also no empty sheets of paper. No com-
munication devices, phones, smartphones, tablets etc.
Instructions: Read and follow the instructions on the next page before starting.
I wish to have the following three problems graded:
(Select 3 out of 4, mark with an ’x’ before handing in the exam.)
Problem 1. 2. 3. 4.
To be graded:
Do not fill out, it will be used by the examiners:
1. 2. 3.
Questions
Problem 1
Problem 2
Problem 3
Problem 4
Total
Advanced Fluid Dynamics - SS 2021
Read this before starting:
• Write your name on the front sheet of this exam, and on the top of each
page where indicated. The exam will only be graded if it has your name
and student number / Matrikelnummer where required.
• The exam is split into two sections, the questions and problems section.
You can work on them in any order. All the questions will be graded,
but you can choose three out of the four problems to work on and skip
one. Only the 3 problems you indicate on the title page of this exam
will be graded.
• Answer the questions by checking the correct box. There is only one
correct answer per problem. Some answers require justification. Check-
ing any wrong answer will results in zero points.
• Answer the problems in written form. Start a problem on a new, fresh
page. Do no use your own paper - write down your answers on the
provided sheets. If you run out of space during the exam, raise your
hand and you will be provided with additional paper.
• Clearly label what problem and part you are working on and what your
answer refers to, e.g. by noting "2.3)" or similar. Unlabeled answers
might not get counted.
• Write in a neat, legible way. If your answers cannot be deciphered, they
will not get counted.
• Most importantly: You can get a lot of partial credit. Show your re-
sults and work, write down intermediate results and steps. The correct
answer with the correct units is enough to obtain full points, unless a
mathematical demonstration is explicitly requested. However, if your
final result is wrong, any work you have shown will help and contribute
to your points.
Before handing in the exam:
• Make sure your name and student ID number is on every sheet where
indicated (at the top).
• On the title page, indicate clearly which 3 out of the 4 problems you
want to have graded.
• Hand in all the assignment sheets in the order provided, do not mix up
the ordering or remove the staples.
2
Advanced Fluid Dynamics - SS 2021
Except otherwise indicated, assume that:
The atmosphere has patm. = 1 bar; ρatm. = 1,225 kg m−3
; Tatm. = 11,3 °C; µatm. = 1,5 · 10−5
Pa s
Air behaves as a perfect gas: Rair=287 J kg−1
K−1
; γair=1,4; cp air=1 005 J kg−1
K−1
;
cv air=718 J kg−1
K−1
Liquid water is incompressible: ρwater = 1 000 kg m−3
, cp water = 4 180 J kg−1
K−1
Balance of mass in a fixed control volume with steady flow:
0 = Σ [ρV⊥A]incoming + Σ [ρV⊥A]outgoing (1)
where V⊥ is negative inwards, positive outwards.
Balance of momentum in a fixed control volume with steady flow:
~
Fnet on fluid = Σ
h
ρV⊥A~
V
i
incoming
+ Σ
h
ρV⊥A~
V
i
outgoing
(2)
where V⊥ is negative inwards, positive outwards.
Balance of energy in a fixed control volume with steady flow:
Q̇net + Ẇshaft, net = Σ
"
ṁ i +
p
ρ
+
1
2
V 2
+ gz
!#
in
+Σ
"
ṁ i +
p
ρ
+
1
2
V 2
+ gz
!#
out
(3)
where ṁ is negative inwards, positive outwards.
Reynolds Transport Theorem:
dBsys
dt
=
d
dt
ZZZ
CV
ρb dV +
ZZ
CS
ρb (~
Vrel · ~
n) dA (4)
Mass balance through an arbitrary volume:
0 =
d
dt
ZZZ
CV
ρ dV +
ZZ
CS
ρ (~
Vrel · ~
n) dA (5)
Momentum balance through an arbitrary volume:
~
Fnet =
d
dt
ZZZ
CV
ρ~
V dV +
ZZ
CS
ρ~
V (~
Vrel · ~
n) dA (6)
Angular momentum balance through an arbitrary volume:
~
Mnet,X =
d
dt
ZZZ
CV
~
rXm ∧ ρ~
V dV +
ZZ
CS
~
rXm ∧ ρ (~
Vrel · ~
n)~
V dA (7)
3
Advanced Fluid Dynamics - SS 2021
Shear force on a flat solid surface:
Fshear, direction i =
ZZ
S
τdirection i dS (8)
Shear in the direction j, on a plane perpendicular to direction i:
||~
τij|| = µ
∂Vj
∂i
(9)
Pressure gradient in a static fluid:
~
∇p = ρ~
g (10)
Continuity equation for incompressible flow:
~
∇ · ~
V = 0 (11)
Navier-Stokes equation for incompressible flow:
ρ
D~
V
Dt
= ρ~
g − ~
∇p + µ~
∇2 ~
V (12)
The non-dimensional incompressible Navier-Stokes equation:
[St]
∂ ~
V ∗
∂t∗
+ [1] ~
V ∗
· ~
∇∗ ~
V ∗
=
1
[Fr]2 ~
g∗
− [Eu] ~
∇∗
p∗
+
1
[Re]
~
∇∗2 ~
V ∗
(13)
in which [St] ≡ f L
V , [Eu] ≡ p0−p∞
ρ V2 , [Fr] ≡ V
√
g L
, and [Re] ≡ ρ V L
µ .
The force coefficient CF and power coefficient CP are defined as:
CF ≡
F
1
2
ρSV 2
CP ≡
Ẇ
1
2
ρSV 3
(14)
The speed of sound c in air and the Mach number are:
c =
q
γRT Ma =
u
c
(15)
4
Advanced Fluid Dynamics - SS 2021
−20 0 20 40 60 80 100 120
Temperature 𝑇 in degree Celsius (◦
C)
10−4
10−3
10−2
2×10−4
3×10−4
4×10−4
5×10−4
6×10−4
7×10−4
8×10−4
9×10−4
2×10−3
3×10−3
4×10−3
5×10−3
6×10−3
7×10−3
8×10−3
9×10−3
2×10−2
Viscosity
𝜇
of
liquids
in
Pa
s
⟵ Water
⟵ Crude Oil
10−5
1.2×10−5
1.4×10−5
1.6×10−5
1.8×10−5
2×10−5
2.2×10−5
2.4×10−5
Viscosity
𝜇
of
gases
in
Pa
s
Air ⟶
CO2 ⟶
Figure 1: The viscosity of four fluids (crude oil, water, air, and C02) as a function of tempera-
ture. The scale for liquids is logarithmic and displayed on the left; the scale for gases
is linear and displayed on the right.
Figure copyright by Arjun Neyyathala & Olivier Cleynen
5
Advanced Fluid Dynamics - SS 2021
Name (first / last): Matr.-Nr.:
Questions (37/100 Points)
• Important: There is only one correct answer per question.
• Check the box next to the correct answer with a ×.
• In case you need to correct your answer, strike out the wrong answer and add ××
(two!) to the left of the correct box.
1. (1P) What is a useful definition of a fluid?
 It can only exist in a hydrostatic equilibrium.
 It can only be described by the Navier-Stokes equations with a linear rela-
tionship between strain and viscous stresses.
 It deforms continuously if a force is applied and occupies all the space made
available to it.
 It is a type of mater in which density is always constant.
2. (2P) Select the correct properties for the given units (in that order):
N
m2
,
m
s
, K,
m3
s
 Pressure, acceleration, kinetic energy, volume flow.
 Viscosity, temperature, mass flow, kinetic energy.
 Pressure, velocity, temperature, volume flow.
 Dissipation rate, velocity, Kolmogorov length scale, density.
 Viscosity, velocity, Celsius, mass flux.
 Density, acceleration, kinematic viscosity, pressure.
3. (1P) What is meant by an equation of state?
 An expression that describes the relationship between the thermodynamic
properties of a fluid: pressure, density and temperature.
 An expression that describes the state of fluid motion: steady, unsteady,
turbulent, laminar.
 The relationship between the strain rate and viscous stresses in a fluid.
 The friction losses in a pipe as a function of the Reynolds number and gravity.
6
Advanced Fluid Dynamics - SS 2021
4. (2P) Three containers are filled with water up to the same height (pos. 1). The
water is at rest. What can you state about a) the pressures and b) the forces
exerted by the fluid on the bottom faces of the containers (pos. 2)?
 pB  pA  pC ; FB  FA  FC
 pB  pA  pC ; FB  FA  FC
 pB = pA = pC ; FB  FA  FC
 pB  pC  pA; FB = FA = FC
 vB  pC  pA; FB = FA = FC
5. (2P) Which balance equations govern fluid flows: Conservation of...
 ... mass, linear momentum and temperature.
 ... entropy, concentration and effort.
 ... pressure, density and velocity.
 ... mass, momentum and energy.
 ... all the forces acting on a fluid particle.
6. (2P) Identify the terms in the following equation:
dmsys
dt
= 0 =
d
dt
mCV + ṁnet (16)
A = 0 = B + C
 A: rate of change of mass inside the control volume,
B: rate of change of mass of the fluid as it transits,
C: net mass flow through the boundaries of the control volume
 A: net mass flow through the boundaries of the control volume,
B: rate of change of mass inside the control volume,
C: rate of change of the internal energy through fluxes
7
Advanced Fluid Dynamics - SS 2021
 A: rate of change of mass inside the control volume,
B: net mass flow through the boundaries of the control volume,
C: rate of change of mass of the fluid as it transits,
 A: rate of change of mass of the fluid as it transits,
B: rate of change of mass inside the control volume,
C: net mass flow through the boundaries of the control volume
7. (2P) What is the principle behind a Pitot tube, and what is it used for?
 Two pressure taps (one towards the flow, one at a a right angle to it) measure
the total and static pressure. Their difference gives the dynamic pressure,
from which the flow speed can be calculated.
 Two pressure taps (one towards the flow, one at a a right angle to it) measure
the total and static pressure. Their difference gives the dynamic pressure,
from which the flow direction can be calculated.
 A heated piece of wire is held into the flow. The flow cools the wire, and the
drop in temperature can be used to calculate the flow speed.
 A heated piece of wire is held into the flow. The flow cools the wire, and the
drop in temperature can be used to calculate the flow direction.
 A Pitot tube is an old piece of equipment and should not be used for measuring
anything anymore. It is based on blocking the flow path in a pressure tap
and measuring the force on the device.
8. (1P) A pipe features steady, uniform fluid flow. It splits smoothly and equally
into two identical pipes at position A. Which of the following is true in each of the
identical pipes, downstream of A?
 The mass flow is half of the original value, but the temperature remains
identical.
 The density is half of the original value, but the temperature remains identi-
cal.
 The mass flow is double of the original value, but the velocity remains iden-
tical.
 The velocity is half of the original value, but the pressure remains identical.
8
Advanced Fluid Dynamics - SS 2021
9. (4P) Flow passes through the devices A-D in Fig. 2. For each case, draw an arrow
indicating the direction of the resulting force on the device.
Figure 2: Incompressible, steady flow through devices.
10. (1P) What is buoyancy?
 It describes that fact that an object made of a light material, for example
wood, always floats, while those made out of heavier material, e.g. steel,
always sink to the bottom.
 It is the net pressure force on all surfaces of an object submerged in a fluid.
 It describes the lift generated by a ship’s screw that makes them float.
 Buoyancy is the force exerted by the fluid on a body immersed in it; it always
acts in the direction of gravity.
11. (2P) Which relationship defines viscosity correctly?
 µ = ||τij||∂uj
∂xi
 µ = ||τij||
∂uj
∂xi
 µ = ||τij||
∂ui
∂xj
 µ = ||τij||∂ui
∂xj
9
Advanced Fluid Dynamics - SS 2021
12. (3P) Explain what is meant by a Non-Newtonian fluid and give an example in 40
words or less:
13. (2P) Translate this statement into math: An incompressible velocity field is
divergence-free.

~
∇p = 0 (17)

~
∇ · ~
V = 0 (18)

~
∇2
= ~
∇ · ~
∇ (19)

~
∇ · ~
τij = µ~
∇2 ~
V +
1
3
µ~
∇

~
∇ · ~
V

(20)
10
Advanced Fluid Dynamics - SS 2021
14. (6P) Consider the viscous, steady and laminar flow without added work through
the idealized pipe in Fig. 3. In the diagram at the bottom of Fig. 3, sketch the
total, static and dynamic pressures along the pipe.
Figure 3: Viscous laminar flow in a pipe which we approximate as one-dimensional. Copyright
by Olivier Cleynen, fluidmech.ninja.
15. (1P) Which of the following have negligible (almost no) effect on the friction losses
in pipe flows?
 Vanes, valves and nozzles.
 Reynolds number and wall roughness.
 Mass flow rate and pipe diameter.
 None of the above.
16. (2P) How can engineers use small scale models, e.g. in wind tunnels, to learn
about the flow field around large scale objects (cars, airplanes, wind turbines)?
 If they scale the geometry properly, nothing else is necessary.
 They must match the Reynolds number of the model and the large object -
other parameters are not important.
 They must ensure that the static pressure on the small scale model is the
same as on the large scale model.
 They must ensure dynamic similarity by matching the flow parameters of the
Navier-Stokes equations.
11
Advanced Fluid Dynamics - SS 2021
17. (1P) Which properties belong to the common definition of turbulence?
 multiscale, steady, random
 compressible, three-dimensional, isotropic
 multiscale, chaotic, dissipative
 incompressible, vortical, normal to the surface
18. (2P) What is the basic idea behind computational fluid dynamics?
 Compute all possible flows that exist. Then have engineers and experts vote
on which solution is closest to the truth.
 Let the computer come up with new equations that are easier to solve than
the Navier-Stokes equations.
 Replace the spatial and temporal derivatives in the governing equations with
algebraic expressions and then solve the equations numerically.
 In CFD, only the continuity equation needs to be solved. If it is solved
correctly, the momemtum and energy balance are automatically fulfilled.
12
Advanced Fluid Dynamics - SS 2021
Problem 1 (21/100 Points)
Engineers at an aircraft manufacturer are trying to improve the efficiency and ecological
footprint of their commercial transport aircraft. For this, they plan to do an extensive
study of a small-scale model in their local wind tunnel. The passenger aircraft they are
working on is called the Z640, and is comparable to the aircraft shown below (Fig. 4).
They are trying to match the Reynolds number and the Mach number during a typical
flight in their local wind tunnel.
Figure 4: Airbus A320,
Licensed under cc-by-sa-3.0 -
https://commons.wikimedia.org/wiki/File:A32XFAMILYv1.0.png
13
Advanced Fluid Dynamics - SS 2021
Given are:
Aircraft and flow data during flight:
Reference length Z460 (wing chord) L = 5 m
Mass of an Z460 aircraft M = 75 000 kg
Flight Reynolds Number Re = 30 · 106
Air temperature during flight T = 222 K
Air density during flight ρ = 0,276 kg m−3
Air viscosity during flight µ = 0,97 · 10−5
Pa s
Air specific gas constant R = 287 J/(kgK)
Air adiabatic exponent γ = 1,4
Data in ETW wind tunnel:
Nitrogen temperature in ETW T = −160 °C
Nitrogen pressure in ETW p = 1 bar
Nitrogen viscosity in ETW µ = 8 · 10−6
Pa s
Nitroge specific gas constant R = 296 J/(kgK)
Answer the following questions:
1.1 For a flight Reynolds number of Re = 30 · 106
based on the reference length L,
what is the velocity uZ460 of the aircraft?
Re =
uLρ
µ
⇒ uZ460 = Re
µ
ρL
= 30 · 106
·
0,97 · 10−5
0, 276 · 5
= 210, 87m/s
uZ460 = 210, 87m/s
| {z }
3 Points
1.2 At what Mach number MaZ460 is the aircraft flying?
Ma =
u
c
⇒ c =
q
γRT =
√
1.4 · 287 · 222 = c = 298, 66m/s
| {z }
1 Points
Ma =
u
c
=
uYZ460
c
=
210, 87
298, 66
= Ma = 0.706
| {z }
2 Points
14
Advanced Fluid Dynamics - SS 2021
1.3 The engineers have build a small model (Model A) of the aircraft and are trying
to match the Reynolds number in their local wind tunnel. It uses air at standard
atmospheric conditions. The test section size limits the dimensions of their model
- it has only a reference wing chord of LModel A = 0,1 m. For air at standard condi-
tions, what velocity uModel A is required to match the Reynolds number? Comment
on your result.
Re =
uLρ
µ
⇒ uModelA = Re
µ
ρL
= 30 · 106
·
1,5 · 10−5
1, 225 · 0, 1
= 3673, 5m/s
uModelA = 3673, 5m/s
| {z }
3 Points
This is about 13200 km/h - this is highly supersonic and not reachable in a
simple windtunnel
1 Points
1.4 In order to save the day, an engineer has to idea to exchange the working fluid in
the wind tunnel to carbon dioxide CO2. In addition, he explains he could attempt
to lower the temperature in the tunnel to −20 °C, also lowering the pressure so
that the density remains as before. What is the viscosity µ at this temperature for
CO2, and what would be the velocity uModel A to match the Reynolds number now?
From the viscosity diagram for CO2 at −20 °C: µ = 1.28E − 5Pa s
2 Points
Re =
uLρ
µ
⇒ uModelA = Re
µ
ρL
= 30 · 106
·
1,28 · 10−5
1, 225 · 0, 1
= 3134, 7m/s
uModelA = 3134, 7m/s
| {z }
3 Points
1.5 Instead of giving up, the engineers now ask the European Transonic Windtunnel
in Cologne (ETW) for help. In this windtunnel, cooled nitrogen N2 is used as a
working fluid. It operates at −160 °C Celsius. Nitrogen can be treated as an ideal
gas, with the same adiabatic exponent as air and R = 296 J/(kgK). Since the
ETW is much larger than the local wind tunnel, the engineers can now create a
new aircraft model (Model B) and choose a larger or smaller reference length
LModel B. For what choice of LModel B and uModel B can the engineers now match
both the Re and Ma number of the actual aircraft simultaneously?
Re =
uModelB LModelB ρN2
µN2
⇒ uModelBLModelB = Re
µN2
ρN2
We are given the viscosity of N2 and can compute the density from the ideal gas
15
Advanced Fluid Dynamics - SS 2021
law:
p = ρ R T ⇒ ρ =
p
RT
=
105
296 · (273, 15 − 160)
= ρN2 = 2, 986kg/m3
ρN2 = 2, 986kg/m3
| {z }
1 Point
uModelBLModelB = Re
µN2
ρN2
= 30E6
8 · 10−6
0, 2986
= 80, 375m2
/s
This or similar expression
| {z }
1 Point
We now have 2 equations and 2 unknowns: Mach and Reynoldsnumber equations.
Match the Mach number to get the velocity:
Ma =
uModelB
c
, c =
q
γN2 RN2 T =
q
(1.4 · 296 · 113.15) = 216.54m/s
uModelB = Ma · c = 0.706 · 216.54 = 152, 88m/s
uModelB = 152, 88m/s
| {z }
1 point
LModelB = 0, 526m
| {z }
1 point
1.6 How much lift force will the model generate in the ETW during the experiment?
The Z460 aircraft is flying at level altitude and steady speed, which means that its
lift and weight forces have equal magnitude and opposite directions. The reference
area of the aircraft is S = L2
, the reference area of the model is (LModel B)2
. Hint:
Compute the lift coefficient for the aircraft first, then use similarity considerations.
• Similarity: CModel
L = CAircraft
L
• Aircraft: Lift = Weight =m · g
16
Advanced Fluid Dynamics - SS 2021
•
CAircraft
L =
m · g
0.5ρV 2 · S
=
75000 · 9, 81
0.5 · 0, 276 · 210, 872 · 52
= 4.8
CL = 4.8
| {z }
1 Point
CModel
L =
FModel
L
0.5ρV 2 · S
⇒ FModel
L = CModel
L · 0.5ρV 2
· S = 4.8 · 0.5 · 2, 986 · 80, 3752
= 46296N
FL = 46296N
| {z }
1 Point
Start working on the problem on the next page.
17
Advanced Fluid Dynamics - SS 2021
Name (first / last): Matr.-Nr.:
Your solution to Problem 1:
18
Advanced Fluid Dynamics - SS 2021
Problem 2 (21/100 Points)
Figure 5: Flow between moving parallel plates.
2.1 Write out equations 11 and 12, the Navier-Stokes equation and continuity equation
for incompressible flow in fully-developed form in three Cartesian coordinates.
∇ · ~
V = 0 :
∂u
∂x
+
∂v
∂y
+
∂w
∂z
= 0
|{z}
1 point
ρ

∂u
∂t
+ u
∂u
∂x
+ v
∂u
∂y
+ w
∂u
∂z
#
= ρgx −
∂p
∂x
+ µ

∂2
u
∂x2
+
∂2
u
∂y2
+
∂2
u
∂z2
#
ρ

∂v
∂t
+ u
∂v
∂x
+ v
∂v
∂y
+ w
∂v
∂z
#
= ρgy −
∂p
∂y
+ µ

∂2
v
∂x2
+
∂2
v
∂y2
+
∂2
v
∂z2
#
ρ

∂w
∂t
+ u
∂w
∂x
+ v
∂w
∂y
+ w
∂w
∂z
#
= ρgz −
∂p
∂z
+ µ

∂2
w
∂x2
+
∂2
w
∂y2
+
∂2
w
∂z2
#
|{z}
3 points
2.2 In which flow conditions does this set of equations apply?
All incompressible flows of a Newtonian fluid
| {z }
1 Point
2.3 A vortex is modelled with the following velocity components, where A is a constant.
Does this satisfy the continuity equation from 2.1? Show your work.
u =
−zA
x2 + z2
; v = π + x + Asin(z); w =
xA
x2 + z2
(21)
19
Advanced Fluid Dynamics - SS 2021

u
v
0
=
u0
v − v0
u
v2
∂u
∂x
=
2xAz
(x2 + z2)2
∂v
∂y
= 0
∂w
∂x
=
−2xAz
(x2 + z2)2
⇒ Continuity fulfilled!
|{z}
1 Point
2.4 Consider flow between two very wide and very long parallel plates as in Fig. 5.
The upper plate is moving with speed V1 in the negative x-direction, the lower
plate is moving with V2 in the opposite direction. The plates stay parallel at all
times, and remain H apart. The flow is driven purely by the movement of the
plates and is only moving in the x-direction. Consider laminar, viscous, steady
and incompressible flow of a Newtonian fluid with viscosity µ and neglect gravity.
Starting from the Navier-Stokes and continuity equations, derive an expression for
the velocity profile u(y). Follow these steps:
2.4.1 What can you state about the velocity u at the lower and upper plate, i.e.
what are u(y = 0) and u(y = H)? No-slip conditions at walls:
u(y = 0) = V2
u(y = H) = −V1
|{z}
2 Points
2.4.2 Start from the continuity equation and drop the terms that can be neglected
here. Write down the remaining equation, and justify why terms have been
dropped. Hint: You should arrive at an equation that describes fully devel-
oped flow.
Plates are parallel, flow only in x-direction: v=w=0: dudx = 0
|{z}
1 Point
2.4.3 The Navier-Stokes equations are vectorial, i.e. 3 equations, one for the x-, y-
and z-momentum. Which one(s) do you need here? Write down the remaining
Navier-Stokes equation(s).
Only x-momentum equation is needed:
|{z}
1 Point
ρ

∂u
∂t
+ u
∂u
∂x
+ v
∂u
∂y
+ w
∂u
∂z
#
= ρgx −
∂p
∂x
+ µ

∂2
u
∂x2
+
∂2
u
∂y2
+
∂2
u
∂z2
#
2.4.4 Use all that you know about the flow to reduce the equation(s) from 2.4.3 as
far as possible. Give your reasons why the terms can be dropped. Hint: You
20
Advanced Fluid Dynamics - SS 2021
should end up with an equation of the form
C
d2
O
d2
= 0, (22)
where C, O and  are place holders.
ρ






∂u
∂t
|{z}
=0,steady
+ u
∂u
∂x
| {z }
=0,conti
+ v
∂u
∂y
+ w
∂u
∂z
| {z }
=0,w=v=0






= ρgx
|{z}
=0,nogravity
−
∂p
∂x
|{z}
=0,plates
+µ





∂2
u
∂x2
|{z}
dudx=0
+
∂2
u
∂y2
+
∂2
u
∂z2
|{z}
plates





µ
∂2
u
∂y2
= 0
∂u
∂x
=
∂u
∂z
= 0
µ
d2
u(y)
dy2
= 0
steady
| {z }
1 Point
nopressuregradient
| {z }
1 Point
d2
udx2
= 0
| {z }
1 Point
final equation correct
| {z }
1 Point
2.4.5 Integrate your equation from 2.4.4 twice to arrive at an expression for u(y).
Use the boundary conditions from 2.4.1 to fix the constants. Add a qualitative
sketch of your solution to Fig. 5, label your solution with u∗
.
u(y) = C1y + C2
| {z }
1 point for Ansatz
with BCs:
u(y = 0) = V2 = C2
u(y = H) = −V1 = C1H + V2 ⇒ C1 =
−V1 − V2
H |{z}
2 points for correct coefficients
|{z}
1 point for sketch
2.4.6 What is the name of this famous solution to the Navier-Stokes equations? In
class, we considered this case for only one moving plate, the other one was
fixed, but the name still holds. Couette Flow
| {z }
1 point
2.4.7 What would the velocity profile u(y) look like if both plates were moving in the
same direction with the same speed, for example both are moving to the right
with V1 = V2. Explain your answer, and add a qualitative sketch of your solu-
21
Advanced Fluid Dynamics - SS 2021
tion to Fig. 5, label your solution with u∗∗
. 1 for sketch, 1 for explanation
| {z }
2 point
s
Start working on the problem on the next page.
22
Advanced Fluid Dynamics - SS 2021
Name (first / last): Matr.-Nr.:
Your solution to Problem 2:
23
Advanced Fluid Dynamics - SS 2021
Problem 3 (21/100 Points)
A vertical water gate is D wide and separates two water reservoirs of heights H1 and H2.
The water is stationary. The gate is hinged at the bottom (point B). An overpressure
valve C is located on the wall. Its height is ∆d = Lu − Ll, its width is D/10. The valve
is initially kept forcefully closed and locked.
Figure 6: Water gate with two reservoirs.
Given are:
Water level, left reservoir H1 = 3 m
Water level, right reservoir H2 = 2 m
Density of water ρwater = 1 000 kg m−3
Atmospheric pressure p∞ = 1 bar
Width of the reservoir D = 4 m
Gravitation constant g = 9,81 m s−2
Distance from bottom to control value bottom Ll
Distance from bottom to control value top Lu
Width of the control valve DC = D/10
24
Advanced Fluid Dynamics - SS 2021
Answer the following questions:
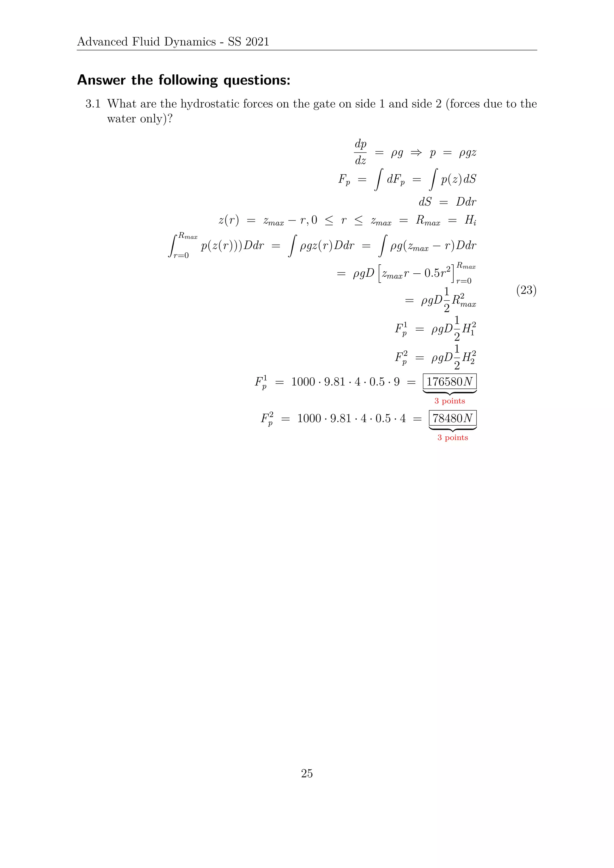
3.1 What are the hydrostatic forces on the gate on side 1 and side 2 (forces due to the
water only)?
dp
dz
= ρg ⇒ p = ρgz
Fp =
Z
dFp =
Z
p(z)dS
dS = Ddr
z(r) = zmax − r, 0 ≤ r ≤ zmax = Rmax = Hi
Z Rmax
r=0
p(z(r)))Ddr =
Z
ρgz(r)Ddr =
Z
ρg(zmax − r)Ddr
= ρgD
h
zmaxr − 0.5r2
iRmax
r=0
= ρgD
1
2
R2
max
F1
p = ρgD
1
2
H2
1
F2
p = ρgD
1
2
H2
2
F1
p = 1000 · 9.81 · 4 · 0.5 · 9 = 176580N
| {z }
3 points
F2
p = 1000 · 9.81 · 4 · 0.5 · 4 = 78480N
| {z }
3 points
(23)
25
Advanced Fluid Dynamics - SS 2021
Figure 7: 3.1 Coordinate system for force integral
26
Advanced Fluid Dynamics - SS 2021
3.2 What is the moment generated by these forces about the bottom hinge B? What
are the magnitude and the direction of this moment? Hint: Mx =
R
dMx =
R
rxdF
MB =
Z
dMB =
Z
rBdF
=
Z
rBpdS =
Z Rmax
r=0
rBpDdr =
Z Rmax
r=0
rBρgz(r)Ddr
=
Z Rmax
r=0
rBρg(zmax − rB)Ddr
= ρgD
Z Rmax
r=0
rB(zmax − rB)dr
= ρgD

1
2
zmaxr2
B −
1
3
r3
B
Rmax
r=0
= ρgD
1
6
R3
max
M1
B = ρgD
1
6
H3
1
M2
B = ρgD
1
6
H3
2
M1
B = 1000 · 9.81 · 4 ·
1
6
· 27 = 176580Nm
| {z }
3 points
M2
B = 1000 · 9.81 · 4 ·
1
6
· 8 = 52320Nm
| {z }
3 points
(24)
Figure 8: 3.2: Direction and magnitude of moment
| {z }
1 Point
3.3 If the control valve is located at d∗
(measured from the bottom) and we assume
that its height is very small so that Lu ≈ Ll, what is the pressure difference
∆p = p1 − p2 it encounters (valve is closed)? Give an analytic expression, do not
put in numbers.
27
Advanced Fluid Dynamics - SS 2021
p = ρgz
∆p = p1 − p2 = ρg(z2 − z1)
| {z }
1 point
= ρg(zmax1 − d∗
− zmax2 + d∗
)
= ρg(zmax1 − zmax2) = ρg(H1 − H2)
| {z }
1 point
(25)
3.4 Does it matter (for the pressure difference) where along the height of the gate
the overpressure valve is positioned, whether close to the bottom or close to the
surface? Why or why not? No equations / derivations are necessary here, briefly
justify your answer in 40 words or less.
⇒ No, it does not matter as the pressure gradient with depth is linear - the
difference ∆p is not a function of depth, only of the difference between H1 and H2.
Correct solution and justification
| {z }
1 Point
3.5 We now assume that the control valve is not small, so Lu 6= Ll. What is the total
hydrostatic force on the control valve? Derive an analytic expression, do not put in
numbers. Part 3.3 can give you a hint. ⇒ Option I, the long way: Integrate along
the height of the control valve on both sides likes in 3.1, now the lower bound is
not zero.
Option II: Realize that ∆F = F1 − F2 = ∆pS, where ∆P from 3.3. and S =
D/10 · (Lu − Ll). Thus
∆F = ρg(H1 − H2) · D/10 · (Lu − Ll) (26)
for option 1: 1 point per side, 1 point for correct result
| {z }
3 Points
3.6 The overpressure valve opens if it encounters the critical force Fcrit ≥ 2 000 N. The
one that is currently installed has a height of ∆L = Lu −Ll = 0,30 m and a width
of Dc = D/10. If H2 stays the same, at what level of H1 will the valve open?
In case you did not answer question 3.5, you can use Eq. 27 for the total hydrostatic
force on the control valve. Note that Eq. 27 is not necessarily the correct solution
to 3.5, but you can use it here:
Faux
valve = ρ gD (Lu − Ll) (H1 − H2) (27)
28
Advanced Fluid Dynamics - SS 2021
⇒ Using the correct solution from 3.5:
∆F = ρg(H1 − H2) · D/10 · (Lu − Ll)
H1 =
10 · ∆F
D(Lu − Ll)ρg
+ H2
H1 =
10 · 2000
4 · 0.3 · 9810
+ 2 = 3.7m
(28)
⇒ Using the auxiliary solution from 3.7:
∆F = ρg(H1 − H2) · D · (Lu − Ll)
H1 =
∆F
D(Lu − Ll)ρg
+ H2
H1 =
2000
4 · 0.3 · 9810
+ 2 = 2.17m
(29)
Full points for either way
| {z }
2 Points
Start working on the problem on the next page.
29
Advanced Fluid Dynamics - SS 2021
Name (first / last): Matr.-Nr.:
Your solution to Problem 3:
30
Advanced Fluid Dynamics - SS 2021
Problem 4 (21/100 Points)
On a construction site, concrete is poured to start a foundation. The concrete is stored
in a silo, which is made up of a tank with an attached nozzle. Initially, the tank is filled
to the top. Once the nozzle valve is opened, concrete starts to flow. We can consider
this flow to be steady, incompressible and inviscid; we can also assume that the velocity
across any cross section is uniform.
Note:
• We consider concrete as a fluid (liquid) here, to which all the typical properties
apply and the usual governing equations are valid
• Both tank and nozzle have constant, circular cross sections and both can be as-
sumed to be of cylindrical shape (i.e. you do not need to consider the bend in the
nozzle where it attaches to the tank.)
• The tank is open to the atmosphere at the top (no lid), and concrete forms a free
surface there.
• Use the given coordinate system.
Figure 9: Pouring a concrete foundation
31
Advanced Fluid Dynamics - SS 2021
Given are:
Density of concrete ρ = 2 200 kg m−3
Inner diameter of tank D = 1,4 m
Cross section of nozzle AN = 0,035 m2
Nozzle angle α = 40°
Length of nozzle L = 1 m
Answer the following questions:
4.1 The construction worker observes that the free upper surface of the concrete moves
downward at a rate of v1 = 0,1314 m s−1
. What are the velocity magnitude |v3|
and the mass flux ṁ at the nozzle exit?
incomp, steady, inviscid
conservation of mass, CV from 1 to 3:
ρ1v1A1 = ρ3v3A3
v3 = v1A1/A3 = 0.1314 · πD2
/4/0.035 = 5.779m/s
| {z }
2 Point
ṁ = rho3A3v3 = 2200 · 0.035 · 5.779 = 445kg/s
| {z }
1 Point
(30)
4.2 From now on, assume that v1 ≈ 0. Your task is to compute the force Fx in the x-
direction with which the construction worker needs to push against the silo to keep
it from moving. Assume that the concrete flows at a steady pace, and assume a
uniform velocity profile. Draw a suitable control volume and indicate the relevant
fluxes (inflow/outflow). Give the magnitude and the direction of the force required
to hold the silo (tank plus nozzle) in place.
32
Advanced Fluid Dynamics - SS 2021
Figure 10: CV and fluxes for problem 4.2 Correct CV and fluxes
| {z }
1 Point
Figure 11: RTT momentum for 4.2 Correct RTT for momentum
| {z }
1 Points
Figure 12: Velocities for problem 4.2 Correct velocity components
| {z }
2 Points
33
Advanced Fluid Dynamics - SS 2021
Figure 13: X component of force for prob. 4.2 1 for value, 1 for correct direction
| {z }
2 Points
4.3 Now consider the nozzle only. What is the force (as a vector) acting on the nozzle
through the flow of concrete? Consider only forces through the fluxes here, i.e.
you can neglect pressure and gravitational forces.
Figure 14: CV and fluxes for problem 4.3 Correct CV and fluxes
| {z }
1 Point
34
Advanced Fluid Dynamics - SS 2021
Figure 15: RTT momentum for problem 4.3, constant cross
sections 1 for RTT, 1 for correct computation
| {z }
2 Points
Figure 16: Solution 4.3: forces on nozzle without pressure considered Correct Vector
| {z }
1 Point
35
Advanced Fluid Dynamics - SS 2021
4.4 The construction worker notices that the outflow profile at the nozzle exit is not
uniform due to viscous effects. She estimates that the true shape of the velocity
across the outlet is given by
v(r) = Vmax 1 −
πr2
AN
!
. (31)
Here, r denotes the radial coordinate measured from the centerline of the nozzle
outwards, see Fig. 17. If the mass flow is constant and as computed in 4.1, what
is Vmax? Make use of the relationship between the nozzle cross section area AN
and its radius RN to simplify the final expression.
Hint: the integration rule over a circular cross section A in polar coordinates is:
R
A f (r, φ)dA =
R
A f (r, φ)r dr dφ.
Figure 17: Nozzle coordinate system.
Figure 18: Problem 4.4 setup.
36
Advanced Fluid Dynamics - SS 2021
Figure 19: Problem 4.4, solution part 14 Ansatz
| {z }
2 points
Figure 20: Problem 4.4, solution part 2 correct integration and result
| {z }
2 points
37
Advanced Fluid Dynamics - SS 2021
4.5 For this more realistic outflow profile, what is the force Fviscous
x that needs to be
applied by the worker in the horizontal direction to keep the silo in place? Compare
your results to part 4.2. Is this force smaller or larger, and what is the reason for
that? Even if you do not arrive at a numerical result, you can still answer this
question qualitatively from physical reasoning.
Start working on the problem on the next page.
38
Advanced Fluid Dynamics - SS 2021
Figure 21: problem 4.5, solution part 1
Figure 22: problem 4.5, solution part 2
39
Advanced Fluid Dynamics - SS 2021
Figure 23: problem 4.5, solution part 3
|{z}
4 points
Name (first / last): Matr.-Nr.:
Your solution to Problem 4:
40

solution-exam-ss21.pdf

  • 1.
    Last Name First Name Matrikelnummer/ student ID no. Examination Advanced Fluid Dynamics - Summer Semester 2021 24.09.2021 Duration: 120 min Allowed: Use of a calculator is allowed. Also allowed are: pen(s), a small dictionary (without added notes, remarks etc.) and a snack / drink if needed. Not allowed: Any documents, class notes, books, handwritten or printed information, notes, worked problems, old exams etc. Also no empty sheets of paper. No com- munication devices, phones, smartphones, tablets etc. Instructions: Read and follow the instructions on the next page before starting. I wish to have the following three problems graded: (Select 3 out of 4, mark with an ’x’ before handing in the exam.) Problem 1. 2. 3. 4. To be graded: Do not fill out, it will be used by the examiners: 1. 2. 3. Questions Problem 1 Problem 2 Problem 3 Problem 4 Total
  • 2.
    Advanced Fluid Dynamics- SS 2021 Read this before starting: • Write your name on the front sheet of this exam, and on the top of each page where indicated. The exam will only be graded if it has your name and student number / Matrikelnummer where required. • The exam is split into two sections, the questions and problems section. You can work on them in any order. All the questions will be graded, but you can choose three out of the four problems to work on and skip one. Only the 3 problems you indicate on the title page of this exam will be graded. • Answer the questions by checking the correct box. There is only one correct answer per problem. Some answers require justification. Check- ing any wrong answer will results in zero points. • Answer the problems in written form. Start a problem on a new, fresh page. Do no use your own paper - write down your answers on the provided sheets. If you run out of space during the exam, raise your hand and you will be provided with additional paper. • Clearly label what problem and part you are working on and what your answer refers to, e.g. by noting "2.3)" or similar. Unlabeled answers might not get counted. • Write in a neat, legible way. If your answers cannot be deciphered, they will not get counted. • Most importantly: You can get a lot of partial credit. Show your re- sults and work, write down intermediate results and steps. The correct answer with the correct units is enough to obtain full points, unless a mathematical demonstration is explicitly requested. However, if your final result is wrong, any work you have shown will help and contribute to your points. Before handing in the exam: • Make sure your name and student ID number is on every sheet where indicated (at the top). • On the title page, indicate clearly which 3 out of the 4 problems you want to have graded. • Hand in all the assignment sheets in the order provided, do not mix up the ordering or remove the staples. 2
  • 3.
    Advanced Fluid Dynamics- SS 2021 Except otherwise indicated, assume that: The atmosphere has patm. = 1 bar; ρatm. = 1,225 kg m−3 ; Tatm. = 11,3 °C; µatm. = 1,5 · 10−5 Pa s Air behaves as a perfect gas: Rair=287 J kg−1 K−1 ; γair=1,4; cp air=1 005 J kg−1 K−1 ; cv air=718 J kg−1 K−1 Liquid water is incompressible: ρwater = 1 000 kg m−3 , cp water = 4 180 J kg−1 K−1 Balance of mass in a fixed control volume with steady flow: 0 = Σ [ρV⊥A]incoming + Σ [ρV⊥A]outgoing (1) where V⊥ is negative inwards, positive outwards. Balance of momentum in a fixed control volume with steady flow: ~ Fnet on fluid = Σ h ρV⊥A~ V i incoming + Σ h ρV⊥A~ V i outgoing (2) where V⊥ is negative inwards, positive outwards. Balance of energy in a fixed control volume with steady flow: Q̇net + Ẇshaft, net = Σ " ṁ i + p ρ + 1 2 V 2 + gz !# in +Σ " ṁ i + p ρ + 1 2 V 2 + gz !# out (3) where ṁ is negative inwards, positive outwards. Reynolds Transport Theorem: dBsys dt = d dt ZZZ CV ρb dV + ZZ CS ρb (~ Vrel · ~ n) dA (4) Mass balance through an arbitrary volume: 0 = d dt ZZZ CV ρ dV + ZZ CS ρ (~ Vrel · ~ n) dA (5) Momentum balance through an arbitrary volume: ~ Fnet = d dt ZZZ CV ρ~ V dV + ZZ CS ρ~ V (~ Vrel · ~ n) dA (6) Angular momentum balance through an arbitrary volume: ~ Mnet,X = d dt ZZZ CV ~ rXm ∧ ρ~ V dV + ZZ CS ~ rXm ∧ ρ (~ Vrel · ~ n)~ V dA (7) 3
  • 4.
    Advanced Fluid Dynamics- SS 2021 Shear force on a flat solid surface: Fshear, direction i = ZZ S τdirection i dS (8) Shear in the direction j, on a plane perpendicular to direction i: ||~ τij|| = µ ∂Vj ∂i (9) Pressure gradient in a static fluid: ~ ∇p = ρ~ g (10) Continuity equation for incompressible flow: ~ ∇ · ~ V = 0 (11) Navier-Stokes equation for incompressible flow: ρ D~ V Dt = ρ~ g − ~ ∇p + µ~ ∇2 ~ V (12) The non-dimensional incompressible Navier-Stokes equation: [St] ∂ ~ V ∗ ∂t∗ + [1] ~ V ∗ · ~ ∇∗ ~ V ∗ = 1 [Fr]2 ~ g∗ − [Eu] ~ ∇∗ p∗ + 1 [Re] ~ ∇∗2 ~ V ∗ (13) in which [St] ≡ f L V , [Eu] ≡ p0−p∞ ρ V2 , [Fr] ≡ V √ g L , and [Re] ≡ ρ V L µ . The force coefficient CF and power coefficient CP are defined as: CF ≡ F 1 2 ρSV 2 CP ≡ Ẇ 1 2 ρSV 3 (14) The speed of sound c in air and the Mach number are: c = q γRT Ma = u c (15) 4
  • 5.
    Advanced Fluid Dynamics- SS 2021 −20 0 20 40 60 80 100 120 Temperature 𝑇 in degree Celsius (◦ C) 10−4 10−3 10−2 2×10−4 3×10−4 4×10−4 5×10−4 6×10−4 7×10−4 8×10−4 9×10−4 2×10−3 3×10−3 4×10−3 5×10−3 6×10−3 7×10−3 8×10−3 9×10−3 2×10−2 Viscosity 𝜇 of liquids in Pa s ⟵ Water ⟵ Crude Oil 10−5 1.2×10−5 1.4×10−5 1.6×10−5 1.8×10−5 2×10−5 2.2×10−5 2.4×10−5 Viscosity 𝜇 of gases in Pa s Air ⟶ CO2 ⟶ Figure 1: The viscosity of four fluids (crude oil, water, air, and C02) as a function of tempera- ture. The scale for liquids is logarithmic and displayed on the left; the scale for gases is linear and displayed on the right. Figure copyright by Arjun Neyyathala & Olivier Cleynen 5
  • 6.
    Advanced Fluid Dynamics- SS 2021 Name (first / last): Matr.-Nr.: Questions (37/100 Points) • Important: There is only one correct answer per question. • Check the box next to the correct answer with a ×. • In case you need to correct your answer, strike out the wrong answer and add ×× (two!) to the left of the correct box. 1. (1P) What is a useful definition of a fluid? It can only exist in a hydrostatic equilibrium. It can only be described by the Navier-Stokes equations with a linear rela- tionship between strain and viscous stresses. It deforms continuously if a force is applied and occupies all the space made available to it. It is a type of mater in which density is always constant. 2. (2P) Select the correct properties for the given units (in that order): N m2 , m s , K, m3 s Pressure, acceleration, kinetic energy, volume flow. Viscosity, temperature, mass flow, kinetic energy. Pressure, velocity, temperature, volume flow. Dissipation rate, velocity, Kolmogorov length scale, density. Viscosity, velocity, Celsius, mass flux. Density, acceleration, kinematic viscosity, pressure. 3. (1P) What is meant by an equation of state? An expression that describes the relationship between the thermodynamic properties of a fluid: pressure, density and temperature. An expression that describes the state of fluid motion: steady, unsteady, turbulent, laminar. The relationship between the strain rate and viscous stresses in a fluid. The friction losses in a pipe as a function of the Reynolds number and gravity. 6
  • 7.
    Advanced Fluid Dynamics- SS 2021 4. (2P) Three containers are filled with water up to the same height (pos. 1). The water is at rest. What can you state about a) the pressures and b) the forces exerted by the fluid on the bottom faces of the containers (pos. 2)? pB pA pC ; FB FA FC pB pA pC ; FB FA FC pB = pA = pC ; FB FA FC pB pC pA; FB = FA = FC vB pC pA; FB = FA = FC 5. (2P) Which balance equations govern fluid flows: Conservation of... ... mass, linear momentum and temperature. ... entropy, concentration and effort. ... pressure, density and velocity. ... mass, momentum and energy. ... all the forces acting on a fluid particle. 6. (2P) Identify the terms in the following equation: dmsys dt = 0 = d dt mCV + ṁnet (16) A = 0 = B + C A: rate of change of mass inside the control volume, B: rate of change of mass of the fluid as it transits, C: net mass flow through the boundaries of the control volume A: net mass flow through the boundaries of the control volume, B: rate of change of mass inside the control volume, C: rate of change of the internal energy through fluxes 7
  • 8.
    Advanced Fluid Dynamics- SS 2021 A: rate of change of mass inside the control volume, B: net mass flow through the boundaries of the control volume, C: rate of change of mass of the fluid as it transits, A: rate of change of mass of the fluid as it transits, B: rate of change of mass inside the control volume, C: net mass flow through the boundaries of the control volume 7. (2P) What is the principle behind a Pitot tube, and what is it used for? Two pressure taps (one towards the flow, one at a a right angle to it) measure the total and static pressure. Their difference gives the dynamic pressure, from which the flow speed can be calculated. Two pressure taps (one towards the flow, one at a a right angle to it) measure the total and static pressure. Their difference gives the dynamic pressure, from which the flow direction can be calculated. A heated piece of wire is held into the flow. The flow cools the wire, and the drop in temperature can be used to calculate the flow speed. A heated piece of wire is held into the flow. The flow cools the wire, and the drop in temperature can be used to calculate the flow direction. A Pitot tube is an old piece of equipment and should not be used for measuring anything anymore. It is based on blocking the flow path in a pressure tap and measuring the force on the device. 8. (1P) A pipe features steady, uniform fluid flow. It splits smoothly and equally into two identical pipes at position A. Which of the following is true in each of the identical pipes, downstream of A? The mass flow is half of the original value, but the temperature remains identical. The density is half of the original value, but the temperature remains identi- cal. The mass flow is double of the original value, but the velocity remains iden- tical. The velocity is half of the original value, but the pressure remains identical. 8
  • 9.
    Advanced Fluid Dynamics- SS 2021 9. (4P) Flow passes through the devices A-D in Fig. 2. For each case, draw an arrow indicating the direction of the resulting force on the device. Figure 2: Incompressible, steady flow through devices. 10. (1P) What is buoyancy? It describes that fact that an object made of a light material, for example wood, always floats, while those made out of heavier material, e.g. steel, always sink to the bottom. It is the net pressure force on all surfaces of an object submerged in a fluid. It describes the lift generated by a ship’s screw that makes them float. Buoyancy is the force exerted by the fluid on a body immersed in it; it always acts in the direction of gravity. 11. (2P) Which relationship defines viscosity correctly? µ = ||τij||∂uj ∂xi µ = ||τij|| ∂uj ∂xi µ = ||τij|| ∂ui ∂xj µ = ||τij||∂ui ∂xj 9
  • 10.
    Advanced Fluid Dynamics- SS 2021 12. (3P) Explain what is meant by a Non-Newtonian fluid and give an example in 40 words or less: 13. (2P) Translate this statement into math: An incompressible velocity field is divergence-free. ~ ∇p = 0 (17) ~ ∇ · ~ V = 0 (18) ~ ∇2 = ~ ∇ · ~ ∇ (19) ~ ∇ · ~ τij = µ~ ∇2 ~ V + 1 3 µ~ ∇ ~ ∇ · ~ V (20) 10
  • 11.
    Advanced Fluid Dynamics- SS 2021 14. (6P) Consider the viscous, steady and laminar flow without added work through the idealized pipe in Fig. 3. In the diagram at the bottom of Fig. 3, sketch the total, static and dynamic pressures along the pipe. Figure 3: Viscous laminar flow in a pipe which we approximate as one-dimensional. Copyright by Olivier Cleynen, fluidmech.ninja. 15. (1P) Which of the following have negligible (almost no) effect on the friction losses in pipe flows? Vanes, valves and nozzles. Reynolds number and wall roughness. Mass flow rate and pipe diameter. None of the above. 16. (2P) How can engineers use small scale models, e.g. in wind tunnels, to learn about the flow field around large scale objects (cars, airplanes, wind turbines)? If they scale the geometry properly, nothing else is necessary. They must match the Reynolds number of the model and the large object - other parameters are not important. They must ensure that the static pressure on the small scale model is the same as on the large scale model. They must ensure dynamic similarity by matching the flow parameters of the Navier-Stokes equations. 11
  • 12.
    Advanced Fluid Dynamics- SS 2021 17. (1P) Which properties belong to the common definition of turbulence? multiscale, steady, random compressible, three-dimensional, isotropic multiscale, chaotic, dissipative incompressible, vortical, normal to the surface 18. (2P) What is the basic idea behind computational fluid dynamics? Compute all possible flows that exist. Then have engineers and experts vote on which solution is closest to the truth. Let the computer come up with new equations that are easier to solve than the Navier-Stokes equations. Replace the spatial and temporal derivatives in the governing equations with algebraic expressions and then solve the equations numerically. In CFD, only the continuity equation needs to be solved. If it is solved correctly, the momemtum and energy balance are automatically fulfilled. 12
  • 13.
    Advanced Fluid Dynamics- SS 2021 Problem 1 (21/100 Points) Engineers at an aircraft manufacturer are trying to improve the efficiency and ecological footprint of their commercial transport aircraft. For this, they plan to do an extensive study of a small-scale model in their local wind tunnel. The passenger aircraft they are working on is called the Z640, and is comparable to the aircraft shown below (Fig. 4). They are trying to match the Reynolds number and the Mach number during a typical flight in their local wind tunnel. Figure 4: Airbus A320, Licensed under cc-by-sa-3.0 - https://commons.wikimedia.org/wiki/File:A32XFAMILYv1.0.png 13
  • 14.
    Advanced Fluid Dynamics- SS 2021 Given are: Aircraft and flow data during flight: Reference length Z460 (wing chord) L = 5 m Mass of an Z460 aircraft M = 75 000 kg Flight Reynolds Number Re = 30 · 106 Air temperature during flight T = 222 K Air density during flight ρ = 0,276 kg m−3 Air viscosity during flight µ = 0,97 · 10−5 Pa s Air specific gas constant R = 287 J/(kgK) Air adiabatic exponent γ = 1,4 Data in ETW wind tunnel: Nitrogen temperature in ETW T = −160 °C Nitrogen pressure in ETW p = 1 bar Nitrogen viscosity in ETW µ = 8 · 10−6 Pa s Nitroge specific gas constant R = 296 J/(kgK) Answer the following questions: 1.1 For a flight Reynolds number of Re = 30 · 106 based on the reference length L, what is the velocity uZ460 of the aircraft? Re = uLρ µ ⇒ uZ460 = Re µ ρL = 30 · 106 · 0,97 · 10−5 0, 276 · 5 = 210, 87m/s uZ460 = 210, 87m/s | {z } 3 Points 1.2 At what Mach number MaZ460 is the aircraft flying? Ma = u c ⇒ c = q γRT = √ 1.4 · 287 · 222 = c = 298, 66m/s | {z } 1 Points Ma = u c = uYZ460 c = 210, 87 298, 66 = Ma = 0.706 | {z } 2 Points 14
  • 15.
    Advanced Fluid Dynamics- SS 2021 1.3 The engineers have build a small model (Model A) of the aircraft and are trying to match the Reynolds number in their local wind tunnel. It uses air at standard atmospheric conditions. The test section size limits the dimensions of their model - it has only a reference wing chord of LModel A = 0,1 m. For air at standard condi- tions, what velocity uModel A is required to match the Reynolds number? Comment on your result. Re = uLρ µ ⇒ uModelA = Re µ ρL = 30 · 106 · 1,5 · 10−5 1, 225 · 0, 1 = 3673, 5m/s uModelA = 3673, 5m/s | {z } 3 Points This is about 13200 km/h - this is highly supersonic and not reachable in a simple windtunnel 1 Points 1.4 In order to save the day, an engineer has to idea to exchange the working fluid in the wind tunnel to carbon dioxide CO2. In addition, he explains he could attempt to lower the temperature in the tunnel to −20 °C, also lowering the pressure so that the density remains as before. What is the viscosity µ at this temperature for CO2, and what would be the velocity uModel A to match the Reynolds number now? From the viscosity diagram for CO2 at −20 °C: µ = 1.28E − 5Pa s 2 Points Re = uLρ µ ⇒ uModelA = Re µ ρL = 30 · 106 · 1,28 · 10−5 1, 225 · 0, 1 = 3134, 7m/s uModelA = 3134, 7m/s | {z } 3 Points 1.5 Instead of giving up, the engineers now ask the European Transonic Windtunnel in Cologne (ETW) for help. In this windtunnel, cooled nitrogen N2 is used as a working fluid. It operates at −160 °C Celsius. Nitrogen can be treated as an ideal gas, with the same adiabatic exponent as air and R = 296 J/(kgK). Since the ETW is much larger than the local wind tunnel, the engineers can now create a new aircraft model (Model B) and choose a larger or smaller reference length LModel B. For what choice of LModel B and uModel B can the engineers now match both the Re and Ma number of the actual aircraft simultaneously? Re = uModelB LModelB ρN2 µN2 ⇒ uModelBLModelB = Re µN2 ρN2 We are given the viscosity of N2 and can compute the density from the ideal gas 15
  • 16.
    Advanced Fluid Dynamics- SS 2021 law: p = ρ R T ⇒ ρ = p RT = 105 296 · (273, 15 − 160) = ρN2 = 2, 986kg/m3 ρN2 = 2, 986kg/m3 | {z } 1 Point uModelBLModelB = Re µN2 ρN2 = 30E6 8 · 10−6 0, 2986 = 80, 375m2 /s This or similar expression | {z } 1 Point We now have 2 equations and 2 unknowns: Mach and Reynoldsnumber equations. Match the Mach number to get the velocity: Ma = uModelB c , c = q γN2 RN2 T = q (1.4 · 296 · 113.15) = 216.54m/s uModelB = Ma · c = 0.706 · 216.54 = 152, 88m/s uModelB = 152, 88m/s | {z } 1 point LModelB = 0, 526m | {z } 1 point 1.6 How much lift force will the model generate in the ETW during the experiment? The Z460 aircraft is flying at level altitude and steady speed, which means that its lift and weight forces have equal magnitude and opposite directions. The reference area of the aircraft is S = L2 , the reference area of the model is (LModel B)2 . Hint: Compute the lift coefficient for the aircraft first, then use similarity considerations. • Similarity: CModel L = CAircraft L • Aircraft: Lift = Weight =m · g 16
  • 17.
    Advanced Fluid Dynamics- SS 2021 • CAircraft L = m · g 0.5ρV 2 · S = 75000 · 9, 81 0.5 · 0, 276 · 210, 872 · 52 = 4.8 CL = 4.8 | {z } 1 Point CModel L = FModel L 0.5ρV 2 · S ⇒ FModel L = CModel L · 0.5ρV 2 · S = 4.8 · 0.5 · 2, 986 · 80, 3752 = 46296N FL = 46296N | {z } 1 Point Start working on the problem on the next page. 17
  • 18.
    Advanced Fluid Dynamics- SS 2021 Name (first / last): Matr.-Nr.: Your solution to Problem 1: 18
  • 19.
    Advanced Fluid Dynamics- SS 2021 Problem 2 (21/100 Points) Figure 5: Flow between moving parallel plates. 2.1 Write out equations 11 and 12, the Navier-Stokes equation and continuity equation for incompressible flow in fully-developed form in three Cartesian coordinates. ∇ · ~ V = 0 : ∂u ∂x + ∂v ∂y + ∂w ∂z = 0 |{z} 1 point ρ ∂u ∂t + u ∂u ∂x + v ∂u ∂y + w ∂u ∂z # = ρgx − ∂p ∂x + µ ∂2 u ∂x2 + ∂2 u ∂y2 + ∂2 u ∂z2 # ρ ∂v ∂t + u ∂v ∂x + v ∂v ∂y + w ∂v ∂z # = ρgy − ∂p ∂y + µ ∂2 v ∂x2 + ∂2 v ∂y2 + ∂2 v ∂z2 # ρ ∂w ∂t + u ∂w ∂x + v ∂w ∂y + w ∂w ∂z # = ρgz − ∂p ∂z + µ ∂2 w ∂x2 + ∂2 w ∂y2 + ∂2 w ∂z2 # |{z} 3 points 2.2 In which flow conditions does this set of equations apply? All incompressible flows of a Newtonian fluid | {z } 1 Point 2.3 A vortex is modelled with the following velocity components, where A is a constant. Does this satisfy the continuity equation from 2.1? Show your work. u = −zA x2 + z2 ; v = π + x + Asin(z); w = xA x2 + z2 (21) 19
  • 20.
    Advanced Fluid Dynamics- SS 2021 u v 0 = u0 v − v0 u v2 ∂u ∂x = 2xAz (x2 + z2)2 ∂v ∂y = 0 ∂w ∂x = −2xAz (x2 + z2)2 ⇒ Continuity fulfilled! |{z} 1 Point 2.4 Consider flow between two very wide and very long parallel plates as in Fig. 5. The upper plate is moving with speed V1 in the negative x-direction, the lower plate is moving with V2 in the opposite direction. The plates stay parallel at all times, and remain H apart. The flow is driven purely by the movement of the plates and is only moving in the x-direction. Consider laminar, viscous, steady and incompressible flow of a Newtonian fluid with viscosity µ and neglect gravity. Starting from the Navier-Stokes and continuity equations, derive an expression for the velocity profile u(y). Follow these steps: 2.4.1 What can you state about the velocity u at the lower and upper plate, i.e. what are u(y = 0) and u(y = H)? No-slip conditions at walls: u(y = 0) = V2 u(y = H) = −V1 |{z} 2 Points 2.4.2 Start from the continuity equation and drop the terms that can be neglected here. Write down the remaining equation, and justify why terms have been dropped. Hint: You should arrive at an equation that describes fully devel- oped flow. Plates are parallel, flow only in x-direction: v=w=0: dudx = 0 |{z} 1 Point 2.4.3 The Navier-Stokes equations are vectorial, i.e. 3 equations, one for the x-, y- and z-momentum. Which one(s) do you need here? Write down the remaining Navier-Stokes equation(s). Only x-momentum equation is needed: |{z} 1 Point ρ ∂u ∂t + u ∂u ∂x + v ∂u ∂y + w ∂u ∂z # = ρgx − ∂p ∂x + µ ∂2 u ∂x2 + ∂2 u ∂y2 + ∂2 u ∂z2 # 2.4.4 Use all that you know about the flow to reduce the equation(s) from 2.4.3 as far as possible. Give your reasons why the terms can be dropped. Hint: You 20
  • 21.
    Advanced Fluid Dynamics- SS 2021 should end up with an equation of the form C d2 O d2 = 0, (22) where C, O and are place holders. ρ       ∂u ∂t |{z} =0,steady + u ∂u ∂x | {z } =0,conti + v ∂u ∂y + w ∂u ∂z | {z } =0,w=v=0       = ρgx |{z} =0,nogravity − ∂p ∂x |{z} =0,plates +µ      ∂2 u ∂x2 |{z} dudx=0 + ∂2 u ∂y2 + ∂2 u ∂z2 |{z} plates      µ ∂2 u ∂y2 = 0 ∂u ∂x = ∂u ∂z = 0 µ d2 u(y) dy2 = 0 steady | {z } 1 Point nopressuregradient | {z } 1 Point d2 udx2 = 0 | {z } 1 Point final equation correct | {z } 1 Point 2.4.5 Integrate your equation from 2.4.4 twice to arrive at an expression for u(y). Use the boundary conditions from 2.4.1 to fix the constants. Add a qualitative sketch of your solution to Fig. 5, label your solution with u∗ . u(y) = C1y + C2 | {z } 1 point for Ansatz with BCs: u(y = 0) = V2 = C2 u(y = H) = −V1 = C1H + V2 ⇒ C1 = −V1 − V2 H |{z} 2 points for correct coefficients |{z} 1 point for sketch 2.4.6 What is the name of this famous solution to the Navier-Stokes equations? In class, we considered this case for only one moving plate, the other one was fixed, but the name still holds. Couette Flow | {z } 1 point 2.4.7 What would the velocity profile u(y) look like if both plates were moving in the same direction with the same speed, for example both are moving to the right with V1 = V2. Explain your answer, and add a qualitative sketch of your solu- 21
  • 22.
    Advanced Fluid Dynamics- SS 2021 tion to Fig. 5, label your solution with u∗∗ . 1 for sketch, 1 for explanation | {z } 2 point s Start working on the problem on the next page. 22
  • 23.
    Advanced Fluid Dynamics- SS 2021 Name (first / last): Matr.-Nr.: Your solution to Problem 2: 23
  • 24.
    Advanced Fluid Dynamics- SS 2021 Problem 3 (21/100 Points) A vertical water gate is D wide and separates two water reservoirs of heights H1 and H2. The water is stationary. The gate is hinged at the bottom (point B). An overpressure valve C is located on the wall. Its height is ∆d = Lu − Ll, its width is D/10. The valve is initially kept forcefully closed and locked. Figure 6: Water gate with two reservoirs. Given are: Water level, left reservoir H1 = 3 m Water level, right reservoir H2 = 2 m Density of water ρwater = 1 000 kg m−3 Atmospheric pressure p∞ = 1 bar Width of the reservoir D = 4 m Gravitation constant g = 9,81 m s−2 Distance from bottom to control value bottom Ll Distance from bottom to control value top Lu Width of the control valve DC = D/10 24
  • 25.
    Advanced Fluid Dynamics- SS 2021 Answer the following questions: 3.1 What are the hydrostatic forces on the gate on side 1 and side 2 (forces due to the water only)? dp dz = ρg ⇒ p = ρgz Fp = Z dFp = Z p(z)dS dS = Ddr z(r) = zmax − r, 0 ≤ r ≤ zmax = Rmax = Hi Z Rmax r=0 p(z(r)))Ddr = Z ρgz(r)Ddr = Z ρg(zmax − r)Ddr = ρgD h zmaxr − 0.5r2 iRmax r=0 = ρgD 1 2 R2 max F1 p = ρgD 1 2 H2 1 F2 p = ρgD 1 2 H2 2 F1 p = 1000 · 9.81 · 4 · 0.5 · 9 = 176580N | {z } 3 points F2 p = 1000 · 9.81 · 4 · 0.5 · 4 = 78480N | {z } 3 points (23) 25
  • 26.
    Advanced Fluid Dynamics- SS 2021 Figure 7: 3.1 Coordinate system for force integral 26
  • 27.
    Advanced Fluid Dynamics- SS 2021 3.2 What is the moment generated by these forces about the bottom hinge B? What are the magnitude and the direction of this moment? Hint: Mx = R dMx = R rxdF MB = Z dMB = Z rBdF = Z rBpdS = Z Rmax r=0 rBpDdr = Z Rmax r=0 rBρgz(r)Ddr = Z Rmax r=0 rBρg(zmax − rB)Ddr = ρgD Z Rmax r=0 rB(zmax − rB)dr = ρgD 1 2 zmaxr2 B − 1 3 r3 B Rmax r=0 = ρgD 1 6 R3 max M1 B = ρgD 1 6 H3 1 M2 B = ρgD 1 6 H3 2 M1 B = 1000 · 9.81 · 4 · 1 6 · 27 = 176580Nm | {z } 3 points M2 B = 1000 · 9.81 · 4 · 1 6 · 8 = 52320Nm | {z } 3 points (24) Figure 8: 3.2: Direction and magnitude of moment | {z } 1 Point 3.3 If the control valve is located at d∗ (measured from the bottom) and we assume that its height is very small so that Lu ≈ Ll, what is the pressure difference ∆p = p1 − p2 it encounters (valve is closed)? Give an analytic expression, do not put in numbers. 27
  • 28.
    Advanced Fluid Dynamics- SS 2021 p = ρgz ∆p = p1 − p2 = ρg(z2 − z1) | {z } 1 point = ρg(zmax1 − d∗ − zmax2 + d∗ ) = ρg(zmax1 − zmax2) = ρg(H1 − H2) | {z } 1 point (25) 3.4 Does it matter (for the pressure difference) where along the height of the gate the overpressure valve is positioned, whether close to the bottom or close to the surface? Why or why not? No equations / derivations are necessary here, briefly justify your answer in 40 words or less. ⇒ No, it does not matter as the pressure gradient with depth is linear - the difference ∆p is not a function of depth, only of the difference between H1 and H2. Correct solution and justification | {z } 1 Point 3.5 We now assume that the control valve is not small, so Lu 6= Ll. What is the total hydrostatic force on the control valve? Derive an analytic expression, do not put in numbers. Part 3.3 can give you a hint. ⇒ Option I, the long way: Integrate along the height of the control valve on both sides likes in 3.1, now the lower bound is not zero. Option II: Realize that ∆F = F1 − F2 = ∆pS, where ∆P from 3.3. and S = D/10 · (Lu − Ll). Thus ∆F = ρg(H1 − H2) · D/10 · (Lu − Ll) (26) for option 1: 1 point per side, 1 point for correct result | {z } 3 Points 3.6 The overpressure valve opens if it encounters the critical force Fcrit ≥ 2 000 N. The one that is currently installed has a height of ∆L = Lu −Ll = 0,30 m and a width of Dc = D/10. If H2 stays the same, at what level of H1 will the valve open? In case you did not answer question 3.5, you can use Eq. 27 for the total hydrostatic force on the control valve. Note that Eq. 27 is not necessarily the correct solution to 3.5, but you can use it here: Faux valve = ρ gD (Lu − Ll) (H1 − H2) (27) 28
  • 29.
    Advanced Fluid Dynamics- SS 2021 ⇒ Using the correct solution from 3.5: ∆F = ρg(H1 − H2) · D/10 · (Lu − Ll) H1 = 10 · ∆F D(Lu − Ll)ρg + H2 H1 = 10 · 2000 4 · 0.3 · 9810 + 2 = 3.7m (28) ⇒ Using the auxiliary solution from 3.7: ∆F = ρg(H1 − H2) · D · (Lu − Ll) H1 = ∆F D(Lu − Ll)ρg + H2 H1 = 2000 4 · 0.3 · 9810 + 2 = 2.17m (29) Full points for either way | {z } 2 Points Start working on the problem on the next page. 29
  • 30.
    Advanced Fluid Dynamics- SS 2021 Name (first / last): Matr.-Nr.: Your solution to Problem 3: 30
  • 31.
    Advanced Fluid Dynamics- SS 2021 Problem 4 (21/100 Points) On a construction site, concrete is poured to start a foundation. The concrete is stored in a silo, which is made up of a tank with an attached nozzle. Initially, the tank is filled to the top. Once the nozzle valve is opened, concrete starts to flow. We can consider this flow to be steady, incompressible and inviscid; we can also assume that the velocity across any cross section is uniform. Note: • We consider concrete as a fluid (liquid) here, to which all the typical properties apply and the usual governing equations are valid • Both tank and nozzle have constant, circular cross sections and both can be as- sumed to be of cylindrical shape (i.e. you do not need to consider the bend in the nozzle where it attaches to the tank.) • The tank is open to the atmosphere at the top (no lid), and concrete forms a free surface there. • Use the given coordinate system. Figure 9: Pouring a concrete foundation 31
  • 32.
    Advanced Fluid Dynamics- SS 2021 Given are: Density of concrete ρ = 2 200 kg m−3 Inner diameter of tank D = 1,4 m Cross section of nozzle AN = 0,035 m2 Nozzle angle α = 40° Length of nozzle L = 1 m Answer the following questions: 4.1 The construction worker observes that the free upper surface of the concrete moves downward at a rate of v1 = 0,1314 m s−1 . What are the velocity magnitude |v3| and the mass flux ṁ at the nozzle exit? incomp, steady, inviscid conservation of mass, CV from 1 to 3: ρ1v1A1 = ρ3v3A3 v3 = v1A1/A3 = 0.1314 · πD2 /4/0.035 = 5.779m/s | {z } 2 Point ṁ = rho3A3v3 = 2200 · 0.035 · 5.779 = 445kg/s | {z } 1 Point (30) 4.2 From now on, assume that v1 ≈ 0. Your task is to compute the force Fx in the x- direction with which the construction worker needs to push against the silo to keep it from moving. Assume that the concrete flows at a steady pace, and assume a uniform velocity profile. Draw a suitable control volume and indicate the relevant fluxes (inflow/outflow). Give the magnitude and the direction of the force required to hold the silo (tank plus nozzle) in place. 32
  • 33.
    Advanced Fluid Dynamics- SS 2021 Figure 10: CV and fluxes for problem 4.2 Correct CV and fluxes | {z } 1 Point Figure 11: RTT momentum for 4.2 Correct RTT for momentum | {z } 1 Points Figure 12: Velocities for problem 4.2 Correct velocity components | {z } 2 Points 33
  • 34.
    Advanced Fluid Dynamics- SS 2021 Figure 13: X component of force for prob. 4.2 1 for value, 1 for correct direction | {z } 2 Points 4.3 Now consider the nozzle only. What is the force (as a vector) acting on the nozzle through the flow of concrete? Consider only forces through the fluxes here, i.e. you can neglect pressure and gravitational forces. Figure 14: CV and fluxes for problem 4.3 Correct CV and fluxes | {z } 1 Point 34
  • 35.
    Advanced Fluid Dynamics- SS 2021 Figure 15: RTT momentum for problem 4.3, constant cross sections 1 for RTT, 1 for correct computation | {z } 2 Points Figure 16: Solution 4.3: forces on nozzle without pressure considered Correct Vector | {z } 1 Point 35
  • 36.
    Advanced Fluid Dynamics- SS 2021 4.4 The construction worker notices that the outflow profile at the nozzle exit is not uniform due to viscous effects. She estimates that the true shape of the velocity across the outlet is given by v(r) = Vmax 1 − πr2 AN ! . (31) Here, r denotes the radial coordinate measured from the centerline of the nozzle outwards, see Fig. 17. If the mass flow is constant and as computed in 4.1, what is Vmax? Make use of the relationship between the nozzle cross section area AN and its radius RN to simplify the final expression. Hint: the integration rule over a circular cross section A in polar coordinates is: R A f (r, φ)dA = R A f (r, φ)r dr dφ. Figure 17: Nozzle coordinate system. Figure 18: Problem 4.4 setup. 36
  • 37.
    Advanced Fluid Dynamics- SS 2021 Figure 19: Problem 4.4, solution part 14 Ansatz | {z } 2 points Figure 20: Problem 4.4, solution part 2 correct integration and result | {z } 2 points 37
  • 38.
    Advanced Fluid Dynamics- SS 2021 4.5 For this more realistic outflow profile, what is the force Fviscous x that needs to be applied by the worker in the horizontal direction to keep the silo in place? Compare your results to part 4.2. Is this force smaller or larger, and what is the reason for that? Even if you do not arrive at a numerical result, you can still answer this question qualitatively from physical reasoning. Start working on the problem on the next page. 38
  • 39.
    Advanced Fluid Dynamics- SS 2021 Figure 21: problem 4.5, solution part 1 Figure 22: problem 4.5, solution part 2 39
  • 40.
    Advanced Fluid Dynamics- SS 2021 Figure 23: problem 4.5, solution part 3 |{z} 4 points Name (first / last): Matr.-Nr.: Your solution to Problem 4: 40